These Highlights Do Not Include All The Information Needed To Use Decitabine For Injection Safely And Effectively. See Full Prescribing Information For Decitabine For Injection.

These Highlights Do Not Include All The Information Needed To Use Decitabine For Injection Safely And Effectively. See Full Prescribing Information For Decitabine For Injection.
SPL v2
SPL
SPL Set ID 8c5d6067-16a1-43ab-9e52-a33c600a5c44
Route
INTRAVENOUS
Published
Effective Date 2022-02-21
Document Type 34391-3 HUMAN PRESCRIPTION DRUG LABEL

Drug Facts

Composition & Product

Active Ingredients
Decitabine (50 mg)
Inactive Ingredients
Potassium Phosphate, Monobasic Sodium Hydroxide Hydrochloric Acid

Identifiers & Packaging

Marketing Status
ANDA Active Since 2022-04-15

Description

Decitabine for Injection is indicated for treatment of adult patients with myelodysplastic syndromes (MDS) including previously treated and untreated, de novo and secondary MDS of all French-American-British subtypes (refractory anemia, refractory anemia with ringed sideroblasts, refractory anemia with excess blasts, refractory anemia with excess blasts in transformation, and chronic myelomonocytic leukemia) and intermediate-1, intermediate-2, and high-risk International Prognostic Scoring System groups.

Indications and Usage

Decitabine for Injection is indicated for treatment of adult patients with myelodysplastic syndromes (MDS) including previously treated and untreated, de novo and secondary MDS of all French-American-British subtypes (refractory anemia, refractory anemia with ringed sideroblasts, refractory anemia with excess blasts, refractory anemia with excess blasts in transformation, and chronic myelomonocytic leukemia) and intermediate-1, intermediate-2, and high-risk International Prognostic Scoring System groups.

Dosage and Administration

Three Day Regimen:  Administer decitabine for injection at a dose of 15 mg/m 2 by continuous intravenous infusion over 3 hours repeated every 8 hours for 3 days. Repeat cycle every 6 weeks. ( 2.1 ) Five Day Regimen:  Administer decitabine for injection at a dose of 20 mg/m 2 by continuous intravenous infusion over 1 hour repeated daily for 5 days. Repeat cycle every 4 weeks. ( 2.1 )

Warnings and Precautions

Neutropenia and Thrombocytopenia: Perform complete blood counts and platelet counts. ( 5.1 ) Embryo-Fetal Toxicity: Can cause fetal harm. Advise patients of reproductive potential of the potential risk to a fetus and to use effective contraception ( 5.2 , 8.1 ,  8.3 )

Contraindications

None.

Adverse Reactions

Most common adverse reactions (>50%) are neutropenia, thrombocytopenia, anemia, and pyrexia. ( 6.1 ) To report SUSPECTED ADVERSE REACTIONS, contact Hikma Pharmaceuticals USA Inc. at 1-877-845-0689 or FDA at 1-800-FDA-1088 or www.fda.gov/medwatch.

Drug Interactions

Drug interaction studies with decitabine have not been conducted. In vitro studies in human liver microsomes suggest that decitabine is unlikely to inhibit or induce cytochrome P450 enzymes. In vitro metabolism studies have suggested that decitabine is not a substrate for human liver cytochrome P450 enzymes. As plasma protein binding of decitabine is negligible (<1%), interactions due to displacement of more highly protein bound drugs from plasma proteins are not expected.

Storage and Handling

Decitabine for Injection is a sterile, white to almost white lyophilized powder for intravenous use supplied as: NDC 0143-9385-01, 50 mg single dose vial individually packaged in a carton.

How Supplied

Decitabine for Injection is a sterile, white to almost white lyophilized powder for intravenous use supplied as: NDC 0143-9385-01, 50 mg single dose vial individually packaged in a carton.


Medication Information

Warnings and Precautions

Neutropenia and Thrombocytopenia: Perform complete blood counts and platelet counts. ( 5.1 ) Embryo-Fetal Toxicity: Can cause fetal harm. Advise patients of reproductive potential of the potential risk to a fetus and to use effective contraception ( 5.2 , 8.1 ,  8.3 )

Indications and Usage

Decitabine for Injection is indicated for treatment of adult patients with myelodysplastic syndromes (MDS) including previously treated and untreated, de novo and secondary MDS of all French-American-British subtypes (refractory anemia, refractory anemia with ringed sideroblasts, refractory anemia with excess blasts, refractory anemia with excess blasts in transformation, and chronic myelomonocytic leukemia) and intermediate-1, intermediate-2, and high-risk International Prognostic Scoring System groups.

Dosage and Administration

Three Day Regimen:  Administer decitabine for injection at a dose of 15 mg/m 2 by continuous intravenous infusion over 3 hours repeated every 8 hours for 3 days. Repeat cycle every 6 weeks. ( 2.1 ) Five Day Regimen:  Administer decitabine for injection at a dose of 20 mg/m 2 by continuous intravenous infusion over 1 hour repeated daily for 5 days. Repeat cycle every 4 weeks. ( 2.1 )

Contraindications

None.

Adverse Reactions

Most common adverse reactions (>50%) are neutropenia, thrombocytopenia, anemia, and pyrexia. ( 6.1 ) To report SUSPECTED ADVERSE REACTIONS, contact Hikma Pharmaceuticals USA Inc. at 1-877-845-0689 or FDA at 1-800-FDA-1088 or www.fda.gov/medwatch.

Drug Interactions

Drug interaction studies with decitabine have not been conducted. In vitro studies in human liver microsomes suggest that decitabine is unlikely to inhibit or induce cytochrome P450 enzymes. In vitro metabolism studies have suggested that decitabine is not a substrate for human liver cytochrome P450 enzymes. As plasma protein binding of decitabine is negligible (<1%), interactions due to displacement of more highly protein bound drugs from plasma proteins are not expected.

Storage and Handling

Decitabine for Injection is a sterile, white to almost white lyophilized powder for intravenous use supplied as: NDC 0143-9385-01, 50 mg single dose vial individually packaged in a carton.

How Supplied

Decitabine for Injection is a sterile, white to almost white lyophilized powder for intravenous use supplied as: NDC 0143-9385-01, 50 mg single dose vial individually packaged in a carton.

