These Highlights Do Not Include All The Information Needed To Use Lexette Safely And Effectively. See Full Prescribing Information For Lexette.

These Highlights Do Not Include All The Information Needed To Use Lexette Safely And Effectively. See Full Prescribing Information For Lexette.
SPL v1
SPL
SPL Set ID 8aa1f819-c81f-4af1-aaa7-353df3203ff6
Route
TOPICAL
Published
Effective Date 2025-05-31
Document Type 34391-3 HUMAN PRESCRIPTION DRUG LABEL

Drug Facts

Composition & Product

Active Ingredients
Halobetasol (0.5 mg)
Inactive Ingredients
Alcohol Propylene Glycol Polawax Polysorbate Polyoxyl 20 Cetostearyl Ether Cetostearyl Alcohol Water Benzoic Acid

Identifiers & Packaging

Marketing Status
ANDA Active Since 2025-08-08

Description

LEXETTE ® is indicated for the topical treatment of plaque psoriasis in patients 12 years of age and older.

Indications and Usage

LEXETTE ® is indicated for the topical treatment of plaque psoriasis in patients 12 years of age and older.

Dosage and Administration

Shake can prior to use and turn can completely upside down to dispense. Apply LEXETTE as a thin uniform film to the affected skin twice daily for up to two weeks. Rub in gently. Wash hands after applying the product. Discontinue therapy when control is achieved. If no improvement is seen within two weeks, reassessment of the diagnosis may be necessary. Treatment beyond two weeks is not recommended and the total dosage should not exceed 50 grams per week because of the potential for the drug to suppress the hypothalamic-pituitary-adrenal (HPA) axis [see Warnings and Precautions ( 5.1 )] . Do not use with occlusive dressings unless directed by a physician. Avoid use on the face, groin, or axillae. Avoid contact with eyes. Wash hands after each application, unless it is for treatment of the hands. LEXETTE is for topical use only. LEXETTE is not for ophthalmic, oral, or intravaginal use.

Warnings and Precautions

• Reversible hypothalamic-pituitary-adrenal (HPA) axis suppression may occur, with the potential for glucocorticosteroid insufficiency during or after treatment. ( 5.1 ) • Systemic effects following prolonged exposure of topical corticosteroids may also include Cushing’s syndrome, hyperglycemia, and glucosuria. ( 5.1 ) • Use of potent corticosteroids on large areas, for prolonged durations, under occlusive dressings, or on an altered skin barrier may increase systemic exposure. ( 5.1 ) • Children may be more susceptible to systemic toxicity when treated with topical corticosteroids. ( 5.1 , 8.4 ) • Local adverse reactions with topical steroids may include atrophy, striae, irritation, acneiform eruptions, hypopigmentation, and allergic contact dermatitis. Adverse reactions may be more likely to occur with occlusive use or more potent corticosteroids. ( 5.2 ) • Topical corticosteroids may increase the risk of cataract and glaucoma formation. If visual symptoms occur, consider referral to an ophthalmologist for evaluation. ( 5.3 ) • Initiate appropriate therapy if concomitant skin infections develop. ( 5.4 ) • Flammable contents. Avoid heat, flame, or smoking during and immediately following application. ( 5.6 )

Contraindications

None.

Adverse Reactions

Use of topical corticosteroids may increase the risk of posterior subcapsular cataracts and glaucoma. Cataracts and glaucoma have been reported in postmarketing experience with the use of topical corticosteroid products. Advise patients to report any visual symptoms and consider referral to an ophthalmologist for evaluation.

How Supplied

LEXETTE (halobetasol propionate) topical foam, 0.05% is a white to off-white foam. It is supplied in aluminum cans of: 50 grams (NDC 51862-618-50)


Medication Information

Warnings and Precautions

• Reversible hypothalamic-pituitary-adrenal (HPA) axis suppression may occur, with the potential for glucocorticosteroid insufficiency during or after treatment. ( 5.1 ) • Systemic effects following prolonged exposure of topical corticosteroids may also include Cushing’s syndrome, hyperglycemia, and glucosuria. ( 5.1 ) • Use of potent corticosteroids on large areas, for prolonged durations, under occlusive dressings, or on an altered skin barrier may increase systemic exposure. ( 5.1 ) • Children may be more susceptible to systemic toxicity when treated with topical corticosteroids. ( 5.1 , 8.4 ) • Local adverse reactions with topical steroids may include atrophy, striae, irritation, acneiform eruptions, hypopigmentation, and allergic contact dermatitis. Adverse reactions may be more likely to occur with occlusive use or more potent corticosteroids. ( 5.2 ) • Topical corticosteroids may increase the risk of cataract and glaucoma formation. If visual symptoms occur, consider referral to an ophthalmologist for evaluation. ( 5.3 ) • Initiate appropriate therapy if concomitant skin infections develop. ( 5.4 ) • Flammable contents. Avoid heat, flame, or smoking during and immediately following application. ( 5.6 )

Indications and Usage

LEXETTE ® is indicated for the topical treatment of plaque psoriasis in patients 12 years of age and older.

Dosage and Administration

Shake can prior to use and turn can completely upside down to dispense. Apply LEXETTE as a thin uniform film to the affected skin twice daily for up to two weeks. Rub in gently. Wash hands after applying the product. Discontinue therapy when control is achieved. If no improvement is seen within two weeks, reassessment of the diagnosis may be necessary. Treatment beyond two weeks is not recommended and the total dosage should not exceed 50 grams per week because of the potential for the drug to suppress the hypothalamic-pituitary-adrenal (HPA) axis [see Warnings and Precautions ( 5.1 )] . Do not use with occlusive dressings unless directed by a physician. Avoid use on the face, groin, or axillae. Avoid contact with eyes. Wash hands after each application, unless it is for treatment of the hands. LEXETTE is for topical use only. LEXETTE is not for ophthalmic, oral, or intravaginal use.

Contraindications

None.

Adverse Reactions

Use of topical corticosteroids may increase the risk of posterior subcapsular cataracts and glaucoma. Cataracts and glaucoma have been reported in postmarketing experience with the use of topical corticosteroid products. Advise patients to report any visual symptoms and consider referral to an ophthalmologist for evaluation.

How Supplied

LEXETTE (halobetasol propionate) topical foam, 0.05% is a white to off-white foam. It is supplied in aluminum cans of: 50 grams (NDC 51862-618-50)

Description

LEXETTE ® is indicated for the topical treatment of plaque psoriasis in patients 12 years of age and older.

16.2 Storage

Store at 20°-25°C (68°-77°F); excursions permitted to 15ºC and 30ºC (59ºF to 86ºF). Contents under pressure.

Do not puncture or incinerate. Do not expose to heat or store at temperatures above 120°F (49°C).

Do not freeze.

10 Overdosage

Topically applied LEXETTE can be absorbed in sufficient amounts to produce systemic effects [see Warnings and Precautions (5.1)].

16.3 Handling

LEXETTE is flammable; avoid heat, flame, or smoking when using this product.

8.1 Pregnancy

Risk Summary

There are no available data on LEXETTE use in pregnant women to inform a drug-associated risk for adverse developmental outcomes. In animal reproduction studies, increased malformations, including cleft palate and omphalocele, were observed after oral administration of halobetasol propionate during organogenesis to pregnant rats and rabbits. No comparisons of animal exposure with human exposure may be calculated due to minimal systemic exposure in humans after topical administration of LEXETTE [see Clinical Pharmacology (12.3)].

The background risk of major birth defects and miscarriage for the indicated population are unknown. In the U.S. general population, the estimated background risk of major birth defects and miscarriage in clinically recognized pregnancies is 2-4% and 15-20%, respectively.

