Clindamycin In 5% Dextrose Injection

Clindamycin In 5% Dextrose Injection
SPL v4
SPL
SPL Set ID 8b452032-abed-495b-b518-15623e9850a3
Route
INTRAVENOUS
Published
Effective Date 2024-07-18
Document Type 34391-3 HUMAN PRESCRIPTION DRUG LABEL

Drug Facts

Composition & Product

Active Ingredients
Clindamycin (6 mg)
Inactive Ingredients
Dextrose Monohydrate Edetate Disodium Hydrochloric Acid Sodium Hydroxide

Identifiers & Packaging

Marketing Status
ANDA Active Since 2024-06-12

Description

Rx Only To reduce the development of drug-resistant bacteria and maintain the effectiveness of clindamycin in 5% dextrose injection and other antibacterial drugs, clindamycin in 5% dextrose injection should be used only to treat or prevent infections that are proven or strongly suspected to be caused by bacteria. Clindamycin in 5% dextrose injection is for Intravenous Use Only

Indications and Usage

Clindamycin in 5% dextrose injection is indicated in the treatment of serious infections caused by susceptible anaerobic bacteria. Clindamycin in 5% dextrose injection is also indicated in the treatment of serious infections due to susceptible strains of streptococci, pneumococci, and staphylococci. Its use should be reserved for penicillin-allergic patients or other patients for whom, in the judgment of the physician, a penicillin is inappropriate. Because of the risk of antibiotic-associated pseudomembranous colitis, as described in the BOXED WARNING , before selecting clindamycin the physician should consider the nature of the infection and the suitability of less toxic alternatives (e.g., erythromycin). Bacteriologic studies should be performed to determine the causative organisms and their susceptibility to clindamycin. Indicated surgical procedures should be performed in conjunction with antibiotic therapy. Clindamycin in 5% dextrose injection is indicated in the treatment of serious infections caused by susceptible strains of the designated organisms in the conditions listed below: Lower respiratory tract infections including pneumonia, empyema, and lung abscess caused by anaerobes, Streptococcus pneumoniae, other streptococci (except E. faecalis ), and Staphylococcus aureus. Skin and skin structure infections caused by Streptococcus pyogenes, Staphylococcus aureus , and anaerobes. Gynecological infections including endometritis, nongonococcal tubo-ovarian abscess, pelvic cellulitis, and postsurgical vaginal cuff infection caused by susceptible anaerobes. Intra-abdominal infections including peritonitis and intra-abdominal abscess caused by susceptible anaerobic organisms. Septicemia caused by Staphylococcus aureus , streptococci (except Enterococcus faecalis ), and susceptible anaerobes. Bone and joint infections including acute hematogenous osteomyelitis caused by Staphylococcus aureus and as adjunctive therapy in the surgical treatment of chronic bone and joint infections due to susceptible organisms. To reduce the development of drug-resistant bacteria and maintain the effectiveness of clindamycin in 5% dextrose injection and other antibacterial drugs, clindamycin in 5% dextrose injection should be used only to treat or prevent infections that are proven or strongly suspected to be caused by susceptible bacteria. When culture and susceptibility information are available, they should be considered in selecting or modifying antibacterial therapy. In the absence of such data, local epidemiology and susceptibility patterns may contribute to the empiric selection of therapy.  

Dosage and Administration

If diarrhea occurs during therapy, this antibiotic should be discontinued (see  WARNING  box).

Boxed Warning
WARNING Clostridioides difficile- associated diarrhea (CDAD) has been reported with use of nearly all antibacterial agents, including clindamycin in 5% dextrose injection and may range in severity from mild diarrhea to fatal colitis. Treatment with antibacterial agents alters the normal flora of the colon leading to overgrowth of C. difficile . Because clindamycin in 5% dextrose injection therapy has been associated with severe colitis which may end fatally, it should be reserved for serious infections where less toxic antimicrobial agents are inappropriate, as described in the INDICATIONS AND USAGE section. It should not be used in patients with nonbacterial infections such as most upper respiratory tract infections. C. difficile produces toxins A and B which contribute to the development of CDAD. Hypertoxin producing strains of C. difficile cause increased morbidity and mortality, as these infections can be refractory to antimicrobial therapy and may require colectomy. CDAD must be considered in all patients who present with diarrhea following antibiotic use. Careful medical history is necessary since CDAD has been reported to occur over two months after the administration of antibacterial agents. If CDAD is suspected or confirmed, ongoing antibiotic use not directed against C. difficile may need to be discontinued. Appropriate fluid and electrolyte management, protein supplementation, antibiotic treatment of C. difficile , and surgical evaluation should be instituted as clinically indicated.  
Contraindications

This drug is contraindicated in individuals with a history of hypersensitivity to preparations containing clindamycin or lincomycin.

Adverse Reactions

The following reactions have been reported with the use of clindamycin.

Drug Interactions

Clindamycin has been shown to have neuromuscular blocking properties that may enhance the action of other neuromuscular blocking agents. Therefore, it should be used with caution in patients receiving such agents. Clindamycin is metabolized predominantly by CYP3A4, and to a lesser extent by CYP3A5, to the major metabolite clindamycin sulfoxide and minor metabolite  N-desmethylclindamycin.  Therefore, inhibitors of CYP3A4 and CYP3A5 may increase plasma concentrations of clindamycin and inducers of these isoenzymes may reduce plasma concentrations of clindamycin. In the presence of strong CYP3A4 inhibitors, monitor for adverse reactions. In the presence of strong  CYP3A4  inducers such as rifampicin, monitor for loss of effectiveness. In vitro studies indicate that clindamycin does not inhibit CYP1A2, CYP2C9, CYP2C19, CYP2E1 or CYP2D6 and only moderately inhibits CYP3A4.

How Supplied

Clindamycin in 5% Dextrose Injection is a sterile solution of clindamycin phosphate with 5% dextrose. It is available in 50 mL clear molded glass vial fitted with an injection stopper. Single-dose vials are intended for single use only and are available as follows: Strength Total Clindamycin/Vial Cap Color NDC# 6 mg/mL 300 mg/50 mL Light Blue 0143-9267-01 12 mg/mL 600 mg/50 mL Blue 0143-9268-01 18 mg/mL 900 mg/50 mL Brown 0143-9269-01 Exposure of pharmaceutical products to heat should be minimized. Storage: Store at 20º to 25ºC (68º to 77ºF) [see USP Controlled Room Temperature]. Avoid temperatures above 30 ºC. Discard unused portion.


Medication Information

Boxed Warning

WARNING

Clostridioides difficile-associated diarrhea (CDAD) has been reported with use of nearly all antibacterial agents, including clindamycin in 5% dextrose injection and may range in severity from mild diarrhea to fatal colitis. Treatment with antibacterial agents alters the normal flora of the colon leading to overgrowth of C. difficile.

Because clindamycin in 5% dextrose injection therapy has been associated with severe colitis which may end fatally, it should be reserved for serious infections where less toxic antimicrobial agents are inappropriate, as described in the INDICATIONS AND USAGE section. It should not be used in patients with nonbacterial infections such as most upper respiratory tract infections.

C. difficile produces toxins A and B which contribute to the development of CDAD. Hypertoxin producing strains of C. difficile cause increased morbidity and mortality, as these infections can be refractory to antimicrobial therapy and may require colectomy. CDAD must be considered in all patients who present with diarrhea following antibiotic use. Careful medical history is necessary since CDAD has been reported to occur over two months after the administration of antibacterial agents.

If CDAD is suspected or confirmed, ongoing antibiotic use not directed against C. difficile may need to be discontinued. Appropriate fluid and electrolyte management, protein supplementation, antibiotic treatment of C. difficile, and surgical evaluation should be instituted as clinically indicated.

 

Indications and Usage

Clindamycin in 5% dextrose injection is indicated in the treatment of serious infections caused by susceptible anaerobic bacteria.