Description

Decitabine for Injection is indicated for treatment of adult patients with myelodysplastic syndromes (MDS) including previously treated and untreated, de novo and secondary MDS of all French-American-British subtypes (refractory anemia, refractory anemia with ringed sideroblasts, refractory anemia with excess blasts, refractory anemia with excess blasts in transformation, and chronic myelomonocytic leukemia) and intermediate-1, intermediate-2, and high-risk International Prognostic Scoring System groups.

Section 42229-5

Pre-Medications and Baseline Testing

  • Consider pre-medicating for nausea with antiemetics.
  • Conduct baseline laboratory testing: complete blood count (CBC) with platelets, serum hepatic panel, and serum creatinine.
Section 44425-7

Store vials at 20°C to 25°C (68°F to 77°F); excursions permitted between 15°C to 30°C (59°F to 86°F) [See USP Controlled Room Temperature].

Discard unused portion.

10 Overdosage

There is no known antidote for overdosage with decitabine. Higher doses are associated with increased myelosuppression including prolonged neutropenia and thrombocytopenia. Standard supportive measures should be taken in the event of an overdose.

15 References
  • "OSHA Hazardous Drugs." OSHA. http://www.osha.gov/SLTC/hazardousdrugs/index.html
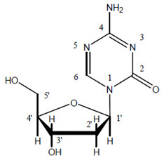
11 Description

Decitabine is a nucleoside metabolic inhibitor. Decitabine is a fine, white to almost white powder with the molecular formula of C8H12N4O4 and a molecular weight of 228.21. Its chemical name is 4-amino-1-(2-deoxy-β-D-erythro-pentofuranosyl)-1,3,5-triazin-2(1H)-one and it has the following structural formula:

Decitabine is slightly soluble in ethanol/water (50/50), methanol/water (50/50) and methanol; sparingly soluble in water and soluble in dimethylsulfoxide (DMSO).

Decitabine for Injection, for intravenous use, is a sterile, white to almost white lyophilized powder supplied in a clear colorless glass single-dose vial. Each single-dose glass vial contains 50 mg decitabine, 68 mg monobasic potassium phosphate (potassium dihydrogen phosphate) and 11.6 mg sodium hydroxide. Sodium hydroxide and/or hydrochloric acid are used for pH adjustment.

8.4 Pediatric Use

The safety and effectiveness of decitabine in pediatric patients have not been established.

8.5 Geriatric Use

Of the total number of patients exposed to decitabine in the controlled clinical trial, 61 of 83 patients were age 65 years and over, while 21 of 83 patients were age 75 years and over. No overall differences in safety or effectiveness were observed between these subjects and younger subjects, and other reported clinical experience has not identified differences in responses between the elderly and younger patients, but greater sensitivity of some older individuals cannot be ruled out.

4 Contraindications

None.

6 Adverse Reactions

Most common adverse reactions (>50%) are neutropenia, thrombocytopenia, anemia, and pyrexia. (6.1)

To report SUSPECTED ADVERSE REACTIONS, contact Hikma Pharmaceuticals USA Inc. at 1-877-845-0689 or FDA at 1-800-FDA-1088 or www.fda.gov/medwatch.

7 Drug Interactions

Drug interaction studies with decitabine have not been conducted. In vitro studies in human liver microsomes suggest that decitabine is unlikely to inhibit or induce cytochrome P450 enzymes. In vitro metabolism studies have suggested that decitabine is not a substrate for human liver cytochrome P450 enzymes. As plasma protein binding of decitabine is negligible (<1%), interactions due to displacement of more highly protein bound drugs from plasma proteins are not expected.

5.1 Myelosuppression

Fatal and serious myelosuppression occurs in decitabine-treated patients. Myelosuppression (anemia, neutropenia, and thrombocytopenia) is the most frequent cause of decitabine dose reduction, delay, and discontinuation. Neutropenia of any grade occurred in 90% of decitabine-treated patients with grade 3 or 4 occurring in 87% of patients. Grade 3 or 4 febrile neutropenia occurred in 23% of patients. Thrombocytopenia of any grade occurred in 89% of patients with grade 3 or 4 occurring in 85% of patients. Anemia of any grade occurred in 82% of patients. Perform complete blood count with platelets at baseline, prior to each cycle, and as needed to monitor response and toxicity. Manage toxicity using dose-delay, dose-reduction, growth factors, and anti-infective therapies as needed [see Dosage and Administration (2.2)] . Myelosuppression and worsening neutropenia may occur more frequently in the first or second treatment cycles and may not necessarily indicate progression of underlying MDS.

12.2 Pharmacodynamics

Decitabine has been shown to induce hypomethylation both in vitro and in vivo. However, there have been no studies of decitabine-induced hypomethylation and pharmacokinetic parameters.

12.3 Pharmacokinetics

Pharmacokinetic (PK) parameters were evaluated in patients. Eleven patients received 20 mg/m2 infused over 1 hour intravenously (treatment Option 2). Fourteen patients received 15 mg/m2 infused over 3 hours intravenously (treatment Option 1). PK parameters are shown in Table 3. Plasma concentration-time profiles after discontinuation of infusion showed a biexponential decline. The clearance (CL) of decitabine was higher following treatment Option 2. Upon repeat doses, there was no systemic accumulation of decitabine or any changes in PK parameters. Population PK analysis (N=35) showed that the cumulative AUC per cycle for treatment Option 2 was 2.3-fold lower than the cumulative AUC per cycle following treatment Option 1.

Table 3 Mean (CV% or 95% CI) Pharmacokinetic Parameters of Decitabine
Dose C max

(ng/mL)
AUC 0-INF

(ng∙h/mL)
T 1/2

(h)
CL

(L/h/m2)
AUC Cumulative
N=35 Cumulative AUC per cycle


(ng∙h/mL)
15 mg/m2 3-hr infusion every 8 hours for 3 days

(Option 1)
N=14
73.8

(66)
163

(62)
0.62

(49)
125

(53)
1332

(1010-1730)
20 mg/m2 1-hr infusion daily for 5 days

(Option 2)
N=11
147

(49)
115

(43)
0.54

(43)
210

(47)
570

(470-700)

The exact route of elimination and metabolic fate of decitabine is not known in humans. One of the pathways of elimination of decitabine appears to be deamination by cytidine deaminase found principally in the liver but also in granulocytes, intestinal epithelium and whole blood.

