These Highlights Do Not Include All The Information Needed To Use Tri-lo-estarylla Safely And Effectively. See Full Prescribing Information For Tri-lo-estarylla.

These Highlights Do Not Include All The Information Needed To Use Tri-lo-estarylla Safely And Effectively. See Full Prescribing Information For Tri-lo-estarylla.
SPL v104
SPL
SPL Set ID 90f7ab24-7839-4408-9a74-07bb6a79eacc
Route
ORAL
Published
Effective Date 2024-05-21
Document Type 34391-3 HUMAN PRESCRIPTION DRUG LABEL

Drug Facts

Composition & Product

Active Ingredients
Norgestimate (0.18 mg) Ethinyl Estradiol (0.025 mg)
Inactive Ingredients
Crospovidone (120 .mu.m) Anhydrous Lactose Magnesium Stearate Polyethylene Glycol, Unspecified Polyvinyl Alcohol, Unspecified Starch, Corn Talc Titanium Dioxide Fd&c Blue No. 2 Fd&c Blue No. 1 Fd&c Yellow No. 5 Fd&c Yellow No. 6 Lecithin, Soybean

Identifiers & Packaging

Marketing Status
ANDA Active Since 2018-01-01

Description

Cigarette smoking increases the risk of serious cardiovascular events from combination oral contraceptive (COC) use. This risk increases with age, particularly in women over 35 years of age, and with the number of cigarettes smoked. For this reason, COCs are contraindicated in women who are over 35 years of age and smoke [see CONTRAINDICATIONS (4) ].

Indications and Usage

Tri-Lo-Estarylla (norgestimate and ethinyl estradiol tablets) is an estrogen/progestin COC, indicated for use by women to prevent pregnancy. ( 1.1 )

Dosage and Administration

• Take one tablet daily by mouth at the same time every day. ( 2.2 ) • Take tablets in the order directed on the blister pack. ( 2.2 ) • Do not skip or delay tablet intake. ( 2.2 )

Warnings and Precautions

• Thromboembolic Disorders and Other Vascular Problems: Stop norgestimate and ethinyl estradiol if a thrombotic event occurs. Stop at least 4 weeks before and through 2 weeks after major surgery. Start no earlier than 4 weeks after delivery, in women who are not breastfeeding. ( 5.1 ) • Liver disease: Discontinue norgestimate and ethinyl estradiol if jaundice occurs. ( 5.2 ) • High blood pressure: If used in women with well-controlled hypertension, monitor blood pressure and stop norgestimate and ethinyl estradiol if blood pressure rises significantly. ( 5.4 ) • Carbohydrate and lipid metabolic effects: Monitor prediabetic and diabetic women taking norgestimate and ethinyl estradiol. Consider an alternate contraceptive method for women with uncontrolled dyslipidemia. ( 5.6 ) • Headache: Evaluate significant change in headaches and discontinue norgestimate and ethinyl estradiol if indicated. ( 5.7 ) • Bleeding Irregularities and Amenorrhea: Evaluate irregular bleeding or amenorrhea. ( 5.8 )

Contraindications

Tri-Lo-Estarylla is contraindicated in females who are known to have or develop the following conditions: • A high risk of arterial or venous thrombotic diseases. Examples include women who are known to: • Smoke, if over age 35 [see BOXED WARNING and WARNINGS AND PRECAUTIONS (5.1) ] • Have deep vein thrombosis or pulmonary embolism, now or in the past [see WARNINGS AND PRECAUTIONS (5.1) ] • Have inherited or acquired hypercoagulopathies [see WARNINGS AND PRECAUTIONS (5.1) ] • Have cerebrovascular disease [see WARNINGS AND PRECAUTIONS (5.1) ] • Have coronary artery disease [see WARNINGS AND PRECAUTIONS (5.1) ] • Have thrombogenic valvular or thrombogenic rhythm diseases of the heart (for example, subacute bacterial endocarditis with valvular disease, or atrial fibrillation) [see WARNINGS AND PRECAUTIONS (5.1) ] • Have uncontrolled hypertension [see WARNINGS AND PRECAUTIONS (5.4) ] • Have diabetes mellitus with vascular disease [see WARNINGS AND PRECAUTIONS (5.6) ] • Have headaches with focal neurological symptoms or migraine headaches with aura [see WARNINGS AND PRECAUTIONS (5.7) ] ▪ Women over age 35 with any migraine headaches [see WARNINGS AND PRECAUTIONS (5.7) ] • Liver tumors, benign or malignant, or liver disease [see WARNINGS AND PRECAUTIONS (5.2) ] • Undiagnosed abnormal uterine bleeding [see WARNINGS AND PRECAUTIONS (5.8) ] • Pregnancy, because there is no reason to use COCs during pregnancy [see WARNINGS AND PRECAUTIONS (5.9) and USE IN SPECIFIC POPULATIONS (8.1) ] • Current diagnosis of, or history of, breast cancer, which may be hormone-sensitive [see WARNINGS AND PRECAUTIONS (5.11) ] • Use of Hepatitis C drug combinations containing ombitasvir/paritaprevir/ritonavir, with or without dasabuvir, due to the potential for ALT elevations [see WARNINGS AND PRECAUTIONS (5.3) ]

Adverse Reactions

Serious Adverse Reactions Carcinoma of the cervix in situ (1 subject) and cervical dysplasia (1 subject).

Drug Interactions

Consult the labeling of concurrently used drugs to obtain further information about interactions with hormonal contraceptives or the potential for enzyme alterations. No drug-drug interaction studies were conducted with norgestimate and ethinyl estradiol.

Storage and Handling

16.1 How Supplied Norgestimate and Ethinyl Estradiol tablets, USP are available in a blister card: Each blister card (28 tablets) contains in the following order: 7 white, round, coated tablets imprinted "SZ" on one side and "T5" on the other side contains 0.18 mg of the progestational compound, norgestimate, together with 0.025 mg of the estrogenic compound, ethinyl estradiol. 7 light blue, round, coated tablets imprinted "SZ" on one side and "T6" on the other side contains 0.215 mg of the progestational compound, norgestimate, together with 0.025 mg of the estrogenic compound, ethinyl estradiol. 7 blue, round, coated tablets imprinted "SZ" on one side and "T7" on the other side contains 0.25 mg of the progestational compound, norgestimate, together with 0.025 mg of the estrogenic compound, ethinyl estradiol. 7 green, round, coated tablets imprinted "SZ" on one side and "J1" on the other side contains inert ingredients. NDC 63629-2351-1, one box containing 3 individual unit cartons 16.2 Storage Conditions Store at 20° to 25°C (68° to 77°F) [see USP Controlled Room Temperature]. Protect from light. Keep out of the reach of children. Repackaged/Relabeled by: Bryant Ranch Prepack, Inc. Burbank, CA 91504

How Supplied

16.1 How Supplied Norgestimate and Ethinyl Estradiol tablets, USP are available in a blister card: Each blister card (28 tablets) contains in the following order: 7 white, round, coated tablets imprinted "SZ" on one side and "T5" on the other side contains 0.18 mg of the progestational compound, norgestimate, together with 0.025 mg of the estrogenic compound, ethinyl estradiol. 7 light blue, round, coated tablets imprinted "SZ" on one side and "T6" on the other side contains 0.215 mg of the progestational compound, norgestimate, together with 0.025 mg of the estrogenic compound, ethinyl estradiol. 7 blue, round, coated tablets imprinted "SZ" on one side and "T7" on the other side contains 0.25 mg of the progestational compound, norgestimate, together with 0.025 mg of the estrogenic compound, ethinyl estradiol. 7 green, round, coated tablets imprinted "SZ" on one side and "J1" on the other side contains inert ingredients. NDC 63629-2351-1, one box containing 3 individual unit cartons 16.2 Storage Conditions Store at 20° to 25°C (68° to 77°F) [see USP Controlled Room Temperature]. Protect from light. Keep out of the reach of children. Repackaged/Relabeled by: Bryant Ranch Prepack, Inc. Burbank, CA 91504

Patient Information

Tri-Lo-Estarylla ® (norgestimate and ethinyl estradiol tablets, USP) (nor-JES-ti-mate, ETH-i-nil es-tra-DYE-ol) What is the most important information I should know about Tri-Lo-Estarylla? Do not use Tri-Lo-Estarylla if you smoke cigarettes and are over 35 years old. Smoking increases your risk of serious cardiovascular side effects from hormonal birth control pills, including death from heart attack, blood clots or stroke. This risk increases with age and the number of cigarettes you smoke. What is Tri-Lo-Estarylla? Tri-Lo-Estarylla is a birth control pill (oral contraceptive) used by women to prevent pregnancy. How does Tri-Lo-Estarylla work for contraception? Your chance of getting pregnant depends on how well you follow the directions for taking your birth control pills. The better you follow the directions, the less chance you have of getting pregnant. Based on the results from the clinical study, about 3 out of 100 women may get pregnant during the first year they use Tri-Lo-Estarylla . The following chart shows the chance of getting pregnant for women who use different methods of birth control. Each box on the chart contains a list of birth control methods that are similar in effectiveness. The most effective methods are at the top of the chart. The box on the bottom of the chart shows the chance of getting pregnant for women who do not use birth control and are trying to get pregnant. Who should not take Tri-Lo-Estarylla? Do not take Tri-Lo-Estarylla if you: • smoke and are over 35 years of age • had blood clots in your arms, legs, lungs, or eyes • had a problem with your blood that makes it clot more than normal • have certain heart valve problems or irregular heart beat that increases your risk of having blood clots • had a stroke • had a heart attack • have high blood pressure that cannot be controlled by medicine • have diabetes with kidney, eye, nerve, or blood vessel damage • have certain kinds of severe migraine headaches with aura, numbness, weakness or changes in vision, or any migraine headaches if you are over 35 years of age • have liver problems, including liver tumors • take any Hepatitis C drug combination containing ombitasvir/paritaprevir/ritonavir, with or without dasabuvir. This may increase levels of the liver enzyme “alanine aminotransferase” (ALT) in the blood. • have any unexplained vaginal bleeding • are pregnant • had breast cancer or any cancer that is sensitive to female hormones If any of these conditions happen while you are taking Tri-Lo-Estarylla, stop taking Tri-Lo-Estarylla right away and talk to your healthcare provider. Use non-hormonal contraception when you stop taking Tri-Lo-Estarylla. What should I tell my healthcare provider before taking Tri-Lo-Estarylla? Tell your healthcare provider if you: • are pregnant or think you may be pregnant • are depressed now or have been depressed in the past • had yellowing of your skin or eyes (jaundice) caused by pregnancy (cholestasis of pregnancy) • are breastfeeding or plan to breastfeed. Tri-Lo-Estarylla may decrease the amount of breast milk you make. A small amount of the hormones in Tri-Lo-Estarylla may pass into your breast milk. Talk to your healthcare provider about the best birth control method for you while breastfeeding. Tell your healthcare provider about all the medicines you take, including prescription and over-the-counter medicines, vitamins and herbal supplements. Tri-Lo-Estarylla may affect the way other medicines work, and other medicines may affect how well Tri-Lo-Estarylla works. Know the medicines you take. Keep a list of them to show your healthcare provider and pharmacist when you get a new medicine. How should I take Tri-Lo-Estarylla? Read the Instructions for Use at the end of this Patient Information. What are the possible serious side effects of Tri-Lo-Estarylla? • Like pregnancy, Tri-Lo-Estarylla may cause serious side effects, including blood clots in your lungs, heart attack, or a stroke that may lead to death. Some other examples of serious blood clots include blood clots in the legs or eyes. Serious blood clots can happen especially if you smoke, are obese, or are older than 35 years of age. Serious blood clots are more likely to happen when you: • first start taking birth control pills • restart the same or different birth control pills after not using them for a month or more Call your healthcare provider or go to a hospital emergency room right away if you have: • leg pain that will not go away • sudden severe shortness of breath • sudden change in vision or blindness • chest pain • a sudden, severe headache unlike your usual headaches • weakness or numbness in your arm or leg • trouble speaking Other serious side effects include: • liver problems, including: o rare liver tumors o jaundice (cholestasis), especially if you previously had cholestasis of pregnancy. Call your healthcare provider if you have yellowing of your skin or eyes. • high blood pressure. You should see your healthcare provider for a yearly check of your blood pressure. • gallbladder problems • changes in the sugar and fat (cholesterol and triglycerides) levels in your blood • new or worsening headaches including migraine headaches • irregular or unusual vaginal bleeding and spotting between your menstrual periods, especially during the first 3 months of taking Tri-Lo-Estarylla . • depression • possible cancer in your breast and cervix • swelling of your skin especially around your mouth, eyes, and in your throat (angioedema). Call your healthcare provider if you have a swollen face, lips, mouth tongue or throat, which may lead to difficulty swallowing or breathing. Your chance of having angioedema if higher is you have a history of angioedema. • dark patches of skin around your forehead, nose, cheeks and around your mouth, especially during pregnancy (chloasma). Women who tend to get chloasma should avoid spending a long time in sunlight, tanning booths, and under sun lamps while taking Tri-Lo-Estarylla. Use sunscreen if you have to be in the sunlight. What are the most common side effects of Tri-Lo-Estarylla? • headache (including migraine • nausea and vomiting • breast problems o tenderness, pain and discomfort o enlargement and swelling o discharge o nipple pain • stomach pain • pain with your periods (menstrual cycle) • mood changes, including depression • acne • vaginal infections • bloating • weight gain • fatigue These are not all the possible side effects of Tri-Lo-Estarylla. For more information, ask your healthcare provider or pharmacist. You may report side effects to the FDA at 1-800-FDA-1088. What else should I know about taking Tri-Lo-Estarylla? • If you are scheduled for any lab tests, tell your healthcare provider you are taking Tri-Lo-Estarylla. Certain blood tests may be affected by Tri-Lo-Estarylla. • Tri-Lo-Estarylla does not protect against HIV infection (AIDS) and other sexually transmitted infections. How should I store Tri-Lo-Estarylla? • Store Tri-Lo-Estarylla at room temperature between 68°F to 77°F (20°C to 25°C). • Keep Tri-Lo-Estarylla and all medicines out of the reach of children. • Store away from light. General information about the safe and effective use of Tri-Lo-Estarylla . Medicines are sometimes prescribed for purposes other than those listed in a Patient Information leaflet. Do not use Tri-Lo-Estarylla for a condition for which it was not prescribed. Do not give Tri-Lo-Estarylla to other people, even if they have the same symptoms that you have. This Patient Information summarizes the most important information about Tri-Lo-Estarylla. You can ask your pharmacist or healthcare provider for information about Tri-Lo-Estarylla that is written for health professionals. For more information, call Xiromed, LLC. at 1-844-XIROMED (844-947-6633). Does hormonal birth control cause cancer? It is not known if hormonal birth control pills causes breast cancer. Some studies, but not all, suggest that there could be a slight increase in the risk of breast cancer among current users with longer duration of use.If you have breast cancer now, or have had it in the past, do not use hormonal birth control because some breast cancers are sensitive to hormones. Women who use birth control pills may have a slightly higher chance of getting cervical cancer. However, this may be due to other reasons such as having more sexual partners. What if I want to become pregnant? You may stop taking the pill whenever you wish. Consider a visit with your healthcare provider for a pre-pregnancy checkup before you stop taking the pill. What should I know about my period when taking Tri-Lo-Estarylla? Your periods may be lighter and shorter than usual. Some women may miss a period. Irregular vaginal bleeding or spotting may happen while you are taking Tri-Lo-Estarylla, especially during the first few months of use. This usually is not a serious problem. It is important to continue taking your pills on a regular schedule to prevent a pregnancy. What are the ingredients in Tri-Lo-Estarylla? Active ingredients: Each white, light blue, and blue pill contains norgestimate and ethinyl estradiol. Inactive ingredients: White tablet: crospovidone, lactose anhydrous, magnesium stearate, polyethylene glycol, polyvinyl alcohol, pregelatinised starch, talc, and titanium dioxide. Light blue tablet: crospovidone, FD&C Blue No.2 indigo carmine aluminum lake, FD&C Blue No.1 brilliant blue aluminum lake, FD&C Yellow No.5 tartrazine aluminum lake, lactose anhydrous, magnesium stearate, polyethylene glycol, polyvinyl alcohol, pregelatinised starch, talc, and titanium dioxide. Blue tablet: crospovidone, FD&C Blue No.2 indigo carmine aluminum lake, FD&C Blue No.1 brilliant blue aluminum lake, FD&C Yellow No.6 sunset yellow fcf aluminum lake, lactose anhydrous, magnesium stearate, polyethylene glycol, polyvinyl alcohol, pregelatinised starch, talc, and titanium dioxide. Green tablet: crospovidone, FD&C Blue No.2 indigo carmine aluminum lake, FD&C Yellow No.5 tartrazine aluminum lake, lactose anhydrous, lecithin (soya), magnesium stearate, polyethylene glycol, polyvinyl alcohol, pregelatinised starch, talc, and titanium dioxide.