Clindamycin in 5% dextrose injection is also indicated in the treatment of serious infections due to susceptible strains of streptococci, pneumococci, and staphylococci. Its use should be reserved for penicillin-allergic patients or other patients for whom, in the judgment of the physician, a penicillin is inappropriate. Because of the risk of antibiotic-associated pseudomembranous colitis, as described in the BOXED WARNING , before selecting clindamycin the physician should consider the nature of the infection and the suitability of less toxic alternatives (e.g., erythromycin).

Bacteriologic studies should be performed to determine the causative organisms and their susceptibility to clindamycin.

Indicated surgical procedures should be performed in conjunction with antibiotic therapy.

Clindamycin in 5% dextrose injection is indicated in the treatment of serious infections caused by susceptible strains of the designated organisms in the conditions listed below:

Lower respiratory tract infections including pneumonia, empyema, and lung abscess caused by anaerobes, Streptococcus pneumoniae, other streptococci (except E. faecalis), and Staphylococcus aureus.

Skin and skin structure infections caused by Streptococcus pyogenes, Staphylococcus aureus, and anaerobes.

Gynecological infections including endometritis, nongonococcal tubo-ovarian abscess, pelvic cellulitis, and postsurgical vaginal cuff infection caused by susceptible anaerobes.

Intra-abdominal infections including peritonitis and intra-abdominal abscess caused by susceptible anaerobic organisms.

Septicemia caused by Staphylococcus aureus, streptococci (except Enterococcus faecalis), and susceptible anaerobes.

Bone and joint infections including acute hematogenous osteomyelitis caused by Staphylococcus aureus and as adjunctive therapy in the surgical treatment of chronic bone and joint infections due to susceptible organisms.

To reduce the development of drug-resistant bacteria and maintain the effectiveness of clindamycin in 5% dextrose injection and other antibacterial drugs, clindamycin in 5% dextrose injection should be used only to treat or prevent infections that are proven or strongly suspected to be caused by susceptible bacteria. When culture and susceptibility information are available, they should be considered in selecting or modifying antibacterial therapy. In the absence of such data, local epidemiology and susceptibility patterns may contribute to the empiric selection of therapy.

 

Dosage and Administration

If diarrhea occurs during therapy, this antibiotic should be discontinued (see  WARNING  box).

Contraindications

This drug is contraindicated in individuals with a history of hypersensitivity to preparations containing clindamycin or lincomycin.

Adverse Reactions

The following reactions have been reported with the use of clindamycin.

Drug Interactions

Clindamycin has been shown to have neuromuscular blocking properties that may enhance the action of other neuromuscular blocking agents. Therefore, it should be used with caution in patients receiving such agents.

Clindamycin is metabolized predominantly by CYP3A4, and to a lesser extent by CYP3A5, to the major metabolite clindamycin sulfoxide and minor metabolite  N-desmethylclindamycin.  Therefore, inhibitors of CYP3A4 and CYP3A5 may increase plasma concentrations of clindamycin and inducers of these isoenzymes may reduce plasma concentrations of clindamycin. In the presence of strong CYP3A4 inhibitors, monitor for adverse reactions. In the presence of strong  CYP3A4  inducers such as rifampicin, monitor for loss of effectiveness.

In vitro studies indicate that clindamycin does not inhibit CYP1A2, CYP2C9, CYP2C19, CYP2E1 or CYP2D6 and only moderately inhibits CYP3A4.

How Supplied

Clindamycin in 5% Dextrose Injection is a sterile solution of clindamycin phosphate with 5% dextrose. It is available in 50 mL clear molded glass vial fitted with an injection stopper. Single-dose vials are intended for single use only and are available as follows:

Strength

Total Clindamycin/Vial

Cap Color

NDC#

6 mg/mL

300 mg/50 mL

Light Blue

0143-9267-01

12 mg/mL

600 mg/50 mL

Blue

0143-9268-01

18 mg/mL

900 mg/50 mL

Brown

0143-9269-01

Exposure of pharmaceutical products to heat should be minimized.

Storage: Store at 20º to 25ºC (68º to 77ºF) [see USP Controlled Room Temperature]. Avoid temperatures above 30 ºC.

Discard unused portion.

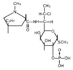
Description

Clindamycin in 5% Dextrose Injection in vials contains clindamycin phosphate equivalent to 300, 600 and 900 mg of clindamycin premixed with 5% dextrose as a sterile solution. Disodium edetate has been added at a concentration of 0.04 mg/mL. The pH has been adjusted with sodium hydroxide and/or hydrochloric acid.

Clindamycin is a semisynthetic antibiotic produced by a 7(S)-chloro-substitution of the 7(R)-hydroxyl group of the parent compound lincomycin.

The chemical name of clindamycin phosphate is L-threo-α-D-galacto-Octopyranoside, methyl-7-chloro-6,7,8-trideoxy-6-[[(1-methyl-4-propyl-2-pyrrolidinyl)carbonyl] amino]-1-thio-, 2-(dihydrogen phosphate), (2S-trans)-.

The molecular formula is C18H34CIN208PS and the molecular weight is 504.96.

The structural formula is represented below:

 

Liver:

Jaundice and abnormalities in liver function tests have been observed during clindamycin therapy.

Renal:

Acute kidney injury (See WARNINGS )..

Section 42229-5

Rx Only

To reduce the development of drug-resistant bacteria and maintain the effectiveness of clindamycin in 5% dextrose injection and other antibacterial drugs, clindamycin in 5% dextrose injection should be used only to treat or prevent infections that are proven or strongly suspected to be caused by bacteria.

Clindamycin in 5% dextrose injection is for Intravenous Use Only

Adults:

Parenteral (IV Administration): Serious infections due to aerobic gram-positive cocci and the more susceptible anaerobes (NOT generally including Bacteroides fragilis, Peptococcus species and Clostridium species other than Clostridium perfringens):

600 to 1200 mg/day in 2, 3 or 4 equal doses.

More severe infections, particularly those due to proven or suspected Bacteroides fragilis, Peptococcus species, or Clostridium species other than Clostridium perfringens:

1200 to 2700 mg/day in 2, 3 or 4 equal doses.

For more serious infections, these doses may have to be increased. In life-threatening situations due to either aerobes or anaerobes these doses may be increased. Doses of as much as 4800 mg daily have been given intravenously to adults. See Infusion Rates section below.

Alternatively, drug may be administered in the form of a single rapid infusion of the first dose followed by continuous IV infusion as follows:

Table 2: Serum Clindamycin Levels Maintained, Rapid Infusion Rate and Maintenance Infusion Rate

To maintain serum clindamycin levels

Rapid infusion rate

Maintenance infusion rate

Above 4 mcg/mL

10 mg/min for 30 min

0.75 mg/min

Above 5 mcg/mL

15 mg/min for 30 min

1 mg/min

Above 6 mcg/mL

20 mg/min for 30 min

1.25 mg/min

General

Review of experience to date suggests that a subgroup of older patients with associated severe illness may tolerate diarrhea less well. When clindamycin is indicated in these patients, they should be carefully monitored for change in bowel frequency.

Clindamycin in 5% dextrose injection products should be prescribed with caution in individuals with a history of gastrointestinal disease, particularly colitis.

Clindamycin in 5% dextrose injection should be prescribed with caution in atopic individuals.

Certain infections may require incision and drainage or other indicated surgical procedures in addition to antibiotic therapy.

The use of clindamycin in 5% dextrose injection may result in overgrowth of nonsusceptible organisms- particularly yeasts. Should superinfections occur, appropriate measures should be taken as indicated by the clinical situation.

Clindamycin in 5% dextrose injection should not be injected intravenously undiluted as a bolus, but should be infused over at least 10 to 60 minutes as directed in the DOSAGE AND ADMINISTRATION section.

Clindamycin dosage modification may not be necessary in patients with renal disease. In patients with moderate to severe liver disease, prolongation of clindamycin half-life has been found. However, it was postulated from studies that when given every eight hours, accumulation should rarely occur. Therefore, dosage modification in patients with liver disease may not be necessary. However, periodic liver enzyme determinations should be made when treating patients with severe liver disease.

