These Highlights Do Not Include All The Information Needed To Use

these highlights do not include all the information needed to use
SPL v5
SPL
SPL Set ID 9015d3dc-1ab4-2582-e053-2995a90a1679
Route
oral
Published
Effective Date 2025-10-07
Document Type 34391-3 HUMAN PRESCRIPTION DRUG LABEL

Drug Facts

Composition & Product

Active Ingredients
amoxicillin anhydrous (875 mg) clavulanic acid (125 mg)
Inactive Ingredients
silicon dioxide ethylcelluloses hypromelloses magnesium stearate microcrystalline cellulose propylene glycol sodium starch glycolate type a potato titanium dioxide

Identifiers & Packaging

Pill Appearance
Imprint: WW949 Shape: capsule Color: white Size: 22 mm Score: 2
Marketing Status
anda active Since 2016-08-23

Indications and Usage

To reduce the development of drug-resistant bacteria and maintain the effectiveness of Amoxicillin and Clavulanate Potassium Tablets and other antibacterial drugs, Amoxicillin and Clavulanate Potassium Tabletsshould be used only to treat infections that are proven or strongly suspected to be caused by susceptible bacteria. When culture and susceptibility information are available, they should be considered in selecting or modifying antibacterial therapy. In the absence of such data, local epidemiology and susceptibility patterns may contribute to the empiric selection of therapy. Amoxicillin and Clavulanate Potassium Tablets is a combination penicillin-class antibacterial and beta-lactamase inhibitor indicated in the treatment of infections due to susceptible isolates of the designated bacteria in the conditions listed below*:

Dosage and Administration

Amoxicillin and Clavulanate Potassium Tablets may be taken without regard to meals; however, absorption of clavulanate potassium is enhanced when Amoxicillin and Clavulanate Potassium Tablets is administered at the start of a meal. To minimize the potential for gastrointestinal intolerance, Amoxicillin and Clavulanate Potassium Tablets should be taken at the start of a meal.

Contraindications

History of a serious hypersensitivity reaction (e.g., anaphylaxis or  Stevens-Johnson syndrome) to Amoxicillin and Clavulanate Potassium Tablets or to other beta-lactams (e.g., penicillins or cephalosporins) ( 4 ) History of cholestatic jaundice/hepatic dysfunction associated with Amoxicillin and Clavulanate Potassium Tablets ( 4 )

Warnings and Precautions

Serious (including fatal) hypersensitivity reactions: Discontinue Amoxicillin and Clavulanate Potassium Tablets if a reaction occurs. ( 5.1 ) Hepatic dysfunction and cholestatic jaundice: Discontinue if signs/symptoms of hepatitis occur. Monitor liver function tests in patients with hepatic impairment. ( 5.2 ) Clostridiu m   difficile -associated diarrhea (CDAD): Evaluate patients if diarrhea occurs. ( 5.3 ) Patients with mononucleosis who receive Amoxicillin and Clavulanate Potassium Tablets develop skin rash. Avoid Amoxicillin and Clavulanate Potassium Tablets use in these patients. ( 5.4 ) Overgrowth: The possibility of superinfections with fungal or bacterial pathogens should be considered during therapy. ( 5.5 )

Adverse Reactions

The following are discussed in more detail in other sections of the labeling: Anaphylactic reactions [see W arnings   and Precautions ( 5.1 )] Hepatic Dysfunction [see W arnings   and Precautions ( 5.2 )] CDAD  [see W arnings   and Precautions ( 5.3 )]

Drug Interactions

Co-administration with probenecid is not recommended. ( 7.1 ) Concomitant use of Amoxicillin and Clavulanate Potassium Tablets and oral anticoagulants may increase the prolongation of prothrombin time. ( 7.2 ) Co-administration with allopurinol increases the risk of rash. ( 7.3 ) Amoxicillin and Clavulanate Potassium Tablets may reduce efficacy of oral contraceptives. ( 7.4 )

How Supplied

Amoxicillin and Clavulanate Potassium Tablets, USP 875mg/125mg : Each scored white capsule-shaped tablet, debossed with WW949 on the upper side and scored on the other side, contains 875 mg amoxicillin as the trihydrate and 125 mg clavulanic acid as the potassium salt. NDC 68071-5026-4 BOTTLES OF 14 Store at 20° to 25°C (68° to 77°F) [See USP Controlled Room Temperature]. Dispense in a tight container as defined in the USP, with a child-resistant closure (as required). Advise patients to keep in a closed container. KEEP THIS AND ALL MEDICATIONS OUT OF THE REACH OF CHILDREN.

Storage and Handling

Amoxicillin and Clavulanate Potassium Tablets, USP 875mg/125mg : Each scored white capsule-shaped tablet, debossed with WW949 on the upper side and scored on the other side, contains 875 mg amoxicillin as the trihydrate and 125 mg clavulanic acid as the potassium salt. NDC 68071-5026-4 BOTTLES OF 14 Store at 20° to 25°C (68° to 77°F) [See USP Controlled Room Temperature]. Dispense in a tight container as defined in the USP, with a child-resistant closure (as required). Advise patients to keep in a closed container. KEEP THIS AND ALL MEDICATIONS OUT OF THE REACH OF CHILDREN.

Description

To reduce the development of drug-resistant bacteria and maintain the effectiveness of Amoxicillin and Clavulanate Potassium Tablets and other antibacterial drugs, Amoxicillin and Clavulanate Potassium Tabletsshould be used only to treat infections that are proven or strongly suspected to be caused by susceptible bacteria. When culture and susceptibility information are available, they should be considered in selecting or modifying antibacterial therapy. In the absence of such data, local epidemiology and susceptibility patterns may contribute to the empiric selection of therapy. Amoxicillin and Clavulanate Potassium Tablets is a combination penicillin-class antibacterial and beta-lactamase inhibitor indicated in the treatment of infections due to susceptible isolates of the designated bacteria in the conditions listed below*:


Medication Information

Warnings and Precautions

Serious (including fatal) hypersensitivity reactions: Discontinue Amoxicillin and Clavulanate Potassium Tablets if a reaction occurs. ( 5.1 ) Hepatic dysfunction and cholestatic jaundice: Discontinue if signs/symptoms of hepatitis occur. Monitor liver function tests in patients with hepatic impairment. ( 5.2 ) Clostridiu m   difficile -associated diarrhea (CDAD): Evaluate patients if diarrhea occurs. ( 5.3 ) Patients with mononucleosis who receive Amoxicillin and Clavulanate Potassium Tablets develop skin rash. Avoid Amoxicillin and Clavulanate Potassium Tablets use in these patients. ( 5.4 ) Overgrowth: The possibility of superinfections with fungal or bacterial pathogens should be considered during therapy. ( 5.5 )

Indications and Usage

To reduce the development of drug-resistant bacteria and maintain the effectiveness of Amoxicillin and Clavulanate Potassium Tablets and other antibacterial drugs, Amoxicillin and Clavulanate Potassium Tabletsshould be used only to treat infections that are proven or strongly suspected to be caused by susceptible bacteria. When culture and susceptibility information are available, they should be considered in selecting or modifying antibacterial therapy. In the absence of such data, local epidemiology and susceptibility patterns may contribute to the empiric selection of therapy. Amoxicillin and Clavulanate Potassium Tablets is a combination penicillin-class antibacterial and beta-lactamase inhibitor indicated in the treatment of infections due to susceptible isolates of the designated bacteria in the conditions listed below*:

Dosage and Administration

Amoxicillin and Clavulanate Potassium Tablets may be taken without regard to meals; however, absorption of clavulanate potassium is enhanced when Amoxicillin and Clavulanate Potassium Tablets is administered at the start of a meal. To minimize the potential for gastrointestinal intolerance, Amoxicillin and Clavulanate Potassium Tablets should be taken at the start of a meal.

Contraindications

History of a serious hypersensitivity reaction (e.g., anaphylaxis or  Stevens-Johnson syndrome) to Amoxicillin and Clavulanate Potassium Tablets or to other beta-lactams (e.g., penicillins or cephalosporins) ( 4 ) History of cholestatic jaundice/hepatic dysfunction associated with Amoxicillin and Clavulanate Potassium Tablets ( 4 )

Adverse Reactions

The following are discussed in more detail in other sections of the labeling: Anaphylactic reactions [see W arnings   and Precautions ( 5.1 )] Hepatic Dysfunction [see W arnings   and Precautions ( 5.2 )] CDAD  [see W arnings   and Precautions ( 5.3 )]

Drug Interactions

Co-administration with probenecid is not recommended. ( 7.1 ) Concomitant use of Amoxicillin and Clavulanate Potassium Tablets and oral anticoagulants may increase the prolongation of prothrombin time. ( 7.2 ) Co-administration with allopurinol increases the risk of rash. ( 7.3 ) Amoxicillin and Clavulanate Potassium Tablets may reduce efficacy of oral contraceptives. ( 7.4 )

Storage and Handling

Amoxicillin and Clavulanate Potassium Tablets, USP 875mg/125mg : Each scored white capsule-shaped tablet, debossed with WW949 on the upper side and scored on the other side, contains 875 mg amoxicillin as the trihydrate and 125 mg clavulanic acid as the potassium salt. NDC 68071-5026-4 BOTTLES OF 14 Store at 20° to 25°C (68° to 77°F) [See USP Controlled Room Temperature]. Dispense in a tight container as defined in the USP, with a child-resistant closure (as required). Advise patients to keep in a closed container. KEEP THIS AND ALL MEDICATIONS OUT OF THE REACH OF CHILDREN.

How Supplied

Amoxicillin and Clavulanate Potassium Tablets, USP 875mg/125mg : Each scored white capsule-shaped tablet, debossed with WW949 on the upper side and scored on the other side, contains 875 mg amoxicillin as the trihydrate and 125 mg clavulanic acid as the potassium salt. NDC 68071-5026-4 BOTTLES OF 14 Store at 20° to 25°C (68° to 77°F) [See USP Controlled Room Temperature]. Dispense in a tight container as defined in the USP, with a child-resistant closure (as required). Advise patients to keep in a closed container. KEEP THIS AND ALL MEDICATIONS OUT OF THE REACH OF CHILDREN.