Medication Information

Recent Major Changes



Warnings and Precautions (5.11)  11/2021

Warnings and Precautions

• Thromboembolic Disorders and Other Vascular Problems: Stop norgestimate and ethinyl estradiol if a thrombotic event occurs. Stop at least 4 weeks before and through 2 weeks after major surgery. Start no earlier than 4 weeks after delivery, in women who are not breastfeeding. ( 5.1 ) • Liver disease: Discontinue norgestimate and ethinyl estradiol if jaundice occurs. ( 5.2 ) • High blood pressure: If used in women with well-controlled hypertension, monitor blood pressure and stop norgestimate and ethinyl estradiol if blood pressure rises significantly. ( 5.4 ) • Carbohydrate and lipid metabolic effects: Monitor prediabetic and diabetic women taking norgestimate and ethinyl estradiol. Consider an alternate contraceptive method for women with uncontrolled dyslipidemia. ( 5.6 ) • Headache: Evaluate significant change in headaches and discontinue norgestimate and ethinyl estradiol if indicated. ( 5.7 ) • Bleeding Irregularities and Amenorrhea: Evaluate irregular bleeding or amenorrhea. ( 5.8 )

Indications and Usage

Tri-Lo-Estarylla (norgestimate and ethinyl estradiol tablets) is an estrogen/progestin COC, indicated for use by women to prevent pregnancy. ( 1.1 )

Dosage and Administration

• Take one tablet daily by mouth at the same time every day. ( 2.2 ) • Take tablets in the order directed on the blister pack. ( 2.2 ) • Do not skip or delay tablet intake. ( 2.2 )

Contraindications

Tri-Lo-Estarylla is contraindicated in females who are known to have or develop the following conditions: • A high risk of arterial or venous thrombotic diseases. Examples include women who are known to: • Smoke, if over age 35 [see BOXED WARNING and WARNINGS AND PRECAUTIONS (5.1) ] • Have deep vein thrombosis or pulmonary embolism, now or in the past [see WARNINGS AND PRECAUTIONS (5.1) ] • Have inherited or acquired hypercoagulopathies [see WARNINGS AND PRECAUTIONS (5.1) ] • Have cerebrovascular disease [see WARNINGS AND PRECAUTIONS (5.1) ] • Have coronary artery disease [see WARNINGS AND PRECAUTIONS (5.1) ] • Have thrombogenic valvular or thrombogenic rhythm diseases of the heart (for example, subacute bacterial endocarditis with valvular disease, or atrial fibrillation) [see WARNINGS AND PRECAUTIONS (5.1) ] • Have uncontrolled hypertension [see WARNINGS AND PRECAUTIONS (5.4) ] • Have diabetes mellitus with vascular disease [see WARNINGS AND PRECAUTIONS (5.6) ] • Have headaches with focal neurological symptoms or migraine headaches with aura [see WARNINGS AND PRECAUTIONS (5.7) ] ▪ Women over age 35 with any migraine headaches [see WARNINGS AND PRECAUTIONS (5.7) ] • Liver tumors, benign or malignant, or liver disease [see WARNINGS AND PRECAUTIONS (5.2) ] • Undiagnosed abnormal uterine bleeding [see WARNINGS AND PRECAUTIONS (5.8) ] • Pregnancy, because there is no reason to use COCs during pregnancy [see WARNINGS AND PRECAUTIONS (5.9) and USE IN SPECIFIC POPULATIONS (8.1) ] • Current diagnosis of, or history of, breast cancer, which may be hormone-sensitive [see WARNINGS AND PRECAUTIONS (5.11) ] • Use of Hepatitis C drug combinations containing ombitasvir/paritaprevir/ritonavir, with or without dasabuvir, due to the potential for ALT elevations [see WARNINGS AND PRECAUTIONS (5.3) ]

Adverse Reactions

Serious Adverse Reactions Carcinoma of the cervix in situ (1 subject) and cervical dysplasia (1 subject).

Drug Interactions

Consult the labeling of concurrently used drugs to obtain further information about interactions with hormonal contraceptives or the potential for enzyme alterations. No drug-drug interaction studies were conducted with norgestimate and ethinyl estradiol.

Storage and Handling

16.1 How Supplied Norgestimate and Ethinyl Estradiol tablets, USP are available in a blister card: Each blister card (28 tablets) contains in the following order: 7 white, round, coated tablets imprinted "SZ" on one side and "T5" on the other side contains 0.18 mg of the progestational compound, norgestimate, together with 0.025 mg of the estrogenic compound, ethinyl estradiol. 7 light blue, round, coated tablets imprinted "SZ" on one side and "T6" on the other side contains 0.215 mg of the progestational compound, norgestimate, together with 0.025 mg of the estrogenic compound, ethinyl estradiol. 7 blue, round, coated tablets imprinted "SZ" on one side and "T7" on the other side contains 0.25 mg of the progestational compound, norgestimate, together with 0.025 mg of the estrogenic compound, ethinyl estradiol. 7 green, round, coated tablets imprinted "SZ" on one side and "J1" on the other side contains inert ingredients. NDC 63629-2351-1, one box containing 3 individual unit cartons 16.2 Storage Conditions Store at 20° to 25°C (68° to 77°F) [see USP Controlled Room Temperature]. Protect from light. Keep out of the reach of children. Repackaged/Relabeled by: Bryant Ranch Prepack, Inc. Burbank, CA 91504

How Supplied

16.1 How Supplied Norgestimate and Ethinyl Estradiol tablets, USP are available in a blister card: Each blister card (28 tablets) contains in the following order: 7 white, round, coated tablets imprinted "SZ" on one side and "T5" on the other side contains 0.18 mg of the progestational compound, norgestimate, together with 0.025 mg of the estrogenic compound, ethinyl estradiol. 7 light blue, round, coated tablets imprinted "SZ" on one side and "T6" on the other side contains 0.215 mg of the progestational compound, norgestimate, together with 0.025 mg of the estrogenic compound, ethinyl estradiol. 7 blue, round, coated tablets imprinted "SZ" on one side and "T7" on the other side contains 0.25 mg of the progestational compound, norgestimate, together with 0.025 mg of the estrogenic compound, ethinyl estradiol. 7 green, round, coated tablets imprinted "SZ" on one side and "J1" on the other side contains inert ingredients. NDC 63629-2351-1, one box containing 3 individual unit cartons 16.2 Storage Conditions Store at 20° to 25°C (68° to 77°F) [see USP Controlled Room Temperature]. Protect from light. Keep out of the reach of children. Repackaged/Relabeled by: Bryant Ranch Prepack, Inc. Burbank, CA 91504

Patient Information

Tri-Lo-Estarylla ®

(norgestimate and ethinyl estradiol tablets, USP)

(nor-JES-ti-mate, ETH-i-nil es-tra-DYE-ol)

What is the most important information I should know about Tri-Lo-Estarylla?

Do not use Tri-Lo-Estarylla if you smoke cigarettes and are over 35 years old. Smoking increases your risk of serious cardiovascular side effects from hormonal birth control pills, including death from heart attack, blood clots or stroke. This risk increases with age and the number of cigarettes you smoke.

What is Tri-Lo-Estarylla?

Tri-Lo-Estarylla is a birth control pill (oral contraceptive) used by women to prevent pregnancy.

How does Tri-Lo-Estarylla work for contraception?

Your chance of getting pregnant depends on how well you follow the directions for taking your birth control pills. The better you follow the directions, the less chance you have of getting pregnant.

Based on the results from the clinical study, about 3 out of 100 women may get pregnant during the first year they use Tri-Lo-Estarylla .

The following chart shows the chance of getting pregnant for women who use different methods of birth control. Each box on the chart contains a list of birth control methods that are similar in effectiveness. The most effective methods are at the top of the chart. The box on the bottom of the chart shows the chance of getting pregnant for women who do not use birth control and are trying to get pregnant.

Who should not take Tri-Lo-Estarylla?

Do not take Tri-Lo-Estarylla if you:

  • smoke and are over 35 years of age
  • had blood clots in your arms, legs, lungs, or eyes
  • had a problem with your blood that makes it clot more than normal
  • have certain heart valve problems or irregular heart beat that increases your risk of having blood clots
  • had a stroke
  • had a heart attack
  • have high blood pressure that cannot be controlled by medicine
  • have diabetes with kidney, eye, nerve, or blood vessel damage
  • have certain kinds of severe migraine headaches with aura, numbness, weakness or changes in vision, or any migraine headaches if you are over 35 years of age
  • have liver problems, including liver tumors
  • take any Hepatitis C drug combination containing ombitasvir/paritaprevir/ritonavir, with or without dasabuvir. This may increase levels of the liver enzyme “alanine aminotransferase” (ALT) in the blood.
  • have any unexplained vaginal bleeding
  • are pregnant
  • had breast cancer or any cancer that is sensitive to female hormones

If any of these conditions happen while you are taking Tri-Lo-Estarylla, stop taking Tri-Lo-Estarylla right away and talk to your healthcare provider. Use non-hormonal contraception when you stop taking Tri-Lo-Estarylla.

What should I tell my healthcare provider before taking Tri-Lo-Estarylla?

Tell your healthcare provider if you:

  • are pregnant or think you may be pregnant
  • are depressed now or have been depressed in the past
  • had yellowing of your skin or eyes (jaundice) caused by pregnancy (cholestasis of pregnancy)
  • are breastfeeding or plan to breastfeed. Tri-Lo-Estarylla may decrease the amount of breast milk you make. A small amount of the hormones in Tri-Lo-Estarylla may pass into your breast milk. Talk to your healthcare provider about the best birth control method for you while breastfeeding.

Tell your healthcare provider about all the medicines you take, including prescription and over-the-counter medicines, vitamins and herbal supplements.

Tri-Lo-Estarylla may affect the way other medicines work, and other medicines may affect how well Tri-Lo-Estarylla works.

Know the medicines you take. Keep a list of them to show your healthcare provider and pharmacist when you get a new medicine.

How should I take Tri-Lo-Estarylla?

Read the Instructions for Use at the end of this Patient Information.

What are the possible serious side effects of Tri-Lo-Estarylla?

  • Like pregnancy, Tri-Lo-Estarylla may cause serious side effects, including blood clots in your lungs, heart attack, or a stroke that may lead to death. Some other examples of serious blood clots include blood clots in the legs or eyes.

Serious blood clots can happen especially if you smoke, are obese, or are older than 35 years of age. Serious blood clots are more likely to happen when you:

  • first start taking birth control pills
  • restart the same or different birth control pills after not using them for a month or more

Call your healthcare provider or go to a hospital emergency room right away if you have:

  • leg pain that will not go away
  • sudden severe shortness of breath
  • sudden change in vision or blindness
  • chest pain
  • a sudden, severe headache unlike your usual headaches
  • weakness or numbness in your arm or leg
  • trouble speaking

Other serious side effects include:

  • liver problems, including:
    • o
      rare liver tumors
    • o
      jaundice (cholestasis), especially if you previously had cholestasis of pregnancy. Call your healthcare provider if you have yellowing of your skin or eyes.
  • high blood pressure. You should see your healthcare provider for a yearly check of your blood pressure.
  • gallbladder problems
  • changes in the sugar and fat (cholesterol and triglycerides) levels in your blood
  • new or worsening headaches including migraine headaches
  • irregular or unusual vaginal bleeding and spotting between your menstrual periods, especially during the first 3 months of taking Tri-Lo-Estarylla.
  • depression
  • possible cancer in your breast and cervix
  • swelling of your skin especially around your mouth, eyes, and in your throat (angioedema). Call your healthcare provider if you have a swollen face, lips, mouth tongue or throat, which may lead to difficulty swallowing or breathing. Your chance of having angioedema if higher is you have a history of angioedema.
  • dark patches of skin around your forehead, nose, cheeks and around your mouth, especially during pregnancy (chloasma). Women who tend to get chloasma should avoid spending a long time in sunlight, tanning booths, and under sun lamps while taking Tri-Lo-Estarylla. Use sunscreen if you have to be in the sunlight.

What are the most common side effects of Tri-Lo-Estarylla?

  • headache (including migraine
  • nausea and vomiting
  • breast problems
  • o
    tenderness, pain and discomfort
  • o
    enlargement and swelling
  • o
    discharge
  • o
    nipple pain
  • stomach pain
  • pain with your periods (menstrual cycle)
  • mood changes, including depression
  • acne
  • vaginal infections
  • bloating
  • weight gain
  • fatigue

These are not all the possible side effects of Tri-Lo-Estarylla. For more information, ask your healthcare provider or pharmacist.

You may report side effects to the FDA at 1-800-FDA-1088.

What else should I know about taking Tri-Lo-Estarylla?

  • If you are scheduled for any lab tests, tell your healthcare provider you are taking Tri-Lo-Estarylla. Certain blood tests may be affected by Tri-Lo-Estarylla.
  • Tri-Lo-Estarylla does not protect against HIV infection (AIDS) and other sexually transmitted infections.

How should I store Tri-Lo-Estarylla?

  • Store Tri-Lo-Estarylla at room temperature between 68°F to 77°F (20°C to 25°C).
  • Keep Tri-Lo-Estarylla and all medicines out of the reach of children.
  • Store away from light.

General information about the safe and effective use of Tri-Lo-Estarylla.

Medicines are sometimes prescribed for purposes other than those listed in a Patient Information leaflet. Do not use Tri-Lo-Estarylla for a condition for which it was not prescribed. Do not give Tri-Lo-Estarylla to other people, even if they have the same symptoms that you have.

This Patient Information summarizes the most important information about Tri-Lo-Estarylla. You can ask your pharmacist or healthcare provider for information about Tri-Lo-Estarylla that is written for health professionals.

For more information, call Xiromed, LLC. at 1-844-XIROMED (844-947-6633).

Does hormonal birth control cause cancer?

It is not known if hormonal birth control pills causes breast cancer. Some studies, but not all, suggest that there could be a slight increase in the risk of breast cancer among current users with longer duration of use.If you have breast cancer now, or have had it in the past, do not use hormonal birth control because some breast cancers are sensitive to hormones.

Women who use birth control pills may have a slightly higher chance of getting cervical cancer. However, this may be due to other reasons such as having more sexual partners.

What if I want to become pregnant?

You may stop taking the pill whenever you wish. Consider a visit with your healthcare provider for a pre-pregnancy checkup before you stop taking the pill.

What should I know about my period when taking Tri-Lo-Estarylla?

Your periods may be lighter and shorter than usual. Some women may miss a period. Irregular vaginal bleeding or spotting may happen while you are taking Tri-Lo-Estarylla, especially during the first few months of use. This usually is not a serious problem. It is important to continue taking your pills on a regular schedule to prevent a pregnancy.

What are the ingredients in Tri-Lo-Estarylla?

Active ingredients: Each white, light blue, and blue pill contains norgestimate and ethinyl estradiol.

Inactive ingredients:

White tablet: crospovidone, lactose anhydrous, magnesium stearate, polyethylene glycol, polyvinyl alcohol, pregelatinised starch, talc, and titanium dioxide.

Light blue tablet: crospovidone, FD&C Blue No.2 indigo carmine aluminum lake, FD&C Blue No.1 brilliant blue aluminum lake, FD&C Yellow No.5 tartrazine aluminum lake, lactose anhydrous, magnesium stearate, polyethylene glycol, polyvinyl alcohol, pregelatinised starch, talc, and titanium dioxide.

Blue tablet: crospovidone, FD&C Blue No.2 indigo carmine aluminum lake, FD&C Blue No.1 brilliant blue aluminum lake, FD&C Yellow No.6 sunset yellow fcf aluminum lake, lactose anhydrous, magnesium stearate, polyethylene glycol, polyvinyl alcohol, pregelatinised starch, talc, and titanium dioxide.

Green tablet: crospovidone, FD&C Blue No.2 indigo carmine aluminum lake, FD&C Yellow No.5 tartrazine aluminum lake, lactose anhydrous, lecithin (soya), magnesium stearate, polyethylene glycol, polyvinyl alcohol, pregelatinised starch, talc, and titanium dioxide.

Description

Cigarette smoking increases the risk of serious cardiovascular events from combination oral contraceptive (COC) use. This risk increases with age, particularly in women over 35 years of age, and with the number of cigarettes smoked. For this reason, COCs are contraindicated in women who are over 35 years of age and smoke [see CONTRAINDICATIONS (4) ].

Section 51945-4

Norgestimate and Ethinyl Estradiol Tablets, USP



0.18 mg/0.025 mg, 0.215 mg/0.025 mg, and 0.25 mg/0.025 mg

Excretion

Excretion

Following 3 cycles of administration of norgestimate and ethinyl estradiol, the mean (± SD) elimination half-life values, at steady-state, for NGMN, NG and EE were 28.1 (± 10.6) hours, 36.4 (± 10.2) hours and 17.7 (± 4.4) hours, respectively (Table 2). The metabolites of NGMN and EE are eliminated by renal and fecal pathways.

Absorption

Absorption

Norgestimate (NGM) and EE are rapidly absorbed following oral administration. NGM is rapidly and completely metabolized by first pass (intestinal and/or hepatic) mechanisms to norelgestromin (NGMN) and norgestrel (NG), which are the major active metabolites of NGM. Mean pharmacokinetic parameters for NGMN, NG and EE during three cycles of administration of norgestimate and ethinyl estradiol are summarized in Table 3.

Peak serum concentrations of NGMN and EE were generally reached by 2 hours after administration of norgestimate and ethinyl estradiol. Accumulation following multiple dosing of the 0.180 mg NGM / 0.025 mg EE dose is approximately 1.5 to 2 fold for NGMN and approximately 1.5 fold for EE compared with single dose administration, in agreement with that predicted based on linear kinetics of NGMN and EE. The pharmacokinetics of NGMN is dose proportional following NGM doses of 0.180 to 0.250 mg. Steady-state conditions for NGMN following each NGM dose and for EE were achieved during the three cycle study. Non-linear accumulation (4.5–14.5 fold) of NG was observed as a result of high affinity binding to SHBG, which limits its biological activity.

Table 3 Summary of NGMN, NG and EE pharmacokinetic parameters.

Table 3: Mean (SD) Pharmacokinetic Parameters of Norgestimate and Ethinyl Estradiol During a Three Cycle Study

Analyte1 Cycle Day Cmax tmax (h) AUC0–24h t1/2 (h)

NGMN(2, 3, 4)

1

1

0.91 (0.27)

1.8 (1)

5.86 (1.54)

NC

3

7

1.42 (0.43)

1.8 (0.7)

11.3 (3.2)

NC

14

1.57 (0.39)

1.8 (0.7)

13.9 (3.7)

NC

21

1.82 (0.54)

1.5 (0.7)

16.1 (4.8)

28.1 (10.6)

NG(2, 3, 4)

1

1

0.32 (0.14)

2 (1.1)

2.44 (2.04)

NC

3

7

1.64 (0.89)

1.9 (0.9)

27.9 (18.1)

NC

14

2.11 (1.13)

4 (6.3)

40.7 (24.8)

NC

21

2.79 (1.42)

1.7 (1.2)

49.9 (27.6)

36.4 (10.2)

EE(2, 3, 5)

1

1

55.6 (18.1)

1.7 (0.5)

421 (118)

NC

3

7

91.1 (36.7)

1.3 (0.3)

782 (329)

NC

14

96.9 (38.5)

1.3 (0.3)

796 (273)

NC

21

95.9 (38.9)

1.3 (0.6)

771 (303)

17.7 (4.4)

1NGMN = Norelgestromin, NG = norgestrel, EE = ethinyl estradiol

2Cmax = peak serum concentration, tmax = time to reach peak serum concentration, AUC0–24h = area under serum concentration vs. time curve from 0 to 24 hours, t1/2 = elimination half-life.