Prescribing clindamycin in 5% dextrose injection in the absence of a proven or strongly suspected bacterial infection or a prophylactic indication is unlikely to provide benefit to the patient and increases the risk of the development of drug-resistant bacteria.

Warnings
Excretion

Biologically inactive clindamycin phosphate disappears from the serum with 6 minutes of the average elimination half-life; however, the average serum elimination half-life of active clindamycin is about 3 hours in adults and 2½ hours in pediatric patients.

Pregnancy

Teratogenic effects

In clinical trials with pregnant women, the systemic administration of clindamycin during the second and third trimesters, has not been associated with an increased frequency of congenital abnormalities.

Clindamycin should be used during the first trimester of pregnancy only if clearly needed. There are no adequate and well-controlled studies in pregnant women during the first trimester of pregnancy. Because animal reproduction studies are not always predictive of the human response, this drug should be used during pregnancy only if clearly needed.

Reproduction studies performed in rats and mice using oral doses of clindamycin up to 600 mg/kg/day (2.1 and 1.1 times the highest recommended adult human dose based on mg/m2, respectively) or subcutaneous doses of clindamycin up to 250 mg/kg/day (0.9 and 0.5 times the highest recommended adult human dose based on mg/m2, respectively) revealed no evidence of teratogenicity.

Metabolism

In vitro studies in human liver and intestinal microsomes indicated that clindamycin is predominantly metabolized by Cytochrome P450 3A4 (CYP3A4), with minor contribution from CYP3A5, to form clindamycin sulfoxide and a minor metabolite, N-desmethylclindamycin.



Overdosage

Significant mortality was observed in mice at an intravenous dose of 855 mg/kg and in rats at an oral or subcutaneous dose of approximately 2618 mg/kg. In the mice, convulsions and depression were observed.

Hemodialysis and peritoneal dialysis are not effective in removing clindamycin from the serum.

References
  • Smith RB, Phillips JP: Evaluation of CLEOCIN HCl and CLEOCIN Phosphate in an Aged Population. Upjohn TR 8147-82-9122-021, December 1982.



Distribution

Biologically inactive clindamycin phosphate is converted to active clindamycin. By the end of short-term intravenous infusion, peak serum concentrations of active clindamycin are reached.

After intramuscular injection of clindamycin phosphate, peak concentrations of active clindamycin are reached within 3 hours in adults and 1 hour in pediatric patients.  

Serum concentrations of clindamycin can be maintained above the in vitro minimum inhibitory concentrations for most indicated organisms by administration of clindamycin phosphate every 8 to 12 hours in adults and every 6 to 8 hours in pediatric patients, or by continuous intravenous infusion. An equilibrium state is reached by the third dose.

No significant concentrations of clindamycin are attained in the cerebrospinal fluid even in the presence of inflamed meninges.

Microbiology

Mechanism of Action

Clindamycin inhibits bacterial protein synthesis by binding to the 23S RNA of the 50S subunit of the ribosome. Clindamycin is bacteriostatic.

Resistance

Resistance to clindamycin is most often caused by modification of specific bases of the 23S ribosomal RNA. Cross-resistance between clindamycin and lincomycin is complete. Because the binding sites for these antibacterial drugs overlap, cross-resistance is sometimes observed among lincosamides, macrolides and streptogramin B. Macrolide-inducible resistance to clindamycin occurs in some isolates of macrolide-resistant bacteria. Macrolide-resistant isolates of staphylococci and beta-hemolytic streptococci should be screened for induction of clindamycin resistance using the D-zone test.

Antimicrobial Activity

Clindamycin has been shown to be active against most of the isolates of the following microorganisms, both in vitro and in clinical infections [see  INDICATIONS AND USAGE ].

Gram-positive Bacteria

Staphylococcus aureus (methicillin-susceptible strains)

Streptococcus pneumoniae (penicillin-susceptible strains)

Streptococcus pyogenes

 

Anaerobic Bacteria

Clostridium perfringens

Fusobacterium necrophorum

Fusobacterium nucleatum

Peptostreptococcus anaerobius

Prevotella melaninogenica

The following in vitro data are available, but their clinical significance is unknown. At least 90 percent of the following bacteria exhibit an in vitro minimum inhibitory concentration (MIC) less than or equal to the susceptible breakpoint for clindamycin against isolates of a similar genus or organism group. However, the efficacy of clindamycin in treating clinical infections due to these bacteria has not been established in adequate and well-controlled clinical trials.

Gram-positive Bacteria

Staphylococcus epidermidis (methicillin-susceptible strains)

Streptococcus agalactiae

Streptococcus anginosus

Streptococcus mitis

Streptococcus oralis

Anaerobic Bacteria

Actinomyces israelii

Clostridium clostridioforme

Eggerthella lenta

Finegoldia (Peptostreptococcus) magna

Micromonas (Peptostreptococcus) micros

Prevotella bivia

Prevotella intermedia

Cutibacterium acnes

Compatibility

Physical and biological compatibility studies monitored for 24 hours at room temperature have demonstrated no inactivation or incompatibility with the use of clindamycin in 5% dextrose injection sterile solution (clindamycin phosphate) in IV solutions containing sodium chloride, glucose, calcium or potassium, and solutions containing vitamin B complex in concentrations usually used clinically. No incompatibility has been demonstrated with the antibiotics cephalothin, kanamycin, gentamicin, penicillin or carbenicillin. 

The following drugs are physically incompatible with clindamycin phosphate: ampicillin sodium, phenytoin sodium, barbiturates, aminophylline, calcium gluconate, and magnesium sulfate.

The compatibility and duration of stability of drug admixtures will vary depending on concentration and other conditions.

Geriatric Use

Clinical studies of clindamycin did not include sufficient numbers of patients age 65 and over to determine whether they respond differently from younger patients. However, other reported clinical experience indicates that antibiotic-associated colitis and diarrhea (due to Clostridium difficile) seen in association with most antibiotics occur more frequently in the elderly (>60 years) and may be more severe. These patients should be carefully monitored for the development of diarrhea.

Pharmacokinetic studies with clindamycin have shown no clinically important differences between young and elderly subjects with normal hepatic function and normal (age-adjusted) renal function after oral or intravenous administration.

 

Pediatric Use

When clindamycin in 5% dextrose injection sterile solution is administered to the pediatric population (birth to 16 years) appropriate monitoring of organ system functions is desirable (see CLINICAL PHARMACOLOGY and DOSAGE AND ADMINISTRATION).

Hematopoietic:

Transient neutropenia (leukopenia) and eosinophilia have been reported. Reports of agranulocytosis and thrombocytopenia have been made. No direct etiologic relationship to concurrent clindamycin therapy could be made in any of the foregoing.

Immune System:

Drug reaction with eosinophilia and systemic symptoms (DRESS) cases have been reported.

Nephrotoxicity

Clindamycin is potentially nephrotoxic and cases with acute kidney injury have been reported. Consider monitoring of renal function particularly in patients with pre-existing renal dysfunction or those taking concomitant nephrotoxic drugs. In case of acute kidney injury, discontinue clindamycin when no other etiology is identified.

Cardiovascular:

Cardiopulmonary arrest and hypotension have been reported following too rapid intravenous administration (see DOSAGE AND ADMINISTRATION ).

T o report SUSPECTED ADVERSE REACTIONS, contact Hikma Pharmaceuticals USA Inc. at 1-877-845-0689 or FDA at 1-800-FDA-1088 or www.fda.gov/medwatch.

Nursing Mothers

Limited published data based on breast milk sampling reports that clindamycin appears in human breast milk in the range of less than 0.5 to 3.8 mcg/mL at dosages of 150 mg orally to 600 mg intravenously. Clindamycin has the potential to cause adverse effects on the breast-fed infant's gastrointestinal flora. If oral or intravenous clindamycin is required by a nursing mother, it is not a reason to discontinue breastfeeding, but an alternate drug may be preferred. Monitor the breast-fed infant for possible adverse effects on the gastrointestinal flora, such as diarrhea, candidiasis (thrush, diaper rash) or rarely, blood in the stool indicating possible antibiotic-associated colitis.