Description

To reduce the development of drug-resistant bacteria and maintain the effectiveness of Amoxicillin and Clavulanate Potassium Tablets and other antibacterial drugs, Amoxicillin and Clavulanate Potassium Tabletsshould be used only to treat infections that are proven or strongly suspected to be caused by susceptible bacteria. When culture and susceptibility information are available, they should be considered in selecting or modifying antibacterial therapy. In the absence of such data, local epidemiology and susceptibility patterns may contribute to the empiric selection of therapy. Amoxicillin and Clavulanate Potassium Tablets is a combination penicillin-class antibacterial and beta-lactamase inhibitor indicated in the treatment of infections due to susceptible isolates of the designated bacteria in the conditions listed below*:

5.3

Clostridium difficile associated diarrhea (CDAD) has been reported with use of nearly all antibacterial agents, including Amoxicillin and Clavulanate Potassium Tablets, and may range in severity from mild diarrhea to fatal colitis. Treatment with antibacterial agents alters the normal flora of the colon leading to overgrowth of C. difficile.

C. difficile produces toxins A and B which contribute to the development of CDAD. Hypertoxin-producing strains of C. difficile cause increased morbidity and mortality, as these infections can be refractory to antimicrobial therapy and may require colectomy. CDAD must be considered in all patients who present with diarrhea following antibacterial use. Careful medical history is necessary since CDAD has been reported to occur over 2 months after the administration of antibacterial agents.

If CDAD is suspected or confirmed, ongoing antibacterial use not directed against  C. difficile may need to be discontinued. Appropriate fluid and electrolyte management, protein supplementation, antibacterial treatment of C. difficile, and surgical evaluation should be instituted as clinically indicated.

Section 51945-4

2.1 Adults

For severe infections and infections of the respiratory tract, the dose should be one 875-mg tablet of Amoxicillin and Clavulanate Potassium every 12 hours.

1.3 Sinusitis

- caused by beta-lactamase-producing isolates of H. influenzae and M. catarrhalis

10 Overdosage

In case of overdosage, discontinue medication, treat symptomatically, and institute supportive measures as required. A prospective study of 51 pediatric patients at a poison-control center suggested that overdosages of less than 250 mg/kg of amoxicillin are not associated with significant clinical symptoms 1.

Interstitial nephritis resulting in oliguric renal failure has been reported in patients after overdosage with amoxicillin/clavulanate potassium.

Crystalluria, in some cases leading to renal failure, has also been reported after amoxicillin/ clavulanate potassium overdosage in adult and pediatric patients. In case of overdosage, adequate fluid intake and diuresis should be maintained to reduce the risk of amoxicillin/clavulanate potassium crystalluria.

Renal impairment appears to be reversible with cessation of drug administration. High blood levels may occur more readily in patients with impaired renal function because of decreased renal clearance of amoxicillin/clavulanate potassium. Amoxicillin/clavulanate potassium may be removed from circulation by hemodialysis. [see Dosage and   Administration ( 2.3 )]

15 References

1. Swanson-Biearman B, Dean BS, Lopez G, Krenzelok EP. The effects of penicillin and cephalosporin ingestions in children less than six years of age.Vet Hum Toxicol. 1988; 30: 66-67.



8.1 Pregnancy

Teratogenic Effects:  Pregnancy Category B. Reproduction studies performed in pregnant rats and mice given Amoxicillin and Clavulanate Potassium Tablets (2:1 ratio formulation of amoxicillin:clavulanate) at oral doses up to 1200 mg/kg/day revealed no evidence of harm to the fetus due to Amoxicillin and Clavulanate Potassium Tablets. The amoxicillin doses in rats and mice (based on body surface area) were approximately 4 and 2 times the maximum recommended adult human oral dose (875 mg every 12 hours). For clavulanate, these dose multiples were approximately 9 and 4 times the maximum recommended adult human oral dose (125 mg every 8 hours). There are, however, no adequate and well-controlled studies in pregnant women. Because animal reproduction studies are not always predictive of human response, this drug should be used during pregnancy only if clearly needed.

11 Description

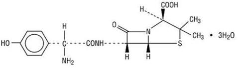
Amoxicillin and Clavulanate Potassium Tablets, USP is an oral antibacterial combination consisting of amoxicillin and the beta-lactamase inhibitor, clavulanate potassium (the potassium salt of clavulanic acid). Amoxicillin is an analog of ampicillin, derived from the basic penicillin nucleus, 6-aminopenicillanic acid. 

The amoxicillin molecular formula is C 16H 19N 3 O 5 S•3H 2O, and the molecular weight is 419.46. Chemically, amoxicillin is (2 S,5 R,6 R)-6-[( R)-(-)-2-Amino-2-( p-hydroxyphenyl) acetamido]-3,3-dimethyl-7-oxo-4-thia-1-azabicyclo[3.2.0]heptane-2-carboxylic acid trihydrate and may be represented structurally as:

Clavulanic acid is produced by the fermentation of Streptomyces clavuligerus. It is a beta-lactam structurally related to the penicillins and possesses the ability to inactivate some beta-lactamases by blocking the active sites of these enzymes. The clavulanate potassium molecular formula is C 8H 8KNO 5 , and the molecular weight is 237.25. Chemically, clavulanate potassium is potassium (Z) (2R,5R)-3-(2-hydroxyethylidene)-7-oxo-4-oxa-1-azabicyclo[3.2.0]-heptane-2-carboxylate and may be represented structurally as:

Inactive Ingredients:

Colloidal silicon dioxide, ethylcellulose, hypromellose, magnesium stearate, microcrystalline cellulose, propylene glycol, sodium starch glycolate, and titanium dioxide.

Each tablet of amoxicillin/clavulanate potassium contains 0.63 mEq potassium.

7.1 Probenecid

Probenecid decreases the renal tubular secretion of amoxicillin but does not delay renal excretion of clavulanic acid. Concurrent use with Amoxicillin and Clavulanate Potassium Tablets may result in increased and prolonged blood concentrations of amoxicillin. Coadministration of probenecid is not recommended.

7.3 Allopurinol

The concurrent administration of allopurinol and amoxicillin increases the incidence of rashes in patients receiving both drugs as compared to patients receiving amoxicillin alone. It is not known whether this potentiation of amoxicillin rashes is due to allopurinol or the hyperuricemia present in these patients.

12.4 Microbiology

Amoxicillin is a semisynthetic antibiotic with in vitro bactericidal activity against Gram-positive and Gram-negative bacteria. Amoxicillin is, however, susceptible to degradation by beta-lactamases, and therefore, the spectrum of activity does not include organisms which produce these enzymes.

Clavulanic acid is a beta-lactam, structurally related to the penicillins, which possesses the ability to inactivate some beta-lactamase enzymes commonly found in microorganisms resistant to penicillins and cephalosporins. In particular, it has good activity against the clinically important plasmid- mediated beta-lactamases frequently responsible for transferred drug resistance.

The formulation of amoxicillin and clavulanic acid in Amoxicillin and Clavulanate Potassium Tablets protects amoxicillin from degradation by some beta-lactamase enzymes and extends the antibiotic spectrum of amoxicillin to include many bacteria normally resistant to amoxicillin. Amoxicillin/clavulanic acid has been shown to be active against most isolates of the following bacteria, both in vitro and in clinical infections as described in the INDICATIONS AND USAGE section.

Gram-positive bacteria

Staphylococcus aureus

Gram-negative bacteria

Enterobacter species

Escherichia coli

Haemophilus influenza e  

Klebsiella species

Moraxella catarrhalis

The following in vitro data are available, but their clinical significance is unknown. At least 90 percent of the following bacteria exhibit an in vitro minimum inhibitory concentration (MIC) less than or equal to the susceptible breakpoint for amoxicillin/clavulanic acid. However, the efficacy of amoxicillin/clavulanic acid in treating clinical infections due to these bacteria  has not   been established in adequate and well-controlled clinical trials.

Gram-positive bacteria

Enterococcus faecalis

Staphylococcus epidermidis

Staphylococcus saprophyticus

Streptococcus pneumoniae

Streptococcus pyogenes

Viridans group Streptococcus

Gram-negative Bacteria

Eikenella corrodens

Proteus mirabilis

Anaerobic Bacteria

Bacteroides species including Bacteroides fragilis

Fusobacterium species

Peptostreptococcus species

Susceptibility Testing

For specific information regarding susceptibility test interpretive criteria and associated test methods and quality control standards recognized by FDA for this drug, please see: https://www.fda.gov/STIC.

8.4 Pediatric Use

The safety and effectiveness of Amoxicillin and Clavulanate Potassium Powder for Oral Suspension and Chewable Tablets have been established in pediatric patients. Use of Amoxicillin and Clavulanate Potassium in pediatric patients is supported by evidence from studies of Amoxicillin and Clavulanate Potassium Tablets in adults with additional data from a study of Amoxicillin and Clavulanate Potassium Powder for Oral Suspension in pediatric patients aged 2 months to 12 years with acute otitis media. [ see Clinical Studies ( 14.2 )]

Because of incompletely developed renal function in neonates and young infants, the elimination of amoxicillin may be delayed; clavulanate elimination is unaltered in this age group. Dosing of Amoxicillin and Clavulanate Potassium Tablets should be modified in pediatric patients aged <12 weeks (<3 months). [see Dosage and Administration (2.2)]

8.5 Geriatric Use

Of the 3,119 patients in an analysis of clinical studies of Amoxicillin and Clavulanate Potassium Tablets, 32% were ≥65 years old, and 14% were ≥75 years old. No overall differences in safety or effectiveness were observed between these subjects and younger subjects, and other reported clinical experience has not identified differences in responses between the elderly and younger patients, but greater sensitivity of some older individuals cannot be ruled out.

This drug is known to be substantially excreted by the kidney, and the risk of adverse reactions to this drug may be greater in patients with impaired renal function. Because elderly patients are more likely to have decreased renal function, care should be taken in dose selection, and it may be useful to monitor renal function.

4 Contraindications
  • History of a serious hypersensitivity reaction (e.g., anaphylaxis or  Stevens-Johnson syndrome) to Amoxicillin and Clavulanate Potassium Tablets or to other beta-lactams (e.g., penicillins or cephalosporins) ( 4)

  • History of cholestatic jaundice/hepatic dysfunction associated with Amoxicillin and Clavulanate Potassium Tablets ( 4)
6 Adverse Reactions

The following are discussed in more detail in other sections of the labeling:

  • Anaphylactic reactions [see W arnings   and Precautions ( 5.1 )]

  • Hepatic Dysfunction [see W arnings   and Precautions ( 5.2 )]

  • CDAD  [see W arnings   and Precautions ( 5.3 )]
7 Drug Interactions
  • Co-administration with probenecid is not recommended. ( 7.1)

  • Concomitant use of Amoxicillin and Clavulanate Potassium Tablets and oral anticoagulants may increase the prolongation of prothrombin time. ( 7.2)

  • Co-administration with allopurinol increases the risk of rash. ( 7.3)

  • Amoxicillin and Clavulanate Potassium Tablets may reduce efficacy of oral contraceptives. ( 7.4)
8.3 Nursing Mothers

Amoxicillin has been shown to be excreted in human milk. Amoxicillin/clavulanate potassium use by nursing mothers may lead to sensitization of infants. Caution should be exercised when amoxicillin/ clavulanate potassium is administered to a nursing woman.