Data

Animal Data

Halobetasol propionate has been shown to cause malformations in rats and rabbits when given orally during organogenesis at doses of 0.04 to 0.1 mg/kg/day in rats and 0.01 mg/kg/day in rabbits. Halobetasol propionate was embryotoxic in rabbits, but not in rats. Cleft palate was observed in both rats and rabbits. Omphalocele was seen in rats, but not in rabbits.

8.2 Lactation

Risk Summary

There are no data on the presence of halobetasol propionate or its metabolites in human milk, the effects on the breastfed infant, or the effects on milk production after topical application to women who are breastfeeding.

Systemically administered corticosteroids appear in human milk and could suppress growth, interfere with endogenous corticosteroid production, or cause other untoward effects. It is not known whether topical administration of corticosteroids could result in sufficient systemic absorption to produce detectable quantities in human milk.

The developmental and health benefits of breastfeeding should be considered along with the mother’s clinical need for LEXETTE and any potential adverse effects on the breastfed infant from LEXETTE or from the underlying maternal condition.

Clinical Considerations

Advise breastfeeding women not to apply LEXETTE directly to the nipple and/or areola to avoid direct infant exposure.

11 Description

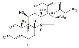
LEXETTE is a hydroethanolic aerosol foam that contains a corticosteroid, halobetasol propionate. The chemical name of halobetasol propionate is 21-chloro-6α, 9-difluoro-11β, 17-dihydroxy-16β-methylpregna-1, 4-diene-3,20-dione 17-propionate. Halobetasol propionate is a white to off-white crystalline powder with a molecular weight of 484.96 and a molecular formula of C25H31ClF2O5. It has the following structural formula:

It is practically insoluble in water and freely soluble in dichloromethane and in acetone. Each gram of LEXETTE contains 0.5 mg of halobetasol propionate in a white to off-white foam base consisting of alcohol (dehydrated), benzoic acid, cetostearyl alcohol, emulsifying wax, polyoxyl 20 cetostearyl ether, propylene glycol and purified water. LEXETTE is dispensed from an aluminum can pressurized with a hydrocarbon (isobutane and propane) propellant.

5.6 Flammability

LEXETTE is flammable. Avoid fire, flame, or smoking during and immediately following application.

16.1 How Supplied

LEXETTE (halobetasol propionate) topical foam, 0.05% is a white to off-white foam.

It is supplied in aluminum cans of:

50 grams (NDC 51862-618-50)

8.4 Pediatric Use

Safety and effectiveness of LEXETTE in patients younger than 12 years of age have not been established; therefore, use in children younger than 12 years is not recommended.

The safety and effectiveness of LEXETTE for the treatment of stable plaque psoriasis in subjects 12 to less than 18 years of age is supported by evidence from adequate and well-controlled studies in adults and from one open-label safety study in 24 subjects aged 12 to less than 18 years. Subjects 12 to less than 18 years with stable plaque psoriasis covering a minimum of 10% of the total body surface area at baseline were treated twice daily for 2 weeks with LEXETTE. Hypothalamic-pituitary-adrenal (HPA) axis function (ACTH stimulation test) was evaluated in a subset of 23 subjects. After 2 weeks of treatment, 6 of 23 subjects (26.1%) experienced laboratory evidence of adrenal suppression (i.e., cortisol serum level of ≤18 μg/dL) that recovered upon retesting after at least 4 weeks of stopping the treatment [see Clinical Pharmacology (12.2)].

Because of higher skin surface area to body mass ratios, pediatric patients are at a greater risk than adults of HPA axis suppression and Cushing’s syndrome when they are treated with topical corticosteroids. They are therefore also at greater risk of adrenal insufficiency during or after withdrawal of treatment. Adverse reactions including striae have been reported with use of topical corticosteroids in infants and children [see Warnings and Precautions (5.1)].

HPA axis suppression, Cushing’s syndrome, linear growth retardation, delayed weight gain, and intracranial hypertension have been reported in children receiving topical corticosteroids. Manifestations of adrenal suppression in children include low plasma cortisol levels and an absence of response to ACTH stimulation. Manifestations of intracranial hypertension include bulging fontanelles, headaches, and bilateral papilledema [see Warnings and Precautions (5.1)].

8.5 Geriatric Use

Clinical studies with LEXETTE included 131 patients aged 65 years and over. No overall differences in safety or effectiveness were observed between these patients and those younger than 65 years.

14 Clinical Studies

LEXETTE was evaluated for the treatment of moderate to severe plaque psoriasis in two multicenter, randomized, double-blind, vehicle-controlled studies (Study 1 [NCT02368210] and Study 2 [NCT02742441]).

These studies were conducted in 560 subjects 18 years of age and older with plaque psoriasis involving between 2% and 12% body surface area. Baseline disease severity was determined using a static, five-level Investigator’s Global Assessment (IGA) scale, on which a subject scored either moderate or severe. Overall, approximately 60% of subjects were male and approximately 90% were Caucasian.

Subjects applied LEXETTE or vehicle to all affected areas twice daily for up to 14 consecutive days. The primary measure of efficacy was Overall Treatment Success, defined as the proportion of subjects who were cleared or almost cleared with at least a two-grade improvement from baseline at Week 2 (end of treatment) based on the IGA. The studies also evaluated treatment success for the individual signs of psoriasis (plaque elevation, scaling, and erythema) at the end of treatment. Table 2 presents these results.

Table 2: Efficacy Results at Week 2 in Subjects with Plaque Psoriasis

Study 1

Study 2

LEXETTE

N=75

Vehicle Foam

N=76

LEXETTE

N=205

Vehicle Foam

N=204

Overall Treatment Success

Subjects whose condition was cleared or almost cleared of all signs of psoriasis and with at least a two-grade improvement from baseline based on the IGA.

19 (25%)

3 (4%)

63 (31%)

15 (7%)

Plaque Elevation

Subjects who were cleared or almost cleared of the designated clinical sign with at least a two-grade improvement from baseline. Individual signs were rated by severity using a five-point scale ranging from 0 (clear) to 4 (severe). Subjects with baseline value of 0 or 1 were excluded.

20/75 (27%)

3/76 (4%)

71/202 (35%)

20/203 (10%)

Scaling

21/75 (28%)

4/76 (5%)

68/201 (34%)

20/204 (10%)

Erythema

16/75 (21%)

2/76 (3%)

59/205 (29%)

17/204 (8%)

4 Contraindications

None.

6 Adverse Reactions

The following adverse reactions are discussed in greater detail in other sections of the label:

  • Hypothalamic-Pituitary-Adrenal (HPA) Axis Suppression and Other Adverse Endocrine Effects [see Warnings and Precautions (5.1)]
  • Allergic Contact Dermatitis [see Warnings and Precautions (5.5)]
Instructions for Use

INSTRUCTIONS FOR USE

LEXETTE® (lex-et)

(halobetasol propionate) Topical Foam, 0.05%

Read the Patient Information and Instructions for Use before you use LEXETTE.

Important information: LEXETTE is for skin use only. Do not get LEXETTE in your mouth, eyes, or vagina.

Parts of the LEXETTE can:

Step 1: Before applying LEXETTE for the first time, remove cap and break the small tab at the base of the actuator by gently pushing the actuator away from the tab as shown. Do not break the hinge on the actuator.

Step 2: Shake the can well before use.

Step 3: Turn the can completely upside down.

Step 4: Press down on the actuator to dispense a small amount of the foam into the palm of your hand.

Step 5: Apply a thin layer of LEXETTE to the affected skin area. Gently rub LEXETTE into the affected skin until the foam disappears.

Repeat Steps 4 and 5 to all the affected areas as prescribed by your healthcare provider.

Step 6: After applying LEXETTE, put the cap back on the can.

Step 7: Wash your hands after applying LEXETTE unless you are using the medicine to treat your hands.

This Instructions for Use has been approved by the U.S. Food and Drug Administration.

