Diphenoxylate Hydrochloride And Atropine Sulfate Oral Solution, Usp

Diphenoxylate Hydrochloride And Atropine Sulfate Oral Solution, Usp
SPL v8
SPL
SPL Set ID 88ed4ccf-9e35-4142-a5eb-d2b5edd36956
Route
ORAL
Published
Effective Date 2023-04-24
Document Type 34391-3 HUMAN PRESCRIPTION DRUG LABEL

Drug Facts

Composition & Product

Active Ingredients
Diphenoxylate (2.5 mg) Atropine (0.025 mg)
Inactive Ingredients
Alcohol Anhydrous Citric Acid Fd&c Red No. 40 Fd&c Yellow No. 6 Glycerin Maltol Potassium Sorbate Sorbitol Water

Identifiers & Packaging

Pill Appearance
Color: orange
Marketing Status
ANDA Active Since 1982-05-03

Description

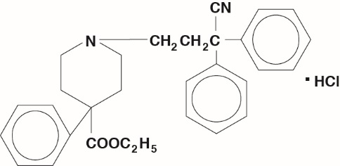
Each 5 mL of oral solution contains: 2.5 mg of diphenoxylate hydrochloride USP (equivalent to 2.3 mg of diphenoxylate), 0.025 mg of atropine sulfate USP (equivalent to 0.01 mg of atropine), and 15% alcohol. Diphenoxylate hydrochloride, an antidiarrheal, is ethyl 1-(3-cyano-3,3-diphenylpropyl)-4-phenylisoni-pecotate monohydrochloride and has the following structural formula: C 30 H 32 N 2 O 2 · HCl M.W. 489.05 Atropine sulfate, an anticholinergic, is endo-(±)-α-(hydroxymethyl) benzeneacetic acid 8-methyl-8-azabicyclo[3.2.1] oct-3-yl ester sulfate (2:1) (salt) monohydrate and has the following structural formula: (C 17 H 23 NO 3 ) 2 · H 2 SO 4 · H 2 O M.W. 694.83 A subtherapeutic amount of atropine sulfate is present to discourage deliberate overdosage. Inactive ingredients of diphenoxylate hydrochloride and atropine sulfate oral solution, USP include alcohol, anhydrous citric acid, FD&C Red No. 40, FD&C Yellow No. 6, glycerin, maltol, potassium sorbate, purified water, sorbitol solution and wild cherry flavor.

Indications and Usage

Diphenoxylate hydrochloride and atropine sulfate is indicated as adjunctive therapy in the management of diarrhea in patients 13 years of age and older.

Contraindications

Diphenoxylate hydrochloride and atropine sulfate is contraindicated in: • Pediatric patients less than 6 years of age due to the risks of respiratory and central nervous system (CNS) depression (see WARNINGS ). • Patients with diarrhea associated with pseudomembranous enterocolitis ( Clostridium difficile ) or other enterotoxin-producing bacteria due to the risk of gastrointestinal (GI) complications, including sepsis (see WARNINGS ). • Patients with known hypersensitivity to diphenoxylate or atropine. • Patients with obstructive jaundice.

Adverse Reactions

The following serious adverse reactions are described elsewhere in labeling: • Respiratory and/or CNS depression (see WARNINGS ) • Anticholinergic and opioid-toxicities, including atroponism (see WARNINGS and PRECAUTIONS ) • Dehydration and electrolyte imbalance (see WARNINGS ) • GI Complications in patients with infectious diarrhea (see WARNINGS ) • Toxic megacolon in patients with acute ulcerative colitis (see WARNINGS ) At therapeutic doses of diphenoxylate hydrochloride and atropine sulfate, the following other adverse reactions have been reported; they are listed in decreasing order of severity, but not of frequency: Nervous system : numbness of extremities, euphoria, depression, malaise/lethargy, confusion, sedation/drowsiness, dizziness, restlessness, headache, hallucination Allergic : anaphylaxis, angioneurotic edema, urticaria, swelling of the gums, pruritus. Gastrointestinal system : megacolon, paralytic ileus, pancreatitis, vomiting, nausea, anorexia, abdominal discomfort. The following adverse reactions related to atropine sulfate are listed in decreasing order of severity, but not of frequency: hyperthermia, tachycardia, urinary retention, flushing, dryness of the skin and mucous membranes.

Drug Interactions

Alcohol Alcohol may increase the CNS depressant effects of diphenoxylate hydrochloride and atropine sulfate and may cause drowsiness (see WARNINGS ). Avoid concomitant use of diphenoxylate hydrochloride and atropine sulfate with alcohol. Other Drugs that Cause CNS Depression The concurrent use of diphenoxylate hydrochloride and atropine sulfate with other drugs that cause CNS depression (e.g., barbiturates, benzodiazepines, opioids, buspirone, antihistamines, muscle relaxants), may potentiate the effects of diphenoxylate hydrochloride and atropine sulfate (see WARNINGS ). Either diphenoxylate hydrochloride and atropine sulfate or the other interacting drug should be chosen, depending on the importance of the drug to the patient. If CNS-acting drugs cannot be avoided, monitor patients for CNS adverse reactions. MAO Inhibitors Diphenoxylate may interact with monoamine oxidase inhibitors (MAOIs) and precipitate a hypertensive crisis . Avoid use of diphenoxylate hydrochloride and atropine sulfate in patients who take MAOIs and monitor for signs and symptoms of hypertensive crisis (headache, hyperthermia, hypertension).