3units for all analytes; h = hours

4units for NGMN and NG – Cmax = ng/mL, AUC0–24h = h•ng/mL

5units for EE only – Cmax = pg/mL, AUC0–24h = h•pg/mL

NC = not calculated

Metabolism

Metabolism

NGM is extensively metabolized by first-pass mechanisms in the gastrointestinal tract and/or liver. NGM's primary active metabolite is NGMN. Subsequent hepatic metabolism of NGMN occurs and metabolites include NG, which is also active and various hydroxylated and conjugated metabolites. Although NGMN and its metabolites inhibit a variety of P450 enzymes in human liver microsomes, under the recommended dosing regimen, the in vivo concentrations of NGMN and its metabolites, even at the peak serum levels, are relatively low compared to the inhibitory constant (Ki). EE is also metabolized to various hydroxylated products and their glucuronide and sulfate conjugates.

Colesevelam

Colesevelam

Colesevelam, a bile acid sequestrant, given together with a COC, has been shown to significantly decrease the AUC of ethinyl estradiol (EE). The drug interaction between the contraceptive and colesevelam was decreased when the two drug products were given 4 hours apart.

Food Effect

Food Effect

The effect of food on the pharmacokinetics of norgestimate and ethinyl estradiol has not been studied.

5.7 Headache

If a woman taking norgestimate and ethinyl estradiol develops new headaches that are recurrent, persistent, or severe, evaluate the cause and discontinue norgestimate and ethinyl estradiol if indicated.

Consider discontinuation of norgestimate and ethinyl estradiol in the case of increased frequency or severity of migraine during COC use (which may be prodromal of a cerebrovascular event).

Distribution

Distribution

NGMN and NG are highly bound (>97%) to serum proteins. NGMN is bound to albumin and not to SHBG, while NG is bound primarily to SHBG. EE is extensively bound (>97%) to serum albumin and induces an increase in the serum concentrations of SHBG.

Liver Tumors

Liver Tumors

Norgestimate and ethinyl estradiol is contraindicated in women with benign and malignant liver tumors [see CONTRAINDICATIONS (4)]. Hepatic adenomas are associated with COC use. An estimate of the attributable risk is 3.3 cases/100,000 COC users. Rupture of hepatic adenomas may cause death through intra-abdominal hemorrhage.

Studies have shown an increased risk of developing hepatocellular carcinoma in long-term (>8 years) COC users. However, the risk of liver cancers in COC users is less than one case per million users.

10 Overdosage

There have been no reports of serious ill effects from overdosage of oral contraceptives, including ingestion by children. Overdosage may cause withdrawal bleeding in females and nausea.

5.15 Chloasma

Chloasma may occasionally occur, especially in women with a history of chloasma gravidarum. Women with a tendency to chloasma should avoid exposure to the sun or ultraviolet radiation while taking norgestimate and ethinyl estradiol.

8.1 Pregnancy

There is little or no increased risk of birth defects in women who inadvertently use COCs during early pregnancy. Epidemiologic studies and meta-analyses have not found an increased risk of genital or non-genital birth defects (including cardiac anomalies and limb reduction defects) following exposure to low dose COCs prior to conception or during early pregnancy.

Do not administer COCs to induce withdrawal bleeding as a test for pregnancy. Do not use COCs during pregnancy to treat threatened or habitual abortion.

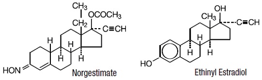
11 Description

Tri-Lo-Estarylla (norgestimate and ethinyl estradiol tablets, USP) is a combination oral contraceptive containing the progestational compound norgestimate and the estrogenic compound ethinyl estradiol. Norgestimate is designated as (18,19-Dinor-17-pregn-4-en-20-yn-3-one,17-(acetyloxy)-13-ethyl-, oxime,(17α)-(+)-) and ethinyl estradiol is designated as (19-nor-17α-pregna,1,3,5(10)-trien-20-yne-3,17-diol).

  • Each active white tablet contains 0.18 mg of norgestimate and 0.025 mg of ethinyl estradiol. Inactive ingredients include crospovidone, lactose anhydrous, magnesium stearate, polyethylene glycol, polyvinyl alcohol, pregelatinised starch, talc, and titanium dioxide.
  • Each active light blue tablet contains 0.215 mg of norgestimate and 0.025 mg of ethinyl estradiol. Inactive ingredients include crospovidone, FD&C Blue No.2 indigo carmine aluminum lake, FD&C Blue No.1 brilliant blue aluminum lake, FD&C Yellow No.5 tartrazine aluminum lake, lactose anhydrous, magnesium stearate, polyethylene glycol, polyvinyl alcohol, pregelatinised starch, talc, and titanium dioxide.
  • Each active blue tablet contains 0.25 mg of norgestimate and 0.025 mg of ethinyl estradiol. Inactive ingredients include crospovidone, FD&C Blue No.2 indigo carmine aluminum lake, FD&C Blue No.1 brilliant blue aluminum lake, FD&C Yellow No.6 sunset yellow fcf aluminum lake, lactose anhydrous, magnesium stearate, polyethylene glycol, polyvinyl alcohol, pregelatinised starch, talc, and titanium dioxide.
  • Each green placebo tablet contains only inert ingredients, as follows: crospovidone, FD&C Blue No.2 indigo carmine aluminum lake, FD&C Yellow No.5 tartrazine aluminum lake, lactose anhydrous, lecithin (soya), magnesium stearate, polyethylene glycol, polyvinyl alcohol, pregelatinised starch, talc, and titanium dioxide.

5.10 Depression

Carefully observe women with a history of depression and discontinue norgestimate and ethinyl estradiol if depression recurs to a serious degree.

5.13 Monitoring

A woman who is taking COCs should have a yearly visit with her healthcare provider for a blood pressure check and for other indicated healthcare.

First Trimester

First-trimester

  • After a first-trimester abortion or miscarriage, Tri-Lo-Estarylla may be started immediately. An additional method of contraception is not needed if Tri-Lo-Estarylla is started immediately.
  • If Tri-Lo-Estarylla is not started within 5 days after termination of the pregnancy, the patient should use additional non-hormonal contraception (such as condoms and spermicide) for the first seven days of her first cycle pack of Tri-Lo-Estarylla.
Second Trimester

Second-trimester

  • Do not start until 4 weeks after a second-trimester abortion or miscarriage, due to the increased risk of thromboembolic disease. Start Tri-Lo-Estarylla, following the instructions in Table 1 for Day 1 or Sunday start, as desired. If using Sunday start, use additional non-hormonal contraception (such as condoms and spermicide) for the first seven days of the patient's first cycle pack of Tri-Lo-Estarylla. [See CONTRAINDICATIONS (4), WARNINGS AND PRECAUTIONS (5.1) , and FDA-APPROVED PATIENT LABELING.]
8.4 Pediatric Use

Safety and efficacy of norgestimate and ethinyl estradiol have been established in women of reproductive age. Efficacy is expected to be the same for post-pubertal adolescents under the age of 18 and for users 18 years and older. Use of this product before menarche is not indicated.

8.5 Geriatric Use

Norgestimate and ethinyl estradiol has not been studied in postmenopausal women and is not indicated in this population.

2.3 Missed Tablets

Table 2: Instructions for Missed Tri-Lo-Estarylla Tablets

  • If one active tablet is missed in Weeks 1, 2, or 3

Take the tablet as soon as possible. Continue taking one tablet a day until the pack is finished.

  • If two active tablets are missed in Week 1 or Week 2

Take the two missed tablets as soon as possible and the next two active tablets the next day. Continue taking one tablet a day until the pack is finished. Additional non-hormonal contraception (such as condoms and spermicide) should be used as back-up if the patient has sex within 7 days after missing tablets.

  • If two active tablets are missed in the third week or three or more active tablets are missed in a row in Weeks 1, 2, or 3

Day 1 start: Throw out the rest of the pack and start a new pack that same day.

Sunday start: Continue taking one tablet a day until Sunday, then throw out the rest of the pack and start a new pack that same day. Additional non-hormonal contraception (such as condoms and spermicide) should be used as back-up if the patient has sex within 7 days after missing tablets.

14 Clinical Studies

In an active controlled clinical trial lasting 12 months, 1,673 women, 18 to 45 years old completed 11,003 cycles of norgestimate and ethinyl estradiol use and a total of 20 pregnancies were reported in norgestimate and ethinyl estradiol users. The racial demographic of those treated with norgestimate and ethinyl estradiol was: Caucasian (86%), African-American (6%), Asian (2%), and Other (6%). There were no exclusions on the basis of weight; the weight range for women treated was 90 to 240 lbs, with a mean weight of about 142 lbs. The pregnancy rate in women aged 18 to 35 years was approximately 2.6 pregnancies per 100 woman-years of use.

4 Contraindications

Tri-Lo-Estarylla is contraindicated in females who are known to have or develop the following conditions:

6 Adverse Reactions

The following serious adverse reactions with the use of COCs are discussed elsewhere in labeling:

Adverse reactions commonly reported by COC users are:

  • Irregular uterine bleeding
  • Nausea
  • Breast tenderness
  • Headache
7 Drug Interactions

Consult the labeling of concurrently used drugs to obtain further information about interactions with hormonal contraceptives or the potential for enzyme alterations.

No drug-drug interaction studies were conducted with norgestimate and ethinyl estradiol.

8.3 Nursing Mothers

Advise the nursing mother to use other forms of contraception, when possible, until she has weaned her child. COCs can reduce milk production in breastfeeding mothers. This is less likely to occur once breastfeeding is well-established; however, it can occur at any time in some women. Small amounts of oral contraceptive steroids and/or metabolites are present in breast milk.

8.7 Renal Impairment

The pharmacokinetics of norgestimate and ethinyl estradiol has not been studied in women with renal impairment.

Instructions for Use

Tri-Lo-Estarylla

(norgestimate and ethinyl estradiol tablets, USP)

(nor-JES-ti-mate, ETH-i-nil es-tra-DYE-ol)

Important Information about taking Tri-Lo-Estarylla

  • Take 1 pill every day at the same time. Take the pills in the order directed on your pill dispenser.
  • Do not skip your pills, even if you do not have sex often. If you miss pills (including starting the pack late) you could get pregnant. The more pills you miss, the more likely you are to get pregnant.
  • If you have trouble remembering to take Tri-Lo-Estarylla, talk to your healthcare provider. When you first start taking Tri-Lo-Estarylla, spotting or light bleeding in between your periods may occur. Contact your healthcare provider if this does not go away after a few months.
  • You may feel sick to your stomach (nauseous), especially during the first few months of taking Tri-Lo-Estarylla . If you feel sick to your stomach, do not stop taking the pill. The problem will usually go away. If your nausea does not go away, call your healthcare provider.
  • Missing pills can also cause spotting or light bleeding, even when you take the missed pills later. On the days you take 2 pills to make up for missed pills (see What should I do if I miss any Tri-Lo-Estarylla pills? below), you could also feel a little sick to your stomach.
  • It is not uncommon to miss a period. However, if you miss a period and have not taken Tri-Lo-Estarylla according to directions, or miss 2 periods in a row, or feel like you may be pregnant, call your healthcare provider. If you have a positive pregnancy test, you should stop taking Tri-Lo-Estarylla.
  • If you have vomiting or diarrhea within 3 to 4 hours of taking your pill, take another pill of the same color from your extra pill dispenser. If you do not have an extra pill dispenser, take the next pill in your pill dispenser. Continue taking all your remaining pills in order. Start the first pill of your next pill dispenser the day after finishing your current pill dispenser. This will be 1 day earlier than originally scheduled. Continue on your new schedule.
  • If you have vomiting or diarrhea for more than 1 day, your birth control pills may not work as well. Use an additional birth control method, like condoms and a spermicide, until you check with your healthcare provider.
  • Stop taking Tri-Lo-Estarylla at least 4 weeks before you have major surgery and do not restart after the surgery without asking your healthcare provider. Be sure to use other forms of contraception (like condoms and spermicide) during this time period.

Before you start taking Tri-Lo-Estarylla:

  • Decide what time of day you want to take your pill. It is important to take it at the same time every day and in the order as directed on your pill dispenser.
  • Have backup contraception (condoms and spermicide) available and if possible, an extra full pack of pills as needed.

When should I start taking Tri-Lo-Estarylla?

If you start taking Tri-Lo-Estarylla and you have not used a hormonal birth control method before:

  • There are 2 ways to start taking your birth control pills. You can either start on a Sunday (Sunday Start) or on the first day (Day 1) of your natural menstrual period (Day 1 Start). Your healthcare provider should tell you when to start taking your birth control pill.
  • If you use the Sunday Start, use non-hormonal back-up contraception such as condoms and spermicide for the first 7 days that you take Tri-Lo-Estarylla. You do not need back-up contraception if you use the Day 1 Start.

If you start taking Tri-Lo-Estarylla and you are switching from another birth control pill:

  • Start your new Tri-Lo-Estarylla pack on the same day that you would start the next pack of your previous birth control method.
  • Do not continue taking the pills from your previous birth control pack.

If you start taking Tri-Lo-Estarylla and previously used a vaginal ring or transdermal patch:

  • Start using Tri-Lo-Estarylla on the day you would have reapplied the next ring or patch.

If you start taking Tri-Lo-Estarylla and you are switching from a progestin-only method such as an implant or injection:

  • Start taking Tri-Lo-Estarylla on the day of removal of your implant or on the day when you would have had your next injection.

If you start taking Tri-Lo-Estarylla and you are switching from an intrauterine device or system (IUD or IUS):

  • Start taking Tri-Lo-Estarylla on the day of removal of your IUD or IUS.
  • You do not need back-up contraception if your IUD or IUS is removed on the first day (Day 1) of your period. If your IUD or IUS is removed on any other day, use non-hormonal back-up contraception such as condoms and spermicide for the first 7 days that you take Tri-Lo-Estarylla.

Keep a calendar to track your period:

If this is the first time you are taking birth control pills, read, "When should I start taking Tri-Lo-Estarylla?" above. Follow these instructions for either a Sunday Start or a Day 1 Start.

Sunday Start:

You will use a Sunday Start if your healthcare provider told you to take your first pill on a Sunday.

  • Take pill 1 on the Sunday after your period starts.
  • If your period starts on a Sunday, take pill "1" that day and refer to Day 1 Start instructions below.
  • Take 1 pill every day in the order on the pill dispenser at the same time each day for 28 days.
  • After taking the last pill on Day 28 from the pill dispenser, start taking the first pill from a new pack, on the same day of the week as the first pack (Sunday). Take the first pill in the new pack whether or not you are having your period.
  • Use non-hormonal back-up contraception such as condoms and spermicide for the first 7 days of the first cycle that you take Tri-Lo-EstaryllaTM .

Day 1 Start:

You will use a Day 1 Start if your doctor told you to take your first pill (Day 1) on the first day of your period.

  • Take 1 pill every day in the order of the blister pack, at the same time each day, for 28 days.
  • After taking the last pill on Day 28 from the pill blister pack, start taking the first pill from a new pack, on the same day of the week as the first pack. Take the first pill in the new pack whether or not you are having your period.

Tri-Lo-EstaryllaTM comes in blister pack. Read the instructions below for using your blister pack.

Each new blister pack has 28 pills

  • 7 white pills with hormone, for Days 1 to 7
  • 7 light blue pills with hormone, for Days 8 to 14
  • 7 blue pills with hormones, for Days 15 to 21
  • 7 green pills (without hormones), for Days 22 to 28.

BEFORE YOU START TAKING YOUR PILLS

  • 1.
    DECIDE WHAT TIME OF DAY YOU WANT TO TAKE YOUR PILL.

    It is important to take it at about the same time every day.
  • 2.
    The 28-pill pack has 21 white, light blue, and blue "active" pills (with hormones) to take for 3 weeks. This is followed by 1 week of green "reminder" pills (without hormones).
  • 3. ALSO FIND:
  • 1) where on the pack to start taking pills,
  • 2) in what order to take the pills (follow the arrows),
  • 3) The week numbers as shown in the diagram below.

4) BE SURE YOU HAVE READY AT ALL TIMES:

ANOTHER KIND OF BIRTH CONTROL (such as condoms or spermicide) to use as a back-up method in case you miss pills.

AN EXTRA, FULL PILL PACK.

What should I do if I miss any Tri-Lo-Estarylla pills?

If you miss 1 pill in Weeks 1, 2, or 3, follow these steps:

  • Take it as soon as you remember. Take the next pill at your regular time. This means you may take 2 pills in 1 day.
  • Then continue taking 1 pill every day until you finish the pack.
  • You do not need to use a back-up birth control method if you have sex.

If you miss 2 pills in Week 1 or Week 2 of your pack, follow these steps:

  • Take the 2 missed pills as soon as possible and the next 2 pills the next day.
  • Then continue to take 1 pill every day until you finish the pack.
  • Use a non-hormonal birth control method (such as a condom and spermicide) as a back-up if you have sex during the first 7 days after missing your pills.