Distributed by:

Mayne Pharma

Raleigh, NC 27609

Rev 05/2025

70017288-00

12.2 Pharmacodynamics

Vasoconstrictor Assay

A vasoconstrictor assay in healthy patients with LEXETTE indicated that the formulation is in the super-high range of potency as compared to other topical corticosteroids; however, similar blanching scores do not necessarily imply therapeutic equivalence.

Hypothalamic-pituitary-adrenal (HPA) axis suppression

The potential for hypothalamic-pituitary-adrenal axis (HPA-axis) suppression was evaluated in the following two studies. In both studies, the criteria for HPA-axis suppression was a serum cortisol level of less than or equal to 18 micrograms per deciliter 30 minutes after stimulation with cosyntropin (adrenocorticotropic hormone, ACTH).

In the first study, LEXETTE was applied to 25 adult subjects with moderate to severe plaque psoriasis involving a mean body surface area of 18.4%. A mean dose of 3.7 g of LEXETTE was applied twice daily for two weeks and produced laboratory evidence of HPA axis suppression in 6 of 25 (24%) subjects. All subjects returned to normal HPA axis function at follow-up at least 4 weeks after stopping the treatment.

In the second study, LEXETTE was applied to 24 subjects 12 to less than 18 years of age with stable plaque psoriasis with a mean percent BSA of 15.1% (range of 11% to 23%). The mean dose of LEXETTE used was 3.1 grams, which was applied twice daily for two weeks. In the study, 24 subjects completed the study, and 23 subjects had evaluable ACTH stimulation tests. HPA axis suppression was observed in 6 of the 23 subjects (26.1%), and all subjects returned to normal HPA axis function at follow-up at least 4 weeks after stopping the treatment.

12.3 Pharmacokinetics

The extent of percutaneous absorption of topical corticosteroids is determined by many factors, including the vehicle, the integrity of the epidermal barrier, and the use of occlusive dressings. Topical corticosteroids can be absorbed from normal intact skin. Inflammation and/or other disease processes in the skin may increase percutaneous absorption.

In the HPA-axis and pharmacokinetic study, as described above in Clinical Pharmacology (12.2), pharmacokinetics was evaluated in a subgroup of 23 adult subjects with moderate to severe plaque psoriasis following twice daily treatment for 14 days. Plasma concentration of halobetasol propionate (HBP) was measurable in all subjects and steady state was achieved by Day 14. The mean (± standard deviation) Cmax concentration for HBP on Day 14 was 199.7 ± 217.3 pg/mL, with the corresponding median Tmax value of 1 hour (range 0 – 12 hours); mean area under the halobetasol propionate concentration versus time curve over the dosing interval (AUCt) was 1434.9 ± 1310.6 pg•h/mL.

In the HPA axis study in subjects 12 to less than 18 years [see Clinical Pharmacology (12.2)], trough plasma concentrations of HBP were measured on Day 8 and Day 15 in 23 subjects following twice daily treatment for 14 days. On Day 8, nine (9) of the 23 evaluable subjects had morning trough concentrations of halobetasol propionate in plasma that were above the quantifiable limit (≥20.0 pg/mL); mean halobetasol concentration was 154.6 ± 308.67 pg/mL. Similarly, on Day 15, nine (9) of the 23 evaluable subjects had morning trough concentrations of halobetasol propionate above the quantifiable limit; mean halobetasol concentration was 59.9 ± 90.15 pg/mL. Of the 9 subjects with quantifiable plasma concentrations at Day 15, seven (7) also had quantifiable plasma concentrations at Day 8.

Patient Package Insert

PATIENT INFORMATION

LEXETTE® (lex-et)

(halobetasol propionate)

Topical Foam, 0.05%

Important: LEXETTE is for use on the skin only. Do not apply LEXETTE near or in your eyes, mouth, or vagina.

What is LEXETTE?

LEXETTE is a prescription corticosteroid medicine used on the skin to treat plaque psoriasis in people 12 years of age and older.

It is not known if LEXETTE is safe and effective in children under 12 years of age.

Before using LEXETTE, tell your healthcare provider about all of your medical conditions, including if you:

• have had irritation or other skin reaction to a steroid medicine in the past.

• have a skin infection. You may need medicine to treat the skin infection before using LEXETTE.

• have diabetes.

• have adrenal gland problems.

• have liver problems.

• plan to have surgery.

• are pregnant or plan to become pregnant. It is not known if LEXETTE will harm your unborn baby.

• are breastfeeding or plan to breastfeed. It is not known if halobetasol propionate passes into your breast milk. If you use LEXETTE and breastfeed, do not apply LEXETTE to your nipple or areola to avoid getting LEXETTE into your baby’s mouth.

Tell your healthcare provider about all the medicines you take, including prescription and over-the-counter medicines, vitamins, and herbal supplements. Especially tell your healthcare provider if you take other corticosteroid medicines by mouth, or injection, or use other products on your skin that contain corticosteroid.

How should I use LEXETTE?

See the “Instructions for Use” for detailed information about the right way to apply LEXETTE.

• Use LEXETTE exactly as your healthcare provider tells you to use it.

• Apply a thin layer of LEXETTE to the affected skin areas 2 times each day.

• You should not use more than 50 grams of LEXETTE in 1 week.

• Avoid using LEXETTE on your face, underarms (armpits), or groin areas.

• Do not bandage, cover, or wrap the treated skin area unless your healthcare provider tells you to.

• Talk to your healthcare provider if your skin does not improve after 2 weeks of treatment with LEXETTE.

• Do not use LEXETTE longer than 2 continuous weeks unless advised to do so by your prescriber.

• Wash your hands after using LEXETTE unless you are using the medicine to treat your hands.

What should I avoid while using LEXETTE?

LEXETTE is flammable. Avoid heat, flame, or smoking during and right after applying LEXETTE to your skin.

What are the possible side effects of LEXETTE?

LEXETTE may cause serious side effects, including:

LEXETTE can pass through your skin. Too much LEXETTE passing through your skin can cause adrenal glands to stop working.

Cushing’s syndrome, a condition that happens when your body is exposed to too much of the hormone cortisol.

High blood sugar (hyperglycemia).

Vision problems. LEXETTE may increase your chance of developing cataract(s) and glaucoma. Tell your healthcare provider if you develop blurred vision or other vision problems during treatment with LEXETTE.

Skin reactions at the treated skin site. Tell your healthcare provider if you get any skin reactions or skin infections.

Effects on growth and weight in children.

Your healthcare provider may do certain blood tests to check for side effects.

The most common side effect of LEXETTE is mild to moderate pain at the treated site. These are not all of the possible side effects of LEXETTE.

Call your doctor for medical advice about side effects. You may report side effects to FDA at 1-800-FDA-1088.

How should I store LEXETTE?

• Store LEXETTE at room temperature between 68°F to 77°F (20°C to 25°C).

• Do not puncture or burn LEXETTE can.

• Do not store LEXETTE next to heat or store at temperatures above 120°F (49°C).

• Do not freeze LEXETTE.

Keep LEXETTE and all medicines out of the reach of children.

General information about the safe and effective use of LEXETTE.

Medicines are sometimes prescribed for purposes other than those listed in a Patient Information leaflet. Do not use LEXETTE for a condition for which it was not prescribed. Do not give LEXETTE to other people, even if they have the same symptoms that you have. It may harm them. You can ask your pharmacist or healthcare provider for information about LEXETTE that is written for health professionals.

What are the ingredients in LEXETTE?

Active ingredient: halobetasol propionate

Inactive ingredients: alcohol (dehydrated), benzoic acid, cetostearyl alcohol, emulsifying wax, polyoxyl 20 cetostearyl ether, propylene glycol, and purified water.

LEXETTE is dispensed from an aluminum can pressurized with a hydrocarbon propellant containing isobutane and propane.

