E.e.s.®

E.e.s.®
SPL v2
SPL
SPL Set ID 91479d92-3bf3-4eb3-81bd-8ce4956d4347
Route
ORAL
Published
Effective Date 2024-12-26
Document Type 34391-3 HUMAN PRESCRIPTION DRUG LABEL

Drug Facts

Composition & Product

Active Ingredients
Erythromycin (400 mg)
Inactive Ingredients
Sucrose Starch, Corn Fd&c Red No. 40 Magnesium Stearate Polacrilin Potassium Sodium Citrate, Unspecified Form D&c Red No. 30 D&c Yellow No. 10 Glyceryl Monocaprylocaprate Polyvinyl Alcohol Graft Polyethylene Glycol Copolymer (3:1; 45000 Mw) Polyvinyl Alcohol, Unspecified Talc Titanium Dioxide Citric Acid Fd&c Red No. 3 Magnesium Aluminum Silicate Carboxymethylcellulose Sodium Sodium Citrate

Identifiers & Packaging

Pill Appearance
Imprint: EE Shape: oval Color: pink Size: 19 mm Score: 1
Marketing Status
NDA Active Since 2025-01-15

Description

Rx only To reduce the development of drug-resistant bacteria and maintain the effectiveness of E.E.S. and other antibacterial drugs, E.E.S. should be used only to treat or prevent infections that are proven or strongly suspected to be caused by bacteria.

Indications and Usage

To reduce the development of drug-resistant bacteria and maintain the effectiveness of E.E.S. and other antibacterial drugs, E.E.S. should be used only to treat or prevent infections that are proven or strongly suspected to be caused by susceptible bacteria. When culture and susceptibility information are available, they should be considered in selecting or modifying antibacterial therapy. In the absence of such data, local epidemiology and susceptibility patterns may contribute to the empiric selection of therapy. E.E.S. is indicated in the treatment of infections caused by susceptible strains of the designated organisms in the diseases listed below: Upper respiratory tract infections of mild to moderate degree caused by Streptococcus pyogenes, Streptococcus pneumoniae, or Haemophilus influenzae (when used concomitantly with adequate doses of sulfonamides, since many strains of H. influenzae are not susceptible to the erythromycin concentrations ordinarily achieved). (See appropriate sulfonamide labeling for prescribing information.) Lower-respiratory tract infections of mild to moderate severity caused by Streptococcus pneumoniae or Streptococcus pyogenes . Listeriosis caused by Listeria monocytogenes . Pertussis (whooping cough) caused by Bordetella pertussis . Erythromycin is effective in eliminating the organism from the nasopharynx of infected individuals rendering them noninfectious. Some clinical studies suggest that erythromycin may be helpful in the prophylaxis of pertussis in exposed susceptible individuals. Respiratory tract infections due to Mycoplasma pneumoniae . Skin and skin structure infections of mild to moderate severity caused by Streptococcus pyogenes or Staphylococcus aureus (resistant staphylococci may emerge during treatment). Diphtheria: Infections due to Corynebacterium diphtheriae , as an adjunct to antitoxin, to prevent establishment of carriers and to eradicate the organism in carriers. Erythrasma: In the treatment of infections due to Corynebacterium minutissimum . Intestinal amebiasis caused by Entamoeba histolytica (oral erythromycins only). Extraenteric amebiasis requires treatment with other agents. Acute pelvic inflammatory disease caused by Neisseria gonorrhoeae : As an alternative drug in treatment of acute pelvic inflammatory disease caused by N. gonorrhoeae in female patients with a history of sensitivity to penicillin. Patients should have a serologic test for syphilis before receiving erythromycin as treatment of gonorrhea and a follow-up serologic test for syphilis after 3 months. Syphilis caused by Treponema pallidum : Erythromycin is an alternate choice of treatment for primary syphilis in patients allergic to the penicillins. In treatment of primary syphilis, spinal fluid examinations should be done before treatment and as part of follow-up after therapy. Erythromycins are indicated for the treatment of the following infections caused by Chlamydia trachomatis : conjunctivitis of the newborn, pneumonia of infancy, and urogenital infections during pregnancy. When tetracyclines are contraindicated or not tolerated, erythromycin is indicated for the treatment of uncomplicated urethral, endocervical, or rectal infections in adults due to Chlamydia trachomatis . When tetracyclines are contraindicated or not tolerated, erythromycin is indicated for the treatment of nongonococcal urethritis caused by Ureaplasma urealyticum . Legionnaires' Disease caused by Legionella pneumophila : Although no controlled clinical efficacy studies have been conducted, in vitro and limited preliminary clinical data suggest that erythromycin may be effective in treating Legionnaires' Disease.

Dosage and Administration

Erythromycin ethylsuccinate suspensions and film-coated tablets may be administered without regard to meals.

Contraindications

Erythromycin is contraindicated in patients with known hypersensitivity to this antibiotic. Erythromycin is contraindicated in patients taking terfenadine, astemizole, pimozide, or cisapride (see PRECAUTIONS – Drug Interactions ). Do not use erythromycin concomitantly with HMG CoA reductase inhibitors (statins) that are extensively metabolized by CYP 3A4 (lovastatin or simvastatin), due to the increased risk of myopathy, including rhabdomyolysis.

