These Highlights Do Not Include All The Information Needed To Use Zusduri Safely And Effectively. See Full Prescribing Information For Zusduri.

These Highlights Do Not Include All The Information Needed To Use Zusduri Safely And Effectively. See Full Prescribing Information For Zusduri.
SPL v2
SPL
SPL Set ID 8dc68793-bca8-4e3d-b672-622961b58255
Route
INTRAVESICAL
Published
Effective Date 2025-06-20
Document Type 34391-3 HUMAN PRESCRIPTION DRUG LABEL

Drug Facts

Composition & Product

Active Ingredients
Mitomycin (40 mg)
Inactive Ingredients
Mannitol Poloxamer 407 Polyethylene Glycol, Unspecified Hypromellose, Unspecified Water

Identifiers & Packaging

Marketing Status
NDA Active Since 2025-07-01

Description

ZUSDURI™ is indicated for the treatment of adult patients with recurrent low-grade intermediate-risk non-muscle invasive bladder cancer (LG-IR-NMIBC).

Indications and Usage

ZUSDURI™ is indicated for the treatment of adult patients with recurrent low-grade intermediate-risk non-muscle invasive bladder cancer (LG-IR-NMIBC).

Dosage and Administration

Administer ZUSDURI by intravesical instillation only. Do not administer by pyelocalyceal instillation or by any other route. ( 2.1 ) The recommended dose of ZUSDURI is 75 mg (56 mL) instilled once weekly for six weeks. ( 2.2 )

Warnings and Precautions

Risks in Patients with Perforated Bladder : Evaluate the bladder before the intravesical instillation of ZUSDURI. Do not administer to patients with a perforated bladder or in whom the integrity of the bladder mucosa has been compromised. ( 4 , 5.1 ). Embryo-Fetal Toxicity : Can cause fetal harm. Advise of potential risk to a fetus and to use effective contraception. ( 5.2 , 8.1 , 8.3 )

Contraindications

ZUSDURI is contraindicated in patients with: Perforation of the bladder [see Warnings and Precautions (5.1) ], Prior hypersensitivity reactions to mitomycin or any component of the product.

Adverse Reactions

The most common (≥ 10%) adverse reactions, including laboratory abnormalities, that occurred in patients were increased creatinine, increased potassium, dysuria, decreased hemoglobin, increased aspartate aminotransferase, increased alanine aminotransferase, increased eosinophils, decreased lymphocytes, urinary tract infection, decreased neutrophils, and hematuria. ( 6.1 ) To report SUSPECTED ADVERSE REACTIONS, contact UroGen Pharma at 1-855-987-6436 or FDA at 1-800-FDA-1088 or www.fda.gov/medwatch.


Medication Information

Warnings and Precautions

Risks in Patients with Perforated Bladder : Evaluate the bladder before the intravesical instillation of ZUSDURI. Do not administer to patients with a perforated bladder or in whom the integrity of the bladder mucosa has been compromised. ( 4 , 5.1 ). Embryo-Fetal Toxicity : Can cause fetal harm. Advise of potential risk to a fetus and to use effective contraception. ( 5.2 , 8.1 , 8.3 )

Indications and Usage

ZUSDURI™ is indicated for the treatment of adult patients with recurrent low-grade intermediate-risk non-muscle invasive bladder cancer (LG-IR-NMIBC).

Dosage and Administration

Administer ZUSDURI by intravesical instillation only. Do not administer by pyelocalyceal instillation or by any other route. ( 2.1 ) The recommended dose of ZUSDURI is 75 mg (56 mL) instilled once weekly for six weeks. ( 2.2 )

Contraindications

ZUSDURI is contraindicated in patients with: Perforation of the bladder [see Warnings and Precautions (5.1) ], Prior hypersensitivity reactions to mitomycin or any component of the product.

Adverse Reactions

The most common (≥ 10%) adverse reactions, including laboratory abnormalities, that occurred in patients were increased creatinine, increased potassium, dysuria, decreased hemoglobin, increased aspartate aminotransferase, increased alanine aminotransferase, increased eosinophils, decreased lymphocytes, urinary tract infection, decreased neutrophils, and hematuria. ( 6.1 ) To report SUSPECTED ADVERSE REACTIONS, contact UroGen Pharma at 1-855-987-6436 or FDA at 1-800-FDA-1088 or www.fda.gov/medwatch.

Description

ZUSDURI™ is indicated for the treatment of adult patients with recurrent low-grade intermediate-risk non-muscle invasive bladder cancer (LG-IR-NMIBC).

Section 42229-5

Storage Instructions for Reconstituted ZUSDURI:

  • Instill reconstituted ZUSDURI as soon as possible.
  • If not used immediately, store reconstituted ZUSDURI:
    • under refrigeration at 2℃ to 8℃ (36°F to 46°F) for up to 7 days; or
    • under refrigeration at 2℃ to 8℃ (36°F to 46°F) for up to 6 days followed by no more than 24 hours at room temperature, 20°C to 25°C (68°F to 77°F).
  • Discard 7 days after reconstitution.
  • Protect from light.
  • Avoid excessive heat over 40°C (104°F).

ZUSDURI is a hazardous drug. Follow applicable special handling and disposal procedures.1

Section 42230-3
Patient Information

ZUSDURI™ (zus-dur-ee)

(mitomycin)

for intravesical solution
This Patient Information has been approved by the U.S. Food and Drug Administration. Issued: 06/2025
What is ZUSDURI?

ZUSDURI is a prescription medicine used to treat adults with a type of cancer of the lining of the bladder called low-grade intermediate risk non-muscle invasive bladder cancer (LG-IR-NMIBC) after you have previously received bladder surgery to remove tumor and it did not work or is no longer working.

It is not known if ZUSDURI is safe and effective for use in children.
Who should not receive ZUSDURI?

Do not receive ZUSDURI if you:
  • have a hole or tear (perforation) of your bladder,
  • have had an allergic reaction to mitomycin or to any of the ingredients in ZUSDURI. See the end of this Patient Information leaflet for a complete list of the ingredients in ZUSDURI.
Before receiving ZUSDURI, tell your healthcare provider about all of your medical conditions, including if you:
  • have kidney problems.
  • are pregnant or plan to become pregnant. ZUSDURI can harm your unborn baby. You should not become pregnant during treatment with ZUSDURI. Tell your healthcare provider right away if you become pregnant or think you may be pregnant during treatment with ZUSDURI.

    Females who are able to become pregnant:
    • Your healthcare provider will check to see if you are pregnant before starting treatment with ZUSDURI.
    • You should use effective birth control (contraception) during treatment with ZUSDURI and for 6 months after the last dose.
    • Talk to your healthcare provider if you have questions about birth control options that are right for you.
    Males being treated with ZUSDURI:
    • If you have a female partner who is able to become pregnant, you should use effective birth control (contraception) during treatment with ZUSDURI and for 3 months after the last dose.
  • are breastfeeding or plan to breastfeed. It is not known if ZUSDURI passes into your breast milk. Do not breastfeed during treatment with ZUSDURI and for 1 week after the last dose.
Tell your healthcare provider about all the medicines you take, including prescription and over-the-counter medicines, vitamins, and herbal supplements. Know the medicines you take. Keep a list of them to show to your healthcare provider and pharmacist when you get a new medicine.
How will I receive ZUSDURI?
  • ZUSDURI will be given to you by your healthcare provider.
  • You will receive ZUSDURI 1 time a week for 6 weeks into your bladder through a tube called a urinary catheter. It is important that you receive all 6 doses of ZUSDURI according to your healthcare provider's instructions.
  • If you miss any appointments, call your healthcare provider as soon as possible to reschedule your appointment.
  • During treatment with ZUSDURI, your healthcare provider may tell you to take additional medicines or change how you take your current medicines. Ask your healthcare provider if you have any questions.
After receiving ZUSDURI:
  • ZUSDURI may cause your urine color to change to a violet to blue color.
  • Avoid contact between your skin and urine for at least 24 hours.
  • To urinate, males and females should sit on a toilet and flush the toilet several times after you use it.
  • After going to the bathroom, wash your hands, your inner thighs, and genital area well with soap and water.
  • Clothing that comes in contact with urine should be washed right away and washed separately from other clothing.
What are the possible side effects of ZUSDURI?
The most common side effects of ZUSDURI include:
  • increased blood creatinine levels
  • increased blood potassium levels
  • trouble with urination
  • decreased red blood cell counts
  • increase in certain blood liver tests
  • increased or decreased white blood cell counts
  • urinary tract infection
  • blood in your urine
Call your doctor for medical advice about possible side effects. You may report side effects to FDA at 1-800-FDA-1088.

You can also report side effects to UroGen Pharma at 1-855-987-6436.
General information about ZUSDURI.

Medicines are sometimes prescribed for purposes other than those listed in this Patient Information leaflet. You can ask your pharmacist or healthcare provider for information about ZUSDURI that is written for healthcare professionals.
What are the ingredients of ZUSDURI?

Active ingredient: mitomycin

Inactive ingredients: hydroxypropyl methylcellulose, mannitol, poloxamer, polyethylene glycol, and water for injection

Distributed by: UroGen Pharma, Inc., Princeton, NJ 08540

ZUSDURI™ is a trademark and UroGen® is a registered trademark of UroGen Pharma, Ltd.

U.S. Patent Nos. 9,040,074, 9,950,069 and 10,039,832

Copyright© 2025 UroGen Pharma, Inc.

All rights reserved.

For more information go to www.ZUSDURI.com or call 1-855-987-6436.

ZUS-PPI-001

Section 44425-7

Storage and Handling

Store ZUSDURI at 20°C to 25°C (68°F to 77°F); excursions permitted between 15°C and 30°C (59°F and 86°F) [see USP Controlled Room Temperature]. Avoid excessive heat over 40°C (104°F). Protect from light.