12.3 Pharmacokinetics

Mean amoxicillin and clavulanate potassium pharmacokinetic parameters in normal adults following administration of Amoxicillin and Clavulanate Potassium Tablets are shown in Table 1 and following administration of Amoxicillin and Clavulanate Potassium Powder for Oral Suspension and Chewable Tablets are shown in Table 2.

Table 1: Mean (±S.D.) Amoxicillin and Clavulanate Potassium Pharmacokinetic Parameters a,b with Amoxicillin and Clavulanate Potassium Tablets.
Dose and Regimen C max (mcg/mL) AUC 0-24 (mcg*h/mL)
Amoxicillin/Clavulanate potassium Amoxicillin Clavulanate potassium Amoxicillin Clavulanate potassium
250/125 mg every 8 hours 3.3 ± 1.12 1.5 ± 0.70 26.7 ± 4.56 12.6 ± 3.25
500/125 mg every 12 hours 6.5 ± 1.41 1.8 ± 0.61 33.4 ± 6.76 8.6 ± 1.95
500/125 mg every 8 hours 7.2 ± 2.26 2.4 ± 0.83 53.4 ± 8.87 15.7 ± 3.86
875/125 mg every 12 hours 11.6 ± 2.78 2.2 ± 0.99 53.5 ± 12.31 10.2 ± 3.04

a Mean (± standard deviation) values of 14 normal adults (N=15 for clavulanate potassium in the low-dose regimens). Peak concentrations occurred approximately 1.5 hours after the dose.

b Amoxicillin/clavulanate potassium administered at the start of a light meal.

Table 2: Mean (±S.D.) Amoxicillin and Clavulanate Potassium Pharmacokinetic Parameters a,b with Amoxicillin and Clavulanate Potassium Powder for Oral Suspension and Chewable Tablets
Dose C max (mcg/mL) AUC 0-24(mcg*h/mL)
Amoxicillin/Clavulanate potassium Amoxicillin Clavulanate potassium Amoxicillin Clavulanate potassium
400/57 mg (5 mL of

suspension)
6.94 ± 1.24 1.10 ± 0.42 17.29 ± 2.28 2.34 ± 0.94
400/57 mg (1 chewable

tablet)
6.67 ± 1.37 1.03 ± 0.33 17.24 ± 2.64 2.17 ± 0.73

a Mean (± standard deviation) values of 28 normal adults. Peak concentrations occurred approximately 1 hour after the dose.

bAmoxicillin/clavulanate potassium administered at the start of a light meal.

Oral administration of 5 mL of 250 mg/5 mL suspension of Amoxicillin and Clavulanate Potassium or the equivalent dose of 10 mL of 125 mg/5 mL suspension of Amoxicillin and Clavulanate Potassium provides average peak serum concentrations approximately 1 hour after dosing of 6.9 mcg/mL for amoxicillin and 1.6 mcg/mL for clavulanic acid. The areas under the serum concentration curves obtained during the first 4 hours after dosing were 12.6 mcg*h/mL for amoxicillin and 2.9 mcg*h/mL for clavulanic acid when 5 mL of 250 mg/5 mL suspension of Amoxicillin and Clavulanate Potassium or equivalent dose of 10 mL of 125 mg/5 mL suspension of Amoxicillin and Clavulanate Potassium were administered to normal adults. One 250-mg chewable tablet of Amoxicillin and Clavulanate Potassium or two 125-mg chewable tablets of Amoxicillin and Clavulanate Potassium are equivalent to 5 mL of 250 mg/5 mL suspension of Amoxicillin and Clavulanate Potassium and provide similar serum concentrations of amoxicillin and clavulanic acid.

Amoxicillin serum concentrations achieved with Amoxicillin and Clavulanate Potassium Tablets are similar to those produced by the oral administration of equivalent doses of amoxicillin alone. Time above the minimum inhibitory concentration of 1 mcg/mL for amoxicillin has been shown to be similar after corresponding every 12 hour and every 8 hour dosing regimens of Amoxicillin and Clavulanate Potassium Tablets in adults and children.

Absorption: Dosing in the fasted or fed state has minimal effect on the pharmacokinetics of amoxicillin. While Amoxicillin and Clavulanate Potassium Tablets can be given without regard to meals, absorption of clavulanate potassium when taken with food is greater relative to the fasted state. In one study, the relative bioavailability of clavulanate was reduced when Amoxicillin and Clavulanate Potassium Tablets was dosed at 30 and 150 minutes after the start of a high-fat breakfast.

Distribution: Neither component in Amoxicillin and Clavulanate Potassium Tablets are highly protein- bound; clavulanic acid is approximately 25% bound to human serum and amoxicillin approximately 18% bound.

Amoxicillin diffuses readily into most body tissues and fluids with the exception of the brain and spinal fluid.

Two hours after oral administration of a single 35 mg/kg dose of suspension of Amoxicillin and Clavulanate Potassium Tablets to fasting children, average concentrations of 3 mcg/mL of amoxicillin and 0.5 mcg/mL of clavulanic acid were detected in middle ear effusions.

Metabolism and Excretion:  The half-life of amoxicillin after the oral administration of Amoxicillin and Clavulanate Potassium Tablets is 1.3 hours and that of clavulanic acid is 1 hour.

Approximately 50% to 70% of the amoxicillin and approximately 25% to 40% of the clavulanic acid are excreted unchanged in urine during the first 6 hours after administration of a single 250-mg or 500-mg tablet of Amoxicillin and Clavulanate Potassium Tablets.

1.6 Limitations of Use

- When susceptibility test results show susceptibility to amoxicillin, indicating no beta-lactamase production, Amoxicillin and Clavulanate Potassium Tablets should not be used.

8.2 Labor and Delivery

Oral ampicillin-class antibiotics are poorly absorbed during labor. It is not known whether use of amoxicillin/clavulanate potassium in humans during labor or delivery has immediate or delayed adverse effects on the fetus, prolongs the duration of labor, or increases the likelihood of the necessity for an obstetrical intervention.

1 Indications and Usage

To reduce the development of drug-resistant bacteria and maintain the effectiveness of Amoxicillin and Clavulanate Potassium Tablets and other antibacterial drugs, Amoxicillin and Clavulanate Potassium Tabletsshould be used only to treat infections that are proven or strongly suspected to be caused by susceptible bacteria. When culture and susceptibility information are available, they should be considered in selecting or modifying antibacterial therapy. In the absence of such data, local epidemiology and susceptibility patterns may contribute to the empiric selection of therapy.

Amoxicillin and Clavulanate Potassium Tablets is a combination penicillin-class antibacterial and beta-lactamase inhibitor indicated in the treatment of infections due to susceptible isolates of the designated bacteria in the conditions listed below*:

5.2 Hepatic Dysfunction

Hepatic dysfunction, including hepatitis and cholestatic jaundice has been associated with the use of Amoxicillin and Clavulanate Potassium Tablets. Hepatic toxicity is usually reversible; however, deaths have been reported. Hepatic function should be monitored at regular intervals in patients with hepatic impairment.

7.2 Oral Anticoagulants

Abnormal prolongation of prothrombin time (increased international normalized ratio [INR]) has been reported in patients receiving amoxicillin and oral anticoagulants. Appropriate monitoring should be undertaken when anticoagulants are prescribed concurrently with Amoxicillin and Clavulanate Potassium Tablets. Adjustments in the dose of oral anticoagulants may be necessary to maintain the desired level of anticoagulation.

7.4 Oral Contraceptives

Amoxicillin and Clavulanate Potassium Tablets may affect intestinal flora, leading to lower estrogen reabsorption and reduced efficacy of combined oral estrogen/progesterone contraceptives.

12.1 Mechanism of Action

Amoxicillin and Clavulanate Potassium Tablets are antibacterial drugs. [see Microbiology 12.4 ]

5 Warnings and Precautions
  • Serious (including fatal) hypersensitivity reactions: Discontinue Amoxicillin and Clavulanate Potassium Tablets if a reaction occurs. ( 5.1)

  • Hepatic dysfunction and cholestatic jaundice: Discontinue if signs/symptoms of hepatitis occur. Monitor liver function tests in patients with hepatic impairment. ( 5.2)
  • Clostridiu m   difficile-associated diarrhea (CDAD): Evaluate patients if diarrhea occurs. ( 5.3)

  • Patients with mononucleosis who receive Amoxicillin and Clavulanate Potassium Tablets develop skin rash. Avoid Amoxicillin and Clavulanate Potassium Tablets use in these patients. ( 5.4)

  • Overgrowth: The possibility of superinfections with fungal or bacterial pathogens should be considered during therapy. ( 5.5)
2 Dosage and Administration

Amoxicillin and Clavulanate Potassium Tablets may be taken without regard to meals; however, absorption of clavulanate potassium is enhanced when Amoxicillin and Clavulanate Potassium Tablets is administered at the start of a meal. To minimize the potential for gastrointestinal intolerance, Amoxicillin and Clavulanate Potassium Tablets should be taken at the start of a meal.

3 Dosage Forms and Strengths

Amoxicillin and Clavulanate Potassium Tablets, USP

  • 875-mg/125-mg T ablets: Each scored white capsule-shaped tablet, debossed with WW949 on the upper side and scored on the other side, contains 875 mg amoxicillin and 125 mg clavulanic acid as the potassium salt.
6.2 Postmarketing Experience

In addition to adverse reactions reported from clinical trials, the following have been identified during postmarketing use of Amoxicillin and Clavulanate Potassium Tablets. Because they are reported voluntarily from a population of unknown size, estimates of frequency cannot be made. These events have been chosen for inclusion due to a combination of their seriousness, frequency of reporting, or potential causal connection to Amoxicillin and Clavulanate Potassium Tablets.

