Fluocinonide Gel Usp, 0.05%

Fluocinonide Gel Usp, 0.05%
SPL v2
SPL
SPL Set ID 8e22600e-a1a2-432c-a47c-b7b99a0b1e46
Route
TOPICAL
Published
Effective Date 2025-02-27
Document Type 34391-3 HUMAN PRESCRIPTION DRUG LABEL

Drug Facts

Composition & Product

Active Ingredients
Fluocinonide (0.5 mg)
Inactive Ingredients
Carbomer Homopolymer Type C (allyl Pentaerythritol Crosslinked) Edetate Disodium Propyl Gallate Propylene Glycol Sodium Hydroxide Water

Identifiers & Packaging

Marketing Status
ANDA Active Since 2025-04-10

Description

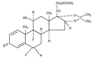
Fluocinonide Gel USP, 0.05% is intended for topical administration. The active component is the corticosteroid fluocinonide, which is the 21-acetate ester of fluocinolone acetonide and has the chemical name pregna-1,4-diene-3,20-dione,21-(acetyloxy)-6,9-difluoro-11-hydroxy-16,17-[(1-methylethylidene)bis(oxy)]-,(6a,11b,16a)-. It has the following chemical structure: Mol. Formula: C 26 H 32 F 2 O 7 Mol. Wt: 494.53 Fluocinonide Gel USP, 0.05% contains fluocinonide 0.5 mg/g in a specially formulated gel base consisting of carbomer 980, edetate disodium, propyl gallate, propylene glycol, sodium hydroxide (to adjust pH) and purified water. This clear, colorless, thixotropic vehicle is greaseless, non-staining and completely water miscible. In the Fluocinonide Gel USP, 0.05% formulation, the active ingredient is totally in solution.

Indications and Usage

Fluocinonide Gel USP, 0.05% is indicated for the relief of the inflammatory and pruritic manifestations of corticosteroid-responsive dermatoses.

Dosage and Administration

Fluocinonide Gel USP, 0.05% is generally applied to the affected area as a thin film from two to four times daily depending on the severity of the condition. Occlusive dressings may be used for the management of psoriasis or recalcitrant conditions. If an infection develops, the use of occlusive dressings should be discontinued and appropriate antimicrobial therapy instituted.

Contraindications

Topical corticosteroids are contraindicated in those patients with a history of hypersensitivity to any of the components of the preparations.

Adverse Reactions

The following local adverse reactions are reported infrequently with topical corticosteroids, but may occur more frequently with the use of occlusive dressings. These reactions are listed in an approximate decreasing order of occurrence: Burning Hypertrichosis Maceration of the Skin Itching Acneiform Eruptions Secondary Infection Irritation Hypopigmentation Skin Atrophy Dryness Perioral Dermatitis Striae Folliculitis Allergic Contact Dermatitis Miliaria To report SUSPECTED ADVERSE REACTIONS , contact Padagis ® at 1-866-634-9120 or FDA at 1-800-FDA-1088 or www.fda.gov/medwatch.

How Supplied

Fluocinonide Gel USP, 0.05% is supplied in the following: 15 g (NDC 45802- 761 -15) 30 g (NDC 45802- 761 -30) and 60 g (NDC 45802- 761 -60) tubes. Store at 20°- 25°C (68°- 77°F) [see USP Controlled Room Temperature] Manufactured by Padagis®, Yeruham, Israel www.padagis.com Rev 08-24 7D000 RC PH2


Medication Information

Indications and Usage

Fluocinonide Gel USP, 0.05% is indicated for the relief of the inflammatory and pruritic manifestations of corticosteroid-responsive dermatoses.

Dosage and Administration

Fluocinonide Gel USP, 0.05% is generally applied to the affected area as a thin film from two to four times daily depending on the severity of the condition.

Occlusive dressings may be used for the management of psoriasis or recalcitrant conditions.

If an infection develops, the use of occlusive dressings should be discontinued and appropriate antimicrobial therapy instituted.

Contraindications

Topical corticosteroids are contraindicated in those patients with a history of hypersensitivity to any of the components of the preparations.