How Supplied

Diphenoxylate Hydrochloride 2.5 mg and Atropine Sulfate 0.025 mg per 5 mL Oral Solution, USP The 2.5 mg/0.025 mg per 5 mL oral solution is supplied as a (cherry-flavored) clear, orange-colored solution. NDC 0054-3194-46: Bottle of 60 mL Oral Solution: Dispense only in original container. A plastic oral syringe calibrated in increments of 1/2 mL (1/4 mg) with a capacity of 3 mL (1.5 mg) accompanies each 2 oz bottle of Diphenoxylate Hydrochloride and Atropine Sulfate Oral Solution, USP. Only this plastic oral syringe should be used when measuring Diphenoxylate Hydrochloride and Atropine Sulfate Oral Solution, USP for administration to children. Store at 20° to 25°C (68° to 77°F). [See USP Controlled Room Temperature.] Discard open bottle after 90 days. Distributed by: Hikma Pharmaceuticals USA Inc. Berkeley Heights, NJ 07922 C50000486/01 Revised February 2023


Medication Information

Indications and Usage

Diphenoxylate hydrochloride and atropine sulfate is indicated as adjunctive therapy in the management of diarrhea in patients 13 years of age and older.

Contraindications

Diphenoxylate hydrochloride and atropine sulfate is contraindicated in:

  • Pediatric patients less than 6 years of age due to the risks of respiratory and central nervous system (CNS) depression (see WARNINGS).
  • Patients with diarrhea associated with pseudomembranous enterocolitis (Clostridium difficile) or other enterotoxin-producing bacteria due to the risk of gastrointestinal (GI) complications, including sepsis (see WARNINGS).
  • Patients with known hypersensitivity to diphenoxylate or atropine.
  • Patients with obstructive jaundice.
Adverse Reactions

The following serious adverse reactions are described elsewhere in labeling:

  • Respiratory and/or CNS depression (see WARNINGS)
  • Anticholinergic and opioid-toxicities, including atroponism (see WARNINGS and PRECAUTIONS)
  • Dehydration and electrolyte imbalance (see WARNINGS)
  • GI Complications in patients with infectious diarrhea (see WARNINGS)
  • Toxic megacolon in patients with acute ulcerative colitis (see WARNINGS)

At therapeutic doses of diphenoxylate hydrochloride and atropine sulfate, the following other adverse reactions have been reported; they are listed in decreasing order of severity, but not of frequency:

Nervous system: numbness of extremities, euphoria, depression, malaise/lethargy, confusion, sedation/drowsiness, dizziness, restlessness, headache, hallucination

Allergic: anaphylaxis, angioneurotic edema, urticaria, swelling of the gums, pruritus.

Gastrointestinal system: megacolon, paralytic ileus, pancreatitis, vomiting, nausea, anorexia, abdominal discomfort.

The following adverse reactions related to atropine sulfate are listed in decreasing order of severity, but not of frequency: hyperthermia, tachycardia, urinary retention, flushing, dryness of the skin and mucous membranes.

Drug Interactions

Alcohol

Alcohol may increase the CNS depressant effects of diphenoxylate hydrochloride and atropine sulfate and may cause drowsiness (see WARNINGS). Avoid concomitant use of diphenoxylate hydrochloride and atropine sulfate with alcohol.

Other Drugs that Cause CNS Depression

The concurrent use of diphenoxylate hydrochloride and atropine sulfate with other drugs that cause CNS depression (e.g., barbiturates, benzodiazepines, opioids, buspirone, antihistamines, muscle relaxants), may potentiate the effects of diphenoxylate hydrochloride and atropine sulfate (see WARNINGS). Either diphenoxylate hydrochloride and atropine sulfate or the other interacting drug should be chosen, depending on the importance of the drug to the patient. If CNS-acting drugs cannot be avoided, monitor patients for CNS adverse reactions.

MAO Inhibitors

Diphenoxylate may interact with monoamine oxidase inhibitors (MAOIs) and precipitate a hypertensive crisis. Avoid use of diphenoxylate hydrochloride and atropine sulfate in patients who take MAOIs and monitor for signs and symptoms of hypertensive crisis (headache, hyperthermia, hypertension).

How Supplied

Diphenoxylate Hydrochloride 2.5 mg and Atropine Sulfate 0.025 mg per 5 mL Oral Solution, USP

The 2.5 mg/0.025 mg per 5 mL oral solution is supplied as a (cherry-flavored) clear, orange-colored solution.

NDC 0054-3194-46: Bottle of 60 mL

Oral Solution: Dispense only in original container. A plastic oral syringe calibrated in increments of

1/2 mL (1/4 mg) with a capacity of 3 mL (1.5 mg) accompanies each 2 oz bottle of Diphenoxylate Hydrochloride and Atropine Sulfate Oral Solution, USP. Only this plastic oral syringe should be used when measuring Diphenoxylate Hydrochloride and Atropine Sulfate Oral Solution, USP for administration to children.

Store at 20° to 25°C (68° to 77°F). [See USP Controlled Room Temperature.]

Discard open bottle after 90 days.

Distributed by: Hikma

Pharmaceuticals USA Inc.

Berkeley Heights, NJ 07922

C50000486/01

Revised February 2023

Description

Each 5 mL of oral solution contains:

2.5 mg of diphenoxylate hydrochloride USP (equivalent to 2.3 mg of diphenoxylate),

0.025 mg of atropine sulfate USP (equivalent to 0.01 mg of atropine), and 15% alcohol.

Diphenoxylate hydrochloride, an antidiarrheal, is ethyl 1-(3-cyano-3,3-diphenylpropyl)-4-phenylisoni-pecotate monohydrochloride and has the following structural formula:

C30H32N2O2 · HCl M.W. 489.05

Atropine sulfate, an anticholinergic, is endo-(±)-α-(hydroxymethyl) benzeneacetic acid 8-methyl-8-azabicyclo[3.2.1] oct-3-yl ester sulfate (2:1) (salt) monohydrate and has the following structural formula:

(C17H23NO3)2 · H2SO4 · H2O M.W. 694.83

A subtherapeutic amount of atropine sulfate is present to discourage deliberate overdosage.

