Clindacin®

Clindacin®
SPL v5
SPL
SPL Set ID 89fed26e-1cad-4c0b-8695-d6f3562ba8d5
Route
TOPICAL
Published
Effective Date 2023-11-14
Document Type 34391-3 HUMAN PRESCRIPTION DRUG LABEL

Drug Facts

Composition & Product

Active Ingredients
Clindamycin (10 mg)
Inactive Ingredients
Isopropyl Alcohol Propylene Glycol Water Sodium Hydroxide

Identifiers & Packaging

Marketing Status
ANDA Active Since 2013-06-15

Description

R x Only For External Use

Indications and Usage

Clindacin ® ETZ is indicated in the treatment of acne vulgaris. In view of the potential for diarrhea, bloody diarrhea and pseudomembranous colitis, the physician should consider whether other agents are more appropriate (see CONTRAINDICATIONS , WARNINGS and ADVERSE REACTIONS ).

Dosage and Administration

Do not use if the unit-dose pouch seal is broken. Remove pledget just before use. Use pledget to apply a thin film of Clindamycin Phosphate Topical Solution to the affected area twice daily. More than one pledget may be used. Each pledget should be used only once and then discarded.

Contraindications

Clindacin ® ETZ is contraindicated in individuals with a history of hypersensitivity to preparations containing clindamycin or lincomycin, a history of regional enteritis or ulcerative colitis, or a history of antibiotic-associated colitis.

Adverse Reactions

In 18 clinical studies of various formulations of topical clindamycin phosphate using placebo vehicle and/or active comparator drugs as controls, patients experienced a number of treatment emergent adverse dermatologic events [see table below]. Number of Patients Reporting Events Treatment Emergent Adverse Event Solution n=553 (%) Gel n=148 (%) Lotion n=160 (%) Burning 62 (11) 15 (10) 17 (11) Itching 36 (7) 15 (10) 17 (11) Burning/Itching 60 (11) not recorded (-) (-) Dryness 105 (19) 34 (23) 29 (18) Erythema 86 (16) 10 (7) 22 (14) Oiliness/Oily Skin 8 (1) 26 (18) 12 of 126 subjects (10) Peeling 61 (11) (-) 11 (7) Orally and parenterally administered clindamycin has been associated with severe colitis which may end fatally. Cases of diarrhea, bloody diarrhea and colitis (including pseudomembranous colitis) have been reported as adverse reactions in patients treated with oral and parenteral formulations of clindamycin and rarely with topical clindamycin (see WARNINGS ). Abdominal pain, gastrointestinal disturbances, gram-negative folliculitis, eye pain and contact dermatitis have also been reported in association with the use of topical formulations of clindamycin. To report SUSPECTED ADVERSE REACTIONS, contact Medimetriks Pharmaceuticals, Inc., at 1-973-882-7512 or FDA at 1-800-FDA-1088 or www.fda.gov/medwatch.

Drug Interactions

Clindamycin has been shown to have neuromuscular blocking properties that may enhance the action of other neuromuscular blocking agents. Therefore it should be used with caution in patients receiving such agents.

How Supplied

Clindacin ® ETZ (Clindamycin Phosphate Topical Solution USP, 1% (Pledgets)) is available as follows: A carton containing 60 individually wrapped single-use pledget applicators (NDC 43538-172-60)


Medication Information

Indications and Usage

Clindacin ® ETZ is indicated in the treatment of acne vulgaris. In view of the potential for diarrhea, bloody diarrhea and pseudomembranous colitis, the physician should consider whether other agents are more appropriate (see CONTRAINDICATIONS, WARNINGS and ADVERSE REACTIONS ).

Dosage and Administration

Do not use if the unit-dose pouch seal is broken. Remove pledget just before use. Use pledget to apply a thin film of Clindamycin Phosphate Topical Solution to the affected area twice daily. More than one pledget may be used. Each pledget should be used only once and then discarded.

Contraindications

Clindacin ® ETZ is contraindicated in individuals with a history of hypersensitivity to preparations containing clindamycin or lincomycin, a history of regional enteritis or ulcerative colitis, or a history of antibiotic-associated colitis.

Adverse Reactions

In 18 clinical studies of various formulations of topical clindamycin phosphate using placebo vehicle and/or active comparator drugs as controls, patients experienced a number of treatment emergent adverse dermatologic events [see table below].