Distributed by:

Mayne Pharma

Raleigh, NC 27609

For more information, call 1-866-634-9120

This Patient Information has been approved by the U.S. Food and Drug Administration.

Revised: 05/2025

1 Indications and Usage

LEXETTE® is indicated for the topical treatment of plaque psoriasis in patients 12 years of age and older.

12.1 Mechanism of Action

Corticosteroids play a role in cellular signaling, immune function, inflammation, and protein regulation; however, the precise mechanism of action in plaque psoriasis is unknown.

5 Warnings and Precautions
  • Reversible hypothalamic-pituitary-adrenal (HPA) axis suppression may occur, with the potential for glucocorticosteroid insufficiency during or after treatment. (5.1)
  • Systemic effects following prolonged exposure of topical corticosteroids may also include Cushing’s syndrome, hyperglycemia, and glucosuria. (5.1)
  • Use of potent corticosteroids on large areas, for prolonged durations, under occlusive dressings, or on an altered skin barrier may increase systemic exposure. (5.1)
  • Children may be more susceptible to systemic toxicity when treated with topical corticosteroids. (5.1, 8.4)
  • Local adverse reactions with topical steroids may include atrophy, striae, irritation, acneiform eruptions, hypopigmentation, and allergic contact dermatitis. Adverse reactions may be more likely to occur with occlusive use or more potent corticosteroids. (5.2)
  • Topical corticosteroids may increase the risk of cataract and glaucoma formation. If visual symptoms occur, consider referral to an ophthalmologist for evaluation. (5.3)
  • Initiate appropriate therapy if concomitant skin infections develop. (5.4)
  • Flammable contents. Avoid heat, flame, or smoking during and immediately following application. (5.6)
2 Dosage and Administration

Shake can prior to use and turn can completely upside down to dispense. Apply LEXETTE as a thin uniform film to the affected skin twice daily for up to two weeks. Rub in gently. Wash hands after applying the product.

Discontinue therapy when control is achieved. If no improvement is seen within two weeks, reassessment of the diagnosis may be necessary.

Treatment beyond two weeks is not recommended and the total dosage should not exceed 50 grams per week because of the potential for the drug to suppress the hypothalamic-pituitary-adrenal (HPA) axis [see Warnings and Precautions (5.1)]. Do not use with occlusive dressings unless directed by a physician.

Avoid use on the face, groin, or axillae.

Avoid contact with eyes. Wash hands after each application, unless it is for treatment of the hands.

LEXETTE is for topical use only.

LEXETTE is not for ophthalmic, oral, or intravaginal use.

5.2 Local Adverse Reactions

Local adverse reactions from topical corticosteroids may include atrophy, striae, telangiectasias, burning, itching, irritation, dryness, folliculitis, acneiform eruptions, hypopigmentation, perioral dermatitis, allergic contact dermatitis, secondary infection, and miliaria. These may be more likely to occur with occlusive use, prolonged use, or use of higher potency corticosteroids, including LEXETTE. Some local adverse reactions may be irreversible.

3 Dosage Forms and Strengths

LEXETTE® (halobetasol propionate) topical foam is a white to off-white topical foam. Each gram of LEXETTE, 0.05% contains 0.5 mg of halobetasol propionate.

6.2 Postmarketing Experience

Because the reactions are reported voluntarily from a population of uncertain size, it is not always possible to reliably estimate their frequency or establish a causal relationship to drug exposure.

The following local adverse reactions have been reported with topical corticosteroids: folliculitis, acneiform eruptions, hypopigmentation, perioral dermatitis, allergic contact dermatitis, secondary infection, irritation, striae, and miliaria. They may occur more frequently with the use of occlusive dressings and higher potency corticosteroids, such as halobetasol propionate.

6.1 Clinical Trials Experience

Because clinical trials are conducted under widely varying conditions, adverse reaction rates observed in the clinical trials of a drug cannot be directly compared to rates in the clinical trials of another drug and may not reflect the rates observed in practice.

In randomized, multicenter, vehicle-controlled clinical trials, 351 adults with plaque psoriasis were treated with LEXETTE twice daily for up to two weeks (up to approximately 50 grams per week). Table 1 presents selected adverse reactions that occurred in at least 1% of subjects.

Table 1: Adverse Reactions Occurring in ≥ 1% of Subjects through Week 2

HBP Foam

N=351

Vehicle Foam

N=353

Adverse Reaction

%

%

     Application site burning/stinging

12%

15%

     Application site pain

1%

<1%

     Headache

1%

<1%

Skin atrophy (n=1) and telangiectasia (n=2) were reported with LEXETTE, but not with vehicle foam.

5.4 Concomitant Skin Infections

Use an appropriate antimicrobial agent if a skin infection is present or develops. If a favorable response does not occur promptly, discontinue use of LEXETTE until the infection has been adequately treated.

5.5 Allergic Contact Dermatitis

Allergic contact dermatitis with corticosteroids is usually diagnosed by observing failure to heal rather than noting a clinical exacerbation. Consider confirmation of a clinical diagnosis of allergic contact dermatitis by appropriate patch testing. Discontinue LEXETTE if allergic contact dermatitis is established.

5.3 Ophthalmic Adverse Reactions

Use of topical corticosteroids may increase the risk of posterior subcapsular cataracts and glaucoma. Cataracts and glaucoma have been reported in postmarketing experience with the use of topical corticosteroid products.

Advise patients to report any visual symptoms and consider referral to an ophthalmologist for evaluation.

17 Patient Counseling Information

Advise the patient to read the FDA-approved patient labeling (Patient Information and Instructions for Use).

This information is intended to aid in the safe and effective use of this medication. It is not a disclosure of all administration instructions or all possible adverse or unintended effects. Inform patients of the following:

Important Administration Instructions:

  • Total dosage should not exceed 50 grams (one can) per week [see Dosage and Administration (2)].
  • Advise patients to avoid use on the face, groin, or axillae. Avoid contact with eyes [see Dosage and Administration (2)].
  • Inform patients that topical corticosteroids may cause HPA axis suppression and local adverse reactions [see Warnings and Precautions (5.1)].
  • Breastfeeding women should not apply LEXETTE directly to the nipple and/or areola to avoid direct exposure to the infant [see Use in Specific Populations (8.2)].
  • This product is flammable; avoid heat, flame, or smoking during and immediately following application of this product.

Rx Only

Distributed by:

Mayne Pharma

Raleigh, NC 27609

Rev 05/2025

Package/label Principal Display Panel

NDC 51862-618-50

LEXETTE

(halobetasol propionate)

Topical Foam, 0.05%

For topical use only.

Not for ophthalmic, oral, or intravaginal use.

Keep Out of Reach of Children.

Rx ONLY

Net Wt. 50 g

mayne pharma

13.1 Carcinogenesis, Mutagenesis, Impairment of Fertility

Long-term animal studies have not been performed to evaluate the carcinogenic potential of halobetasol propionate.

In a 90-day repeat-dose toxicity study in rats, topical administration of LEXETTE at dose concentrations from 0.005% to 0.05% or from 0.011 to 0.11 mg/kg/day of halobetasol propionate resulted in a toxicity profile consistent with long-term exposure to corticosteroids including adrenal atrophy, histopathological changes in several organ systems indicative of severe immune suppression, and opportunistic fungal and bacterial infections. A no observable adverse effect level could not be determined in this study. Although the clinical relevance of the findings in animals to humans is not clear, sustained glucocorticoid-related immune suppression may increase the risk of infection and possibly the risk of carcinogenesis.