ZUSDURI is a hazardous drug. Follow applicable special handling and disposal procedures. 1

15 References
  • "OSHA Hazardous Drugs." OSHA. http://www.osha.gov/SLTC/hazardousdrugs/index.html
11 Description

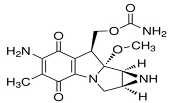
Mitomycin (also known as mitomycin-C) is an alkylating drug isolated from the broth of Streptomyces. Mitomycin is a blue-violet crystalline powder with a molecular formula of C15H18N4O5, and a molecular weight of 334.33. Its chemical name is 7-amino-9α-methoxymitosane, and it has the following structural formula:

Mitomycin is heat stable, has a high melting point, and is freely soluble in organic solvents.

ZUSDURI is supplied in a kit containing two vials of sterile lyophilized mitomycin for intravesical solution, 40 mg each, and one vial of 60 mL of sterile hydrogel, to be used as a vehicle for reconstitution.

Mitomycin for intravesical solution is a sterile, lyophilized, grey to greyish-purple, cake or powder that contains mitomycin 40 mg and mannitol 80 mg in each vial.

Hydrogel is a sterile, clear, colorless gel with or without bubbles at room temperature or clear, colorless liquid at 2°C to 8°C (36°F to 46°F), which contains 0.11 g hydroxypropyl methylcellulose, 17.12 g poloxamer, 0.63 g polyethylene glycol, and water for injection in each vial.

Once reconstituted, ZUSDURI is a clear, purple, viscous liquid at 2°C to 8°C (36°F to 46°F) or semisolid gel at room temperature, which may contain a few visible particles and have a pH between 6.0 and 8.0.

8.4 Pediatric Use

Safety and efficacy in pediatric patients have not been established.

8.5 Geriatric Use

Of the 240 patients receiving ZUSDURI in the ENVISION study, 162 (68%) were 65 years of age and older and 89 (37%) were 75 years of age and older. No significant overall differences in safety or efficacy were observed in patients 65 years of age and older, and in patients 75 years of age and older, compared to younger patients.

4 Contraindications

ZUSDURI is contraindicated in patients with:

6 Adverse Reactions

The most common (≥ 10%) adverse reactions, including laboratory abnormalities, that occurred in patients were increased creatinine, increased potassium, dysuria, decreased hemoglobin, increased aspartate aminotransferase, increased alanine aminotransferase, increased eosinophils, decreased lymphocytes, urinary tract infection, decreased neutrophils, and hematuria. (6.1)



To report SUSPECTED ADVERSE REACTIONS, contact UroGen Pharma at 1-855-987-6436 or FDA at 1-800-FDA-1088 or www.fda.gov/medwatch.

2.2 Recommended Dose

The recommended dose of ZUSDURI is 75 mg (56 mL) instilled once weekly for six weeks into the bladder via a urinary catheter. [see Dosage and Administration (2.4)]

8.6 Renal Impairment

Avoid use of ZUSDURI in patients with severe renal impairment (estimated glomerular filtration rate [eGFR] < 30 mL/min). A higher incidence of hematuria and urinary tract infections was observed in patients with moderate renal impairment (eGFR 30 to <60 mL/min). Monitor patients with moderate renal impairment for increased adverse reactions. No dosage adjustments are recommended in patients with mild (eGFR 60 to <90 mL/min) or moderate renal impairment.

12.2 Pharmacodynamics

Mitomycin exposure-response relationships and time course of pharmacodynamic response are unknown.

12.3 Pharmacokinetics

The systemic exposure of mitomycin following instillation of 75 mg of mitomycin as ZUSDURI into the bladder was evaluated pre-instillation and hourly for up to six hours post-instillation in six patients. Mitomycin mean (range) maximum concentration (Cmax) is 2.3 ng/mL (0.2 to 8.9 ng/mL), which is less than 1% of the expected Cmax after intravenous administration.

1 Indications and Usage

ZUSDURI™ is indicated for the treatment of adult patients with recurrent low-grade intermediate-risk non-muscle invasive bladder cancer (LG-IR-NMIBC).

12.1 Mechanism of Action

Mitomycin inhibits the synthesis of deoxyribonucleic acid (DNA). The guanine and cytosine content correlates with the degree of mitomycin-induced cross-linking. At high concentrations of the drug, cellular RNA and protein synthesis are also suppressed.

5.2 Embryo Fetal Toxicity

Based on findings in animals and mechanism of action, ZUSDURI can cause fetal harm when administered to a pregnant woman. In animal reproduction studies, administration of mitomycin resulted in teratogenicity. Advise females of reproductive potential to use effective contraception during treatment with ZUSDURI and for 6 months following the last dose. Advise male patients with female partners of reproductive potential to use effective contraception during treatment with ZUSDURI and for 3 months following the last dose [see Use in Specific Populations (8.1, 8.3) and Clinical Pharmacology (12.1)].

5 Warnings and Precautions
  • Risks in Patients with Perforated Bladder: Evaluate the bladder before the intravesical instillation of ZUSDURI. Do not administer to patients with a perforated bladder or in whom the integrity of the bladder mucosa has been compromised. (4, 5.1).
  • Embryo-Fetal Toxicity: Can cause fetal harm. Advise of potential risk to a fetus and to use effective contraception. (5.2, 8.1, 8.3)
2 Dosage and Administration
  • Administer ZUSDURI by intravesical instillation only. Do not administer by pyelocalyceal instillation or by any other route. (2.1)
  • The recommended dose of ZUSDURI is 75 mg (56 mL) instilled once weekly for six weeks. (2.2)
2.3 Preparation Instructions

See the Instructions for Pharmacy enclosed in the carton for complete information on preparation.

ZUSDURI must be reconstituted with sterile hydrogel under chilled conditions. Reconstituted ZUSDURI has reverse thermal properties with a gelation point of approximately 19°C (66°F) and will appear as a viscous liquid under chilled conditions and a semisolid gel at room temperature.

3 Dosage Forms and Strengths

For intravesical solution: A kit containing the following:

  • Two 40 mg (each) single-dose vials of sterile, lyophilized, grey to greyish-purple, cake or powder of mitomycin for intravesical solution.
  • One single-dose vial of 60 mL of sterile, clear, colorless gel with or without bubbles at room temperature or clear, colorless liquid at 2°C to 8°C (36°F to 46°F), to be used as a vehicle for reconstitution.
8 Use in Specific Populations

Lactation: Advise not to breastfeed. (8.2)

6.1 Clinical Trials Experience

Because clinical trials are conducted under widely varying conditions, adverse reaction rates observed in clinical trials of a drug cannot be directly compared to rates in the clinical trials of another drug and may not reflect rates observed in practice.

The safety of ZUSDURI was evaluated in ENVISION, a single-arm, multicenter study in 240 patients with recurrent LG-IR-NMIBC [see Clinical Studies (14)]. Patients received 75 mg ZUSDURI instilled once a week for 6 consecutive weeks. The median number of doses of ZUSDURI administered to patients was 6 (range 1-6) doses and 228 patients (95%) received all six scheduled doses.

Serious adverse reactions occurred in 12% of patients who received ZUSDURI, including urinary retention (0.8%) and urethral stenosis (0.4%). A fatal adverse reaction of cardiac failure occurred in 1 patient (0.4%) receiving ZUSDURI.

Permanent discontinuation of ZUSDURI due to an adverse reaction occurred in 2.9% of patients, including 1.7% who discontinued due to a renal or urinary disorder.

Dosage interruption of ZUSDURI due to adverse reactions occurred in 10% of patients. Adverse reactions (≥ 2%) which required dosage interruption were urinary tract infection (2.5%) and dysuria (2.5%).

The most common (≥ 10%) adverse reactions, including laboratory abnormalities, that occurred in patients were increased creatinine, increased potassium, dysuria, decreased hemoglobin, increased aspartate aminotransferase, increased alanine aminotransferase, increased eosinophils, decreased lymphocytes, urinary tract infection, decreased neutrophils, and hematuria.

Table 1 summarizes the adverse reactions in ENVISION.

Table 1: Adverse Reactions (≥ 10% All Grades
Graded per National Cancer Institute Common Terminology Criteria for Adverse Events (CTCAE) Version 5.0.
) in Patients Who Received ZUSDURI in ENVISION
Adverse Reaction ZUSDURI

N = 240
All Grades

(%)
Grade 3 or 4
Only includes Grade 3 adverse reactions


(%)
Renal and urinary disorders
    Dysuria 23 0.4
   Hematuria
Includes multiple related terms
10 0
Infections and infestations
   Urinary tract infection
12 0.8

Clinically relevant adverse reactions occurring in < 10% of patients receiving ZUSDURI in ENVISION included increased urinary frequency, fatigue, urinary incontinence, urinary retention, urethral stenosis, genital pain, urinary urgency, genital edema, genital pruritus, genital rash, urethritis, acute kidney injury, balanoposthitis, and nocturia.

Table 2 summarizes laboratory abnormalities in ENVISION.

Table 2: Laboratory Abnormalities (≥ 10% All Grades
Graded per National Cancer Institute Common Terminology Criteria for Adverse Events (CTCAE) Version 5.0.
) That Worsened From Baseline in Patients Who Received ZUSDURI in ENVISION
Laboratory Abnormality ZUSDURI
The denominator used to calculate the rate varied from 227 to 238 based on the number of patients with a baseline value and at least one post-treatment value
All Grades

(%)
Grade 3 or 4
Only includes Grade 3 laboratory abnormalities


(%)
Hematology
    Hemoglobin Decreased 17 0.8
    Eosinophils Increased 15 0
    Lymphocytes Decreased 14 0.4
    Neutrophils Decreased 10 0.4
Chemistry
    Creatinine Increased 29 1.3
    Potassium Increased 26 2.2
    Aspartate Aminotransferase (AST) Increased 15 0.4
    Alanine Aminotransferase (ALT) Increased 15 0.4
Instructions for Pharmacy (ifp)

Purpose of this Instructions for Pharmacy

This Instructions for Pharmacy contains information on how to prepare ZUSDURI using pharmacy supplies and a Chilling Block or other means of chilling.

