Triamcinolone Acetonide Cream, Usp 0.1%

Triamcinolone Acetonide Cream, Usp 0.1%
SPL v3
SPL
SPL Set ID 8cbde037-da83-4390-8465-7e383eee9287
Route
TOPICAL
Published
Effective Date 2024-11-14
Document Type 34391-3 HUMAN PRESCRIPTION DRUG LABEL

Drug Facts

Composition & Product

Active Ingredients
Triamcinolone Acetonide (1 mg)
Inactive Ingredients
Cetyl Alcohol Isopropyl Palmitate Methylparaben Mineral Oil Lanolin Alcohols Polysorbate 40 Propylparaben Propylene Glycol Propylene Glycol Monostearate Water Sorbic Acid Sorbitan Monopalmitate Stearyl Alcohol Xanthan Gum

Identifiers & Packaging

Pill Appearance
Color: white
Marketing Status
ANDA Active Since 2023-09-27

Description

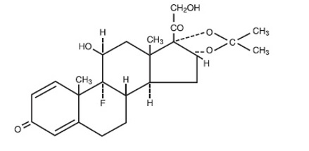
The topical corticosteroids constitute a class of primarily synthetic steroids used as anti‑inflammatory and antipruritic agents. The steroids in this class include triamcinolone acetonide. Triamcinolone acetonide is designated chemically as 9-Fluoro-11β,16α,17,21-tetrahydroxypregna-1,4‑diene-3,20-dione cyclic 16,17-acetal with acetone. Structural formula: C 24 H 31 FO 6                                                                         MW 434.50 Each gram of 0.1% triamcinolone acetonide cream, USP provides 1 mg of triamcinolone acetonide, USP in a cream base containing cetyl alcohol, isopropyl palmitate, methylparaben, mineral oil/lanolin alcohol, polysorbate 40, propylparaben, propylene glycol, propylene glycol monostearate, purified water, sorbic acid, sorbitan monopalmitate, stearyl alcohol and xanthan gum.

Dosage and Administration

Apply triamcinolone acetonide cream, USP 0.1% to the affected area two to three times daily. Rub in gently.

Contraindications

Topical corticosteroids are contraindicated in those patients with a history of hypersensitivity to any of the components of the preparations.

Adverse Reactions

The following local adverse reactions are reported infrequently with topical corticosteroids, but may occur more frequently with the use of occlusive dressings. These reactions are listed in an approximate decreasing order of occurrence: burning, itching, irritation, dryness, folliculitis, hypertrichosis, acneiform eruptions, hypopigmentation, perioral dermatitis, allergic contact dermatitis, maceration of the skin, secondary infection, skin atrophy, striae, and miliaria. To report SUSPECTED ADVERSE REACTIONS, contact Saptalis Pharmaceuticals, LLC. at 1-833-727-8254 or FDA at 1-­800‑FDA‑1088 or www.fda.gov/medwatch.

How Supplied

Triamcinolone Acetonide Cream, USP 0.1%:  tubes containing 15 g (NDC 71656-042-15), 30 g (NDC 71656-042-30), and 80 g (NDC 71656-042-80); and jars containing 454 g (NDC 71656-042-16) of cream. Storage Store at 20°C to 25°C (68°F to 77°F) [see USP Controlled Room Temperature]. Avoid freezing. Distributed by: Saptalis Pharmaceuticals, LLC. Hauppauge, NY 11788 PPM-0032 Rev. 09/24-R2


Medication Information

Dosage and Administration

Apply triamcinolone acetonide cream, USP 0.1% to the affected area two to three times daily. Rub in gently.

Contraindications

Topical corticosteroids are contraindicated in those patients with a history of hypersensitivity to any of the components of the preparations.

Adverse Reactions

The following local adverse reactions are reported infrequently with topical corticosteroids, but may occur more frequently with the use of occlusive dressings. These reactions are listed in an approximate decreasing order of occurrence: burning, itching, irritation, dryness, folliculitis, hypertrichosis, acneiform eruptions, hypopigmentation, perioral dermatitis, allergic contact dermatitis, maceration of the skin, secondary infection, skin atrophy, striae, and miliaria.

