Nystatin Tablets Usp

Nystatin Tablets Usp
SPL v7
SPL
SPL Set ID 8fd35f97-5405-2160-ca0f-35034ecd5a92
Route
ORAL
Published
Effective Date 2014-01-20
Document Type 34391-3 HUMAN PRESCRIPTION DRUG LABEL

Drug Facts

Composition & Product

Active Ingredients
Nystatin (500000 [USP'U])
Inactive Ingredients
Starch, Corn Povidone K29/32 Cellulose, Microcrystalline Sodium Starch Glycolate Type A Potato Talc Magnesium Stearate Water Isopropyl Alcohol

Identifiers & Packaging

Pill Appearance
Imprint: 93;983 Shape: round Color: brown Size: 10 mm Score: 1
Marketing Status
ANDA Active Since 2014-01-20

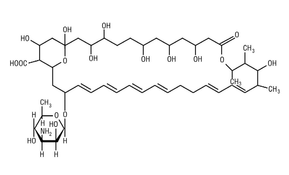
Description

Nystatin, USP is an antimycotic polyene antibiotic obtained from Streptomyces noursei . Its structural formula: C 47 H 75 NO 17 M.W. 926.13 Nystatin tablets USP contain the inactive ingredients: Corn Starch, Povidone, Compressible Sugar, Microcrystalline Cellulose, Sodium Starch Glycolate, Talc, Magnesium Stearate, Purified Water, and Coloring.

Indications and Usage

Nystatin tablets are intended for the treatment of non-esophageal mucus membrane gastrointestinal candidiasis.

Dosage and Administration

The usual therapeutic dosage is one to two tablets (500,000 to 1,000,000 units nystatin) three times daily. Treatment should generally be continued for at least 48 hours after clinical cure to prevent relapse.

Contraindications

Nystatin Tablets are contraindicated in patients with a history of hypersensitivity to any of their components.

Adverse Reactions

Nystatin is well tolerated even with prolonged therapy. Oral irritation and sensitization have been reported (see PRECAUTIONS, General ).

How Supplied

Nystatin Tablets USP, 500,000 Units are round, convex, brown, film-coated tablet debossed with 93 on one side and 983 on the reverse and are packaged in bottles of 90 tablets (NDC 42291-651-90). Store at 20° and 25°C (68° and 77°F) [See USP Controlled Room Temperature]. Dispense in a tight, light-resistant container as defined in the USP, with a child-resistant closure (as required). Keep tightly closed. KEEP THIS AND ALL MEDICATIONS OUT OF THE REACH OF CHILDREN. Manufactured For: AvKARE Pulaski, TN 38478 Mfg. Rev. 11/22 AV Rev. 09/25(M)


Medication Information

Indications and Usage

Nystatin tablets are intended for the treatment of non-esophageal mucus membrane gastrointestinal candidiasis.

Dosage and Administration

The usual therapeutic dosage is one to two tablets (500,000 to 1,000,000 units nystatin) three times daily. Treatment should generally be continued for at least 48 hours after clinical cure to prevent relapse.

Contraindications

Nystatin Tablets are contraindicated in patients with a history of hypersensitivity to any of their components.

Adverse Reactions

Nystatin is well tolerated even with prolonged therapy. Oral irritation and sensitization have been reported (see PRECAUTIONS, General).

How Supplied

Nystatin Tablets USP, 500,000 Units are round, convex, brown, film-coated tablet debossed with 93 on one side and 983 on the reverse and are packaged in bottles of 90 tablets (NDC 42291-651-90).

Store at 20° and 25°C (68° and 77°F) [See USP Controlled Room Temperature].

Dispense in a tight, light-resistant container as defined in the USP, with a child-resistant closure (as required).

Keep tightly closed.

KEEP THIS AND ALL MEDICATIONS OUT OF THE REACH OF CHILDREN.

Manufactured For:

AvKARE

Pulaski, TN 38478

Mfg. Rev. 11/22

AV Rev. 09/25(M)

Description

Nystatin, USP is an antimycotic polyene antibiotic obtained from Streptomyces noursei. Its structural formula:

C 47H 75NO 17 M.W. 926.13

Nystatin tablets USP contain the inactive ingredients: Corn Starch, Povidone, Compressible Sugar, Microcrystalline Cellulose, Sodium Starch Glycolate, Talc, Magnesium Stearate, Purified Water, and Coloring.

Other

Tachycardia, bronchospasm, facial swelling, and nonspecific myalgia have also been rarely reported.

To report SUSPECTED ADVERSE REACTIONS contact AvKARE at 1-855-361-3993; email [email protected]; or FDA at 1-800-FDA-1088 or www.fda.gov/medwatch.

General

This medication is not to be used for the treatment of systemic mycoses. Discontinue treatment if sensitization or irritation is reported during use.

Overdosage

Oral doses of nystatin in excess of five million units daily have caused nausea and gastrointestinal upset. There have been no reports of serious toxic effects of superinfections (see CLINICAL PHARMACOLOGY, Pharmacokinetics).

Dermatologic

Rash, including urticaria has been reported rarely. Stevens-Johnson syndrome has been reported very rarely.

Microbiology

Nystatin is both fungistatic and fungicidal in vitro against a wide variety of yeasts and yeast like fungi. Candida albicans demonstrates no significant resistance to nystatin in vitro on repeated subculture in increasing levels of nystatin; other Candida species become quite resistant. Generally, resistance does not develop in vivo. Nystatin acts by binding to sterols in the cell membrane of susceptible Candida species with a resultant change in membrane permeability allowing leakage of intracellular components. Nystatin exhibits no appreciable activity against bacteria, protozoa, or viruses.