Adverse Reactions

The following local adverse reactions are reported infrequently with topical corticosteroids, but may occur more frequently with the use of occlusive dressings. These reactions are listed in an approximate decreasing order of occurrence:

Burning

Hypertrichosis

Maceration of the Skin

Itching

Acneiform Eruptions

Secondary Infection

Irritation

Hypopigmentation

Skin Atrophy

Dryness

Perioral Dermatitis

Striae

Folliculitis

Allergic Contact Dermatitis

Miliaria

To report SUSPECTED ADVERSE REACTIONS, contact Padagis® at 1-866-634-9120 or FDA at 1-800-FDA-1088 or www.fda.gov/medwatch.

How Supplied

Fluocinonide Gel USP, 0.05% is supplied in the following:

15 g (NDC 45802-761-15)

30 g (NDC 45802-761-30) and

60 g (NDC 45802-761-60) tubes.

Store at 20°- 25°C (68°- 77°F) [see USP Controlled Room Temperature]

Manufactured by Padagis®, Yeruham, Israel

www.padagis.com

Rev 08-24

7D000 RC PH2

Description

Fluocinonide Gel USP, 0.05% is intended for topical administration. The active component is the corticosteroid fluocinonide, which is the 21-acetate ester of fluocinolone acetonide and has the chemical name pregna-1,4-diene-3,20-dione,21-(acetyloxy)-6,9-difluoro-11-hydroxy-16,17-[(1-methylethylidene)bis(oxy)]-,(6a,11b,16a)-. It has the following chemical structure:

Mol. Formula: C26H32F2O7

Mol. Wt: 494.53

Fluocinonide Gel USP, 0.05% contains fluocinonide 0.5 mg/g in a specially formulated gel base consisting of carbomer 980, edetate disodium, propyl gallate, propylene glycol, sodium hydroxide (to adjust pH) and purified water. This clear, colorless, thixotropic vehicle is greaseless, non-staining and completely water miscible. In the Fluocinonide Gel USP, 0.05% formulation, the active ingredient is totally in solution.

General

Systemic absorption of topical corticosteroids has produced reversible hypothalamic-pituitary-adrenal (HPA) axis suppression, manifestations of Cushing’s syndrome, hyperglycemia, and glucosuria in some patients.

Conditions which augment systemic absorption include the application of the more potent steroids, use over large surface areas, prolonged use, and the addition of occlusive dressings.

Therefore, patients receiving a large dose of a potent topical steroid applied to a large surface area or under an occlusive dressing should be evaluated periodically for evidence of HPA axis suppression by using the urinary free cortisol and ACTH stimulation tests. If HPA axis suppression is noted, an attempt should be made to withdraw the drug, to reduce the frequency of application, or to substitute a less potent steroid.

Recovery of HPA axis function is generally prompt and complete upon discontinuation of the drug. Infrequently, signs and symptoms of steroid withdrawal may occur, requiring supplemental systemic corticosteroids.

Children may absorb proportionally larger amounts of topical corticosteroids and thus be more susceptible to systemic toxicity (see PRECAUTIONS - Pediatric Use ). If irritation develops, topical corticosteroids should be discontinued and appropriate therapy instituted.

As with any topical corticosteroid product, prolonged use may produce atrophy of the skin and subcutaneous tissues. When used on intertriginous or flexor areas, or on the face, this may occur even with short-term use.

In the presence of dermatological infections, the use of an appropriate antifungal or antibacterial agent should be instituted. If a favorable response does not occur promptly, the corticosteroid should be discontinued until the infection has been adequately controlled.

Overdosage

Topically applied corticosteroids can be absorbed in sufficient amounts to produce systemic effects (see PRECAUTIONS).

Pediatric Use

Pediatric patients may demonstrate greater susceptibility to topical corticosteroid-induced hypothalamic-pituitary-adrenal (HPA) axis suppression and Cushing’s syndrome than mature patients because of a larger skin surface area to body weight ratio.

HPA axis suppression, Cushing’s syndrome, and intracranial hypertension have been reported in children receiving topical corticosteroids. Manifestations of adrenal suppression in children include linear growth retardation, delayed weight gain, low plasma cortisol levels, and absence of response to ACTH stimulation. Manifestations of intracranial hypertension include bulging fontanelles, headaches, and bilateral papilledema.

