These Highlights Do Not Include All The Information Needed To Use Lotemax Ointment Safely And Effectively. See Full Prescribing Information For Lotemax Ointment.

These Highlights Do Not Include All The Information Needed To Use Lotemax Ointment Safely And Effectively. See Full Prescribing Information For Lotemax Ointment.
SPL v17
SPL
SPL Set ID 902a3c6b-2625-44ec-a077-926e012b3176
Route
OPHTHALMIC
Published
Effective Date 2022-11-30
Document Type 34391-3 HUMAN PRESCRIPTION DRUG LABEL

Drug Facts

Composition & Product

Active Ingredients
Loteprednol (5 mg)
Inactive Ingredients
Mineral Oil Petrolatum

Identifiers & Packaging

Marketing Status
NDA Active Since 2011-04-15

Description

LOTEMAX ® (loteprednol etabonate ophthalmic ointment) 0.5% ointment is a corticosteroid indicated for the treatment of post-operative inflammation and pain following ocular surgery.

Indications and Usage

LOTEMAX ® (loteprednol etabonate ophthalmic ointment) 0.5% ointment is a corticosteroid indicated for the treatment of post-operative inflammation and pain following ocular surgery.

Dosage and Administration

Wash hands prior to using LOTEMAX ointment. Apply a small amount (approximately ½ inch ribbon) into the conjunctival sac(s) four times daily beginning 24 hours after surgery and continuing throughout the first 2 weeks of the post-operative period.

Warnings and Precautions

• Intraocular Pressure (IOP) Increase : Prolonged use of corticosteroids may result in glaucoma with damage to the optic nerve, defects in visual acuity and fields of vision. If this product is used for 10 days or longer, IOP should be monitored even though it may be difficult in children and uncooperative patients. ( 5.1 ) • Cataracts : Use of corticosteroids may result in posterior subcapsular cataract formation. ( 5.2 ) • Delayed Healing : The use of steroids after cataract surgery may delay healing and increase the incidence of bleb formation. In those diseases causing thinning of the cornea or sclera, perforations have been known to occur with the use of topical steroids. ( 5.3 ) • Bacterial Infections : Prolonged use of corticosteroids may suppress the host response and thus increase the hazard of secondary ocular infections. In acute purulent conditions, steroids may mask infection or enhance existing infection. ( 5.4 ) • Viral Infections : Employment of a corticosteroid medication in the treatment of patients with a history of herpes simplex requires great caution. Use of ocular steroids may prolong the course and may exacerbate the severity of many viral infections of the eye (including herpes simplex). ( 5.5 ) • Fungal Infections : Fungal infections of the cornea are particularly prone to develop coincidentally with long-term local steroid application. Fungus invasion must be considered in any persistent corneal ulceration where a steroid has been used or is in use. ( 5.6 )

Contraindications

LOTEMAX ointment, as with other ophthalmic corticosteroids, is contraindicated in most viral diseases of the cornea and conjunctiva including epithelial herpes simplex keratitis (dendritic keratitis), vaccinia, and varicella, and also in mycobacterial infection of the eye and fungal diseases of ocular structures.

Adverse Reactions

Adverse reactions associated with ophthalmic steroids include elevated intraocular pressure, which may be associated with optic nerve damage, visual acuity and field defects, posterior subcapsular cataract formation, secondary ocular infection from pathogens including herpes simplex, and perforation of the globe where there is thinning of the cornea or sclera. The most common ocular adverse event reported at approximately 25% in subjects in clinical studies with LOTEMAX ointment was anterior chamber inflammation. Other common adverse events, with an incidence of 4-5%, were conjunctival hyperemia, corneal edema, and eye pain. Many of these events may have been the consequence of the surgical procedure. The only non-ocular adverse event occurring at ≥ 1% was headache (1.5%).

Storage and Handling

LOTEMAX ® (loteprednol etabonate ophthalmic ointment) 0.5% is a sterile ointment supplied in a tin tube with a pink polypropylene cap in the following size: NDC 24208-443-35 3.5 g tube DO NOT USE IF TAMPER-EVIDENT SKIRT IS VISIBLE ON BOTTOM OF CAP. Storage: Store between 15°C to 25°C (59°F to 77°F). After opening, LOTEMAX can be used until the expiration date on the tube.

How Supplied

LOTEMAX ® (loteprednol etabonate ophthalmic ointment) 0.5% is a sterile ointment supplied in a tin tube with a pink polypropylene cap in the following size: NDC 24208-443-35 3.5 g tube DO NOT USE IF TAMPER-EVIDENT SKIRT IS VISIBLE ON BOTTOM OF CAP. Storage: Store between 15°C to 25°C (59°F to 77°F). After opening, LOTEMAX can be used until the expiration date on the tube.