The developmental and health benefits of breastfeeding should be considered along with the mother's clinical need for clindamycin and any potential adverse effects on the breast-fed child from clindamycin or from the underlying maternal condition.

Laboratory Tests

During prolonged therapy periodic liver and kidney function tests and blood counts should be performed.

Local Reactions:

 Injection site irritation, pain, induration and sterile abscess have been reported after intramuscular injection and thrombophlebitis after intravenous infusion. Reactions can be minimized or avoided by giving deep intramuscular injections and avoiding prolonged use of indwelling intravenous catheters.

Musculoskeletal:

Polyarthritis cases have been reported.

Gastrointestinal:

Antibiotic-associated colitis (see WARNINGS ), pseudomembranous colitis, abdominal pain, nausea, and vomiting. The onset of pseudomembranous colitis symptoms may occur during or after antibacterial treatment (see WARNINGS ). An unpleasant or metallic taste has been reported after intravenous administration of the higher doses of clindamycin phosphate.

Directions for Use

Premixed clindamycin in 5% dextrose injection IV solution is for intravenous administration using sterile equipment. If leaks are found, discard solution as sterility may be impaired. Do not add supplementary medication. Parenteral drug products should be inspected visually for particulate matter and discoloration prior to administration whenever solution and container permit. Do not use unless solution is clear and seal is intact.

Caution: Do not use in series connections. Such use could result in air embolism due to residual air being drawn from the primary container before administration of the fluid from the secondary container is complete.

Geriatric Patients

Pharmacokinetic studies in elderly volunteers (61 to 79 years) and younger adults (18 to 39 years) indicate that age alone does not alter clindamycin pharmacokinetics (clearance, elimination half-life, volume of distribution, and area under the serum concentration-time curve) after IV administration of clindamycin phosphate. After oral administration of clindamycin hydrochloride, the average elimination half-life is increased to approximately 4.0 hours (range 3.4 to 5.1 h) in the elderly, compared to 3.2 hours (range 2.1 to 4.2 h) in younger adults. The extent of absorption, however, is not different between age groups and no dosage alteration is necessary for the elderly with normal hepatic function and normal (age-adjusted) renal function1.



Serialization Image



Usage in Meningitis

Since clindamycin does not diffuse adequately into the cerebrospinal fluid, the drug should not be used in the treatment of meningitis.

Susceptibility Testing

For specific information regarding susceptibility test interpretive criteria and associated test methods and quality control standards recognized by FDA for this drug, please see: https://www.fda.gov/STIC.

Information for Patients

Patients should be counseled that antibacterial drugs including clindamycin in 5% dextrose injection should only be used to treat bacterial infections. They do not treat viral infections (e.g., the common cold). When clindamycin in 5% dextrose injection is prescribed to treat a bacterial infection, patients should be told that although it is common to feel better early in the course of therapy, the medication should be taken exactly as directed. Skipping doses or not completing the full course of therapy may (1) decrease the effectiveness of the immediate treatment and (2) increase the likelihood that bacteria will develop resistance and will not be treatable by clindamycin in 5% dextrose injection or other antibacterial drugs in the future.

Diarrhea is a common problem caused by antibiotics which usually ends when the antibiotic is discontinued. Sometimes after starting treatment with antibiotics, patients can develop watery and bloody stools (with or without stomach cramps and fever) even as late as two or more months after having taken the last dose of the antibiotic. If this occurs, patients should contact their physician as soon as possible.

Clostridioides Difficile

Clostridioides difficile-associated diarrhea (CDAD) has been reported with use of nearly all antibacterial agents, including clindamycin in 5% dextrose injection, and may range in severity from mild diarrhea to fatal colitis. Treatment with antibacterial agents alters the normal flora of the colon leading to overgrowth of C. difficile.

C. difficile produces toxins A and B which contribute to the development of CDAD. Hypertoxin producing strains of C. difficile cause increased morbidity and mortality, as these infections can be refractory to antimicrobial therapy and may require colectomy. CDAD must be considered in all patients who present with diarrhea following antibiotic use. Careful medical history is necessary since CDAD has been reported to occur over two months after the administration of antibacterial agents.

If CDAD is suspected or confirmed, ongoing antibiotic use not directed against C. difficile may need to be discontinued. Appropriate fluid and electrolyte management, protein supplementation, antibiotic treatment of C. difficile, and surgical evaluation should be instituted as clinically indicated.

Skin and Mucous Membranes:

Pruritus, vaginitis, angioedema and rare instances of exfoliative dermatitis have been reported (see Hypersensitivity Reactions ).

Hypersensitivity Reactions:

Maculopapular rash and urticaria  have  been observed  during  drug therapy. Generalized mild to moderate morbilliform-like skin rashes are the  most frequently reported of all adverse reactions.

Severe skin reactions such as Toxic Epidermal Necrolysis, some with fatal outcome, have been reported (see WARNINGS ). Cases of Acute Generalized Exanthematous Pustulosis (AGEP), erythema multiforme, some resembling Stevens-Johnson syndrome, have been associated with clindamycin. Anaphylactic shock, anaphylactic reaction and hypersensitivity have also been reported (see WARNINGS ) .

Package/label Display Panel

NDC 0143-9267-01

Rx only

Clindamycin

in 5% Dextrose

Injection

300 mg per 50 mL

(6 mg/mL)

For Intravenous Use

50 mL Single-Dose Vial

Infections and Infestations:

Clostridioides difficile colitis

Pediatric Patients Less Than 1 Month:

The recommended dosage is 15 to 20 mg/kg/day in 3 to 4 equal doses. See Table 3 regarding the dosing regimen for pediatric patients with post-menstrual age (PMA) less than or equal to 32 weeks, or greater than 32 weeks to less than or equal to 40 weeks.

Table 3: Dosing Regimens for Pediatric Patients with PMA less than or equal to 32 weeks, or greater than 32 weeks to less than or equal to 40 weeks

  PMA (weeks)

Dose (mg/kg)

Dosing Interval (hours)

Less than or equal to 32

5

8

Greater than or equal to 32 to less than or equal to 40

7

 PMA: Post-Menstrual age

 

Infusion Rates:  Infusion rates for Clindamycin in 5% Dextrose Injection should not exceed 30 mg per minute. 

 The usual infusion dilutions and rates are as follows:

Dose

Strength

Time

300 mg/50 mL

6 mg/mL

10 min

600 mg/50 mL

12 mg/mL

20 min

900 mg/50 mL

18 mg/mL

30 min

Administration of more than 1200 mg in a single 1-hour infusion is not recommended.

Parenteral drug products should be inspected visually for particulate matter and discoloration prior to administration, whenever solution and container permit.

Patients With Renal/hepatic Impairment

The elimination half-life of clindamycin is increased slightly in patients with markedly reduced renal or hepatic function. Hemodialysis and peritoneal dialysis are not effective in removing clindamycin from the serum. Dosage schedules do not need to be modified in patients with renal or hepatic disease.

Pediatric Patients 1 Month of Age to 16 Years:

Parenteral (IV) Administration: 20 to 40 mg/kg/day in 3 or 4 equal doses. The higher doses would be used for more severe infections. As an alternative to dosing on a body weight basis, pediatric patients may be dosed on the basis of square meters body surface: 350 mg/m2/day for serious infections and 450 mg/m2/day for more severe infections.

Parenteral therapy may be changed to oral clindamycin palmitate hydrochloride granules or clindamycin hydrochloride capsules when the condition warrants and at the discretion of the physician.

In cases of β-hemolytic streptococcal infections, treatment should be continued for at least 10 days.

Anaphylactic and Severe Hypersensitivity Reactions

Anaphylactic shock and anaphylactic reactions have been reported (see ADVERSE REACTIONS).