If you miss 2 pills in a row in Week 3, or you miss 3 or more pills in a row during Weeks 1, 2, or 3 of the pack, follow these steps:

  • If you are a Day 1 Starter:
    • Throw out the rest of the pill pack and start a new pack that same day.
    • You may not have your period this month but this is expected. However, if you miss your period 2 months in a row, call your healthcare provider because you might be pregnant.
    • You could become pregnant if you have sex during the first 7 days after you restart your pills. You MUST use a non-hormonal birth control method (such as a condom and spermicide) as a back-up if you have sex during the first 7 days after you restart your pills.
  • If you are a Sunday Starter:
    • Keep taking 1 pill every day until Sunday. On Sunday, throw out the rest of the pack and start a new pack of pills that same day.
    • Use a non-hormonal birth control method (such as a condom and spermicide) as a back-up if you have sex during the first 7 days after you restart your pills.

If you have any questions or are unsure about the information in this leaflet, call your healthcare provider.

This Patient Information and Instructions for Use has been approved by the U.S. Food and Drug Administration.

Manufactured by Laboratorios Leon Farma S.A., Spain

for Xiromed, LLC. Florham Park, NJ 07932

Product of Spain

PIL-121-03

Rev. 02/2023

12.2 Pharmacodynamics

No specific pharmacodynamic studies were conducted with norgestimate and ethinyl estradiol.

1.1 Oral Contraception

Tri-Lo-Estarylla (norgestimate and ethinyl estradiol tablets) are indicated for use by females of reproductive potential to prevent pregnancy [see CLINICAL STUDIES (14)].

8.6 Hepatic Impairment

The pharmacokinetics of norgestimate and ethinyl estradiol has not been studied in subjects with hepatic impairment. However, steroid hormones may be poorly metabolized in patients with hepatic impairment. Acute or chronic disturbances of liver function may necessitate the discontinuation of COC use until markers of liver function return to normal and COC causation has been excluded. [See CONTRAINDICATIONS (4) and WARNINGS AND PRECAUTIONS (5.2).]

1 Indications and Usage

Tri-Lo-Estarylla (norgestimate and ethinyl estradiol tablets) is an estrogen/progestin COC, indicated for use by women to prevent pregnancy. (1.1)

5.4 High Blood Pressure

Norgestimate and ethinyl estradiol is contraindicated in women with uncontrolled hypertension or hypertension with vascular disease [see CONTRAINDICATIONS (4)]. For women with well-controlled hypertension, monitor blood pressure and stop norgestimate and ethinyl estradiol if blood pressure rises significantly.

An increase in blood pressure has been reported in women taking COCs, and this increase is more likely in older women with extended duration of use. The incidence of hypertension increases with increasing concentrations of progestin.

5.5 Gallbladder Disease

Studies suggest a small increased relative risk of developing gallbladder disease among COC users. Use of COCs may worsen existing gallbladder disease. A past history of COC-related cholestasis predicts an increased risk with subsequent COC use. Women with a history of pregnancy-related cholestasis may be at an increased risk for COC related cholestasis.

Impaired Liver Function

Impaired Liver Function

Do not use norgestimate and ethinyl estradiol in women with liver disease, such as acute viral hepatitis or severe (decompensated) cirrhosis of liver [see CONTRAINDICATIONS (4)]. Acute or chronic disturbances of liver function may necessitate the discontinuation of COC use until markers of liver function return to normal and COC causation has been excluded. Discontinue norgestimate and ethinyl estradiol if jaundice develops.

12.1 Mechanism of Action

COCs lower the risk of becoming pregnant primarily by suppressing ovulation. Other possible mechanisms may include cervical mucus changes that inhibit sperm penetration and endometrial changes that reduce the likelihood of implantation.

5.11 Malignant Neoplasms

Breast Cancer

Tri-Lo-Estarylla is contraindicated in females who currently have or have had breast cancer because breast cancer may be hormonally sensitive [see Contraindications (4)].

Epidemiology studies have not found a consistent association between use of combined oral contraceptives (COCs) and breast cancer risk. Studies do not show an association between ever (current or past) use of COCs and risk of breast cancer. However, some studies report a smallincrease in the risk of breast cancer among current or recent users (<6 months since last use) and current users with longer duration of COC use [see Postmarketing Experience (6.2)].

Cervical Cancer

Some studies suggest that COC use has beenassociated with an increase in the risk of cervical cancer or intraepithelial neoplasia. However, there continues to be controversy about the extent to which such findings may be due to differences in sexual behavior and other factors.

Common Adverse Reactions

Common Adverse Reactions (≥ 2% of subjects)

The most common adverse reactions reported by at least 2% of the 1,723 women using the 28-day regimen were the following in order of decreasing incidence: headache/migraine (30.5%), nausea/vomiting (16.3%); breast issues (including tenderness, pain, enlargement, swelling, discharge, discomfort, cyst, and nipple pain) (10.3%), abdominal pain (9.2%), menstrual disorders (including dysmenorrhea, menstrual discomfort, menstrual disorder) (9.2%), mood disorders (including depression, mood altered, mood swings and depressed mood) (7.6%); acne (5.1%), vulvovaginal infection (3.5%), abdominal distension (2.8%), weight increased (2.4%) , fatigue (2.1%).

Serious Adverse Reactions

Serious Adverse Reactions

Carcinoma of the cervix in situ (1 subject) and cervical dysplasia (1 subject).

5 Warnings and Precautions
  • Thromboembolic Disorders and Other Vascular Problems: Stop norgestimate and ethinyl estradiol if a thrombotic event occurs. Stop at least 4 weeks before and through 2 weeks after major surgery. Start no earlier than 4 weeks after delivery, in women who are not breastfeeding. (5.1)
  • Liver disease: Discontinue norgestimate and ethinyl estradiol if jaundice occurs. (5.2)
  • High blood pressure: If used in women with well-controlled hypertension, monitor blood pressure and stop norgestimate and ethinyl estradiol if blood pressure rises significantly. (5.4)
  • Carbohydrate and lipid metabolic effects: Monitor prediabetic and diabetic women taking norgestimate and ethinyl estradiol. Consider an alternate contraceptive method for women with uncontrolled dyslipidemia. (5.6)
  • Headache: Evaluate significant change in headaches and discontinue norgestimate and ethinyl estradiol if indicated. (5.7)
  • Bleeding Irregularities and Amenorrhea: Evaluate irregular bleeding or amenorrhea. (5.8)
5.14 Hereditary Angioedema

In women with hereditary angioedema, exogenous estrogens may induce or exacerbate symptoms of angioedema.

2 Dosage and Administration
  • Take one tablet daily by mouth at the same time every day. (2.2)
  • Take tablets in the order directed on the blister pack. (2.2)
  • Do not skip or delay tablet intake. (2.2)
Use in Specific Populations

Use in Specific Populations

3 Dosage Forms and Strengths

Tri-Lo-Estarylla tablets are available in a blister card. Each blister card contains 28 tablets in the following order:

  • 7 white, round, coated tablets imprinted "SZ" on one side and "T5" on the other side contains 0.18 mg norgestimate and 0.025 mg ethinyl estradiol.
  • 7 light blue, round, coated tablets imprinted "SZ" on one side and "T6" on the other side contains 0.215 mg norgestimate and 0.025 mg ethinyl estradiol.
  • 7 blue, round, coated tablets imprinted "SZ" on one side and "T7" on the other side contains 0.25 mg norgestimate and 0.025 mg ethinyl estradiol.
  • 7 green, round, coated tablets imprinted "SZ" on one side and "J1" on the other side contains inert ingredients.
6.2 Postmarketing Experience

Post Marketing Experience

Five studies that compared breast cancer risk between ever-users (current or past use) of COCs and never-users of COCs reported no association between ever use of COCs and breast cancer risk, with effect estimates ranging from 0.90 - 1.12 (Figure 2). Three studies compared breast cancer risk between current or recent COC users (<6 months since last use) and never users of COCs (Figure 2). One of these studies reported no association between breast cancer risk and COC use. The other two studies found an increased relative risk of 1.19 - 1.33 with current or recent use. Both of these studies found an increased risk of breast cancer with current use of longer duration, with relative risks ranging from 1.03 with less than one year of COC use to approximately 1.4 with more than 8-10 years of COC use.

Figure 2: Risk of Breast Cancer with Combined Oral Contraceptive Use

RR = relative risk; OR = odds ratio; HR = hazard ratio. “ever COC” are females with current or past COC use; “never COC use” are females that never used COCs.

The following additional adverse drug reactions have been reported from worldwide postmarketing experience with norgestimate/ethinyl estradiol. Because these reactions are reported voluntarily from a population of uncertain size, it is not always possible to reliably estimate their frequency or establish a causal relationship to drug exposure.

Infections and Infestations: Urinary tract infection

Neoplasms Benign, Malignant and Unspecified (Including Cysts and Polyps): Breast cancer, benign breast neoplasm, hepatic adenoma, focal nodular hyperplasia, breast cyst

Immune System Disorders: Hypersensitivity

Metabolism and Nutrition Disorders: Dyslipidemia

Psychiatric Disorders: Anxiety, insomnia

Nervous System Disorders: Syncope, convulsion, paresthesia, dizziness

Eye Disorders: Visual impairment, dry eye, contact lens intolerance

Ear and Labyrinth Disorders: Vertigo

Cardiac Disorders: Tachycardia, palpitations

Vascular Events: Deep vein thrombosis, pulmonary embolism, retinal vascular thrombosis, hot flush

Arterial Events: Arterial thromboembolism, myocardial infarction, cerebrovascular accident

Respiratory, Thoracic and Mediastinal Disorders: Dyspnea

Gastrointestinal Disorders: Pancreatitis, abdominal distension, diarrhea, constipation

Hepatobiliary Disorders: Hepatitis

Skin and Subcutaneous Tissue Disorders: Angioedema, erythema nodosum, hirsutism, night sweats, hyperhidrosis, photosensitivity reaction, urticaria, pruritus, acne

Musculoskeletal, Connective Tissue, and Bone Disorders: Muscle spasms, pain in extremity, myalgia, back pain

Reproductive System and Breast Disorders: Ovarian cyst, suppressed lactation, vulvovaginal dryness

General Disorders and Administration Site Conditions: Chest pain, asthenic conditions.

6.1 Clinical Trial Experience

Because clinical trials are conducted under widely varying conditions, adverse reaction rates observed in the clinical trials of a drug cannot be directly compared to rates in the clinical trials of another drug and may not reflect the rates observed in clinical practice.

The safety of norgestimate and ethinyl estradiol was evaluated in 1,723 subjects who participated in a randomized, partially blinded, multicenter, active-controlled clinical trial of norgestimate and ethinyl estradiol for contraception. This trial examined healthy, nonpregnant, volunteers aged 18 to 45 (nonsmoker if 35 to 45 years of age), who were sexually active with regular coitus. Subjects were followed for up to 13 28-day cycles.

8 Use in Specific Populations

Nursing mothers: Not recommended; can decrease milk production. (8.3)

Amenorrhea and Oligomenorrhea

Amenorrhea and Oligomenorrhea

Women who use norgestimate and ethinyl estradiol may experience amenorrhea. Some women may experience amenorrhea or oligomenorrhea after discontinuation of COCs, especially when such a condition was pre-existent.

If scheduled (withdrawal) bleeding does not occur, consider the possibility of pregnancy. If the patient has not adhered to the prescribed dosing schedule (missed one or more active tablets or started taking them on a day later than she should have), consider the possibility of pregnancy at the time of the first missed period and take appropriate diagnostic measures. If the patient has adhered to the prescribed regimen and misses two consecutive periods, rule out pregnancy.

2.2 How to Take Tri Lo Estarylla
  • Table 1: Instructions for Administration of Tri-Lo-Estarylla

Starting COCs in women not currently using hormonal contraception (Day 1 Start or Sunday Start)

Important:

Consider the possibility of ovulation and conception prior to initiation of this product.

Tablet Color:

  • Tri-Lo-Estarylla active tablets are white (Day 1 to Day 7), light blue (Day 8 to Day 14) and blue (Day 15 to Day 21).
  • Tri-Lo-Estarylla inactive tablets are green (Day 22 to Day 28).

Day 1 Start:

  • Take first active tablet without regard to meals on the first day of menses.
  • Take subsequent active tablets once daily at the same time each day for a total of 21 days.
  • Take one green inactive tablet daily for 7 days and at the same time of day that active tablets were taken.
  • Begin each subsequent pack on the same day of the week as the first cycle pack (i.e., on the day after taking the last inactive tablet)

Sunday Start:

  • Take first active tablet without regard to meals on the first Sunday after the onset of menses. Due to the potential risk of becoming pregnant, use additional non-hormonal contraception (such as condoms and spermicide) for the first seven days of the patient's first cycle pack of Tri-Lo-Estarylla .
  • Take subsequent active tablets once daily at the same time each day for a total of 21 days.
  • Take one green inactive tablet daily for the following 7 days and at the same time of day that active tablets were taken.
  • Begin each subsequent pack on the same day of the week as the first cycle pack (i.e., on the Sunday after taking the last inactive tablet) and additional non-hormonal contraceptive is not needed.

Switching to Tri-Lo-Estarylla from another oral contraceptive

Start on the same day that a new pack of the previous oral contraceptive would have started.

Switching from another contraceptive method to Tri-Lo-Estarylla

Start Tri-Lo-Estarylla:

  • Transdermal patch
  • On the day when next application would have been scheduled
  • Vaginal ring
  • On the day when next insertion would have been scheduled
  • Injection
  • On the day when next injection would have been scheduled
  • Intrauterine contraceptive
  • On the day of removal
  • If the IUD is not removed on first day of the patient's menstrual cycle, additional non-hormonal contraceptive (such as condoms and spermicide) is needed for the first seven days of the first cycle pack.
  • Implant
  • On the day of removal

Complete instructions to facilitate patient counseling on proper tablet usage are located in the FDA-Approved Patient Labeling.

5.12 Effect On Binding Globulins

The estrogen component of COCs may raise the serum concentrations of thyroxine-binding globulin, sex hormone-binding globulin, and cortisol-binding globulin. The dose of replacement thyroid hormone or cortisol therapy may need to be increased.

17 Patient Counseling Information

See FDA-approved patient labeling (Patient Information and Instruction for Use).

Counsel patients about the following information:

  • Cigarette smoking increases the risk of serious cardiovascular events from COC use, and that women who are over 35 years old and smoke should not use COCs [see Boxed Warning].
  • Increased risk of VTE compared to non-users of COCs is greatest after initially starting a COC or restarting (following a 4-week or greater pill-free interval) the same or a different COC [see WARNINGS AND PRECAUTIONS (5.1) ].
  • Tri-Lo-Estarylla does not protect against HIV infection (AIDS) and other sexually transmitted infections.
  • Tri-Lo-Estarylla is not to be used during pregnancy; if pregnancy occurs during use of Tri-Lo-Estarylla instruct the patient to stop further use [see WARNINGS AND PRECAUTIONS (5.9) ].
  • Take one tablet daily by mouth at the same time every day. Instruct patients what to do in the event tablets are missed [see DOSAGE AND ADMINISTRATION (2.2)].
  • Use a back-up or alternative method of contraception when enzyme inducers are used with Tri-Lo-Estarylla [see DRUG INTERACTIONS (7.1)].
  • COCs may reduce breast milk production, this is less likely to occur if breastfeeding is well established [see USE IN SPECIFIC POPULATIONS (8.3)].
  • Women who start COCs postpartum; and who have not yet had a period, should use an additional method of contraception until they have taken a white tablet for 7 consecutive days [see DOSAGE AND ADMINISTRATION (2.2)].
  • Amenorrhea may occur. Consider pregnancy in the event of amenorrhea at the time of the first missed period. Rule out pregnancy in the event of amenorrhea in two or more consecutive cycles [see WARNINGS AND PRECAUTIONS (5.8) ].

Tri-Estarylla is a registered trademark of Xiromed Pharma España, S.L.

Manufactured by Laboratorios Leon Farma S.A., Spain

for Xiromed LLC. Florham Park, NJ 07932

Product of Spain

PI-121-03

Rev. 02/2023

2.1 How to Start Tri Lo Estarylla

Tri-Lo-Estarylla is dispensed in a blister pack [see HOW SUPPLIED/STORAGE AND HANDLING (16) ]. Tri-Lo-Estarylla may be started using either a Day 1 start or a Sunday start (see Table 1). For the first cycle of a Sunday Start regimen, an additional method of contraception should be used until after the first 7 consecutive days of administration.

Unscheduled Bleeding and Spotting

Unscheduled Bleeding and Spotting

Unscheduled (breakthrough or intracyclic) bleeding and spotting sometimes occur in patients on COCs, especially during the first three months of use. If bleeding persists or occurs after previously regular cycles, check for causes such as pregnancy or malignancy. If pathology and pregnancy are excluded, bleeding irregularities may resolve over time or with a change to a different contraceptive product.

In the clinical trial of norgestimate and ethinyl estradiol, the frequency and duration of unscheduled bleeding and/or spotting was assessed in 1,673 women (11,015 evaluable cycles). A total of 3 (0.2%) women discontinued norgestimate and ethinyl estradiol, at least in part, due to bleeding or spotting. Based on data from the clinical trials, 7 to 17% of women using norgestimate and ethinyl estradiol experienced unscheduled bleeding per cycle in the first year. The percent of women who experienced unscheduled bleeding tended to decrease over time.

Human Immunodeficiency Virus (hiv)

Human Immunodeficiency Virus (HIV)/Hepatitis C Virus (HCV) Protease Inhibitors and Non-nucleoside Reverse Transcriptase Inhibitors

Significant changes (increase or decrease) in the plasma concentrations of estrogen and/or progestin have been noted in some cases of co-administration with HIV protease inhibitors (decrease [e.g., nelfinavir, ritonavir, darunavir/ritonavir, (fos)amprenavir/ritonavir, lopinavir/ritonavir, and tipranavir/ritonavir] or increase [e.g., indinavir and atazanavir/ritonavir])/HCV protease inhibitors (decrease [e.g., boceprevir and telaprevir]) or with non-nucleoside reverse transcriptase inhibitors (decrease [e.g., nevirapine] or increase [e.g., etravirine]).