To report SUSPECTED ADVERSE REACTIONS, contact Saptalis Pharmaceuticals, LLC. at 1-833-727-8254 or FDA at 1-­800‑FDA‑1088 or www.fda.gov/medwatch.

How Supplied

Triamcinolone Acetonide Cream, USP 0.1%: tubes containing 15 g (NDC 71656-042-15), 30 g (NDC 71656-042-30), and 80 g (NDC 71656-042-80); and jars containing 454 g (NDC 71656-042-16) of cream.

Storage

Store at 20°C to 25°C (68°F to 77°F) [see USP Controlled Room Temperature]. Avoid freezing.

Distributed by:

Saptalis Pharmaceuticals, LLC.

Hauppauge, NY 11788

PPM-0032

Rev. 09/24-R2

Description

The topical corticosteroids constitute a class of primarily synthetic steroids used as anti‑inflammatory and antipruritic agents. The steroids in this class include triamcinolone acetonide. Triamcinolone acetonide is designated chemically as 9-Fluoro-11β,16α,17,21-tetrahydroxypregna-1,4‑diene-3,20-dione cyclic 16,17-acetal with acetone. Structural formula:

C 24H 31FO 6                                                                        MW 434.50

Each gram of 0.1% triamcinolone acetonide cream, USP provides 1 mg of triamcinolone acetonide, USP in a cream base containing cetyl alcohol, isopropyl palmitate, methylparaben, mineral oil/lanolin alcohol, polysorbate 40, propylparaben, propylene glycol, propylene glycol monostearate, purified water, sorbic acid, sorbitan monopalmitate, stearyl alcohol and xanthan gum.

General

Systemic absorption of topical corticosteroids has produced reversible hypothalamic-pituitary-adrenal (HPA) axis suppression, manifestations of Cushing’s syndrome, hyperglycemia, and glucosuria in some patients.

Conditions which augment systemic absorption include the application of the more potent steroids, use over large surface areas, prolonged use, and the addition of occlusive dressings.

Therefore, patients receiving a large dose of any potent topical steroid applied to a large surface area or under an occlusive dressing should be evaluated periodically for evidence of HPA axis suppression by using the urinary free cortisol and ACTH stimulation tests, and for impairment of thermal homeostasis. If HPA axis suppression or elevation of the body temperature occurs, an attempt should be made to withdraw the drug, to reduce the frequency of application, substitute a less potent steroid, or use a sequential approach when utilizing the occlusive technique.

Recovery of HPA axis function and thermal homeostasis are generally prompt and complete upon discontinuation of the drug. Infrequently, signs and symptoms of steroid withdrawal may occur, requiring supplemental systemic corticosteroids. Occasionally, a patient may develop a sensitivity reaction to a particular occlusive dressing material or adhesive and a substitute material may be necessary.

Children may absorb proportionally larger amounts of topical corticosteroids and thus be more susceptible to systemic toxicity (see PRECAUTIONS Pediatric Use ).

If irritation develops, topical corticosteroids should be discontinued and appropriate therapy instituted.

In the presence of dermatological infections, the use of an appropriate antifungal or antibacterial agent should be instituted. If a favorable response does not occur promptly, the corticosteroid should be discontinued until the infection has been adequately controlled.

These preparations are not for ophthalmic use.

Pregnancy

Corticosteroids are generally teratogenic in laboratory animals when administered systemically at relatively low dosage levels. The more potent corticosteroids have been shown to be teratogenic after dermal application in laboratory animals. There are no adequate and well-controlled studies in pregnant women on teratogenic effects from topically applied corticosteroids. Therefore, topical corticosteroids should be used during pregnancy only if the potential benefit justifies the potential risk to the fetus. Drugs of this class should not be used extensively on pregnant patients, in large amounts, or for prolonged periods of time.

Overdosage

Topically applied corticosteroids can be absorbed in sufficient amounts to produce systemic effects (see PRECAUTIONS General ).

Pediatric Use

Pediatric patients may demonstrate greater susceptibility to topical corticosteroid‑induced HPA axis suppression and Cushing’s syndrome than mature patients because of a larger skin surface area to body weight ratio.

