Clocortolone

Clocortolone
SPL v2
SPL
SPL Set ID 88d9a7cf-31b5-4b85-9827-0ecce328e6a0
Route
TOPICAL
Published
Effective Date 2021-12-21
Document Type 34391-3 HUMAN PRESCRIPTION DRUG LABEL

Drug Facts

Composition & Product

Active Ingredients
Clocortolone (0.001 g)
Inactive Ingredients
Benzyl Alcohol Carbomer Homopolymer Type B (allyl Pentaerythritol Crosslinked) Edetate Disodium Methylparaben Mineral Oil Polyoxyl 40 Stearate Propylparaben Water Sodium Hydroxide Stearyl Alcohol Petrolatum

Identifiers & Packaging

Marketing Status
ANDA Active Since 2020-04-21

Description

Rx Only For Topical Use Only WARNING: KEEP OUT OF REACH OF CHILDREN

Indications and Usage

Topical corticosteroids are indicated for the relief of the inflammatory and pruritic manifestations of corticosteroid-responsive dermatoses.

Dosage and Administration

Apply clocortolone pivalate cream USP, 0.1% sparingly to the affected areas three times a day and rub in gently. Occlusive dressings may be used for the management of psoriasis or recalcitrant conditions. If an infection develops, the use of occlusive dressings should be discontinued and appropriate anti-microbial therapy instituted.

Contraindications

Topical corticosteroids are contraindicated in those patients with a history of hypersensitivity to any of the components of the preparation.

Adverse Reactions

The following local adverse reactions are reported infrequently with topical corticosteroids, but may occur more frequently with the use of occlusive dressings. These reactions are listed in an approximate decreasing order of occurrence:   Burning   Itching   Irritation   Dryness   Folliculitis   Hypertrichosis   Acneform eruptions   Hypopigmentation   Perioral dermatitis   Allergic contact dermatitis   Maceration of the skin   Secondary infection   Skin atrophy   Striae   Miliaria

How Supplied

Clocortolone Pivalate Cream USP, 0.1% is supplied in 45 gram and 90 gram tubes. 45 gram tube NDC 51672-4166-6 90 gram tube NDC 51672-4166-8


Medication Information

Indications and Usage

Topical corticosteroids are indicated for the relief of the inflammatory and pruritic manifestations of corticosteroid-responsive dermatoses.

Dosage and Administration

Apply clocortolone pivalate cream USP, 0.1% sparingly to the affected areas three times a day and rub in gently. Occlusive dressings may be used for the management of psoriasis or recalcitrant conditions.

If an infection develops, the use of occlusive dressings should be discontinued and appropriate anti-microbial therapy instituted.

Contraindications

Topical corticosteroids are contraindicated in those patients with a history of hypersensitivity to any of the components of the preparation.

Adverse Reactions

The following local adverse reactions are reported infrequently with topical corticosteroids, but may occur more frequently with the use of occlusive dressings. These reactions are listed in an approximate decreasing order of occurrence:

  •  
    Burning
  •  
    Itching
  •  
    Irritation
  •  
    Dryness
  •  
    Folliculitis
  •  
    Hypertrichosis
  •  
    Acneform eruptions
  •  
    Hypopigmentation
  •  
    Perioral dermatitis
  •  
    Allergic contact dermatitis
  •  
    Maceration of the skin
  •  
    Secondary infection
  •  
    Skin atrophy
  •  
    Striae
  •  
    Miliaria
How Supplied

Clocortolone Pivalate Cream USP, 0.1% is supplied in 45 gram and 90 gram tubes.

45 gram tube NDC 51672-4166-6
90 gram tube NDC 51672-4166-8
Description

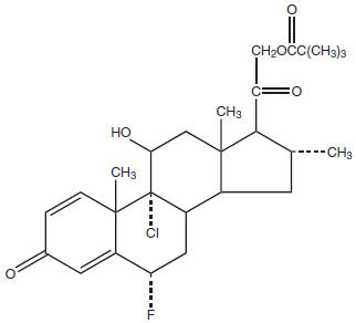
Clocortolone pivalate cream USP, 0.1% contains the medium potency topical corticosteroid, clocortolone pivalate, in a specially formulated water-washable emollient cream base consisting of benzyl alcohol, carbomer homopolymer Type B (carbopol 974P), edetate disodium, methylparaben, mineral oil, polyoxyl 40 stearate (MYRJ 40S), propylparaben, purified water, sodium hydroxide, stearyl alcohol and white petrolatum.