Halobetasol propionate was not found to be genotoxic in the Ames/Salmonella assay, in the Chinese hamster CHO/HGPRT assay, in the mouse micronucleus test, in the sister chromatid exchange test in somatic cells of the Chinese hamster, or in the chromosome aberration test in somatic cells of Chinese hamsters. Positive mutagenicity effects were observed in two genotoxicity assays: Chinese hamster nuclear anomaly test and mouse lymphoma gene mutation assay in vitro. Studies in the rat following oral administration at dose levels up to 0.05 mg/kg/day indicated no impairment of fertility or general reproductive performance.

5.1 Hypothalamic Pituitary Adrenal (hpa) Axis Suppression and Other Adverse Endocrine Effects

LEXETTE is a topical corticosteroid that has been shown to suppress the hypothalamic-pituitary-adrenal (HPA) axis.

Systemic effects of topical corticosteroids may include reversible HPA axis suppression, with the potential for glucocorticosteroid insufficiency. This may occur during treatment or upon withdrawal of treatment of the topical corticosteroid. The potential for hypothalamic-pituitary-adrenal (HPA) suppression with LEXETTE was evaluated in the following studies:

  • In a study of 25 adult subjects with moderate to severe plaque psoriasis involving ≥15% of their body surface area. LEXETTE produced laboratory evidence of HPA axis suppression when used twice daily for two weeks in 6 out of 25 (24%) adult subjects with plaque psoriasis. All subjects returned to normal HPA axis function at follow-up at least 4 weeks after stopping the treatment [see Clinical Pharmacology (12.2)].
  • In another clinical study, 24 subjects 12 to less than 18 years old with stable plaque psoriasis involving 10% or more of their body surface area applied LEXETTE to affected areas twice daily for two weeks. Of the 23 subjects evaluated for HPA axis suppression, laboratory evidence of adrenal suppression occurred in 6 subjects (26.1%), whom recovered upon retesting after at least 4 weeks of stopping the treatment [see Clinical Pharmacology (12.2)].

Because of the potential for systemic absorption, use of topical corticosteroids, including LEXETTE, may require that patients be evaluated periodically for evidence of HPA axis suppression. Factors that predispose a patient using a topical corticosteroid to HPA axis suppression include the use of more potent corticosteroids, use over large surface areas, prolonged use, occlusive use, use on an altered skin barrier, concomitant use of multiple corticosteroid-containing products, liver failure, and young age. An ACTH stimulation test may be helpful in evaluating patients for HPA axis suppression.

If HPA axis suppression is documented, attempt to gradually withdraw the drug, reduce the frequency of application, or substitute a less potent steroid. Manifestations of adrenal insufficiency may require supplemental systemic corticosteroids. Recovery of HPA axis function is generally prompt and complete upon discontinuation of topical corticosteroids.

Systemic effects of topical corticosteroids may also include Cushing's syndrome, hyperglycemia, and glucosuria. Use of more than one corticosteroid-containing product at the same time may increase the total systemic exposure to topical corticosteroids.

Pediatric patients may be more susceptible than adults to systemic toxicity from the use of topical corticosteroids due to their larger surface-to-body mass ratios [see Use in Specific Populations (8.4)].


Structured Label Content

16.2 Storage

Store at 20°-25°C (68°-77°F); excursions permitted to 15ºC and 30ºC (59ºF to 86ºF). Contents under pressure.

Do not puncture or incinerate. Do not expose to heat or store at temperatures above 120°F (49°C).

Do not freeze.

10 Overdosage (10 OVERDOSAGE)

Topically applied LEXETTE can be absorbed in sufficient amounts to produce systemic effects [see Warnings and Precautions (5.1)].

16.3 Handling

LEXETTE is flammable; avoid heat, flame, or smoking when using this product.

8.1 Pregnancy

Risk Summary

There are no available data on LEXETTE use in pregnant women to inform a drug-associated risk for adverse developmental outcomes. In animal reproduction studies, increased malformations, including cleft palate and omphalocele, were observed after oral administration of halobetasol propionate during organogenesis to pregnant rats and rabbits. No comparisons of animal exposure with human exposure may be calculated due to minimal systemic exposure in humans after topical administration of LEXETTE [see Clinical Pharmacology (12.3)].

The background risk of major birth defects and miscarriage for the indicated population are unknown. In the U.S. general population, the estimated background risk of major birth defects and miscarriage in clinically recognized pregnancies is 2-4% and 15-20%, respectively.

Data

Animal Data

Halobetasol propionate has been shown to cause malformations in rats and rabbits when given orally during organogenesis at doses of 0.04 to 0.1 mg/kg/day in rats and 0.01 mg/kg/day in rabbits. Halobetasol propionate was embryotoxic in rabbits, but not in rats. Cleft palate was observed in both rats and rabbits. Omphalocele was seen in rats, but not in rabbits.

8.2 Lactation

Risk Summary

There are no data on the presence of halobetasol propionate or its metabolites in human milk, the effects on the breastfed infant, or the effects on milk production after topical application to women who are breastfeeding.

Systemically administered corticosteroids appear in human milk and could suppress growth, interfere with endogenous corticosteroid production, or cause other untoward effects. It is not known whether topical administration of corticosteroids could result in sufficient systemic absorption to produce detectable quantities in human milk.

The developmental and health benefits of breastfeeding should be considered along with the mother’s clinical need for LEXETTE and any potential adverse effects on the breastfed infant from LEXETTE or from the underlying maternal condition.

Clinical Considerations

Advise breastfeeding women not to apply LEXETTE directly to the nipple and/or areola to avoid direct infant exposure.

11 Description (11 DESCRIPTION)

LEXETTE is a hydroethanolic aerosol foam that contains a corticosteroid, halobetasol propionate. The chemical name of halobetasol propionate is 21-chloro-6α, 9-difluoro-11β, 17-dihydroxy-16β-methylpregna-1, 4-diene-3,20-dione 17-propionate. Halobetasol propionate is a white to off-white crystalline powder with a molecular weight of 484.96 and a molecular formula of C25H31ClF2O5. It has the following structural formula:

It is practically insoluble in water and freely soluble in dichloromethane and in acetone. Each gram of LEXETTE contains 0.5 mg of halobetasol propionate in a white to off-white foam base consisting of alcohol (dehydrated), benzoic acid, cetostearyl alcohol, emulsifying wax, polyoxyl 20 cetostearyl ether, propylene glycol and purified water. LEXETTE is dispensed from an aluminum can pressurized with a hydrocarbon (isobutane and propane) propellant.

5.6 Flammability

LEXETTE is flammable. Avoid fire, flame, or smoking during and immediately following application.

16.1 How Supplied

LEXETTE (halobetasol propionate) topical foam, 0.05% is a white to off-white foam.

It is supplied in aluminum cans of:

50 grams (NDC 51862-618-50)

8.4 Pediatric Use

Safety and effectiveness of LEXETTE in patients younger than 12 years of age have not been established; therefore, use in children younger than 12 years is not recommended.

The safety and effectiveness of LEXETTE for the treatment of stable plaque psoriasis in subjects 12 to less than 18 years of age is supported by evidence from adequate and well-controlled studies in adults and from one open-label safety study in 24 subjects aged 12 to less than 18 years. Subjects 12 to less than 18 years with stable plaque psoriasis covering a minimum of 10% of the total body surface area at baseline were treated twice daily for 2 weeks with LEXETTE. Hypothalamic-pituitary-adrenal (HPA) axis function (ACTH stimulation test) was evaluated in a subset of 23 subjects. After 2 weeks of treatment, 6 of 23 subjects (26.1%) experienced laboratory evidence of adrenal suppression (i.e., cortisol serum level of ≤18 μg/dL) that recovered upon retesting after at least 4 weeks of stopping the treatment [see Clinical Pharmacology (12.2)].

Because of higher skin surface area to body mass ratios, pediatric patients are at a greater risk than adults of HPA axis suppression and Cushing’s syndrome when they are treated with topical corticosteroids. They are therefore also at greater risk of adrenal insufficiency during or after withdrawal of treatment. Adverse reactions including striae have been reported with use of topical corticosteroids in infants and children [see Warnings and Precautions (5.1)].