Medication Information

Warnings and Precautions

• Intraocular Pressure (IOP) Increase : Prolonged use of corticosteroids may result in glaucoma with damage to the optic nerve, defects in visual acuity and fields of vision. If this product is used for 10 days or longer, IOP should be monitored even though it may be difficult in children and uncooperative patients. ( 5.1 ) • Cataracts : Use of corticosteroids may result in posterior subcapsular cataract formation. ( 5.2 ) • Delayed Healing : The use of steroids after cataract surgery may delay healing and increase the incidence of bleb formation. In those diseases causing thinning of the cornea or sclera, perforations have been known to occur with the use of topical steroids. ( 5.3 ) • Bacterial Infections : Prolonged use of corticosteroids may suppress the host response and thus increase the hazard of secondary ocular infections. In acute purulent conditions, steroids may mask infection or enhance existing infection. ( 5.4 ) • Viral Infections : Employment of a corticosteroid medication in the treatment of patients with a history of herpes simplex requires great caution. Use of ocular steroids may prolong the course and may exacerbate the severity of many viral infections of the eye (including herpes simplex). ( 5.5 ) • Fungal Infections : Fungal infections of the cornea are particularly prone to develop coincidentally with long-term local steroid application. Fungus invasion must be considered in any persistent corneal ulceration where a steroid has been used or is in use. ( 5.6 )

Indications and Usage

LOTEMAX ® (loteprednol etabonate ophthalmic ointment) 0.5% ointment is a corticosteroid indicated for the treatment of post-operative inflammation and pain following ocular surgery.

Dosage and Administration

Wash hands prior to using LOTEMAX ointment. Apply a small amount (approximately ½ inch ribbon) into the conjunctival sac(s) four times daily beginning 24 hours after surgery and continuing throughout the first 2 weeks of the post-operative period.

Contraindications

LOTEMAX ointment, as with other ophthalmic corticosteroids, is contraindicated in most viral diseases of the cornea and conjunctiva including epithelial herpes simplex keratitis (dendritic keratitis), vaccinia, and varicella, and also in mycobacterial infection of the eye and fungal diseases of ocular structures.

Adverse Reactions

Adverse reactions associated with ophthalmic steroids include elevated intraocular pressure, which may be associated with optic nerve damage, visual acuity and field defects, posterior subcapsular cataract formation, secondary ocular infection from pathogens including herpes simplex, and perforation of the globe where there is thinning of the cornea or sclera. The most common ocular adverse event reported at approximately 25% in subjects in clinical studies with LOTEMAX ointment was anterior chamber inflammation. Other common adverse events, with an incidence of 4-5%, were conjunctival hyperemia, corneal edema, and eye pain. Many of these events may have been the consequence of the surgical procedure. The only non-ocular adverse event occurring at ≥ 1% was headache (1.5%).

Storage and Handling

LOTEMAX ® (loteprednol etabonate ophthalmic ointment) 0.5% is a sterile ointment supplied in a tin tube with a pink polypropylene cap in the following size: NDC 24208-443-35 3.5 g tube DO NOT USE IF TAMPER-EVIDENT SKIRT IS VISIBLE ON BOTTOM OF CAP. Storage: Store between 15°C to 25°C (59°F to 77°F). After opening, LOTEMAX can be used until the expiration date on the tube.

How Supplied

LOTEMAX ® (loteprednol etabonate ophthalmic ointment) 0.5% is a sterile ointment supplied in a tin tube with a pink polypropylene cap in the following size: NDC 24208-443-35 3.5 g tube DO NOT USE IF TAMPER-EVIDENT SKIRT IS VISIBLE ON BOTTOM OF CAP. Storage: Store between 15°C to 25°C (59°F to 77°F). After opening, LOTEMAX can be used until the expiration date on the tube.

Description

LOTEMAX ® (loteprednol etabonate ophthalmic ointment) 0.5% ointment is a corticosteroid indicated for the treatment of post-operative inflammation and pain following ocular surgery.

5.2 Cataracts

Use of corticosteroids may result in posterior subcapsular cataract formation.

8.1 Pregnancy

Risk Summary

There are no adequate and well-controlled studies with loteprednol etabonate in pregnant women.

Loteprednol etabonate produced teratogenicity at clinically relevant doses in the rabbit and rat when administered orally during pregnancy. Loteprednol etabonate produced malformations when administered orally to pregnant rabbits at doses ≥ 1.6 times the recommended human ophthalmic dose (RHOD) and to pregnant rats at doses ≥ 41 times the RHOD. In pregnant rats receiving oral doses of loteprednol etabonate during the period equivalent to the last trimester of pregnancy through lactation in humans, survival of offspring was reduced at doses ≥ 4 times the RHOD. Maternal toxicity was observed in rats at doses ≥ 405 times the RHOD, and a maternal no observed adverse effect level (NOAEL) was established at 41 times the RHOD.