Intended Use of ZUSDURI

ZUSDURI (mitomycin) for intravesical solution is indicated for the treatment of adult patients with recurrent low-grade intermediate risk non-muscle invasive bladder cancer (LG-IR-NMIBC).

Important Information You Need to Know Before Reconstituting ZUSDURI

Reconstituted ZUSDURI must be prepared under chilled conditions. ZUSDURI cannot be prepared without a Chilling Block or other means of chilling.

Once reconstituted with sterile hydrogel, ZUSDURI will appear as a semisolid gel under room temperature conditions and as a viscous liquid under chilled conditions.

Preparation of ZUSDURI must be performed under aseptic conditions.

Storage Conditions and Handling

Before reconstitution, store ZUSDURI at room temperature, 20°C to 25°C (68°F to 77°F). Excursions are permitted between 15°C and 30°C (59°F and 86°F). Avoid excessive heat over 40°C (104°F). Protect from light.

Storage Instructions for Reconstituted ZUSDURI:

  • Instill reconstituted ZUSDURI as soon as possible.
  • If not used immediately, store reconstituted ZUSDURI:
    • under refrigeration at 2℃ to 8℃ (36°F to 46°F) for up to 7 days; or
    • under refrigeration at 2℃ to 8℃ (36°F to 46°F) for up to 6 days followed by no more than 24 hours at room temperature, 20°C to 25°C (68°F to 77°F).
  • Discard 7 days after reconstitution.
  • Protect from light.
  • Avoid excessive heat over 40°C (104°F).

ZUSDURI is a hazardous drug. Procedures for Proper Handling and Disposal of hazardous drugs should be followed.

Supplies Needed

ZUSDURI available in a kit containing:
  • Two vials of ZUSDURI, 40 mg per vial
  • One vial of Sterile hydrogel, 60 mL
  • One ZUSDURI admixture label
  • ZUSDURI Prescribing Information (PI)
  • ZUSDURI Instructions for Pharmacy (IFP)
  • ZUSDURI Instructions for Administration (IFA)

Pharmacy Supplies:

(Provided by your facility)

Do not substitute any of these components

Two 20 mL Luer lock syringes
Two 5 mL Luer lock syringes filled with 3 mL sterile water
Three OnGuard®2 CSTD vial adaptors
Four OnGuard®2 CSTD syringe adaptors
Chilling Block or other means of chilling (device design may vary)



Note: The day before the preparation, place the Chilling Block in the freezer at -20°C to -12°C (-4°F to 10.4°F). Refer to the Chilling Block Instructions for Use for more information.

Steps to Prepare ZUSDURI Admixture

  • A.
    Freeze the Chilling Block
    • 1.
      The day before preparation, put the Chilling Block in the freezer at -20°C to -12°C (-4°F to 10.4°F).

      Note: Please refer to the Chilling Block Instructions for Use for additional information.
  • B.
    Prepare Supplies
    • 1.
      Remove the Chilling Block from the freezer.
    • 2.
      Disinfect the Chilling Block as per your pharmacy's policy. Allow it to air dry, and then place it inside the hood or isolator.
    • 3.
      Connect vial adaptors to all three vials.
    • 4.
      Connect syringe adaptors to both empty 20 mL syringes and both sterile water syringes.
    • 5.
      Place one ZUSDURI vial, the sterile hydrogel vial, and both empty 20 mL syringes in the Chilling Block for approximately 20 minutes.

      Note: The Chilling Block has five compartments, but only four are needed. The small vial compartment will not be used during this preparation.
  •  
    • 6.
      Set the second ZUSDURI vial and both sterile water syringes aside for later use.
  • C.
    Reconstitute the First ZUSDURI Vial
    • 1.
      Slowly fill one chilled 20 mL syringe with 14 mL of sterile hydrogel.
    • 2.
      Slowly fill the other chilled 20 mL syringe with 13 mL of sterile hydrogel.
    • 3.
      Place both 20 mL syringes and the sterile hydrogel vial back in the Chilling Block.
    • 4.
      Remove the chilled ZUSDURI vial from the Chilling Block.
    • 5.
      Inject 3 mL of sterile water into the ZUSDURI vial.
    • 6.
      Gently swirl the ZUSDURI vial upright at least 20 times.

      Note: Do not invert or shake the vial.
    • 7.
      Inject the chilled 14 mL and 13 mL syringes of sterile hydrogel into the ZUSDURI vial.
    • 8.
      Place both empty 20 mL syringes back in the Chilling Block for later use.
    • 9.
      Vigorously swirl the ZUSDURI vial upright for about 2 minutes.

      Note: Do not invert or shake the vial.
    • 10.
      Set the first ZUSDURI vial aside for later use.
  • D.
    Reconstitute the Second ZUSDURI Vial
    • 1.
      Place the second ZUSDURI vial in the Chilling Block.
    • 2.
      Slowly fill one chilled 20 mL syringe with 14 mL of sterile hydrogel.
    • 3.
      Slowly fill the other chilled 20 mL syringe with 13 mL of sterile hydrogel.
    • 4.
      Place both 20 mL syringes back in the Chilling Block.
    • 5.
      Discard the empty sterile hydrogel vial.
    • 6.
      Remove the chilled ZUSDURI Vial from the Chilling Block.
    • 7.
      Inject 3 mL of sterile water into the ZUSDURI vial.
    • 8.
      Gently swirl the ZUSDURI vial upright at least 20 times.

      Note: Do not invert or shake the vial.
    • 9.
      Inject the chilled 14 mL and 13 mL syringes of sterile hydrogel into the ZUSDURI vial.
    • 10.
      Place both empty 20 mL syringes back in the Chilling Block for later use.
    • 11.
      Vigorously swirl the ZUSDURI vial upright for about 2 minutes.

      Note: Do not invert or shake the vial.
  • E.
    Combine the Contents of the ZUSDURI Admixture Vials
    • 1.
      Slowly fill each chilled 20 mL syringe with 14 mL of admixture from the second ZUSDURI vial (for a total of 28 mL).

      Note: If you are having difficulty withdrawing the admixture, place the components back in the Chilling Block until the admixture liquifies again.
    • 2.
      Inject the two 14 mL admixture syringes into the first ZUSDURI vial.
    • 3.
      You now have one vial that contains ZUSDURI admixture.
  • F.
    Dispense Reconstituted ZUSDURI
    • 1.
      Write the "Discard after" date and time on the supplied admixture label and apply to the prepared ZUSDURI admixture vial. You may also substitute your pharmacy's label for dispensing the ZUSDURI admixture.

      Note: The "Discard after" date and time is 7 days from the completion of the preparation. Store reconstituted ZUSDURI at 2°C to 8°C (36°F to 46°F) for up to 7 days. Alternatively, reconstituted ZUSDURI may be stored under refrigeration at 2℃ to 8℃ (36°F to 46°F) for up to 6 days followed by no more than 24 hours at room temperature, 20°C to 25°C (68°F to 77°F). Avoid excessive heat over 40°C (104°F). Protect from light.
    • 2.
      Transport the following items to the treatment facility:
      • i.
        One reconstituted ZUSDURI vial.
      • ii.
        ZUSDURI Instructions for Administration (IFA).

Important to Remember

  • All components need to be kept cold during the preparation process by placing them in the Chilling Block or other means of chilling when they are not in use.
  • If you are having difficulty pushing or withdrawing the solution at any time, place the components back in the Chilling Block or other means of chilling until the product liquifies again.

Frequently Asked Questions

This Instructions for Pharmacy has been approved by the U.S. Food and Drug Administration.
How do I connect the vial adaptor?

Place the vial adaptor over the vial and press down firmly. You will hear a snap which confirms successful attachment.
How do I connect the syringe adaptor?

Screw the Luer lock end of the syringe adaptor onto the syringe hub until it is finger tight.
How do I connect the syringe adaptor to the vial adaptor?

Place the syringe adaptor over the vial adaptor and align the tabs, then press down firmly. You will hear a snap which confirms successful attachment.
How do I disconnect the syringe adaptor from the vial adaptor?

Pinch the tabs on the syringe adaptor to separate it from the vial adaptor.
Do I have to keep the vials upright when mixing? If so, why?

Yes, the vials should be kept upright when mixing to ensure the contents are fully mixed at the bottom of the vial.
I am having difficulty working with the drug product. It seems to be solidifying.

If you are having difficulty pushing or withdrawing the solution, place the components back in the Chilling Block or other means of chilling until it liquifies.
17 Patient Counseling Information

Advise the patient to read the FDA-approved patient labeling (Patient Information).

2.4 Bladder Instillation of Zusduri

See the Instructions for Administration enclosed in the carton for complete information on bladder instillation.

ZUSDURI must be chilled at -3°C to 5°C (27°F to 41°F) to convert to a viscous liquid prior to instillation. When instilling ZUSDURI, each syringe must be emptied within thirty (30) seconds to avoid gelation.

Instillation of ZUSDURI requires syringes and a urinary catheter with fixed Luer Lock connectors.

Advise patients that ZUSDURI may discolor urine to a violet to blue color following the instillation procedure. Advise patients for at least 24 hours post-instillation to avoid urine contact with skin, to void urine sitting on a toilet, to wash hands and genital area with water and soap after each urination, and to flush the toilet several times after use.

