Amiloride Hydrochloride And Hydrochlorothiazide Tablets, Usp

Amiloride Hydrochloride And Hydrochlorothiazide Tablets, Usp
SPL v12
SPL
SPL Set ID 8b2c581a-f955-4a8e-bf85-e768e903fd10
Route
ORAL
Published
Effective Date 2022-12-27
Document Type 34391-3 HUMAN PRESCRIPTION DRUG LABEL

Drug Facts

Composition & Product

Active Ingredients
Hydrochlorothiazide (5 mg)
Inactive Ingredients
Croscarmellose Sodium D&c Yellow No. 10 Aluminum Lake Aluminum Oxide Lactose Monohydrate Magnesium Oxide Magnesium Stearate Cellulose, Microcrystalline

Identifiers & Packaging

Pill Appearance
Imprint: 555;483;barr Shape: round Color: yellow Size: 9 mm Score: 2
Marketing Status
ANDA Active Since 1989-12-01

Description

5 mg/50 mg Rx only

Indications and Usage

Amiloride hydrochloride and hydrochlorothiazide tablets are indicated in those patients with hypertension or with congestive heart failure who develop hypokalemia when thiazides or other kaliuretic diuretics are used alone, or in whom maintenance of normal serum potassium levels is considered to be clinically important, e.g., digitalized patients, or patients with significant cardiac arrhythmias. The use of potassium-conserving agents is often unnecessary in patients receiving diuretics for uncomplicated essential hypertension when such patients have a normal diet. Amiloride hydrochloride and hydrochlorothiazide tablets may be used alone or as an adjunct to other antihypertensive drugs, such as methyldopa or beta blockers. Since amiloride hydrochloride and hydrochlorothiazide enhances the action of these agents, dosage adjustments may be necessary to avoid an excessive fall in blood pressure and other unwanted side effects. The fixed combination drug is not indicated for the initial therapy of edema or hypertension except in individuals in whom the development of hypokalemia cannot be risked.

Dosage and Administration

Amiloride hydrochloride and hydrochlorothiazide tablets should be administered with food. The usual starting dosage is 1 tablet a day. The dosage may be increased to 2 tablets a day, if necessary. More than 2 tablets of amiloride hydrochloride and hydrochlorothiazide daily usually are not needed and there is no controlled experience with such doses. Hydrochlorothiazide can be given at doses of 12.5 to 50 mg per day when used alone. Patients usually do not require doses of hydrochlorothiazide in excess of 50 mg daily when combined with other antihypertensive agents. The daily dose is usually given as a single dose but may be given in divided doses. Once an initial diuresis has been achieved, dosage adjustment may be necessary. Maintenance therapy may be on an intermittent basis.

Adverse Reactions

Amiloride hydrochloride and hydrochlorothiazide is usually well tolerated and significant clinical adverse effects have been reported infrequently. The risk of hyperkalemia (serum potassium levels greater than 5.5 mEq per liter) with amiloride hydrochloride and hydrochlorothiazide is about 1 to 2 percent in patients without renal impairment or diabetes mellitus (see WARNINGS ). Minor adverse reactions to amiloride hydrochloride have been reported relatively frequently (about 20%) but the relationship of many of the reports to amiloride HCl is uncertain and the overall frequency was similar to hydrochlorothiazide treated groups. Nausea/anorexia, abdominal pain, flatulence, and mild skin rash have been reported and probably are related to amiloride. Other adverse experiences that have been reported with amiloride and hydrochlorothiazide are generally those known to be associated with diuresis, thiazide therapy, or with the underlying disease being treated. Clinical trials have not demonstrated that combining amiloride and hydrochlorothiazide increases the risk of adverse reactions over those seen with the individual components. The adverse reactions for amiloride and hydrochlorothiazide listed in the following table have been arranged into two groups: (1) incidence greater than one percent; and (2) incidence one percent or less. The incidence for group (1) was determined from clinical studies conducted in the United States (607 patients treated with amiloride and hydrochlorothiazide). The adverse effects listed in group (2) include reports from the same clinical studies and voluntary reports since marketing. The probability of a causal relationship exists between amiloride and hydrochlorothiazide and these adverse reactions, some of which have been reported only rarely.   Incidence > 1%   Incidence ≤ 1%   Body as a Whole     Headache 1 Weakness 1 Fatigue/tiredness   Malaise Chest pain Back pain Syncope   Cardiovascular     Arrhythmia   Tachycardia Digitalis toxicity Orthostatic hypotension Angina pectoris   Digestive     Nausea/anorexia 1 Diarrhea Gastrointestinal pain Abdominal pain   Constipation GI bleeding GI disturbance Appetite changes Abdominal fullness Hiccups Thirst Vomiting Anorexia Flatulence   Metabolic     Elevated serum potassium levels (> 5.5 mEq per liter) 2   Gout Dehydration Symptomatic hyponatremia 3   Musculoskeletal     Leg ache   Muscle cramps/spasm Joint pain   Nervous     Dizziness 1   Paresthesia/numbness Stupor Vertigo   Psychiatric None   Insomnia Nervousness Depression Sleepiness Mental confusion   Respiratory     Dyspnea   None   Skin     Rash 1 Pruritus   Flushing Diaphoresis Erythema multiforme including Stevens- Johnson syndrome Exfoliative dermatitis including toxic epidermal necrolysis Alopecia   Special Senses     None   Bad taste Visual disturbance Nasal congestion   Urogenital     None   Impotence Nocturia Dysuria Incontinence Renal dysfunction including renal failure Gynecomastia 1. Reactions occurring in 3% to 8% of patients treated with amiloride hydrochloride and hydrochlorothiazide. (Those reactions occurring in less than 3% of the patients are unmarked.) 2. See WARNINGS 3. See PRECAUTIONS Other adverse reactions that have been reported with the individual components and within each category are listed in order of decreasing severity:

Drug Interactions

In some patients, the administration of a non-steroidal anti-inflammatory agent can reduce the diuretic, natriuretic, and antihypertensive effects of loop, potassium-sparing and thiazide diuretics. Therefore, when amiloride and hydrochlorothiazide plus non-steroidal anti-inflammatory agents are used concomitantly, the patient should be observed closely to determine if the desired effect of the diuretic is obtained. Since indomethacin and potassium-sparing diuretics, including this product, may each be associated with increased serum potassium levels, the potential effects on potassium kinetics and renal function should be considered when these agents are administered concurrently.