The background risk of major birth defects and miscarriage for the indicated population is unknown. However, the background risk in the U.S. general population of major birth defects is 2 to 4%, and of miscarriage is 15 to 20%, of clinically recognized pregnancies.

Data

Animal Data

Embryofetal studies were conducted in pregnant rabbits administered loteprednol etabonate by oral gavage on gestation Days 6 to 18, to target the period of organogenesis. Loteprednol etabonate produced fetal malformations at doses ≥ 0.1 mg/kg (1.6 times the recommended human ophthalmic dose (RHOD) based on body surface area, assuming 100% absorption). Spina bifida (including meningocele) was observed at doses ≥ 0.1 mg/kg, and exencephaly and craniofacial malformations were observed at doses ≥ 0.4 mg/kg (6.5 times the RHOD). At 3 mg/kg (49 times the RHOD), loteprednol etabonate was associated with increased incidences of abnormal left common carotid artery, limb flexures, umbilical hernia, scoliosis, and delayed ossification. Abortion and embryofetal lethality (resorption) occurred at doses ≥ 6 mg/kg (97 times the RHOD). A NOAEL for developmental toxicity was not established in this study. The NOAEL for maternal toxicity in rabbits was 3 mg/kg/day.

Embryofetal studies were conducted in pregnant rats administered loteprednol etabonate by oral gavage on gestation Days 6 to 15, to target the period of organogenesis. Loteprednol etabonate produced fetal malformations, including absent innominate artery at doses ≥ 5 mg/kg (41 times the RHOD); and cleft palate, agnathia, cardiovascular defects, umbilical hernia, decreased fetal body weight and decreased skeletal ossification at doses ≥ 50 mg/kg (410 times the RHOD). Embryofetal lethality (resorption) was observed at 100 mg/kg (811 times the RHOD). The NOAEL for developmental toxicity in rats was 0.5 mg/kg (4 times the RHOD). Loteprednol etabonate was maternally toxic (reduced body weight gain) at doses of ≥ 50 mg/kg/day. The NOAEL for maternal toxicity was 5 mg/kg.

A peri-/postnatal study was conducted in rats administered loteprednol etabonate by oral gavage from gestation Day 15 (start of fetal period) to postnatal Day 21 (the end of lactation period). At doses ≥ 0.5 mg/kg (4 times the clinical dose), reduced survival was observed in live-born offspring. Doses ≥ 5 mg/kg (41 times the RHOD) caused umbilical hernia/incomplete gastrointestinal tract. Doses ≥ 50 mg/kg (410 times the RHOD) produced maternal toxicity (reduced body weight gain, death), decreased number of live-born offspring, decreased birth weight, and delays in postnatal development. A developmental NOAEL was not established in this study. The NOAEL for maternal toxicity was 5 mg/kg.

8.2 Lactation

There are no data on the presence of loteprednol etabonate in human milk, the effects on the breastfed infant, or the effects on milk production. The developmental and health benefits of breastfeeding should be considered, along with the mother’s clinical need for LOTEMAX (loteprednol etabonate ophthalmic ointment) 0.5% and any potential adverse effects on the breastfed infant from LOTEMAX.

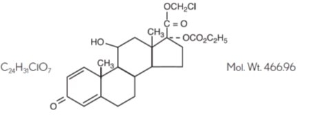
11 Description

LOTEMAX® (loteprednol etabonate ophthalmic ointment) 0.5% is a sterile, topical corticosteroid for ophthalmic use. Loteprednol etabonate is a white to off-white powder.

Loteprednol etabonate is represented by the following structural formula:

Chemical name:

chloromethyl 17α-[(ethoxycarbonyl)oxy]-11β-hydroxy-3-oxoandrosta-1,4-diene-17β-carboxylate

Each gram contains:

Active: Loteprednol etabonate 5 mg (0.5%);

Inactives: Mineral Oil and White Petrolatum.

8.4 Pediatric Use

Safety and effectiveness in pediatric patients have not been established.

8.5 Geriatric Use

No overall differences in safety and effectiveness have been observed between elderly and younger adult patients.

14 Clinical Studies

In two independent, randomized, multicenter, double-masked, parallel-group, vehicle-controlled studies in 805 subjects meeting a protocol-specified threshold amount of anterior chamber inflammation, LOTEMAX ointment was more effective compared to its vehicle for complete resolution of post-operative anterior chamber cell, flare, and pain following cataract surgery. Primary endpoint was complete resolution of anterior chamber cells and flare (cell count of 0 and no flare) and no pain at post-operative Day 8. The individual clinical trial results are provided below.