1 Indications and Usage

Decitabine for Injection is indicated for treatment of adult patients with myelodysplastic syndromes (MDS) including previously treated and untreated, de novo and secondary MDS of all French-American-British subtypes (refractory anemia, refractory anemia with ringed sideroblasts, refractory anemia with excess blasts, refractory anemia with excess blasts in transformation, and chronic myelomonocytic leukemia) and intermediate-1, intermediate-2, and high-risk International Prognostic Scoring System groups.

Principal Display Panel

NDC 0143-9385-01

Rx only

Decitabine

for Injection 

50 mg per vial

For Intravenous Infusion ONLY 

WARNING: Cytotoxic Agent

Single Dose Sterile Vial

Discard unused portion

 

NDC 0143-9385-01

Rx only

Decitabine

  for Injection 

  50 mg per vial

  For Intravenous Infusion

  ONLY 

  WARNING: Cytotoxic Agent

  Single Dose Sterile Vial

  Discard unused portion

   

12.1 Mechanism of Action

Decitabine is believed to exert its antineoplastic effects after phosphorylation and direct incorporation into DNA and inhibition of DNA methyltransferase, causing hypomethylation of DNA and cellular differentiation or apoptosis. Decitabine inhibits DNA methylation in vitro, which is achieved at concentrations that do not cause major suppression of DNA synthesis. Decitabine-induced hypomethylation in neoplastic cells may restore normal function to genes that are critical for the control of cellular differentiation and proliferation. In rapidly dividing cells, the cytotoxicity of decitabine may also be attributed to the formation of covalent adducts between DNA methyltransferase and decitabine incorporated into DNA. Non-proliferating cells are relatively insensitive to decitabine.

5.2 Embryo Fetal Toxicity

Based on findings from human data, animal studies and its mechanism of action, decitabine can cause fetal harm when administered to a pregnant woman [see Clinical Pharmacology (12.1) and Nonclinical Toxicology (13.1)]. In preclinical studies in mice and rats, decitabine caused adverse developmental outcomes including embryo-fetal lethality and malformations. Advise pregnant women of the potential risk to a fetus. Advise females of reproductive potential to use effective contraception while receiving decitabine and for 6 months following the last dose. Advise males with female partners of reproductive potential to use effective contraception while receiving treatment with decitabine and for 3 months following the last dose [see Use in Specific Populations (8.1, 8.3)].

5 Warnings and Precautions
  • Neutropenia and Thrombocytopenia: Perform complete blood counts and platelet counts. (5.1)
  • Embryo-Fetal Toxicity: Can cause fetal harm. Advise patients of reproductive potential of the potential risk to a fetus and to use effective contraception (5.2, 8.18.3)
2 Dosage and Administration
  • Three Day Regimen: Administer decitabine for injection at a dose of 15 mg/m2 by continuous intravenous infusion over 3 hours repeated every 8 hours for 3 days. Repeat cycle every 6 weeks. (2.1)
  • Five Day Regimen: Administer decitabine for injection at a dose of 20 mg/m2 by continuous intravenous infusion over 1 hour repeated daily for 5 days. Repeat cycle every 4 weeks. (2.1)
3 Dosage Forms and Strengths

For Injection: 50 mg of decitabine as a lyophilized powder in a single-dose vial for reconstitution. (3)

6.2 Postmarketing Experience

The following adverse reactions have been identified during post-approval use of decitabine. Because these reactions are reported voluntarily from a population of uncertain size, it is not always possible to reliably estimate their frequency or establish a causal relationship to drug exposure.

  • Sweet's syndrome (acute febrile neutrophilic dermatosis)
  • Differentiation syndrome
  • Interstitial lung disease
8 Use in Specific Populations

Lactation: Advise not to breastfeed. ( 8.2)

6.1 Clinical Trials Experience

Because clinical trials are conducted under widely varying conditions, adverse reaction rates observed in the clinical trials of a drug cannot be directly compared to rates in the clinical trials of another drug and may not reflect the rates observed in practice.

The safety of decitabine was studied in 3 single-arm studies (N =66, N =98, N =99) and 1 controlled supportive care study (N =83 decitabine, N =81 supportive care). The data described below reflect exposure to decitabine in 83 patients in the MDS trial. In the trial, patients received 15 mg/m2 intravenously every 8 hours for 3 days every 6 weeks. The median number of decitabine cycles was 3 (range 0 to 9).

Most Common Adverse Reactions: neutropenia, thrombocytopenia, anemia, fatigue, pyrexia, nausea, cough, petechiae, constipation, diarrhea, and hyperglycemia.

17 Patient Counseling Information

Myelosuppression

Advise patients of the risk of myelosuppression and to report any symptoms of infection, anemia, or bleeding to their healthcare provider as soon as possible. Advise patients for the need for laboratory monitoring [see Warnings and Precautions (5.1)].

Embryo-Fetal Toxicity

Advise pregnant women of the potential risk to a fetus. Advise females of reproductive potential to inform their healthcare provider of a known or suspected pregnancy [see Warnings and Precautions (5.2) and Use in Specific Populations (8.1)].

Advise females of reproductive potential to use effective contraception while receiving Decitabine for Injection and for 6 months after last dose [see Use in Specific Populations (8.3)].

Advise males with female partners of reproductive potential to use effective contraception while receiving treatment with Decitabine for Injection and for 3 months after the last dose [see Use in Specific Populations (8.3) and Nonclinical Toxicology (13.1)].

Lactation

Advise women to avoid breastfeeding while receiving Decitabine for Injection and for at least 2 weeks after the last dose [see Use in Specific Populations (8.2)].

2.3 Preparation and Administration

Decitabine for injection is a cytotoxic drug. Follow special handling and disposal procedures.1

Aseptically reconstitute decitabine for injection with room temperature (20°C to 25°C) 10 mL of Sterile Water for Injection, USP. Upon reconstitution, the final concentration of the reconstituted decitabine for injection solution is 5 mg/mL. You must dilute the reconstituted solution with 0.9% Sodium Chloride Injection or 5% Dextrose Injection prior to administration. Temperature of the diluent (0.9% Sodium Chloride Injection or 5% Dextrose Injection) depends on time of administration after preparation.