Severe hypersensitivity reactions, including severe skin reactions such as toxic epidermal necrolysis (TEN), drug reaction with eosinophilia and systemic symptoms (DRESS), and Stevens-Johnson syndrome (SJS), some with fatal outcome, have been reported (see ADVERSE REACTIONS).

In case of such an anaphylactic or severe hypersensitivity reaction, discontinue treatment permanently and institute appropriate therapy.

A careful inquiry should be made concerning previous sensitivities to drugs and other allergens

Carcinogenesis, Mutagenesis, Impairment of Fertility

Long term studies in animals have not been performed with clindamycin to evaluate carcinogenic potential. Genotoxicity tests performed included a rat micronucleus test and an Ames Salmonella reversion test. Both tests were negative.

Fertility studies in rats treated orally with up to 300 mg/kg/day (approximately 1.1 times the highest recommended adult human dose based on mg/m2) revealed no effects on fertility or mating ability.

Pharmacokinetics in Pediatric Patients With Pma ≤32 Weeks, Or >32 to ≤40 Weeks

 Systemic clearance (CL) in premature infants increases with increases in body weight (kg) and post-menstrual age (PMA). The dosing regimens for pediatric patients ≤32 weeks PMA (5 mg/kg) and >32 to 40 weeks PMA (7 mg/kg), both administered intravenously every 8 hours, achieve exposures comparable to therapeutic exposures in adults (weighing 70 kg) administered clindamycin 600 mg every 8 hours (Table 1).

Table 1. Predicted Drug Exposure (Mean ± SD) of Clindamycin in Adults and in Pediatric Patients with PMA ≤32 weeks, or >32 to ≤40 weeks

Age

Adult (70 kg)

PMA ≤32 weeks

PMA>32 to ≤40 weeks

Dose (every 8 hours)

600 mg

5 mg/kg

7 mg/kg

AUCss,0-8 hour

(mcgꞏh/mL)

50.5 (30.95)

52.5 (17)

55.9 (23.55)

Cmax,ss (mcg/mL)

12  (3.49)

9 (2.02)

10.5 (2.79)

Cmin,ss (mcg/mL)

3.1 (3.34)

4.6 (2)

4.4 (2.77)

PMA: post-menstrual age; AUCss,0-8 hour: area under the concentration-time curve during a dosing interval at steady state; Cmax,ss: maximum drug concentration at steady state; Cmin,ss: minimum or trough drug concentration at steady state.

Obese Pediatric Patients Aged 2 to Less Than 18 Years and Obese Adults Aged 18 to 20 Years

An analysis of pharmacokinetic data in obese pediatric patients aged 2 to less than 18 years and obese adults aged 18 to 20 years demonstrated that clindamycin clearance and volume of distribution, normalized by total body weight, are comparable regardless of obesity


Structured Label Content

Liver:

Jaundice and abnormalities in liver function tests have been observed during clindamycin therapy.

Renal:

Acute kidney injury (See WARNINGS )..

Section 42229-5 (42229-5)

Rx Only

To reduce the development of drug-resistant bacteria and maintain the effectiveness of clindamycin in 5% dextrose injection and other antibacterial drugs, clindamycin in 5% dextrose injection should be used only to treat or prevent infections that are proven or strongly suspected to be caused by bacteria.

Clindamycin in 5% dextrose injection is for Intravenous Use Only

Adults:

Parenteral (IV Administration): Serious infections due to aerobic gram-positive cocci and the more susceptible anaerobes (NOT generally including Bacteroides fragilis, Peptococcus species and Clostridium species other than Clostridium perfringens):

600 to 1200 mg/day in 2, 3 or 4 equal doses.

More severe infections, particularly those due to proven or suspected Bacteroides fragilis, Peptococcus species, or Clostridium species other than Clostridium perfringens:

1200 to 2700 mg/day in 2, 3 or 4 equal doses.

For more serious infections, these doses may have to be increased. In life-threatening situations due to either aerobes or anaerobes these doses may be increased. Doses of as much as 4800 mg daily have been given intravenously to adults. See Infusion Rates section below.

Alternatively, drug may be administered in the form of a single rapid infusion of the first dose followed by continuous IV infusion as follows:

Table 2: Serum Clindamycin Levels Maintained, Rapid Infusion Rate and Maintenance Infusion Rate

To maintain serum clindamycin levels

Rapid infusion rate

Maintenance infusion rate

Above 4 mcg/mL

10 mg/min for 30 min

0.75 mg/min

Above 5 mcg/mL

15 mg/min for 30 min

1 mg/min

Above 6 mcg/mL

20 mg/min for 30 min

1.25 mg/min

General

Review of experience to date suggests that a subgroup of older patients with associated severe illness may tolerate diarrhea less well. When clindamycin is indicated in these patients, they should be carefully monitored for change in bowel frequency.

Clindamycin in 5% dextrose injection products should be prescribed with caution in individuals with a history of gastrointestinal disease, particularly colitis.

Clindamycin in 5% dextrose injection should be prescribed with caution in atopic individuals.

Certain infections may require incision and drainage or other indicated surgical procedures in addition to antibiotic therapy.

The use of clindamycin in 5% dextrose injection may result in overgrowth of nonsusceptible organisms- particularly yeasts. Should superinfections occur, appropriate measures should be taken as indicated by the clinical situation.

Clindamycin in 5% dextrose injection should not be injected intravenously undiluted as a bolus, but should be infused over at least 10 to 60 minutes as directed in the DOSAGE AND ADMINISTRATION section.

Clindamycin dosage modification may not be necessary in patients with renal disease. In patients with moderate to severe liver disease, prolongation of clindamycin half-life has been found. However, it was postulated from studies that when given every eight hours, accumulation should rarely occur. Therefore, dosage modification in patients with liver disease may not be necessary. However, periodic liver enzyme determinations should be made when treating patients with severe liver disease.

Prescribing clindamycin in 5% dextrose injection in the absence of a proven or strongly suspected bacterial infection or a prophylactic indication is unlikely to provide benefit to the patient and increases the risk of the development of drug-resistant bacteria.

Warnings (WARNINGS)
Excretion

Biologically inactive clindamycin phosphate disappears from the serum with 6 minutes of the average elimination half-life; however, the average serum elimination half-life of active clindamycin is about 3 hours in adults and 2½ hours in pediatric patients.

Pregnancy

Teratogenic effects

In clinical trials with pregnant women, the systemic administration of clindamycin during the second and third trimesters, has not been associated with an increased frequency of congenital abnormalities.

Clindamycin should be used during the first trimester of pregnancy only if clearly needed. There are no adequate and well-controlled studies in pregnant women during the first trimester of pregnancy. Because animal reproduction studies are not always predictive of the human response, this drug should be used during pregnancy only if clearly needed.

Reproduction studies performed in rats and mice using oral doses of clindamycin up to 600 mg/kg/day (2.1 and 1.1 times the highest recommended adult human dose based on mg/m2, respectively) or subcutaneous doses of clindamycin up to 250 mg/kg/day (0.9 and 0.5 times the highest recommended adult human dose based on mg/m2, respectively) revealed no evidence of teratogenicity.

Metabolism

In vitro studies in human liver and intestinal microsomes indicated that clindamycin is predominantly metabolized by Cytochrome P450 3A4 (CYP3A4), with minor contribution from CYP3A5, to form clindamycin sulfoxide and a minor metabolite, N-desmethylclindamycin.



Overdosage (OVERDOSAGE)

Significant mortality was observed in mice at an intravenous dose of 855 mg/kg and in rats at an oral or subcutaneous dose of approximately 2618 mg/kg. In the mice, convulsions and depression were observed.

Hemodialysis and peritoneal dialysis are not effective in removing clindamycin from the serum.

References (REFERENCES)
  • Smith RB, Phillips JP: Evaluation of CLEOCIN HCl and CLEOCIN Phosphate in an Aged Population. Upjohn TR 8147-82-9122-021, December 1982.