In the two studies, LOTEMAX had statistically significant higher incidence of complete clearing of anterior chamber cells and flare at post-operative Day 8 (24-32% vs. 11-14%) and also had a statistically significant higher incidence of subjects that were pain free at post-operative Day 8 (73-78% vs. 41-45%).

4 Contraindications

LOTEMAX ointment, as with other ophthalmic corticosteroids, is contraindicated in most viral diseases of the cornea and conjunctiva including epithelial herpes simplex keratitis (dendritic keratitis), vaccinia, and varicella, and also in mycobacterial infection of the eye and fungal diseases of ocular structures.

5.3 Delayed Healing

The use of steroids after cataract surgery may delay healing and increase the incidence of bleb formation. In those diseases causing thinning of the cornea or sclera, perforations have been known to occur with the use of topical steroids.

The initial prescription and renewal of the medication order beyond 14 days should be made by a physician only after examination of the patient with the aid of magnification such as slit lamp biomicroscopy and, where appropriate, fluorescein staining.

6 Adverse Reactions

Adverse reactions associated with ophthalmic steroids include elevated intraocular pressure, which may be associated with optic nerve damage, visual acuity and field defects, posterior subcapsular cataract formation, secondary ocular infection from pathogens including herpes simplex, and perforation of the globe where there is thinning of the cornea or sclera.

The most common ocular adverse event reported at approximately 25% in subjects in clinical studies with LOTEMAX ointment was anterior chamber inflammation. Other common adverse events, with an incidence of 4-5%, were conjunctival hyperemia, corneal edema, and eye pain. Many of these events may have been the consequence of the surgical procedure. The only non-ocular adverse event occurring at ≥ 1% was headache (1.5%).

5.5 Viral Infections

Employment of a corticosteroid medication in the treatment of patients with a history of herpes simplex requires great caution. Use of ocular steroids may prolong the course and may exacerbate the severity of many viral infections of the eye (including herpes simplex).

12.3 Pharmacokinetics

The systemic exposure to loteprednol etabonate following ocular administration of LOTEMAX ointment has not been studied in humans. However, results from a bioavailability study with LOTEMAX suspension in normal volunteers established that plasma concentrations of loteprednol etabonate and Δ¹ cortienic acid etabonate (PJ 91), its primary, inactive metabolite, were below the limit of quantitation (1 ng/mL) at all sampling times. The results were obtained following the ocular administration of one drop in each eye of 0.5% loteprednol etabonate suspension, 8 times daily for 2 days or 4 times daily for 42 days. The maximum systemic exposure to loteprednol following administration of the ointment product dosed 4 times daily is not expected to exceed exposures attained with LOTEMAX suspension dosed up to two drops 4 times daily.

5.6 Fungal Infections

Fungal infections of the cornea are particularly prone to develop coincidentally with long-term local steroid application. Fungus invasion must be considered in any persistent corneal ulceration where a steroid has been used or is in use. Fungal culture should be taken when appropriate.

5.8 Contact Lens Wear

Patients should not wear contact lenses during their course of therapy with LOTEMAX ointment.

1 Indications and Usage

LOTEMAX® (loteprednol etabonate ophthalmic ointment) 0.5% ointment is a corticosteroid indicated for the treatment of post-operative inflammation and pain following ocular surgery.

12.1 Mechanism of Action

Corticosteroids inhibit the inflammatory response to a variety of inciting agents and probably delay or slow healing. They inhibit the edema, fibrin deposition, capillary dilation, leukocyte migration, capillary proliferation, fibroblast proliferation, deposition of collagen, and scar formation associated with inflammation. While glucocorticoids are known to bind to and activate the glucocorticoid receptor, the molecular mechanisms involved in glucocorticoid/glucocorticoid receptor‑dependent modulation of inflammation are not clearly established. However, corticosteroids are thought to inhibit prostaglandin production through several independent mechanisms.

5.4 Bacterial Infections

Prolonged use of corticosteroids may suppress the host response and thus increase the hazard of secondary ocular infections. In acute purulent conditions, steroids may mask infection or enhance existing infection. If signs and symptoms fail to improve after 2 days, the patient should be re-evaluated.

5.7 Risk of Contamination

Do not touch the eyelid or surrounding areas with the tip of the tube. The cap should remain on the tube when not in use.