16 How Supplied/storage and Handling

16.1 How Supplied

Norgestimate and Ethinyl Estradiol tablets, USP are available in a blister card:

Each blister card (28 tablets) contains in the following order:

7 white, round, coated tablets imprinted "SZ" on one side and "T5" on the other side contains 0.18 mg of the progestational compound, norgestimate, together with 0.025 mg of the estrogenic compound, ethinyl estradiol.

7 light blue, round, coated tablets imprinted "SZ" on one side and "T6" on the other side contains 0.215 mg of the progestational compound, norgestimate, together with 0.025 mg of the estrogenic compound, ethinyl estradiol.

7 blue, round, coated tablets imprinted "SZ" on one side and "T7" on the other side contains 0.25 mg of the progestational compound, norgestimate, together with 0.025 mg of the estrogenic compound, ethinyl estradiol.

7 green, round, coated tablets imprinted "SZ" on one side and "J1" on the other side contains inert ingredients.



NDC 63629-2351-1, one box containing 3 individual unit cartons

16.2 Storage Conditions

Store at 20° to 25°C (68° to 77°F) [see USP Controlled Room Temperature].

Protect from light.

Keep out of the reach of children.

Repackaged/Relabeled by:

Bryant Ranch Prepack, Inc.

Burbank, CA 91504

7.3 Interference With Laboratory Tests

The use of contraceptive steroids may influence the results of certain laboratory tests, such as coagulation factors, lipids, glucose tolerance, and binding proteins.

Starting Tri Lo Estarylla After Childbirth

Starting Tri-Lo-Estarylla after Childbirth

BEFORE YOU START TAKING YOUR PILLS

  • 1.
    DECIDE WHAT TIME OF DAY YOU WANT TO TAKE YOUR PILL.

    It is important to take it at about the same time every day.
  • 2.
    The 28-pill pack has 21 white, light blue, and blue "active" pills (with hormones) to take for 3 weeks. This is followed by 1 week of green "reminder" pills (without hormones).
  • 3.
    ALSO FIND:
  • 1)
    where on the pack to start taking pills,
  • 2)
    in what order to take the pills (follow the arrows),
  • 3)
    The week numbers as shown in the diagram below.

  • 4.
    BE SURE YOU HAVE READY AT ALL TIMES:

    ANOTHER KIND OF BIRTH CONTROL (such as condoms or spermicide) to use as a back-up method in case you miss pills.

    AN EXTRA, FULL PILL PACK.
5.6 Carbohydrate and Lipid Metabolic Effects

Carefully monitor prediabetic and diabetic women who take norgestimate and ethinyl estradiol. COCs may decrease glucose tolerance.

Consider alternative contraception for women with uncontrolled dyslipidemia. A small proportion of women will have adverse lipid changes while on COCs.

Women with hypertriglyceridemia, or a family history thereof, may be at an increased risk of pancreatitis when using COCs.

5.9 Coc Use Before Or During Early Pregnancy

Extensive epidemiological studies have revealed no increased risk of birth defects in women who have used oral contraceptives prior to pregnancy. Studies also do not suggest a teratogenic effect, particularly in so far as cardiac anomalies and limb reduction defects are concerned, when oral contraceptives are taken inadvertently during early pregnancy. Discontinue norgestimate and ethinyl estradiol use if pregnancy is confirmed.

Administration of COCs to induce withdrawal bleeding should not be used as a test for pregnancy [see USE IN SPECIFIC POPULATIONS (8.1)].

5.16 Risk of Allergic Reactions Due to Tartrazine

This product contains FD&C Yellow No. 5 (tartrazine) which may cause allergic-type reactions (including bronchial asthma) in certain susceptible persons. Although the overall incidence of FD&C Yellow No. 5 (tartrazine) sensitivity in the general population is low, it is frequently seen in patients who also have aspirin hypersensitivity.

Adverse Reactions Leading to Study Discontinuation

Adverse Reactions Leading to Study Discontinuation

In the clinical trial of norgestimate and ethinyl estradiol 4% of subjects discontinued the trial due to an adverse reaction. The most common adverse reactions leading to discontinuation were headache/migraine (1.2%), nausea/vomiting (0.7%), cervical dysplasia (0.7%), abdominal pain (0.4%), ovarian cyst (0.3%), acne (0.2%), flatulence (0.2%) and depression (0.2%).

Effects of Body Weight, Body Surface Area, and Age

Effects of Body Weight, Body Surface Area, and Age

The effects of body weight, body surface area, age and race on the pharmacokinetics of NGMN, NG and EE were evaluated in 79 healthy women using pooled data following single dose administration of NGM 0.180 or 0.250 mg / EE 0.025 mg tablets in four pharmacokinetic studies. Increasing body weight and body surface area were each associated with decreases in Cmax and AUC0–24h values for NGMN and EE and increases in CL/F (oral clearance) for EE. Increasing body weight by 10 kg is predicted to reduce the following parameters: NGMN Cmax by 9% and AUC0–24h by 19%, NG Cmax by 12% and AUC0–24h by 46%, EE Cmax by 13% and AUC0–24h by 12%. These changes were statistically significant. Increasing age was associated with slight decreases (6% with increasing age by 5 years) in Cmax and AUC0–24h for NGMN and were statistically significant, but there was no significant effect for NG or EE. Only a small to moderate fraction (5 to 40%) of the overall variability in the pharmacokinetics of NGMN and EE following norgestimate and ethinyl estradiol tablets may be explained by any or all of the above demographic parameters.

2.4 Advice in Case of Gastrointestinal Disturbances

In case of severe vomiting or diarrhea, absorption may not be complete and additional contraceptive measures should be taken. If vomiting or diarrhea occurs within 3 to 4 hours after taking an active tablet, handle this as a missed tablet [see FDA-Approved Patient Labeling].

Starting Tri Lo Estarylla After Abortion Or Miscarriage

Starting Tri-Lo-Estarylla after Abortion or Miscarriage

Substances Decreasing the Plasma Concentrations of Cocs

Substances Decreasing the Plasma Concentrations of COCs

Drugs or herbal products that induce certain enzymes, including cytochrome P450 3A4 (CYP3A4), may decrease the plasma concentrations of COCs and potentially diminish the effectiveness of COCs or increase breakthrough bleeding. Some drugs or herbal products that may decrease the effectiveness of COCs include phenytoin, barbiturates, carbamazepine, bosentan, felbamate, griseofulvin, oxcarbazepine, rifampicin, topiramate, rifabutin, rufinamide, aprepitant and products containing St. John's wort. Interactions between COCs and other drugs may lead to breakthrough bleeding and/or contraceptive failure. Counsel women to use an alternative method of contraception or a back-up method when enzyme inducers are used with COCs, and to continue back-up contraception for 28 days after discontinuing the enzyme inducer to ensure contraceptive reliability.

Substances Increasing the Plasma Concentrations of Cocs

Substances Increasing the Plasma Concentrations of COCs

Co-administration of atorvastatin or rosuvastatin and certain COCs containing EE increase AUC values for EE by approximately 20 to 25%. Ascorbic acid and acetaminophen may increase plasma EE concentrations, possibly by inhibition of conjugation. CYP3A4 inhibitors such as itraconazole, voriconazole, fluconazole, grapefruit juice, or ketoconazole may increase plasma hormone concentrations.

5.1 Thromboembolic Disorders and Other Vascular Problems
  • Stop norgestimate and ethinyl estradiol if an arterial thrombotic event or venous thrombotic (VTE) event occurs.
  • Stop norgestimate and ethinyl estradiol if there is unexplained loss of vision, proptosis, diplopia, papilledema, or retinal vascular lesions. Evaluate for retinal vein thrombosis immediately [see ADVERSE REACTIONS (6.2)].
  • If feasible, stop norgestimate and ethinyl estradiol at least 4 weeks before and through 2 weeks after major surgery or other surgeries known to have an elevated risk of VTE as well as during and following prolonged immobilization.
  • Start norgestimate and ethinyl estradiol no earlier than 4 weeks after delivery, in women who are not breastfeeding. The risk of postpartum VTE decreases after the third postpartum week, whereas the risk of ovulation increases after the third postpartum week.
  • The use of COCs increases the risk of VTE. However, pregnancy increases the risk of VTE as much or more than the use of COCs. The risk of VTE in women using COCs is 3 to 9 cases per 10,000 woman-years. The risk of VTE is highest during the first year of use of COCs and when restarting hormonal contraception after a break of 4 weeks or longer. The risk of thromboembolic disease due to COCs gradually disappears after use is discontinued.
  • Use of COCs also increases the risk of arterial thromboses such as strokes and myocardial infarctions, especially in women with other risk factors for these events. COCs have been shown to increase both the relative and attributable risks of cerebrovascular events (thrombotic and hemorrhagic strokes). This risk increases with age, particularly in women over 35 years of age who smoke.
  • Use COCs with caution in women with cardiovascular disease risk factors.
13.1 Carcinogenesis, Mutagenesis, Impairment of Fertility
7.2 Effects of Combined Oral Contraceptives On Other Drugs
  • COCs containing EE may inhibit the metabolism of other compounds (e.g., cyclosporine, prednisolone, theophylline, tizanidine, and voriconazole) and increase their plasma concentrations.
  • COCs have been shown to decrease plasma concentrations of acetaminophen, clofibric acid, morphine, salicylic acid, temazepam and lamotrigine. Significant decrease in plasma concentration of lamotrigine has been shown, likely due to induction of lamotrigine glucuronidation. This may reduce seizure control; therefore, dosage adjustments of lamotrigine may be necessary.

    Women on thyroid hormone replacement therapy may need increased doses of thyroid hormone because the serum concentration of thyroid-binding globulin increases with use of COCs.
Warning: Cigarette Smoking and Serious Cardiovascular Events

Cigarette smoking increases the risk of serious cardiovascular events from combination oral contraceptive (COC) use. This risk increases with age, particularly in women over 35 years of age, and with the number of cigarettes smoked. For this reason, COCs are contraindicated in women who are over 35 years of age and smoke [see CONTRAINDICATIONS (4)].

7.4 Concomitant Use With Hcv Combination Therapy ? Liver Enzyme Elevation

Do not co-administer norgestimate and ethinyl estradiol with HCV drug combinations containing ombitasvir/paritaprevir/ritonavir, with or without dasabuvir, due to potential for ALT elevations [see WARNINGS AND PRECAUTIONS (5.3)]

5.3 Risk of Liver Enzyme Elevations With Concomitant Hepatitis C Treatment

During clinical trials with the Hepatitis C combination drug regimen that contains ombitasvir/paritaprevir/ritonavir, with or without dasabuvir, ALT elevations greater than 5 times the upper limit of normal (ULN), including some cases greater than 20 times the ULN, were significantly more frequent in women using ethinyl estradiol-containing medications, such as COCs. Discontinue norgestimate and ethinyl estradiol prior to starting therapy with the combination drug regimen ombitasvir/paritaprevir/ritonavir, with or without dasabuvir [see CONTRAINDICATIONS (4) ]. Norgestimate and ethinyl estradiol can be restarted approximately 2 weeks following completion of treatment with the Hepatitis C combination drug regimen.


Structured Label Content

Section 51945-4 (51945-4)

Norgestimate and Ethinyl Estradiol Tablets, USP



0.18 mg/0.025 mg, 0.215 mg/0.025 mg, and 0.25 mg/0.025 mg

Excretion

Excretion

Following 3 cycles of administration of norgestimate and ethinyl estradiol, the mean (± SD) elimination half-life values, at steady-state, for NGMN, NG and EE were 28.1 (± 10.6) hours, 36.4 (± 10.2) hours and 17.7 (± 4.4) hours, respectively (Table 2). The metabolites of NGMN and EE are eliminated by renal and fecal pathways.

Absorption

Absorption

Norgestimate (NGM) and EE are rapidly absorbed following oral administration. NGM is rapidly and completely metabolized by first pass (intestinal and/or hepatic) mechanisms to norelgestromin (NGMN) and norgestrel (NG), which are the major active metabolites of NGM. Mean pharmacokinetic parameters for NGMN, NG and EE during three cycles of administration of norgestimate and ethinyl estradiol are summarized in Table 3.

Peak serum concentrations of NGMN and EE were generally reached by 2 hours after administration of norgestimate and ethinyl estradiol. Accumulation following multiple dosing of the 0.180 mg NGM / 0.025 mg EE dose is approximately 1.5 to 2 fold for NGMN and approximately 1.5 fold for EE compared with single dose administration, in agreement with that predicted based on linear kinetics of NGMN and EE. The pharmacokinetics of NGMN is dose proportional following NGM doses of 0.180 to 0.250 mg. Steady-state conditions for NGMN following each NGM dose and for EE were achieved during the three cycle study. Non-linear accumulation (4.5–14.5 fold) of NG was observed as a result of high affinity binding to SHBG, which limits its biological activity.

Table 3 Summary of NGMN, NG and EE pharmacokinetic parameters.

Table 3: Mean (SD) Pharmacokinetic Parameters of Norgestimate and Ethinyl Estradiol During a Three Cycle Study

Analyte1 Cycle Day Cmax tmax (h) AUC0–24h t1/2 (h)

NGMN(2, 3, 4)

1

1

0.91 (0.27)

1.8 (1)

5.86 (1.54)

NC

3

7

1.42 (0.43)

1.8 (0.7)

11.3 (3.2)

NC

14

1.57 (0.39)

1.8 (0.7)

13.9 (3.7)

NC

21

1.82 (0.54)

1.5 (0.7)

16.1 (4.8)

28.1 (10.6)

NG(2, 3, 4)

1

1

0.32 (0.14)

2 (1.1)

2.44 (2.04)

NC

3

7

1.64 (0.89)

1.9 (0.9)

27.9 (18.1)

NC

14

2.11 (1.13)

4 (6.3)

40.7 (24.8)

NC

21

2.79 (1.42)

1.7 (1.2)

49.9 (27.6)

36.4 (10.2)

EE(2, 3, 5)

1

1

55.6 (18.1)

1.7 (0.5)

421 (118)

NC

3

7

91.1 (36.7)

1.3 (0.3)

782 (329)

NC

14

96.9 (38.5)

1.3 (0.3)

796 (273)

NC

21

95.9 (38.9)

1.3 (0.6)

771 (303)

17.7 (4.4)

1NGMN = Norelgestromin, NG = norgestrel, EE = ethinyl estradiol

2Cmax = peak serum concentration, tmax = time to reach peak serum concentration, AUC0–24h = area under serum concentration vs. time curve from 0 to 24 hours, t1/2 = elimination half-life.

3units for all analytes; h = hours

4units for NGMN and NG – Cmax = ng/mL, AUC0–24h = h•ng/mL

5units for EE only – Cmax = pg/mL, AUC0–24h = h•pg/mL

NC = not calculated

Metabolism

Metabolism

NGM is extensively metabolized by first-pass mechanisms in the gastrointestinal tract and/or liver. NGM's primary active metabolite is NGMN. Subsequent hepatic metabolism of NGMN occurs and metabolites include NG, which is also active and various hydroxylated and conjugated metabolites. Although NGMN and its metabolites inhibit a variety of P450 enzymes in human liver microsomes, under the recommended dosing regimen, the in vivo concentrations of NGMN and its metabolites, even at the peak serum levels, are relatively low compared to the inhibitory constant (Ki). EE is also metabolized to various hydroxylated products and their glucuronide and sulfate conjugates.

Colesevelam

Colesevelam

Colesevelam, a bile acid sequestrant, given together with a COC, has been shown to significantly decrease the AUC of ethinyl estradiol (EE). The drug interaction between the contraceptive and colesevelam was decreased when the two drug products were given 4 hours apart.

Food Effect

Food Effect

The effect of food on the pharmacokinetics of norgestimate and ethinyl estradiol has not been studied.

5.7 Headache

If a woman taking norgestimate and ethinyl estradiol develops new headaches that are recurrent, persistent, or severe, evaluate the cause and discontinue norgestimate and ethinyl estradiol if indicated.

Consider discontinuation of norgestimate and ethinyl estradiol in the case of increased frequency or severity of migraine during COC use (which may be prodromal of a cerebrovascular event).

Distribution

Distribution

NGMN and NG are highly bound (>97%) to serum proteins. NGMN is bound to albumin and not to SHBG, while NG is bound primarily to SHBG. EE is extensively bound (>97%) to serum albumin and induces an increase in the serum concentrations of SHBG.

Liver Tumors

Liver Tumors

Norgestimate and ethinyl estradiol is contraindicated in women with benign and malignant liver tumors [see CONTRAINDICATIONS (4)]. Hepatic adenomas are associated with COC use. An estimate of the attributable risk is 3.3 cases/100,000 COC users. Rupture of hepatic adenomas may cause death through intra-abdominal hemorrhage.

Studies have shown an increased risk of developing hepatocellular carcinoma in long-term (>8 years) COC users. However, the risk of liver cancers in COC users is less than one case per million users.

10 Overdosage (10 OVERDOSAGE)

There have been no reports of serious ill effects from overdosage of oral contraceptives, including ingestion by children. Overdosage may cause withdrawal bleeding in females and nausea.

5.15 Chloasma

Chloasma may occasionally occur, especially in women with a history of chloasma gravidarum. Women with a tendency to chloasma should avoid exposure to the sun or ultraviolet radiation while taking norgestimate and ethinyl estradiol.

8.1 Pregnancy

There is little or no increased risk of birth defects in women who inadvertently use COCs during early pregnancy. Epidemiologic studies and meta-analyses have not found an increased risk of genital or non-genital birth defects (including cardiac anomalies and limb reduction defects) following exposure to low dose COCs prior to conception or during early pregnancy.

Do not administer COCs to induce withdrawal bleeding as a test for pregnancy. Do not use COCs during pregnancy to treat threatened or habitual abortion.