Instructions for Administration (ifa)

Read and follow this Instructions for Administration prior to each ZUSDURI instillation.

Purpose of this Instructions for Administration

This Instructions for Administration contains information on how to instill ZUSDURI using the ZUSDURI vial and the devices listed under Supplies Needed, obtained by your facility.

Intended Use of ZUSDURI

ZUSDURI (mitomycin) for intravesical solution is indicated for the treatment of adult patients with recurrent low-grade intermediate risk non-muscle invasive bladder cancer (LG-IR-NMIBC).

Important Information You Need to Know Before Instilling ZUSDURI

ZUSDURI must be reconstituted by a healthcare professional prior to instillation. Reconstituted ZUSDURI will appear as a semisolid gel. Once chilled, ZUSDURI will convert to a viscous liquid for instillation.

Once instilled into the patient's bladder, ZUSDURI will convert to a semisolid gel, thereby exposing the lining of the bladder to mitomycin over a prolonged period of time.

Storage Instructions for Reconstituted ZUSDURI:

  • Instill reconstituted ZUSDURI as soon as possible.
  • If not used immediately, store reconstituted ZUSDURI:
    • under refrigeration at 2℃ to 8℃ (36°F to 46°F) for up to 7 days; or
    • under refrigeration at 2℃ to 8℃ (36°F to 46°F) for up to 6 days followed by no more than 24 hours at room temperature, 20°C to 25°C (68°F to 77°F).
  • Discard 7 days after reconstitution.
  • Protect from light.
  • Avoid excessive heat over 40°C (104°F).

When ready to instill, chill ZUSDURI at -3°C to 5°C (27°F to 41°F) for about 20 minutes to revert it to a viscous liquid. See Steps A through C below for complete administration instructions.

ZUSDURI is a hazardous drug. Procedures for proper handling and disposal of hazardous drugs should be followed, as described below.

Supplies Needed

One vial of reconstituted ZUSDURI, with resultant concentration of 80 mg per 60 mL.

(prepared and provided by your pharmacy)
Ice Bath



Note:
The ice bath should consist of ice and cold water and be large enough to submerge a ZUSDURI vial.
Plastic Bag

Ancillary Supplies

When you administer ZUSDURI, you will need to use special adaptors for your catheter and syringes. These adaptors will create a closed pathway to protect you and your patient during and after administration. Fluid will only be able to pass between connection points when the adaptors are fully engaged, preventing drips or leaks.

Once the adaptors are connected, do not disconnect them. They are there for your protection.

Urinary Catheter

One 12 Fr to 16 Fr with fixed Luer lock connector

Do not substitute

Catheter Adaptor

One OnGuard®2 CSTD Luer lock adaptor

Do not substitute

Administration Syringes

Four 20 mL polypropylene Luer lock syringes (BD Luer-Lok™ Syringe)

Do not substitute

Sterile Water Flush

One 5 mL Luer lock syringe filled with 3 mL sterile water
Syringe Adaptors

Five OnGuard®2 CSTD syringe adaptors

Do not substitute

Instillation Instructions

  • A.
    Chill the ZUSDURI
    • 1.
      Place the ZUSDURI vial in a plastic bag.
    • 2.
      Place the plastic bag in the ice bath for approximately 20 minutes.

      Note:
      Ensure the ZUSDURI vial is completely immersed in the ice bath.

  • B.
    Prepare the Four Administration Syringes
    • 1.
      Connect a syringe adaptor to the 3 mL sterile water syringe and set aside.
    • 2.
      Connect syringe adaptors to the four 20 mL syringes. These will be the administration syringes.

      Note: Once the adaptors are connected, do not disconnect them. They are there for your protection.
    • 3.
      Remove the ZUSDURI vial from the ice bath and verify the admixture is liquid. If the admixture is not liquid, place the vial bag back into the ice bath until the admixture liquefies.
    • 4.
      Swirl the vial upright to ensure that ZUSDURI is uniformly mixed.
    • 5.
      Slowly fill each of the four administration syringes with 14 mL of ZUSDURI admixture (for a total of 56 mL).

      Note: there might be foaming in the syringe while withdrawing ZUSDURI.
    • 6.
      Place the four administration syringes in the plastic bag.
    • 7.
      Place the plastic bag in the ice bath, ensuring the four administration syringes are completely immersed, for at least two minutes.

  • C.
    Instill ZUSDURI

    The contents of four administration syringes must be instilled in rapid succession without delay to avoid ZUSDURI solidification. Before proceeding:

    • Ensure that all four administration syringes contain liquid ZUSDURI.
    • Keep all four administration syringes chilled in the ice bath until instillation time.
    • 1.
      Place the urinary catheter in the bladder and drain the urine.
    • 2.
      Connect the catheter adaptor to the urinary catheter.
    • 3.
      Connect an administration syringe to the urinary catheter.
    • 4.
      Instill the ZUSDURI into the patient.

      Note: Empty each administration syringe over approximately 30 seconds. ZUSDURI is viscous, even in a chilled state.

    • 5.
      Disconnect the syringe adaptor from the catheter adaptor.
    • 6.
      Immediately repeat these steps without delay for the remaining three administration syringes.
    • 7.
      After all four administration syringes have been instilled, flush the urinary catheter with 3 mL of sterile water.
    • 8.
      Wait 15 minutes before removing the urinary catheter from the patient.

    • 9.
      Discard all ancillary supplies according to your facility's procedures for hazardous waste.

Frequently Asked Questions

How do I connect the syringe adaptor?

Screw the Luer lock end of the syringe adaptor onto the syringe hub until it is finger tight.
How do I connect the syringe adaptor to the vial adaptor?

Place the syringe adaptor over the vial adaptor and align the tabs; then press down firmly. You will hear a snap which confirms successful attachment.
How do I disconnect the syringe adaptor from the vial adaptor?

Pinch the tabs on the syringe adaptor to separate it from the vial adaptor.
I am having a hard time working with ZUSDURI. It seems to be solidifying.

If you are having difficulty pushing or withdrawing ZUSDURI, recap and place the components back into the ice bath until ZUSDURI liquifies. The vial may be placed upside down within the bag in the ice bath.
How do I connect the catheter adaptor to the urinary catheter?

Screw the Luer lock end of the catheter adaptor onto the urinary catheter connector until it is finger tight.
How do I connect the syringe adaptor to the catheter adaptor?

Place the syringe adaptor in front of the catheter adaptor and push it on firmly. You will hear a snap which confirms successful attachment.
How do I disconnect the syringe adaptor from the catheter adaptor?

While holding the urinary catheter steady and fixed in its position, pinch the tabs on the syringe adaptor to separate it from the catheter adaptor.

This "Instructions for Administration" has been approved by the U.S. Food and Drug Administration.

Distributed by:

UroGen Pharma, Inc.

Princeton, NJ 08540

www.ZUSDURI.com

ZUSDURI™ is a trademark of UroGen Pharma, Ltd.

OnGuard® is a registered trademark of Simplivia Healthcare Ltd.

BD Luer-Lok™ is a trademark of Becton, Dickinson and Company.

Copyright© 2025 UroGen Pharma, Inc.

All rights reserved.

ZUS-IFA-001

IFA-0017644/Ver. 1

2.1 Important Administration Instructions

Administer ZUSDURI by intravesical instillation only. Do not administer by pyelocalyceal instillation or by any other route.

Principal Display Panel 40 Mg Kit Carton

NDC 72493-106-03

Zusduri

(mitomycin) for intravesical solution

40 mg per Vial

Attention Pharmacist: Reconstitution

is required prior to dispensing.

See the Instructions for Pharmacy

before proceeding.

SINGLE-DOSE KIT

Warning: For Intravesical Use Only

Rx Only

Contents of Kit:

  • 2 Single-Dose Vials of ZUSDURI (mitomycin) for intravesical solution, 40 mg per Vial.
  • 1 Single-Dose Vial of Sterile Hydrogel, 60 mL per Vial
  • 1 Admixture Label
  • Full Prescribing Information
  • Instructions for Pharmacy
  • Instructions for Administration

Store at 20°C to 25°C (68°F to 77°F); excursions permitted between 15°C and 30°C (59°F and 86°F).

Avoid excessive heat over 40°C (104°F). Protect from light.

Store reconstituted ZUSDURI at 2°C to 8°C (36°F to 46°F) for up to 7 days.

Alternatively, reconstituted ZUSDURI may be stored under refrigeration at 2°C to 8°C (36°F to 46°F)

for up to 6 days followed by no more than 24 hours at room temperature, 20°C to 25°C (68°F to 77°F).

Avoid excessive heat over 40°C (104°F).

Protect reconstituted ZUSDURI from light.

When ready to instill, chill ZUSDURI at -3°C to 5°C (27°F to 41°F) for about 20 minutes to revert it to a

viscous liquid.

Recommended Dosage: See Full Prescribing Information.

Warning: Hazardous Drug

Distributed by:

UroGen Pharma, Inc.

Princeton, NJ 08540

UroGen®

Pharma

Principal Display Panel 40 Mg Vial Label

NDC 72493-104-40

Single-Dose Vial

Sterile

Zusduri

(mitomycin) for intravesical solution

40 mg per Vial

See Instructions for Pharmacy for preparation instructions

Must be Reconstituted with Sterile Hydrogel Before Use

Warning: For Intravesical Use Only

Store at 20°C to 25°C (68°F to 77°F); excursions permitted between 15°C and 30°C

(59°F and 86°F). Avoid excessive heat over 40°C (104°F). Protect from light.

Each vial contains: Mitomycin 40 mg and mannitol 80 mg.

Recommended Dosage: See Full Prescribing Information.

Distributed by:

UroGen Pharma, Inc.