Gastrointestinal: Indigestion, gastritis, stomatitis, glossitis, black “hairy” tongue, mucocutaneous candidiasis, enterocolitis, and hemorrhagic/pseudomembranous colitis . Onset of pseudomembranous colitis symptoms may occur during or after antibiotic treatment.  [see W arnings and Precautions ( 5.3 )]

Hypersensitivity   Reactions:  Pruritus, angioedema, serum sickness-like reactions (urticaria or skin rash accompanied by arthritis, arthralgia, myalgia, and frequently fever), erythema multiforme, Stevens-Johnson syndrome, acute generalized exanthematous pustulosis, hypersensitivity vasculitis, and cases of exfoliative dermatitis (including toxic epidermal necrolysis) have been reported. [see W arnings   and Precautions ( 5.1 )]

Liver:  Hepatic dysfunction, including hepatitis and cholestatic jaundice, increases in serum transaminases (AST and/or ALT), serum bilirubin, and/or alkaline phosphatase, has been reported with Amoxicillin and Clavulanate Potassium Tablets. It has been reported more commonly in the elderly, in males, or in patients on prolonged treatment. The histologic findings on liver biopsy have consisted of predominantly cholestatic, hepatocellular, or mixed cholestatic-hepatocellular changes. The onset of signs/symptoms of hepatic dysfunction may occur during or several weeks after therapy has been discontinued. The hepatic dysfunction, which may be severe, is usually reversible. Deaths have been reported. [see Contraindications ( 4.2 ), W arnings   and Precautions ( 5.2 )]

Renal:  Interstitial nephritis, hematuria, and crystalluria have been reported. [see Overdosage ( 10 )]

Hemic   and L ymphatic   Systems:  Anemia, including hemolytic anemia, thrombocytopenia, thrombocytopenic purpura, eosinophilia, leukopenia, and agranulocytosis have been reported.

These reactions are usually reversible on discontinuation of therapy and are believed to be hypersensitivity phenomena. Thrombocytosis was noted in less than 1% of the patients treated with Amoxicillin and Clavulanate Potassium Tablets. There have been reports of increased prothrombin time in patients receiving Amoxicillin and Clavulanate Potassium Tablets and anticoagulant therapy concomitantly. [see Drug   Interactions ( 7.2 )]

Central   Nervous   System:  Agitation, anxiety, behavioral changes, confusion, convulsions, dizziness, insomnia, and reversible hyperactivity have been reported.

Miscellaneous: Tooth discoloration (brown, yellow, or gray staining) has been reported. Most reports occurred in pediatric patients. Discoloration was reduced or eliminated with brushing or dental cleaning in most cases.

17.1 Information for Patients

Patients should be informed that Amoxicillin and Clavulanate Potassium Tablets may be taken every 8 hours or every 12 hours, depending on the dose prescribed. Each dose should be taken with a meal or snack to reduce the possibility of gastrointestinal upset.

Patients should be counseled that antibacterial drugs, including Amoxicillin and Clavulanate Potassium Tablets should only be used to treat bacterial infections. They do not treat viral infections (e.g., the common cold). When Amoxicillin and Clavulanate Potassium Tablets are prescribed to treat a bacterial infection, patients should be told that although it is common to feel better early in the course of therapy, the medication should be taken exactly as directed. Skipping doses or not completing the full course of therapy may: (1) decrease the effectiveness of the immediate treatment, and (2) increase the likelihood that bacteria will develop resistance and will not be treatable by Amoxicillin and Clavulanate Potassium Tablets or other antibacterial drugs in the future.

Counsel patients that diarrhea is a common problem caused by antibacterials, and it usually ends when the antibacterial is discontinued. Sometimes after starting treatment with antibacterials, patients can develop watery and bloody stools (with or without stomach cramps and fever) even as late as 2 or more months after having taken their last dose of the antibacterial. If diarrhea is severe or lasts more than 2 or 3 days, patients should contact their physician.

Patients should be aware that Amoxicillin and Clavulanate Potassium Tablets contain a penicillin class drug product that can cause allergic reactions in some individuals.

Distributed by:

West-Ward Pharmaceuticals Corp.

Eatontown, NJ 07724 U.S.A.

Manufactured by:

HIKMA Pharmaceuticals

P.O.Box 182400

Amman 11118 - Jordan

Revised September 2018

8 Use in Specific Populations
  • Pediatric Use: Modify dose in patients 12 weeks or younger. ( 8.4)

  • Renal impairment; Dosage adjustment is recommended for severe renal impairment (GFR< 30mL/min). ( 2.3, 8.6)
1.5 Urinary Tract Infections 

- caused by beta-lactamase-producing isolates of E.   coli, Klebsiella species, and Enterobacter species.

5.1 Hypersensitivity Reactions

Serious and occasionally fatal hypersensitivity (anaphylactic) reactions have been reported in patients receiving beta-lactam antibacterials, including Amoxicillin and Clavulanate Potassium Tablets. These reactions are more likely to occur in individuals with a history of penicillin hypersensitivity and/or a history of sensitivity to multiple allergens. Before initiating therapy with Amoxicillin and Clavulanate Potassium Tablets, careful inquiry should be made regarding previous hypersensitivity reactions to penicillins, cephalosporins, or other allergens. If an allergic reaction occurs, Amoxicillin and Clavulanate Potassium Tablets should be discontinued and appropriate therapy instituted.

6.1 Clinical Trials Experience

Because clinical trials are conducted under widely varying conditions, adverse reaction rates observed in the clinical trials of a drug cannot be directly compared to rates in the clinical trials of another drug and may not reflect the rates observed in practice.

The most frequently reported adverse reactions were diarrhea/loose stools (9%), nausea (3%), skin rashes and urticaria (3%), vomiting (1%) and vaginitis (1%). Less than 3% of patients discontinued therapy because of drug-related adverse reactions. The overall incidence of adverse reactions, and in particular diarrhea, increased with the higher recommended dose. Other less frequently reported adverse reactions (<1%) include: Abdominal discomfort, flatulence, and headache.

In pediatric patients (aged 2 months to 12 years), 1 US/Canadian clinical trial was conducted which compared 45/6.4 mg/kg/day (divided every 12 hours) of Amoxicillin and Clavulanate Potassium for 10 days versus 40/10 mg/kg/day (divided every 8 hours) of Amoxicillin and Clavulanate Potassium for 10 days in the treatment of acute otitis media. A total of 575 patients were enrolled, and only the suspension formulations were used in this trial. Overall, the adverse reactions seen were comparable to that noted above; however, there were differences in the rates of diarrhea, skin rashes/urticaria, and diaper area rashes. [See Clinical Studies ( 14.2 )]

8.6 Dosing in Renal Impairment

Amoxicillin is primarily eliminated by the kidney and dosage adjustment is usually required in patients with severe renal impairment (GFR <30 mL/min). See Patients with Renal Impairment (2.3) for specific recommendations in patients with renal impairment.

7.5 Effects On Laboratory Tests

High urine concentrations of amoxicillin may result in false-positive reactions when testing for the presence of glucose in urine using CLINITEST ®, Benedict’s Solution, or Fehling’s Solution. Since this effect may also occur with Amoxicillin and Clavulanate Potassium Tablets, it is recommended that glucose tests based on enzymatic glucose oxidase reactions be used.

Following administration of amoxicillin to pregnant women, a transient decrease in plasma concentration of total conjugated estriol, estriol-glucuronide, conjugated estrone, and estradiol has been noted.

1.2 Acute Bacterial Otitis Media

- caused by beta-lactamase-producing isolates of H. influenzae and M. catarrhalis.

2.3 Patients With Renal Impairment

Patients with impaired renal function do not generally require a reduction in dose unless the impairment is severe. Renal impairment patients with a glomerular filtration rate of <30 mL/min should not receive the 875-mg dose.

16 How Supplied/storage and Handling

Amoxicillin and Clavulanate Potassium Tablets, USP 875mg/125mg: Each scored white capsule-shaped tablet, debossed with WW949 on the upper side and scored on the other side, contains 875 mg amoxicillin as the trihydrate and 125 mg clavulanic acid as the potassium salt.

NDC 68071-5026-4 BOTTLES OF 14

Store at 20° to 25°C (68° to 77°F) [See USP Controlled Room Temperature].

Dispense in a tight container as defined in the USP, with a child-resistant closure (as required).

Advise patients to keep in a closed container.

KEEP THIS AND ALL MEDICATIONS OUT OF THE REACH OF CHILDREN.

1.1 Lower Respiratory Tract Infections

- caused by beta-lactamase-producing isolates of  Haemophilus influenzae and Moraxella catarrhalis.

1.4 Skin and Skin Structure Infections

- caused by beta-lactamase-producing isolates of  Staphylococcus aureus, Escherichia coli, and Klebsiella species.

4.1 Serious Hypersensitivity Reactions

Amoxicillin and Clavulanate Potassium Tablets are contraindicated in patients with a history of serious hypersensitivity reactions (e.g., anaphylaxis or Stevens-Johnson syndrome) to amoxicillin, clavulanate or to other beta-lactam antibacterial drugs (e.g., penicillins and cephalosporins).

5.5 Potential for Microbial Overgrowth

The possibility of superinfections with fungal or bacterial pathogens should be considered during therapy. If superinfection occurs, amoxicillin/clavulanate potassium should be discontinued and appropriate therapy instituted.

5.7 Development of Drug Resistant Bacteria

Prescribing Amoxicillin and Clavulanate Potassium Tablets in the absence of a proven or strongly suspected bacterial infection is unlikely to provide benefit to the patient, and increases the risk of the development of drug-resistant bacteria.

4.2 Cholestatic Jaundice/hepatic Dysfunction

Amoxicillin and Clavulanate Potassium Tablets are contraindicated in patients with a previous history of cholestatic jaundice/hepatic dysfunction associated with Amoxicillin and Clavulanate Potassium Tablets.

5.4 Skin Rash in Patients With Mononucleosis

A high percentage of patients with mononucleosis who receive amoxicillin develop an erythematous skin rash. Thus, Amoxicillin and Clavulanate Potassium Tablets should not be administered to patients with mononucleosis.

13.1 Carcinogenesis, Mutagenesis, Impairment of Fertility

Long-term studies in animals have not been performed to evaluate carcinogenic potential. Amoxicillin and Clavulanate Potassium Tablets (4:1 ratio formulation of amoxicillin:clavulanate) was non-mutagenic in the Ames bacterial mutation assay, and the yeast gene conversion assay. Amoxicillin and Clavulanate Potassium Tablets was weakly positive in the mouse lymphoma assay, but the trend toward increased mutation frequencies in this assay occurred at doses that were also associated with decreased cell survival.

Amoxicillin and Clavulanate Potassium Tablets was negative in the mouse micronucleus test, and in the dominant lethal assay in mice. Potassium clavulanate alone was tested in the Ames bacterial mutation assay and in the mouse micronucleus test, and was negative in each of these assays. Amoxicillin and Clavulanate Potassium Tablets (2:1 ratio formulation of amoxicillin:clavulanate) at oral doses of up to 1,200 mg/kg/day was found to have no effect on fertility and reproductive performance in rats. Based on body surface area, this dose of amoxicillin is approximately 4 times the maximum recommended adult human oral dose (875 mg every 12 hours). For clavulanate, the dose multiple is approximately 9 times higher than the maximum recommended adult human oral dose (125 mg every 8 hours), also based on body surface area.