Adverse Reactions

The most frequent side effects of oral erythromycin preparations are gastrointestinal and are dose-related. They include nausea, vomiting, abdominal pain, diarrhea and anorexia. Symptoms of hepatitis, hepatic dysfunction and/or abnormal liver function test results may occur (see WARNINGS section). Onset of pseudomembranous colitis symptoms may occur during or after antibacterial treatment (see WARNINGS section). Erythromycin has been associated with QT prolongation and ventricular arrhythmias, including ventricular tachycardia and torsades de pointes (see WARNINGS ). Allergic reactions ranging from urticaria to anaphylaxis have occurred. Skin reactions ranging from mild eruptions to erythema multiforme, Stevens-Johnson syndrome, and toxic epidermal necrolysis have been reported rarely. There have been reports of interstitial nephritis coincident with erythromycin use. There have been rare reports of pancreatitis and convulsions. There have been isolated reports of reversible hearing loss occurring chiefly in patients with renal insufficiency and in patients receiving high doses of erythromycin.

How Supplied

E.E.S. Granules 200 mg per 5 mL (erythromycin ethylsuccinate for oral suspension, USP) are pink granules with a cherry aroma and are supplied in 100-mL (NDC 80005-152-18) and 200-mL (NDC 80005-153-34) size bottles. Following reconstitution E.E.S. Granules become a pink opaque suspension with a cherry aroma. E.E.S. 400 film-coated tablets (erythromycin ethylsuccinate tablets, USP) 400 mg, are supplied as pink oval tablets imprinted with the two letter designation, EE, in: Bottles of 30 (NDC 80005-161-08) Bottles of 100 (NDC 80005-162-11)


Medication Information

Indications and Usage

To reduce the development of drug-resistant bacteria and maintain the effectiveness of E.E.S. and other antibacterial drugs, E.E.S. should be used only to treat or prevent infections that are proven or strongly suspected to be caused by susceptible bacteria. When culture and susceptibility information are available, they should be considered in selecting or modifying antibacterial therapy. In the absence of such data, local epidemiology and susceptibility patterns may contribute to the empiric selection of therapy.

E.E.S. is indicated in the treatment of infections caused by susceptible strains of the designated organisms in the diseases listed below:

Upper respiratory tract infections of mild to moderate degree caused by Streptococcus pyogenes, Streptococcus pneumoniae, or Haemophilus influenzae (when used concomitantly with adequate doses of sulfonamides, since many strains of H. influenzae are not susceptible to the erythromycin concentrations ordinarily achieved). (See appropriate sulfonamide labeling for prescribing information.)

Lower-respiratory tract infections of mild to moderate severity caused by Streptococcus pneumoniae or Streptococcus pyogenes.

Listeriosis caused by Listeria monocytogenes.

Pertussis (whooping cough) caused by Bordetella pertussis. Erythromycin is effective in eliminating the organism from the nasopharynx of infected individuals rendering them noninfectious. Some clinical studies suggest that erythromycin may be helpful in the prophylaxis of pertussis in exposed susceptible individuals.

Respiratory tract infections due to Mycoplasma pneumoniae.

Skin and skin structure infections of mild to moderate severity caused by Streptococcus pyogenes or Staphylococcus aureus (resistant staphylococci may emerge during treatment).

Diphtheria: Infections due to Corynebacterium diphtheriae, as an adjunct to antitoxin, to prevent establishment of carriers and to eradicate the organism in carriers.

Erythrasma: In the treatment of infections due to Corynebacterium minutissimum.

Intestinal amebiasis caused by Entamoeba histolytica (oral erythromycins only). Extraenteric amebiasis requires treatment with other agents.

Acute pelvic inflammatory disease caused by Neisseria gonorrhoeae: As an alternative drug in treatment of acute pelvic inflammatory disease caused by N. gonorrhoeae in female patients with a history of sensitivity to penicillin. Patients should have a serologic test for syphilis before receiving erythromycin as treatment of gonorrhea and a follow-up serologic test for syphilis after 3 months.

Syphilis caused by Treponema pallidum: Erythromycin is an alternate choice of treatment for primary syphilis in patients allergic to the penicillins. In treatment of primary syphilis, spinal fluid examinations should be done before treatment and as part of follow-up after therapy.

Erythromycins are indicated for the treatment of the following infections caused by Chlamydia trachomatis: conjunctivitis of the newborn, pneumonia of infancy, and urogenital infections during pregnancy. When tetracyclines are contraindicated or not tolerated, erythromycin is indicated for the treatment of uncomplicated urethral, endocervical, or rectal infections in adults due to Chlamydia trachomatis.

When tetracyclines are contraindicated or not tolerated, erythromycin is indicated for the treatment of nongonococcal urethritis caused by Ureaplasma urealyticum.

Legionnaires' Disease caused by Legionella pneumophila: Although no controlled clinical efficacy studies have been conducted, in vitro and limited preliminary clinical data suggest that erythromycin may be effective in treating Legionnaires' Disease.

Dosage and Administration

Erythromycin ethylsuccinate suspensions and film-coated tablets may be administered without regard to meals.