16 How Supplied/storage and Handling

Decitabine for Injection is a sterile, white to almost white lyophilized powder for intravenous use supplied as:

NDC 0143-9385-01, 50 mg single dose vial individually packaged in a carton.

14.1 Controlled Trial in Myelodysplastic Syndrome

A randomized open-label, multicenter, controlled trial evaluated 170 adult patients with myelodysplastic syndromes (MDS) meeting French-American-British (FAB) classification criteria and International Prognostic Scoring System (IPSS) High-Risk, Intermediate-2 and Intermediate-1 prognostic scores. Eighty-nine patients were randomized to decitabine therapy plus supportive care (only 83 received decitabine), and 81 to Supportive Care (SC) alone. Patients with Acute Myeloid Leukemia (AML) were not intended to be included. Of the 170 patients included in the study, independent review (adjudicated diagnosis) found that 12 patients (9 in the decitabine arm and 3 in the SC arm) had the diagnosis of AML at baseline. Baseline demographics and other patient characteristics in the Intent-to-Treat (ITT) population were similar between the 2 groups, as shown in Table 4.

Table 4 Baseline Demographics and Other Patient Characteristics (ITT)
Demographic or Other Patient Characteristic Decitabine

N =89
Supportive Care

N =81
Age (years)
Mean (±SD) 69±10 67±10
Median (IQR) 70 (65-76) 70 (62-74)
(Range: min-max) (31-85) (30-82)
Sex n (%)
Male 59 (66) 57 (70)
Female 30 (34) 24 (30)
Race n (%)
White 83 (93) 76 (94)
Black 4 (4) 2 (2)
Other 2 (2) 3 (4)
Weeks Since MDS Diagnosis
Mean (±SD) 86±131 77±119
Median (IQR) 29 (10-87) 35 (7-98)
(Range: min-max) (2-667) (2-865)
Previous MDS Therapy n (%)
Yes 27 (30) 19 (23)
No 62 (70) 62 (77)
RBC Transfusion Status n (%)
Independent 23 (26) 27 (33)
Dependent 66 (74) 54 (67)
Platelet Transfusion Status n (%)
Independent 69 (78) 62 (77)
Dependent 20 (22) 19 (23)
IPSS Classification n (%)
Intermediate-1 28 (31) 24 (30)
Intermediate-2 38 (43) 36 (44)
High Risk 23 (26) 21 (26)
FAB Classification n (%)
RA 12 (13) 12 (15)
RARS 7 (8) 4 (5)
RAEB 47 (53) 43 (53)
RAEB-t 17 (19) 14 (17)
CMML 6 (7) 8 (10)

Patients randomized to the decitabine arm received decitabine intravenously infused at a dose of 15 mg/m2 over a 3-hour period, every 8 hours, for 3 consecutive days. This cycle was repeated every 6 weeks, depending on the patient's clinical response and toxicity. Supportive care consisted of blood and blood product transfusions, prophylactic antibiotics, and hematopoietic growth factors. The study endpoints were overall response rate (complete response + partial response) and time to AML or death. Responses were classified using the MDS International Working Group (IWG) criteria; patients were required to be RBC and platelet transfusion independent during the time of response. Response criteria are given in Table 5.

Table 5 Response Criteria for the Controlled Trial in MDS
Cheson BD, Bennett JM, et al. Report of an International Working Group to Standardize Response Criteria for MDS. Blood. 2000; 96:3671-3674.
Complete Response (CR)

≥8 weeks
Bone Marrow On repeat aspirates:
  • <5% myeloblasts
  • No dysplastic changes
Peripheral Blood In all samples during response:
  • Hgb >11 g/dL (no transfusions or erythropoietin
  • ANC ≥1500/μL (no growth factor)
  • Platelets ≥100,000/μL (no thrombopoietic agent)
  • No blasts and no dysplasia
Partial Response (PR)

≥8 weeks
Bone Marrow On repeat aspirates:
  • ≥50% decrease in blasts over pretreatment values OR
  • Improvement to a less advanced MDS FAB classification
Peripheral Blood Same as for CR

The overall response rate (CR+PR) in the ITT population was 17% in decitabine-treated patients and 0% in the SC group (p<0.001) (see Table 6). The overall response rate was 21% (12/56) in decitabine-treated patients considered evaluable for response (i.e., those patients with pathologically confirmed MDS at baseline who received at least 2 cycles of treatment). The median duration of response (range) for patients who responded to decitabine was 288 days (116-388) and median time to response (range) was 93 days (55-272). All but one of the decitabine-treated patients who responded did so by the fourth cycle. Benefit was seen in an additional 13% of decitabine-treated patients who had hematologic improvement, defined as a response less than PR lasting at least 8 weeks, compared to 7% of SC patients. Decitabine treatment did not significantly delay the median time to AML or death versus supportive care.

Table 6 Analysis of Response (ITT)
Parameter Decitabine 

N=89
Supportive Care

N=81
Overall Response Rate (CR+PR)
In the statistical analysis plan, a p-value of ≤0.024 was required to achieve statistical significance.
15 (17%)
p-value <0.001 from two-sided Fisher's Exact Test comparing Decitabine vs. Supportive Care.
0 (0%)
  Complete Response (CR) 8 (9%) 0 (0%)
  Partial Response (PR) 7 (8%) 0 (0%)
Duration of Response
  Median time to (CR+PR) response - Days (range) 93 (55-272) NA
  Median Duration of (CR+PR) response - Days (range) 288 (116-388) NA

All patients with a CR or PR were RBC and platelet transfusion independent in the absence of growth factors.

Responses occurred in patients with an adjudicated baseline diagnosis of AML.

14.2 Single Arm Studies in Myelodysplastic Syndrome

Three open-label, single-arm, multicenter studies were conducted to evaluate the safety and efficacy of decitabine in MDS patients with any of the FAB subtypes. In one study conducted in North America, 99 patients with IPSS Intermediate-1, Intermediate-2, or high-risk prognostic scores received decitabine 20 mg/m2 as an intravenous infusion over 1-hour daily, on days 1-5 of week 1, every 4 weeks (1 cycle). The results were consistent with the results of the controlled trial and are summarized in Table 8.