11 Description (11 DESCRIPTION)

Tri-Lo-Estarylla (norgestimate and ethinyl estradiol tablets, USP) is a combination oral contraceptive containing the progestational compound norgestimate and the estrogenic compound ethinyl estradiol. Norgestimate is designated as (18,19-Dinor-17-pregn-4-en-20-yn-3-one,17-(acetyloxy)-13-ethyl-, oxime,(17α)-(+)-) and ethinyl estradiol is designated as (19-nor-17α-pregna,1,3,5(10)-trien-20-yne-3,17-diol).

  • Each active white tablet contains 0.18 mg of norgestimate and 0.025 mg of ethinyl estradiol. Inactive ingredients include crospovidone, lactose anhydrous, magnesium stearate, polyethylene glycol, polyvinyl alcohol, pregelatinised starch, talc, and titanium dioxide.
  • Each active light blue tablet contains 0.215 mg of norgestimate and 0.025 mg of ethinyl estradiol. Inactive ingredients include crospovidone, FD&C Blue No.2 indigo carmine aluminum lake, FD&C Blue No.1 brilliant blue aluminum lake, FD&C Yellow No.5 tartrazine aluminum lake, lactose anhydrous, magnesium stearate, polyethylene glycol, polyvinyl alcohol, pregelatinised starch, talc, and titanium dioxide.
  • Each active blue tablet contains 0.25 mg of norgestimate and 0.025 mg of ethinyl estradiol. Inactive ingredients include crospovidone, FD&C Blue No.2 indigo carmine aluminum lake, FD&C Blue No.1 brilliant blue aluminum lake, FD&C Yellow No.6 sunset yellow fcf aluminum lake, lactose anhydrous, magnesium stearate, polyethylene glycol, polyvinyl alcohol, pregelatinised starch, talc, and titanium dioxide.
  • Each green placebo tablet contains only inert ingredients, as follows: crospovidone, FD&C Blue No.2 indigo carmine aluminum lake, FD&C Yellow No.5 tartrazine aluminum lake, lactose anhydrous, lecithin (soya), magnesium stearate, polyethylene glycol, polyvinyl alcohol, pregelatinised starch, talc, and titanium dioxide.

5.10 Depression

Carefully observe women with a history of depression and discontinue norgestimate and ethinyl estradiol if depression recurs to a serious degree.

5.13 Monitoring

A woman who is taking COCs should have a yearly visit with her healthcare provider for a blood pressure check and for other indicated healthcare.

First Trimester

First-trimester

  • After a first-trimester abortion or miscarriage, Tri-Lo-Estarylla may be started immediately. An additional method of contraception is not needed if Tri-Lo-Estarylla is started immediately.
  • If Tri-Lo-Estarylla is not started within 5 days after termination of the pregnancy, the patient should use additional non-hormonal contraception (such as condoms and spermicide) for the first seven days of her first cycle pack of Tri-Lo-Estarylla.
Second Trimester

Second-trimester

  • Do not start until 4 weeks after a second-trimester abortion or miscarriage, due to the increased risk of thromboembolic disease. Start Tri-Lo-Estarylla, following the instructions in Table 1 for Day 1 or Sunday start, as desired. If using Sunday start, use additional non-hormonal contraception (such as condoms and spermicide) for the first seven days of the patient's first cycle pack of Tri-Lo-Estarylla. [See CONTRAINDICATIONS (4), WARNINGS AND PRECAUTIONS (5.1) , and FDA-APPROVED PATIENT LABELING.]
8.4 Pediatric Use

Safety and efficacy of norgestimate and ethinyl estradiol have been established in women of reproductive age. Efficacy is expected to be the same for post-pubertal adolescents under the age of 18 and for users 18 years and older. Use of this product before menarche is not indicated.

8.5 Geriatric Use

Norgestimate and ethinyl estradiol has not been studied in postmenopausal women and is not indicated in this population.

2.3 Missed Tablets

Table 2: Instructions for Missed Tri-Lo-Estarylla Tablets

  • If one active tablet is missed in Weeks 1, 2, or 3

Take the tablet as soon as possible. Continue taking one tablet a day until the pack is finished.

  • If two active tablets are missed in Week 1 or Week 2

Take the two missed tablets as soon as possible and the next two active tablets the next day. Continue taking one tablet a day until the pack is finished. Additional non-hormonal contraception (such as condoms and spermicide) should be used as back-up if the patient has sex within 7 days after missing tablets.

  • If two active tablets are missed in the third week or three or more active tablets are missed in a row in Weeks 1, 2, or 3

Day 1 start: Throw out the rest of the pack and start a new pack that same day.

Sunday start: Continue taking one tablet a day until Sunday, then throw out the rest of the pack and start a new pack that same day. Additional non-hormonal contraception (such as condoms and spermicide) should be used as back-up if the patient has sex within 7 days after missing tablets.

14 Clinical Studies (14 CLINICAL STUDIES)

In an active controlled clinical trial lasting 12 months, 1,673 women, 18 to 45 years old completed 11,003 cycles of norgestimate and ethinyl estradiol use and a total of 20 pregnancies were reported in norgestimate and ethinyl estradiol users. The racial demographic of those treated with norgestimate and ethinyl estradiol was: Caucasian (86%), African-American (6%), Asian (2%), and Other (6%). There were no exclusions on the basis of weight; the weight range for women treated was 90 to 240 lbs, with a mean weight of about 142 lbs. The pregnancy rate in women aged 18 to 35 years was approximately 2.6 pregnancies per 100 woman-years of use.

4 Contraindications (4 CONTRAINDICATIONS)

Tri-Lo-Estarylla is contraindicated in females who are known to have or develop the following conditions:

6 Adverse Reactions (6 ADVERSE REACTIONS)

The following serious adverse reactions with the use of COCs are discussed elsewhere in labeling:

Adverse reactions commonly reported by COC users are:

  • Irregular uterine bleeding
  • Nausea
  • Breast tenderness
  • Headache
7 Drug Interactions (7 DRUG INTERACTIONS)

Consult the labeling of concurrently used drugs to obtain further information about interactions with hormonal contraceptives or the potential for enzyme alterations.

No drug-drug interaction studies were conducted with norgestimate and ethinyl estradiol.

8.3 Nursing Mothers

Advise the nursing mother to use other forms of contraception, when possible, until she has weaned her child. COCs can reduce milk production in breastfeeding mothers. This is less likely to occur once breastfeeding is well-established; however, it can occur at any time in some women. Small amounts of oral contraceptive steroids and/or metabolites are present in breast milk.

Patient Information

Tri-Lo-Estarylla ®

(norgestimate and ethinyl estradiol tablets, USP)

(nor-JES-ti-mate, ETH-i-nil es-tra-DYE-ol)

What is the most important information I should know about Tri-Lo-Estarylla?

Do not use Tri-Lo-Estarylla if you smoke cigarettes and are over 35 years old. Smoking increases your risk of serious cardiovascular side effects from hormonal birth control pills, including death from heart attack, blood clots or stroke. This risk increases with age and the number of cigarettes you smoke.

What is Tri-Lo-Estarylla?

Tri-Lo-Estarylla is a birth control pill (oral contraceptive) used by women to prevent pregnancy.

How does Tri-Lo-Estarylla work for contraception?

Your chance of getting pregnant depends on how well you follow the directions for taking your birth control pills. The better you follow the directions, the less chance you have of getting pregnant.

Based on the results from the clinical study, about 3 out of 100 women may get pregnant during the first year they use Tri-Lo-Estarylla .

The following chart shows the chance of getting pregnant for women who use different methods of birth control. Each box on the chart contains a list of birth control methods that are similar in effectiveness. The most effective methods are at the top of the chart. The box on the bottom of the chart shows the chance of getting pregnant for women who do not use birth control and are trying to get pregnant.

Who should not take Tri-Lo-Estarylla?

Do not take Tri-Lo-Estarylla if you:

  • smoke and are over 35 years of age
  • had blood clots in your arms, legs, lungs, or eyes
  • had a problem with your blood that makes it clot more than normal
  • have certain heart valve problems or irregular heart beat that increases your risk of having blood clots
  • had a stroke
  • had a heart attack
  • have high blood pressure that cannot be controlled by medicine
  • have diabetes with kidney, eye, nerve, or blood vessel damage
  • have certain kinds of severe migraine headaches with aura, numbness, weakness or changes in vision, or any migraine headaches if you are over 35 years of age
  • have liver problems, including liver tumors
  • take any Hepatitis C drug combination containing ombitasvir/paritaprevir/ritonavir, with or without dasabuvir. This may increase levels of the liver enzyme “alanine aminotransferase” (ALT) in the blood.
  • have any unexplained vaginal bleeding
  • are pregnant
  • had breast cancer or any cancer that is sensitive to female hormones

If any of these conditions happen while you are taking Tri-Lo-Estarylla, stop taking Tri-Lo-Estarylla right away and talk to your healthcare provider. Use non-hormonal contraception when you stop taking Tri-Lo-Estarylla.

What should I tell my healthcare provider before taking Tri-Lo-Estarylla?

Tell your healthcare provider if you:

  • are pregnant or think you may be pregnant
  • are depressed now or have been depressed in the past
  • had yellowing of your skin or eyes (jaundice) caused by pregnancy (cholestasis of pregnancy)
  • are breastfeeding or plan to breastfeed. Tri-Lo-Estarylla may decrease the amount of breast milk you make. A small amount of the hormones in Tri-Lo-Estarylla may pass into your breast milk. Talk to your healthcare provider about the best birth control method for you while breastfeeding.

Tell your healthcare provider about all the medicines you take, including prescription and over-the-counter medicines, vitamins and herbal supplements.

Tri-Lo-Estarylla may affect the way other medicines work, and other medicines may affect how well Tri-Lo-Estarylla works.

Know the medicines you take. Keep a list of them to show your healthcare provider and pharmacist when you get a new medicine.

How should I take Tri-Lo-Estarylla?

Read the Instructions for Use at the end of this Patient Information.

What are the possible serious side effects of Tri-Lo-Estarylla?

  • Like pregnancy, Tri-Lo-Estarylla may cause serious side effects, including blood clots in your lungs, heart attack, or a stroke that may lead to death. Some other examples of serious blood clots include blood clots in the legs or eyes.

Serious blood clots can happen especially if you smoke, are obese, or are older than 35 years of age. Serious blood clots are more likely to happen when you:

  • first start taking birth control pills
  • restart the same or different birth control pills after not using them for a month or more

Call your healthcare provider or go to a hospital emergency room right away if you have:

  • leg pain that will not go away
  • sudden severe shortness of breath
  • sudden change in vision or blindness
  • chest pain
  • a sudden, severe headache unlike your usual headaches
  • weakness or numbness in your arm or leg
  • trouble speaking

Other serious side effects include:

  • liver problems, including:
    • o
      rare liver tumors
    • o
      jaundice (cholestasis), especially if you previously had cholestasis of pregnancy. Call your healthcare provider if you have yellowing of your skin or eyes.
  • high blood pressure. You should see your healthcare provider for a yearly check of your blood pressure.
  • gallbladder problems
  • changes in the sugar and fat (cholesterol and triglycerides) levels in your blood
  • new or worsening headaches including migraine headaches
  • irregular or unusual vaginal bleeding and spotting between your menstrual periods, especially during the first 3 months of taking Tri-Lo-Estarylla.
  • depression
  • possible cancer in your breast and cervix
  • swelling of your skin especially around your mouth, eyes, and in your throat (angioedema). Call your healthcare provider if you have a swollen face, lips, mouth tongue or throat, which may lead to difficulty swallowing or breathing. Your chance of having angioedema if higher is you have a history of angioedema.
  • dark patches of skin around your forehead, nose, cheeks and around your mouth, especially during pregnancy (chloasma). Women who tend to get chloasma should avoid spending a long time in sunlight, tanning booths, and under sun lamps while taking Tri-Lo-Estarylla. Use sunscreen if you have to be in the sunlight.

What are the most common side effects of Tri-Lo-Estarylla?

  • headache (including migraine
  • nausea and vomiting
  • breast problems
  • o
    tenderness, pain and discomfort
  • o
    enlargement and swelling
  • o
    discharge
  • o
    nipple pain
  • stomach pain
  • pain with your periods (menstrual cycle)
  • mood changes, including depression
  • acne
  • vaginal infections
  • bloating
  • weight gain
  • fatigue

These are not all the possible side effects of Tri-Lo-Estarylla. For more information, ask your healthcare provider or pharmacist.

You may report side effects to the FDA at 1-800-FDA-1088.

What else should I know about taking Tri-Lo-Estarylla?

  • If you are scheduled for any lab tests, tell your healthcare provider you are taking Tri-Lo-Estarylla. Certain blood tests may be affected by Tri-Lo-Estarylla.
  • Tri-Lo-Estarylla does not protect against HIV infection (AIDS) and other sexually transmitted infections.

How should I store Tri-Lo-Estarylla?

  • Store Tri-Lo-Estarylla at room temperature between 68°F to 77°F (20°C to 25°C).
  • Keep Tri-Lo-Estarylla and all medicines out of the reach of children.
  • Store away from light.

General information about the safe and effective use of Tri-Lo-Estarylla.

Medicines are sometimes prescribed for purposes other than those listed in a Patient Information leaflet. Do not use Tri-Lo-Estarylla for a condition for which it was not prescribed. Do not give Tri-Lo-Estarylla to other people, even if they have the same symptoms that you have.

This Patient Information summarizes the most important information about Tri-Lo-Estarylla. You can ask your pharmacist or healthcare provider for information about Tri-Lo-Estarylla that is written for health professionals.

For more information, call Xiromed, LLC. at 1-844-XIROMED (844-947-6633).

Does hormonal birth control cause cancer?

It is not known if hormonal birth control pills causes breast cancer. Some studies, but not all, suggest that there could be a slight increase in the risk of breast cancer among current users with longer duration of use.If you have breast cancer now, or have had it in the past, do not use hormonal birth control because some breast cancers are sensitive to hormones.

Women who use birth control pills may have a slightly higher chance of getting cervical cancer. However, this may be due to other reasons such as having more sexual partners.

What if I want to become pregnant?

You may stop taking the pill whenever you wish. Consider a visit with your healthcare provider for a pre-pregnancy checkup before you stop taking the pill.

What should I know about my period when taking Tri-Lo-Estarylla?

Your periods may be lighter and shorter than usual. Some women may miss a period. Irregular vaginal bleeding or spotting may happen while you are taking Tri-Lo-Estarylla, especially during the first few months of use. This usually is not a serious problem. It is important to continue taking your pills on a regular schedule to prevent a pregnancy.

What are the ingredients in Tri-Lo-Estarylla?

Active ingredients: Each white, light blue, and blue pill contains norgestimate and ethinyl estradiol.

Inactive ingredients:

White tablet: crospovidone, lactose anhydrous, magnesium stearate, polyethylene glycol, polyvinyl alcohol, pregelatinised starch, talc, and titanium dioxide.

Light blue tablet: crospovidone, FD&C Blue No.2 indigo carmine aluminum lake, FD&C Blue No.1 brilliant blue aluminum lake, FD&C Yellow No.5 tartrazine aluminum lake, lactose anhydrous, magnesium stearate, polyethylene glycol, polyvinyl alcohol, pregelatinised starch, talc, and titanium dioxide.

Blue tablet: crospovidone, FD&C Blue No.2 indigo carmine aluminum lake, FD&C Blue No.1 brilliant blue aluminum lake, FD&C Yellow No.6 sunset yellow fcf aluminum lake, lactose anhydrous, magnesium stearate, polyethylene glycol, polyvinyl alcohol, pregelatinised starch, talc, and titanium dioxide.

Green tablet: crospovidone, FD&C Blue No.2 indigo carmine aluminum lake, FD&C Yellow No.5 tartrazine aluminum lake, lactose anhydrous, lecithin (soya), magnesium stearate, polyethylene glycol, polyvinyl alcohol, pregelatinised starch, talc, and titanium dioxide.

8.7 Renal Impairment

The pharmacokinetics of norgestimate and ethinyl estradiol has not been studied in women with renal impairment.

Instructions for Use (Instructions For Use)

Tri-Lo-Estarylla

(norgestimate and ethinyl estradiol tablets, USP)

(nor-JES-ti-mate, ETH-i-nil es-tra-DYE-ol)

Important Information about taking Tri-Lo-Estarylla

  • Take 1 pill every day at the same time. Take the pills in the order directed on your pill dispenser.
  • Do not skip your pills, even if you do not have sex often. If you miss pills (including starting the pack late) you could get pregnant. The more pills you miss, the more likely you are to get pregnant.
  • If you have trouble remembering to take Tri-Lo-Estarylla, talk to your healthcare provider. When you first start taking Tri-Lo-Estarylla, spotting or light bleeding in between your periods may occur. Contact your healthcare provider if this does not go away after a few months.
  • You may feel sick to your stomach (nauseous), especially during the first few months of taking Tri-Lo-Estarylla . If you feel sick to your stomach, do not stop taking the pill. The problem will usually go away. If your nausea does not go away, call your healthcare provider.
  • Missing pills can also cause spotting or light bleeding, even when you take the missed pills later. On the days you take 2 pills to make up for missed pills (see What should I do if I miss any Tri-Lo-Estarylla pills? below), you could also feel a little sick to your stomach.
  • It is not uncommon to miss a period. However, if you miss a period and have not taken Tri-Lo-Estarylla according to directions, or miss 2 periods in a row, or feel like you may be pregnant, call your healthcare provider. If you have a positive pregnancy test, you should stop taking Tri-Lo-Estarylla.
  • If you have vomiting or diarrhea within 3 to 4 hours of taking your pill, take another pill of the same color from your extra pill dispenser. If you do not have an extra pill dispenser, take the next pill in your pill dispenser. Continue taking all your remaining pills in order. Start the first pill of your next pill dispenser the day after finishing your current pill dispenser. This will be 1 day earlier than originally scheduled. Continue on your new schedule.
  • If you have vomiting or diarrhea for more than 1 day, your birth control pills may not work as well. Use an additional birth control method, like condoms and a spermicide, until you check with your healthcare provider.
  • Stop taking Tri-Lo-Estarylla at least 4 weeks before you have major surgery and do not restart after the surgery without asking your healthcare provider. Be sure to use other forms of contraception (like condoms and spermicide) during this time period.