How Supplied

Amiloride hydrochloride and hydrochlorothiazide tablets, USP are available as:   5 mg/50 mg:   Light yellow, round, scored, biconvex tablet. Debossed with 555 over 483 on the scored side and stylized barr on the other side. Each tablet contains 5 mg of anhydrous amiloride HCl, USP and 50 mg of hydrochlorothiazide, USP.     100 Tablets NDC 0555-0483-02 1000 Tablets NDC 0555-0483-05 Dispense in a tight, light-resistant container as defined in the USP, with a child-resistant closure (as required). Store at 20º to 25ºC (68º to 77ºF) [See USP Controlled Room Temperature]. Keep this and all medications out of the reach of children. Manufactured In Canada By:   Teva Canada Limited   Toronto, Canada M1B 2K9  Manufactured For:   Teva Pharmaceuticals   Parsippany, NJ 07054 Rev. D 12/2022


Medication Information

Recent Major Changes

Like other potassium-conserving diuretic combinations, amiloride and hydrochlorothiazide may cause hyperkalemia (serum potassium levels greater than 5.5 mEq per liter). In patients without renal impairment or diabetes mellitus, the risk of hyperkalemia with this combination product is about 1 to 2 percent. This risk is higher in patients with renal impairment or diabetes mellitus (even without recognized diabetic nephropathy). Since hyperkalemia, if uncorrected, is potentially fatal, it is essential to monitor serum potassium levels carefully in any patient receiving amiloride hydrochloride and hydrochlorothiazide, particularly when it is first introduced, at the time of dosage adjustments, and during any illness that could affect renal function.

Indications and Usage

Amiloride hydrochloride and hydrochlorothiazide tablets are indicated in those patients with hypertension or with congestive heart failure who develop hypokalemia when thiazides or other kaliuretic diuretics are used alone, or in whom maintenance of normal serum potassium levels is considered to be clinically important, e.g., digitalized patients, or patients with significant cardiac arrhythmias.

The use of potassium-conserving agents is often unnecessary in patients receiving diuretics for uncomplicated essential hypertension when such patients have a normal diet.

Amiloride hydrochloride and hydrochlorothiazide tablets may be used alone or as an adjunct to other antihypertensive drugs, such as methyldopa or beta blockers. Since amiloride hydrochloride and hydrochlorothiazide enhances the action of these agents, dosage adjustments may be necessary to avoid an excessive fall in blood pressure and other unwanted side effects.

The fixed combination drug is not indicated for the initial therapy of edema or hypertension except in individuals in whom the development of hypokalemia cannot be risked.

Dosage and Administration

Amiloride hydrochloride and hydrochlorothiazide tablets should be administered with food.

The usual starting dosage is 1 tablet a day. The dosage may be increased to 2 tablets a day, if necessary. More than 2 tablets of amiloride hydrochloride and hydrochlorothiazide daily usually are not needed and there is no controlled experience with such doses.

Hydrochlorothiazide can be given at doses of 12.5 to 50 mg per day when used alone. Patients usually do not require doses of hydrochlorothiazide in excess of 50 mg daily when combined with other antihypertensive agents. The daily dose is usually given as a single dose but may be given in divided doses. Once an initial diuresis has been achieved, dosage adjustment may be necessary. Maintenance therapy may be on an intermittent basis.

Adverse Reactions

Amiloride hydrochloride and hydrochlorothiazide is usually well tolerated and significant clinical adverse effects have been reported infrequently. The risk of hyperkalemia (serum potassium levels greater than 5.5 mEq per liter) with amiloride hydrochloride and hydrochlorothiazide is about 1 to 2 percent in patients without renal impairment or diabetes mellitus (see WARNINGS ). Minor adverse reactions to amiloride hydrochloride have been reported relatively frequently (about 20%) but the relationship of many of the reports to amiloride HCl is uncertain and the overall frequency was similar to hydrochlorothiazide treated groups. Nausea/anorexia, abdominal pain, flatulence, and mild skin rash have been reported and probably are related to amiloride. Other adverse experiences that have been reported with amiloride and hydrochlorothiazide are generally those known to be associated with diuresis, thiazide therapy, or with the underlying disease being treated. Clinical trials have not demonstrated that combining amiloride and hydrochlorothiazide increases the risk of adverse reactions over those seen with the individual components.

The adverse reactions for amiloride and hydrochlorothiazide listed in the following table have been arranged into two groups: (1) incidence greater than one percent; and (2) incidence one percent or less. The incidence for group (1) was determined from clinical studies conducted in the United States (607 patients treated with amiloride and hydrochlorothiazide). The adverse effects listed in group (2) include reports from the same clinical studies and voluntary reports since marketing. The probability of a causal relationship exists between amiloride and hydrochlorothiazide and these adverse reactions, some of which have been reported only rarely.

 

Incidence > 1%

 

Incidence ≤ 1%

 

Body as a Whole

 
 

Headache 1

Weakness 1

Fatigue/tiredness

 

Malaise

Chest pain

Back pain

Syncope

 

Cardiovascular

 
 

Arrhythmia

 

Tachycardia

Digitalis toxicity

Orthostatic hypotension

Angina pectoris

 

Digestive

 
 

Nausea/anorexia 1

Diarrhea

Gastrointestinal pain

Abdominal pain

 

Constipation

GI bleeding

GI disturbance

Appetite changes

Abdominal fullness

Hiccups

Thirst

Vomiting

Anorexia

Flatulence

 

Metabolic

 
 

Elevated serum potassium levels

(> 5.5 mEq per liter) 2

 

Gout

Dehydration

Symptomatic hyponatremia 3

 

Musculoskeletal

 
 

Leg ache

 

Muscle cramps/spasm

Joint pain

 

Nervous

 
 

Dizziness 1

 

Paresthesia/numbness

Stupor

Vertigo

 

Psychiatric

None

 

Insomnia

Nervousness

Depression

Sleepiness

Mental confusion

 

Respiratory

 
 

Dyspnea

 

None

 

Skin

 
 

Rash 1

Pruritus

 

Flushing

Diaphoresis

Erythema multiforme including Stevens-

Johnson syndrome

Exfoliative dermatitis including toxic

epidermal necrolysis

Alopecia

 

Special Senses

 
 

None

 

Bad taste

Visual disturbance

Nasal congestion

 

Urogenital

 
 

None

 

Impotence

Nocturia

Dysuria

Incontinence

Renal dysfunction including renal failure

Gynecomastia

1. Reactions occurring in 3% to 8% of patients treated with amiloride hydrochloride and hydrochlorothiazide. (Those reactions occurring in less than 3% of the patients are unmarked.)

2. See WARNINGS

3. See PRECAUTIONS

Other adverse reactions that have been reported with the individual components and within each category are listed in order of decreasing severity:

Drug Interactions

In some patients, the administration of a non-steroidal anti-inflammatory agent can reduce the diuretic, natriuretic, and antihypertensive effects of loop, potassium-sparing and thiazide diuretics. Therefore, when amiloride and hydrochlorothiazide plus non-steroidal anti-inflammatory agents are used concomitantly, the patient should be observed closely to determine if the desired effect of the diuretic is obtained. Since indomethacin and potassium-sparing diuretics, including this product, may each be associated with increased serum potassium levels, the potential effects on potassium kinetics and renal function should be considered when these agents are administered concurrently.

How Supplied

Amiloride hydrochloride and hydrochlorothiazide tablets, USP are available as:

 

5 mg/50 mg:

 

Light yellow, round, scored, biconvex tablet. Debossed with 555 over 483 on the scored side and stylized barr on the other side. Each tablet contains 5 mg of anhydrous amiloride HCl, USP and 50 mg of hydrochlorothiazide, USP.