5 Warnings and Precautions
  • Intraocular Pressure (IOP) Increase: Prolonged use of corticosteroids may result in glaucoma with damage to the optic nerve, defects in visual acuity and fields of vision. If this product is used for 10 days or longer, IOP should be monitored even though it may be difficult in children and uncooperative patients. ( 5.1 )
  • Cataracts: Use of corticosteroids may result in posterior subcapsular cataract formation. ( 5.2 )
  • Delayed Healing: The use of steroids after cataract surgery may delay healing and increase the incidence of bleb formation. In those diseases causing thinning of the cornea or sclera, perforations have been known to occur with the use of topical steroids. ( 5.3 )
  • Bacterial Infections: Prolonged use of corticosteroids may suppress the host response and thus increase the hazard of secondary ocular infections. In acute purulent conditions, steroids may mask infection or enhance existing infection. ( 5.4 )
  • Viral Infections: Employment of a corticosteroid medication in the treatment of patients with a history of herpes simplex requires great caution. Use of ocular steroids may prolong the course and may exacerbate the severity of many viral infections of the eye (including herpes simplex). ( 5.5 )
  • Fungal Infections: Fungal infections of the cornea are particularly prone to develop coincidentally with long-term local steroid application. Fungus invasion must be considered in any persistent corneal ulceration where a steroid has been used or is in use. ( 5.6 )
5.9 Topical Ophthalmic Use

LOTEMAX is not indicated for intraocular administration.

2 Dosage and Administration

Wash hands prior to using LOTEMAX ointment.

Apply a small amount (approximately ½ inch ribbon) into the conjunctival sac(s) four times daily beginning 24 hours after surgery and continuing throughout the first 2 weeks of the post-operative period.

3 Dosage Forms and Strengths

Ophthalmic ointment containing loteprednol etabonate 0.5%.

17 Patient Counseling Information

Risk of Contamination

Advise patients to wash hands prior to using LOTEMAX ointment.

Advise patients not to touch the eyelid or surrounding areas with the tip of the tube. The cap should remain on the tube when not in use.

Contact Lens Wear

Advise patients not to wear contact lenses during their course of therapy.

Risk of Secondary Infection

Advise patients to consult a physician if pain, redness, itching or inflammation becomes aggravated [see Warnings and Precautions (5.4)].

Distributed by:

Bausch & Lomb Americas Inc.

Bridgewater, NJ 08807 USA

Manufactured by:

Bausch & Lomb Incorporated

Tampa, FL 33637 USA

LOTEMAX is a trademark of Bausch & Lomb Incorporated or its affiliates.

© 2022 Bausch & Lomb Incorporated or its affiliates

9234905 (Folded)

9234805 (Flat)

16 How Supplied/storage and Handling

LOTEMAX® (loteprednol etabonate ophthalmic ointment) 0.5% is a sterile ointment supplied in a tin tube with a pink polypropylene cap in the following size:

NDC 24208-443-35 3.5 g tube

DO NOT USE IF TAMPER-EVIDENT SKIRT IS VISIBLE ON BOTTOM OF CAP.

Storage: Store between 15°C to 25°C (59°F to 77°F). After opening, LOTEMAX can be used until the expiration date on the tube.

Package/label Principal Display Panel

NDC 24208-443-35

BAUSCH + LOMB

Lotemax®

loteprednol etabonate

ophthalmic ointment 0.5%

FOR TOPICAL OPHTHALMIC USE

Rx only

Sterile

Net. Wt. (3.5 g) 1/8oz.

5.1 Intraocular Pressure (iop) Increase

Prolonged use of corticosteroids may result in glaucoma with damage to the optic nerve, defects in visual acuity and fields of vision. Steroids should be used with caution in the presence of glaucoma. If this product is used for 10 days or longer, IOP should be monitored even though it may be difficult in children and uncooperative patients.

13.1 Carcinogenesis, Mutagenesis, Impairment of Fertility

Long-term animal studies have not been conducted to evaluate the carcinogenic potential of loteprednol etabonate. Loteprednol etabonate was not genotoxic in vitro in the Ames test, the mouse lymphoma tk assay, or in a chromosome aberration test in human lymphocytes, or in vivo in the single-dose mouse micronucleus assay.

Treatment of female and male rats with doses ≥ 25 mg/kg/day of loteprednol etabonate (203 times the RHOD based on body surface area, assuming 100% absorption) prior to and during mating caused preimplantation loss and decreased the number of live fetuses/live births. The NOAEL for fertility in rats was 5 mg/kg/day (41 times the RHOD).


Structured Label Content

5.2 Cataracts

Use of corticosteroids may result in posterior subcapsular cataract formation.

8.1 Pregnancy

Risk Summary

There are no adequate and well-controlled studies with loteprednol etabonate in pregnant women.

Loteprednol etabonate produced teratogenicity at clinically relevant doses in the rabbit and rat when administered orally during pregnancy. Loteprednol etabonate produced malformations when administered orally to pregnant rabbits at doses ≥ 1.6 times the recommended human ophthalmic dose (RHOD) and to pregnant rats at doses ≥ 41 times the RHOD. In pregnant rats receiving oral doses of loteprednol etabonate during the period equivalent to the last trimester of pregnancy through lactation in humans, survival of offspring was reduced at doses ≥ 4 times the RHOD. Maternal toxicity was observed in rats at doses ≥ 405 times the RHOD, and a maternal no observed adverse effect level (NOAEL) was established at 41 times the RHOD.