Description (DESCRIPTION)

Clindamycin in 5% Dextrose Injection in vials contains clindamycin phosphate equivalent to 300, 600 and 900 mg of clindamycin premixed with 5% dextrose as a sterile solution. Disodium edetate has been added at a concentration of 0.04 mg/mL. The pH has been adjusted with sodium hydroxide and/or hydrochloric acid.

Clindamycin is a semisynthetic antibiotic produced by a 7(S)-chloro-substitution of the 7(R)-hydroxyl group of the parent compound lincomycin.

The chemical name of clindamycin phosphate is L-threo-α-D-galacto-Octopyranoside, methyl-7-chloro-6,7,8-trideoxy-6-[[(1-methyl-4-propyl-2-pyrrolidinyl)carbonyl] amino]-1-thio-, 2-(dihydrogen phosphate), (2S-trans)-.

The molecular formula is C18H34CIN208PS and the molecular weight is 504.96.

The structural formula is represented below:

 

Distribution

Biologically inactive clindamycin phosphate is converted to active clindamycin. By the end of short-term intravenous infusion, peak serum concentrations of active clindamycin are reached.

After intramuscular injection of clindamycin phosphate, peak concentrations of active clindamycin are reached within 3 hours in adults and 1 hour in pediatric patients.  

Serum concentrations of clindamycin can be maintained above the in vitro minimum inhibitory concentrations for most indicated organisms by administration of clindamycin phosphate every 8 to 12 hours in adults and every 6 to 8 hours in pediatric patients, or by continuous intravenous infusion. An equilibrium state is reached by the third dose.

No significant concentrations of clindamycin are attained in the cerebrospinal fluid even in the presence of inflamed meninges.

How Supplied (HOW SUPPLIED)

Clindamycin in 5% Dextrose Injection is a sterile solution of clindamycin phosphate with 5% dextrose. It is available in 50 mL clear molded glass vial fitted with an injection stopper. Single-dose vials are intended for single use only and are available as follows:

Strength

Total Clindamycin/Vial

Cap Color

NDC#

6 mg/mL

300 mg/50 mL

Light Blue

0143-9267-01

12 mg/mL

600 mg/50 mL

Blue

0143-9268-01

18 mg/mL

900 mg/50 mL

Brown

0143-9269-01

Exposure of pharmaceutical products to heat should be minimized.

Storage: Store at 20º to 25ºC (68º to 77ºF) [see USP Controlled Room Temperature]. Avoid temperatures above 30 ºC.

Discard unused portion.

Microbiology

Mechanism of Action

Clindamycin inhibits bacterial protein synthesis by binding to the 23S RNA of the 50S subunit of the ribosome. Clindamycin is bacteriostatic.

Resistance

Resistance to clindamycin is most often caused by modification of specific bases of the 23S ribosomal RNA. Cross-resistance between clindamycin and lincomycin is complete. Because the binding sites for these antibacterial drugs overlap, cross-resistance is sometimes observed among lincosamides, macrolides and streptogramin B. Macrolide-inducible resistance to clindamycin occurs in some isolates of macrolide-resistant bacteria. Macrolide-resistant isolates of staphylococci and beta-hemolytic streptococci should be screened for induction of clindamycin resistance using the D-zone test.

Antimicrobial Activity

Clindamycin has been shown to be active against most of the isolates of the following microorganisms, both in vitro and in clinical infections [see  INDICATIONS AND USAGE ].

Gram-positive Bacteria

Staphylococcus aureus (methicillin-susceptible strains)

Streptococcus pneumoniae (penicillin-susceptible strains)

Streptococcus pyogenes

 

Anaerobic Bacteria

Clostridium perfringens

Fusobacterium necrophorum

Fusobacterium nucleatum

Peptostreptococcus anaerobius

Prevotella melaninogenica

The following in vitro data are available, but their clinical significance is unknown. At least 90 percent of the following bacteria exhibit an in vitro minimum inhibitory concentration (MIC) less than or equal to the susceptible breakpoint for clindamycin against isolates of a similar genus or organism group. However, the efficacy of clindamycin in treating clinical infections due to these bacteria has not been established in adequate and well-controlled clinical trials.

Gram-positive Bacteria

Staphylococcus epidermidis (methicillin-susceptible strains)

Streptococcus agalactiae

Streptococcus anginosus

Streptococcus mitis

Streptococcus oralis

Anaerobic Bacteria

Actinomyces israelii

Clostridium clostridioforme

Eggerthella lenta

Finegoldia (Peptostreptococcus) magna

Micromonas (Peptostreptococcus) micros

Prevotella bivia

Prevotella intermedia

Cutibacterium acnes

Boxed Warning (BOXED WARNING)

WARNING

Clostridioides difficile-associated diarrhea (CDAD) has been reported with use of nearly all antibacterial agents, including clindamycin in 5% dextrose injection and may range in severity from mild diarrhea to fatal colitis. Treatment with antibacterial agents alters the normal flora of the colon leading to overgrowth of C. difficile.

Because clindamycin in 5% dextrose injection therapy has been associated with severe colitis which may end fatally, it should be reserved for serious infections where less toxic antimicrobial agents are inappropriate, as described in the INDICATIONS AND USAGE section. It should not be used in patients with nonbacterial infections such as most upper respiratory tract infections.

C. difficile produces toxins A and B which contribute to the development of CDAD. Hypertoxin producing strains of C. difficile cause increased morbidity and mortality, as these infections can be refractory to antimicrobial therapy and may require colectomy. CDAD must be considered in all patients who present with diarrhea following antibiotic use. Careful medical history is necessary since CDAD has been reported to occur over two months after the administration of antibacterial agents.

If CDAD is suspected or confirmed, ongoing antibiotic use not directed against C. difficile may need to be discontinued. Appropriate fluid and electrolyte management, protein supplementation, antibiotic treatment of C. difficile, and surgical evaluation should be instituted as clinically indicated.

 

Compatibility

Physical and biological compatibility studies monitored for 24 hours at room temperature have demonstrated no inactivation or incompatibility with the use of clindamycin in 5% dextrose injection sterile solution (clindamycin phosphate) in IV solutions containing sodium chloride, glucose, calcium or potassium, and solutions containing vitamin B complex in concentrations usually used clinically. No incompatibility has been demonstrated with the antibiotics cephalothin, kanamycin, gentamicin, penicillin or carbenicillin. 

The following drugs are physically incompatible with clindamycin phosphate: ampicillin sodium, phenytoin sodium, barbiturates, aminophylline, calcium gluconate, and magnesium sulfate.

The compatibility and duration of stability of drug admixtures will vary depending on concentration and other conditions.

Geriatric Use

Clinical studies of clindamycin did not include sufficient numbers of patients age 65 and over to determine whether they respond differently from younger patients. However, other reported clinical experience indicates that antibiotic-associated colitis and diarrhea (due to Clostridium difficile) seen in association with most antibiotics occur more frequently in the elderly (>60 years) and may be more severe. These patients should be carefully monitored for the development of diarrhea.

Pharmacokinetic studies with clindamycin have shown no clinically important differences between young and elderly subjects with normal hepatic function and normal (age-adjusted) renal function after oral or intravenous administration.

 

Pediatric Use

When clindamycin in 5% dextrose injection sterile solution is administered to the pediatric population (birth to 16 years) appropriate monitoring of organ system functions is desirable (see CLINICAL PHARMACOLOGY and DOSAGE AND ADMINISTRATION).

Hematopoietic:

Transient neutropenia (leukopenia) and eosinophilia have been reported. Reports of agranulocytosis and thrombocytopenia have been made. No direct etiologic relationship to concurrent clindamycin therapy could be made in any of the foregoing.

Immune System:

Drug reaction with eosinophilia and systemic symptoms (DRESS) cases have been reported.

Nephrotoxicity

Clindamycin is potentially nephrotoxic and cases with acute kidney injury have been reported. Consider monitoring of renal function particularly in patients with pre-existing renal dysfunction or those taking concomitant nephrotoxic drugs. In case of acute kidney injury, discontinue clindamycin when no other etiology is identified.