Princeton, NJ 08540

Lot

Exp

Warning: Hazardous Drug

Rx Only

UroGen®

Pharma

620565

LBL-0017642/Ver. 1

Principal Display Panel 60 Ml Vial Label

NDC 72493-105-60

Single-Dose Vial

Sterile Hydrogel

For use in preparation of ZUSDURI™

(mitomycin) for intravesical solution

Not for Direct Administration

See Instructions for Pharmacy for

preparation instructions

Store at 20°C to 25°C (68°F to 77°F); excursions

permitted between 15°C and 30°C (59°F and 86°F).

Avoid excessive heat over 40°C (104°F).

Rx Only

60 mL per Vial

LBL-0017641/Ver. 1

5.1 Risks in Patients With Perforated Bladder

ZUSDURI may lead to systemic exposure to mitomycin and severe adverse reactions if administered to patients with a perforated bladder or to those in whom the integrity of the bladder mucosa has been compromised.

Evaluate the bladder before the intravesical instillation of ZUSDURI and do not administer to patients with a perforated bladder or mucosal compromise until bladder integrity has been restored [see Contraindications (4)].

8.3 Females and Males of Reproductive Potential

ZUSDURI can cause fetal harm when administered to pregnant women [see Use in Specific Populations (8.1)].

13.1 Carcinogenesis, Mutagenesis, Impairment of Fertility

Adequate long-term studies in animals to evaluate carcinogenic potential from instillation of mitomycin into the bladder have not been conducted. Mitomycin has been found to be carcinogenic in rats and mice. At doses approximating the recommended intravenous clinical dose in humans, mitomycin produced a greater than 100% increase in tumor incidence in male Sprague-Dawley rats, and a greater than 50% increase in tumor incidence in female Swiss mice.

The effect of ZUSDURI on fertility is unknown.


Structured Label Content

Section 42229-5 (42229-5)

Storage Instructions for Reconstituted ZUSDURI:

  • Instill reconstituted ZUSDURI as soon as possible.
  • If not used immediately, store reconstituted ZUSDURI:
    • under refrigeration at 2℃ to 8℃ (36°F to 46°F) for up to 7 days; or
    • under refrigeration at 2℃ to 8℃ (36°F to 46°F) for up to 6 days followed by no more than 24 hours at room temperature, 20°C to 25°C (68°F to 77°F).
  • Discard 7 days after reconstitution.
  • Protect from light.
  • Avoid excessive heat over 40°C (104°F).

ZUSDURI is a hazardous drug. Follow applicable special handling and disposal procedures.1

Section 42230-3 (42230-3)
Patient Information

ZUSDURI™ (zus-dur-ee)

(mitomycin)

for intravesical solution
This Patient Information has been approved by the U.S. Food and Drug Administration. Issued: 06/2025
What is ZUSDURI?

ZUSDURI is a prescription medicine used to treat adults with a type of cancer of the lining of the bladder called low-grade intermediate risk non-muscle invasive bladder cancer (LG-IR-NMIBC) after you have previously received bladder surgery to remove tumor and it did not work or is no longer working.

It is not known if ZUSDURI is safe and effective for use in children.
Who should not receive ZUSDURI?

Do not receive ZUSDURI if you:
  • have a hole or tear (perforation) of your bladder,
  • have had an allergic reaction to mitomycin or to any of the ingredients in ZUSDURI. See the end of this Patient Information leaflet for a complete list of the ingredients in ZUSDURI.
Before receiving ZUSDURI, tell your healthcare provider about all of your medical conditions, including if you:
  • have kidney problems.
  • are pregnant or plan to become pregnant. ZUSDURI can harm your unborn baby. You should not become pregnant during treatment with ZUSDURI. Tell your healthcare provider right away if you become pregnant or think you may be pregnant during treatment with ZUSDURI.

    Females who are able to become pregnant:
    • Your healthcare provider will check to see if you are pregnant before starting treatment with ZUSDURI.
    • You should use effective birth control (contraception) during treatment with ZUSDURI and for 6 months after the last dose.
    • Talk to your healthcare provider if you have questions about birth control options that are right for you.
    Males being treated with ZUSDURI:
    • If you have a female partner who is able to become pregnant, you should use effective birth control (contraception) during treatment with ZUSDURI and for 3 months after the last dose.
  • are breastfeeding or plan to breastfeed. It is not known if ZUSDURI passes into your breast milk. Do not breastfeed during treatment with ZUSDURI and for 1 week after the last dose.
Tell your healthcare provider about all the medicines you take, including prescription and over-the-counter medicines, vitamins, and herbal supplements. Know the medicines you take. Keep a list of them to show to your healthcare provider and pharmacist when you get a new medicine.
How will I receive ZUSDURI?
  • ZUSDURI will be given to you by your healthcare provider.
  • You will receive ZUSDURI 1 time a week for 6 weeks into your bladder through a tube called a urinary catheter. It is important that you receive all 6 doses of ZUSDURI according to your healthcare provider's instructions.
  • If you miss any appointments, call your healthcare provider as soon as possible to reschedule your appointment.
  • During treatment with ZUSDURI, your healthcare provider may tell you to take additional medicines or change how you take your current medicines. Ask your healthcare provider if you have any questions.
After receiving ZUSDURI:
  • ZUSDURI may cause your urine color to change to a violet to blue color.
  • Avoid contact between your skin and urine for at least 24 hours.
  • To urinate, males and females should sit on a toilet and flush the toilet several times after you use it.
  • After going to the bathroom, wash your hands, your inner thighs, and genital area well with soap and water.
  • Clothing that comes in contact with urine should be washed right away and washed separately from other clothing.
What are the possible side effects of ZUSDURI?
The most common side effects of ZUSDURI include:
  • increased blood creatinine levels
  • increased blood potassium levels
  • trouble with urination
  • decreased red blood cell counts
  • increase in certain blood liver tests
  • increased or decreased white blood cell counts
  • urinary tract infection
  • blood in your urine
Call your doctor for medical advice about possible side effects. You may report side effects to FDA at 1-800-FDA-1088.

You can also report side effects to UroGen Pharma at 1-855-987-6436.
General information about ZUSDURI.

Medicines are sometimes prescribed for purposes other than those listed in this Patient Information leaflet. You can ask your pharmacist or healthcare provider for information about ZUSDURI that is written for healthcare professionals.
What are the ingredients of ZUSDURI?

Active ingredient: mitomycin

Inactive ingredients: hydroxypropyl methylcellulose, mannitol, poloxamer, polyethylene glycol, and water for injection

Distributed by: UroGen Pharma, Inc., Princeton, NJ 08540

ZUSDURI™ is a trademark and UroGen® is a registered trademark of UroGen Pharma, Ltd.

U.S. Patent Nos. 9,040,074, 9,950,069 and 10,039,832

Copyright© 2025 UroGen Pharma, Inc.

All rights reserved.

For more information go to www.ZUSDURI.com or call 1-855-987-6436.

ZUS-PPI-001

Section 44425-7 (44425-7)

Storage and Handling

Store ZUSDURI at 20°C to 25°C (68°F to 77°F); excursions permitted between 15°C and 30°C (59°F and 86°F) [see USP Controlled Room Temperature]. Avoid excessive heat over 40°C (104°F). Protect from light.

ZUSDURI is a hazardous drug. Follow applicable special handling and disposal procedures. 1

15 References (15 REFERENCES)
  • "OSHA Hazardous Drugs." OSHA. http://www.osha.gov/SLTC/hazardousdrugs/index.html
11 Description (11 DESCRIPTION)

Mitomycin (also known as mitomycin-C) is an alkylating drug isolated from the broth of Streptomyces. Mitomycin is a blue-violet crystalline powder with a molecular formula of C15H18N4O5, and a molecular weight of 334.33. Its chemical name is 7-amino-9α-methoxymitosane, and it has the following structural formula:

Mitomycin is heat stable, has a high melting point, and is freely soluble in organic solvents.

ZUSDURI is supplied in a kit containing two vials of sterile lyophilized mitomycin for intravesical solution, 40 mg each, and one vial of 60 mL of sterile hydrogel, to be used as a vehicle for reconstitution.

Mitomycin for intravesical solution is a sterile, lyophilized, grey to greyish-purple, cake or powder that contains mitomycin 40 mg and mannitol 80 mg in each vial.

Hydrogel is a sterile, clear, colorless gel with or without bubbles at room temperature or clear, colorless liquid at 2°C to 8°C (36°F to 46°F), which contains 0.11 g hydroxypropyl methylcellulose, 17.12 g poloxamer, 0.63 g polyethylene glycol, and water for injection in each vial.

Once reconstituted, ZUSDURI is a clear, purple, viscous liquid at 2°C to 8°C (36°F to 46°F) or semisolid gel at room temperature, which may contain a few visible particles and have a pH between 6.0 and 8.0.

8.4 Pediatric Use

Safety and efficacy in pediatric patients have not been established.

8.5 Geriatric Use

Of the 240 patients receiving ZUSDURI in the ENVISION study, 162 (68%) were 65 years of age and older and 89 (37%) were 75 years of age and older. No significant overall differences in safety or efficacy were observed in patients 65 years of age and older, and in patients 75 years of age and older, compared to younger patients.

4 Contraindications (4 CONTRAINDICATIONS)

ZUSDURI is contraindicated in patients with:

6 Adverse Reactions (6 ADVERSE REACTIONS)

The most common (≥ 10%) adverse reactions, including laboratory abnormalities, that occurred in patients were increased creatinine, increased potassium, dysuria, decreased hemoglobin, increased aspartate aminotransferase, increased alanine aminotransferase, increased eosinophils, decreased lymphocytes, urinary tract infection, decreased neutrophils, and hematuria. (6.1)



To report SUSPECTED ADVERSE REACTIONS, contact UroGen Pharma at 1-855-987-6436 or FDA at 1-800-FDA-1088 or www.fda.gov/medwatch.