Administration of topical corticosteroids to children should be limited to the least amount compatible with an effective therapeutic regimen. Chronic corticosteroid therapy may interfere with the growth and development of children.

Nursing Mothers

It is not known whether topical administration of corticosteroids could result in sufficient systemic absorption to produce detectable quantities in breast milk. Systemically administered corticosteroids are secreted into breast milk in quantities not likely to have a deleterious effect on the infant. Nevertheless, caution should be exercised when topical corticosteroids are administered to a nursing woman.

Laboratory Tests

The following tests may be helpful in evaluating the HPA axis suppression:

Urinary free cortisol test

ACTH stimulation test

Pharmacokinetics

The extent of percutaneous absorption of topical corticosteroids is determined by many factors including the vehicle, the integrity of the epidermal barrier, and the use of occlusive dressings.

Topical corticosteroids can be absorbed from normal intact skin. Inflammation and/or other disease processes in the skin increase percutaneous absorption. Occlusive dressings substantially increase the percutaneous absorption of topical corticosteroids. Thus, occlusive dressings may be a valuable therapeutic adjunct for treatment of resistant dermatoses (see DOSAGE AND ADMINISTRATION ). Once absorbed through the skin, topical corticosteroids are handled through pharmacokinetic pathways similar to systemically administered corticosteroids. Corticosteroids are bound to plasma proteins in varying degrees. Corticosteroids are metabolized primarily in the liver and are then excreted by the kidneys. Some of the topical corticosteroids and their metabolites are also excreted into the bile.

Pregnancy Category C

Corticosteroids are generally teratogenic in laboratory animals when administered systemically at relatively low dosage levels. The more potent corticosteroids have been shown to be teratogenic after dermal application in laboratory animals. There are no adequate and well-controlled studies in pregnant women on teratogenic effects from topically applied corticosteroids. Therefore, topical corticosteroids should be used during pregnancy only if the potential benefit justifies the potential risk to the fetus. Drugs of this class should not be used extensively on pregnant patients, in large amounts, or for prolonged periods of time.

Clinical Pharmacology

Topical corticosteroids share anti-inflammatory, anti-pruritic and vasoconstrictive actions. The mechanism of anti-inflammatory activity of the topical corticosteroids is unclear. Various laboratory methods, including vasoconstrictor assays, are used to compare and predict potencies and/or clinical efficacies of the topical corticosteroids. There is some evidence to suggest that a recognizable correlation exists between vasoconstrictor potency and therapeutic efficacy in man.

Information for the Patient

Patients using topical corticosteroids should receive the following information and instructions:

1. This medication is to be used as directed by the physician. It is for external use only. Avoid contact with the eyes.

2. Patients should be advised not to use this medication for any disorder other than for which it was prescribed.

3. The treated skin area should not be bandaged or otherwise covered or wrapped as to be occlusive unless directed by the physician.

4. Patients should report any signs of local adverse reactions, especially under occlusive dressing.

5. Parents of pediatric patients should be advised not to use tight-fitting diapers or plastic pants on a child being treated in the diaper area, as these garments may constitute occlusive dressings.

Package/label Principal Display Panel

NDC 45802-761-30

Rx Only

Fluocinonide Gel USP, 0.05%

For External Use Only. Not For Ophthalmic Use.

NET WT 30 g

Carcinogenesis, Mutagenesis, and Impairment of Fertility

Long-term animal studies have not been performed to evaluate the carcinogenic potential or the effect on fertility of topical corticosteroids.

Studies to determine mutagenicity with prednisolone and hydrocortisone have revealed negative results.


Structured Label Content

General

Systemic absorption of topical corticosteroids has produced reversible hypothalamic-pituitary-adrenal (HPA) axis suppression, manifestations of Cushing’s syndrome, hyperglycemia, and glucosuria in some patients.

Conditions which augment systemic absorption include the application of the more potent steroids, use over large surface areas, prolonged use, and the addition of occlusive dressings.

Therefore, patients receiving a large dose of a potent topical steroid applied to a large surface area or under an occlusive dressing should be evaluated periodically for evidence of HPA axis suppression by using the urinary free cortisol and ACTH stimulation tests. If HPA axis suppression is noted, an attempt should be made to withdraw the drug, to reduce the frequency of application, or to substitute a less potent steroid.