HPA axis suppression, Cushing’s syndrome, and intracranial hypertension have been reported in children receiving topical corticosteroids. Manifestations of adrenal suppression in children include linear growth retardation, delayed weight gain, low plasma cortisol levels, and absence of response to ACTH stimulation. Manifestations of intracranial hypertension include bulging fontanelles, headaches, and bilateral papilledema.

Administration of topical corticosteroids to children should be limited to the least amount compatible with an effective therapeutic regimen. Chronic corticosteroid therapy may interfere with the growth and development of children.

Nursing Mothers

It is not known whether topical administration of corticosteroids could result in sufficient systemic absorption to produce detectable quantities in breast milk. Systemically administered corticosteroids are secreted into breast milk in quantities notlikely to have a deleterious effect on the infant. Nevertheless, caution should be exercised when topical corticosteroids are administered to a nursing woman.

Laboratory Tests

A urinary free cortisol test and ACTH stimulation test may be helpful in evaluating HPA axis suppression.

Pharmacokinetics

The extent of percutaneous absorption of topical corticosteroids is determined by many factors including the vehicle, the integrity of the epidermal barrier, and the use of occlusive dressings.

Topical corticosteroids can be absorbed from normal intact skin. Inflammation and/or other disease processes in the skin increase percutaneous absorption. Occlusive dressings substantially increase the percutaneous absorption of topical corticosteroids. Thus, occlusive dressings may be a valuable therapeutic adjunct for treatment of resistant dermatoses (see  DOSAGE AND ADMINISTRATION ).

Once absorbed through the skin, topical corticosteroids are handled through pharmacokinetic pathways similar to systemically administered corticosteroids. Corticosteroids are bound to plasma proteins in varying degrees. Corticosteroids are metabolized primarily in the liver and are then excreted by the kidneys. Some of the topical corticosteroids and their metabolites are also excreted into the bile.

Clinical Pharmacology

Topical corticosteroids share anti-inflammatory, antipruritic and vasoconstrictive actions.

The mechanism of anti-inflammatory activity of the topical corticosteroids is unclear. Various laboratory methods, including vasoconstrictor assays, are used to compare and predict potencies and/or clinical efficacies of the topical corticosteroids. There is some evidence to suggest that a recognizable correlation exists between vasoconstrictor potency and therapeutic efficacy in man.

Indications And usage

Triamcinolone acetonide cream, USP 0.1% is indicated for the relief of the inflammatory and pruritic manifestations of corticosteroid-responsive dermatoses.

Information for the Patients

Patients using topical corticosteroids should receive the following information and instructions:

  • This medication is to be used as directed by the physician. It is for external use only. Avoid contact with the eyes.
  • Patients should be advised not to use this medication for any disorder other than for which it was prescribed.
  • The treated skin area should not be bandaged or otherwise covered or wrapped as to be occlusive unless directed by the physician.
  • Patients should report any signs of local adverse reactions especially under occlusive dressing.
  • Parents of pediatric patients should be advised not to use tight‑fitting diapers or plastic pants on a child being treated in the diaper area, as these garments may constitute occlusive dressings.
Occlusive Dressing Technique

Occlusive dressings may be used for the management of psoriasis or other recalcitrant conditions. Gently rub a small amount of cream into the lesion until it disappears. Reapply the preparation leaving a thin coating on the lesion, cover with a pliable nonporous film, and seal the edges. If needed, additional moisture may be provided by covering the lesion with a dampened clean cotton cloth before the nonporous film is applied or by briefly wetting the affected area with water immediately prior to applying the medication. The frequency of changing dressings is best determined on an individual basis. It may be convenient to apply triamcinolone acetonide cream under an occlusive dressing in the evening and to remove the dressing in the morning (i.e., 12-hour occlusion). When utilizing the 12-hour occlusion regimen, additional cream should be applied, without occlusion, during the day. Reapplication is essential at each dressing change.

If an infection develops, the use of occlusive dressings should be discontinued and appropriate antimicrobial therapy instituted.