The background risk of major birth defects and miscarriage for the indicated population is unknown. However, the background risk in the U.S. general population of major birth defects is 2 to 4%, and of miscarriage is 15 to 20%, of clinically recognized pregnancies.

Data

Animal Data

Embryofetal studies were conducted in pregnant rabbits administered loteprednol etabonate by oral gavage on gestation Days 6 to 18, to target the period of organogenesis. Loteprednol etabonate produced fetal malformations at doses ≥ 0.1 mg/kg (1.6 times the recommended human ophthalmic dose (RHOD) based on body surface area, assuming 100% absorption). Spina bifida (including meningocele) was observed at doses ≥ 0.1 mg/kg, and exencephaly and craniofacial malformations were observed at doses ≥ 0.4 mg/kg (6.5 times the RHOD). At 3 mg/kg (49 times the RHOD), loteprednol etabonate was associated with increased incidences of abnormal left common carotid artery, limb flexures, umbilical hernia, scoliosis, and delayed ossification. Abortion and embryofetal lethality (resorption) occurred at doses ≥ 6 mg/kg (97 times the RHOD). A NOAEL for developmental toxicity was not established in this study. The NOAEL for maternal toxicity in rabbits was 3 mg/kg/day.

Embryofetal studies were conducted in pregnant rats administered loteprednol etabonate by oral gavage on gestation Days 6 to 15, to target the period of organogenesis. Loteprednol etabonate produced fetal malformations, including absent innominate artery at doses ≥ 5 mg/kg (41 times the RHOD); and cleft palate, agnathia, cardiovascular defects, umbilical hernia, decreased fetal body weight and decreased skeletal ossification at doses ≥ 50 mg/kg (410 times the RHOD). Embryofetal lethality (resorption) was observed at 100 mg/kg (811 times the RHOD). The NOAEL for developmental toxicity in rats was 0.5 mg/kg (4 times the RHOD). Loteprednol etabonate was maternally toxic (reduced body weight gain) at doses of ≥ 50 mg/kg/day. The NOAEL for maternal toxicity was 5 mg/kg.

A peri-/postnatal study was conducted in rats administered loteprednol etabonate by oral gavage from gestation Day 15 (start of fetal period) to postnatal Day 21 (the end of lactation period). At doses ≥ 0.5 mg/kg (4 times the clinical dose), reduced survival was observed in live-born offspring. Doses ≥ 5 mg/kg (41 times the RHOD) caused umbilical hernia/incomplete gastrointestinal tract. Doses ≥ 50 mg/kg (410 times the RHOD) produced maternal toxicity (reduced body weight gain, death), decreased number of live-born offspring, decreased birth weight, and delays in postnatal development. A developmental NOAEL was not established in this study. The NOAEL for maternal toxicity was 5 mg/kg.

8.2 Lactation

There are no data on the presence of loteprednol etabonate in human milk, the effects on the breastfed infant, or the effects on milk production. The developmental and health benefits of breastfeeding should be considered, along with the mother’s clinical need for LOTEMAX (loteprednol etabonate ophthalmic ointment) 0.5% and any potential adverse effects on the breastfed infant from LOTEMAX.

11 Description (11 DESCRIPTION)

LOTEMAX® (loteprednol etabonate ophthalmic ointment) 0.5% is a sterile, topical corticosteroid for ophthalmic use. Loteprednol etabonate is a white to off-white powder.

Loteprednol etabonate is represented by the following structural formula:

Chemical name:

chloromethyl 17α-[(ethoxycarbonyl)oxy]-11β-hydroxy-3-oxoandrosta-1,4-diene-17β-carboxylate

Each gram contains:

Active: Loteprednol etabonate 5 mg (0.5%);

Inactives: Mineral Oil and White Petrolatum.

8.4 Pediatric Use

Safety and effectiveness in pediatric patients have not been established.

8.5 Geriatric Use

No overall differences in safety and effectiveness have been observed between elderly and younger adult patients.

14 Clinical Studies (14 CLINICAL STUDIES)

In two independent, randomized, multicenter, double-masked, parallel-group, vehicle-controlled studies in 805 subjects meeting a protocol-specified threshold amount of anterior chamber inflammation, LOTEMAX ointment was more effective compared to its vehicle for complete resolution of post-operative anterior chamber cell, flare, and pain following cataract surgery. Primary endpoint was complete resolution of anterior chamber cells and flare (cell count of 0 and no flare) and no pain at post-operative Day 8. The individual clinical trial results are provided below.