   

100 Tablets NDC 0555-0483-02

1000 Tablets NDC 0555-0483-05

Dispense in a tight, light-resistant container as defined in the USP, with a child-resistant closure (as required).

Store at 20º to 25ºC (68º to 77ºF) [See USP Controlled Room Temperature].

Keep this and all medications out of the reach of children.

Manufactured In Canada By:

 Teva Canada Limited

 Toronto, Canada M1B 2K9

 Manufactured For:

 Teva Pharmaceuticals

 Parsippany, NJ 07054

Rev. D 12/2022

Description

Amiloride hydrochloride and hydrochlorothiazide tablets, USP combine the potassium-conserving action of amiloride hydrochloride with the natriuretic action of hydrochlorothiazide.

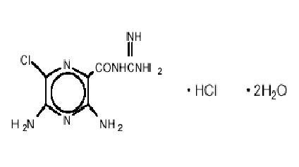
Amiloride HCl, USP is designated chemically as N-amidino-3,5,-diamino-6-chloropyrazine-carboxamide monohydrochloride dihydrate and its structural formula is:

                                                                                                             C6H8CIN7O•HCl•2H2O  M.W. 302.12

Hydrochlorothiazide, USP is designated chemically as 6-chloro-3,4-dihydro-2H-1, 2, 4-benzo-thiadiazine-7-sulfonamide 1, 1-dioxide. Its structural formula is:

                                                                                                                     C7H8CIN3O4S2  M.W. 297.74

It is a white, or practically white, crystalline powder which is slightly soluble in water, but freely soluble in sodium hydroxide solution.

Each tablet, for oral administration, contains 5 mg of amiloride hydrochloride, USP (calculated on the anhydrous basis) and 50 mg of hydrochlorothiazide, USP.

Inactive Ingredients: Croscarmellose sodium, D&C yellow no. 10 (aluminum lake), lactose monohydrate, magnesium oxide, magnesium stearate, microcrystalline cellulose.

Section 42229-5

5 mg/50 mg

Rx only

Lithium

Generally should not be given with diuretics. Diuretic agents reduce the renal clearance of lithium and add a high risk of lithium toxicity. Refer to the package insert for lithium preparations before use of such preparations with this combination product.

Amiloride

Body as a Whole: Painful extremities, neck/shoulder ache, fatigability.

Cardiovascular: Palpitation.

Digestive: Activation of probable pre-existing peptic ulcer, abnormal liver function, jaundice, dyspepsia, heartburn.

Hematologic: Aplastic anemia, neutropenia.

Integumentary: Alopecia, itching, dry mouth.

Nervous System/Psychiatric: Encephalopathy, tremors, decreased libido.

Respiratory: Shortness of breath, cough.

Special Senses: Increased intraocular pressure, tinnitus.

Urogenital: Bladder spasms, polyuria, urinary frequency.

Overdosage

No data are available in regard to overdosage in humans. The oral LD50 of the combination drug is 189 and 422 mg/kg for female mice and female rats, respectively.

It is not known whether the drug is dialyzable.

No specific information is available on the treatment of overdosage with amiloride and hydrochlorothiazide and no specific antidote is available. Treatment is symptomatic and supportive. Therapy with amiloride and hydrochlorothiazide should be discontinued and the patient observed closely. Suggested measures include the induction of emesis and/or gastric lavage.

Hyperkalemia

Amiloride hydrochloride and hydrochlorothiazide tablets should not be used in the presence of elevated serum potassium levels (greater than 5.5 mEq per liter).

Amiloride Hcl

When amiloride HCl is administered concomitantly with an angiotensin-converting enzyme inhibitor, cyclosporine or tacrolimus, the risk of hyperkalemia may be increased. Therefore, if concomitant use of these agents is indicated because of demonstrated hypokalemia, they should be used with caution and with frequent monitoring of serum potassium (see WARNINGS ).

Geriatric Use

Clinical studies of amiloride hydrochloride and hydrochlorothiazide tablets did not include sufficient numbers of subjects aged 65 and over to determine whether they responded differently from younger subjects. Other reported clinical experience has not identified differences in responses between the elderly and younger patients. In general, dose selection for an elderly patient should be cautious, usually starting at the low end of the dosing range, reflecting the greater frequency of decreased hepatic, renal or cardiac function, and the comitant disease or other drug therapy.

This drug is known to be substantially excreted by the kidney, and the risk of toxic reactions to this drug may be greater in patients with impaired renal function. Because elderly patients are more likely to have decreased renal function, care should be taken in dose selection, and it may be useful to monitor renal function (see CONTRAINDICATIONS , Impaired Renal Function ).

Pediatric Use

Safety and effectiveness in pediatric patients have not been established.

Nursing Mothers

Studies in rats have shown that amiloride is excreted in milk in concentrations higher than those found in blood, but it is not known whether amiloride HCl is excreted in human milk. However, thiazides appear in breast milk. Because of the potential for serious adverse reactions in nursing infants, a decision should be made whether to discontinue nursing or to discontinue the drug, taking into account the importance of the drug to the mother.

Hypersensitivity

Amiloride hydrochloride and hydrochlorothiazide tablets is contraindicated in patients who are hypersensitive to this product, or to other sulfonamide-derived drugs.

Diabetes Mellitus

In diabetic patients, hyperkalemia has been reported with the use of all potassium-conserving diuretics, including amiloride HCl, even in patients without evidence of diabetic nephropathy. Therefore, amiloride and hydrochlorothiazide should be avoided, if possible, in diabetic patients and, if it is used, serum electrolytes and renal function must be monitored frequently.

Amiloride and hydrochlorothiazide should be discontinued at least three days before glucose tolerance testing.

Other Precautions

In patients receiving thiazides, sensitivity reactions may occur with or without a history of allergy or bronchial asthma. The possibility of exacerbation or activation of systemic lupus erythematosus has been reported with the use of thiazides.

Increases in cholesterol and triglyceride levels may be associated with thiazide diuretic therapy.

Hydrochlorothiazide

The mechanism of the antihypertensive effect of thiazides is unknown. Thiazides do not usually affect normal blood pressure.

Hydrochlorothiazide is a diuretic and antihypertensive. It affects the distal renal tubular mechanism of electrolyte reabsorption. Hydrochlorothiazide increases excretion of sodium and chloride in approximately equivalent amounts. Natriuresis may be accompanied by some loss of potassium and bicarbonate.

After oral administration diuresis begins within two hours, peaks in about four hours and lasts about 6 to 12 hours.

Hydrochlorothiazide is not metabolized but is eliminated rapidly by the kidney. When plasma levels have been followed for at least 24 hours, the plasma half-life has been observed to vary between 5.6 and 14.8 hours. At least 61 percent of the oral dose is eliminated unchanged within 24 hours. Hydrochlorothiazide crosses the placental but not the blood-brain barrier and is excreted in breast milk.

Teratogenic Effects

Studies in which hydrochlorothiazide was orally administered to pregnant mice and rats during their respective periods of major organogenesis at doses up to 3000 and 1000 mg hydrochlorothiazide/kg, respectively, provided no evidence of harm to the fetus. There are, however, no adequate and well-controlled studies in pregnant women.