Inactive ingredients of diphenoxylate hydrochloride and atropine sulfate oral solution, USP include alcohol, anhydrous citric acid, FD&C Red No. 40, FD&C Yellow No. 6, glycerin, maltol, potassium sorbate, purified water, sorbitol solution and wild cherry flavor.

Warnings

Respiratory and/or CNS Depression in Pediatric Patients Less Than 6 Years of Age

Cases of severe respiratory depression and coma, leading to permanent brain damage or death have been reported in patients less than 6 years of age who received diphenoxylate hydrochloride and atropine sulfate. Diphenoxylate hydrochloride and atropine sulfate is contraindicated in patients less than 6 years of age due to these risks (see CONTRAINDICATIONS).

Anticholinergic and Opioid-Toxicities

Toxicities associated with the atropine and diphenoxylate components of diphenoxylate hydrochloride and atropine sulfate have been reported. The initial presenting symptoms may be delayed by up to 30 hours due to prolonged gastric emptying time induced by diphenoxylate hydrochloride. Clinical presentations vary in terms of which toxicity (anticholinergic vs. opioid) will present first or predominate; non-specific findings have been reported and include symptoms such as drowsiness (see OVERDOSAGE).

Dehydration and Electrolyte Imbalance

The use of diphenoxylate hydrochloride and atropine sulfate should be accompanied by appropriate fluid and electrolyte therapy, when indicated. If severe dehydration or electrolyte imbalance is present, diphenoxylate hydrochloride and atropine sulfate should be withheld until appropriate corrective therapy has been initiated. Drug-induced inhibition of peristalsis may result in fluid retention in the intestine, which may further aggravate dehydration and electrolyte imbalance.

Gastrointestinal Complications in Patients with Infectious Diarrhea

Diphenoxylate hydrochloride and atropine sulfate is contraindicated in patients with diarrhea associated with organisms that penetrate the GI mucosa (toxigenic E. coli, Salmonella, Shigella), and pseudomembranous enterocolitis (Clostridium difficile) associated with broad-spectrum antibiotics (see CONTRAINDICATIONS). Antiperistaltic agents, including diphenoxylate hydrochloride and atropine sulfate, slow gastrointestinal motility and may enhance bacterial overgrowth and the release of bacterial exotoxins. Diphenoxylate hydrochloride and atropine sulfate has been reported to result in serious GI complications in patients with infectious diarrhea, including sepsis, prolonged and/or worsened diarrhea. Prolonged fever and the delay in the resolution of stool pathogens were reported in study of Shigellosis in adults who used diphenoxylate hydrochloride and atropine sulfate vs. placebo.

Toxic Megacolon in Patients with Acute Ulcerative Colitis

In some patients with acute ulcerative colitis, agents that inhibit intestinal motility or prolong intestinal transit time have been reported to induce toxic megacolon. Consequently, patients with acute ulcerative colitis should be carefully observed and diphenoxylate hydrochloride and atropine sulfate therapy should be discontinued promptly if abdominal distention occurs or if other untoward symptoms develop.

Interaction with Meperidine Hydrocholoride

Since the chemical structure of diphenoxylate hydrochloride is similar to that of meperidine hydrochloride, the concurrent use of diphenoxylate hydrochloride and atropine sulfate with monoamine oxidase (MAO) inhibitors may, in theory, precipitate hypertensive crisis.

Hepatorenal Disease

Diphenoxylate hydrochloride and atropine sulfate should be used with extreme caution in patients with advanced hepatorenal disease and in all patients with abnormal liver function since hepatic coma may be precipitated.

Interaction with CNS Depressants

Diphenoxylate hydrochloride may potentiate the action of other drugs that cause dizziness or drowsiness, including barbiturates, benzodiazepines and other sedatives/hypnotics, anxiolytics, and tranquilizers, muscle relaxants, general anesthetics, antipsychotics, other opioids, and alcohol. Therefore, the patient should be closely observed when any of these are used concomitantly.

Diagnosis

Overdosage can be life-threatening. Symptoms of overdosage may include opioid and/or anticholinergic effects including respiratory depression, coma, delirium, lethargy, dryness of the skin and mucous membranes, mydriasis or miosis, flushing, hyperthermia, tachycardia, hypotonia, tachypnea, toxic encephalopathy, seizures and incoherent speech.

Respiratory depression has been reported up to 30 hours after ingestion and may recur despite an initial response to narcotic antagonists.

Treat all possible diphenoxylate hydrochloride and atropine sulfate overdosages as serious and maintain medical observation/hospitalization until patients become asymptomatic without naloxone use.

Treatment

A pure narcotic antagonist (e.g., naloxone) should be used in the treatment of respiratory depression caused by diphenoxylate hydrochloride and atropine sulfate. Refer to the prescribing information for naloxone. Consider diphenoxylate hydrochloride and atropine sulfate toxicity even in settings of negative toxicology tests.

Following initial improvement of respiratory function, repeated doses of naloxone hydrochloride may be required to counteract recurrent respiratory depression.

If over-exposure occurs, call your Poison Control Center at 1-800-222-1222 for current information on the management of poisoning or overdosage.

Pregnancy

Diphenoxylate hydrochloride has been shown to have an effect on fertility in rats when given in doses 50 times the human dose (see above discussion). Other findings in this study include a decrease in maternal weight gain of 30% at 20 mg/kg/day and of 10% at 4 mg/kg/day. At 10 times the human dose

(4 mg/kg/day), average litter size was slightly reduced.