Contraindications

Erythromycin is contraindicated in patients with known hypersensitivity to this antibiotic.

Erythromycin is contraindicated in patients taking terfenadine, astemizole, pimozide, or cisapride (see PRECAUTIONS – Drug Interactions ).

Do not use erythromycin concomitantly with HMG CoA reductase inhibitors (statins) that are extensively metabolized by CYP 3A4 (lovastatin or simvastatin), due to the increased risk of myopathy, including rhabdomyolysis.

Adverse Reactions

The most frequent side effects of oral erythromycin preparations are gastrointestinal and are dose-related. They include nausea, vomiting, abdominal pain, diarrhea and anorexia. Symptoms of hepatitis, hepatic dysfunction and/or abnormal liver function test results may occur (see WARNINGS section).

Onset of pseudomembranous colitis symptoms may occur during or after antibacterial treatment (see WARNINGS section).

Erythromycin has been associated with QT prolongation and ventricular arrhythmias, including ventricular tachycardia and torsades de pointes (see WARNINGS ).

Allergic reactions ranging from urticaria to anaphylaxis have occurred. Skin reactions ranging from mild eruptions to erythema multiforme, Stevens-Johnson syndrome, and toxic epidermal necrolysis have been reported rarely.

There have been reports of interstitial nephritis coincident with erythromycin use.

There have been rare reports of pancreatitis and convulsions.

There have been isolated reports of reversible hearing loss occurring chiefly in patients with renal insufficiency and in patients receiving high doses of erythromycin.

How Supplied

E.E.S. Granules 200 mg per 5 mL (erythromycin ethylsuccinate for oral suspension, USP) are pink granules with a cherry aroma and are supplied in

100-mL (NDC 80005-152-18) and 200-mL (NDC 80005-153-34) size bottles. Following reconstitution E.E.S. Granules become a pink opaque suspension with a cherry aroma.

E.E.S. 400 film-coated tablets (erythromycin ethylsuccinate tablets, USP) 400 mg, are supplied as pink oval tablets imprinted with the two letter

designation, EE, in:

Bottles of 30 (NDC 80005-161-08)

Bottles of 100 (NDC 80005-162-11)

Description

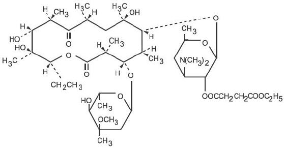
Erythromycin is produced by a strain of Saccharopolyspora erythraea (formerly Streptomyces erythraeus) and belongs to the macrolide group of antibiotics. It is basic and readily forms salts with acids. The base, the stearate salt, and the esters are poorly soluble in water. Erythromycin ethylsuccinate is an ester of erythromycin suitable for oral administration. Erythromycin ethylsuccinate is known chemically as erythromycin 2'-(ethylsuccinate). The molecular formula is C43H75NO16 and the molecular weight is 862.06. The structural formula is:

E.E.S. Granules are intended for reconstitution with water. Each 5-mL teaspoonful of reconstituted cherry-flavored suspension contains erythromycin ethylsuccinate equivalent to 200 mg of erythromycin.

The pleasant tasting, fruit-flavored liquids are supplied ready for oral administration.

E.E.S. 200 Liquid: Each 5-mL teaspoonful of fruit-flavored suspension contains erythromycin ethylsuccinate equivalent to 200 mg of erythromycin.

E.E.S. 400 Liquid: Each 5-mL teaspoonful of orange-flavored suspension contains erythromycin ethylsuccinate equivalent to 400 mg of erythromycin.

Granules and ready-made suspensions are intended primarily for pediatric use but can also be used in adults.

E.E.S. 400 film-coated tablets: Each tablet contains erythromycin ethylsuccinate equivalent to 400 mg of erythromycin.

The film-coated tablets are intended primarily for adults or older children.

Section 34077-8

Teratogenic Effects

There is no evidence of teratogenicity or any other adverse effect on reproduction in female rats fed erythromycin base by oral gavage at 350 mg/kg/day (approximately twice the maximum recommended human dose on a body surface area) prior to and during mating, during gestation, and through weaning.

No evidence of teratogenicity or embryotoxicity was observed when erythromycin base was given by oral gavage to pregnant rats and mice at 700 mg/kg/day and to pregnant rabbits at 125 mg/kg/day (approximately 1 to 3 times the maximum recommended human dose).

Section 42229-5

Rx only

To reduce the development of drug-resistant bacteria and maintain the effectiveness of E.E.S. and other antibacterial drugs, E.E.S. should be used only to treat or prevent infections that are proven or strongly suspected to be caused by bacteria.

Section 43679-0

Mechanism of Action

Erythromycin acts by inhibition of protein synthesis by binding 50S ribosomal subunits of susceptible organisms. It does not affect nucleic acid synthesis.

General

Prescribing E.E.S. in the absence of a proven or strongly suspected bacterial infection or a prophylactic indication is unlikely to provide benefit to the patient and increases the risk of the development of drug-resistant bacteria.

Since erythromycin is principally excreted by the liver, caution should be exercised when erythromycin is administered to patients with impaired hepatic function (see CLINICAL PHARMACOLOGY and WARNINGS sections).