Clinical Pharmacology

Amiloride hydrochloride and hydrochlorothiazide tablets provide diuretic and antihypertensive activity (principally due to the hydrochlorothiazide component), while acting through the amiloride component to prevent the excessive potassium loss that may occur in patients receiving a thiazide diuretic. Due to its amiloride component, the urinary excretion of magnesium is less with amiloride and hydrochlorothiazide than with a thiazide or loop diuretic used alone (see PRECAUTIONS ). The onset of the diuretic action of this product is within 1 to 2 hours and this action appears to be sustained for approximately 24 hours.

Corticosteroids, Acth

Intensified electrolyte depletion, particularly hypokalemia.

Nonteratogenic Effects

Thiazides cross the placental barrier and appear in cord blood. There is a risk of fetal or neonatal jaundice, thrombocytopenia, and possibly other adverse reactions that have occurred in adults.

Amiloride Hydrochloride

Amiloride Hydrochloride is a potassium-conserving (antikaliuretic) drug that possesses weak (compared with thiazide diuretics) natriuretic, diuretic, and antihypertensive activity. These effects have been partially additive to the effects of thiazide diuretics in some clinical studies. Amiloride HCl has potassium-conserving activity in patients receiving kaliuretic-diuretic agents.

Amiloride HCl is not an aldosterone antagonist and its effects are seen even in the absence of aldosterone.

Amiloride HCl exerts its potassium-sparing effect through the inhibition of sodium reabsorption at the distal convoluted tubule, cortical collecting tubule and collecting duct; this decreases the net negative potential of the tubular lumen and reduces both potassium and hydrogen secretion and their subsequent excretion. This mechanism accounts in large part for the potassium-sparing action of amiloride.

Amiloride HCl usually begins to act within two hours after an oral dose. Its effect on electrolyte excretion reaches a peak between 6 to 10 hours and lasts about 24 hours. Peak plasma levels are obtained in 3 to 4 hours and the plasma half-life varies from 6 to 9 hours. Effects on electrolytes increase with single doses of amiloride hydrochloride up to approximately 15 mg.

Amiloride HCl is not metabolized by the liver but is excreted unchanged by the kidneys. About 50 percent of a 20 mg dose of amiloride hydrochloride is excreted in the urine and 40 percent in the stool within 72 hours. Amiloride HCl has little effect on glomerular filtration rate or renal blood flow. Because amiloride HCl is not metabolized by the liver, drug accumulation is not anticipated in patients with hepatic dysfunction, but accumulation can occur if the hepatorenal syndrome develops.

Impaired Renal Function

Anuria, acute or chronic renal insufficiency, and evidence of diabetic nephropathy are contraindications to the use of amiloride hydrochloride and hydrochlorothiazide. Patients with evidence of renal function impairment (blood urea nitrogen [BUN] levels over 30 mg per 100 mL or serum creatinine levels over 1.5 mg per 100 mL) or diabetes mellitus should not receive the drug without careful, frequent and continuing monitoring of serum electrolytes, creatinine, and BUN levels. Potassium retention associated with the use of an antikaliuretic agent is accentuated in the presence of renal impairment and may result in the rapid development of hyperkalemia.

Information for Patients

Non-melanoma Skin Cancer: Instruct patients taking hydrochlorothiazide to protect skin from the sun and undergo regular skin cancer screening.

Postmarketing Experience

Non-melanoma Skin Cancer

Hydrochlorothiazide is associated with an increased risk of non-melanoma skin cancer. In a study conducted in the Sentinel System, increased risk was predominantly for squamous cell carcinoma (SCC) and in white patients taking large cumulative doses. The increased risk for SCC in the overall population was approximately 1 additional case per 16,000 patients per year, and for white patients taking a cumulative dose of ≥ 50,000 mg the risk increase was approximately 1 additional SCC case for every 6,700 patients per year.

To report SUSPECTED ADVERSE REACTIONS, contact Teva at 1-888-838-2872 or FDA at 1-800-FDA-1088 or http://www.fda.gov/medwatch.

Treatment of Hyperkalemia

If hyperkalemia occurs in patients taking amiloride and hydrochlorothiazide, the drug should be discontinued immediately. If the serum potassium level exceeds 6.5 mEq per liter, active measures should be taken to reduce it. Such measures include the intravenous administration of sodium bicarbonate solution or oral or parenteral glucose with a rapid-acting insulin preparation. If needed, a cation exchange resin such as sodium polystyrene sulfonate may be given orally or by enema. Patients with persistent hyperkalemia may require dialysis.

Package/label Display Panel

NDC 0555-0483-02

Amiloride Hydrochloride and Hydrochlorothiazide Tablets, USP

5 mg/50 mg

Rx only

100 Tablets

Other Antihypertensive Drugs

Additive effect or potentiation.

Metabolic and Endocrine Effects

In diabetic patients, insulin requirements may be increased, decreased, or unchanged due to the hydrochlorothiazide component. Diabetes mellitus that has been latent may become manifest during administration of thiazide diuretics.

Because calcium excretion is decreased by thiazides, amiloride and hydrochlorothiazide should be discontinued before carrying out tests for parathyroid function. Pathologic changes in the parathyroid glands, with hypercalcemia and hypophosphatemia have been observed in a few patients on prolonged thiazide therapy; however, the common complications of hyperparathyroidism such as renal lithiasis, bone resorption, and peptic ulceration have not been seen.

Hyperuricemia may occur or acute gout may be precipitated in certain patients receiving thiazide therapy.

Metabolic Or Respiratory Acidosis

Antikaliuretic therapy should be instituted only with caution in severely ill patients in whom respiratory or metabolic acidosis may occur, such as patients with cardiopulmonary disease or poorly controlled diabetes. If amiloride and hydrochlorothiazide is given to these patients, frequent monitoring of acid-base balance is necessary. Shifts in acid-base balance alter the ratio of extracellular/intracellular potassium, and the development of acidosis may be associated with rapid increases in serum potassium levels.

Alcohol, Barbiturates, Or Narcotics

Potentiation of orthostatic hypotension may occur.

Cholestyramine and Colestipol Resins

Absorption of hydrochlorothiazide is impaired in the presence of anionic exchange resins. Single doses of cholestyramine and colestipol resins bind the hydrochlorothiazide and reduce its absorption from the gastrointestinal tract by up to 85 and 43 percent, respectively.

Pressor Amines (e.g., Norepinephrine)

Possible decreased response to pressor amines but not sufficient to preclude their use.

Electrolyte Imbalance and Bun Increases

Determination of serum electrolytes to detect possible electrolyte imbalance should be performed at appropriate intervals.

Patients should be observed for clinical signs of fluid or electrolytes imbalance: i.e., hyponatremia, hypochloremic alkalosis, and hypokalemia. Serum and urine electrolyte determinations are particularly important when the patient is vomiting excessively or receiving parenteral fluids. Warning signs or symptoms of fluid and electrolyte imbalance, irrespective of cause, include dryness of mouth, thirst, weakness, lethargy, drowsiness, restlessness, confusion, seizures, muscle pains or cramps, muscular fatigue, hypotension, oliguria, tachycardia, and gastrointestinal disturbances such as nausea and vomiting.