In the two studies, LOTEMAX had statistically significant higher incidence of complete clearing of anterior chamber cells and flare at post-operative Day 8 (24-32% vs. 11-14%) and also had a statistically significant higher incidence of subjects that were pain free at post-operative Day 8 (73-78% vs. 41-45%).

4 Contraindications (4 CONTRAINDICATIONS)

LOTEMAX ointment, as with other ophthalmic corticosteroids, is contraindicated in most viral diseases of the cornea and conjunctiva including epithelial herpes simplex keratitis (dendritic keratitis), vaccinia, and varicella, and also in mycobacterial infection of the eye and fungal diseases of ocular structures.

5.3 Delayed Healing

The use of steroids after cataract surgery may delay healing and increase the incidence of bleb formation. In those diseases causing thinning of the cornea or sclera, perforations have been known to occur with the use of topical steroids.

The initial prescription and renewal of the medication order beyond 14 days should be made by a physician only after examination of the patient with the aid of magnification such as slit lamp biomicroscopy and, where appropriate, fluorescein staining.

6 Adverse Reactions (6 ADVERSE REACTIONS)

Adverse reactions associated with ophthalmic steroids include elevated intraocular pressure, which may be associated with optic nerve damage, visual acuity and field defects, posterior subcapsular cataract formation, secondary ocular infection from pathogens including herpes simplex, and perforation of the globe where there is thinning of the cornea or sclera.

The most common ocular adverse event reported at approximately 25% in subjects in clinical studies with LOTEMAX ointment was anterior chamber inflammation. Other common adverse events, with an incidence of 4-5%, were conjunctival hyperemia, corneal edema, and eye pain. Many of these events may have been the consequence of the surgical procedure. The only non-ocular adverse event occurring at ≥ 1% was headache (1.5%).

5.5 Viral Infections

Employment of a corticosteroid medication in the treatment of patients with a history of herpes simplex requires great caution. Use of ocular steroids may prolong the course and may exacerbate the severity of many viral infections of the eye (including herpes simplex).

12.3 Pharmacokinetics

The systemic exposure to loteprednol etabonate following ocular administration of LOTEMAX ointment has not been studied in humans. However, results from a bioavailability study with LOTEMAX suspension in normal volunteers established that plasma concentrations of loteprednol etabonate and Δ¹ cortienic acid etabonate (PJ 91), its primary, inactive metabolite, were below the limit of quantitation (1 ng/mL) at all sampling times. The results were obtained following the ocular administration of one drop in each eye of 0.5% loteprednol etabonate suspension, 8 times daily for 2 days or 4 times daily for 42 days. The maximum systemic exposure to loteprednol following administration of the ointment product dosed 4 times daily is not expected to exceed exposures attained with LOTEMAX suspension dosed up to two drops 4 times daily.

5.6 Fungal Infections

Fungal infections of the cornea are particularly prone to develop coincidentally with long-term local steroid application. Fungus invasion must be considered in any persistent corneal ulceration where a steroid has been used or is in use. Fungal culture should be taken when appropriate.

5.8 Contact Lens Wear

Patients should not wear contact lenses during their course of therapy with LOTEMAX ointment.

1 Indications and Usage (1 INDICATIONS AND USAGE)

LOTEMAX® (loteprednol etabonate ophthalmic ointment) 0.5% ointment is a corticosteroid indicated for the treatment of post-operative inflammation and pain following ocular surgery.

12.1 Mechanism of Action

Corticosteroids inhibit the inflammatory response to a variety of inciting agents and probably delay or slow healing. They inhibit the edema, fibrin deposition, capillary dilation, leukocyte migration, capillary proliferation, fibroblast proliferation, deposition of collagen, and scar formation associated with inflammation. While glucocorticoids are known to bind to and activate the glucocorticoid receptor, the molecular mechanisms involved in glucocorticoid/glucocorticoid receptor‑dependent modulation of inflammation are not clearly established. However, corticosteroids are thought to inhibit prostaglandin production through several independent mechanisms.

5.4 Bacterial Infections

Prolonged use of corticosteroids may suppress the host response and thus increase the hazard of secondary ocular infections. In acute purulent conditions, steroids may mask infection or enhance existing infection. If signs and symptoms fail to improve after 2 days, the patient should be re-evaluated.

5.7 Risk of Contamination

Do not touch the eyelid or surrounding areas with the tip of the tube. The cap should remain on the tube when not in use.