Exacerbation of symptoms of myasthenia gravis and new onset of symptoms of myasthenic syndrome have been reported in patients receiving erythromycin therapy.

There have been reports of infantile hypertrophic pyloric stenosis (IHPS) occurring in infants following erythromycin therapy. In one cohort of 157 newborns who were given erythromycin for pertussis prophylaxis, seven neonates (5%) developed symptoms of non-bilious vomiting or irritability with feeding and were subsequently diagnosed as having IHPS requiring surgical pyloromyotomy. A possible dose-response effect was described with an absolute risk of IHPS of 5.1% for infants who took erythromycin for 8 to 14 days and 10% for infants who took erythromycin for 15 to 21 days.2

Since erythromycin may be used in the treatment of conditions in infants which are associated with significant mortality or morbidity (such as pertussis or neonatal Chlamydia trachomatis infections), the benefit of erythromycin therapy needs to be weighed against the potential risk of developing IHPS. Parents should be informed to contact their physician if vomiting or irritability with feeding occurs.

Prolonged or repeated use of erythromycin may result in an overgrowth of nonsusceptible bacteria or fungi. If superinfection occurs, erythromycin should be discontinued and appropriate therapy instituted.

When indicated, incision and drainage or other surgical procedures should be performed in conjunction with antibiotic therapy.

Overdosage

In case of overdosage, erythromycin should be discontinued. Overdosage should be handled with the prompt elimination of unabsorbed drug and all other appropriate measures should be instituted.

Erythromycin is not removed by peritoneal dialysis or hemodialysis.

References
  • Committee on Rheumatic Fever, Endocarditis, and Kawasaki Disease of the Council on Cardiovascular Disease in the Young, the American Heart Association: Prevention of Rheumatic Fever. Circulation. 78(4):1082-1086, October 1988.
  • Honein, M.A., et al.: Infantile hypertrophic pyloric stenosis after pertussis prophylaxis with erythromycin: a case review and cohort study. The Lancet 1999:354 (9196): 2101-5.
Geriatric Use:

Elderly patients, particularly those with reduced renal or hepatic function, may be at increased risk for developing erythromycin-induced hearing loss (see ADVERSE REACTIONS and DOSAGE AND ADMINISTRATION ).

Elderly patients may be more susceptible to the development of torsades de pointes arrhythmias than younger patients (see WARNINGS ).

Elderly patients may experience increased effects of oral anticoagulant therapy while undergoing treatment with erythromycin (see PRECAUTIONS – Drug Interactions ).

E.E.S.® Granules contains 25.9 mg (1.1 mEq) of sodium per individual dose.

The geriatric population may respond with a blunted natriuresis to salt loading. This may be clinically important with regard to such diseases as congestive heart failure.

E.E.S. 400 film-coated contains 47 mg (2 mEq) of sodium per tablet and 10.0 mg (0.3 mEq) of potassium per tablet.

Pediatric Use:
Nursing Mothers:

Erythromycin is excreted in human milk. Caution should be exercised when erythromycin is administered to a nursing woman.

Labor and Delivery:

The effect of erythromycin on labor and delivery is unknown.

For Use in Pertussis

Although optimal dosage and duration have not been established, doses of erythromycin utilized in reported clinical studies were 40 to 50 mg/kg/day, given in divided doses for 5 to 14 days.

Recommended Storage:

Store below 86°F (30°C).

Store granules, before mixing, below 86°F (30°C). After mixing, store in the refrigerator and use within 10 days.

Clinical Pharmacology

Orally administered erythromycin ethylsuccinate suspensions and film-coated tablets are readily and reliably absorbed. Comparable serum levels of erythromycin are achieved in the fasting and nonfasting states.

Erythromycin diffuses readily into most body fluids. Only low concentrations are normally achieved in the spinal fluid, but passage of the drug across the blood-brain barrier increases in meningitis. In the presence of normal hepatic function, erythromycin is concentrated in the liver and excreted in the bile; the effect of hepatic dysfunction on excretion of erythromycin by the liver into the bile is not known. Less than 5 percent of the orally administered dose of erythromycin is excreted in active form in the urine.

Erythromycin crosses the placental barrier, but fetal plasma levels are low. The drug is excreted in human milk.

Inactive Ingredients:

E.E.S. Granules: Citric acid, FD&C Red No. 3, magnesium aluminum silicate, sodium carboxymethylcellulose, sodium citrate, sucrose and artificial flavor.

E.E.S. 400 film-coated tablets: Confectioner's sugar (contains corn starch), corn starch, FD&C Red No. 40, magnesium stearate, polacrilin potassium, sodium citrate and Opadry® Pink 321A140035 (consists of the following ingredients: D&C Red #30, D&C Yellow #10, glycerol monocaprylocaprate, Macrogol (PEG) Polyvinyl Alcohol Graft Copolymer, polyvinyl alcohol partially hydrolyzed, talc and titanium dioxide).

E.E.S. 200 Liquid: FD&C Red No. 40, methylparaben, polysorbate 60, propylparaben, sodium citrate, sucrose, water, xanthan gum and natural and artificial flavors.