Before you start taking Tri-Lo-Estarylla:

  • Decide what time of day you want to take your pill. It is important to take it at the same time every day and in the order as directed on your pill dispenser.
  • Have backup contraception (condoms and spermicide) available and if possible, an extra full pack of pills as needed.

When should I start taking Tri-Lo-Estarylla?

If you start taking Tri-Lo-Estarylla and you have not used a hormonal birth control method before:

  • There are 2 ways to start taking your birth control pills. You can either start on a Sunday (Sunday Start) or on the first day (Day 1) of your natural menstrual period (Day 1 Start). Your healthcare provider should tell you when to start taking your birth control pill.
  • If you use the Sunday Start, use non-hormonal back-up contraception such as condoms and spermicide for the first 7 days that you take Tri-Lo-Estarylla. You do not need back-up contraception if you use the Day 1 Start.

If you start taking Tri-Lo-Estarylla and you are switching from another birth control pill:

  • Start your new Tri-Lo-Estarylla pack on the same day that you would start the next pack of your previous birth control method.
  • Do not continue taking the pills from your previous birth control pack.

If you start taking Tri-Lo-Estarylla and previously used a vaginal ring or transdermal patch:

  • Start using Tri-Lo-Estarylla on the day you would have reapplied the next ring or patch.

If you start taking Tri-Lo-Estarylla and you are switching from a progestin-only method such as an implant or injection:

  • Start taking Tri-Lo-Estarylla on the day of removal of your implant or on the day when you would have had your next injection.

If you start taking Tri-Lo-Estarylla and you are switching from an intrauterine device or system (IUD or IUS):

  • Start taking Tri-Lo-Estarylla on the day of removal of your IUD or IUS.
  • You do not need back-up contraception if your IUD or IUS is removed on the first day (Day 1) of your period. If your IUD or IUS is removed on any other day, use non-hormonal back-up contraception such as condoms and spermicide for the first 7 days that you take Tri-Lo-Estarylla.

Keep a calendar to track your period:

If this is the first time you are taking birth control pills, read, "When should I start taking Tri-Lo-Estarylla?" above. Follow these instructions for either a Sunday Start or a Day 1 Start.

Sunday Start:

You will use a Sunday Start if your healthcare provider told you to take your first pill on a Sunday.

  • Take pill 1 on the Sunday after your period starts.
  • If your period starts on a Sunday, take pill "1" that day and refer to Day 1 Start instructions below.
  • Take 1 pill every day in the order on the pill dispenser at the same time each day for 28 days.
  • After taking the last pill on Day 28 from the pill dispenser, start taking the first pill from a new pack, on the same day of the week as the first pack (Sunday). Take the first pill in the new pack whether or not you are having your period.
  • Use non-hormonal back-up contraception such as condoms and spermicide for the first 7 days of the first cycle that you take Tri-Lo-EstaryllaTM .

Day 1 Start:

You will use a Day 1 Start if your doctor told you to take your first pill (Day 1) on the first day of your period.

  • Take 1 pill every day in the order of the blister pack, at the same time each day, for 28 days.
  • After taking the last pill on Day 28 from the pill blister pack, start taking the first pill from a new pack, on the same day of the week as the first pack. Take the first pill in the new pack whether or not you are having your period.

Tri-Lo-EstaryllaTM comes in blister pack. Read the instructions below for using your blister pack.

Each new blister pack has 28 pills

  • 7 white pills with hormone, for Days 1 to 7
  • 7 light blue pills with hormone, for Days 8 to 14
  • 7 blue pills with hormones, for Days 15 to 21
  • 7 green pills (without hormones), for Days 22 to 28.

BEFORE YOU START TAKING YOUR PILLS

  • 1.
    DECIDE WHAT TIME OF DAY YOU WANT TO TAKE YOUR PILL.

    It is important to take it at about the same time every day.
  • 2.
    The 28-pill pack has 21 white, light blue, and blue "active" pills (with hormones) to take for 3 weeks. This is followed by 1 week of green "reminder" pills (without hormones).
  • 3. ALSO FIND:
  • 1) where on the pack to start taking pills,
  • 2) in what order to take the pills (follow the arrows),
  • 3) The week numbers as shown in the diagram below.

4) BE SURE YOU HAVE READY AT ALL TIMES:

ANOTHER KIND OF BIRTH CONTROL (such as condoms or spermicide) to use as a back-up method in case you miss pills.

AN EXTRA, FULL PILL PACK.

What should I do if I miss any Tri-Lo-Estarylla pills?

If you miss 1 pill in Weeks 1, 2, or 3, follow these steps:

  • Take it as soon as you remember. Take the next pill at your regular time. This means you may take 2 pills in 1 day.
  • Then continue taking 1 pill every day until you finish the pack.
  • You do not need to use a back-up birth control method if you have sex.

If you miss 2 pills in Week 1 or Week 2 of your pack, follow these steps:

  • Take the 2 missed pills as soon as possible and the next 2 pills the next day.
  • Then continue to take 1 pill every day until you finish the pack.
  • Use a non-hormonal birth control method (such as a condom and spermicide) as a back-up if you have sex during the first 7 days after missing your pills.

If you miss 2 pills in a row in Week 3, or you miss 3 or more pills in a row during Weeks 1, 2, or 3 of the pack, follow these steps:

  • If you are a Day 1 Starter:
    • Throw out the rest of the pill pack and start a new pack that same day.
    • You may not have your period this month but this is expected. However, if you miss your period 2 months in a row, call your healthcare provider because you might be pregnant.
    • You could become pregnant if you have sex during the first 7 days after you restart your pills. You MUST use a non-hormonal birth control method (such as a condom and spermicide) as a back-up if you have sex during the first 7 days after you restart your pills.
  • If you are a Sunday Starter:
    • Keep taking 1 pill every day until Sunday. On Sunday, throw out the rest of the pack and start a new pack of pills that same day.
    • Use a non-hormonal birth control method (such as a condom and spermicide) as a back-up if you have sex during the first 7 days after you restart your pills.

If you have any questions or are unsure about the information in this leaflet, call your healthcare provider.

This Patient Information and Instructions for Use has been approved by the U.S. Food and Drug Administration.

Manufactured by Laboratorios Leon Farma S.A., Spain

for Xiromed, LLC. Florham Park, NJ 07932

Product of Spain

PIL-121-03

Rev. 02/2023

Recent Major Changes (RECENT MAJOR CHANGES)



Warnings and Precautions (5.11)  11/2021

12.2 Pharmacodynamics

No specific pharmacodynamic studies were conducted with norgestimate and ethinyl estradiol.

1.1 Oral Contraception

Tri-Lo-Estarylla (norgestimate and ethinyl estradiol tablets) are indicated for use by females of reproductive potential to prevent pregnancy [see CLINICAL STUDIES (14)].

8.6 Hepatic Impairment

The pharmacokinetics of norgestimate and ethinyl estradiol has not been studied in subjects with hepatic impairment. However, steroid hormones may be poorly metabolized in patients with hepatic impairment. Acute or chronic disturbances of liver function may necessitate the discontinuation of COC use until markers of liver function return to normal and COC causation has been excluded. [See CONTRAINDICATIONS (4) and WARNINGS AND PRECAUTIONS (5.2).]

1 Indications and Usage (1 INDICATIONS AND USAGE)

Tri-Lo-Estarylla (norgestimate and ethinyl estradiol tablets) is an estrogen/progestin COC, indicated for use by women to prevent pregnancy. (1.1)

5.4 High Blood Pressure

Norgestimate and ethinyl estradiol is contraindicated in women with uncontrolled hypertension or hypertension with vascular disease [see CONTRAINDICATIONS (4)]. For women with well-controlled hypertension, monitor blood pressure and stop norgestimate and ethinyl estradiol if blood pressure rises significantly.

An increase in blood pressure has been reported in women taking COCs, and this increase is more likely in older women with extended duration of use. The incidence of hypertension increases with increasing concentrations of progestin.

5.5 Gallbladder Disease

Studies suggest a small increased relative risk of developing gallbladder disease among COC users. Use of COCs may worsen existing gallbladder disease. A past history of COC-related cholestasis predicts an increased risk with subsequent COC use. Women with a history of pregnancy-related cholestasis may be at an increased risk for COC related cholestasis.

Impaired Liver Function

Impaired Liver Function

Do not use norgestimate and ethinyl estradiol in women with liver disease, such as acute viral hepatitis or severe (decompensated) cirrhosis of liver [see CONTRAINDICATIONS (4)]. Acute or chronic disturbances of liver function may necessitate the discontinuation of COC use until markers of liver function return to normal and COC causation has been excluded. Discontinue norgestimate and ethinyl estradiol if jaundice develops.

12.1 Mechanism of Action

COCs lower the risk of becoming pregnant primarily by suppressing ovulation. Other possible mechanisms may include cervical mucus changes that inhibit sperm penetration and endometrial changes that reduce the likelihood of implantation.

5.11 Malignant Neoplasms

Breast Cancer

Tri-Lo-Estarylla is contraindicated in females who currently have or have had breast cancer because breast cancer may be hormonally sensitive [see Contraindications (4)].

Epidemiology studies have not found a consistent association between use of combined oral contraceptives (COCs) and breast cancer risk. Studies do not show an association between ever (current or past) use of COCs and risk of breast cancer. However, some studies report a smallincrease in the risk of breast cancer among current or recent users (<6 months since last use) and current users with longer duration of COC use [see Postmarketing Experience (6.2)].

Cervical Cancer

Some studies suggest that COC use has beenassociated with an increase in the risk of cervical cancer or intraepithelial neoplasia. However, there continues to be controversy about the extent to which such findings may be due to differences in sexual behavior and other factors.

Common Adverse Reactions

Common Adverse Reactions (≥ 2% of subjects)

The most common adverse reactions reported by at least 2% of the 1,723 women using the 28-day regimen were the following in order of decreasing incidence: headache/migraine (30.5%), nausea/vomiting (16.3%); breast issues (including tenderness, pain, enlargement, swelling, discharge, discomfort, cyst, and nipple pain) (10.3%), abdominal pain (9.2%), menstrual disorders (including dysmenorrhea, menstrual discomfort, menstrual disorder) (9.2%), mood disorders (including depression, mood altered, mood swings and depressed mood) (7.6%); acne (5.1%), vulvovaginal infection (3.5%), abdominal distension (2.8%), weight increased (2.4%) , fatigue (2.1%).

Serious Adverse Reactions

Serious Adverse Reactions

Carcinoma of the cervix in situ (1 subject) and cervical dysplasia (1 subject).

5 Warnings and Precautions (5 WARNINGS AND PRECAUTIONS)
  • Thromboembolic Disorders and Other Vascular Problems: Stop norgestimate and ethinyl estradiol if a thrombotic event occurs. Stop at least 4 weeks before and through 2 weeks after major surgery. Start no earlier than 4 weeks after delivery, in women who are not breastfeeding. (5.1)
  • Liver disease: Discontinue norgestimate and ethinyl estradiol if jaundice occurs. (5.2)
  • High blood pressure: If used in women with well-controlled hypertension, monitor blood pressure and stop norgestimate and ethinyl estradiol if blood pressure rises significantly. (5.4)
  • Carbohydrate and lipid metabolic effects: Monitor prediabetic and diabetic women taking norgestimate and ethinyl estradiol. Consider an alternate contraceptive method for women with uncontrolled dyslipidemia. (5.6)
  • Headache: Evaluate significant change in headaches and discontinue norgestimate and ethinyl estradiol if indicated. (5.7)
  • Bleeding Irregularities and Amenorrhea: Evaluate irregular bleeding or amenorrhea. (5.8)
5.14 Hereditary Angioedema

In women with hereditary angioedema, exogenous estrogens may induce or exacerbate symptoms of angioedema.

2 Dosage and Administration (2 DOSAGE AND ADMINISTRATION)
  • Take one tablet daily by mouth at the same time every day. (2.2)
  • Take tablets in the order directed on the blister pack. (2.2)
  • Do not skip or delay tablet intake. (2.2)
Use in Specific Populations

Use in Specific Populations

3 Dosage Forms and Strengths (3 DOSAGE FORMS AND STRENGTHS)

Tri-Lo-Estarylla tablets are available in a blister card. Each blister card contains 28 tablets in the following order:

  • 7 white, round, coated tablets imprinted "SZ" on one side and "T5" on the other side contains 0.18 mg norgestimate and 0.025 mg ethinyl estradiol.
  • 7 light blue, round, coated tablets imprinted "SZ" on one side and "T6" on the other side contains 0.215 mg norgestimate and 0.025 mg ethinyl estradiol.
  • 7 blue, round, coated tablets imprinted "SZ" on one side and "T7" on the other side contains 0.25 mg norgestimate and 0.025 mg ethinyl estradiol.
  • 7 green, round, coated tablets imprinted "SZ" on one side and "J1" on the other side contains inert ingredients.
6.2 Postmarketing Experience

Post Marketing Experience

Five studies that compared breast cancer risk between ever-users (current or past use) of COCs and never-users of COCs reported no association between ever use of COCs and breast cancer risk, with effect estimates ranging from 0.90 - 1.12 (Figure 2). Three studies compared breast cancer risk between current or recent COC users (<6 months since last use) and never users of COCs (Figure 2). One of these studies reported no association between breast cancer risk and COC use. The other two studies found an increased relative risk of 1.19 - 1.33 with current or recent use. Both of these studies found an increased risk of breast cancer with current use of longer duration, with relative risks ranging from 1.03 with less than one year of COC use to approximately 1.4 with more than 8-10 years of COC use.

Figure 2: Risk of Breast Cancer with Combined Oral Contraceptive Use

RR = relative risk; OR = odds ratio; HR = hazard ratio. “ever COC” are females with current or past COC use; “never COC use” are females that never used COCs.

The following additional adverse drug reactions have been reported from worldwide postmarketing experience with norgestimate/ethinyl estradiol. Because these reactions are reported voluntarily from a population of uncertain size, it is not always possible to reliably estimate their frequency or establish a causal relationship to drug exposure.

Infections and Infestations: Urinary tract infection

Neoplasms Benign, Malignant and Unspecified (Including Cysts and Polyps): Breast cancer, benign breast neoplasm, hepatic adenoma, focal nodular hyperplasia, breast cyst

Immune System Disorders: Hypersensitivity

Metabolism and Nutrition Disorders: Dyslipidemia

Psychiatric Disorders: Anxiety, insomnia

Nervous System Disorders: Syncope, convulsion, paresthesia, dizziness

Eye Disorders: Visual impairment, dry eye, contact lens intolerance

Ear and Labyrinth Disorders: Vertigo

Cardiac Disorders: Tachycardia, palpitations

Vascular Events: Deep vein thrombosis, pulmonary embolism, retinal vascular thrombosis, hot flush

Arterial Events: Arterial thromboembolism, myocardial infarction, cerebrovascular accident

Respiratory, Thoracic and Mediastinal Disorders: Dyspnea

Gastrointestinal Disorders: Pancreatitis, abdominal distension, diarrhea, constipation

Hepatobiliary Disorders: Hepatitis

Skin and Subcutaneous Tissue Disorders: Angioedema, erythema nodosum, hirsutism, night sweats, hyperhidrosis, photosensitivity reaction, urticaria, pruritus, acne

Musculoskeletal, Connective Tissue, and Bone Disorders: Muscle spasms, pain in extremity, myalgia, back pain

Reproductive System and Breast Disorders: Ovarian cyst, suppressed lactation, vulvovaginal dryness

General Disorders and Administration Site Conditions: Chest pain, asthenic conditions.

6.1 Clinical Trial Experience

Because clinical trials are conducted under widely varying conditions, adverse reaction rates observed in the clinical trials of a drug cannot be directly compared to rates in the clinical trials of another drug and may not reflect the rates observed in clinical practice.

The safety of norgestimate and ethinyl estradiol was evaluated in 1,723 subjects who participated in a randomized, partially blinded, multicenter, active-controlled clinical trial of norgestimate and ethinyl estradiol for contraception. This trial examined healthy, nonpregnant, volunteers aged 18 to 45 (nonsmoker if 35 to 45 years of age), who were sexually active with regular coitus. Subjects were followed for up to 13 28-day cycles.

8 Use in Specific Populations (8 USE IN SPECIFIC POPULATIONS)

Nursing mothers: Not recommended; can decrease milk production. (8.3)

Amenorrhea and Oligomenorrhea

Amenorrhea and Oligomenorrhea

Women who use norgestimate and ethinyl estradiol may experience amenorrhea. Some women may experience amenorrhea or oligomenorrhea after discontinuation of COCs, especially when such a condition was pre-existent.

If scheduled (withdrawal) bleeding does not occur, consider the possibility of pregnancy. If the patient has not adhered to the prescribed dosing schedule (missed one or more active tablets or started taking them on a day later than she should have), consider the possibility of pregnancy at the time of the first missed period and take appropriate diagnostic measures. If the patient has adhered to the prescribed regimen and misses two consecutive periods, rule out pregnancy.

2.2 How to Take Tri Lo Estarylla (2.2 How to Take Tri-Lo-Estarylla)
  • Table 1: Instructions for Administration of Tri-Lo-Estarylla

Starting COCs in women not currently using hormonal contraception (Day 1 Start or Sunday Start)

Important:

Consider the possibility of ovulation and conception prior to initiation of this product.

Tablet Color:

  • Tri-Lo-Estarylla active tablets are white (Day 1 to Day 7), light blue (Day 8 to Day 14) and blue (Day 15 to Day 21).
  • Tri-Lo-Estarylla inactive tablets are green (Day 22 to Day 28).