Triamcinolone Acetonide Cream 0.1% 15 G

Carton

NDC 71656-042-15

Triamcinolone Acetonide Cream, USP 0.1%

Rx only

NET WT 15g

Tube

NDC 71656-042-15

Triamcinolone Acetonide Cream, USP 0.1%

Rx only

NET WT 15g

Triamcinolone Acetonide Cream 0.1% 30 G

Carton

NDC 71656-042-30

Triamcinolone Acetonide Cream, USP 0.1%

Rx only

NET WT 30g

Tube

NDC 71656-042-30

Triamcinolone Acetonide Cream, USP 0.1%

Rx only

NET WT 30g

Triamcinolone Acetonide Cream 0.1% 80 G

Carton

NDC 71656-042-80

Triamcinolone Acetonide Cream, USP 0.1%

Rx only

NET WT 80g

Tube

NDC 71656-042-80

Triamcinolone Acetonide Cream, USP 0.1%

Rx only

NET WT 80g

Triamcinolone Acetonide Cream 0.1% 454 G

Jar

NDC 71656-042-16

Triamcinolone Acetonide Cream, USP 0.1%

Rx only

NET WT 454g

Carcinogenesis, Mutagenesis, and Impairment of Fertility

Long-term animal studies have not been performed to evaluate the carcinogenic potential or the effect on fertility of topical corticosteroids.

Studies to determine mutagenicity with prednisolone and hydrocortisone showed negative results.


Structured Label Content

General

Systemic absorption of topical corticosteroids has produced reversible hypothalamic-pituitary-adrenal (HPA) axis suppression, manifestations of Cushing’s syndrome, hyperglycemia, and glucosuria in some patients.

Conditions which augment systemic absorption include the application of the more potent steroids, use over large surface areas, prolonged use, and the addition of occlusive dressings.

Therefore, patients receiving a large dose of any potent topical steroid applied to a large surface area or under an occlusive dressing should be evaluated periodically for evidence of HPA axis suppression by using the urinary free cortisol and ACTH stimulation tests, and for impairment of thermal homeostasis. If HPA axis suppression or elevation of the body temperature occurs, an attempt should be made to withdraw the drug, to reduce the frequency of application, substitute a less potent steroid, or use a sequential approach when utilizing the occlusive technique.

Recovery of HPA axis function and thermal homeostasis are generally prompt and complete upon discontinuation of the drug. Infrequently, signs and symptoms of steroid withdrawal may occur, requiring supplemental systemic corticosteroids. Occasionally, a patient may develop a sensitivity reaction to a particular occlusive dressing material or adhesive and a substitute material may be necessary.

Children may absorb proportionally larger amounts of topical corticosteroids and thus be more susceptible to systemic toxicity (see PRECAUTIONS Pediatric Use ).

If irritation develops, topical corticosteroids should be discontinued and appropriate therapy instituted.

In the presence of dermatological infections, the use of an appropriate antifungal or antibacterial agent should be instituted. If a favorable response does not occur promptly, the corticosteroid should be discontinued until the infection has been adequately controlled.

These preparations are not for ophthalmic use.

Pregnancy

Corticosteroids are generally teratogenic in laboratory animals when administered systemically at relatively low dosage levels. The more potent corticosteroids have been shown to be teratogenic after dermal application in laboratory animals. There are no adequate and well-controlled studies in pregnant women on teratogenic effects from topically applied corticosteroids. Therefore, topical corticosteroids should be used during pregnancy only if the potential benefit justifies the potential risk to the fetus. Drugs of this class should not be used extensively on pregnant patients, in large amounts, or for prolonged periods of time.

Overdosage (OVERDOSAGE)

Topically applied corticosteroids can be absorbed in sufficient amounts to produce systemic effects (see PRECAUTIONS General ).