HPA axis suppression, Cushing’s syndrome, linear growth retardation, delayed weight gain, and intracranial hypertension have been reported in children receiving topical corticosteroids. Manifestations of adrenal suppression in children include low plasma cortisol levels and an absence of response to ACTH stimulation. Manifestations of intracranial hypertension include bulging fontanelles, headaches, and bilateral papilledema [see Warnings and Precautions (5.1)].

8.5 Geriatric Use

Clinical studies with LEXETTE included 131 patients aged 65 years and over. No overall differences in safety or effectiveness were observed between these patients and those younger than 65 years.

14 Clinical Studies (14 CLINICAL STUDIES)

LEXETTE was evaluated for the treatment of moderate to severe plaque psoriasis in two multicenter, randomized, double-blind, vehicle-controlled studies (Study 1 [NCT02368210] and Study 2 [NCT02742441]).

These studies were conducted in 560 subjects 18 years of age and older with plaque psoriasis involving between 2% and 12% body surface area. Baseline disease severity was determined using a static, five-level Investigator’s Global Assessment (IGA) scale, on which a subject scored either moderate or severe. Overall, approximately 60% of subjects were male and approximately 90% were Caucasian.

Subjects applied LEXETTE or vehicle to all affected areas twice daily for up to 14 consecutive days. The primary measure of efficacy was Overall Treatment Success, defined as the proportion of subjects who were cleared or almost cleared with at least a two-grade improvement from baseline at Week 2 (end of treatment) based on the IGA. The studies also evaluated treatment success for the individual signs of psoriasis (plaque elevation, scaling, and erythema) at the end of treatment. Table 2 presents these results.

Table 2: Efficacy Results at Week 2 in Subjects with Plaque Psoriasis

Study 1

Study 2

LEXETTE

N=75

Vehicle Foam

N=76

LEXETTE

N=205

Vehicle Foam

N=204

Overall Treatment Success

Subjects whose condition was cleared or almost cleared of all signs of psoriasis and with at least a two-grade improvement from baseline based on the IGA.

19 (25%)

3 (4%)

63 (31%)

15 (7%)

Plaque Elevation

Subjects who were cleared or almost cleared of the designated clinical sign with at least a two-grade improvement from baseline. Individual signs were rated by severity using a five-point scale ranging from 0 (clear) to 4 (severe). Subjects with baseline value of 0 or 1 were excluded.

20/75 (27%)

3/76 (4%)

71/202 (35%)

20/203 (10%)

Scaling

21/75 (28%)

4/76 (5%)

68/201 (34%)

20/204 (10%)

Erythema

16/75 (21%)

2/76 (3%)

59/205 (29%)

17/204 (8%)

4 Contraindications (4 CONTRAINDICATIONS)

None.

6 Adverse Reactions (6 ADVERSE REACTIONS)

The following adverse reactions are discussed in greater detail in other sections of the label:

  • Hypothalamic-Pituitary-Adrenal (HPA) Axis Suppression and Other Adverse Endocrine Effects [see Warnings and Precautions (5.1)]
  • Allergic Contact Dermatitis [see Warnings and Precautions (5.5)]
Instructions for Use

INSTRUCTIONS FOR USE

LEXETTE® (lex-et)

(halobetasol propionate) Topical Foam, 0.05%

Read the Patient Information and Instructions for Use before you use LEXETTE.

Important information: LEXETTE is for skin use only. Do not get LEXETTE in your mouth, eyes, or vagina.

Parts of the LEXETTE can:

Step 1: Before applying LEXETTE for the first time, remove cap and break the small tab at the base of the actuator by gently pushing the actuator away from the tab as shown. Do not break the hinge on the actuator.

Step 2: Shake the can well before use.

Step 3: Turn the can completely upside down.

Step 4: Press down on the actuator to dispense a small amount of the foam into the palm of your hand.

Step 5: Apply a thin layer of LEXETTE to the affected skin area. Gently rub LEXETTE into the affected skin until the foam disappears.

Repeat Steps 4 and 5 to all the affected areas as prescribed by your healthcare provider.

Step 6: After applying LEXETTE, put the cap back on the can.

Step 7: Wash your hands after applying LEXETTE unless you are using the medicine to treat your hands.

This Instructions for Use has been approved by the U.S. Food and Drug Administration.

Distributed by:

Mayne Pharma

Raleigh, NC 27609

Rev 05/2025

70017288-00

12.2 Pharmacodynamics

Vasoconstrictor Assay

A vasoconstrictor assay in healthy patients with LEXETTE indicated that the formulation is in the super-high range of potency as compared to other topical corticosteroids; however, similar blanching scores do not necessarily imply therapeutic equivalence.

Hypothalamic-pituitary-adrenal (HPA) axis suppression

The potential for hypothalamic-pituitary-adrenal axis (HPA-axis) suppression was evaluated in the following two studies. In both studies, the criteria for HPA-axis suppression was a serum cortisol level of less than or equal to 18 micrograms per deciliter 30 minutes after stimulation with cosyntropin (adrenocorticotropic hormone, ACTH).

In the first study, LEXETTE was applied to 25 adult subjects with moderate to severe plaque psoriasis involving a mean body surface area of 18.4%. A mean dose of 3.7 g of LEXETTE was applied twice daily for two weeks and produced laboratory evidence of HPA axis suppression in 6 of 25 (24%) subjects. All subjects returned to normal HPA axis function at follow-up at least 4 weeks after stopping the treatment.

In the second study, LEXETTE was applied to 24 subjects 12 to less than 18 years of age with stable plaque psoriasis with a mean percent BSA of 15.1% (range of 11% to 23%). The mean dose of LEXETTE used was 3.1 grams, which was applied twice daily for two weeks. In the study, 24 subjects completed the study, and 23 subjects had evaluable ACTH stimulation tests. HPA axis suppression was observed in 6 of the 23 subjects (26.1%), and all subjects returned to normal HPA axis function at follow-up at least 4 weeks after stopping the treatment.

12.3 Pharmacokinetics

The extent of percutaneous absorption of topical corticosteroids is determined by many factors, including the vehicle, the integrity of the epidermal barrier, and the use of occlusive dressings. Topical corticosteroids can be absorbed from normal intact skin. Inflammation and/or other disease processes in the skin may increase percutaneous absorption.

In the HPA-axis and pharmacokinetic study, as described above in Clinical Pharmacology (12.2), pharmacokinetics was evaluated in a subgroup of 23 adult subjects with moderate to severe plaque psoriasis following twice daily treatment for 14 days. Plasma concentration of halobetasol propionate (HBP) was measurable in all subjects and steady state was achieved by Day 14. The mean (± standard deviation) Cmax concentration for HBP on Day 14 was 199.7 ± 217.3 pg/mL, with the corresponding median Tmax value of 1 hour (range 0 – 12 hours); mean area under the halobetasol propionate concentration versus time curve over the dosing interval (AUCt) was 1434.9 ± 1310.6 pg•h/mL.

In the HPA axis study in subjects 12 to less than 18 years [see Clinical Pharmacology (12.2)], trough plasma concentrations of HBP were measured on Day 8 and Day 15 in 23 subjects following twice daily treatment for 14 days. On Day 8, nine (9) of the 23 evaluable subjects had morning trough concentrations of halobetasol propionate in plasma that were above the quantifiable limit (≥20.0 pg/mL); mean halobetasol concentration was 154.6 ± 308.67 pg/mL. Similarly, on Day 15, nine (9) of the 23 evaluable subjects had morning trough concentrations of halobetasol propionate above the quantifiable limit; mean halobetasol concentration was 59.9 ± 90.15 pg/mL. Of the 9 subjects with quantifiable plasma concentrations at Day 15, seven (7) also had quantifiable plasma concentrations at Day 8.