Table 7 Baseline Demographics and Other Patient Characteristics (ITT)
Demographic or Other Patient Characteristic Decitabine

N =99
Age (years)
Mean (±SD) 71±9
Median (Range: min-max) 72 (34-87)
Sex n (%)
Male 71 (72)
Female 28 (28)
Race n (%)
White 86 (87)
Black 6 (6)
Asian 4 (4)
Other 3 (3)
Days From MDS Diagnosis to First Dose
Mean (±SD) 444±626
Median (Range: min-max) 154 (7-3079)
Previous MDS Therapy n (%)
Yes 27 (27)
No 72 (73)
RBC Transfusion Status n (%)
Independent 33 (33)
Dependent 66 (67)
Platelet Transfusion Status n (%)
Independent 84 (85)
Dependent 15 (15)
IPSS Classification n (%)
Low Risk 1 (1)
Intermediate–1 52 (53)
Intermediate–2 23 (23)
High Risk 23 (23)
FAB Classification n (%)
RA 20 (20)
RARS 17 (17)
RAEB 45 (45)
RAEB-t 6 (6)
CMML 11 (11)
Table 8 Analysis of Response (ITT)
Cheson BD, Bennett JM, et al. Report of an International Working Group to Standardize Response Criteria for MDS. Blood. 2000; 96:3671-3674.
Parameter Decitabine

N=99
Overall Response Rate (CR+PR) 16 (16%)
  Complete Response (CR) 15 (15%)
  Partial Response (PR) 1 (1%)
Duration of Response
Median time to (CR+PR) response - Days (range) 162 (50-267)

443 (72-722
indicates censored observation
)
Median Duration of (CR+PR) response - Days (range)
13.1 Carcinogenesis, Mutagenesis and Impairment of Fertility

Carcinogenicity studies with decitabine have not been conducted.

The mutagenic potential of decitabine was tested in several in vitro and in vivo systems. Decitabine increased mutation frequency in L5178Y mouse lymphoma cells, and mutations were produced in an Escherichia coli lac-I transgene in colonic DNA of decitabine-treated mice. Decitabine caused chromosomal rearrangements in larvae of fruit flies.

In male mice given IP injections of 0.15 mg/m2, 0.3 mg/m2 or 0.45 mg/m2 decitabine (approximately 0.3% to 1% the recommended clinical dose) 3 times a week for 7 weeks, decitabine did not affect survival, body weight gain or hematological measures (hemoglobin and white blood cell counts). Testes weights were reduced, abnormal histology was observed and significant decreases in sperm number were found at doses ≥0.3 mg/m2. In females mated to males dosed with ≥0.3 mg/m2 decitabine, pregnancy rate was reduced and preimplantation loss was significantly increased.


Structured Label Content

Section 42229-5 (42229-5)

Pre-Medications and Baseline Testing

  • Consider pre-medicating for nausea with antiemetics.
  • Conduct baseline laboratory testing: complete blood count (CBC) with platelets, serum hepatic panel, and serum creatinine.
Section 44425-7 (44425-7)

Store vials at 20°C to 25°C (68°F to 77°F); excursions permitted between 15°C to 30°C (59°F to 86°F) [See USP Controlled Room Temperature].

Discard unused portion.

10 Overdosage (10 OVERDOSAGE)

There is no known antidote for overdosage with decitabine. Higher doses are associated with increased myelosuppression including prolonged neutropenia and thrombocytopenia. Standard supportive measures should be taken in the event of an overdose.

15 References (15 REFERENCES)
  • "OSHA Hazardous Drugs." OSHA. http://www.osha.gov/SLTC/hazardousdrugs/index.html
11 Description (11 DESCRIPTION)

Decitabine is a nucleoside metabolic inhibitor. Decitabine is a fine, white to almost white powder with the molecular formula of C8H12N4O4 and a molecular weight of 228.21. Its chemical name is 4-amino-1-(2-deoxy-β-D-erythro-pentofuranosyl)-1,3,5-triazin-2(1H)-one and it has the following structural formula:

Decitabine is slightly soluble in ethanol/water (50/50), methanol/water (50/50) and methanol; sparingly soluble in water and soluble in dimethylsulfoxide (DMSO).

Decitabine for Injection, for intravenous use, is a sterile, white to almost white lyophilized powder supplied in a clear colorless glass single-dose vial. Each single-dose glass vial contains 50 mg decitabine, 68 mg monobasic potassium phosphate (potassium dihydrogen phosphate) and 11.6 mg sodium hydroxide. Sodium hydroxide and/or hydrochloric acid are used for pH adjustment.

8.4 Pediatric Use

The safety and effectiveness of decitabine in pediatric patients have not been established.

8.5 Geriatric Use

Of the total number of patients exposed to decitabine in the controlled clinical trial, 61 of 83 patients were age 65 years and over, while 21 of 83 patients were age 75 years and over. No overall differences in safety or effectiveness were observed between these subjects and younger subjects, and other reported clinical experience has not identified differences in responses between the elderly and younger patients, but greater sensitivity of some older individuals cannot be ruled out.

4 Contraindications (4 CONTRAINDICATIONS)

None.

6 Adverse Reactions (6 ADVERSE REACTIONS)

Most common adverse reactions (>50%) are neutropenia, thrombocytopenia, anemia, and pyrexia. (6.1)

To report SUSPECTED ADVERSE REACTIONS, contact Hikma Pharmaceuticals USA Inc. at 1-877-845-0689 or FDA at 1-800-FDA-1088 or www.fda.gov/medwatch.

7 Drug Interactions (7 DRUG INTERACTIONS)

Drug interaction studies with decitabine have not been conducted. In vitro studies in human liver microsomes suggest that decitabine is unlikely to inhibit or induce cytochrome P450 enzymes. In vitro metabolism studies have suggested that decitabine is not a substrate for human liver cytochrome P450 enzymes. As plasma protein binding of decitabine is negligible (<1%), interactions due to displacement of more highly protein bound drugs from plasma proteins are not expected.