Number of Patients Reporting Events
Treatment Emergent

Adverse Event
Solution

n=553 (%)
Gel

n=148 (%)
Lotion

n=160 (%)
Burning 62 (11) 15 (10) 17 (11)
Itching 36 (7) 15 (10) 17 (11)
Burning/Itching 60 (11)
not recorded
(-)
(-)
Dryness 105 (19) 34 (23) 29 (18)
Erythema 86 (16) 10 (7) 22 (14)
Oiliness/Oily Skin 8 (1) 26 (18) 12
of 126 subjects
(10)
Peeling 61 (11)
(-)
11 (7)

Orally and parenterally administered clindamycin has been associated with severe colitis which may end fatally. Cases of diarrhea, bloody diarrhea and colitis (including pseudomembranous colitis) have been reported as adverse reactions in patients treated with oral and parenteral formulations of clindamycin and rarely with topical clindamycin (see WARNINGS ).

Abdominal pain, gastrointestinal disturbances, gram-negative folliculitis, eye pain and contact dermatitis have also been reported in association with the use of topical formulations of clindamycin.

To report SUSPECTED ADVERSE REACTIONS, contact Medimetriks Pharmaceuticals, Inc., at 1-973-882-7512 or FDA at 1-800-FDA-1088 or www.fda.gov/medwatch.

Drug Interactions

Clindamycin has been shown to have neuromuscular blocking properties that may enhance the action of other neuromuscular blocking agents. Therefore it should be used with caution in patients receiving such agents.

How Supplied

Clindacin ® ETZ (Clindamycin Phosphate Topical Solution USP, 1% (Pledgets)) is available as follows:

A carton containing 60 individually wrapped single-use pledget applicators (NDC 43538-172-60)

Description

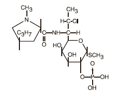
Clindacin ® ETZ contains clindamycin phosphate, USP, at a concentration equivalent to 10 mg clindamycin per milliliter.

Each Clindacin ® ETZ pledget applicator contains approximately 1 mL of topical solution.

Clindamycin phosphate is a water soluble ester of the semi-synthetic antibiotic produced by a 7(S)-chloro-substitution of the 7(R)-hydroxyl group of the parent antibiotic lincomycin.

The solution contains isopropyl alcohol 50% v/v, propylene glycol, purified water, and sodium hydroxide (to adjust the pH to between 4.0 - 7.0).

The structural formula is represented below:

The chemical name for clindamycin phosphate is Methyl 7-chloro-6,7,8-trideoxy-6-(1-methyl-trans-4-propyl-L-2-pyrrolidinecarboxamido)-1-thio-L-threo-α-D-galacto-octopyranoside 2-(dihydrogen phosphate).

Section 42229-5

Rx Only

For External Use

General

Clindacin ® ETZ contains an alcohol base which will cause burning and irritation of the eye. In the event of accidental contact with sensitive surfaces (eye, abraded skin, mucous membranes), bathe with copious amounts of cool tap water. The solution has an unpleasant taste and caution should be exercised when applying medication around the mouth. Clindamycin phosphate topical products should be prescribed with caution in atopic individuals.

Storage

Store at 20-25°C (68-77°F) [see USP Controlled Room Temperature]. Protect from freezing.

Warnings

Orally and parenterally administered clindamycin has been associated with severe colitis which may result in patient death. Use of the topical formulation of clindamycin results in absorption of the antibiotic from the skin surface. Diarrhea, bloody diarrhea, and colitis (including pseudomembranous colitis) have been reported with the use of topical and systemic clindamycin.

Studies indicate a toxin(s) produced by clostridia is one primary cause of antibiotic-associated colitis. The colitis is usually characterized by severe persistent diarrhea and severe abdominal cramps and may be associated with the passage of blood and mucus. Endoscopic examination may reveal pseudomembranous colitis. Stool culture for Clostridium difficile and stool assay for C. difficile toxin may be helpful diagnostically.

When significant diarrhea occurs, the drug should be discontinued. Large bowel endoscopy should be considered to establish a definitive diagnosis in cases of severe diarrhea.