Patient Package Insert

PATIENT INFORMATION

LEXETTE® (lex-et)

(halobetasol propionate)

Topical Foam, 0.05%

Important: LEXETTE is for use on the skin only. Do not apply LEXETTE near or in your eyes, mouth, or vagina.

What is LEXETTE?

LEXETTE is a prescription corticosteroid medicine used on the skin to treat plaque psoriasis in people 12 years of age and older.

It is not known if LEXETTE is safe and effective in children under 12 years of age.

Before using LEXETTE, tell your healthcare provider about all of your medical conditions, including if you:

• have had irritation or other skin reaction to a steroid medicine in the past.

• have a skin infection. You may need medicine to treat the skin infection before using LEXETTE.

• have diabetes.

• have adrenal gland problems.

• have liver problems.

• plan to have surgery.

• are pregnant or plan to become pregnant. It is not known if LEXETTE will harm your unborn baby.

• are breastfeeding or plan to breastfeed. It is not known if halobetasol propionate passes into your breast milk. If you use LEXETTE and breastfeed, do not apply LEXETTE to your nipple or areola to avoid getting LEXETTE into your baby’s mouth.

Tell your healthcare provider about all the medicines you take, including prescription and over-the-counter medicines, vitamins, and herbal supplements. Especially tell your healthcare provider if you take other corticosteroid medicines by mouth, or injection, or use other products on your skin that contain corticosteroid.

How should I use LEXETTE?

See the “Instructions for Use” for detailed information about the right way to apply LEXETTE.

• Use LEXETTE exactly as your healthcare provider tells you to use it.

• Apply a thin layer of LEXETTE to the affected skin areas 2 times each day.

• You should not use more than 50 grams of LEXETTE in 1 week.

• Avoid using LEXETTE on your face, underarms (armpits), or groin areas.

• Do not bandage, cover, or wrap the treated skin area unless your healthcare provider tells you to.

• Talk to your healthcare provider if your skin does not improve after 2 weeks of treatment with LEXETTE.

• Do not use LEXETTE longer than 2 continuous weeks unless advised to do so by your prescriber.

• Wash your hands after using LEXETTE unless you are using the medicine to treat your hands.

What should I avoid while using LEXETTE?

LEXETTE is flammable. Avoid heat, flame, or smoking during and right after applying LEXETTE to your skin.

What are the possible side effects of LEXETTE?

LEXETTE may cause serious side effects, including:

LEXETTE can pass through your skin. Too much LEXETTE passing through your skin can cause adrenal glands to stop working.

Cushing’s syndrome, a condition that happens when your body is exposed to too much of the hormone cortisol.

High blood sugar (hyperglycemia).

Vision problems. LEXETTE may increase your chance of developing cataract(s) and glaucoma. Tell your healthcare provider if you develop blurred vision or other vision problems during treatment with LEXETTE.

Skin reactions at the treated skin site. Tell your healthcare provider if you get any skin reactions or skin infections.

Effects on growth and weight in children.

Your healthcare provider may do certain blood tests to check for side effects.

The most common side effect of LEXETTE is mild to moderate pain at the treated site. These are not all of the possible side effects of LEXETTE.

Call your doctor for medical advice about side effects. You may report side effects to FDA at 1-800-FDA-1088.

How should I store LEXETTE?

• Store LEXETTE at room temperature between 68°F to 77°F (20°C to 25°C).

• Do not puncture or burn LEXETTE can.

• Do not store LEXETTE next to heat or store at temperatures above 120°F (49°C).

• Do not freeze LEXETTE.

Keep LEXETTE and all medicines out of the reach of children.

General information about the safe and effective use of LEXETTE.

Medicines are sometimes prescribed for purposes other than those listed in a Patient Information leaflet. Do not use LEXETTE for a condition for which it was not prescribed. Do not give LEXETTE to other people, even if they have the same symptoms that you have. It may harm them. You can ask your pharmacist or healthcare provider for information about LEXETTE that is written for health professionals.

What are the ingredients in LEXETTE?

Active ingredient: halobetasol propionate

Inactive ingredients: alcohol (dehydrated), benzoic acid, cetostearyl alcohol, emulsifying wax, polyoxyl 20 cetostearyl ether, propylene glycol, and purified water.

LEXETTE is dispensed from an aluminum can pressurized with a hydrocarbon propellant containing isobutane and propane.

Distributed by:

Mayne Pharma

Raleigh, NC 27609

For more information, call 1-866-634-9120

This Patient Information has been approved by the U.S. Food and Drug Administration.

Revised: 05/2025

1 Indications and Usage (1 INDICATIONS AND USAGE)

LEXETTE® is indicated for the topical treatment of plaque psoriasis in patients 12 years of age and older.

12.1 Mechanism of Action

Corticosteroids play a role in cellular signaling, immune function, inflammation, and protein regulation; however, the precise mechanism of action in plaque psoriasis is unknown.

5 Warnings and Precautions (5 WARNINGS AND PRECAUTIONS)
  • Reversible hypothalamic-pituitary-adrenal (HPA) axis suppression may occur, with the potential for glucocorticosteroid insufficiency during or after treatment. (5.1)
  • Systemic effects following prolonged exposure of topical corticosteroids may also include Cushing’s syndrome, hyperglycemia, and glucosuria. (5.1)
  • Use of potent corticosteroids on large areas, for prolonged durations, under occlusive dressings, or on an altered skin barrier may increase systemic exposure. (5.1)
  • Children may be more susceptible to systemic toxicity when treated with topical corticosteroids. (5.1, 8.4)
  • Local adverse reactions with topical steroids may include atrophy, striae, irritation, acneiform eruptions, hypopigmentation, and allergic contact dermatitis. Adverse reactions may be more likely to occur with occlusive use or more potent corticosteroids. (5.2)
  • Topical corticosteroids may increase the risk of cataract and glaucoma formation. If visual symptoms occur, consider referral to an ophthalmologist for evaluation. (5.3)
  • Initiate appropriate therapy if concomitant skin infections develop. (5.4)
  • Flammable contents. Avoid heat, flame, or smoking during and immediately following application. (5.6)
2 Dosage and Administration (2 DOSAGE AND ADMINISTRATION)

Shake can prior to use and turn can completely upside down to dispense. Apply LEXETTE as a thin uniform film to the affected skin twice daily for up to two weeks. Rub in gently. Wash hands after applying the product.

Discontinue therapy when control is achieved. If no improvement is seen within two weeks, reassessment of the diagnosis may be necessary.

Treatment beyond two weeks is not recommended and the total dosage should not exceed 50 grams per week because of the potential for the drug to suppress the hypothalamic-pituitary-adrenal (HPA) axis [see Warnings and Precautions (5.1)]. Do not use with occlusive dressings unless directed by a physician.

Avoid use on the face, groin, or axillae.

Avoid contact with eyes. Wash hands after each application, unless it is for treatment of the hands.

LEXETTE is for topical use only.

LEXETTE is not for ophthalmic, oral, or intravaginal use.

5.2 Local Adverse Reactions

Local adverse reactions from topical corticosteroids may include atrophy, striae, telangiectasias, burning, itching, irritation, dryness, folliculitis, acneiform eruptions, hypopigmentation, perioral dermatitis, allergic contact dermatitis, secondary infection, and miliaria. These may be more likely to occur with occlusive use, prolonged use, or use of higher potency corticosteroids, including LEXETTE. Some local adverse reactions may be irreversible.

3 Dosage Forms and Strengths (3 DOSAGE FORMS AND STRENGTHS)

LEXETTE® (halobetasol propionate) topical foam is a white to off-white topical foam. Each gram of LEXETTE, 0.05% contains 0.5 mg of halobetasol propionate.