Hyponatremia and hypochloremia may occur during the use of thiazides and other diuretics. Any chloride deficit during thiazide therapy is generally mild and may be lessened by the amiloride HCl component of this product. Hypochloremia usually does not require specific treatment except under extraordinary circumstances (as in liver disease or renal disease). Dilutional hyponatremia may occur in edematous patients in hot weather; appropriate therapy is water restriction, rather than administration of salt, except in rare instances when the hyponatremia is life threatening. In actual salt depletion, appropriate replacement is the therapy of choice.

Hypokalemia may develop during thiazide therapy, especially with brisk diuresis, when severe cirrhosis is present, during concomitant use of corticosteroids or ACTH, or after prolonged therapy. However, this usually is prevented by the amiloride hydrochloride component of this combination drug product.

Interference with adequate oral electrolyte intake will also contribute to hypokalemia. Hypokalemia may cause cardiac arrhythmia and may also sensitize or exaggerate the response of the heart to the toxic effects of digitalis (e.g., increased ventricular irritability).

Thiazides have been shown to increase the urinary excretion of magnesium; this may result in hypomagnesemia. Amiloride hydrochloride, a component of this combination product, has been shown to decrease the enhanced urinary excretion of magnesium which occurs when a thiazide or loop diuretic is used alone.

Increases in BUN levels have been reported with amiloride hydrochloride and with hydrochlorothiazide. These increases usually have accompanied vigorous fluid elimination, especially when diuretic therapy was used in seriously ill patients, such as those who had hepatic cirrhosis with ascites and metabolic alkalosis, or those with resistant edema. Therefore, when amiloride and hydrochlorothiazide is given to such patients, careful monitoring of serum electrolyte and BUN levels is important. In patients with pre-existing severe liver disease, hepatic encephalopathy, manifested by tremors, confusion, and coma, and increased jaundice, have been reported in association with diuretic therapy including amiloride HCl and hydrochlorothiazide.

In patients with renal disease, diuretics may precipitate azotemia. Cumulative effects of the components of amiloride hydrochloride and hydrochlorothiazide may develop in patients with impaired renal function. If renal impairment becomes evident, amiloride and hydrochlorothiazide should be discontinued (see CONTRAINDICATIONS and WARNINGS ).

Antidiabetic Drugs (oral Agents and Insulin)

Dosage adjustment of the antidiabetic drug may be required.

Antikaliuretic Therapy Or Potassium Supplementation

Amiloride hydrochloride and hydrochlorothiazide should not be given to patients receiving other potassium-conserving agents, such as spironolactone or triamterene. Potassium supplementation in the form of medication, potassium-containing salt substitutes or a potassium-rich diet should not be used with this product except in severe and/or refractory cases of hypokalemia. Such concomitant therapy can be associated with rapid increases in serum potassium levels. If potassium supplementation is used, careful monitoring of the serum potassium level is necessary.

Carcinogenesis, Mutagenicity, Impairment of Fertility

Long-term studies in animals have not been performed to evaluate the effects upon fertility, mutagenicity or carcinogenic potential of amiloride hydrochloride and hydrochlorothiazide.

Skeletal Muscle Relaxants, Nondepolarizing (e.g., Tubocurarine)

Possible increased responsiveness to the muscle relaxant.


Structured Label Content

Recent Major Changes (34066-1)

Like other potassium-conserving diuretic combinations, amiloride and hydrochlorothiazide may cause hyperkalemia (serum potassium levels greater than 5.5 mEq per liter). In patients without renal impairment or diabetes mellitus, the risk of hyperkalemia with this combination product is about 1 to 2 percent. This risk is higher in patients with renal impairment or diabetes mellitus (even without recognized diabetic nephropathy). Since hyperkalemia, if uncorrected, is potentially fatal, it is essential to monitor serum potassium levels carefully in any patient receiving amiloride hydrochloride and hydrochlorothiazide, particularly when it is first introduced, at the time of dosage adjustments, and during any illness that could affect renal function.

Section 42229-5 (42229-5)

5 mg/50 mg

Rx only

Lithium

Generally should not be given with diuretics. Diuretic agents reduce the renal clearance of lithium and add a high risk of lithium toxicity. Refer to the package insert for lithium preparations before use of such preparations with this combination product.

Amiloride

Body as a Whole: Painful extremities, neck/shoulder ache, fatigability.

Cardiovascular: Palpitation.

Digestive: Activation of probable pre-existing peptic ulcer, abnormal liver function, jaundice, dyspepsia, heartburn.

Hematologic: Aplastic anemia, neutropenia.

Integumentary: Alopecia, itching, dry mouth.

Nervous System/Psychiatric: Encephalopathy, tremors, decreased libido.

Respiratory: Shortness of breath, cough.

Special Senses: Increased intraocular pressure, tinnitus.

Urogenital: Bladder spasms, polyuria, urinary frequency.

Overdosage (OVERDOSAGE)

No data are available in regard to overdosage in humans. The oral LD50 of the combination drug is 189 and 422 mg/kg for female mice and female rats, respectively.

It is not known whether the drug is dialyzable.

No specific information is available on the treatment of overdosage with amiloride and hydrochlorothiazide and no specific antidote is available. Treatment is symptomatic and supportive. Therapy with amiloride and hydrochlorothiazide should be discontinued and the patient observed closely. Suggested measures include the induction of emesis and/or gastric lavage.

Description (DESCRIPTION)

Amiloride hydrochloride and hydrochlorothiazide tablets, USP combine the potassium-conserving action of amiloride hydrochloride with the natriuretic action of hydrochlorothiazide.

Amiloride HCl, USP is designated chemically as N-amidino-3,5,-diamino-6-chloropyrazine-carboxamide monohydrochloride dihydrate and its structural formula is:

                                                                                                             C6H8CIN7O•HCl•2H2O  M.W. 302.12

Hydrochlorothiazide, USP is designated chemically as 6-chloro-3,4-dihydro-2H-1, 2, 4-benzo-thiadiazine-7-sulfonamide 1, 1-dioxide. Its structural formula is:

                                                                                                                     C7H8CIN3O4S2  M.W. 297.74

It is a white, or practically white, crystalline powder which is slightly soluble in water, but freely soluble in sodium hydroxide solution.

Each tablet, for oral administration, contains 5 mg of amiloride hydrochloride, USP (calculated on the anhydrous basis) and 50 mg of hydrochlorothiazide, USP.

Inactive Ingredients: Croscarmellose sodium, D&C yellow no. 10 (aluminum lake), lactose monohydrate, magnesium oxide, magnesium stearate, microcrystalline cellulose.

How Supplied (HOW SUPPLIED)

Amiloride hydrochloride and hydrochlorothiazide tablets, USP are available as:

 

5 mg/50 mg:

 

Light yellow, round, scored, biconvex tablet. Debossed with 555 over 483 on the scored side and stylized barr on the other side. Each tablet contains 5 mg of anhydrous amiloride HCl, USP and 50 mg of hydrochlorothiazide, USP.