Teratology studies were conducted in rats, rabbits, and mice with diphenoxylate hydrochloride at oral doses of 0.4 to 20 mg/kg/day. Due to experimental design and small numbers of litters, embryotoxic, fetotoxic, or teratogenic effects cannot be adequately assessed. However, examination of the available fetuses did not reveal any indication of teratogenicity.

There are no adequate and well-controlled studies in pregnant women. Diphenoxylate hydrochloride and atropine sulfate should be used during pregnancy only if the anticipated benefit justifies the potential risk to the fetus.

Atropinism

Since a subtherapeutic dose of atropine has been added to the diphenoxylate hydrochloride, consideration should be given to the development of adverse reactions associated with of atropine (see WARNINGS). Diphenoxylate hydrochloride and atropine sulfate has caused atropinism (hyperthermia, tachycardia, urinary retention, flushing, dryness of the skin and mucous membranes) particularly in pediatric patients with Down’s syndrome. Diphenoxylate hydrochloride and atropine sulfate is not indicated for use in pediatric patients (see CONTRAINDICATIONS and WARNINGS). Monitor patients for signs of atropinism.

Pediatric Use

The safety and effectiveness of diphenoxylate hydrochloride and atropine sulfate have been established in pediatric patients 13 years of age and older as adjunctive therapy in the management of diarrhea. The safety and effectiveness of diphenoxylate hydrochloride and atropine sulfate have not been established in pediatric patients less than 13 years of age.

Diphenoxylate hydrochloride and atropine sulfate is contraindicated in pediatric patients less than 6 years of age due to the risks of severe respiratory depression and coma, possibly resulting in permanent brain damage or death (see CONTRAINDICATIONS).

Diphenoxylate hydrochloride and atropine sulfate has caused atropinism, particularly in pediatric patients with Down’s syndrome (see PRECAUTIONS).

In case of accidental ingestion of diphenoxylate hydrochloride and atropine sulfate by pediatric patients, see OVERDOSAGE for recommended treatment.

Nursing Mothers

Caution should be exercised when diphenoxylate hydrochloride and atropine sulfate is administered to a nursing woman, since the physicochemical characteristics of the major metabolite, diphenoxylic acid, are such that it may be excreted in breast milk and since it is known that atropine is excreted in breast milk.

Controlled Substance

Diphenoxylate hydrochloride and atropine sulfate oral solution is classified as a Schedule V controlled substance by federal regulation. Diphenoxylate hydrochloride is chemically related to the narcotic analgesic meperidine.

Clinical Pharmacology

Diphenoxylate is rapidly and extensively metabolized in man by ester hydrolysis to diphenoxylic acid (difenoxine), which is biologically active and the major metabolite in the blood. After a 5-mg oral dose of carbon-14 labeled diphenoxylate hydrochloride in ethanolic solution was given to three healthy volunteers, an average of 14% of the drug plus its metabolites was excreted in the urine and 49% in the feces over a four-day period. Urinary excretion of the unmetabolized drug constituted less than 1% of the dose, and diphenoxylic acid plus its glucuronide conjugate constituted about 6% of the dose. In a 16-subject crossover bioavailability study, a linear relationship in the dose range of 2.5 to 10 mg was found between the dose of diphenoxylate hydrochloride (given as liquid) and the peak plasma concentration, the area under the plasma concentration-time curve, and the amount of diphenoxylic acid excreted in the urine. In the same study the bioavailability of the tablet compared with an equal dose of the liquid was approximately 90%. The average peak plasma concentration of diphenoxylic acid following ingestion of four 2.5-mg tablets was 163 ng/mL at about 2 hours, and the elimination half-life of diphenoxylic acid was approximately 12 to 14 hours.

In dogs, diphenoxylate hydrochloride has a direct effect on circular smooth muscle of the bowel that conceivably results in segmentation and prolongation of gastrointestinal transit time. The clinical antidiarrheal action of diphenoxylate hydrochloride may thus be a consequence of enhanced segmentation that allows increased contact of the intraluminal contents with the intestinal mucosa.

Information for Patients

Advise patients:

  • Accidental ingestion of diphenoxylate hydrochloride and atropine sulfate in children, especially in those less than 6 years of age, may result in severe respiratory depression or coma. Instruct patients to take steps to store diphenoxylate hydrochloride and atropine sulfate securely and out of reach of children, and to dispose of unused diphenoxylate hydrochloride and atropine sulfate (see WARNINGS).
  • To take diphenoxylate hydrochloride and atropine sulfate at the prescribed dosage. Use of a higher than prescribed dosage may include opioid and/or anticholinergic effects (see OVERDOSAGE). Report to a healthcare facility if they develop anticholinergic symptoms such as hyperthermia, flushing, tachycardia, tachypnea, hypotonia, lethargy, hallucinations, febrile convulsion, dry mouth, mydriasis or opioid symptoms such as progressive CNS and respiratory depression, miosis, seizures, or paralytic ileus.
  • Diphenoxylate hydrochloride and atropine sulfate may produce drowsiness or dizziness. Concomitant use of alcohol or other drugs that also cause CNS depression (e.g., barbiturates, benzodiazepines, opioids, buspirone, antihistamines, and muscle relaxants) may increase this effect. Inform patients not to operate motor vehicles or other dangerous machinery until they are reasonably certain that diphenoxylate hydrochloride and atropine sulfate does not affect them adversely.
  • To use fluid and electrolyte therapy, if prescribed along with diphenoxylate hydrochloride and atropine sulfate, as instructed by their healthcare provider.
  • Clinical improvement of diarrhea is usually observed within 48 hours. If clinical improvement is not seen within 10 days, discontinue diphenoxylate hydrochloride and atropine sulfate and contact their healthcare provider.
Drug Abuse and Dependence

In doses used for the treatment of diarrhea, whether acute or chronic, diphenoxylate has not produced addiction.