E.E.S. 400 Liquid: D&C Yellow No. 10, FD&C Yellow No. 6, methylparaben, polysorbate 60, propylparaben, sodium citrate, sucrose, water, xanthan gum and natural and artificial flavors.

Information for Patients

Patients should be counseled that antibacterial drugs, including E.E.S., should only be used to treat bacterial infections. They do not treat viral infections (e.g., the common cold). When E.E.S. is prescribed to treat a bacterial infection, patients should be told that although it is common to feel better early in the course of therapy, the medication should be taken exactly as directed. Skipping doses or not completing the full course of therapy may (1) decrease the effectiveness of the immediate treatment and (2) increase the likelihood that bacteria will develop resistance and will not be treatable by E.E.S. or other antibacterial drugs in the future.

Diarrhea is a common problem caused by antibiotics which usually ends when the antibiotic is discontinued. Sometimes after starting treatment with antibiotics, patients can develop watery and bloody stools (with or without stomach cramps and fever) even as late as two or more months after having taken the last dose of the antibiotic. If this occurs, patients should contact their physician as soon as possible.

Drug/laboratory Test Interactions:

Erythromycin interferes with the fluorometric determination of urinary catecholamines.

For Treatment of Legionnaires' Disease

Although optimal doses have not been established, doses utilized in reported clinical data were those recommended above (1.6 to 4 g daily in divided doses).

Principal Display Panel 5 Ml Bottle Label

NDC 80005-153-34)

200 mL(when mixed)

For Oral Suspension

E.E.S. ® Granules

ERYTHROMYCIN

ETHYLSUCCINATE FOR

ORAL SUSPENSION, USP

Erythromycin activity

200 mg per 5 mL


when reconstituted

Rx only

Principal Display Panel 100 Ml Bottle Label

NDC 80005-152-18

100 mL(when mixed)

For Oral Suspension

E.E.S. ® Granules

ERYTHROMYCIN

ETHYLSUCCINATE FOR

ORAL SUSPENSION, USP

Erythromycin activity

200 mg per 5 mL


when reconstituted

Rx only

Carnegie Pharma

For Treatment of Urethritis Due to C. Trachomatis

800 mg three times a day for 7 days.

Principal Display Panel 400 Mg Tablet Bottle Label

NDC 80005-161-08

30 Tablets

E.E.S. 400®

Film-coated Tablets

ERYTHROMYCIN

ETHYLSUCCINATE

TABLETS, USP

400 mg

Erythromycin

activity

Rx only

Carnegie Pharma

Carcinogenesis, Mutagenesis, Impairment of Fertility:

Long-term oral dietary studies conducted with erythromycin stearate in rats up to 400 mg/kg/day and in mice up to about 500 mg/kg/day (approximately 1 to 2 fold of the maximum human dose on a body surface area basis) did not provide evidence of tumorigenicity. Erythromycin stearate did not show genotoxic potential in the Ames, and mouse lymphoma assays or induce chromosomal aberrations in CHO cells. There was no apparent effect on male or female fertility in rats treated with erythromycin base by oral gavage at 700 mg/kg/day (approximately 3 times the maximum human dose on a body surface area basis).


Structured Label Content

Section 34077-8 (34077-8)

Teratogenic Effects

There is no evidence of teratogenicity or any other adverse effect on reproduction in female rats fed erythromycin base by oral gavage at 350 mg/kg/day (approximately twice the maximum recommended human dose on a body surface area) prior to and during mating, during gestation, and through weaning.

No evidence of teratogenicity or embryotoxicity was observed when erythromycin base was given by oral gavage to pregnant rats and mice at 700 mg/kg/day and to pregnant rabbits at 125 mg/kg/day (approximately 1 to 3 times the maximum recommended human dose).

Section 42229-5 (42229-5)

Rx only

To reduce the development of drug-resistant bacteria and maintain the effectiveness of E.E.S. and other antibacterial drugs, E.E.S. should be used only to treat or prevent infections that are proven or strongly suspected to be caused by bacteria.

Section 43679-0 (43679-0)

Mechanism of Action

Erythromycin acts by inhibition of protein synthesis by binding 50S ribosomal subunits of susceptible organisms. It does not affect nucleic acid synthesis.

General

Prescribing E.E.S. in the absence of a proven or strongly suspected bacterial infection or a prophylactic indication is unlikely to provide benefit to the patient and increases the risk of the development of drug-resistant bacteria.

Since erythromycin is principally excreted by the liver, caution should be exercised when erythromycin is administered to patients with impaired hepatic function (see CLINICAL PHARMACOLOGY and WARNINGS sections).

Exacerbation of symptoms of myasthenia gravis and new onset of symptoms of myasthenic syndrome have been reported in patients receiving erythromycin therapy.