Cardiovascular:

Cardiopulmonary arrest and hypotension have been reported following too rapid intravenous administration (see DOSAGE AND ADMINISTRATION ).

T o report SUSPECTED ADVERSE REACTIONS, contact Hikma Pharmaceuticals USA Inc. at 1-877-845-0689 or FDA at 1-800-FDA-1088 or www.fda.gov/medwatch.

Nursing Mothers

Limited published data based on breast milk sampling reports that clindamycin appears in human breast milk in the range of less than 0.5 to 3.8 mcg/mL at dosages of 150 mg orally to 600 mg intravenously. Clindamycin has the potential to cause adverse effects on the breast-fed infant's gastrointestinal flora. If oral or intravenous clindamycin is required by a nursing mother, it is not a reason to discontinue breastfeeding, but an alternate drug may be preferred. Monitor the breast-fed infant for possible adverse effects on the gastrointestinal flora, such as diarrhea, candidiasis (thrush, diaper rash) or rarely, blood in the stool indicating possible antibiotic-associated colitis.

The developmental and health benefits of breastfeeding should be considered along with the mother's clinical need for clindamycin and any potential adverse effects on the breast-fed child from clindamycin or from the underlying maternal condition.

Laboratory Tests

During prolonged therapy periodic liver and kidney function tests and blood counts should be performed.

Local Reactions:

 Injection site irritation, pain, induration and sterile abscess have been reported after intramuscular injection and thrombophlebitis after intravenous infusion. Reactions can be minimized or avoided by giving deep intramuscular injections and avoiding prolonged use of indwelling intravenous catheters.

Musculoskeletal:

Polyarthritis cases have been reported.

Adverse Reactions (ADVERSE REACTIONS)

The following reactions have been reported with the use of clindamycin.

Contraindications (CONTRAINDICATIONS)

This drug is contraindicated in individuals with a history of hypersensitivity to preparations containing clindamycin or lincomycin.

Drug Interactions

Clindamycin has been shown to have neuromuscular blocking properties that may enhance the action of other neuromuscular blocking agents. Therefore, it should be used with caution in patients receiving such agents.

Clindamycin is metabolized predominantly by CYP3A4, and to a lesser extent by CYP3A5, to the major metabolite clindamycin sulfoxide and minor metabolite  N-desmethylclindamycin.  Therefore, inhibitors of CYP3A4 and CYP3A5 may increase plasma concentrations of clindamycin and inducers of these isoenzymes may reduce plasma concentrations of clindamycin. In the presence of strong CYP3A4 inhibitors, monitor for adverse reactions. In the presence of strong  CYP3A4  inducers such as rifampicin, monitor for loss of effectiveness.

In vitro studies indicate that clindamycin does not inhibit CYP1A2, CYP2C9, CYP2C19, CYP2E1 or CYP2D6 and only moderately inhibits CYP3A4.

Gastrointestinal:

Antibiotic-associated colitis (see WARNINGS ), pseudomembranous colitis, abdominal pain, nausea, and vomiting. The onset of pseudomembranous colitis symptoms may occur during or after antibacterial treatment (see WARNINGS ). An unpleasant or metallic taste has been reported after intravenous administration of the higher doses of clindamycin phosphate.

Directions for Use (DIRECTIONS FOR USE)

Premixed clindamycin in 5% dextrose injection IV solution is for intravenous administration using sterile equipment. If leaks are found, discard solution as sterility may be impaired. Do not add supplementary medication. Parenteral drug products should be inspected visually for particulate matter and discoloration prior to administration whenever solution and container permit. Do not use unless solution is clear and seal is intact.

Caution: Do not use in series connections. Such use could result in air embolism due to residual air being drawn from the primary container before administration of the fluid from the secondary container is complete.

Geriatric Patients

Pharmacokinetic studies in elderly volunteers (61 to 79 years) and younger adults (18 to 39 years) indicate that age alone does not alter clindamycin pharmacokinetics (clearance, elimination half-life, volume of distribution, and area under the serum concentration-time curve) after IV administration of clindamycin phosphate. After oral administration of clindamycin hydrochloride, the average elimination half-life is increased to approximately 4.0 hours (range 3.4 to 5.1 h) in the elderly, compared to 3.2 hours (range 2.1 to 4.2 h) in younger adults. The extent of absorption, however, is not different between age groups and no dosage alteration is necessary for the elderly with normal hepatic function and normal (age-adjusted) renal function1.



Serialization Image (SERIALIZATION IMAGE)



Usage in Meningitis

Since clindamycin does not diffuse adequately into the cerebrospinal fluid, the drug should not be used in the treatment of meningitis.

Indications and Usage (INDICATIONS AND USAGE)

Clindamycin in 5% dextrose injection is indicated in the treatment of serious infections caused by susceptible anaerobic bacteria.

Clindamycin in 5% dextrose injection is also indicated in the treatment of serious infections due to susceptible strains of streptococci, pneumococci, and staphylococci. Its use should be reserved for penicillin-allergic patients or other patients for whom, in the judgment of the physician, a penicillin is inappropriate. Because of the risk of antibiotic-associated pseudomembranous colitis, as described in the BOXED WARNING , before selecting clindamycin the physician should consider the nature of the infection and the suitability of less toxic alternatives (e.g., erythromycin).

Bacteriologic studies should be performed to determine the causative organisms and their susceptibility to clindamycin.

Indicated surgical procedures should be performed in conjunction with antibiotic therapy.

Clindamycin in 5% dextrose injection is indicated in the treatment of serious infections caused by susceptible strains of the designated organisms in the conditions listed below:

Lower respiratory tract infections including pneumonia, empyema, and lung abscess caused by anaerobes, Streptococcus pneumoniae, other streptococci (except E. faecalis), and Staphylococcus aureus.

Skin and skin structure infections caused by Streptococcus pyogenes, Staphylococcus aureus, and anaerobes.

Gynecological infections including endometritis, nongonococcal tubo-ovarian abscess, pelvic cellulitis, and postsurgical vaginal cuff infection caused by susceptible anaerobes.

Intra-abdominal infections including peritonitis and intra-abdominal abscess caused by susceptible anaerobic organisms.

Septicemia caused by Staphylococcus aureus, streptococci (except Enterococcus faecalis), and susceptible anaerobes.

Bone and joint infections including acute hematogenous osteomyelitis caused by Staphylococcus aureus and as adjunctive therapy in the surgical treatment of chronic bone and joint infections due to susceptible organisms.

To reduce the development of drug-resistant bacteria and maintain the effectiveness of clindamycin in 5% dextrose injection and other antibacterial drugs, clindamycin in 5% dextrose injection should be used only to treat or prevent infections that are proven or strongly suspected to be caused by susceptible bacteria. When culture and susceptibility information are available, they should be considered in selecting or modifying antibacterial therapy. In the absence of such data, local epidemiology and susceptibility patterns may contribute to the empiric selection of therapy.

 

Susceptibility Testing

For specific information regarding susceptibility test interpretive criteria and associated test methods and quality control standards recognized by FDA for this drug, please see: https://www.fda.gov/STIC.

Information for Patients

Patients should be counseled that antibacterial drugs including clindamycin in 5% dextrose injection should only be used to treat bacterial infections. They do not treat viral infections (e.g., the common cold). When clindamycin in 5% dextrose injection is prescribed to treat a bacterial infection, patients should be told that although it is common to feel better early in the course of therapy, the medication should be taken exactly as directed. Skipping doses or not completing the full course of therapy may (1) decrease the effectiveness of the immediate treatment and (2) increase the likelihood that bacteria will develop resistance and will not be treatable by clindamycin in 5% dextrose injection or other antibacterial drugs in the future.