Recovery of HPA axis function is generally prompt and complete upon discontinuation of the drug. Infrequently, signs and symptoms of steroid withdrawal may occur, requiring supplemental systemic corticosteroids.

Children may absorb proportionally larger amounts of topical corticosteroids and thus be more susceptible to systemic toxicity (see PRECAUTIONS - Pediatric Use ). If irritation develops, topical corticosteroids should be discontinued and appropriate therapy instituted.

As with any topical corticosteroid product, prolonged use may produce atrophy of the skin and subcutaneous tissues. When used on intertriginous or flexor areas, or on the face, this may occur even with short-term use.

In the presence of dermatological infections, the use of an appropriate antifungal or antibacterial agent should be instituted. If a favorable response does not occur promptly, the corticosteroid should be discontinued until the infection has been adequately controlled.

Overdosage (OVERDOSAGE)

Topically applied corticosteroids can be absorbed in sufficient amounts to produce systemic effects (see PRECAUTIONS).

Description (DESCRIPTION)

Fluocinonide Gel USP, 0.05% is intended for topical administration. The active component is the corticosteroid fluocinonide, which is the 21-acetate ester of fluocinolone acetonide and has the chemical name pregna-1,4-diene-3,20-dione,21-(acetyloxy)-6,9-difluoro-11-hydroxy-16,17-[(1-methylethylidene)bis(oxy)]-,(6a,11b,16a)-. It has the following chemical structure:

Mol. Formula: C26H32F2O7

Mol. Wt: 494.53

Fluocinonide Gel USP, 0.05% contains fluocinonide 0.5 mg/g in a specially formulated gel base consisting of carbomer 980, edetate disodium, propyl gallate, propylene glycol, sodium hydroxide (to adjust pH) and purified water. This clear, colorless, thixotropic vehicle is greaseless, non-staining and completely water miscible. In the Fluocinonide Gel USP, 0.05% formulation, the active ingredient is totally in solution.

How Supplied (HOW SUPPLIED)

Fluocinonide Gel USP, 0.05% is supplied in the following:

15 g (NDC 45802-761-15)

30 g (NDC 45802-761-30) and

60 g (NDC 45802-761-60) tubes.

Store at 20°- 25°C (68°- 77°F) [see USP Controlled Room Temperature]

Manufactured by Padagis®, Yeruham, Israel

www.padagis.com

Rev 08-24

7D000 RC PH2

Pediatric Use

Pediatric patients may demonstrate greater susceptibility to topical corticosteroid-induced hypothalamic-pituitary-adrenal (HPA) axis suppression and Cushing’s syndrome than mature patients because of a larger skin surface area to body weight ratio.

HPA axis suppression, Cushing’s syndrome, and intracranial hypertension have been reported in children receiving topical corticosteroids. Manifestations of adrenal suppression in children include linear growth retardation, delayed weight gain, low plasma cortisol levels, and absence of response to ACTH stimulation. Manifestations of intracranial hypertension include bulging fontanelles, headaches, and bilateral papilledema.

Administration of topical corticosteroids to children should be limited to the least amount compatible with an effective therapeutic regimen. Chronic corticosteroid therapy may interfere with the growth and development of children.

Nursing Mothers

It is not known whether topical administration of corticosteroids could result in sufficient systemic absorption to produce detectable quantities in breast milk. Systemically administered corticosteroids are secreted into breast milk in quantities not likely to have a deleterious effect on the infant. Nevertheless, caution should be exercised when topical corticosteroids are administered to a nursing woman.

Laboratory Tests

The following tests may be helpful in evaluating the HPA axis suppression:

Urinary free cortisol test

ACTH stimulation test

Pharmacokinetics

The extent of percutaneous absorption of topical corticosteroids is determined by many factors including the vehicle, the integrity of the epidermal barrier, and the use of occlusive dressings.