5.1 Myelosuppression

Fatal and serious myelosuppression occurs in decitabine-treated patients. Myelosuppression (anemia, neutropenia, and thrombocytopenia) is the most frequent cause of decitabine dose reduction, delay, and discontinuation. Neutropenia of any grade occurred in 90% of decitabine-treated patients with grade 3 or 4 occurring in 87% of patients. Grade 3 or 4 febrile neutropenia occurred in 23% of patients. Thrombocytopenia of any grade occurred in 89% of patients with grade 3 or 4 occurring in 85% of patients. Anemia of any grade occurred in 82% of patients. Perform complete blood count with platelets at baseline, prior to each cycle, and as needed to monitor response and toxicity. Manage toxicity using dose-delay, dose-reduction, growth factors, and anti-infective therapies as needed [see Dosage and Administration (2.2)] . Myelosuppression and worsening neutropenia may occur more frequently in the first or second treatment cycles and may not necessarily indicate progression of underlying MDS.

12.2 Pharmacodynamics

Decitabine has been shown to induce hypomethylation both in vitro and in vivo. However, there have been no studies of decitabine-induced hypomethylation and pharmacokinetic parameters.

12.3 Pharmacokinetics

Pharmacokinetic (PK) parameters were evaluated in patients. Eleven patients received 20 mg/m2 infused over 1 hour intravenously (treatment Option 2). Fourteen patients received 15 mg/m2 infused over 3 hours intravenously (treatment Option 1). PK parameters are shown in Table 3. Plasma concentration-time profiles after discontinuation of infusion showed a biexponential decline. The clearance (CL) of decitabine was higher following treatment Option 2. Upon repeat doses, there was no systemic accumulation of decitabine or any changes in PK parameters. Population PK analysis (N=35) showed that the cumulative AUC per cycle for treatment Option 2 was 2.3-fold lower than the cumulative AUC per cycle following treatment Option 1.

Table 3 Mean (CV% or 95% CI) Pharmacokinetic Parameters of Decitabine
Dose C max

(ng/mL)
AUC 0-INF

(ng∙h/mL)
T 1/2

(h)
CL

(L/h/m2)
AUC Cumulative
N=35 Cumulative AUC per cycle


(ng∙h/mL)
15 mg/m2 3-hr infusion every 8 hours for 3 days

(Option 1)
N=14
73.8

(66)
163

(62)
0.62

(49)
125

(53)
1332

(1010-1730)
20 mg/m2 1-hr infusion daily for 5 days

(Option 2)
N=11
147

(49)
115

(43)
0.54

(43)
210

(47)
570

(470-700)

The exact route of elimination and metabolic fate of decitabine is not known in humans. One of the pathways of elimination of decitabine appears to be deamination by cytidine deaminase found principally in the liver but also in granulocytes, intestinal epithelium and whole blood.

1 Indications and Usage (1 INDICATIONS AND USAGE)

Decitabine for Injection is indicated for treatment of adult patients with myelodysplastic syndromes (MDS) including previously treated and untreated, de novo and secondary MDS of all French-American-British subtypes (refractory anemia, refractory anemia with ringed sideroblasts, refractory anemia with excess blasts, refractory anemia with excess blasts in transformation, and chronic myelomonocytic leukemia) and intermediate-1, intermediate-2, and high-risk International Prognostic Scoring System groups.

Principal Display Panel (PRINCIPAL DISPLAY PANEL)

NDC 0143-9385-01

Rx only

Decitabine

for Injection 

50 mg per vial

For Intravenous Infusion ONLY 

WARNING: Cytotoxic Agent

Single Dose Sterile Vial

Discard unused portion

 

NDC 0143-9385-01

Rx only

Decitabine

  for Injection 

  50 mg per vial

  For Intravenous Infusion

  ONLY 

  WARNING: Cytotoxic Agent

  Single Dose Sterile Vial

  Discard unused portion

   

12.1 Mechanism of Action

Decitabine is believed to exert its antineoplastic effects after phosphorylation and direct incorporation into DNA and inhibition of DNA methyltransferase, causing hypomethylation of DNA and cellular differentiation or apoptosis. Decitabine inhibits DNA methylation in vitro, which is achieved at concentrations that do not cause major suppression of DNA synthesis. Decitabine-induced hypomethylation in neoplastic cells may restore normal function to genes that are critical for the control of cellular differentiation and proliferation. In rapidly dividing cells, the cytotoxicity of decitabine may also be attributed to the formation of covalent adducts between DNA methyltransferase and decitabine incorporated into DNA. Non-proliferating cells are relatively insensitive to decitabine.

5.2 Embryo Fetal Toxicity (5.2 Embryo-Fetal Toxicity)

Based on findings from human data, animal studies and its mechanism of action, decitabine can cause fetal harm when administered to a pregnant woman [see Clinical Pharmacology (12.1) and Nonclinical Toxicology (13.1)]. In preclinical studies in mice and rats, decitabine caused adverse developmental outcomes including embryo-fetal lethality and malformations. Advise pregnant women of the potential risk to a fetus. Advise females of reproductive potential to use effective contraception while receiving decitabine and for 6 months following the last dose. Advise males with female partners of reproductive potential to use effective contraception while receiving treatment with decitabine and for 3 months following the last dose [see Use in Specific Populations (8.1, 8.3)].

5 Warnings and Precautions (5 WARNINGS AND PRECAUTIONS)
  • Neutropenia and Thrombocytopenia: Perform complete blood counts and platelet counts. (5.1)
  • Embryo-Fetal Toxicity: Can cause fetal harm. Advise patients of reproductive potential of the potential risk to a fetus and to use effective contraception (5.2, 8.18.3)
2 Dosage and Administration (2 DOSAGE AND ADMINISTRATION)
  • Three Day Regimen: Administer decitabine for injection at a dose of 15 mg/m2 by continuous intravenous infusion over 3 hours repeated every 8 hours for 3 days. Repeat cycle every 6 weeks. (2.1)
  • Five Day Regimen: Administer decitabine for injection at a dose of 20 mg/m2 by continuous intravenous infusion over 1 hour repeated daily for 5 days. Repeat cycle every 4 weeks. (2.1)
3 Dosage Forms and Strengths (3 DOSAGE FORMS AND STRENGTHS)

For Injection: 50 mg of decitabine as a lyophilized powder in a single-dose vial for reconstitution. (3)

6.2 Postmarketing Experience

The following adverse reactions have been identified during post-approval use of decitabine. Because these reactions are reported voluntarily from a population of uncertain size, it is not always possible to reliably estimate their frequency or establish a causal relationship to drug exposure.