There have been reports of infantile hypertrophic pyloric stenosis (IHPS) occurring in infants following erythromycin therapy. In one cohort of 157 newborns who were given erythromycin for pertussis prophylaxis, seven neonates (5%) developed symptoms of non-bilious vomiting or irritability with feeding and were subsequently diagnosed as having IHPS requiring surgical pyloromyotomy. A possible dose-response effect was described with an absolute risk of IHPS of 5.1% for infants who took erythromycin for 8 to 14 days and 10% for infants who took erythromycin for 15 to 21 days.2

Since erythromycin may be used in the treatment of conditions in infants which are associated with significant mortality or morbidity (such as pertussis or neonatal Chlamydia trachomatis infections), the benefit of erythromycin therapy needs to be weighed against the potential risk of developing IHPS. Parents should be informed to contact their physician if vomiting or irritability with feeding occurs.

Prolonged or repeated use of erythromycin may result in an overgrowth of nonsusceptible bacteria or fungi. If superinfection occurs, erythromycin should be discontinued and appropriate therapy instituted.

When indicated, incision and drainage or other surgical procedures should be performed in conjunction with antibiotic therapy.

Overdosage (OVERDOSAGE)

In case of overdosage, erythromycin should be discontinued. Overdosage should be handled with the prompt elimination of unabsorbed drug and all other appropriate measures should be instituted.

Erythromycin is not removed by peritoneal dialysis or hemodialysis.

References (REFERENCES)
  • Committee on Rheumatic Fever, Endocarditis, and Kawasaki Disease of the Council on Cardiovascular Disease in the Young, the American Heart Association: Prevention of Rheumatic Fever. Circulation. 78(4):1082-1086, October 1988.
  • Honein, M.A., et al.: Infantile hypertrophic pyloric stenosis after pertussis prophylaxis with erythromycin: a case review and cohort study. The Lancet 1999:354 (9196): 2101-5.
Description (DESCRIPTION)

Erythromycin is produced by a strain of Saccharopolyspora erythraea (formerly Streptomyces erythraeus) and belongs to the macrolide group of antibiotics. It is basic and readily forms salts with acids. The base, the stearate salt, and the esters are poorly soluble in water. Erythromycin ethylsuccinate is an ester of erythromycin suitable for oral administration. Erythromycin ethylsuccinate is known chemically as erythromycin 2'-(ethylsuccinate). The molecular formula is C43H75NO16 and the molecular weight is 862.06. The structural formula is:

E.E.S. Granules are intended for reconstitution with water. Each 5-mL teaspoonful of reconstituted cherry-flavored suspension contains erythromycin ethylsuccinate equivalent to 200 mg of erythromycin.

The pleasant tasting, fruit-flavored liquids are supplied ready for oral administration.

E.E.S. 200 Liquid: Each 5-mL teaspoonful of fruit-flavored suspension contains erythromycin ethylsuccinate equivalent to 200 mg of erythromycin.

E.E.S. 400 Liquid: Each 5-mL teaspoonful of orange-flavored suspension contains erythromycin ethylsuccinate equivalent to 400 mg of erythromycin.

Granules and ready-made suspensions are intended primarily for pediatric use but can also be used in adults.

E.E.S. 400 film-coated tablets: Each tablet contains erythromycin ethylsuccinate equivalent to 400 mg of erythromycin.

The film-coated tablets are intended primarily for adults or older children.

How Supplied (HOW SUPPLIED)

E.E.S. Granules 200 mg per 5 mL (erythromycin ethylsuccinate for oral suspension, USP) are pink granules with a cherry aroma and are supplied in

100-mL (NDC 80005-152-18) and 200-mL (NDC 80005-153-34) size bottles. Following reconstitution E.E.S. Granules become a pink opaque suspension with a cherry aroma.

E.E.S. 400 film-coated tablets (erythromycin ethylsuccinate tablets, USP) 400 mg, are supplied as pink oval tablets imprinted with the two letter

designation, EE, in:

Bottles of 30 (NDC 80005-161-08)

Bottles of 100 (NDC 80005-162-11)

Geriatric Use:

Elderly patients, particularly those with reduced renal or hepatic function, may be at increased risk for developing erythromycin-induced hearing loss (see ADVERSE REACTIONS and DOSAGE AND ADMINISTRATION ).

Elderly patients may be more susceptible to the development of torsades de pointes arrhythmias than younger patients (see WARNINGS ).

Elderly patients may experience increased effects of oral anticoagulant therapy while undergoing treatment with erythromycin (see PRECAUTIONS – Drug Interactions ).

E.E.S.® Granules contains 25.9 mg (1.1 mEq) of sodium per individual dose.

The geriatric population may respond with a blunted natriuresis to salt loading. This may be clinically important with regard to such diseases as congestive heart failure.

E.E.S. 400 film-coated contains 47 mg (2 mEq) of sodium per tablet and 10.0 mg (0.3 mEq) of potassium per tablet.

Pediatric Use:
Nursing Mothers:

Erythromycin is excreted in human milk. Caution should be exercised when erythromycin is administered to a nursing woman.

Adverse Reactions (ADVERSE REACTIONS)

The most frequent side effects of oral erythromycin preparations are gastrointestinal and are dose-related. They include nausea, vomiting, abdominal pain, diarrhea and anorexia. Symptoms of hepatitis, hepatic dysfunction and/or abnormal liver function test results may occur (see WARNINGS section).

Onset of pseudomembranous colitis symptoms may occur during or after antibacterial treatment (see WARNINGS section).