Day 1 Start:

  • Take first active tablet without regard to meals on the first day of menses.
  • Take subsequent active tablets once daily at the same time each day for a total of 21 days.
  • Take one green inactive tablet daily for 7 days and at the same time of day that active tablets were taken.
  • Begin each subsequent pack on the same day of the week as the first cycle pack (i.e., on the day after taking the last inactive tablet)

Sunday Start:

  • Take first active tablet without regard to meals on the first Sunday after the onset of menses. Due to the potential risk of becoming pregnant, use additional non-hormonal contraception (such as condoms and spermicide) for the first seven days of the patient's first cycle pack of Tri-Lo-Estarylla .
  • Take subsequent active tablets once daily at the same time each day for a total of 21 days.
  • Take one green inactive tablet daily for the following 7 days and at the same time of day that active tablets were taken.
  • Begin each subsequent pack on the same day of the week as the first cycle pack (i.e., on the Sunday after taking the last inactive tablet) and additional non-hormonal contraceptive is not needed.

Switching to Tri-Lo-Estarylla from another oral contraceptive

Start on the same day that a new pack of the previous oral contraceptive would have started.

Switching from another contraceptive method to Tri-Lo-Estarylla

Start Tri-Lo-Estarylla:

  • Transdermal patch
  • On the day when next application would have been scheduled
  • Vaginal ring
  • On the day when next insertion would have been scheduled
  • Injection
  • On the day when next injection would have been scheduled
  • Intrauterine contraceptive
  • On the day of removal
  • If the IUD is not removed on first day of the patient's menstrual cycle, additional non-hormonal contraceptive (such as condoms and spermicide) is needed for the first seven days of the first cycle pack.
  • Implant
  • On the day of removal

Complete instructions to facilitate patient counseling on proper tablet usage are located in the FDA-Approved Patient Labeling.

5.12 Effect On Binding Globulins (5.12 Effect on Binding Globulins)

The estrogen component of COCs may raise the serum concentrations of thyroxine-binding globulin, sex hormone-binding globulin, and cortisol-binding globulin. The dose of replacement thyroid hormone or cortisol therapy may need to be increased.

17 Patient Counseling Information (17 PATIENT COUNSELING INFORMATION)

See FDA-approved patient labeling (Patient Information and Instruction for Use).

Counsel patients about the following information:

  • Cigarette smoking increases the risk of serious cardiovascular events from COC use, and that women who are over 35 years old and smoke should not use COCs [see Boxed Warning].
  • Increased risk of VTE compared to non-users of COCs is greatest after initially starting a COC or restarting (following a 4-week or greater pill-free interval) the same or a different COC [see WARNINGS AND PRECAUTIONS (5.1) ].
  • Tri-Lo-Estarylla does not protect against HIV infection (AIDS) and other sexually transmitted infections.
  • Tri-Lo-Estarylla is not to be used during pregnancy; if pregnancy occurs during use of Tri-Lo-Estarylla instruct the patient to stop further use [see WARNINGS AND PRECAUTIONS (5.9) ].
  • Take one tablet daily by mouth at the same time every day. Instruct patients what to do in the event tablets are missed [see DOSAGE AND ADMINISTRATION (2.2)].
  • Use a back-up or alternative method of contraception when enzyme inducers are used with Tri-Lo-Estarylla [see DRUG INTERACTIONS (7.1)].
  • COCs may reduce breast milk production, this is less likely to occur if breastfeeding is well established [see USE IN SPECIFIC POPULATIONS (8.3)].
  • Women who start COCs postpartum; and who have not yet had a period, should use an additional method of contraception until they have taken a white tablet for 7 consecutive days [see DOSAGE AND ADMINISTRATION (2.2)].
  • Amenorrhea may occur. Consider pregnancy in the event of amenorrhea at the time of the first missed period. Rule out pregnancy in the event of amenorrhea in two or more consecutive cycles [see WARNINGS AND PRECAUTIONS (5.8) ].

Tri-Estarylla is a registered trademark of Xiromed Pharma España, S.L.

Manufactured by Laboratorios Leon Farma S.A., Spain

for Xiromed LLC. Florham Park, NJ 07932

Product of Spain

PI-121-03

Rev. 02/2023

2.1 How to Start Tri Lo Estarylla (2.1 How to Start Tri-Lo-Estarylla)

Tri-Lo-Estarylla is dispensed in a blister pack [see HOW SUPPLIED/STORAGE AND HANDLING (16) ]. Tri-Lo-Estarylla may be started using either a Day 1 start or a Sunday start (see Table 1). For the first cycle of a Sunday Start regimen, an additional method of contraception should be used until after the first 7 consecutive days of administration.

Unscheduled Bleeding and Spotting

Unscheduled Bleeding and Spotting

Unscheduled (breakthrough or intracyclic) bleeding and spotting sometimes occur in patients on COCs, especially during the first three months of use. If bleeding persists or occurs after previously regular cycles, check for causes such as pregnancy or malignancy. If pathology and pregnancy are excluded, bleeding irregularities may resolve over time or with a change to a different contraceptive product.

In the clinical trial of norgestimate and ethinyl estradiol, the frequency and duration of unscheduled bleeding and/or spotting was assessed in 1,673 women (11,015 evaluable cycles). A total of 3 (0.2%) women discontinued norgestimate and ethinyl estradiol, at least in part, due to bleeding or spotting. Based on data from the clinical trials, 7 to 17% of women using norgestimate and ethinyl estradiol experienced unscheduled bleeding per cycle in the first year. The percent of women who experienced unscheduled bleeding tended to decrease over time.

Human Immunodeficiency Virus (hiv) (Human Immunodeficiency Virus (HIV))

Human Immunodeficiency Virus (HIV)/Hepatitis C Virus (HCV) Protease Inhibitors and Non-nucleoside Reverse Transcriptase Inhibitors

Significant changes (increase or decrease) in the plasma concentrations of estrogen and/or progestin have been noted in some cases of co-administration with HIV protease inhibitors (decrease [e.g., nelfinavir, ritonavir, darunavir/ritonavir, (fos)amprenavir/ritonavir, lopinavir/ritonavir, and tipranavir/ritonavir] or increase [e.g., indinavir and atazanavir/ritonavir])/HCV protease inhibitors (decrease [e.g., boceprevir and telaprevir]) or with non-nucleoside reverse transcriptase inhibitors (decrease [e.g., nevirapine] or increase [e.g., etravirine]).

16 How Supplied/storage and Handling (16 HOW SUPPLIED/STORAGE AND HANDLING)

16.1 How Supplied

Norgestimate and Ethinyl Estradiol tablets, USP are available in a blister card:

Each blister card (28 tablets) contains in the following order:

7 white, round, coated tablets imprinted "SZ" on one side and "T5" on the other side contains 0.18 mg of the progestational compound, norgestimate, together with 0.025 mg of the estrogenic compound, ethinyl estradiol.

7 light blue, round, coated tablets imprinted "SZ" on one side and "T6" on the other side contains 0.215 mg of the progestational compound, norgestimate, together with 0.025 mg of the estrogenic compound, ethinyl estradiol.

7 blue, round, coated tablets imprinted "SZ" on one side and "T7" on the other side contains 0.25 mg of the progestational compound, norgestimate, together with 0.025 mg of the estrogenic compound, ethinyl estradiol.

7 green, round, coated tablets imprinted "SZ" on one side and "J1" on the other side contains inert ingredients.



NDC 63629-2351-1, one box containing 3 individual unit cartons

16.2 Storage Conditions

Store at 20° to 25°C (68° to 77°F) [see USP Controlled Room Temperature].

Protect from light.

Keep out of the reach of children.

Repackaged/Relabeled by:

Bryant Ranch Prepack, Inc.

Burbank, CA 91504

7.3 Interference With Laboratory Tests (7.3 Interference with Laboratory Tests)

The use of contraceptive steroids may influence the results of certain laboratory tests, such as coagulation factors, lipids, glucose tolerance, and binding proteins.

Starting Tri Lo Estarylla After Childbirth (Starting Tri-Lo-Estarylla after childbirth)

Starting Tri-Lo-Estarylla after Childbirth

BEFORE YOU START TAKING YOUR PILLS

  • 1.
    DECIDE WHAT TIME OF DAY YOU WANT TO TAKE YOUR PILL.

    It is important to take it at about the same time every day.
  • 2.
    The 28-pill pack has 21 white, light blue, and blue "active" pills (with hormones) to take for 3 weeks. This is followed by 1 week of green "reminder" pills (without hormones).
  • 3.
    ALSO FIND:
  • 1)
    where on the pack to start taking pills,
  • 2)
    in what order to take the pills (follow the arrows),
  • 3)
    The week numbers as shown in the diagram below.

  • 4.
    BE SURE YOU HAVE READY AT ALL TIMES:

    ANOTHER KIND OF BIRTH CONTROL (such as condoms or spermicide) to use as a back-up method in case you miss pills.

    AN EXTRA, FULL PILL PACK.
5.6 Carbohydrate and Lipid Metabolic Effects

Carefully monitor prediabetic and diabetic women who take norgestimate and ethinyl estradiol. COCs may decrease glucose tolerance.

Consider alternative contraception for women with uncontrolled dyslipidemia. A small proportion of women will have adverse lipid changes while on COCs.

Women with hypertriglyceridemia, or a family history thereof, may be at an increased risk of pancreatitis when using COCs.

5.9 Coc Use Before Or During Early Pregnancy (5.9 COC Use Before or During Early Pregnancy)

Extensive epidemiological studies have revealed no increased risk of birth defects in women who have used oral contraceptives prior to pregnancy. Studies also do not suggest a teratogenic effect, particularly in so far as cardiac anomalies and limb reduction defects are concerned, when oral contraceptives are taken inadvertently during early pregnancy. Discontinue norgestimate and ethinyl estradiol use if pregnancy is confirmed.

Administration of COCs to induce withdrawal bleeding should not be used as a test for pregnancy [see USE IN SPECIFIC POPULATIONS (8.1)].

5.16 Risk of Allergic Reactions Due to Tartrazine

This product contains FD&C Yellow No. 5 (tartrazine) which may cause allergic-type reactions (including bronchial asthma) in certain susceptible persons. Although the overall incidence of FD&C Yellow No. 5 (tartrazine) sensitivity in the general population is low, it is frequently seen in patients who also have aspirin hypersensitivity.

Adverse Reactions Leading to Study Discontinuation

Adverse Reactions Leading to Study Discontinuation

In the clinical trial of norgestimate and ethinyl estradiol 4% of subjects discontinued the trial due to an adverse reaction. The most common adverse reactions leading to discontinuation were headache/migraine (1.2%), nausea/vomiting (0.7%), cervical dysplasia (0.7%), abdominal pain (0.4%), ovarian cyst (0.3%), acne (0.2%), flatulence (0.2%) and depression (0.2%).

Effects of Body Weight, Body Surface Area, and Age

Effects of Body Weight, Body Surface Area, and Age

The effects of body weight, body surface area, age and race on the pharmacokinetics of NGMN, NG and EE were evaluated in 79 healthy women using pooled data following single dose administration of NGM 0.180 or 0.250 mg / EE 0.025 mg tablets in four pharmacokinetic studies. Increasing body weight and body surface area were each associated with decreases in Cmax and AUC0–24h values for NGMN and EE and increases in CL/F (oral clearance) for EE. Increasing body weight by 10 kg is predicted to reduce the following parameters: NGMN Cmax by 9% and AUC0–24h by 19%, NG Cmax by 12% and AUC0–24h by 46%, EE Cmax by 13% and AUC0–24h by 12%. These changes were statistically significant. Increasing age was associated with slight decreases (6% with increasing age by 5 years) in Cmax and AUC0–24h for NGMN and were statistically significant, but there was no significant effect for NG or EE. Only a small to moderate fraction (5 to 40%) of the overall variability in the pharmacokinetics of NGMN and EE following norgestimate and ethinyl estradiol tablets may be explained by any or all of the above demographic parameters.

2.4 Advice in Case of Gastrointestinal Disturbances

In case of severe vomiting or diarrhea, absorption may not be complete and additional contraceptive measures should be taken. If vomiting or diarrhea occurs within 3 to 4 hours after taking an active tablet, handle this as a missed tablet [see FDA-Approved Patient Labeling].

Starting Tri Lo Estarylla After Abortion Or Miscarriage (Starting Tri-Lo-Estarylla after Abortion or Miscarriage)

Starting Tri-Lo-Estarylla after Abortion or Miscarriage

Substances Decreasing the Plasma Concentrations of Cocs (Substances decreasing the plasma concentrations of COCs)

Substances Decreasing the Plasma Concentrations of COCs

Drugs or herbal products that induce certain enzymes, including cytochrome P450 3A4 (CYP3A4), may decrease the plasma concentrations of COCs and potentially diminish the effectiveness of COCs or increase breakthrough bleeding. Some drugs or herbal products that may decrease the effectiveness of COCs include phenytoin, barbiturates, carbamazepine, bosentan, felbamate, griseofulvin, oxcarbazepine, rifampicin, topiramate, rifabutin, rufinamide, aprepitant and products containing St. John's wort. Interactions between COCs and other drugs may lead to breakthrough bleeding and/or contraceptive failure. Counsel women to use an alternative method of contraception or a back-up method when enzyme inducers are used with COCs, and to continue back-up contraception for 28 days after discontinuing the enzyme inducer to ensure contraceptive reliability.

Substances Increasing the Plasma Concentrations of Cocs (Substances increasing the plasma concentrations of COCs)

Substances Increasing the Plasma Concentrations of COCs

Co-administration of atorvastatin or rosuvastatin and certain COCs containing EE increase AUC values for EE by approximately 20 to 25%. Ascorbic acid and acetaminophen may increase plasma EE concentrations, possibly by inhibition of conjugation. CYP3A4 inhibitors such as itraconazole, voriconazole, fluconazole, grapefruit juice, or ketoconazole may increase plasma hormone concentrations.

5.1 Thromboembolic Disorders and Other Vascular Problems
  • Stop norgestimate and ethinyl estradiol if an arterial thrombotic event or venous thrombotic (VTE) event occurs.
  • Stop norgestimate and ethinyl estradiol if there is unexplained loss of vision, proptosis, diplopia, papilledema, or retinal vascular lesions. Evaluate for retinal vein thrombosis immediately [see ADVERSE REACTIONS (6.2)].
  • If feasible, stop norgestimate and ethinyl estradiol at least 4 weeks before and through 2 weeks after major surgery or other surgeries known to have an elevated risk of VTE as well as during and following prolonged immobilization.
  • Start norgestimate and ethinyl estradiol no earlier than 4 weeks after delivery, in women who are not breastfeeding. The risk of postpartum VTE decreases after the third postpartum week, whereas the risk of ovulation increases after the third postpartum week.
  • The use of COCs increases the risk of VTE. However, pregnancy increases the risk of VTE as much or more than the use of COCs. The risk of VTE in women using COCs is 3 to 9 cases per 10,000 woman-years. The risk of VTE is highest during the first year of use of COCs and when restarting hormonal contraception after a break of 4 weeks or longer. The risk of thromboembolic disease due to COCs gradually disappears after use is discontinued.
  • Use of COCs also increases the risk of arterial thromboses such as strokes and myocardial infarctions, especially in women with other risk factors for these events. COCs have been shown to increase both the relative and attributable risks of cerebrovascular events (thrombotic and hemorrhagic strokes). This risk increases with age, particularly in women over 35 years of age who smoke.
  • Use COCs with caution in women with cardiovascular disease risk factors.
13.1 Carcinogenesis, Mutagenesis, Impairment of Fertility
7.2 Effects of Combined Oral Contraceptives On Other Drugs (7.2 Effects of Combined Oral Contraceptives on Other Drugs)
  • COCs containing EE may inhibit the metabolism of other compounds (e.g., cyclosporine, prednisolone, theophylline, tizanidine, and voriconazole) and increase their plasma concentrations.
  • COCs have been shown to decrease plasma concentrations of acetaminophen, clofibric acid, morphine, salicylic acid, temazepam and lamotrigine. Significant decrease in plasma concentration of lamotrigine has been shown, likely due to induction of lamotrigine glucuronidation. This may reduce seizure control; therefore, dosage adjustments of lamotrigine may be necessary.

    Women on thyroid hormone replacement therapy may need increased doses of thyroid hormone because the serum concentration of thyroid-binding globulin increases with use of COCs.
Warning: Cigarette Smoking and Serious Cardiovascular Events (WARNING: CIGARETTE SMOKING and SERIOUS CARDIOVASCULAR EVENTS)

Cigarette smoking increases the risk of serious cardiovascular events from combination oral contraceptive (COC) use. This risk increases with age, particularly in women over 35 years of age, and with the number of cigarettes smoked. For this reason, COCs are contraindicated in women who are over 35 years of age and smoke [see CONTRAINDICATIONS (4)].

7.4 Concomitant Use With Hcv Combination Therapy ? Liver Enzyme Elevation (7.4 Concomitant Use with HCV Combination Therapy ? Liver Enzyme Elevation)

Do not co-administer norgestimate and ethinyl estradiol with HCV drug combinations containing ombitasvir/paritaprevir/ritonavir, with or without dasabuvir, due to potential for ALT elevations [see WARNINGS AND PRECAUTIONS (5.3)]

5.3 Risk of Liver Enzyme Elevations With Concomitant Hepatitis C Treatment (5.3 Risk of Liver Enzyme Elevations with Concomitant Hepatitis C Treatment)

During clinical trials with the Hepatitis C combination drug regimen that contains ombitasvir/paritaprevir/ritonavir, with or without dasabuvir, ALT elevations greater than 5 times the upper limit of normal (ULN), including some cases greater than 20 times the ULN, were significantly more frequent in women using ethinyl estradiol-containing medications, such as COCs. Discontinue norgestimate and ethinyl estradiol prior to starting therapy with the combination drug regimen ombitasvir/paritaprevir/ritonavir, with or without dasabuvir [see CONTRAINDICATIONS (4) ]. Norgestimate and ethinyl estradiol can be restarted approximately 2 weeks following completion of treatment with the Hepatitis C combination drug regimen.


Advanced Ingredient Data


Raw Label Data

All Sections (JSON)