   

100 Tablets NDC 0555-0483-02

1000 Tablets NDC 0555-0483-05

Dispense in a tight, light-resistant container as defined in the USP, with a child-resistant closure (as required).

Store at 20º to 25ºC (68º to 77ºF) [See USP Controlled Room Temperature].

Keep this and all medications out of the reach of children.

Manufactured In Canada By:

 Teva Canada Limited

 Toronto, Canada M1B 2K9

 Manufactured For:

 Teva Pharmaceuticals

 Parsippany, NJ 07054

Rev. D 12/2022

Hyperkalemia

Amiloride hydrochloride and hydrochlorothiazide tablets should not be used in the presence of elevated serum potassium levels (greater than 5.5 mEq per liter).

Amiloride Hcl (Amiloride HCl)

When amiloride HCl is administered concomitantly with an angiotensin-converting enzyme inhibitor, cyclosporine or tacrolimus, the risk of hyperkalemia may be increased. Therefore, if concomitant use of these agents is indicated because of demonstrated hypokalemia, they should be used with caution and with frequent monitoring of serum potassium (see WARNINGS ).

Geriatric Use

Clinical studies of amiloride hydrochloride and hydrochlorothiazide tablets did not include sufficient numbers of subjects aged 65 and over to determine whether they responded differently from younger subjects. Other reported clinical experience has not identified differences in responses between the elderly and younger patients. In general, dose selection for an elderly patient should be cautious, usually starting at the low end of the dosing range, reflecting the greater frequency of decreased hepatic, renal or cardiac function, and the comitant disease or other drug therapy.

This drug is known to be substantially excreted by the kidney, and the risk of toxic reactions to this drug may be greater in patients with impaired renal function. Because elderly patients are more likely to have decreased renal function, care should be taken in dose selection, and it may be useful to monitor renal function (see CONTRAINDICATIONS , Impaired Renal Function ).

Pediatric Use

Safety and effectiveness in pediatric patients have not been established.

Nursing Mothers

Studies in rats have shown that amiloride is excreted in milk in concentrations higher than those found in blood, but it is not known whether amiloride HCl is excreted in human milk. However, thiazides appear in breast milk. Because of the potential for serious adverse reactions in nursing infants, a decision should be made whether to discontinue nursing or to discontinue the drug, taking into account the importance of the drug to the mother.

Hypersensitivity

Amiloride hydrochloride and hydrochlorothiazide tablets is contraindicated in patients who are hypersensitive to this product, or to other sulfonamide-derived drugs.

Adverse Reactions (ADVERSE REACTIONS)

Amiloride hydrochloride and hydrochlorothiazide is usually well tolerated and significant clinical adverse effects have been reported infrequently. The risk of hyperkalemia (serum potassium levels greater than 5.5 mEq per liter) with amiloride hydrochloride and hydrochlorothiazide is about 1 to 2 percent in patients without renal impairment or diabetes mellitus (see WARNINGS ). Minor adverse reactions to amiloride hydrochloride have been reported relatively frequently (about 20%) but the relationship of many of the reports to amiloride HCl is uncertain and the overall frequency was similar to hydrochlorothiazide treated groups. Nausea/anorexia, abdominal pain, flatulence, and mild skin rash have been reported and probably are related to amiloride. Other adverse experiences that have been reported with amiloride and hydrochlorothiazide are generally those known to be associated with diuresis, thiazide therapy, or with the underlying disease being treated. Clinical trials have not demonstrated that combining amiloride and hydrochlorothiazide increases the risk of adverse reactions over those seen with the individual components.

The adverse reactions for amiloride and hydrochlorothiazide listed in the following table have been arranged into two groups: (1) incidence greater than one percent; and (2) incidence one percent or less. The incidence for group (1) was determined from clinical studies conducted in the United States (607 patients treated with amiloride and hydrochlorothiazide). The adverse effects listed in group (2) include reports from the same clinical studies and voluntary reports since marketing. The probability of a causal relationship exists between amiloride and hydrochlorothiazide and these adverse reactions, some of which have been reported only rarely.

 

Incidence > 1%

 

Incidence ≤ 1%

 

Body as a Whole

 
 

Headache 1

Weakness 1

Fatigue/tiredness

 

Malaise

Chest pain

Back pain

Syncope

 

Cardiovascular

 
 

Arrhythmia

 

Tachycardia

Digitalis toxicity

Orthostatic hypotension

Angina pectoris

 

Digestive

 
 

Nausea/anorexia 1

Diarrhea

Gastrointestinal pain

Abdominal pain

 

Constipation

GI bleeding

GI disturbance

Appetite changes

Abdominal fullness

Hiccups

Thirst

Vomiting

Anorexia

Flatulence

 

Metabolic

 
 

Elevated serum potassium levels

(> 5.5 mEq per liter) 2

 

Gout

Dehydration

Symptomatic hyponatremia 3

 

Musculoskeletal

 
 

Leg ache

 

Muscle cramps/spasm

Joint pain

 

Nervous

 
 

Dizziness 1

 

Paresthesia/numbness

Stupor

Vertigo

 

Psychiatric

None

 

Insomnia

Nervousness

Depression

Sleepiness

Mental confusion

 

Respiratory

 
 

Dyspnea

 

None

 

Skin

 
 

Rash 1

Pruritus

 

Flushing

Diaphoresis

Erythema multiforme including Stevens-

Johnson syndrome

Exfoliative dermatitis including toxic

epidermal necrolysis

Alopecia

 

Special Senses

 
 

None

 

Bad taste

Visual disturbance

Nasal congestion

 

Urogenital

 
 

None

 

Impotence

Nocturia

Dysuria

Incontinence

Renal dysfunction including renal failure

Gynecomastia

1. Reactions occurring in 3% to 8% of patients treated with amiloride hydrochloride and hydrochlorothiazide. (Those reactions occurring in less than 3% of the patients are unmarked.)

2. See WARNINGS

3. See PRECAUTIONS

Other adverse reactions that have been reported with the individual components and within each category are listed in order of decreasing severity:

Diabetes Mellitus

In diabetic patients, hyperkalemia has been reported with the use of all potassium-conserving diuretics, including amiloride HCl, even in patients without evidence of diabetic nephropathy. Therefore, amiloride and hydrochlorothiazide should be avoided, if possible, in diabetic patients and, if it is used, serum electrolytes and renal function must be monitored frequently.

Amiloride and hydrochlorothiazide should be discontinued at least three days before glucose tolerance testing.

Drug Interactions

In some patients, the administration of a non-steroidal anti-inflammatory agent can reduce the diuretic, natriuretic, and antihypertensive effects of loop, potassium-sparing and thiazide diuretics. Therefore, when amiloride and hydrochlorothiazide plus non-steroidal anti-inflammatory agents are used concomitantly, the patient should be observed closely to determine if the desired effect of the diuretic is obtained. Since indomethacin and potassium-sparing diuretics, including this product, may each be associated with increased serum potassium levels, the potential effects on potassium kinetics and renal function should be considered when these agents are administered concurrently.