6.2 Postmarketing Experience

Because the reactions are reported voluntarily from a population of uncertain size, it is not always possible to reliably estimate their frequency or establish a causal relationship to drug exposure.

The following local adverse reactions have been reported with topical corticosteroids: folliculitis, acneiform eruptions, hypopigmentation, perioral dermatitis, allergic contact dermatitis, secondary infection, irritation, striae, and miliaria. They may occur more frequently with the use of occlusive dressings and higher potency corticosteroids, such as halobetasol propionate.

6.1 Clinical Trials Experience

Because clinical trials are conducted under widely varying conditions, adverse reaction rates observed in the clinical trials of a drug cannot be directly compared to rates in the clinical trials of another drug and may not reflect the rates observed in practice.

In randomized, multicenter, vehicle-controlled clinical trials, 351 adults with plaque psoriasis were treated with LEXETTE twice daily for up to two weeks (up to approximately 50 grams per week). Table 1 presents selected adverse reactions that occurred in at least 1% of subjects.

Table 1: Adverse Reactions Occurring in ≥ 1% of Subjects through Week 2

HBP Foam

N=351

Vehicle Foam

N=353

Adverse Reaction

%

%

     Application site burning/stinging

12%

15%

     Application site pain

1%

<1%

     Headache

1%

<1%

Skin atrophy (n=1) and telangiectasia (n=2) were reported with LEXETTE, but not with vehicle foam.

5.4 Concomitant Skin Infections

Use an appropriate antimicrobial agent if a skin infection is present or develops. If a favorable response does not occur promptly, discontinue use of LEXETTE until the infection has been adequately treated.

5.5 Allergic Contact Dermatitis

Allergic contact dermatitis with corticosteroids is usually diagnosed by observing failure to heal rather than noting a clinical exacerbation. Consider confirmation of a clinical diagnosis of allergic contact dermatitis by appropriate patch testing. Discontinue LEXETTE if allergic contact dermatitis is established.

5.3 Ophthalmic Adverse Reactions

Use of topical corticosteroids may increase the risk of posterior subcapsular cataracts and glaucoma. Cataracts and glaucoma have been reported in postmarketing experience with the use of topical corticosteroid products.

Advise patients to report any visual symptoms and consider referral to an ophthalmologist for evaluation.

17 Patient Counseling Information (17 PATIENT COUNSELING INFORMATION)

Advise the patient to read the FDA-approved patient labeling (Patient Information and Instructions for Use).

This information is intended to aid in the safe and effective use of this medication. It is not a disclosure of all administration instructions or all possible adverse or unintended effects. Inform patients of the following:

Important Administration Instructions:

  • Total dosage should not exceed 50 grams (one can) per week [see Dosage and Administration (2)].
  • Advise patients to avoid use on the face, groin, or axillae. Avoid contact with eyes [see Dosage and Administration (2)].
  • Inform patients that topical corticosteroids may cause HPA axis suppression and local adverse reactions [see Warnings and Precautions (5.1)].
  • Breastfeeding women should not apply LEXETTE directly to the nipple and/or areola to avoid direct exposure to the infant [see Use in Specific Populations (8.2)].
  • This product is flammable; avoid heat, flame, or smoking during and immediately following application of this product.

Rx Only

Distributed by:

Mayne Pharma

Raleigh, NC 27609

Rev 05/2025

Package/label Principal Display Panel (PACKAGE/LABEL PRINCIPAL DISPLAY PANEL)

NDC 51862-618-50

LEXETTE

(halobetasol propionate)

Topical Foam, 0.05%

For topical use only.

Not for ophthalmic, oral, or intravaginal use.

Keep Out of Reach of Children.

Rx ONLY

Net Wt. 50 g

mayne pharma

13.1 Carcinogenesis, Mutagenesis, Impairment of Fertility

Long-term animal studies have not been performed to evaluate the carcinogenic potential of halobetasol propionate.

In a 90-day repeat-dose toxicity study in rats, topical administration of LEXETTE at dose concentrations from 0.005% to 0.05% or from 0.011 to 0.11 mg/kg/day of halobetasol propionate resulted in a toxicity profile consistent with long-term exposure to corticosteroids including adrenal atrophy, histopathological changes in several organ systems indicative of severe immune suppression, and opportunistic fungal and bacterial infections. A no observable adverse effect level could not be determined in this study. Although the clinical relevance of the findings in animals to humans is not clear, sustained glucocorticoid-related immune suppression may increase the risk of infection and possibly the risk of carcinogenesis.

Halobetasol propionate was not found to be genotoxic in the Ames/Salmonella assay, in the Chinese hamster CHO/HGPRT assay, in the mouse micronucleus test, in the sister chromatid exchange test in somatic cells of the Chinese hamster, or in the chromosome aberration test in somatic cells of Chinese hamsters. Positive mutagenicity effects were observed in two genotoxicity assays: Chinese hamster nuclear anomaly test and mouse lymphoma gene mutation assay in vitro. Studies in the rat following oral administration at dose levels up to 0.05 mg/kg/day indicated no impairment of fertility or general reproductive performance.

5.1 Hypothalamic Pituitary Adrenal (hpa) Axis Suppression and Other Adverse Endocrine Effects (5.1 Hypothalamic-Pituitary-Adrenal (HPA) Axis Suppression and Other Adverse Endocrine Effects)

LEXETTE is a topical corticosteroid that has been shown to suppress the hypothalamic-pituitary-adrenal (HPA) axis.

Systemic effects of topical corticosteroids may include reversible HPA axis suppression, with the potential for glucocorticosteroid insufficiency. This may occur during treatment or upon withdrawal of treatment of the topical corticosteroid. The potential for hypothalamic-pituitary-adrenal (HPA) suppression with LEXETTE was evaluated in the following studies:

  • In a study of 25 adult subjects with moderate to severe plaque psoriasis involving ≥15% of their body surface area. LEXETTE produced laboratory evidence of HPA axis suppression when used twice daily for two weeks in 6 out of 25 (24%) adult subjects with plaque psoriasis. All subjects returned to normal HPA axis function at follow-up at least 4 weeks after stopping the treatment [see Clinical Pharmacology (12.2)].
  • In another clinical study, 24 subjects 12 to less than 18 years old with stable plaque psoriasis involving 10% or more of their body surface area applied LEXETTE to affected areas twice daily for two weeks. Of the 23 subjects evaluated for HPA axis suppression, laboratory evidence of adrenal suppression occurred in 6 subjects (26.1%), whom recovered upon retesting after at least 4 weeks of stopping the treatment [see Clinical Pharmacology (12.2)].

Because of the potential for systemic absorption, use of topical corticosteroids, including LEXETTE, may require that patients be evaluated periodically for evidence of HPA axis suppression. Factors that predispose a patient using a topical corticosteroid to HPA axis suppression include the use of more potent corticosteroids, use over large surface areas, prolonged use, occlusive use, use on an altered skin barrier, concomitant use of multiple corticosteroid-containing products, liver failure, and young age. An ACTH stimulation test may be helpful in evaluating patients for HPA axis suppression.

If HPA axis suppression is documented, attempt to gradually withdraw the drug, reduce the frequency of application, or substitute a less potent steroid. Manifestations of adrenal insufficiency may require supplemental systemic corticosteroids. Recovery of HPA axis function is generally prompt and complete upon discontinuation of topical corticosteroids.

Systemic effects of topical corticosteroids may also include Cushing's syndrome, hyperglycemia, and glucosuria. Use of more than one corticosteroid-containing product at the same time may increase the total systemic exposure to topical corticosteroids.

Pediatric patients may be more susceptible than adults to systemic toxicity from the use of topical corticosteroids due to their larger surface-to-body mass ratios [see Use in Specific Populations (8.4)].


Advanced Ingredient Data


Raw Label Data

All Sections (JSON)