5 Warnings and Precautions (5 WARNINGS AND PRECAUTIONS)
  • Intraocular Pressure (IOP) Increase: Prolonged use of corticosteroids may result in glaucoma with damage to the optic nerve, defects in visual acuity and fields of vision. If this product is used for 10 days or longer, IOP should be monitored even though it may be difficult in children and uncooperative patients. ( 5.1 )
  • Cataracts: Use of corticosteroids may result in posterior subcapsular cataract formation. ( 5.2 )
  • Delayed Healing: The use of steroids after cataract surgery may delay healing and increase the incidence of bleb formation. In those diseases causing thinning of the cornea or sclera, perforations have been known to occur with the use of topical steroids. ( 5.3 )
  • Bacterial Infections: Prolonged use of corticosteroids may suppress the host response and thus increase the hazard of secondary ocular infections. In acute purulent conditions, steroids may mask infection or enhance existing infection. ( 5.4 )
  • Viral Infections: Employment of a corticosteroid medication in the treatment of patients with a history of herpes simplex requires great caution. Use of ocular steroids may prolong the course and may exacerbate the severity of many viral infections of the eye (including herpes simplex). ( 5.5 )
  • Fungal Infections: Fungal infections of the cornea are particularly prone to develop coincidentally with long-term local steroid application. Fungus invasion must be considered in any persistent corneal ulceration where a steroid has been used or is in use. ( 5.6 )
5.9 Topical Ophthalmic Use

LOTEMAX is not indicated for intraocular administration.

2 Dosage and Administration (2 DOSAGE AND ADMINISTRATION)

Wash hands prior to using LOTEMAX ointment.

Apply a small amount (approximately ½ inch ribbon) into the conjunctival sac(s) four times daily beginning 24 hours after surgery and continuing throughout the first 2 weeks of the post-operative period.

3 Dosage Forms and Strengths (3 DOSAGE FORMS AND STRENGTHS)

Ophthalmic ointment containing loteprednol etabonate 0.5%.

17 Patient Counseling Information (17 PATIENT COUNSELING INFORMATION)

Risk of Contamination

Advise patients to wash hands prior to using LOTEMAX ointment.

Advise patients not to touch the eyelid or surrounding areas with the tip of the tube. The cap should remain on the tube when not in use.

Contact Lens Wear

Advise patients not to wear contact lenses during their course of therapy.

Risk of Secondary Infection

Advise patients to consult a physician if pain, redness, itching or inflammation becomes aggravated [see Warnings and Precautions (5.4)].

Distributed by:

Bausch & Lomb Americas Inc.

Bridgewater, NJ 08807 USA

Manufactured by:

Bausch & Lomb Incorporated

Tampa, FL 33637 USA

LOTEMAX is a trademark of Bausch & Lomb Incorporated or its affiliates.

© 2022 Bausch & Lomb Incorporated or its affiliates

9234905 (Folded)

9234805 (Flat)

16 How Supplied/storage and Handling (16 HOW SUPPLIED/STORAGE AND HANDLING)

LOTEMAX® (loteprednol etabonate ophthalmic ointment) 0.5% is a sterile ointment supplied in a tin tube with a pink polypropylene cap in the following size:

NDC 24208-443-35 3.5 g tube

DO NOT USE IF TAMPER-EVIDENT SKIRT IS VISIBLE ON BOTTOM OF CAP.

Storage: Store between 15°C to 25°C (59°F to 77°F). After opening, LOTEMAX can be used until the expiration date on the tube.

Package/label Principal Display Panel (PACKAGE/LABEL PRINCIPAL DISPLAY PANEL)

NDC 24208-443-35

BAUSCH + LOMB

Lotemax®

loteprednol etabonate

ophthalmic ointment 0.5%

FOR TOPICAL OPHTHALMIC USE

Rx only

Sterile

Net. Wt. (3.5 g) 1/8oz.

5.1 Intraocular Pressure (iop) Increase (5.1 Intraocular Pressure (IOP) Increase)

Prolonged use of corticosteroids may result in glaucoma with damage to the optic nerve, defects in visual acuity and fields of vision. Steroids should be used with caution in the presence of glaucoma. If this product is used for 10 days or longer, IOP should be monitored even though it may be difficult in children and uncooperative patients.

13.1 Carcinogenesis, Mutagenesis, Impairment of Fertility

Long-term animal studies have not been conducted to evaluate the carcinogenic potential of loteprednol etabonate. Loteprednol etabonate was not genotoxic in vitro in the Ames test, the mouse lymphoma tk assay, or in a chromosome aberration test in human lymphocytes, or in vivo in the single-dose mouse micronucleus assay.

Treatment of female and male rats with doses ≥ 25 mg/kg/day of loteprednol etabonate (203 times the RHOD based on body surface area, assuming 100% absorption) prior to and during mating caused preimplantation loss and decreased the number of live fetuses/live births. The NOAEL for fertility in rats was 5 mg/kg/day (41 times the RHOD).


Advanced Ingredient Data


Raw Label Data

All Sections (JSON)