14.2 Acute Bacterial Otitis Media and Diarrhea in Pediatric Patients

One US/Canadian clinical trial was conducted which compared 45/6.4 mg/kg/day (divided every 12 hours) of Amoxicillin and Clavulanate Potassium for 10 days versus 40/10 mg/kg/day (divided every 8 hours) of Amoxicillin and Clavulanate Potassium for 10 days in the treatment of acute otitis media. Only the suspension formulations were used in this trial. A total of 575 pediatric patients (aged 2 months to 12 years) were enrolled, with an even distribution among the 2 treatment groups and a comparable number of patients were evaluable (i.e., ≥ 84%) per treatment group. Otitis media-specific criteria were required for eligibility and a strong correlation was found at the end of therapy and follow-up between these criteria and physician assessment of clinical response. The clinical efficacy rates at the end of therapy visit (defined as 2-4 days after the completion of therapy) and at the follow-up visit (defined as 22-28 days post-completion of therapy) were comparable for the 2 treatment groups, with the following cure rates obtained for the evaluable patients: At end of therapy, 87% (n = 265) and 82% (n = 260) for 45 mg/kg/day every 12 hours and 40 mg/kg/day every 8 hours, respectively. At follow-up, 67% (n = 249) and 69% (n = 243) for 45 mg/kg/day every 12 hours and 40 mg/kg/day every 8 hours, respectively.

Diarrhea was defined as either: (a) 3 or more watery or 4 or more loose/watery stools in 1 day; OR (b) 2 watery stools per day or 3 loose/watery stools per day for 2 consecutive days. The incidence of diarrhea was significantly lower in patients who received the every 12 hours regimen compared to patients who received the every 8 hours regimen (14% and 34%, respectively). In addition, the number of patients with either severe diarrhea or who were withdrawn with diarrhea was significantly lower in the every 12 hours treatment group (3% and 8% for the every 12 hours/10 day and every 8 hours/10 day, respectively). In the every 12 hours treatment group, 3 patients (1%) were withdrawn with an allergic reaction, while 1 patient in the every 8 hours group was withdrawn for this reason. The number of patients with a candidal infection of the diaper area was 4% and 6% for the every 12 hours and every 8 hours groups, respectively.

It is not known if the finding of a statistically significant reduction in diarrhea with the oral suspensions dosed every 12 hours, versus suspensions dosed every 8 hours, can be extrapolated to the chewable tablets. The presence of mannitol in the chewable tablets may contribute to a different diarrhea profile. The every 12 hour oral suspensions (200 mg/5 mL and 400 mg/5 mL) are sweetened with aspartame.

14.1 Lower Respiratory Tract and Complicated Urinary Tract Infections

Data from 2 pivotal trials in 1,191 patients treated for either lower respiratory tract infections or complicated urinary tract infections compared a regimen of 875-mg tablets of Amoxicillin and Clavulanate Potassium every 12 hours to 500-mg tablets of Amoxicillin and Clavulanate Potassium dosed every 8 hours (584 and 607 patients, respectively). Comparable efficacy was demonstrated between the every 12 hours and every 8 hours dosing regimens. There was no significant difference in the percentage of adverse events in each group. The most frequently reported adverse event was diarrhea; incidence rates were similar for the 875-mg every 12 hours and 500-mg every 8 hours dosing regimens (15% and 14%, respectively); however, there was a statistically significant difference (p < 0.05) in rates of severe diarrhea or withdrawals with diarrhea between the regimens:

1% for 875-mg every 12 hours regimen versus 2% for the 500-mg every 8 hours regimen.

In one of these pivotal trials, patients with either pyelonephritis (n = 361) or a complicated urinary tract infection (i.e., patients with abnormalities of the urinary tract that predispose to relapse of bacteriuria following eradication, n = 268) were randomized (1:1) to receive either 875-mg tablets of Amoxicillin and Clavulanate Potassium every 12 hours (n=308) or 500-mg tablets of Amoxicillin and Clavulanate Potassium every 8 hours (n=321).

The number of bacteriologically evaluable patients was comparable between the two dosing regimens. Amoxicillin and Clavulanate Potassium produced comparable bacteriological success rates in patients assessed 2 to 4 days immediately following end of therapy. The bacteriologic efficacy rates were comparable at one of the follow-up visits (5 to 9 days post-therapy) and at a late post-therapy visit (in the majority of cases, this was 2 to 4 weeks post-therapy), as seen in Table 5.

Table 5: Bacteriologic efficacy rates for Amoxicillin and Clavulanate Potassium
T ime   Post   Therapy 875 mg   every 12 hours   % (n) 500 mg   every 8 hours   % (n)
2 to 4 days 81% (58) 80% (54)
5 to 9 days 58% (41) 52% (52)
2 to 4 weeks 52% (101) 55% (104)

As noted before, though there was no significant difference in the percentage of adverse events in each group, there was a statistically significant difference in rates of severe diarrhea or withdrawals with diarrhea between the regimens.


Structured Label Content

5.3

Clostridium difficile associated diarrhea (CDAD) has been reported with use of nearly all antibacterial agents, including Amoxicillin and Clavulanate Potassium Tablets, and may range in severity from mild diarrhea to fatal colitis. Treatment with antibacterial agents alters the normal flora of the colon leading to overgrowth of C. difficile.

C. difficile produces toxins A and B which contribute to the development of CDAD. Hypertoxin-producing strains of C. difficile cause increased morbidity and mortality, as these infections can be refractory to antimicrobial therapy and may require colectomy. CDAD must be considered in all patients who present with diarrhea following antibacterial use. Careful medical history is necessary since CDAD has been reported to occur over 2 months after the administration of antibacterial agents.

If CDAD is suspected or confirmed, ongoing antibacterial use not directed against  C. difficile may need to be discontinued. Appropriate fluid and electrolyte management, protein supplementation, antibacterial treatment of C. difficile, and surgical evaluation should be instituted as clinically indicated.

Section 51945-4 (51945-4)

2.1 Adults

For severe infections and infections of the respiratory tract, the dose should be one 875-mg tablet of Amoxicillin and Clavulanate Potassium every 12 hours.

1.3 Sinusitis

- caused by beta-lactamase-producing isolates of H. influenzae and M. catarrhalis

10 Overdosage (10 OVERDOSAGE)

In case of overdosage, discontinue medication, treat symptomatically, and institute supportive measures as required. A prospective study of 51 pediatric patients at a poison-control center suggested that overdosages of less than 250 mg/kg of amoxicillin are not associated with significant clinical symptoms 1.

Interstitial nephritis resulting in oliguric renal failure has been reported in patients after overdosage with amoxicillin/clavulanate potassium.

Crystalluria, in some cases leading to renal failure, has also been reported after amoxicillin/ clavulanate potassium overdosage in adult and pediatric patients. In case of overdosage, adequate fluid intake and diuresis should be maintained to reduce the risk of amoxicillin/clavulanate potassium crystalluria.

Renal impairment appears to be reversible with cessation of drug administration. High blood levels may occur more readily in patients with impaired renal function because of decreased renal clearance of amoxicillin/clavulanate potassium. Amoxicillin/clavulanate potassium may be removed from circulation by hemodialysis. [see Dosage and   Administration ( 2.3 )]

15 References (15 REFERENCES)

1. Swanson-Biearman B, Dean BS, Lopez G, Krenzelok EP. The effects of penicillin and cephalosporin ingestions in children less than six years of age.Vet Hum Toxicol. 1988; 30: 66-67.



8.1 Pregnancy

Teratogenic Effects:  Pregnancy Category B. Reproduction studies performed in pregnant rats and mice given Amoxicillin and Clavulanate Potassium Tablets (2:1 ratio formulation of amoxicillin:clavulanate) at oral doses up to 1200 mg/kg/day revealed no evidence of harm to the fetus due to Amoxicillin and Clavulanate Potassium Tablets. The amoxicillin doses in rats and mice (based on body surface area) were approximately 4 and 2 times the maximum recommended adult human oral dose (875 mg every 12 hours). For clavulanate, these dose multiples were approximately 9 and 4 times the maximum recommended adult human oral dose (125 mg every 8 hours). There are, however, no adequate and well-controlled studies in pregnant women. Because animal reproduction studies are not always predictive of human response, this drug should be used during pregnancy only if clearly needed.

11 Description (11 DESCRIPTION)

Amoxicillin and Clavulanate Potassium Tablets, USP is an oral antibacterial combination consisting of amoxicillin and the beta-lactamase inhibitor, clavulanate potassium (the potassium salt of clavulanic acid). Amoxicillin is an analog of ampicillin, derived from the basic penicillin nucleus, 6-aminopenicillanic acid. 

The amoxicillin molecular formula is C 16H 19N 3 O 5 S•3H 2O, and the molecular weight is 419.46. Chemically, amoxicillin is (2 S,5 R,6 R)-6-[( R)-(-)-2-Amino-2-( p-hydroxyphenyl) acetamido]-3,3-dimethyl-7-oxo-4-thia-1-azabicyclo[3.2.0]heptane-2-carboxylic acid trihydrate and may be represented structurally as:

Clavulanic acid is produced by the fermentation of Streptomyces clavuligerus. It is a beta-lactam structurally related to the penicillins and possesses the ability to inactivate some beta-lactamases by blocking the active sites of these enzymes. The clavulanate potassium molecular formula is C 8H 8KNO 5 , and the molecular weight is 237.25. Chemically, clavulanate potassium is potassium (Z) (2R,5R)-3-(2-hydroxyethylidene)-7-oxo-4-oxa-1-azabicyclo[3.2.0]-heptane-2-carboxylate and may be represented structurally as:

Inactive Ingredients:

Colloidal silicon dioxide, ethylcellulose, hypromellose, magnesium stearate, microcrystalline cellulose, propylene glycol, sodium starch glycolate, and titanium dioxide.

Each tablet of amoxicillin/clavulanate potassium contains 0.63 mEq potassium.

7.1 Probenecid

Probenecid decreases the renal tubular secretion of amoxicillin but does not delay renal excretion of clavulanic acid. Concurrent use with Amoxicillin and Clavulanate Potassium Tablets may result in increased and prolonged blood concentrations of amoxicillin. Coadministration of probenecid is not recommended.

7.3 Allopurinol

The concurrent administration of allopurinol and amoxicillin increases the incidence of rashes in patients receiving both drugs as compared to patients receiving amoxicillin alone. It is not known whether this potentiation of amoxicillin rashes is due to allopurinol or the hyperuricemia present in these patients.