Antiperistaltic agents such as opiates and diphenoxylate with atropine may prolong and/or worsen the condition. Vancomycin has been found to be effective in the treatment of antibiotic-associated pseudomembranous colitis produced by Clostridium difficile. The usual adult dosage is 500 milligrams to 2 grams of vancomycin orally per day in three to four divided doses administered for 7 to 10 days. Cholestyramine or colestipol resins bind vancomycin in vitro. If both a resin and vancomycin are to be administered concurrently, it may be advisable to separate the time of administration of each drug.

Diarrhea, colitis, and pseudomembranous colitis have been observed to begin up to several weeks following cessation of oral and parenteral therapy with clindamycin.

Overdosage

Topically applied Clindacin ® ETZ can be absorbed in sufficient amounts to produce systemic effects (see WARNINGS ).

Geriatric Use

Clinical studies for clindamycin phosphate topical solution USP, 1% did not include sufficient numbers of subjects aged 65 and over to determine whether they respond differently from younger subjects. Other reported clinical experience has not identified differences in responses between the elderly and younger patients.

Pediatric Use

Safety and effectiveness in pediatric patients under the age of 12 have not been established.

Nursing Mothers

It is not known whether clindamycin is excreted in human milk following use of Clindacin ® ETZ. However, orally and parenterally administered clindamycin has been reported to appear in breast milk. Because of the potential for serious adverse reactions in nursing infants, a decision should be made whether to discontinue nursing or to discontinue the drug, taking into account the importance of the drug to the mother.

Pregnancy Category B

In clinical trials with pregnant women, the systemic administration of clindamycin during the second and third trimesters has not been associated with an increased frequency of congenital abnormalities. There are no adequate studies in pregnant women during the first trimester of pregnancy. Clindamycin should be used during the first trimester of pregnancy only if clearly needed.

Clinical Pharmacology

Although clindamycin phosphate is inactive in vitro, rapid in vivo hydrolysis converts this compound to the antibacterially active clindamycin.

Cross resistance has been demonstrated between clindamycin and lincomycin. Antagonism has been demonstrated between clindamycin and erythromycin.

Following multiple topical applications of clindamycin phosphate at a concentration equivalent to 10 mg clindamycin per mL in an isopropyl alcohol and water solution, very low levels of clindamycin are present in the serum (0-3 ng/mL) and less than 0.2% of the dose is recovered in urine as clindamycin.

Clindamycin activity has been demonstrated in comedones from acne patients. The mean concentration of antibiotic activity in extracted comedones after application of clindamycin phosphate topical solution for 4 weeks was 597 mcg/g of comedonal material (range 0-1490). Clindamycin in vitro inhibits all Propionibacterium acnes cultures tested (MICs 0.4 mcg/mL). Free fatty acids on the skin surface have been decreased from approximately 14% to 2% following application of clindamycin.

Principal Display Panel Kit Carton

NDC 43538-173-60

Rx Only

Clindacin® ETZ

KIT

Clindamycin Phosphate

Topical Solution USP, 1%*

(Pledgets)

*equivalent to 1% (10 mg/mL) clindamycin

CONTENTS:

Clindacin® ETZ Clindamycin Phosphate Topical Solution USP, 1% (Pledgets)

1 - Carton (60 Pledgets)

AcuWash® Moisturizing Daily Cleanser

1 - Bottle (16 fl. oz.)

MEDIMETRIKS

PHARMACEUTICALS, INC.

Principal Display Panel 60 Pledget Carton

NDC 43538-172-60

For Topical Use Only

Rx Only

Clindacin® ETZ

Clindamycin Phosphate

Topical Solution USP, 1%* (Pledgets)

*equivalent to 1% (10 mg/mL) clindamycin

60 Individual Pledgets

MEDIMETRIKS

PHARMACEUTICALS, INC.


Structured Label Content

Section 42229-5 (42229-5)

Rx Only

For External Use

General

Clindacin ® ETZ contains an alcohol base which will cause burning and irritation of the eye. In the event of accidental contact with sensitive surfaces (eye, abraded skin, mucous membranes), bathe with copious amounts of cool tap water. The solution has an unpleasant taste and caution should be exercised when applying medication around the mouth. Clindamycin phosphate topical products should be prescribed with caution in atopic individuals.

Storage (STORAGE)

Store at 20-25°C (68-77°F) [see USP Controlled Room Temperature]. Protect from freezing.

Warnings (WARNINGS)

Orally and parenterally administered clindamycin has been associated with severe colitis which may result in patient death. Use of the topical formulation of clindamycin results in absorption of the antibiotic from the skin surface. Diarrhea, bloody diarrhea, and colitis (including pseudomembranous colitis) have been reported with the use of topical and systemic clindamycin.