Erythromycin has been associated with QT prolongation and ventricular arrhythmias, including ventricular tachycardia and torsades de pointes (see WARNINGS ).

Allergic reactions ranging from urticaria to anaphylaxis have occurred. Skin reactions ranging from mild eruptions to erythema multiforme, Stevens-Johnson syndrome, and toxic epidermal necrolysis have been reported rarely.

There have been reports of interstitial nephritis coincident with erythromycin use.

There have been rare reports of pancreatitis and convulsions.

There have been isolated reports of reversible hearing loss occurring chiefly in patients with renal insufficiency and in patients receiving high doses of erythromycin.

Contraindications (CONTRAINDICATIONS)

Erythromycin is contraindicated in patients with known hypersensitivity to this antibiotic.

Erythromycin is contraindicated in patients taking terfenadine, astemizole, pimozide, or cisapride (see PRECAUTIONS – Drug Interactions ).

Do not use erythromycin concomitantly with HMG CoA reductase inhibitors (statins) that are extensively metabolized by CYP 3A4 (lovastatin or simvastatin), due to the increased risk of myopathy, including rhabdomyolysis.

Labor and Delivery:

The effect of erythromycin on labor and delivery is unknown.

For Use in Pertussis

Although optimal dosage and duration have not been established, doses of erythromycin utilized in reported clinical studies were 40 to 50 mg/kg/day, given in divided doses for 5 to 14 days.

Recommended Storage:

Store below 86°F (30°C).

Store granules, before mixing, below 86°F (30°C). After mixing, store in the refrigerator and use within 10 days.

Clinical Pharmacology (CLINICAL PHARMACOLOGY)

Orally administered erythromycin ethylsuccinate suspensions and film-coated tablets are readily and reliably absorbed. Comparable serum levels of erythromycin are achieved in the fasting and nonfasting states.

Erythromycin diffuses readily into most body fluids. Only low concentrations are normally achieved in the spinal fluid, but passage of the drug across the blood-brain barrier increases in meningitis. In the presence of normal hepatic function, erythromycin is concentrated in the liver and excreted in the bile; the effect of hepatic dysfunction on excretion of erythromycin by the liver into the bile is not known. Less than 5 percent of the orally administered dose of erythromycin is excreted in active form in the urine.

Erythromycin crosses the placental barrier, but fetal plasma levels are low. The drug is excreted in human milk.

Indications and Usage (INDICATIONS AND USAGE)

To reduce the development of drug-resistant bacteria and maintain the effectiveness of E.E.S. and other antibacterial drugs, E.E.S. should be used only to treat or prevent infections that are proven or strongly suspected to be caused by susceptible bacteria. When culture and susceptibility information are available, they should be considered in selecting or modifying antibacterial therapy. In the absence of such data, local epidemiology and susceptibility patterns may contribute to the empiric selection of therapy.

E.E.S. is indicated in the treatment of infections caused by susceptible strains of the designated organisms in the diseases listed below:

Upper respiratory tract infections of mild to moderate degree caused by Streptococcus pyogenes, Streptococcus pneumoniae, or Haemophilus influenzae (when used concomitantly with adequate doses of sulfonamides, since many strains of H. influenzae are not susceptible to the erythromycin concentrations ordinarily achieved). (See appropriate sulfonamide labeling for prescribing information.)

Lower-respiratory tract infections of mild to moderate severity caused by Streptococcus pneumoniae or Streptococcus pyogenes.

Listeriosis caused by Listeria monocytogenes.

Pertussis (whooping cough) caused by Bordetella pertussis. Erythromycin is effective in eliminating the organism from the nasopharynx of infected individuals rendering them noninfectious. Some clinical studies suggest that erythromycin may be helpful in the prophylaxis of pertussis in exposed susceptible individuals.

Respiratory tract infections due to Mycoplasma pneumoniae.

Skin and skin structure infections of mild to moderate severity caused by Streptococcus pyogenes or Staphylococcus aureus (resistant staphylococci may emerge during treatment).

Diphtheria: Infections due to Corynebacterium diphtheriae, as an adjunct to antitoxin, to prevent establishment of carriers and to eradicate the organism in carriers.

Erythrasma: In the treatment of infections due to Corynebacterium minutissimum.

Intestinal amebiasis caused by Entamoeba histolytica (oral erythromycins only). Extraenteric amebiasis requires treatment with other agents.

Acute pelvic inflammatory disease caused by Neisseria gonorrhoeae: As an alternative drug in treatment of acute pelvic inflammatory disease caused by N. gonorrhoeae in female patients with a history of sensitivity to penicillin. Patients should have a serologic test for syphilis before receiving erythromycin as treatment of gonorrhea and a follow-up serologic test for syphilis after 3 months.

Syphilis caused by Treponema pallidum: Erythromycin is an alternate choice of treatment for primary syphilis in patients allergic to the penicillins. In treatment of primary syphilis, spinal fluid examinations should be done before treatment and as part of follow-up after therapy.

Erythromycins are indicated for the treatment of the following infections caused by Chlamydia trachomatis: conjunctivitis of the newborn, pneumonia of infancy, and urogenital infections during pregnancy. When tetracyclines are contraindicated or not tolerated, erythromycin is indicated for the treatment of uncomplicated urethral, endocervical, or rectal infections in adults due to Chlamydia trachomatis.