12.4 Microbiology

Amoxicillin is a semisynthetic antibiotic with in vitro bactericidal activity against Gram-positive and Gram-negative bacteria. Amoxicillin is, however, susceptible to degradation by beta-lactamases, and therefore, the spectrum of activity does not include organisms which produce these enzymes.

Clavulanic acid is a beta-lactam, structurally related to the penicillins, which possesses the ability to inactivate some beta-lactamase enzymes commonly found in microorganisms resistant to penicillins and cephalosporins. In particular, it has good activity against the clinically important plasmid- mediated beta-lactamases frequently responsible for transferred drug resistance.

The formulation of amoxicillin and clavulanic acid in Amoxicillin and Clavulanate Potassium Tablets protects amoxicillin from degradation by some beta-lactamase enzymes and extends the antibiotic spectrum of amoxicillin to include many bacteria normally resistant to amoxicillin. Amoxicillin/clavulanic acid has been shown to be active against most isolates of the following bacteria, both in vitro and in clinical infections as described in the INDICATIONS AND USAGE section.

Gram-positive bacteria

Staphylococcus aureus

Gram-negative bacteria

Enterobacter species

Escherichia coli

Haemophilus influenza e  

Klebsiella species

Moraxella catarrhalis

The following in vitro data are available, but their clinical significance is unknown. At least 90 percent of the following bacteria exhibit an in vitro minimum inhibitory concentration (MIC) less than or equal to the susceptible breakpoint for amoxicillin/clavulanic acid. However, the efficacy of amoxicillin/clavulanic acid in treating clinical infections due to these bacteria  has not   been established in adequate and well-controlled clinical trials.

Gram-positive bacteria

Enterococcus faecalis

Staphylococcus epidermidis

Staphylococcus saprophyticus

Streptococcus pneumoniae

Streptococcus pyogenes

Viridans group Streptococcus

Gram-negative Bacteria

Eikenella corrodens

Proteus mirabilis

Anaerobic Bacteria

Bacteroides species including Bacteroides fragilis

Fusobacterium species

Peptostreptococcus species

Susceptibility Testing

For specific information regarding susceptibility test interpretive criteria and associated test methods and quality control standards recognized by FDA for this drug, please see: https://www.fda.gov/STIC.

8.4 Pediatric Use

The safety and effectiveness of Amoxicillin and Clavulanate Potassium Powder for Oral Suspension and Chewable Tablets have been established in pediatric patients. Use of Amoxicillin and Clavulanate Potassium in pediatric patients is supported by evidence from studies of Amoxicillin and Clavulanate Potassium Tablets in adults with additional data from a study of Amoxicillin and Clavulanate Potassium Powder for Oral Suspension in pediatric patients aged 2 months to 12 years with acute otitis media. [ see Clinical Studies ( 14.2 )]

Because of incompletely developed renal function in neonates and young infants, the elimination of amoxicillin may be delayed; clavulanate elimination is unaltered in this age group. Dosing of Amoxicillin and Clavulanate Potassium Tablets should be modified in pediatric patients aged <12 weeks (<3 months). [see Dosage and Administration (2.2)]

8.5 Geriatric Use

Of the 3,119 patients in an analysis of clinical studies of Amoxicillin and Clavulanate Potassium Tablets, 32% were ≥65 years old, and 14% were ≥75 years old. No overall differences in safety or effectiveness were observed between these subjects and younger subjects, and other reported clinical experience has not identified differences in responses between the elderly and younger patients, but greater sensitivity of some older individuals cannot be ruled out.

This drug is known to be substantially excreted by the kidney, and the risk of adverse reactions to this drug may be greater in patients with impaired renal function. Because elderly patients are more likely to have decreased renal function, care should be taken in dose selection, and it may be useful to monitor renal function.

4 Contraindications (4 CONTRAINDICATIONS)
  • History of a serious hypersensitivity reaction (e.g., anaphylaxis or  Stevens-Johnson syndrome) to Amoxicillin and Clavulanate Potassium Tablets or to other beta-lactams (e.g., penicillins or cephalosporins) ( 4)

  • History of cholestatic jaundice/hepatic dysfunction associated with Amoxicillin and Clavulanate Potassium Tablets ( 4)
6 Adverse Reactions (6 ADVERSE REACTIONS)

The following are discussed in more detail in other sections of the labeling:

  • Anaphylactic reactions [see W arnings   and Precautions ( 5.1 )]

  • Hepatic Dysfunction [see W arnings   and Precautions ( 5.2 )]

  • CDAD  [see W arnings   and Precautions ( 5.3 )]
7 Drug Interactions (7 DRUG INTERACTIONS)
  • Co-administration with probenecid is not recommended. ( 7.1)

  • Concomitant use of Amoxicillin and Clavulanate Potassium Tablets and oral anticoagulants may increase the prolongation of prothrombin time. ( 7.2)

  • Co-administration with allopurinol increases the risk of rash. ( 7.3)

  • Amoxicillin and Clavulanate Potassium Tablets may reduce efficacy of oral contraceptives. ( 7.4)
8.3 Nursing Mothers

Amoxicillin has been shown to be excreted in human milk. Amoxicillin/clavulanate potassium use by nursing mothers may lead to sensitization of infants. Caution should be exercised when amoxicillin/ clavulanate potassium is administered to a nursing woman.

12.3 Pharmacokinetics

Mean amoxicillin and clavulanate potassium pharmacokinetic parameters in normal adults following administration of Amoxicillin and Clavulanate Potassium Tablets are shown in Table 1 and following administration of Amoxicillin and Clavulanate Potassium Powder for Oral Suspension and Chewable Tablets are shown in Table 2.

Table 1: Mean (±S.D.) Amoxicillin and Clavulanate Potassium Pharmacokinetic Parameters a,b with Amoxicillin and Clavulanate Potassium Tablets.
Dose and Regimen C max (mcg/mL) AUC 0-24 (mcg*h/mL)
Amoxicillin/Clavulanate potassium Amoxicillin Clavulanate potassium Amoxicillin Clavulanate potassium
250/125 mg every 8 hours 3.3 ± 1.12 1.5 ± 0.70 26.7 ± 4.56 12.6 ± 3.25
500/125 mg every 12 hours 6.5 ± 1.41 1.8 ± 0.61 33.4 ± 6.76 8.6 ± 1.95
500/125 mg every 8 hours 7.2 ± 2.26 2.4 ± 0.83 53.4 ± 8.87 15.7 ± 3.86
875/125 mg every 12 hours 11.6 ± 2.78 2.2 ± 0.99 53.5 ± 12.31 10.2 ± 3.04

a Mean (± standard deviation) values of 14 normal adults (N=15 for clavulanate potassium in the low-dose regimens). Peak concentrations occurred approximately 1.5 hours after the dose.

b Amoxicillin/clavulanate potassium administered at the start of a light meal.

Table 2: Mean (±S.D.) Amoxicillin and Clavulanate Potassium Pharmacokinetic Parameters a,b with Amoxicillin and Clavulanate Potassium Powder for Oral Suspension and Chewable Tablets
Dose C max (mcg/mL) AUC 0-24(mcg*h/mL)
Amoxicillin/Clavulanate potassium Amoxicillin Clavulanate potassium Amoxicillin Clavulanate potassium
400/57 mg (5 mL of

suspension)
6.94 ± 1.24 1.10 ± 0.42 17.29 ± 2.28 2.34 ± 0.94
400/57 mg (1 chewable

tablet)
6.67 ± 1.37 1.03 ± 0.33 17.24 ± 2.64 2.17 ± 0.73

a Mean (± standard deviation) values of 28 normal adults. Peak concentrations occurred approximately 1 hour after the dose.

bAmoxicillin/clavulanate potassium administered at the start of a light meal.

Oral administration of 5 mL of 250 mg/5 mL suspension of Amoxicillin and Clavulanate Potassium or the equivalent dose of 10 mL of 125 mg/5 mL suspension of Amoxicillin and Clavulanate Potassium provides average peak serum concentrations approximately 1 hour after dosing of 6.9 mcg/mL for amoxicillin and 1.6 mcg/mL for clavulanic acid. The areas under the serum concentration curves obtained during the first 4 hours after dosing were 12.6 mcg*h/mL for amoxicillin and 2.9 mcg*h/mL for clavulanic acid when 5 mL of 250 mg/5 mL suspension of Amoxicillin and Clavulanate Potassium or equivalent dose of 10 mL of 125 mg/5 mL suspension of Amoxicillin and Clavulanate Potassium were administered to normal adults. One 250-mg chewable tablet of Amoxicillin and Clavulanate Potassium or two 125-mg chewable tablets of Amoxicillin and Clavulanate Potassium are equivalent to 5 mL of 250 mg/5 mL suspension of Amoxicillin and Clavulanate Potassium and provide similar serum concentrations of amoxicillin and clavulanic acid.

Amoxicillin serum concentrations achieved with Amoxicillin and Clavulanate Potassium Tablets are similar to those produced by the oral administration of equivalent doses of amoxicillin alone. Time above the minimum inhibitory concentration of 1 mcg/mL for amoxicillin has been shown to be similar after corresponding every 12 hour and every 8 hour dosing regimens of Amoxicillin and Clavulanate Potassium Tablets in adults and children.

Absorption: Dosing in the fasted or fed state has minimal effect on the pharmacokinetics of amoxicillin. While Amoxicillin and Clavulanate Potassium Tablets can be given without regard to meals, absorption of clavulanate potassium when taken with food is greater relative to the fasted state. In one study, the relative bioavailability of clavulanate was reduced when Amoxicillin and Clavulanate Potassium Tablets was dosed at 30 and 150 minutes after the start of a high-fat breakfast.

Distribution: Neither component in Amoxicillin and Clavulanate Potassium Tablets are highly protein- bound; clavulanic acid is approximately 25% bound to human serum and amoxicillin approximately 18% bound.

Amoxicillin diffuses readily into most body tissues and fluids with the exception of the brain and spinal fluid.

Two hours after oral administration of a single 35 mg/kg dose of suspension of Amoxicillin and Clavulanate Potassium Tablets to fasting children, average concentrations of 3 mcg/mL of amoxicillin and 0.5 mcg/mL of clavulanic acid were detected in middle ear effusions.

Metabolism and Excretion:  The half-life of amoxicillin after the oral administration of Amoxicillin and Clavulanate Potassium Tablets is 1.3 hours and that of clavulanic acid is 1 hour.

Approximately 50% to 70% of the amoxicillin and approximately 25% to 40% of the clavulanic acid are excreted unchanged in urine during the first 6 hours after administration of a single 250-mg or 500-mg tablet of Amoxicillin and Clavulanate Potassium Tablets.