Other Precautions

In patients receiving thiazides, sensitivity reactions may occur with or without a history of allergy or bronchial asthma. The possibility of exacerbation or activation of systemic lupus erythematosus has been reported with the use of thiazides.

Increases in cholesterol and triglyceride levels may be associated with thiazide diuretic therapy.

Hydrochlorothiazide

The mechanism of the antihypertensive effect of thiazides is unknown. Thiazides do not usually affect normal blood pressure.

Hydrochlorothiazide is a diuretic and antihypertensive. It affects the distal renal tubular mechanism of electrolyte reabsorption. Hydrochlorothiazide increases excretion of sodium and chloride in approximately equivalent amounts. Natriuresis may be accompanied by some loss of potassium and bicarbonate.

After oral administration diuresis begins within two hours, peaks in about four hours and lasts about 6 to 12 hours.

Hydrochlorothiazide is not metabolized but is eliminated rapidly by the kidney. When plasma levels have been followed for at least 24 hours, the plasma half-life has been observed to vary between 5.6 and 14.8 hours. At least 61 percent of the oral dose is eliminated unchanged within 24 hours. Hydrochlorothiazide crosses the placental but not the blood-brain barrier and is excreted in breast milk.

Teratogenic Effects

Studies in which hydrochlorothiazide was orally administered to pregnant mice and rats during their respective periods of major organogenesis at doses up to 3000 and 1000 mg hydrochlorothiazide/kg, respectively, provided no evidence of harm to the fetus. There are, however, no adequate and well-controlled studies in pregnant women.

Clinical Pharmacology (CLINICAL PHARMACOLOGY)

Amiloride hydrochloride and hydrochlorothiazide tablets provide diuretic and antihypertensive activity (principally due to the hydrochlorothiazide component), while acting through the amiloride component to prevent the excessive potassium loss that may occur in patients receiving a thiazide diuretic. Due to its amiloride component, the urinary excretion of magnesium is less with amiloride and hydrochlorothiazide than with a thiazide or loop diuretic used alone (see PRECAUTIONS ). The onset of the diuretic action of this product is within 1 to 2 hours and this action appears to be sustained for approximately 24 hours.

Corticosteroids, Acth (Corticosteroids, ACTH)

Intensified electrolyte depletion, particularly hypokalemia.

Indications and Usage (INDICATIONS AND USAGE)

Amiloride hydrochloride and hydrochlorothiazide tablets are indicated in those patients with hypertension or with congestive heart failure who develop hypokalemia when thiazides or other kaliuretic diuretics are used alone, or in whom maintenance of normal serum potassium levels is considered to be clinically important, e.g., digitalized patients, or patients with significant cardiac arrhythmias.

The use of potassium-conserving agents is often unnecessary in patients receiving diuretics for uncomplicated essential hypertension when such patients have a normal diet.

Amiloride hydrochloride and hydrochlorothiazide tablets may be used alone or as an adjunct to other antihypertensive drugs, such as methyldopa or beta blockers. Since amiloride hydrochloride and hydrochlorothiazide enhances the action of these agents, dosage adjustments may be necessary to avoid an excessive fall in blood pressure and other unwanted side effects.

The fixed combination drug is not indicated for the initial therapy of edema or hypertension except in individuals in whom the development of hypokalemia cannot be risked.

Nonteratogenic Effects

Thiazides cross the placental barrier and appear in cord blood. There is a risk of fetal or neonatal jaundice, thrombocytopenia, and possibly other adverse reactions that have occurred in adults.

Amiloride Hydrochloride

Amiloride Hydrochloride is a potassium-conserving (antikaliuretic) drug that possesses weak (compared with thiazide diuretics) natriuretic, diuretic, and antihypertensive activity. These effects have been partially additive to the effects of thiazide diuretics in some clinical studies. Amiloride HCl has potassium-conserving activity in patients receiving kaliuretic-diuretic agents.

Amiloride HCl is not an aldosterone antagonist and its effects are seen even in the absence of aldosterone.

Amiloride HCl exerts its potassium-sparing effect through the inhibition of sodium reabsorption at the distal convoluted tubule, cortical collecting tubule and collecting duct; this decreases the net negative potential of the tubular lumen and reduces both potassium and hydrogen secretion and their subsequent excretion. This mechanism accounts in large part for the potassium-sparing action of amiloride.

Amiloride HCl usually begins to act within two hours after an oral dose. Its effect on electrolyte excretion reaches a peak between 6 to 10 hours and lasts about 24 hours. Peak plasma levels are obtained in 3 to 4 hours and the plasma half-life varies from 6 to 9 hours. Effects on electrolytes increase with single doses of amiloride hydrochloride up to approximately 15 mg.

Amiloride HCl is not metabolized by the liver but is excreted unchanged by the kidneys. About 50 percent of a 20 mg dose of amiloride hydrochloride is excreted in the urine and 40 percent in the stool within 72 hours. Amiloride HCl has little effect on glomerular filtration rate or renal blood flow. Because amiloride HCl is not metabolized by the liver, drug accumulation is not anticipated in patients with hepatic dysfunction, but accumulation can occur if the hepatorenal syndrome develops.

Impaired Renal Function

Anuria, acute or chronic renal insufficiency, and evidence of diabetic nephropathy are contraindications to the use of amiloride hydrochloride and hydrochlorothiazide. Patients with evidence of renal function impairment (blood urea nitrogen [BUN] levels over 30 mg per 100 mL or serum creatinine levels over 1.5 mg per 100 mL) or diabetes mellitus should not receive the drug without careful, frequent and continuing monitoring of serum electrolytes, creatinine, and BUN levels. Potassium retention associated with the use of an antikaliuretic agent is accentuated in the presence of renal impairment and may result in the rapid development of hyperkalemia.

Information for Patients

Non-melanoma Skin Cancer: Instruct patients taking hydrochlorothiazide to protect skin from the sun and undergo regular skin cancer screening.

Postmarketing Experience

Non-melanoma Skin Cancer

Hydrochlorothiazide is associated with an increased risk of non-melanoma skin cancer. In a study conducted in the Sentinel System, increased risk was predominantly for squamous cell carcinoma (SCC) and in white patients taking large cumulative doses. The increased risk for SCC in the overall population was approximately 1 additional case per 16,000 patients per year, and for white patients taking a cumulative dose of ≥ 50,000 mg the risk increase was approximately 1 additional SCC case for every 6,700 patients per year.

To report SUSPECTED ADVERSE REACTIONS, contact Teva at 1-888-838-2872 or FDA at 1-800-FDA-1088 or http://www.fda.gov/medwatch.

Dosage and Administration (DOSAGE AND ADMINISTRATION)

Amiloride hydrochloride and hydrochlorothiazide tablets should be administered with food.

The usual starting dosage is 1 tablet a day. The dosage may be increased to 2 tablets a day, if necessary. More than 2 tablets of amiloride hydrochloride and hydrochlorothiazide daily usually are not needed and there is no controlled experience with such doses.

Hydrochlorothiazide can be given at doses of 12.5 to 50 mg per day when used alone. Patients usually do not require doses of hydrochlorothiazide in excess of 50 mg daily when combined with other antihypertensive agents. The daily dose is usually given as a single dose but may be given in divided doses. Once an initial diuresis has been achieved, dosage adjustment may be necessary. Maintenance therapy may be on an intermittent basis.