Studies indicate a toxin(s) produced by clostridia is one primary cause of antibiotic-associated colitis. The colitis is usually characterized by severe persistent diarrhea and severe abdominal cramps and may be associated with the passage of blood and mucus. Endoscopic examination may reveal pseudomembranous colitis. Stool culture for Clostridium difficile and stool assay for C. difficile toxin may be helpful diagnostically.

When significant diarrhea occurs, the drug should be discontinued. Large bowel endoscopy should be considered to establish a definitive diagnosis in cases of severe diarrhea.

Antiperistaltic agents such as opiates and diphenoxylate with atropine may prolong and/or worsen the condition. Vancomycin has been found to be effective in the treatment of antibiotic-associated pseudomembranous colitis produced by Clostridium difficile. The usual adult dosage is 500 milligrams to 2 grams of vancomycin orally per day in three to four divided doses administered for 7 to 10 days. Cholestyramine or colestipol resins bind vancomycin in vitro. If both a resin and vancomycin are to be administered concurrently, it may be advisable to separate the time of administration of each drug.

Diarrhea, colitis, and pseudomembranous colitis have been observed to begin up to several weeks following cessation of oral and parenteral therapy with clindamycin.

Overdosage (OVERDOSAGE)

Topically applied Clindacin ® ETZ can be absorbed in sufficient amounts to produce systemic effects (see WARNINGS ).

Description (DESCRIPTION)

Clindacin ® ETZ contains clindamycin phosphate, USP, at a concentration equivalent to 10 mg clindamycin per milliliter.

Each Clindacin ® ETZ pledget applicator contains approximately 1 mL of topical solution.

Clindamycin phosphate is a water soluble ester of the semi-synthetic antibiotic produced by a 7(S)-chloro-substitution of the 7(R)-hydroxyl group of the parent antibiotic lincomycin.

The solution contains isopropyl alcohol 50% v/v, propylene glycol, purified water, and sodium hydroxide (to adjust the pH to between 4.0 - 7.0).

The structural formula is represented below:

The chemical name for clindamycin phosphate is Methyl 7-chloro-6,7,8-trideoxy-6-(1-methyl-trans-4-propyl-L-2-pyrrolidinecarboxamido)-1-thio-L-threo-α-D-galacto-octopyranoside 2-(dihydrogen phosphate).

How Supplied (HOW SUPPLIED)

Clindacin ® ETZ (Clindamycin Phosphate Topical Solution USP, 1% (Pledgets)) is available as follows:

A carton containing 60 individually wrapped single-use pledget applicators (NDC 43538-172-60)

Geriatric Use

Clinical studies for clindamycin phosphate topical solution USP, 1% did not include sufficient numbers of subjects aged 65 and over to determine whether they respond differently from younger subjects. Other reported clinical experience has not identified differences in responses between the elderly and younger patients.

Pediatric Use

Safety and effectiveness in pediatric patients under the age of 12 have not been established.

Nursing Mothers

It is not known whether clindamycin is excreted in human milk following use of Clindacin ® ETZ. However, orally and parenterally administered clindamycin has been reported to appear in breast milk. Because of the potential for serious adverse reactions in nursing infants, a decision should be made whether to discontinue nursing or to discontinue the drug, taking into account the importance of the drug to the mother.

Adverse Reactions (ADVERSE REACTIONS)

In 18 clinical studies of various formulations of topical clindamycin phosphate using placebo vehicle and/or active comparator drugs as controls, patients experienced a number of treatment emergent adverse dermatologic events [see table below].

Number of Patients Reporting Events
Treatment Emergent

Adverse Event
Solution

n=553 (%)
Gel

n=148 (%)
Lotion

n=160 (%)
Burning 62 (11) 15 (10) 17 (11)
Itching 36 (7) 15 (10) 17 (11)
Burning/Itching 60 (11)
not recorded
(-)
(-)
Dryness 105 (19) 34 (23) 29 (18)
Erythema 86 (16) 10 (7) 22 (14)
Oiliness/Oily Skin 8 (1) 26 (18) 12
of 126 subjects
(10)
Peeling 61 (11)
(-)
11 (7)

Orally and parenterally administered clindamycin has been associated with severe colitis which may end fatally. Cases of diarrhea, bloody diarrhea and colitis (including pseudomembranous colitis) have been reported as adverse reactions in patients treated with oral and parenteral formulations of clindamycin and rarely with topical clindamycin (see WARNINGS ).