1.6 Limitations of Use

- When susceptibility test results show susceptibility to amoxicillin, indicating no beta-lactamase production, Amoxicillin and Clavulanate Potassium Tablets should not be used.

8.2 Labor and Delivery

Oral ampicillin-class antibiotics are poorly absorbed during labor. It is not known whether use of amoxicillin/clavulanate potassium in humans during labor or delivery has immediate or delayed adverse effects on the fetus, prolongs the duration of labor, or increases the likelihood of the necessity for an obstetrical intervention.

1 Indications and Usage (1 INDICATIONS AND USAGE)

To reduce the development of drug-resistant bacteria and maintain the effectiveness of Amoxicillin and Clavulanate Potassium Tablets and other antibacterial drugs, Amoxicillin and Clavulanate Potassium Tabletsshould be used only to treat infections that are proven or strongly suspected to be caused by susceptible bacteria. When culture and susceptibility information are available, they should be considered in selecting or modifying antibacterial therapy. In the absence of such data, local epidemiology and susceptibility patterns may contribute to the empiric selection of therapy.

Amoxicillin and Clavulanate Potassium Tablets is a combination penicillin-class antibacterial and beta-lactamase inhibitor indicated in the treatment of infections due to susceptible isolates of the designated bacteria in the conditions listed below*:

5.2 Hepatic Dysfunction

Hepatic dysfunction, including hepatitis and cholestatic jaundice has been associated with the use of Amoxicillin and Clavulanate Potassium Tablets. Hepatic toxicity is usually reversible; however, deaths have been reported. Hepatic function should be monitored at regular intervals in patients with hepatic impairment.

7.2 Oral Anticoagulants

Abnormal prolongation of prothrombin time (increased international normalized ratio [INR]) has been reported in patients receiving amoxicillin and oral anticoagulants. Appropriate monitoring should be undertaken when anticoagulants are prescribed concurrently with Amoxicillin and Clavulanate Potassium Tablets. Adjustments in the dose of oral anticoagulants may be necessary to maintain the desired level of anticoagulation.

7.4 Oral Contraceptives

Amoxicillin and Clavulanate Potassium Tablets may affect intestinal flora, leading to lower estrogen reabsorption and reduced efficacy of combined oral estrogen/progesterone contraceptives.

12.1 Mechanism of Action

Amoxicillin and Clavulanate Potassium Tablets are antibacterial drugs. [see Microbiology 12.4 ]

5 Warnings and Precautions (5 WARNINGS AND PRECAUTIONS)
  • Serious (including fatal) hypersensitivity reactions: Discontinue Amoxicillin and Clavulanate Potassium Tablets if a reaction occurs. ( 5.1)

  • Hepatic dysfunction and cholestatic jaundice: Discontinue if signs/symptoms of hepatitis occur. Monitor liver function tests in patients with hepatic impairment. ( 5.2)
  • Clostridiu m   difficile-associated diarrhea (CDAD): Evaluate patients if diarrhea occurs. ( 5.3)

  • Patients with mononucleosis who receive Amoxicillin and Clavulanate Potassium Tablets develop skin rash. Avoid Amoxicillin and Clavulanate Potassium Tablets use in these patients. ( 5.4)

  • Overgrowth: The possibility of superinfections with fungal or bacterial pathogens should be considered during therapy. ( 5.5)
2 Dosage and Administration (2 DOSAGE AND ADMINISTRATION)

Amoxicillin and Clavulanate Potassium Tablets may be taken without regard to meals; however, absorption of clavulanate potassium is enhanced when Amoxicillin and Clavulanate Potassium Tablets is administered at the start of a meal. To minimize the potential for gastrointestinal intolerance, Amoxicillin and Clavulanate Potassium Tablets should be taken at the start of a meal.

3 Dosage Forms and Strengths (3 DOSAGE FORMS AND STRENGTHS)

Amoxicillin and Clavulanate Potassium Tablets, USP

  • 875-mg/125-mg T ablets: Each scored white capsule-shaped tablet, debossed with WW949 on the upper side and scored on the other side, contains 875 mg amoxicillin and 125 mg clavulanic acid as the potassium salt.
6.2 Postmarketing Experience

In addition to adverse reactions reported from clinical trials, the following have been identified during postmarketing use of Amoxicillin and Clavulanate Potassium Tablets. Because they are reported voluntarily from a population of unknown size, estimates of frequency cannot be made. These events have been chosen for inclusion due to a combination of their seriousness, frequency of reporting, or potential causal connection to Amoxicillin and Clavulanate Potassium Tablets.

Gastrointestinal: Indigestion, gastritis, stomatitis, glossitis, black “hairy” tongue, mucocutaneous candidiasis, enterocolitis, and hemorrhagic/pseudomembranous colitis . Onset of pseudomembranous colitis symptoms may occur during or after antibiotic treatment.  [see W arnings and Precautions ( 5.3 )]

Hypersensitivity   Reactions:  Pruritus, angioedema, serum sickness-like reactions (urticaria or skin rash accompanied by arthritis, arthralgia, myalgia, and frequently fever), erythema multiforme, Stevens-Johnson syndrome, acute generalized exanthematous pustulosis, hypersensitivity vasculitis, and cases of exfoliative dermatitis (including toxic epidermal necrolysis) have been reported. [see W arnings   and Precautions ( 5.1 )]

Liver:  Hepatic dysfunction, including hepatitis and cholestatic jaundice, increases in serum transaminases (AST and/or ALT), serum bilirubin, and/or alkaline phosphatase, has been reported with Amoxicillin and Clavulanate Potassium Tablets. It has been reported more commonly in the elderly, in males, or in patients on prolonged treatment. The histologic findings on liver biopsy have consisted of predominantly cholestatic, hepatocellular, or mixed cholestatic-hepatocellular changes. The onset of signs/symptoms of hepatic dysfunction may occur during or several weeks after therapy has been discontinued. The hepatic dysfunction, which may be severe, is usually reversible. Deaths have been reported. [see Contraindications ( 4.2 ), W arnings   and Precautions ( 5.2 )]

Renal:  Interstitial nephritis, hematuria, and crystalluria have been reported. [see Overdosage ( 10 )]

Hemic   and L ymphatic   Systems:  Anemia, including hemolytic anemia, thrombocytopenia, thrombocytopenic purpura, eosinophilia, leukopenia, and agranulocytosis have been reported.

These reactions are usually reversible on discontinuation of therapy and are believed to be hypersensitivity phenomena. Thrombocytosis was noted in less than 1% of the patients treated with Amoxicillin and Clavulanate Potassium Tablets. There have been reports of increased prothrombin time in patients receiving Amoxicillin and Clavulanate Potassium Tablets and anticoagulant therapy concomitantly. [see Drug   Interactions ( 7.2 )]

Central   Nervous   System:  Agitation, anxiety, behavioral changes, confusion, convulsions, dizziness, insomnia, and reversible hyperactivity have been reported.

Miscellaneous: Tooth discoloration (brown, yellow, or gray staining) has been reported. Most reports occurred in pediatric patients. Discoloration was reduced or eliminated with brushing or dental cleaning in most cases.

17.1 Information for Patients

Patients should be informed that Amoxicillin and Clavulanate Potassium Tablets may be taken every 8 hours or every 12 hours, depending on the dose prescribed. Each dose should be taken with a meal or snack to reduce the possibility of gastrointestinal upset.

Patients should be counseled that antibacterial drugs, including Amoxicillin and Clavulanate Potassium Tablets should only be used to treat bacterial infections. They do not treat viral infections (e.g., the common cold). When Amoxicillin and Clavulanate Potassium Tablets are prescribed to treat a bacterial infection, patients should be told that although it is common to feel better early in the course of therapy, the medication should be taken exactly as directed. Skipping doses or not completing the full course of therapy may: (1) decrease the effectiveness of the immediate treatment, and (2) increase the likelihood that bacteria will develop resistance and will not be treatable by Amoxicillin and Clavulanate Potassium Tablets or other antibacterial drugs in the future.

Counsel patients that diarrhea is a common problem caused by antibacterials, and it usually ends when the antibacterial is discontinued. Sometimes after starting treatment with antibacterials, patients can develop watery and bloody stools (with or without stomach cramps and fever) even as late as 2 or more months after having taken their last dose of the antibacterial. If diarrhea is severe or lasts more than 2 or 3 days, patients should contact their physician.

Patients should be aware that Amoxicillin and Clavulanate Potassium Tablets contain a penicillin class drug product that can cause allergic reactions in some individuals.

Distributed by:

West-Ward Pharmaceuticals Corp.

Eatontown, NJ 07724 U.S.A.

Manufactured by:

HIKMA Pharmaceuticals

P.O.Box 182400

Amman 11118 - Jordan

Revised September 2018

8 Use in Specific Populations (8 USE IN SPECIFIC POPULATIONS)
  • Pediatric Use: Modify dose in patients 12 weeks or younger. ( 8.4)

  • Renal impairment; Dosage adjustment is recommended for severe renal impairment (GFR< 30mL/min). ( 2.3, 8.6)
1.5 Urinary Tract Infections 

- caused by beta-lactamase-producing isolates of E.   coli, Klebsiella species, and Enterobacter species.

5.1 Hypersensitivity Reactions

Serious and occasionally fatal hypersensitivity (anaphylactic) reactions have been reported in patients receiving beta-lactam antibacterials, including Amoxicillin and Clavulanate Potassium Tablets. These reactions are more likely to occur in individuals with a history of penicillin hypersensitivity and/or a history of sensitivity to multiple allergens. Before initiating therapy with Amoxicillin and Clavulanate Potassium Tablets, careful inquiry should be made regarding previous hypersensitivity reactions to penicillins, cephalosporins, or other allergens. If an allergic reaction occurs, Amoxicillin and Clavulanate Potassium Tablets should be discontinued and appropriate therapy instituted.

6.1 Clinical Trials Experience

Because clinical trials are conducted under widely varying conditions, adverse reaction rates observed in the clinical trials of a drug cannot be directly compared to rates in the clinical trials of another drug and may not reflect the rates observed in practice.

The most frequently reported adverse reactions were diarrhea/loose stools (9%), nausea (3%), skin rashes and urticaria (3%), vomiting (1%) and vaginitis (1%). Less than 3% of patients discontinued therapy because of drug-related adverse reactions. The overall incidence of adverse reactions, and in particular diarrhea, increased with the higher recommended dose. Other less frequently reported adverse reactions (<1%) include: Abdominal discomfort, flatulence, and headache.