Treatment of Hyperkalemia

If hyperkalemia occurs in patients taking amiloride and hydrochlorothiazide, the drug should be discontinued immediately. If the serum potassium level exceeds 6.5 mEq per liter, active measures should be taken to reduce it. Such measures include the intravenous administration of sodium bicarbonate solution or oral or parenteral glucose with a rapid-acting insulin preparation. If needed, a cation exchange resin such as sodium polystyrene sulfonate may be given orally or by enema. Patients with persistent hyperkalemia may require dialysis.

Package/label Display Panel (Package/Label Display Panel)

NDC 0555-0483-02

Amiloride Hydrochloride and Hydrochlorothiazide Tablets, USP

5 mg/50 mg

Rx only

100 Tablets

Other Antihypertensive Drugs

Additive effect or potentiation.

Metabolic and Endocrine Effects

In diabetic patients, insulin requirements may be increased, decreased, or unchanged due to the hydrochlorothiazide component. Diabetes mellitus that has been latent may become manifest during administration of thiazide diuretics.

Because calcium excretion is decreased by thiazides, amiloride and hydrochlorothiazide should be discontinued before carrying out tests for parathyroid function. Pathologic changes in the parathyroid glands, with hypercalcemia and hypophosphatemia have been observed in a few patients on prolonged thiazide therapy; however, the common complications of hyperparathyroidism such as renal lithiasis, bone resorption, and peptic ulceration have not been seen.

Hyperuricemia may occur or acute gout may be precipitated in certain patients receiving thiazide therapy.

Metabolic Or Respiratory Acidosis (Metabolic or Respiratory Acidosis)

Antikaliuretic therapy should be instituted only with caution in severely ill patients in whom respiratory or metabolic acidosis may occur, such as patients with cardiopulmonary disease or poorly controlled diabetes. If amiloride and hydrochlorothiazide is given to these patients, frequent monitoring of acid-base balance is necessary. Shifts in acid-base balance alter the ratio of extracellular/intracellular potassium, and the development of acidosis may be associated with rapid increases in serum potassium levels.

Alcohol, Barbiturates, Or Narcotics (Alcohol, Barbiturates, or Narcotics)

Potentiation of orthostatic hypotension may occur.

Cholestyramine and Colestipol Resins

Absorption of hydrochlorothiazide is impaired in the presence of anionic exchange resins. Single doses of cholestyramine and colestipol resins bind the hydrochlorothiazide and reduce its absorption from the gastrointestinal tract by up to 85 and 43 percent, respectively.

Pressor Amines (e.g., Norepinephrine) (Pressor Amines (e.g., norepinephrine))

Possible decreased response to pressor amines but not sufficient to preclude their use.

Electrolyte Imbalance and Bun Increases (Electrolyte Imbalance and BUN Increases)

Determination of serum electrolytes to detect possible electrolyte imbalance should be performed at appropriate intervals.

Patients should be observed for clinical signs of fluid or electrolytes imbalance: i.e., hyponatremia, hypochloremic alkalosis, and hypokalemia. Serum and urine electrolyte determinations are particularly important when the patient is vomiting excessively or receiving parenteral fluids. Warning signs or symptoms of fluid and electrolyte imbalance, irrespective of cause, include dryness of mouth, thirst, weakness, lethargy, drowsiness, restlessness, confusion, seizures, muscle pains or cramps, muscular fatigue, hypotension, oliguria, tachycardia, and gastrointestinal disturbances such as nausea and vomiting.

Hyponatremia and hypochloremia may occur during the use of thiazides and other diuretics. Any chloride deficit during thiazide therapy is generally mild and may be lessened by the amiloride HCl component of this product. Hypochloremia usually does not require specific treatment except under extraordinary circumstances (as in liver disease or renal disease). Dilutional hyponatremia may occur in edematous patients in hot weather; appropriate therapy is water restriction, rather than administration of salt, except in rare instances when the hyponatremia is life threatening. In actual salt depletion, appropriate replacement is the therapy of choice.

Hypokalemia may develop during thiazide therapy, especially with brisk diuresis, when severe cirrhosis is present, during concomitant use of corticosteroids or ACTH, or after prolonged therapy. However, this usually is prevented by the amiloride hydrochloride component of this combination drug product.

Interference with adequate oral electrolyte intake will also contribute to hypokalemia. Hypokalemia may cause cardiac arrhythmia and may also sensitize or exaggerate the response of the heart to the toxic effects of digitalis (e.g., increased ventricular irritability).

Thiazides have been shown to increase the urinary excretion of magnesium; this may result in hypomagnesemia. Amiloride hydrochloride, a component of this combination product, has been shown to decrease the enhanced urinary excretion of magnesium which occurs when a thiazide or loop diuretic is used alone.

Increases in BUN levels have been reported with amiloride hydrochloride and with hydrochlorothiazide. These increases usually have accompanied vigorous fluid elimination, especially when diuretic therapy was used in seriously ill patients, such as those who had hepatic cirrhosis with ascites and metabolic alkalosis, or those with resistant edema. Therefore, when amiloride and hydrochlorothiazide is given to such patients, careful monitoring of serum electrolyte and BUN levels is important. In patients with pre-existing severe liver disease, hepatic encephalopathy, manifested by tremors, confusion, and coma, and increased jaundice, have been reported in association with diuretic therapy including amiloride HCl and hydrochlorothiazide.

In patients with renal disease, diuretics may precipitate azotemia. Cumulative effects of the components of amiloride hydrochloride and hydrochlorothiazide may develop in patients with impaired renal function. If renal impairment becomes evident, amiloride and hydrochlorothiazide should be discontinued (see CONTRAINDICATIONS and WARNINGS ).

Antidiabetic Drugs (oral Agents and Insulin) (Antidiabetic Drugs (Oral Agents and Insulin))

Dosage adjustment of the antidiabetic drug may be required.

Antikaliuretic Therapy Or Potassium Supplementation (Antikaliuretic Therapy or Potassium Supplementation)

Amiloride hydrochloride and hydrochlorothiazide should not be given to patients receiving other potassium-conserving agents, such as spironolactone or triamterene. Potassium supplementation in the form of medication, potassium-containing salt substitutes or a potassium-rich diet should not be used with this product except in severe and/or refractory cases of hypokalemia. Such concomitant therapy can be associated with rapid increases in serum potassium levels. If potassium supplementation is used, careful monitoring of the serum potassium level is necessary.

Carcinogenesis, Mutagenicity, Impairment of Fertility

Long-term studies in animals have not been performed to evaluate the effects upon fertility, mutagenicity or carcinogenic potential of amiloride hydrochloride and hydrochlorothiazide.

Skeletal Muscle Relaxants, Nondepolarizing (e.g., Tubocurarine) (Skeletal Muscle Relaxants, Nondepolarizing (e.g., tubocurarine))

Possible increased responsiveness to the muscle relaxant.


Advanced Ingredient Data


Raw Label Data

All Sections (JSON)