2.2 Recommended Dose

The recommended dose of ZUSDURI is 75 mg (56 mL) instilled once weekly for six weeks into the bladder via a urinary catheter. [see Dosage and Administration (2.4)]

8.6 Renal Impairment

Avoid use of ZUSDURI in patients with severe renal impairment (estimated glomerular filtration rate [eGFR] < 30 mL/min). A higher incidence of hematuria and urinary tract infections was observed in patients with moderate renal impairment (eGFR 30 to <60 mL/min). Monitor patients with moderate renal impairment for increased adverse reactions. No dosage adjustments are recommended in patients with mild (eGFR 60 to <90 mL/min) or moderate renal impairment.

12.2 Pharmacodynamics

Mitomycin exposure-response relationships and time course of pharmacodynamic response are unknown.

12.3 Pharmacokinetics

The systemic exposure of mitomycin following instillation of 75 mg of mitomycin as ZUSDURI into the bladder was evaluated pre-instillation and hourly for up to six hours post-instillation in six patients. Mitomycin mean (range) maximum concentration (Cmax) is 2.3 ng/mL (0.2 to 8.9 ng/mL), which is less than 1% of the expected Cmax after intravenous administration.

1 Indications and Usage (1 INDICATIONS AND USAGE)

ZUSDURI™ is indicated for the treatment of adult patients with recurrent low-grade intermediate-risk non-muscle invasive bladder cancer (LG-IR-NMIBC).

12.1 Mechanism of Action

Mitomycin inhibits the synthesis of deoxyribonucleic acid (DNA). The guanine and cytosine content correlates with the degree of mitomycin-induced cross-linking. At high concentrations of the drug, cellular RNA and protein synthesis are also suppressed.

5.2 Embryo Fetal Toxicity (5.2 Embryo-Fetal Toxicity)

Based on findings in animals and mechanism of action, ZUSDURI can cause fetal harm when administered to a pregnant woman. In animal reproduction studies, administration of mitomycin resulted in teratogenicity. Advise females of reproductive potential to use effective contraception during treatment with ZUSDURI and for 6 months following the last dose. Advise male patients with female partners of reproductive potential to use effective contraception during treatment with ZUSDURI and for 3 months following the last dose [see Use in Specific Populations (8.1, 8.3) and Clinical Pharmacology (12.1)].

5 Warnings and Precautions (5 WARNINGS AND PRECAUTIONS)
  • Risks in Patients with Perforated Bladder: Evaluate the bladder before the intravesical instillation of ZUSDURI. Do not administer to patients with a perforated bladder or in whom the integrity of the bladder mucosa has been compromised. (4, 5.1).
  • Embryo-Fetal Toxicity: Can cause fetal harm. Advise of potential risk to a fetus and to use effective contraception. (5.2, 8.1, 8.3)
2 Dosage and Administration (2 DOSAGE AND ADMINISTRATION)
  • Administer ZUSDURI by intravesical instillation only. Do not administer by pyelocalyceal instillation or by any other route. (2.1)
  • The recommended dose of ZUSDURI is 75 mg (56 mL) instilled once weekly for six weeks. (2.2)
2.3 Preparation Instructions

See the Instructions for Pharmacy enclosed in the carton for complete information on preparation.

ZUSDURI must be reconstituted with sterile hydrogel under chilled conditions. Reconstituted ZUSDURI has reverse thermal properties with a gelation point of approximately 19°C (66°F) and will appear as a viscous liquid under chilled conditions and a semisolid gel at room temperature.

3 Dosage Forms and Strengths (3 DOSAGE FORMS AND STRENGTHS)

For intravesical solution: A kit containing the following:

  • Two 40 mg (each) single-dose vials of sterile, lyophilized, grey to greyish-purple, cake or powder of mitomycin for intravesical solution.
  • One single-dose vial of 60 mL of sterile, clear, colorless gel with or without bubbles at room temperature or clear, colorless liquid at 2°C to 8°C (36°F to 46°F), to be used as a vehicle for reconstitution.
8 Use in Specific Populations (8 USE IN SPECIFIC POPULATIONS)

Lactation: Advise not to breastfeed. (8.2)

6.1 Clinical Trials Experience

Because clinical trials are conducted under widely varying conditions, adverse reaction rates observed in clinical trials of a drug cannot be directly compared to rates in the clinical trials of another drug and may not reflect rates observed in practice.

The safety of ZUSDURI was evaluated in ENVISION, a single-arm, multicenter study in 240 patients with recurrent LG-IR-NMIBC [see Clinical Studies (14)]. Patients received 75 mg ZUSDURI instilled once a week for 6 consecutive weeks. The median number of doses of ZUSDURI administered to patients was 6 (range 1-6) doses and 228 patients (95%) received all six scheduled doses.

Serious adverse reactions occurred in 12% of patients who received ZUSDURI, including urinary retention (0.8%) and urethral stenosis (0.4%). A fatal adverse reaction of cardiac failure occurred in 1 patient (0.4%) receiving ZUSDURI.

Permanent discontinuation of ZUSDURI due to an adverse reaction occurred in 2.9% of patients, including 1.7% who discontinued due to a renal or urinary disorder.

Dosage interruption of ZUSDURI due to adverse reactions occurred in 10% of patients. Adverse reactions (≥ 2%) which required dosage interruption were urinary tract infection (2.5%) and dysuria (2.5%).

The most common (≥ 10%) adverse reactions, including laboratory abnormalities, that occurred in patients were increased creatinine, increased potassium, dysuria, decreased hemoglobin, increased aspartate aminotransferase, increased alanine aminotransferase, increased eosinophils, decreased lymphocytes, urinary tract infection, decreased neutrophils, and hematuria.

Table 1 summarizes the adverse reactions in ENVISION.

Table 1: Adverse Reactions (≥ 10% All Grades
Graded per National Cancer Institute Common Terminology Criteria for Adverse Events (CTCAE) Version 5.0.
) in Patients Who Received ZUSDURI in ENVISION
Adverse Reaction ZUSDURI

N = 240
All Grades

(%)
Grade 3 or 4
Only includes Grade 3 adverse reactions


(%)
Renal and urinary disorders
    Dysuria 23 0.4
   Hematuria
Includes multiple related terms
10 0
Infections and infestations
   Urinary tract infection
12 0.8

Clinically relevant adverse reactions occurring in < 10% of patients receiving ZUSDURI in ENVISION included increased urinary frequency, fatigue, urinary incontinence, urinary retention, urethral stenosis, genital pain, urinary urgency, genital edema, genital pruritus, genital rash, urethritis, acute kidney injury, balanoposthitis, and nocturia.

Table 2 summarizes laboratory abnormalities in ENVISION.

Table 2: Laboratory Abnormalities (≥ 10% All Grades
Graded per National Cancer Institute Common Terminology Criteria for Adverse Events (CTCAE) Version 5.0.
) That Worsened From Baseline in Patients Who Received ZUSDURI in ENVISION
Laboratory Abnormality ZUSDURI
The denominator used to calculate the rate varied from 227 to 238 based on the number of patients with a baseline value and at least one post-treatment value
All Grades

(%)
Grade 3 or 4
Only includes Grade 3 laboratory abnormalities


(%)
Hematology
    Hemoglobin Decreased 17 0.8
    Eosinophils Increased 15 0
    Lymphocytes Decreased 14 0.4
    Neutrophils Decreased 10 0.4
Chemistry
    Creatinine Increased 29 1.3
    Potassium Increased 26 2.2
    Aspartate Aminotransferase (AST) Increased 15 0.4
    Alanine Aminotransferase (ALT) Increased 15 0.4
Instructions for Pharmacy (ifp) (INSTRUCTIONS FOR PHARMACY (IFP))

Purpose of this Instructions for Pharmacy

This Instructions for Pharmacy contains information on how to prepare ZUSDURI using pharmacy supplies and a Chilling Block or other means of chilling.

Intended Use of ZUSDURI

ZUSDURI (mitomycin) for intravesical solution is indicated for the treatment of adult patients with recurrent low-grade intermediate risk non-muscle invasive bladder cancer (LG-IR-NMIBC).

Important Information You Need to Know Before Reconstituting ZUSDURI

Reconstituted ZUSDURI must be prepared under chilled conditions. ZUSDURI cannot be prepared without a Chilling Block or other means of chilling.

Once reconstituted with sterile hydrogel, ZUSDURI will appear as a semisolid gel under room temperature conditions and as a viscous liquid under chilled conditions.

Preparation of ZUSDURI must be performed under aseptic conditions.

Storage Conditions and Handling

Before reconstitution, store ZUSDURI at room temperature, 20°C to 25°C (68°F to 77°F). Excursions are permitted between 15°C and 30°C (59°F and 86°F). Avoid excessive heat over 40°C (104°F). Protect from light.

Storage Instructions for Reconstituted ZUSDURI:

  • Instill reconstituted ZUSDURI as soon as possible.
  • If not used immediately, store reconstituted ZUSDURI:
    • under refrigeration at 2℃ to 8℃ (36°F to 46°F) for up to 7 days; or
    • under refrigeration at 2℃ to 8℃ (36°F to 46°F) for up to 6 days followed by no more than 24 hours at room temperature, 20°C to 25°C (68°F to 77°F).
  • Discard 7 days after reconstitution.
  • Protect from light.
  • Avoid excessive heat over 40°C (104°F).

ZUSDURI is a hazardous drug. Procedures for Proper Handling and Disposal of hazardous drugs should be followed.