When tetracyclines are contraindicated or not tolerated, erythromycin is indicated for the treatment of nongonococcal urethritis caused by Ureaplasma urealyticum.

Legionnaires' Disease caused by Legionella pneumophila: Although no controlled clinical efficacy studies have been conducted, in vitro and limited preliminary clinical data suggest that erythromycin may be effective in treating Legionnaires' Disease.

Inactive Ingredients:

E.E.S. Granules: Citric acid, FD&C Red No. 3, magnesium aluminum silicate, sodium carboxymethylcellulose, sodium citrate, sucrose and artificial flavor.

E.E.S. 400 film-coated tablets: Confectioner's sugar (contains corn starch), corn starch, FD&C Red No. 40, magnesium stearate, polacrilin potassium, sodium citrate and Opadry® Pink 321A140035 (consists of the following ingredients: D&C Red #30, D&C Yellow #10, glycerol monocaprylocaprate, Macrogol (PEG) Polyvinyl Alcohol Graft Copolymer, polyvinyl alcohol partially hydrolyzed, talc and titanium dioxide).

E.E.S. 200 Liquid: FD&C Red No. 40, methylparaben, polysorbate 60, propylparaben, sodium citrate, sucrose, water, xanthan gum and natural and artificial flavors.

E.E.S. 400 Liquid: D&C Yellow No. 10, FD&C Yellow No. 6, methylparaben, polysorbate 60, propylparaben, sodium citrate, sucrose, water, xanthan gum and natural and artificial flavors.

Information for Patients

Patients should be counseled that antibacterial drugs, including E.E.S., should only be used to treat bacterial infections. They do not treat viral infections (e.g., the common cold). When E.E.S. is prescribed to treat a bacterial infection, patients should be told that although it is common to feel better early in the course of therapy, the medication should be taken exactly as directed. Skipping doses or not completing the full course of therapy may (1) decrease the effectiveness of the immediate treatment and (2) increase the likelihood that bacteria will develop resistance and will not be treatable by E.E.S. or other antibacterial drugs in the future.

Diarrhea is a common problem caused by antibiotics which usually ends when the antibiotic is discontinued. Sometimes after starting treatment with antibiotics, patients can develop watery and bloody stools (with or without stomach cramps and fever) even as late as two or more months after having taken the last dose of the antibiotic. If this occurs, patients should contact their physician as soon as possible.

Dosage and Administration (DOSAGE AND ADMINISTRATION)

Erythromycin ethylsuccinate suspensions and film-coated tablets may be administered without regard to meals.

Drug/laboratory Test Interactions: (Drug/Laboratory Test Interactions:)

Erythromycin interferes with the fluorometric determination of urinary catecholamines.

For Treatment of Legionnaires' Disease

Although optimal doses have not been established, doses utilized in reported clinical data were those recommended above (1.6 to 4 g daily in divided doses).

Principal Display Panel 5 Ml Bottle Label (PRINCIPAL DISPLAY PANEL - 5 mL Bottle Label)

NDC 80005-153-34)

200 mL(when mixed)

For Oral Suspension

E.E.S. ® Granules

ERYTHROMYCIN

ETHYLSUCCINATE FOR

ORAL SUSPENSION, USP

Erythromycin activity

200 mg per 5 mL


when reconstituted

Rx only

Principal Display Panel 100 Ml Bottle Label (PRINCIPAL DISPLAY PANEL - 100 mL Bottle Label)

NDC 80005-152-18

100 mL(when mixed)

For Oral Suspension

E.E.S. ® Granules

ERYTHROMYCIN

ETHYLSUCCINATE FOR

ORAL SUSPENSION, USP

Erythromycin activity

200 mg per 5 mL


when reconstituted

Rx only

Carnegie Pharma

For Treatment of Urethritis Due to C. Trachomatis (For Treatment of Urethritis Due to C. trachomatis)

800 mg three times a day for 7 days.

Principal Display Panel 400 Mg Tablet Bottle Label (PRINCIPAL DISPLAY PANEL - 400 mg Tablet Bottle Label)

NDC 80005-161-08

30 Tablets

E.E.S. 400®

Film-coated Tablets

ERYTHROMYCIN

ETHYLSUCCINATE

TABLETS, USP

400 mg

Erythromycin

activity

Rx only

Carnegie Pharma

Carcinogenesis, Mutagenesis, Impairment of Fertility:

Long-term oral dietary studies conducted with erythromycin stearate in rats up to 400 mg/kg/day and in mice up to about 500 mg/kg/day (approximately 1 to 2 fold of the maximum human dose on a body surface area basis) did not provide evidence of tumorigenicity. Erythromycin stearate did not show genotoxic potential in the Ames, and mouse lymphoma assays or induce chromosomal aberrations in CHO cells. There was no apparent effect on male or female fertility in rats treated with erythromycin base by oral gavage at 700 mg/kg/day (approximately 3 times the maximum human dose on a body surface area basis).


Advanced Ingredient Data


Raw Label Data

All Sections (JSON)