Diphenoxylate hydrochloride is devoid of morphine-like subjective effects at therapeutic doses. At high doses it exhibits codeine-like subjective effects. The dose which produces antidiarrheal action is widely separated from the dose which causes central nervous system effects. The insolubility of diphenoxylate hydrochloride in commonly available aqueous media precludes intravenous self-administration. A dose of 100 to 300 mg/day, which is equivalent to 40 to 120 tablets, administered to humans for 40 to 70 days, produced opiate withdrawal symptoms. Since addiction to diphenoxylate hydrochloride is possible at high doses, the recommended dosage should not be exceeded.

Package/label Display Panel

NDC 0054-3194-46: Bottle of 60 mL [Bottle Label]

Rx only

Carcinogenesis, Mutagenesis, Impairment of Fertility

No long-term study in animals has been performed to evaluate carcinogenic potential. Diphenoxylate hydrochloride was administered to male and female rats in their diets to provide dose levels of 4 and

20 mg/kg/day throughout a three-litter reproduction study. At 50 times the human dose (20 mg/kg/day), female weight gain was reduced and there was a marked effect on fertility as only 4 of 27 females became pregnant in three test breedings. The relevance of this finding to usage of diphenoxylate hydrochloride and atropine sulfate in humans is unknown.

Management of Diarrhea in Patients 13 Years of Age and Older

Diphenoxylate hydrochloride and atropine sulfate is recommended as adjunctive therapy for the management of diarrhea in patients 13 years of age and older. Consider the nutritional status and degree of dehydration in patients prior to initiating therapy with diphenoxylate hydrochloride and atropine sulfate. The use of diphenoxylate hydrochloride and atropine sulfate should be accompanied by appropriate fluid and electrolyte therapy, when indicated. If severe dehydration or electrolyte imbalance is present, do not administer diphenoxylate hydrochloride and atropine sulfate until appropriate corrective therapy has been indicated (see WARNINGS).

Initial and Maximum Recommended Dosage in Patients 13 Years of Age and Older

The initial adult dosage is 10 mL (two regular teaspoonfuls) of oral solution four times daily

(maximum total daily dose of 20 mg per day of diphenoxylate hydrochloride). Most patients will require this dosage until initial control of diarrhea has been achieved. Clinical improvement of acute diarrhea is usually observed within 48 hours.

Dosage after Initial Control of Diarrhea

After initial control has been achieved, the diphenoxylate hydrochloride and atropine sulfate dosage may be reduced to meet individual requirements. Control may often be maintained with as little as 5 mg (10 mL of solution) daily.

Duration of Treatment

If clinical improvement of chronic diarrhea after treatment with the maximum recommended daily dosage is not observed within 10 days, discontinue diphenoxylate hydrochloride and atropine sulfate as symptoms are unlikely to be controlled by further administration.


Structured Label Content

Warnings (WARNINGS)

Respiratory and/or CNS Depression in Pediatric Patients Less Than 6 Years of Age

Cases of severe respiratory depression and coma, leading to permanent brain damage or death have been reported in patients less than 6 years of age who received diphenoxylate hydrochloride and atropine sulfate. Diphenoxylate hydrochloride and atropine sulfate is contraindicated in patients less than 6 years of age due to these risks (see CONTRAINDICATIONS).

Anticholinergic and Opioid-Toxicities

Toxicities associated with the atropine and diphenoxylate components of diphenoxylate hydrochloride and atropine sulfate have been reported. The initial presenting symptoms may be delayed by up to 30 hours due to prolonged gastric emptying time induced by diphenoxylate hydrochloride. Clinical presentations vary in terms of which toxicity (anticholinergic vs. opioid) will present first or predominate; non-specific findings have been reported and include symptoms such as drowsiness (see OVERDOSAGE).

Dehydration and Electrolyte Imbalance

The use of diphenoxylate hydrochloride and atropine sulfate should be accompanied by appropriate fluid and electrolyte therapy, when indicated. If severe dehydration or electrolyte imbalance is present, diphenoxylate hydrochloride and atropine sulfate should be withheld until appropriate corrective therapy has been initiated. Drug-induced inhibition of peristalsis may result in fluid retention in the intestine, which may further aggravate dehydration and electrolyte imbalance.

Gastrointestinal Complications in Patients with Infectious Diarrhea

Diphenoxylate hydrochloride and atropine sulfate is contraindicated in patients with diarrhea associated with organisms that penetrate the GI mucosa (toxigenic E. coli, Salmonella, Shigella), and pseudomembranous enterocolitis (Clostridium difficile) associated with broad-spectrum antibiotics (see CONTRAINDICATIONS). Antiperistaltic agents, including diphenoxylate hydrochloride and atropine sulfate, slow gastrointestinal motility and may enhance bacterial overgrowth and the release of bacterial exotoxins. Diphenoxylate hydrochloride and atropine sulfate has been reported to result in serious GI complications in patients with infectious diarrhea, including sepsis, prolonged and/or worsened diarrhea. Prolonged fever and the delay in the resolution of stool pathogens were reported in study of Shigellosis in adults who used diphenoxylate hydrochloride and atropine sulfate vs. placebo.

Toxic Megacolon in Patients with Acute Ulcerative Colitis

In some patients with acute ulcerative colitis, agents that inhibit intestinal motility or prolong intestinal transit time have been reported to induce toxic megacolon. Consequently, patients with acute ulcerative colitis should be carefully observed and diphenoxylate hydrochloride and atropine sulfate therapy should be discontinued promptly if abdominal distention occurs or if other untoward symptoms develop.