Supplies Needed

ZUSDURI available in a kit containing:
  • Two vials of ZUSDURI, 40 mg per vial
  • One vial of Sterile hydrogel, 60 mL
  • One ZUSDURI admixture label
  • ZUSDURI Prescribing Information (PI)
  • ZUSDURI Instructions for Pharmacy (IFP)
  • ZUSDURI Instructions for Administration (IFA)

Pharmacy Supplies:

(Provided by your facility)

Do not substitute any of these components

Two 20 mL Luer lock syringes
Two 5 mL Luer lock syringes filled with 3 mL sterile water
Three OnGuard®2 CSTD vial adaptors
Four OnGuard®2 CSTD syringe adaptors
Chilling Block or other means of chilling (device design may vary)



Note: The day before the preparation, place the Chilling Block in the freezer at -20°C to -12°C (-4°F to 10.4°F). Refer to the Chilling Block Instructions for Use for more information.

Steps to Prepare ZUSDURI Admixture

  • A.
    Freeze the Chilling Block
    • 1.
      The day before preparation, put the Chilling Block in the freezer at -20°C to -12°C (-4°F to 10.4°F).

      Note: Please refer to the Chilling Block Instructions for Use for additional information.
  • B.
    Prepare Supplies
    • 1.
      Remove the Chilling Block from the freezer.
    • 2.
      Disinfect the Chilling Block as per your pharmacy's policy. Allow it to air dry, and then place it inside the hood or isolator.
    • 3.
      Connect vial adaptors to all three vials.
    • 4.
      Connect syringe adaptors to both empty 20 mL syringes and both sterile water syringes.
    • 5.
      Place one ZUSDURI vial, the sterile hydrogel vial, and both empty 20 mL syringes in the Chilling Block for approximately 20 minutes.

      Note: The Chilling Block has five compartments, but only four are needed. The small vial compartment will not be used during this preparation.
  •  
    • 6.
      Set the second ZUSDURI vial and both sterile water syringes aside for later use.
  • C.
    Reconstitute the First ZUSDURI Vial
    • 1.
      Slowly fill one chilled 20 mL syringe with 14 mL of sterile hydrogel.
    • 2.
      Slowly fill the other chilled 20 mL syringe with 13 mL of sterile hydrogel.
    • 3.
      Place both 20 mL syringes and the sterile hydrogel vial back in the Chilling Block.
    • 4.
      Remove the chilled ZUSDURI vial from the Chilling Block.
    • 5.
      Inject 3 mL of sterile water into the ZUSDURI vial.
    • 6.
      Gently swirl the ZUSDURI vial upright at least 20 times.

      Note: Do not invert or shake the vial.
    • 7.
      Inject the chilled 14 mL and 13 mL syringes of sterile hydrogel into the ZUSDURI vial.
    • 8.
      Place both empty 20 mL syringes back in the Chilling Block for later use.
    • 9.
      Vigorously swirl the ZUSDURI vial upright for about 2 minutes.

      Note: Do not invert or shake the vial.
    • 10.
      Set the first ZUSDURI vial aside for later use.
  • D.
    Reconstitute the Second ZUSDURI Vial
    • 1.
      Place the second ZUSDURI vial in the Chilling Block.
    • 2.
      Slowly fill one chilled 20 mL syringe with 14 mL of sterile hydrogel.
    • 3.
      Slowly fill the other chilled 20 mL syringe with 13 mL of sterile hydrogel.
    • 4.
      Place both 20 mL syringes back in the Chilling Block.
    • 5.
      Discard the empty sterile hydrogel vial.
    • 6.
      Remove the chilled ZUSDURI Vial from the Chilling Block.
    • 7.
      Inject 3 mL of sterile water into the ZUSDURI vial.
    • 8.
      Gently swirl the ZUSDURI vial upright at least 20 times.

      Note: Do not invert or shake the vial.
    • 9.
      Inject the chilled 14 mL and 13 mL syringes of sterile hydrogel into the ZUSDURI vial.
    • 10.
      Place both empty 20 mL syringes back in the Chilling Block for later use.
    • 11.
      Vigorously swirl the ZUSDURI vial upright for about 2 minutes.

      Note: Do not invert or shake the vial.
  • E.
    Combine the Contents of the ZUSDURI Admixture Vials
    • 1.
      Slowly fill each chilled 20 mL syringe with 14 mL of admixture from the second ZUSDURI vial (for a total of 28 mL).

      Note: If you are having difficulty withdrawing the admixture, place the components back in the Chilling Block until the admixture liquifies again.
    • 2.
      Inject the two 14 mL admixture syringes into the first ZUSDURI vial.
    • 3.
      You now have one vial that contains ZUSDURI admixture.
  • F.
    Dispense Reconstituted ZUSDURI
    • 1.
      Write the "Discard after" date and time on the supplied admixture label and apply to the prepared ZUSDURI admixture vial. You may also substitute your pharmacy's label for dispensing the ZUSDURI admixture.

      Note: The "Discard after" date and time is 7 days from the completion of the preparation. Store reconstituted ZUSDURI at 2°C to 8°C (36°F to 46°F) for up to 7 days. Alternatively, reconstituted ZUSDURI may be stored under refrigeration at 2℃ to 8℃ (36°F to 46°F) for up to 6 days followed by no more than 24 hours at room temperature, 20°C to 25°C (68°F to 77°F). Avoid excessive heat over 40°C (104°F). Protect from light.
    • 2.
      Transport the following items to the treatment facility:
      • i.
        One reconstituted ZUSDURI vial.
      • ii.
        ZUSDURI Instructions for Administration (IFA).

Important to Remember

  • All components need to be kept cold during the preparation process by placing them in the Chilling Block or other means of chilling when they are not in use.
  • If you are having difficulty pushing or withdrawing the solution at any time, place the components back in the Chilling Block or other means of chilling until the product liquifies again.

Frequently Asked Questions

This Instructions for Pharmacy has been approved by the U.S. Food and Drug Administration.
How do I connect the vial adaptor?

Place the vial adaptor over the vial and press down firmly. You will hear a snap which confirms successful attachment.
How do I connect the syringe adaptor?

Screw the Luer lock end of the syringe adaptor onto the syringe hub until it is finger tight.
How do I connect the syringe adaptor to the vial adaptor?

Place the syringe adaptor over the vial adaptor and align the tabs, then press down firmly. You will hear a snap which confirms successful attachment.
How do I disconnect the syringe adaptor from the vial adaptor?

Pinch the tabs on the syringe adaptor to separate it from the vial adaptor.
Do I have to keep the vials upright when mixing? If so, why?

Yes, the vials should be kept upright when mixing to ensure the contents are fully mixed at the bottom of the vial.
I am having difficulty working with the drug product. It seems to be solidifying.

If you are having difficulty pushing or withdrawing the solution, place the components back in the Chilling Block or other means of chilling until it liquifies.
17 Patient Counseling Information (17 PATIENT COUNSELING INFORMATION)

Advise the patient to read the FDA-approved patient labeling (Patient Information).

2.4 Bladder Instillation of Zusduri (2.4 Bladder Instillation of ZUSDURI)

See the Instructions for Administration enclosed in the carton for complete information on bladder instillation.

ZUSDURI must be chilled at -3°C to 5°C (27°F to 41°F) to convert to a viscous liquid prior to instillation. When instilling ZUSDURI, each syringe must be emptied within thirty (30) seconds to avoid gelation.

Instillation of ZUSDURI requires syringes and a urinary catheter with fixed Luer Lock connectors.

Advise patients that ZUSDURI may discolor urine to a violet to blue color following the instillation procedure. Advise patients for at least 24 hours post-instillation to avoid urine contact with skin, to void urine sitting on a toilet, to wash hands and genital area with water and soap after each urination, and to flush the toilet several times after use.

Instructions for Administration (ifa) (INSTRUCTIONS FOR ADMINISTRATION (IFA))

Read and follow this Instructions for Administration prior to each ZUSDURI instillation.

Purpose of this Instructions for Administration

This Instructions for Administration contains information on how to instill ZUSDURI using the ZUSDURI vial and the devices listed under Supplies Needed, obtained by your facility.

Intended Use of ZUSDURI

ZUSDURI (mitomycin) for intravesical solution is indicated for the treatment of adult patients with recurrent low-grade intermediate risk non-muscle invasive bladder cancer (LG-IR-NMIBC).

Important Information You Need to Know Before Instilling ZUSDURI

ZUSDURI must be reconstituted by a healthcare professional prior to instillation. Reconstituted ZUSDURI will appear as a semisolid gel. Once chilled, ZUSDURI will convert to a viscous liquid for instillation.

Once instilled into the patient's bladder, ZUSDURI will convert to a semisolid gel, thereby exposing the lining of the bladder to mitomycin over a prolonged period of time.

Storage Instructions for Reconstituted ZUSDURI:

  • Instill reconstituted ZUSDURI as soon as possible.
  • If not used immediately, store reconstituted ZUSDURI:
    • under refrigeration at 2℃ to 8℃ (36°F to 46°F) for up to 7 days; or
    • under refrigeration at 2℃ to 8℃ (36°F to 46°F) for up to 6 days followed by no more than 24 hours at room temperature, 20°C to 25°C (68°F to 77°F).
  • Discard 7 days after reconstitution.
  • Protect from light.
  • Avoid excessive heat over 40°C (104°F).

When ready to instill, chill ZUSDURI at -3°C to 5°C (27°F to 41°F) for about 20 minutes to revert it to a viscous liquid. See Steps A through C below for complete administration instructions.

ZUSDURI is a hazardous drug. Procedures for proper handling and disposal of hazardous drugs should be followed, as described below.

Supplies Needed

One vial of reconstituted ZUSDURI, with resultant concentration of 80 mg per 60 mL.