Abdominal pain, gastrointestinal disturbances, gram-negative folliculitis, eye pain and contact dermatitis have also been reported in association with the use of topical formulations of clindamycin.

To report SUSPECTED ADVERSE REACTIONS, contact Medimetriks Pharmaceuticals, Inc., at 1-973-882-7512 or FDA at 1-800-FDA-1088 or www.fda.gov/medwatch.

Contraindications (CONTRAINDICATIONS)

Clindacin ® ETZ is contraindicated in individuals with a history of hypersensitivity to preparations containing clindamycin or lincomycin, a history of regional enteritis or ulcerative colitis, or a history of antibiotic-associated colitis.

Drug Interactions

Clindamycin has been shown to have neuromuscular blocking properties that may enhance the action of other neuromuscular blocking agents. Therefore it should be used with caution in patients receiving such agents.

Pregnancy Category B

In clinical trials with pregnant women, the systemic administration of clindamycin during the second and third trimesters has not been associated with an increased frequency of congenital abnormalities. There are no adequate studies in pregnant women during the first trimester of pregnancy. Clindamycin should be used during the first trimester of pregnancy only if clearly needed.

Clinical Pharmacology (CLINICAL PHARMACOLOGY)

Although clindamycin phosphate is inactive in vitro, rapid in vivo hydrolysis converts this compound to the antibacterially active clindamycin.

Cross resistance has been demonstrated between clindamycin and lincomycin. Antagonism has been demonstrated between clindamycin and erythromycin.

Following multiple topical applications of clindamycin phosphate at a concentration equivalent to 10 mg clindamycin per mL in an isopropyl alcohol and water solution, very low levels of clindamycin are present in the serum (0-3 ng/mL) and less than 0.2% of the dose is recovered in urine as clindamycin.

Clindamycin activity has been demonstrated in comedones from acne patients. The mean concentration of antibiotic activity in extracted comedones after application of clindamycin phosphate topical solution for 4 weeks was 597 mcg/g of comedonal material (range 0-1490). Clindamycin in vitro inhibits all Propionibacterium acnes cultures tested (MICs 0.4 mcg/mL). Free fatty acids on the skin surface have been decreased from approximately 14% to 2% following application of clindamycin.

Indications and Usage (INDICATIONS AND USAGE)

Clindacin ® ETZ is indicated in the treatment of acne vulgaris. In view of the potential for diarrhea, bloody diarrhea and pseudomembranous colitis, the physician should consider whether other agents are more appropriate (see CONTRAINDICATIONS, WARNINGS and ADVERSE REACTIONS ).

Dosage and Administration (DOSAGE AND ADMINISTRATION)

Do not use if the unit-dose pouch seal is broken. Remove pledget just before use. Use pledget to apply a thin film of Clindamycin Phosphate Topical Solution to the affected area twice daily. More than one pledget may be used. Each pledget should be used only once and then discarded.

Principal Display Panel Kit Carton (PRINCIPAL DISPLAY PANEL - Kit Carton)

NDC 43538-173-60

Rx Only

Clindacin® ETZ

KIT

Clindamycin Phosphate

Topical Solution USP, 1%*

(Pledgets)

*equivalent to 1% (10 mg/mL) clindamycin

CONTENTS:

Clindacin® ETZ Clindamycin Phosphate Topical Solution USP, 1% (Pledgets)

1 - Carton (60 Pledgets)

AcuWash® Moisturizing Daily Cleanser

1 - Bottle (16 fl. oz.)

MEDIMETRIKS

PHARMACEUTICALS, INC.

Principal Display Panel 60 Pledget Carton (PRINCIPAL DISPLAY PANEL - 60 Pledget Carton)

NDC 43538-172-60

For Topical Use Only

Rx Only

Clindacin® ETZ

Clindamycin Phosphate

Topical Solution USP, 1%* (Pledgets)

*equivalent to 1% (10 mg/mL) clindamycin

60 Individual Pledgets

MEDIMETRIKS

PHARMACEUTICALS, INC.


Advanced Ingredient Data


Raw Label Data

All Sections (JSON)