Topical corticosteroids can be absorbed from normal intact skin. Inflammation and/or other disease processes in the skin increase percutaneous absorption. Occlusive dressings substantially increase the percutaneous absorption of topical corticosteroids. Thus, occlusive dressings may be a valuable therapeutic adjunct for treatment of resistant dermatoses (see DOSAGE AND ADMINISTRATION ). Once absorbed through the skin, topical corticosteroids are handled through pharmacokinetic pathways similar to systemically administered corticosteroids. Corticosteroids are bound to plasma proteins in varying degrees. Corticosteroids are metabolized primarily in the liver and are then excreted by the kidneys. Some of the topical corticosteroids and their metabolites are also excreted into the bile.

Adverse Reactions (ADVERSE REACTIONS)

The following local adverse reactions are reported infrequently with topical corticosteroids, but may occur more frequently with the use of occlusive dressings. These reactions are listed in an approximate decreasing order of occurrence:

Burning

Hypertrichosis

Maceration of the Skin

Itching

Acneiform Eruptions

Secondary Infection

Irritation

Hypopigmentation

Skin Atrophy

Dryness

Perioral Dermatitis

Striae

Folliculitis

Allergic Contact Dermatitis

Miliaria

To report SUSPECTED ADVERSE REACTIONS, contact Padagis® at 1-866-634-9120 or FDA at 1-800-FDA-1088 or www.fda.gov/medwatch.

Contraindications (CONTRAINDICATIONS)

Topical corticosteroids are contraindicated in those patients with a history of hypersensitivity to any of the components of the preparations.

Pregnancy Category C

Corticosteroids are generally teratogenic in laboratory animals when administered systemically at relatively low dosage levels. The more potent corticosteroids have been shown to be teratogenic after dermal application in laboratory animals. There are no adequate and well-controlled studies in pregnant women on teratogenic effects from topically applied corticosteroids. Therefore, topical corticosteroids should be used during pregnancy only if the potential benefit justifies the potential risk to the fetus. Drugs of this class should not be used extensively on pregnant patients, in large amounts, or for prolonged periods of time.

Clinical Pharmacology (CLINICAL PHARMACOLOGY)

Topical corticosteroids share anti-inflammatory, anti-pruritic and vasoconstrictive actions. The mechanism of anti-inflammatory activity of the topical corticosteroids is unclear. Various laboratory methods, including vasoconstrictor assays, are used to compare and predict potencies and/or clinical efficacies of the topical corticosteroids. There is some evidence to suggest that a recognizable correlation exists between vasoconstrictor potency and therapeutic efficacy in man.

Indications and Usage (INDICATIONS AND USAGE)

Fluocinonide Gel USP, 0.05% is indicated for the relief of the inflammatory and pruritic manifestations of corticosteroid-responsive dermatoses.

Dosage and Administration (DOSAGE AND ADMINISTRATION)

Fluocinonide Gel USP, 0.05% is generally applied to the affected area as a thin film from two to four times daily depending on the severity of the condition.

Occlusive dressings may be used for the management of psoriasis or recalcitrant conditions.

If an infection develops, the use of occlusive dressings should be discontinued and appropriate antimicrobial therapy instituted.

Information for the Patient

Patients using topical corticosteroids should receive the following information and instructions:

1. This medication is to be used as directed by the physician. It is for external use only. Avoid contact with the eyes.

2. Patients should be advised not to use this medication for any disorder other than for which it was prescribed.

3. The treated skin area should not be bandaged or otherwise covered or wrapped as to be occlusive unless directed by the physician.

4. Patients should report any signs of local adverse reactions, especially under occlusive dressing.

5. Parents of pediatric patients should be advised not to use tight-fitting diapers or plastic pants on a child being treated in the diaper area, as these garments may constitute occlusive dressings.

Package/label Principal Display Panel (PACKAGE/LABEL PRINCIPAL DISPLAY PANEL)

NDC 45802-761-30

Rx Only

Fluocinonide Gel USP, 0.05%

For External Use Only. Not For Ophthalmic Use.

NET WT 30 g

Carcinogenesis, Mutagenesis, and Impairment of Fertility

Long-term animal studies have not been performed to evaluate the carcinogenic potential or the effect on fertility of topical corticosteroids.

Studies to determine mutagenicity with prednisolone and hydrocortisone have revealed negative results.


Advanced Ingredient Data


Raw Label Data

All Sections (JSON)