(prepared and provided by your pharmacy)
Ice Bath



Note:
The ice bath should consist of ice and cold water and be large enough to submerge a ZUSDURI vial.
Plastic Bag

Ancillary Supplies

When you administer ZUSDURI, you will need to use special adaptors for your catheter and syringes. These adaptors will create a closed pathway to protect you and your patient during and after administration. Fluid will only be able to pass between connection points when the adaptors are fully engaged, preventing drips or leaks.

Once the adaptors are connected, do not disconnect them. They are there for your protection.

Urinary Catheter

One 12 Fr to 16 Fr with fixed Luer lock connector

Do not substitute

Catheter Adaptor

One OnGuard®2 CSTD Luer lock adaptor

Do not substitute

Administration Syringes

Four 20 mL polypropylene Luer lock syringes (BD Luer-Lok™ Syringe)

Do not substitute

Sterile Water Flush

One 5 mL Luer lock syringe filled with 3 mL sterile water
Syringe Adaptors

Five OnGuard®2 CSTD syringe adaptors

Do not substitute

Instillation Instructions

  • A.
    Chill the ZUSDURI
    • 1.
      Place the ZUSDURI vial in a plastic bag.
    • 2.
      Place the plastic bag in the ice bath for approximately 20 minutes.

      Note:
      Ensure the ZUSDURI vial is completely immersed in the ice bath.

  • B.
    Prepare the Four Administration Syringes
    • 1.
      Connect a syringe adaptor to the 3 mL sterile water syringe and set aside.
    • 2.
      Connect syringe adaptors to the four 20 mL syringes. These will be the administration syringes.

      Note: Once the adaptors are connected, do not disconnect them. They are there for your protection.
    • 3.
      Remove the ZUSDURI vial from the ice bath and verify the admixture is liquid. If the admixture is not liquid, place the vial bag back into the ice bath until the admixture liquefies.
    • 4.
      Swirl the vial upright to ensure that ZUSDURI is uniformly mixed.
    • 5.
      Slowly fill each of the four administration syringes with 14 mL of ZUSDURI admixture (for a total of 56 mL).

      Note: there might be foaming in the syringe while withdrawing ZUSDURI.
    • 6.
      Place the four administration syringes in the plastic bag.
    • 7.
      Place the plastic bag in the ice bath, ensuring the four administration syringes are completely immersed, for at least two minutes.

  • C.
    Instill ZUSDURI

    The contents of four administration syringes must be instilled in rapid succession without delay to avoid ZUSDURI solidification. Before proceeding:

    • Ensure that all four administration syringes contain liquid ZUSDURI.
    • Keep all four administration syringes chilled in the ice bath until instillation time.
    • 1.
      Place the urinary catheter in the bladder and drain the urine.
    • 2.
      Connect the catheter adaptor to the urinary catheter.
    • 3.
      Connect an administration syringe to the urinary catheter.
    • 4.
      Instill the ZUSDURI into the patient.

      Note: Empty each administration syringe over approximately 30 seconds. ZUSDURI is viscous, even in a chilled state.

    • 5.
      Disconnect the syringe adaptor from the catheter adaptor.
    • 6.
      Immediately repeat these steps without delay for the remaining three administration syringes.
    • 7.
      After all four administration syringes have been instilled, flush the urinary catheter with 3 mL of sterile water.
    • 8.
      Wait 15 minutes before removing the urinary catheter from the patient.

    • 9.
      Discard all ancillary supplies according to your facility's procedures for hazardous waste.

Frequently Asked Questions

How do I connect the syringe adaptor?

Screw the Luer lock end of the syringe adaptor onto the syringe hub until it is finger tight.
How do I connect the syringe adaptor to the vial adaptor?

Place the syringe adaptor over the vial adaptor and align the tabs; then press down firmly. You will hear a snap which confirms successful attachment.
How do I disconnect the syringe adaptor from the vial adaptor?

Pinch the tabs on the syringe adaptor to separate it from the vial adaptor.
I am having a hard time working with ZUSDURI. It seems to be solidifying.

If you are having difficulty pushing or withdrawing ZUSDURI, recap and place the components back into the ice bath until ZUSDURI liquifies. The vial may be placed upside down within the bag in the ice bath.
How do I connect the catheter adaptor to the urinary catheter?

Screw the Luer lock end of the catheter adaptor onto the urinary catheter connector until it is finger tight.
How do I connect the syringe adaptor to the catheter adaptor?

Place the syringe adaptor in front of the catheter adaptor and push it on firmly. You will hear a snap which confirms successful attachment.
How do I disconnect the syringe adaptor from the catheter adaptor?

While holding the urinary catheter steady and fixed in its position, pinch the tabs on the syringe adaptor to separate it from the catheter adaptor.

This "Instructions for Administration" has been approved by the U.S. Food and Drug Administration.

Distributed by:

UroGen Pharma, Inc.

Princeton, NJ 08540

www.ZUSDURI.com

ZUSDURI™ is a trademark of UroGen Pharma, Ltd.

OnGuard® is a registered trademark of Simplivia Healthcare Ltd.

BD Luer-Lok™ is a trademark of Becton, Dickinson and Company.

Copyright© 2025 UroGen Pharma, Inc.

All rights reserved.

ZUS-IFA-001

IFA-0017644/Ver. 1

2.1 Important Administration Instructions

Administer ZUSDURI by intravesical instillation only. Do not administer by pyelocalyceal instillation or by any other route.

Principal Display Panel 40 Mg Kit Carton (PRINCIPAL DISPLAY PANEL - 40 mg Kit Carton)

NDC 72493-106-03

Zusduri

(mitomycin) for intravesical solution

40 mg per Vial

Attention Pharmacist: Reconstitution

is required prior to dispensing.

See the Instructions for Pharmacy

before proceeding.

SINGLE-DOSE KIT

Warning: For Intravesical Use Only

Rx Only

Contents of Kit:

  • 2 Single-Dose Vials of ZUSDURI (mitomycin) for intravesical solution, 40 mg per Vial.
  • 1 Single-Dose Vial of Sterile Hydrogel, 60 mL per Vial
  • 1 Admixture Label
  • Full Prescribing Information
  • Instructions for Pharmacy
  • Instructions for Administration

Store at 20°C to 25°C (68°F to 77°F); excursions permitted between 15°C and 30°C (59°F and 86°F).

Avoid excessive heat over 40°C (104°F). Protect from light.

Store reconstituted ZUSDURI at 2°C to 8°C (36°F to 46°F) for up to 7 days.

Alternatively, reconstituted ZUSDURI may be stored under refrigeration at 2°C to 8°C (36°F to 46°F)

for up to 6 days followed by no more than 24 hours at room temperature, 20°C to 25°C (68°F to 77°F).

Avoid excessive heat over 40°C (104°F).

Protect reconstituted ZUSDURI from light.

When ready to instill, chill ZUSDURI at -3°C to 5°C (27°F to 41°F) for about 20 minutes to revert it to a

viscous liquid.

Recommended Dosage: See Full Prescribing Information.

Warning: Hazardous Drug

Distributed by:

UroGen Pharma, Inc.

Princeton, NJ 08540

UroGen®

Pharma

Principal Display Panel 40 Mg Vial Label (PRINCIPAL DISPLAY PANEL - 40 mg Vial Label)

NDC 72493-104-40

Single-Dose Vial

Sterile

Zusduri

(mitomycin) for intravesical solution

40 mg per Vial

See Instructions for Pharmacy for preparation instructions

Must be Reconstituted with Sterile Hydrogel Before Use

Warning: For Intravesical Use Only

Store at 20°C to 25°C (68°F to 77°F); excursions permitted between 15°C and 30°C

(59°F and 86°F). Avoid excessive heat over 40°C (104°F). Protect from light.

Each vial contains: Mitomycin 40 mg and mannitol 80 mg.

Recommended Dosage: See Full Prescribing Information.

Distributed by:

UroGen Pharma, Inc.

Princeton, NJ 08540

Lot

Exp

Warning: Hazardous Drug

Rx Only

UroGen®

Pharma

620565

LBL-0017642/Ver. 1

Principal Display Panel 60 Ml Vial Label (PRINCIPAL DISPLAY PANEL - 60 mL Vial Label)

NDC 72493-105-60

Single-Dose Vial

Sterile Hydrogel

For use in preparation of ZUSDURI™

(mitomycin) for intravesical solution

Not for Direct Administration

See Instructions for Pharmacy for

preparation instructions

Store at 20°C to 25°C (68°F to 77°F); excursions

permitted between 15°C and 30°C (59°F and 86°F).

Avoid excessive heat over 40°C (104°F).

Rx Only

60 mL per Vial

LBL-0017641/Ver. 1

5.1 Risks in Patients With Perforated Bladder (5.1 Risks in Patients with Perforated Bladder)

ZUSDURI may lead to systemic exposure to mitomycin and severe adverse reactions if administered to patients with a perforated bladder or to those in whom the integrity of the bladder mucosa has been compromised.

Evaluate the bladder before the intravesical instillation of ZUSDURI and do not administer to patients with a perforated bladder or mucosal compromise until bladder integrity has been restored [see Contraindications (4)].

8.3 Females and Males of Reproductive Potential

ZUSDURI can cause fetal harm when administered to pregnant women [see Use in Specific Populations (8.1)].

13.1 Carcinogenesis, Mutagenesis, Impairment of Fertility

Adequate long-term studies in animals to evaluate carcinogenic potential from instillation of mitomycin into the bladder have not been conducted. Mitomycin has been found to be carcinogenic in rats and mice. At doses approximating the recommended intravenous clinical dose in humans, mitomycin produced a greater than 100% increase in tumor incidence in male Sprague-Dawley rats, and a greater than 50% increase in tumor incidence in female Swiss mice.

The effect of ZUSDURI on fertility is unknown.


Advanced Ingredient Data


Raw Label Data

All Sections (JSON)