  • Sweet's syndrome (acute febrile neutrophilic dermatosis)
  • Differentiation syndrome
  • Interstitial lung disease
8 Use in Specific Populations (8 USE IN SPECIFIC POPULATIONS)

Lactation: Advise not to breastfeed. ( 8.2)

6.1 Clinical Trials Experience

Because clinical trials are conducted under widely varying conditions, adverse reaction rates observed in the clinical trials of a drug cannot be directly compared to rates in the clinical trials of another drug and may not reflect the rates observed in practice.

The safety of decitabine was studied in 3 single-arm studies (N =66, N =98, N =99) and 1 controlled supportive care study (N =83 decitabine, N =81 supportive care). The data described below reflect exposure to decitabine in 83 patients in the MDS trial. In the trial, patients received 15 mg/m2 intravenously every 8 hours for 3 days every 6 weeks. The median number of decitabine cycles was 3 (range 0 to 9).

Most Common Adverse Reactions: neutropenia, thrombocytopenia, anemia, fatigue, pyrexia, nausea, cough, petechiae, constipation, diarrhea, and hyperglycemia.

17 Patient Counseling Information (17 PATIENT COUNSELING INFORMATION)

Myelosuppression

Advise patients of the risk of myelosuppression and to report any symptoms of infection, anemia, or bleeding to their healthcare provider as soon as possible. Advise patients for the need for laboratory monitoring [see Warnings and Precautions (5.1)].

Embryo-Fetal Toxicity

Advise pregnant women of the potential risk to a fetus. Advise females of reproductive potential to inform their healthcare provider of a known or suspected pregnancy [see Warnings and Precautions (5.2) and Use in Specific Populations (8.1)].

Advise females of reproductive potential to use effective contraception while receiving Decitabine for Injection and for 6 months after last dose [see Use in Specific Populations (8.3)].

Advise males with female partners of reproductive potential to use effective contraception while receiving treatment with Decitabine for Injection and for 3 months after the last dose [see Use in Specific Populations (8.3) and Nonclinical Toxicology (13.1)].

Lactation

Advise women to avoid breastfeeding while receiving Decitabine for Injection and for at least 2 weeks after the last dose [see Use in Specific Populations (8.2)].

2.3 Preparation and Administration

Decitabine for injection is a cytotoxic drug. Follow special handling and disposal procedures.1

Aseptically reconstitute decitabine for injection with room temperature (20°C to 25°C) 10 mL of Sterile Water for Injection, USP. Upon reconstitution, the final concentration of the reconstituted decitabine for injection solution is 5 mg/mL. You must dilute the reconstituted solution with 0.9% Sodium Chloride Injection or 5% Dextrose Injection prior to administration. Temperature of the diluent (0.9% Sodium Chloride Injection or 5% Dextrose Injection) depends on time of administration after preparation.

16 How Supplied/storage and Handling (16 HOW SUPPLIED/STORAGE AND HANDLING)

Decitabine for Injection is a sterile, white to almost white lyophilized powder for intravenous use supplied as:

NDC 0143-9385-01, 50 mg single dose vial individually packaged in a carton.

14.1 Controlled Trial in Myelodysplastic Syndrome

A randomized open-label, multicenter, controlled trial evaluated 170 adult patients with myelodysplastic syndromes (MDS) meeting French-American-British (FAB) classification criteria and International Prognostic Scoring System (IPSS) High-Risk, Intermediate-2 and Intermediate-1 prognostic scores. Eighty-nine patients were randomized to decitabine therapy plus supportive care (only 83 received decitabine), and 81 to Supportive Care (SC) alone. Patients with Acute Myeloid Leukemia (AML) were not intended to be included. Of the 170 patients included in the study, independent review (adjudicated diagnosis) found that 12 patients (9 in the decitabine arm and 3 in the SC arm) had the diagnosis of AML at baseline. Baseline demographics and other patient characteristics in the Intent-to-Treat (ITT) population were similar between the 2 groups, as shown in Table 4.

Table 4 Baseline Demographics and Other Patient Characteristics (ITT)
Demographic or Other Patient Characteristic Decitabine

N =89
Supportive Care

N =81
Age (years)
Mean (±SD) 69±10 67±10
Median (IQR) 70 (65-76) 70 (62-74)
(Range: min-max) (31-85) (30-82)
Sex n (%)
Male 59 (66) 57 (70)
Female 30 (34) 24 (30)
Race n (%)
White 83 (93) 76 (94)
Black 4 (4) 2 (2)
Other 2 (2) 3 (4)
Weeks Since MDS Diagnosis
Mean (±SD) 86±131 77±119
Median (IQR) 29 (10-87) 35 (7-98)
(Range: min-max) (2-667) (2-865)
Previous MDS Therapy n (%)
Yes 27 (30) 19 (23)
No 62 (70) 62 (77)
RBC Transfusion Status n (%)
Independent 23 (26) 27 (33)
Dependent 66 (74) 54 (67)
Platelet Transfusion Status n (%)
Independent 69 (78) 62 (77)
Dependent 20 (22) 19 (23)
IPSS Classification n (%)
Intermediate-1 28 (31) 24 (30)
Intermediate-2 38 (43) 36 (44)
High Risk 23 (26) 21 (26)
FAB Classification n (%)
RA 12 (13) 12 (15)
RARS 7 (8) 4 (5)
RAEB 47 (53) 43 (53)
RAEB-t 17 (19) 14 (17)
CMML 6 (7) 8 (10)

Patients randomized to the decitabine arm received decitabine intravenously infused at a dose of 15 mg/m2 over a 3-hour period, every 8 hours, for 3 consecutive days. This cycle was repeated every 6 weeks, depending on the patient's clinical response and toxicity. Supportive care consisted of blood and blood product transfusions, prophylactic antibiotics, and hematopoietic growth factors. The study endpoints were overall response rate (complete response + partial response) and time to AML or death. Responses were classified using the MDS International Working Group (IWG) criteria; patients were required to be RBC and platelet transfusion independent during the time of response. Response criteria are given in Table 5.