Interaction with Meperidine Hydrocholoride

Since the chemical structure of diphenoxylate hydrochloride is similar to that of meperidine hydrochloride, the concurrent use of diphenoxylate hydrochloride and atropine sulfate with monoamine oxidase (MAO) inhibitors may, in theory, precipitate hypertensive crisis.

Hepatorenal Disease

Diphenoxylate hydrochloride and atropine sulfate should be used with extreme caution in patients with advanced hepatorenal disease and in all patients with abnormal liver function since hepatic coma may be precipitated.

Interaction with CNS Depressants

Diphenoxylate hydrochloride may potentiate the action of other drugs that cause dizziness or drowsiness, including barbiturates, benzodiazepines and other sedatives/hypnotics, anxiolytics, and tranquilizers, muscle relaxants, general anesthetics, antipsychotics, other opioids, and alcohol. Therefore, the patient should be closely observed when any of these are used concomitantly.

Diagnosis

Overdosage can be life-threatening. Symptoms of overdosage may include opioid and/or anticholinergic effects including respiratory depression, coma, delirium, lethargy, dryness of the skin and mucous membranes, mydriasis or miosis, flushing, hyperthermia, tachycardia, hypotonia, tachypnea, toxic encephalopathy, seizures and incoherent speech.

Respiratory depression has been reported up to 30 hours after ingestion and may recur despite an initial response to narcotic antagonists.

Treat all possible diphenoxylate hydrochloride and atropine sulfate overdosages as serious and maintain medical observation/hospitalization until patients become asymptomatic without naloxone use.

Treatment

A pure narcotic antagonist (e.g., naloxone) should be used in the treatment of respiratory depression caused by diphenoxylate hydrochloride and atropine sulfate. Refer to the prescribing information for naloxone. Consider diphenoxylate hydrochloride and atropine sulfate toxicity even in settings of negative toxicology tests.

Following initial improvement of respiratory function, repeated doses of naloxone hydrochloride may be required to counteract recurrent respiratory depression.

If over-exposure occurs, call your Poison Control Center at 1-800-222-1222 for current information on the management of poisoning or overdosage.

Pregnancy

Diphenoxylate hydrochloride has been shown to have an effect on fertility in rats when given in doses 50 times the human dose (see above discussion). Other findings in this study include a decrease in maternal weight gain of 30% at 20 mg/kg/day and of 10% at 4 mg/kg/day. At 10 times the human dose

(4 mg/kg/day), average litter size was slightly reduced.

Teratology studies were conducted in rats, rabbits, and mice with diphenoxylate hydrochloride at oral doses of 0.4 to 20 mg/kg/day. Due to experimental design and small numbers of litters, embryotoxic, fetotoxic, or teratogenic effects cannot be adequately assessed. However, examination of the available fetuses did not reveal any indication of teratogenicity.

There are no adequate and well-controlled studies in pregnant women. Diphenoxylate hydrochloride and atropine sulfate should be used during pregnancy only if the anticipated benefit justifies the potential risk to the fetus.

Atropinism

Since a subtherapeutic dose of atropine has been added to the diphenoxylate hydrochloride, consideration should be given to the development of adverse reactions associated with of atropine (see WARNINGS). Diphenoxylate hydrochloride and atropine sulfate has caused atropinism (hyperthermia, tachycardia, urinary retention, flushing, dryness of the skin and mucous membranes) particularly in pediatric patients with Down’s syndrome. Diphenoxylate hydrochloride and atropine sulfate is not indicated for use in pediatric patients (see CONTRAINDICATIONS and WARNINGS). Monitor patients for signs of atropinism.

Description (DESCRIPTION)

Each 5 mL of oral solution contains:

2.5 mg of diphenoxylate hydrochloride USP (equivalent to 2.3 mg of diphenoxylate),

0.025 mg of atropine sulfate USP (equivalent to 0.01 mg of atropine), and 15% alcohol.

Diphenoxylate hydrochloride, an antidiarrheal, is ethyl 1-(3-cyano-3,3-diphenylpropyl)-4-phenylisoni-pecotate monohydrochloride and has the following structural formula:

C30H32N2O2 · HCl M.W. 489.05

Atropine sulfate, an anticholinergic, is endo-(±)-α-(hydroxymethyl) benzeneacetic acid 8-methyl-8-azabicyclo[3.2.1] oct-3-yl ester sulfate (2:1) (salt) monohydrate and has the following structural formula:

(C17H23NO3)2 · H2SO4 · H2O M.W. 694.83

A subtherapeutic amount of atropine sulfate is present to discourage deliberate overdosage.

Inactive ingredients of diphenoxylate hydrochloride and atropine sulfate oral solution, USP include alcohol, anhydrous citric acid, FD&C Red No. 40, FD&C Yellow No. 6, glycerin, maltol, potassium sorbate, purified water, sorbitol solution and wild cherry flavor.

How Supplied (HOW SUPPLIED)

Diphenoxylate Hydrochloride 2.5 mg and Atropine Sulfate 0.025 mg per 5 mL Oral Solution, USP

The 2.5 mg/0.025 mg per 5 mL oral solution is supplied as a (cherry-flavored) clear, orange-colored solution.

NDC 0054-3194-46: Bottle of 60 mL

Oral Solution: Dispense only in original container. A plastic oral syringe calibrated in increments of

1/2 mL (1/4 mg) with a capacity of 3 mL (1.5 mg) accompanies each 2 oz bottle of Diphenoxylate Hydrochloride and Atropine Sulfate Oral Solution, USP. Only this plastic oral syringe should be used when measuring Diphenoxylate Hydrochloride and Atropine Sulfate Oral Solution, USP for administration to children.