In pediatric patients (aged 2 months to 12 years), 1 US/Canadian clinical trial was conducted which compared 45/6.4 mg/kg/day (divided every 12 hours) of Amoxicillin and Clavulanate Potassium for 10 days versus 40/10 mg/kg/day (divided every 8 hours) of Amoxicillin and Clavulanate Potassium for 10 days in the treatment of acute otitis media. A total of 575 patients were enrolled, and only the suspension formulations were used in this trial. Overall, the adverse reactions seen were comparable to that noted above; however, there were differences in the rates of diarrhea, skin rashes/urticaria, and diaper area rashes. [See Clinical Studies ( 14.2 )]

8.6 Dosing in Renal Impairment

Amoxicillin is primarily eliminated by the kidney and dosage adjustment is usually required in patients with severe renal impairment (GFR <30 mL/min). See Patients with Renal Impairment (2.3) for specific recommendations in patients with renal impairment.

7.5 Effects On Laboratory Tests (7.5 Effects on Laboratory Tests)

High urine concentrations of amoxicillin may result in false-positive reactions when testing for the presence of glucose in urine using CLINITEST ®, Benedict’s Solution, or Fehling’s Solution. Since this effect may also occur with Amoxicillin and Clavulanate Potassium Tablets, it is recommended that glucose tests based on enzymatic glucose oxidase reactions be used.

Following administration of amoxicillin to pregnant women, a transient decrease in plasma concentration of total conjugated estriol, estriol-glucuronide, conjugated estrone, and estradiol has been noted.

1.2 Acute Bacterial Otitis Media

- caused by beta-lactamase-producing isolates of H. influenzae and M. catarrhalis.

2.3 Patients With Renal Impairment (2.3 Patients with Renal Impairment)

Patients with impaired renal function do not generally require a reduction in dose unless the impairment is severe. Renal impairment patients with a glomerular filtration rate of <30 mL/min should not receive the 875-mg dose.

16 How Supplied/storage and Handling (16 HOW SUPPLIED/STORAGE AND HANDLING)

Amoxicillin and Clavulanate Potassium Tablets, USP 875mg/125mg: Each scored white capsule-shaped tablet, debossed with WW949 on the upper side and scored on the other side, contains 875 mg amoxicillin as the trihydrate and 125 mg clavulanic acid as the potassium salt.

NDC 68071-5026-4 BOTTLES OF 14

Store at 20° to 25°C (68° to 77°F) [See USP Controlled Room Temperature].

Dispense in a tight container as defined in the USP, with a child-resistant closure (as required).

Advise patients to keep in a closed container.

KEEP THIS AND ALL MEDICATIONS OUT OF THE REACH OF CHILDREN.

1.1 Lower Respiratory Tract Infections

- caused by beta-lactamase-producing isolates of  Haemophilus influenzae and Moraxella catarrhalis.

1.4 Skin and Skin Structure Infections

- caused by beta-lactamase-producing isolates of  Staphylococcus aureus, Escherichia coli, and Klebsiella species.

4.1 Serious Hypersensitivity Reactions

Amoxicillin and Clavulanate Potassium Tablets are contraindicated in patients with a history of serious hypersensitivity reactions (e.g., anaphylaxis or Stevens-Johnson syndrome) to amoxicillin, clavulanate or to other beta-lactam antibacterial drugs (e.g., penicillins and cephalosporins).

5.5 Potential for Microbial Overgrowth

The possibility of superinfections with fungal or bacterial pathogens should be considered during therapy. If superinfection occurs, amoxicillin/clavulanate potassium should be discontinued and appropriate therapy instituted.

5.7 Development of Drug Resistant Bacteria (5.7 Development of Drug-Resistant Bacteria)

Prescribing Amoxicillin and Clavulanate Potassium Tablets in the absence of a proven or strongly suspected bacterial infection is unlikely to provide benefit to the patient, and increases the risk of the development of drug-resistant bacteria.

4.2 Cholestatic Jaundice/hepatic Dysfunction (4.2 Cholestatic Jaundice/Hepatic Dysfunction)

Amoxicillin and Clavulanate Potassium Tablets are contraindicated in patients with a previous history of cholestatic jaundice/hepatic dysfunction associated with Amoxicillin and Clavulanate Potassium Tablets.

5.4 Skin Rash in Patients With Mononucleosis (5.4 Skin Rash in Patients with Mononucleosis)

A high percentage of patients with mononucleosis who receive amoxicillin develop an erythematous skin rash. Thus, Amoxicillin and Clavulanate Potassium Tablets should not be administered to patients with mononucleosis.

13.1 Carcinogenesis, Mutagenesis, Impairment of Fertility

Long-term studies in animals have not been performed to evaluate carcinogenic potential. Amoxicillin and Clavulanate Potassium Tablets (4:1 ratio formulation of amoxicillin:clavulanate) was non-mutagenic in the Ames bacterial mutation assay, and the yeast gene conversion assay. Amoxicillin and Clavulanate Potassium Tablets was weakly positive in the mouse lymphoma assay, but the trend toward increased mutation frequencies in this assay occurred at doses that were also associated with decreased cell survival.

Amoxicillin and Clavulanate Potassium Tablets was negative in the mouse micronucleus test, and in the dominant lethal assay in mice. Potassium clavulanate alone was tested in the Ames bacterial mutation assay and in the mouse micronucleus test, and was negative in each of these assays. Amoxicillin and Clavulanate Potassium Tablets (2:1 ratio formulation of amoxicillin:clavulanate) at oral doses of up to 1,200 mg/kg/day was found to have no effect on fertility and reproductive performance in rats. Based on body surface area, this dose of amoxicillin is approximately 4 times the maximum recommended adult human oral dose (875 mg every 12 hours). For clavulanate, the dose multiple is approximately 9 times higher than the maximum recommended adult human oral dose (125 mg every 8 hours), also based on body surface area.

14.2 Acute Bacterial Otitis Media and Diarrhea in Pediatric Patients

One US/Canadian clinical trial was conducted which compared 45/6.4 mg/kg/day (divided every 12 hours) of Amoxicillin and Clavulanate Potassium for 10 days versus 40/10 mg/kg/day (divided every 8 hours) of Amoxicillin and Clavulanate Potassium for 10 days in the treatment of acute otitis media. Only the suspension formulations were used in this trial. A total of 575 pediatric patients (aged 2 months to 12 years) were enrolled, with an even distribution among the 2 treatment groups and a comparable number of patients were evaluable (i.e., ≥ 84%) per treatment group. Otitis media-specific criteria were required for eligibility and a strong correlation was found at the end of therapy and follow-up between these criteria and physician assessment of clinical response. The clinical efficacy rates at the end of therapy visit (defined as 2-4 days after the completion of therapy) and at the follow-up visit (defined as 22-28 days post-completion of therapy) were comparable for the 2 treatment groups, with the following cure rates obtained for the evaluable patients: At end of therapy, 87% (n = 265) and 82% (n = 260) for 45 mg/kg/day every 12 hours and 40 mg/kg/day every 8 hours, respectively. At follow-up, 67% (n = 249) and 69% (n = 243) for 45 mg/kg/day every 12 hours and 40 mg/kg/day every 8 hours, respectively.

Diarrhea was defined as either: (a) 3 or more watery or 4 or more loose/watery stools in 1 day; OR (b) 2 watery stools per day or 3 loose/watery stools per day for 2 consecutive days. The incidence of diarrhea was significantly lower in patients who received the every 12 hours regimen compared to patients who received the every 8 hours regimen (14% and 34%, respectively). In addition, the number of patients with either severe diarrhea or who were withdrawn with diarrhea was significantly lower in the every 12 hours treatment group (3% and 8% for the every 12 hours/10 day and every 8 hours/10 day, respectively). In the every 12 hours treatment group, 3 patients (1%) were withdrawn with an allergic reaction, while 1 patient in the every 8 hours group was withdrawn for this reason. The number of patients with a candidal infection of the diaper area was 4% and 6% for the every 12 hours and every 8 hours groups, respectively.

It is not known if the finding of a statistically significant reduction in diarrhea with the oral suspensions dosed every 12 hours, versus suspensions dosed every 8 hours, can be extrapolated to the chewable tablets. The presence of mannitol in the chewable tablets may contribute to a different diarrhea profile. The every 12 hour oral suspensions (200 mg/5 mL and 400 mg/5 mL) are sweetened with aspartame.

14.1 Lower Respiratory Tract and Complicated Urinary Tract Infections

Data from 2 pivotal trials in 1,191 patients treated for either lower respiratory tract infections or complicated urinary tract infections compared a regimen of 875-mg tablets of Amoxicillin and Clavulanate Potassium every 12 hours to 500-mg tablets of Amoxicillin and Clavulanate Potassium dosed every 8 hours (584 and 607 patients, respectively). Comparable efficacy was demonstrated between the every 12 hours and every 8 hours dosing regimens. There was no significant difference in the percentage of adverse events in each group. The most frequently reported adverse event was diarrhea; incidence rates were similar for the 875-mg every 12 hours and 500-mg every 8 hours dosing regimens (15% and 14%, respectively); however, there was a statistically significant difference (p < 0.05) in rates of severe diarrhea or withdrawals with diarrhea between the regimens:

1% for 875-mg every 12 hours regimen versus 2% for the 500-mg every 8 hours regimen.

In one of these pivotal trials, patients with either pyelonephritis (n = 361) or a complicated urinary tract infection (i.e., patients with abnormalities of the urinary tract that predispose to relapse of bacteriuria following eradication, n = 268) were randomized (1:1) to receive either 875-mg tablets of Amoxicillin and Clavulanate Potassium every 12 hours (n=308) or 500-mg tablets of Amoxicillin and Clavulanate Potassium every 8 hours (n=321).

The number of bacteriologically evaluable patients was comparable between the two dosing regimens. Amoxicillin and Clavulanate Potassium produced comparable bacteriological success rates in patients assessed 2 to 4 days immediately following end of therapy. The bacteriologic efficacy rates were comparable at one of the follow-up visits (5 to 9 days post-therapy) and at a late post-therapy visit (in the majority of cases, this was 2 to 4 weeks post-therapy), as seen in Table 5.

Table 5: Bacteriologic efficacy rates for Amoxicillin and Clavulanate Potassium
T ime   Post   Therapy 875 mg   every 12 hours   % (n) 500 mg   every 8 hours   % (n)
2 to 4 days 81% (58) 80% (54)
5 to 9 days 58% (41) 52% (52)
2 to 4 weeks 52% (101) 55% (104)

As noted before, though there was no significant difference in the percentage of adverse events in each group, there was a statistically significant difference in rates of severe diarrhea or withdrawals with diarrhea between the regimens.


Advanced Ingredient Data


Raw Label Data

All Sections (JSON)