Diarrhea is a common problem caused by antibiotics which usually ends when the antibiotic is discontinued. Sometimes after starting treatment with antibiotics, patients can develop watery and bloody stools (with or without stomach cramps and fever) even as late as two or more months after having taken the last dose of the antibiotic. If this occurs, patients should contact their physician as soon as possible.

Clostridioides Difficile (Clostridioides difficile-)

Clostridioides difficile-associated diarrhea (CDAD) has been reported with use of nearly all antibacterial agents, including clindamycin in 5% dextrose injection, and may range in severity from mild diarrhea to fatal colitis. Treatment with antibacterial agents alters the normal flora of the colon leading to overgrowth of C. difficile.

C. difficile produces toxins A and B which contribute to the development of CDAD. Hypertoxin producing strains of C. difficile cause increased morbidity and mortality, as these infections can be refractory to antimicrobial therapy and may require colectomy. CDAD must be considered in all patients who present with diarrhea following antibiotic use. Careful medical history is necessary since CDAD has been reported to occur over two months after the administration of antibacterial agents.

If CDAD is suspected or confirmed, ongoing antibiotic use not directed against C. difficile may need to be discontinued. Appropriate fluid and electrolyte management, protein supplementation, antibiotic treatment of C. difficile, and surgical evaluation should be instituted as clinically indicated.

Dosage and Administration (DOSAGE AND ADMINISTRATION)

If diarrhea occurs during therapy, this antibiotic should be discontinued (see  WARNING  box).

Skin and Mucous Membranes:

Pruritus, vaginitis, angioedema and rare instances of exfoliative dermatitis have been reported (see Hypersensitivity Reactions ).

Hypersensitivity Reactions:

Maculopapular rash and urticaria  have  been observed  during  drug therapy. Generalized mild to moderate morbilliform-like skin rashes are the  most frequently reported of all adverse reactions.

Severe skin reactions such as Toxic Epidermal Necrolysis, some with fatal outcome, have been reported (see WARNINGS ). Cases of Acute Generalized Exanthematous Pustulosis (AGEP), erythema multiforme, some resembling Stevens-Johnson syndrome, have been associated with clindamycin. Anaphylactic shock, anaphylactic reaction and hypersensitivity have also been reported (see WARNINGS ) .

Package/label Display Panel (PACKAGE/LABEL DISPLAY PANEL)

NDC 0143-9267-01

Rx only

Clindamycin

in 5% Dextrose

Injection

300 mg per 50 mL

(6 mg/mL)

For Intravenous Use

50 mL Single-Dose Vial

Infections and Infestations:

Clostridioides difficile colitis

Pediatric Patients Less Than 1 Month: (Pediatric Patients less than 1 month:)

The recommended dosage is 15 to 20 mg/kg/day in 3 to 4 equal doses. See Table 3 regarding the dosing regimen for pediatric patients with post-menstrual age (PMA) less than or equal to 32 weeks, or greater than 32 weeks to less than or equal to 40 weeks.

Table 3: Dosing Regimens for Pediatric Patients with PMA less than or equal to 32 weeks, or greater than 32 weeks to less than or equal to 40 weeks

  PMA (weeks)

Dose (mg/kg)

Dosing Interval (hours)

Less than or equal to 32

5

8

Greater than or equal to 32 to less than or equal to 40

7

 PMA: Post-Menstrual age

 

Infusion Rates:  Infusion rates for Clindamycin in 5% Dextrose Injection should not exceed 30 mg per minute. 

 The usual infusion dilutions and rates are as follows:

Dose

Strength

Time

300 mg/50 mL

6 mg/mL

10 min

600 mg/50 mL

12 mg/mL

20 min

900 mg/50 mL

18 mg/mL

30 min

Administration of more than 1200 mg in a single 1-hour infusion is not recommended.

Parenteral drug products should be inspected visually for particulate matter and discoloration prior to administration, whenever solution and container permit.

Patients With Renal/hepatic Impairment (Patients with Renal/Hepatic Impairment)

The elimination half-life of clindamycin is increased slightly in patients with markedly reduced renal or hepatic function. Hemodialysis and peritoneal dialysis are not effective in removing clindamycin from the serum. Dosage schedules do not need to be modified in patients with renal or hepatic disease.

Pediatric Patients 1 Month of Age to 16 Years: (Pediatric patients 1 month of age to 16 years:)

Parenteral (IV) Administration: 20 to 40 mg/kg/day in 3 or 4 equal doses. The higher doses would be used for more severe infections. As an alternative to dosing on a body weight basis, pediatric patients may be dosed on the basis of square meters body surface: 350 mg/m2/day for serious infections and 450 mg/m2/day for more severe infections.

Parenteral therapy may be changed to oral clindamycin palmitate hydrochloride granules or clindamycin hydrochloride capsules when the condition warrants and at the discretion of the physician.

In cases of β-hemolytic streptococcal infections, treatment should be continued for at least 10 days.

Anaphylactic and Severe Hypersensitivity Reactions

Anaphylactic shock and anaphylactic reactions have been reported (see ADVERSE REACTIONS).

Severe hypersensitivity reactions, including severe skin reactions such as toxic epidermal necrolysis (TEN), drug reaction with eosinophilia and systemic symptoms (DRESS), and Stevens-Johnson syndrome (SJS), some with fatal outcome, have been reported (see ADVERSE REACTIONS).

In case of such an anaphylactic or severe hypersensitivity reaction, discontinue treatment permanently and institute appropriate therapy.

A careful inquiry should be made concerning previous sensitivities to drugs and other allergens

Carcinogenesis, Mutagenesis, Impairment of Fertility

Long term studies in animals have not been performed with clindamycin to evaluate carcinogenic potential. Genotoxicity tests performed included a rat micronucleus test and an Ames Salmonella reversion test. Both tests were negative.

Fertility studies in rats treated orally with up to 300 mg/kg/day (approximately 1.1 times the highest recommended adult human dose based on mg/m2) revealed no effects on fertility or mating ability.

Pharmacokinetics in Pediatric Patients With Pma ≤32 Weeks, Or >32 to ≤40 Weeks (Pharmacokinetics in Pediatric Patients with PMA ≤32 weeks, or >32 to ≤40 weeks)

 Systemic clearance (CL) in premature infants increases with increases in body weight (kg) and post-menstrual age (PMA). The dosing regimens for pediatric patients ≤32 weeks PMA (5 mg/kg) and >32 to 40 weeks PMA (7 mg/kg), both administered intravenously every 8 hours, achieve exposures comparable to therapeutic exposures in adults (weighing 70 kg) administered clindamycin 600 mg every 8 hours (Table 1).

Table 1. Predicted Drug Exposure (Mean ± SD) of Clindamycin in Adults and in Pediatric Patients with PMA ≤32 weeks, or >32 to ≤40 weeks

Age

Adult (70 kg)

PMA ≤32 weeks

PMA>32 to ≤40 weeks

Dose (every 8 hours)

600 mg

5 mg/kg

7 mg/kg

AUCss,0-8 hour

(mcgꞏh/mL)

50.5 (30.95)

52.5 (17)

55.9 (23.55)

Cmax,ss (mcg/mL)

12  (3.49)

9 (2.02)

10.5 (2.79)

Cmin,ss (mcg/mL)

3.1 (3.34)

4.6 (2)

4.4 (2.77)

PMA: post-menstrual age; AUCss,0-8 hour: area under the concentration-time curve during a dosing interval at steady state; Cmax,ss: maximum drug concentration at steady state; Cmin,ss: minimum or trough drug concentration at steady state.

Obese Pediatric Patients Aged 2 to Less Than 18 Years and Obese Adults Aged 18 to 20 Years (Obese Pediatric Patients Aged 2 to Less than 18 Years and Obese Adults Aged 18 to 20 Years)

An analysis of pharmacokinetic data in obese pediatric patients aged 2 to less than 18 years and obese adults aged 18 to 20 years demonstrated that clindamycin clearance and volume of distribution, normalized by total body weight, are comparable regardless of obesity


Advanced Ingredient Data


Raw Label Data

All Sections (JSON)