Store at 20° to 25°C (68° to 77°F). [See USP Controlled Room Temperature.]

Discard open bottle after 90 days.

Distributed by: Hikma

Pharmaceuticals USA Inc.

Berkeley Heights, NJ 07922

C50000486/01

Revised February 2023

Pediatric Use

The safety and effectiveness of diphenoxylate hydrochloride and atropine sulfate have been established in pediatric patients 13 years of age and older as adjunctive therapy in the management of diarrhea. The safety and effectiveness of diphenoxylate hydrochloride and atropine sulfate have not been established in pediatric patients less than 13 years of age.

Diphenoxylate hydrochloride and atropine sulfate is contraindicated in pediatric patients less than 6 years of age due to the risks of severe respiratory depression and coma, possibly resulting in permanent brain damage or death (see CONTRAINDICATIONS).

Diphenoxylate hydrochloride and atropine sulfate has caused atropinism, particularly in pediatric patients with Down’s syndrome (see PRECAUTIONS).

In case of accidental ingestion of diphenoxylate hydrochloride and atropine sulfate by pediatric patients, see OVERDOSAGE for recommended treatment.

Nursing Mothers

Caution should be exercised when diphenoxylate hydrochloride and atropine sulfate is administered to a nursing woman, since the physicochemical characteristics of the major metabolite, diphenoxylic acid, are such that it may be excreted in breast milk and since it is known that atropine is excreted in breast milk.

Adverse Reactions (ADVERSE REACTIONS)

The following serious adverse reactions are described elsewhere in labeling:

  • Respiratory and/or CNS depression (see WARNINGS)
  • Anticholinergic and opioid-toxicities, including atroponism (see WARNINGS and PRECAUTIONS)
  • Dehydration and electrolyte imbalance (see WARNINGS)
  • GI Complications in patients with infectious diarrhea (see WARNINGS)
  • Toxic megacolon in patients with acute ulcerative colitis (see WARNINGS)

At therapeutic doses of diphenoxylate hydrochloride and atropine sulfate, the following other adverse reactions have been reported; they are listed in decreasing order of severity, but not of frequency:

Nervous system: numbness of extremities, euphoria, depression, malaise/lethargy, confusion, sedation/drowsiness, dizziness, restlessness, headache, hallucination

Allergic: anaphylaxis, angioneurotic edema, urticaria, swelling of the gums, pruritus.

Gastrointestinal system: megacolon, paralytic ileus, pancreatitis, vomiting, nausea, anorexia, abdominal discomfort.

The following adverse reactions related to atropine sulfate are listed in decreasing order of severity, but not of frequency: hyperthermia, tachycardia, urinary retention, flushing, dryness of the skin and mucous membranes.

Contraindications (CONTRAINDICATIONS)

Diphenoxylate hydrochloride and atropine sulfate is contraindicated in:

  • Pediatric patients less than 6 years of age due to the risks of respiratory and central nervous system (CNS) depression (see WARNINGS).
  • Patients with diarrhea associated with pseudomembranous enterocolitis (Clostridium difficile) or other enterotoxin-producing bacteria due to the risk of gastrointestinal (GI) complications, including sepsis (see WARNINGS).
  • Patients with known hypersensitivity to diphenoxylate or atropine.
  • Patients with obstructive jaundice.
Drug Interactions

Alcohol

Alcohol may increase the CNS depressant effects of diphenoxylate hydrochloride and atropine sulfate and may cause drowsiness (see WARNINGS). Avoid concomitant use of diphenoxylate hydrochloride and atropine sulfate with alcohol.

Other Drugs that Cause CNS Depression

The concurrent use of diphenoxylate hydrochloride and atropine sulfate with other drugs that cause CNS depression (e.g., barbiturates, benzodiazepines, opioids, buspirone, antihistamines, muscle relaxants), may potentiate the effects of diphenoxylate hydrochloride and atropine sulfate (see WARNINGS). Either diphenoxylate hydrochloride and atropine sulfate or the other interacting drug should be chosen, depending on the importance of the drug to the patient. If CNS-acting drugs cannot be avoided, monitor patients for CNS adverse reactions.

MAO Inhibitors

Diphenoxylate may interact with monoamine oxidase inhibitors (MAOIs) and precipitate a hypertensive crisis. Avoid use of diphenoxylate hydrochloride and atropine sulfate in patients who take MAOIs and monitor for signs and symptoms of hypertensive crisis (headache, hyperthermia, hypertension).

Controlled Substance

Diphenoxylate hydrochloride and atropine sulfate oral solution is classified as a Schedule V controlled substance by federal regulation. Diphenoxylate hydrochloride is chemically related to the narcotic analgesic meperidine.

Clinical Pharmacology (CLINICAL PHARMACOLOGY)

Diphenoxylate is rapidly and extensively metabolized in man by ester hydrolysis to diphenoxylic acid (difenoxine), which is biologically active and the major metabolite in the blood. After a 5-mg oral dose of carbon-14 labeled diphenoxylate hydrochloride in ethanolic solution was given to three healthy volunteers, an average of 14% of the drug plus its metabolites was excreted in the urine and 49% in the feces over a four-day period. Urinary excretion of the unmetabolized drug constituted less than 1% of the dose, and diphenoxylic acid plus its glucuronide conjugate constituted about 6% of the dose. In a 16-subject crossover bioavailability study, a linear relationship in the dose range of 2.5 to 10 mg was found between the dose of diphenoxylate hydrochloride (given as liquid) and the peak plasma concentration, the area under the plasma concentration-time curve, and the amount of diphenoxylic acid excreted in the urine. In the same study the bioavailability of the tablet compared with an equal dose of the liquid was approximately 90%. The average peak plasma concentration of diphenoxylic acid following ingestion of four 2.5-mg tablets was 163 ng/mL at about 2 hours, and the elimination half-life of diphenoxylic acid was approximately 12 to 14 hours.