Nursing Mothers

It is not known whether nystatin is excreted in human milk. Because many drugs are excreted in human milk, caution should be exercised when nystatin is administered to a nursing woman.

Gastrointestinal

Diarrhea (including one case of bloody diarrhea), nausea, vomiting, gastrointestinal upset/disturbances.

Pharmacokinetics

Gastrointestinal absorption of nystatin is insignificant. Most orally administered nystatin is passed unchanged in the stool. In patients with renal insufficiency receiving oral therapy with conventional dosage forms, significant plasma concentrations of nystatin may occasionally occur.

Pregnancy Category C

Animal reproduction studies have not been conducted with nystatin. It is also not known whether nystatin can cause fetal harm when administered to a pregnant woman or can affect reproduction capacity. Nystatin should be given to a pregnant woman only if clearly needed.

Package Label.principal Display Panel

Carcinogenesis, Mutagenesis, Impairment of Fertility

No long-term animal studies have been performed to evaluate carcinogenic potential. There also have been no studies to determine mutagenicity or whether this medication affects fertility in males or females.


Structured Label Content

Other

Tachycardia, bronchospasm, facial swelling, and nonspecific myalgia have also been rarely reported.

To report SUSPECTED ADVERSE REACTIONS contact AvKARE at 1-855-361-3993; email [email protected]; or FDA at 1-800-FDA-1088 or www.fda.gov/medwatch.

General

This medication is not to be used for the treatment of systemic mycoses. Discontinue treatment if sensitization or irritation is reported during use.

Overdosage (OVERDOSAGE)

Oral doses of nystatin in excess of five million units daily have caused nausea and gastrointestinal upset. There have been no reports of serious toxic effects of superinfections (see CLINICAL PHARMACOLOGY, Pharmacokinetics).

Description (DESCRIPTION)

Nystatin, USP is an antimycotic polyene antibiotic obtained from Streptomyces noursei. Its structural formula:

C 47H 75NO 17 M.W. 926.13

Nystatin tablets USP contain the inactive ingredients: Corn Starch, Povidone, Compressible Sugar, Microcrystalline Cellulose, Sodium Starch Glycolate, Talc, Magnesium Stearate, Purified Water, and Coloring.

Dermatologic

Rash, including urticaria has been reported rarely. Stevens-Johnson syndrome has been reported very rarely.

How Supplied (HOW SUPPLIED)

Nystatin Tablets USP, 500,000 Units are round, convex, brown, film-coated tablet debossed with 93 on one side and 983 on the reverse and are packaged in bottles of 90 tablets (NDC 42291-651-90).

Store at 20° and 25°C (68° and 77°F) [See USP Controlled Room Temperature].

Dispense in a tight, light-resistant container as defined in the USP, with a child-resistant closure (as required).

Keep tightly closed.

KEEP THIS AND ALL MEDICATIONS OUT OF THE REACH OF CHILDREN.

Manufactured For:

AvKARE

Pulaski, TN 38478

Mfg. Rev. 11/22

AV Rev. 09/25(M)

Microbiology

Nystatin is both fungistatic and fungicidal in vitro against a wide variety of yeasts and yeast like fungi. Candida albicans demonstrates no significant resistance to nystatin in vitro on repeated subculture in increasing levels of nystatin; other Candida species become quite resistant. Generally, resistance does not develop in vivo. Nystatin acts by binding to sterols in the cell membrane of susceptible Candida species with a resultant change in membrane permeability allowing leakage of intracellular components. Nystatin exhibits no appreciable activity against bacteria, protozoa, or viruses.

Nursing Mothers

It is not known whether nystatin is excreted in human milk. Because many drugs are excreted in human milk, caution should be exercised when nystatin is administered to a nursing woman.

Gastrointestinal

Diarrhea (including one case of bloody diarrhea), nausea, vomiting, gastrointestinal upset/disturbances.

Pharmacokinetics

Gastrointestinal absorption of nystatin is insignificant. Most orally administered nystatin is passed unchanged in the stool. In patients with renal insufficiency receiving oral therapy with conventional dosage forms, significant plasma concentrations of nystatin may occasionally occur.

Adverse Reactions (ADVERSE REACTIONS)

Nystatin is well tolerated even with prolonged therapy. Oral irritation and sensitization have been reported (see PRECAUTIONS, General).

Contraindications (CONTRAINDICATIONS)

Nystatin Tablets are contraindicated in patients with a history of hypersensitivity to any of their components.

Pregnancy Category C

Animal reproduction studies have not been conducted with nystatin. It is also not known whether nystatin can cause fetal harm when administered to a pregnant woman or can affect reproduction capacity. Nystatin should be given to a pregnant woman only if clearly needed.

Indications and Usage (INDICATIONS AND USAGE)

Nystatin tablets are intended for the treatment of non-esophageal mucus membrane gastrointestinal candidiasis.

Dosage and Administration (DOSAGE AND ADMINISTRATION)

The usual therapeutic dosage is one to two tablets (500,000 to 1,000,000 units nystatin) three times daily. Treatment should generally be continued for at least 48 hours after clinical cure to prevent relapse.

Package Label.principal Display Panel (PACKAGE LABEL.PRINCIPAL DISPLAY PANEL)

Carcinogenesis, Mutagenesis, Impairment of Fertility

No long-term animal studies have been performed to evaluate carcinogenic potential. There also have been no studies to determine mutagenicity or whether this medication affects fertility in males or females.


Advanced Ingredient Data


Raw Label Data

All Sections (JSON)