Table 5 Response Criteria for the Controlled Trial in MDS
Cheson BD, Bennett JM, et al. Report of an International Working Group to Standardize Response Criteria for MDS. Blood. 2000; 96:3671-3674.
Complete Response (CR)

≥8 weeks
Bone Marrow On repeat aspirates:
  • <5% myeloblasts
  • No dysplastic changes
Peripheral Blood In all samples during response:
  • Hgb >11 g/dL (no transfusions or erythropoietin
  • ANC ≥1500/μL (no growth factor)
  • Platelets ≥100,000/μL (no thrombopoietic agent)
  • No blasts and no dysplasia
Partial Response (PR)

≥8 weeks
Bone Marrow On repeat aspirates:
  • ≥50% decrease in blasts over pretreatment values OR
  • Improvement to a less advanced MDS FAB classification
Peripheral Blood Same as for CR

The overall response rate (CR+PR) in the ITT population was 17% in decitabine-treated patients and 0% in the SC group (p<0.001) (see Table 6). The overall response rate was 21% (12/56) in decitabine-treated patients considered evaluable for response (i.e., those patients with pathologically confirmed MDS at baseline who received at least 2 cycles of treatment). The median duration of response (range) for patients who responded to decitabine was 288 days (116-388) and median time to response (range) was 93 days (55-272). All but one of the decitabine-treated patients who responded did so by the fourth cycle. Benefit was seen in an additional 13% of decitabine-treated patients who had hematologic improvement, defined as a response less than PR lasting at least 8 weeks, compared to 7% of SC patients. Decitabine treatment did not significantly delay the median time to AML or death versus supportive care.

Table 6 Analysis of Response (ITT)
Parameter Decitabine 

N=89
Supportive Care

N=81
Overall Response Rate (CR+PR)
In the statistical analysis plan, a p-value of ≤0.024 was required to achieve statistical significance.
15 (17%)
p-value <0.001 from two-sided Fisher's Exact Test comparing Decitabine vs. Supportive Care.
0 (0%)
  Complete Response (CR) 8 (9%) 0 (0%)
  Partial Response (PR) 7 (8%) 0 (0%)
Duration of Response
  Median time to (CR+PR) response - Days (range) 93 (55-272) NA
  Median Duration of (CR+PR) response - Days (range) 288 (116-388) NA

All patients with a CR or PR were RBC and platelet transfusion independent in the absence of growth factors.

Responses occurred in patients with an adjudicated baseline diagnosis of AML.

14.2 Single Arm Studies in Myelodysplastic Syndrome (14.2 Single-arm Studies in Myelodysplastic Syndrome)

Three open-label, single-arm, multicenter studies were conducted to evaluate the safety and efficacy of decitabine in MDS patients with any of the FAB subtypes. In one study conducted in North America, 99 patients with IPSS Intermediate-1, Intermediate-2, or high-risk prognostic scores received decitabine 20 mg/m2 as an intravenous infusion over 1-hour daily, on days 1-5 of week 1, every 4 weeks (1 cycle). The results were consistent with the results of the controlled trial and are summarized in Table 8.

Table 7 Baseline Demographics and Other Patient Characteristics (ITT)
Demographic or Other Patient Characteristic Decitabine

N =99
Age (years)
Mean (±SD) 71±9
Median (Range: min-max) 72 (34-87)
Sex n (%)
Male 71 (72)
Female 28 (28)
Race n (%)
White 86 (87)
Black 6 (6)
Asian 4 (4)
Other 3 (3)
Days From MDS Diagnosis to First Dose
Mean (±SD) 444±626
Median (Range: min-max) 154 (7-3079)
Previous MDS Therapy n (%)
Yes 27 (27)
No 72 (73)
RBC Transfusion Status n (%)
Independent 33 (33)
Dependent 66 (67)
Platelet Transfusion Status n (%)
Independent 84 (85)
Dependent 15 (15)
IPSS Classification n (%)
Low Risk 1 (1)
Intermediate–1 52 (53)
Intermediate–2 23 (23)
High Risk 23 (23)
FAB Classification n (%)
RA 20 (20)
RARS 17 (17)
RAEB 45 (45)
RAEB-t 6 (6)
CMML 11 (11)
Table 8 Analysis of Response (ITT)
Cheson BD, Bennett JM, et al. Report of an International Working Group to Standardize Response Criteria for MDS. Blood. 2000; 96:3671-3674.
Parameter Decitabine

N=99
Overall Response Rate (CR+PR) 16 (16%)
  Complete Response (CR) 15 (15%)
  Partial Response (PR) 1 (1%)
Duration of Response
Median time to (CR+PR) response - Days (range) 162 (50-267)

443 (72-722
indicates censored observation
)
Median Duration of (CR+PR) response - Days (range)
13.1 Carcinogenesis, Mutagenesis and Impairment of Fertility

Carcinogenicity studies with decitabine have not been conducted.

The mutagenic potential of decitabine was tested in several in vitro and in vivo systems. Decitabine increased mutation frequency in L5178Y mouse lymphoma cells, and mutations were produced in an Escherichia coli lac-I transgene in colonic DNA of decitabine-treated mice. Decitabine caused chromosomal rearrangements in larvae of fruit flies.

In male mice given IP injections of 0.15 mg/m2, 0.3 mg/m2 or 0.45 mg/m2 decitabine (approximately 0.3% to 1% the recommended clinical dose) 3 times a week for 7 weeks, decitabine did not affect survival, body weight gain or hematological measures (hemoglobin and white blood cell counts). Testes weights were reduced, abnormal histology was observed and significant decreases in sperm number were found at doses ≥0.3 mg/m2. In females mated to males dosed with ≥0.3 mg/m2 decitabine, pregnancy rate was reduced and preimplantation loss was significantly increased.


Advanced Ingredient Data


Raw Label Data

All Sections (JSON)