Description (DESCRIPTION)

The topical corticosteroids constitute a class of primarily synthetic steroids used as anti‑inflammatory and antipruritic agents. The steroids in this class include triamcinolone acetonide. Triamcinolone acetonide is designated chemically as 9-Fluoro-11β,16α,17,21-tetrahydroxypregna-1,4‑diene-3,20-dione cyclic 16,17-acetal with acetone. Structural formula:

C 24H 31FO 6                                                                        MW 434.50

Each gram of 0.1% triamcinolone acetonide cream, USP provides 1 mg of triamcinolone acetonide, USP in a cream base containing cetyl alcohol, isopropyl palmitate, methylparaben, mineral oil/lanolin alcohol, polysorbate 40, propylparaben, propylene glycol, propylene glycol monostearate, purified water, sorbic acid, sorbitan monopalmitate, stearyl alcohol and xanthan gum.

How Supplied (HOW SUPPLIED)

Triamcinolone Acetonide Cream, USP 0.1%: tubes containing 15 g (NDC 71656-042-15), 30 g (NDC 71656-042-30), and 80 g (NDC 71656-042-80); and jars containing 454 g (NDC 71656-042-16) of cream.

Storage

Store at 20°C to 25°C (68°F to 77°F) [see USP Controlled Room Temperature]. Avoid freezing.

Distributed by:

Saptalis Pharmaceuticals, LLC.

Hauppauge, NY 11788

PPM-0032

Rev. 09/24-R2

Pediatric Use

Pediatric patients may demonstrate greater susceptibility to topical corticosteroid‑induced HPA axis suppression and Cushing’s syndrome than mature patients because of a larger skin surface area to body weight ratio.

HPA axis suppression, Cushing’s syndrome, and intracranial hypertension have been reported in children receiving topical corticosteroids. Manifestations of adrenal suppression in children include linear growth retardation, delayed weight gain, low plasma cortisol levels, and absence of response to ACTH stimulation. Manifestations of intracranial hypertension include bulging fontanelles, headaches, and bilateral papilledema.

Administration of topical corticosteroids to children should be limited to the least amount compatible with an effective therapeutic regimen. Chronic corticosteroid therapy may interfere with the growth and development of children.

Nursing Mothers

It is not known whether topical administration of corticosteroids could result in sufficient systemic absorption to produce detectable quantities in breast milk. Systemically administered corticosteroids are secreted into breast milk in quantities notlikely to have a deleterious effect on the infant. Nevertheless, caution should be exercised when topical corticosteroids are administered to a nursing woman.

Laboratory Tests

A urinary free cortisol test and ACTH stimulation test may be helpful in evaluating HPA axis suppression.

Pharmacokinetics

The extent of percutaneous absorption of topical corticosteroids is determined by many factors including the vehicle, the integrity of the epidermal barrier, and the use of occlusive dressings.

Topical corticosteroids can be absorbed from normal intact skin. Inflammation and/or other disease processes in the skin increase percutaneous absorption. Occlusive dressings substantially increase the percutaneous absorption of topical corticosteroids. Thus, occlusive dressings may be a valuable therapeutic adjunct for treatment of resistant dermatoses (see  DOSAGE AND ADMINISTRATION ).

Once absorbed through the skin, topical corticosteroids are handled through pharmacokinetic pathways similar to systemically administered corticosteroids. Corticosteroids are bound to plasma proteins in varying degrees. Corticosteroids are metabolized primarily in the liver and are then excreted by the kidneys. Some of the topical corticosteroids and their metabolites are also excreted into the bile.

Adverse Reactions (ADVERSE REACTIONS)

The following local adverse reactions are reported infrequently with topical corticosteroids, but may occur more frequently with the use of occlusive dressings. These reactions are listed in an approximate decreasing order of occurrence: burning, itching, irritation, dryness, folliculitis, hypertrichosis, acneiform eruptions, hypopigmentation, perioral dermatitis, allergic contact dermatitis, maceration of the skin, secondary infection, skin atrophy, striae, and miliaria.

To report SUSPECTED ADVERSE REACTIONS, contact Saptalis Pharmaceuticals, LLC. at 1-833-727-8254 or FDA at 1-­800‑FDA‑1088 or www.fda.gov/medwatch.

Contraindications (CONTRAINDICATIONS)

Topical corticosteroids are contraindicated in those patients with a history of hypersensitivity to any of the components of the preparations.