In dogs, diphenoxylate hydrochloride has a direct effect on circular smooth muscle of the bowel that conceivably results in segmentation and prolongation of gastrointestinal transit time. The clinical antidiarrheal action of diphenoxylate hydrochloride may thus be a consequence of enhanced segmentation that allows increased contact of the intraluminal contents with the intestinal mucosa.

Indications and Usage (INDICATIONS AND USAGE)

Diphenoxylate hydrochloride and atropine sulfate is indicated as adjunctive therapy in the management of diarrhea in patients 13 years of age and older.

Information for Patients

Advise patients:

  • Accidental ingestion of diphenoxylate hydrochloride and atropine sulfate in children, especially in those less than 6 years of age, may result in severe respiratory depression or coma. Instruct patients to take steps to store diphenoxylate hydrochloride and atropine sulfate securely and out of reach of children, and to dispose of unused diphenoxylate hydrochloride and atropine sulfate (see WARNINGS).
  • To take diphenoxylate hydrochloride and atropine sulfate at the prescribed dosage. Use of a higher than prescribed dosage may include opioid and/or anticholinergic effects (see OVERDOSAGE). Report to a healthcare facility if they develop anticholinergic symptoms such as hyperthermia, flushing, tachycardia, tachypnea, hypotonia, lethargy, hallucinations, febrile convulsion, dry mouth, mydriasis or opioid symptoms such as progressive CNS and respiratory depression, miosis, seizures, or paralytic ileus.
  • Diphenoxylate hydrochloride and atropine sulfate may produce drowsiness or dizziness. Concomitant use of alcohol or other drugs that also cause CNS depression (e.g., barbiturates, benzodiazepines, opioids, buspirone, antihistamines, and muscle relaxants) may increase this effect. Inform patients not to operate motor vehicles or other dangerous machinery until they are reasonably certain that diphenoxylate hydrochloride and atropine sulfate does not affect them adversely.
  • To use fluid and electrolyte therapy, if prescribed along with diphenoxylate hydrochloride and atropine sulfate, as instructed by their healthcare provider.
  • Clinical improvement of diarrhea is usually observed within 48 hours. If clinical improvement is not seen within 10 days, discontinue diphenoxylate hydrochloride and atropine sulfate and contact their healthcare provider.
Drug Abuse and Dependence

In doses used for the treatment of diarrhea, whether acute or chronic, diphenoxylate has not produced addiction.

Diphenoxylate hydrochloride is devoid of morphine-like subjective effects at therapeutic doses. At high doses it exhibits codeine-like subjective effects. The dose which produces antidiarrheal action is widely separated from the dose which causes central nervous system effects. The insolubility of diphenoxylate hydrochloride in commonly available aqueous media precludes intravenous self-administration. A dose of 100 to 300 mg/day, which is equivalent to 40 to 120 tablets, administered to humans for 40 to 70 days, produced opiate withdrawal symptoms. Since addiction to diphenoxylate hydrochloride is possible at high doses, the recommended dosage should not be exceeded.

Package/label Display Panel (Package/Label Display Panel)

NDC 0054-3194-46: Bottle of 60 mL [Bottle Label]

Rx only

Carcinogenesis, Mutagenesis, Impairment of Fertility

No long-term study in animals has been performed to evaluate carcinogenic potential. Diphenoxylate hydrochloride was administered to male and female rats in their diets to provide dose levels of 4 and

20 mg/kg/day throughout a three-litter reproduction study. At 50 times the human dose (20 mg/kg/day), female weight gain was reduced and there was a marked effect on fertility as only 4 of 27 females became pregnant in three test breedings. The relevance of this finding to usage of diphenoxylate hydrochloride and atropine sulfate in humans is unknown.

Management of Diarrhea in Patients 13 Years of Age and Older

Diphenoxylate hydrochloride and atropine sulfate is recommended as adjunctive therapy for the management of diarrhea in patients 13 years of age and older. Consider the nutritional status and degree of dehydration in patients prior to initiating therapy with diphenoxylate hydrochloride and atropine sulfate. The use of diphenoxylate hydrochloride and atropine sulfate should be accompanied by appropriate fluid and electrolyte therapy, when indicated. If severe dehydration or electrolyte imbalance is present, do not administer diphenoxylate hydrochloride and atropine sulfate until appropriate corrective therapy has been indicated (see WARNINGS).

Initial and Maximum Recommended Dosage in Patients 13 Years of Age and Older

The initial adult dosage is 10 mL (two regular teaspoonfuls) of oral solution four times daily

(maximum total daily dose of 20 mg per day of diphenoxylate hydrochloride). Most patients will require this dosage until initial control of diarrhea has been achieved. Clinical improvement of acute diarrhea is usually observed within 48 hours.

Dosage after Initial Control of Diarrhea

After initial control has been achieved, the diphenoxylate hydrochloride and atropine sulfate dosage may be reduced to meet individual requirements. Control may often be maintained with as little as 5 mg (10 mL of solution) daily.

Duration of Treatment

If clinical improvement of chronic diarrhea after treatment with the maximum recommended daily dosage is not observed within 10 days, discontinue diphenoxylate hydrochloride and atropine sulfate as symptoms are unlikely to be controlled by further administration.


Advanced Ingredient Data


Raw Label Data

All Sections (JSON)