Clinical Pharmacology (CLINICAL PHARMACOLOGY)

Topical corticosteroids share anti-inflammatory, antipruritic and vasoconstrictive actions.

The mechanism of anti-inflammatory activity of the topical corticosteroids is unclear. Various laboratory methods, including vasoconstrictor assays, are used to compare and predict potencies and/or clinical efficacies of the topical corticosteroids. There is some evidence to suggest that a recognizable correlation exists between vasoconstrictor potency and therapeutic efficacy in man.

Indications And usage (INDICATIONS AND USAGE)

Triamcinolone acetonide cream, USP 0.1% is indicated for the relief of the inflammatory and pruritic manifestations of corticosteroid-responsive dermatoses.

Dosage and Administration (DOSAGE AND ADMINISTRATION)

Apply triamcinolone acetonide cream, USP 0.1% to the affected area two to three times daily. Rub in gently.

Information for the Patients

Patients using topical corticosteroids should receive the following information and instructions:

  • This medication is to be used as directed by the physician. It is for external use only. Avoid contact with the eyes.
  • Patients should be advised not to use this medication for any disorder other than for which it was prescribed.
  • The treated skin area should not be bandaged or otherwise covered or wrapped as to be occlusive unless directed by the physician.
  • Patients should report any signs of local adverse reactions especially under occlusive dressing.
  • Parents of pediatric patients should be advised not to use tight‑fitting diapers or plastic pants on a child being treated in the diaper area, as these garments may constitute occlusive dressings.
Occlusive Dressing Technique

Occlusive dressings may be used for the management of psoriasis or other recalcitrant conditions. Gently rub a small amount of cream into the lesion until it disappears. Reapply the preparation leaving a thin coating on the lesion, cover with a pliable nonporous film, and seal the edges. If needed, additional moisture may be provided by covering the lesion with a dampened clean cotton cloth before the nonporous film is applied or by briefly wetting the affected area with water immediately prior to applying the medication. The frequency of changing dressings is best determined on an individual basis. It may be convenient to apply triamcinolone acetonide cream under an occlusive dressing in the evening and to remove the dressing in the morning (i.e., 12-hour occlusion). When utilizing the 12-hour occlusion regimen, additional cream should be applied, without occlusion, during the day. Reapplication is essential at each dressing change.

If an infection develops, the use of occlusive dressings should be discontinued and appropriate antimicrobial therapy instituted.

Triamcinolone Acetonide Cream 0.1% 15 G (Triamcinolone Acetonide Cream 0.1% - 15 g)

Carton

NDC 71656-042-15

Triamcinolone Acetonide Cream, USP 0.1%

Rx only

NET WT 15g

Tube

NDC 71656-042-15

Triamcinolone Acetonide Cream, USP 0.1%

Rx only

NET WT 15g

Triamcinolone Acetonide Cream 0.1% 30 G (Triamcinolone Acetonide Cream 0.1% - 30 g)

Carton

NDC 71656-042-30

Triamcinolone Acetonide Cream, USP 0.1%

Rx only

NET WT 30g

Tube

NDC 71656-042-30

Triamcinolone Acetonide Cream, USP 0.1%

Rx only

NET WT 30g

Triamcinolone Acetonide Cream 0.1% 80 G (Triamcinolone Acetonide Cream 0.1% - 80 g)

Carton

NDC 71656-042-80

Triamcinolone Acetonide Cream, USP 0.1%

Rx only

NET WT 80g

Tube

NDC 71656-042-80

Triamcinolone Acetonide Cream, USP 0.1%

Rx only

NET WT 80g

Triamcinolone Acetonide Cream 0.1% 454 G (Triamcinolone Acetonide Cream 0.1% - 454 g)

Jar

NDC 71656-042-16

Triamcinolone Acetonide Cream, USP 0.1%

Rx only

NET WT 454g

Carcinogenesis, Mutagenesis, and Impairment of Fertility

Long-term animal studies have not been performed to evaluate the carcinogenic potential or the effect on fertility of topical corticosteroids.

Studies to determine mutagenicity with prednisolone and hydrocortisone showed negative results.


Advanced Ingredient Data


Raw Label Data

All Sections (JSON)