Chemically, clocortolone pivalate is 9-chloro-6α-fluoro-11β, 21-dihydroxy-16αmethylpregna-1, 4-diene-3, 20-dione 21-pivalate. Its structure is as follows:

Section 42229-5

Rx Only

For Topical Use Only

WARNING: KEEP OUT OF REACH OF CHILDREN

General

Systemic absorption of topical corticosteroids has produced reversible hypothalamic-pituitary-adrenal (HPA) axis suppression, manifestations of Cushing's syndrome, hyperglycemia, and glucosuria in some patients.

Conditions which augment systemic absorption include the application of the more potent steroids, use over large surface areas, prolonged use, and the addition of occlusive dressings.

Therefore, patients receiving a large dose of a potent topical steroid applied to a large surface area or under an occlusive dressing should be evaluated periodically for evidence of HPA axis suppression by using the urinary free cortisol and ACTH stimulation tests. If HPA axis suppression is noted, an attempt should be made to withdraw the drug, to reduce the frequency of application, or to substitute a less potent steroid.

Recovery of HPA axis function is generally prompt and complete upon discontinuation of the drug. Infrequently, signs and symptoms of steroid withdrawal may occur, requiring supplemental systemic corticosteroids.

Children may absorb proportionally larger amounts of topical corticosteroids and thus be more susceptible to systemic toxicity. (See PRECAUTIONS-Pediatric Use ).

If irritation develops, topical corticosteroids should be discontinued and appropriate therapy instituted.

In the presence of dermatological infections, the use of an appropriate antifungal or antibacterial agent should be instituted. If a favorable response does not occur promptly, the corticosteroid should be discontinued until the infection has been adequately controlled.

Storage

Store at 20° to 25°C (68° to 77°F) [see USP Controlled Room Temperature]. Protect from freezing.

Pregnancy

Corticosteroids are generally teratogenic in laboratory animals when administered systemically at relatively low dosage levels. The more potent corticosteroids have been shown to be teratogenic after dermal application in laboratory animals. There are no adequate and well-controlled studies in pregnant women on teratogenic effects from topically applied corticosteroids. Therefore, topical corticosteroids should be used during pregnancy only if the potential benefit justifies the potential risk to the fetus. Drugs of this class should not be used extensively on pregnant patients, in large amounts, or for prolonged periods of time.

Overdosage

Topically applied corticosteroids can be absorbed in sufficient amounts to produce systemic effects (see PRECAUTIONS ).

Pediatric Use

Pediatric patients may demonstrate greater susceptibility to topical corticosteroid-induced HPA axis suppression and Cushing's syndrome than mature patients because of a larger skin surface area body weight ratio.

Hypothalamic-pituitary-adrenal (HPA) axis suppression, Cushing's syndrome, and intracranial hypertension have been reported in children receiving topical corticosteroids. Manifestations of adrenal suppression in children include linear growth retardation, delayed weight gain, low plasma cortisol levels, and absence of response to ACTH stimulation. Manifestations of intracranial hypertension include bulging fontanelles, headaches, and bilateral papilledema.

Administration of topical corticosteroids to children should be limited to the least amount compatible with an effective therapeutic regimen. Chronic corticosteroid therapy may interfere with the growth and development of children.

Nursing Mothers

It is not known whether topical administration of corticosteroids could result in sufficient systemic absorption to produce detectable quantities in breast milk. Systemically administered corticosteroids are secreted into breast milk in quantities not likely to have deleterious effect on the infant. Nevertheless, caution should be exercised when topical corticosteroids are administered to a nursing woman.

Laboratory Tests

The following tests may be helpful in evaluating the HPA axis suppression:

  •  
    Urinary free cortisol test
  •  
    ACTH stimulation test
Pharmacokinetics

The extent of percutaneous absorption of topical corticosteroids is determined by many factors including the vehicle, the integrity of the epidermal barrier, and the use of occlusive dressings.

Topical corticosteroids can be absorbed from normal intact skin. Inflammation and/or other disease processes in the skin increase percutaneous absorption. Occlusive dressings substantially increase the percutaneous absorption of topical corticosteroids. Thus, occlusive dressings may be a valuable therapeutic adjunct for treatment of resistant dermatoses. (See DOSAGE AND ADMINISTRATION ).

Once absorbed through the skin, topical corticosteroids are handled through pharmacokinetic pathways similar to systemically administered corticosteroids. Corticosteroids are bound to plasma proteins in varying degrees. Corticosteroids are metabolized primarily in the liver and are then excreted by the kidneys. Some of the topical corticosteroids and their metabolites are also excreted into the bile.

Clinical Pharmacology

Topical corticosteroids share anti-inflammatory, antipruritic and vasoconstrictive actions.

The mechanism of anti-inflammatory activity of the topical corticosteroids is unclear. Various laboratory methods, including vasoconstrictor assays, are used to compare and predict potencies and/or clinical efficacies of the topical corticosteroids. There is some evidence to suggest that a recognizable correlation exists between vasoconstrictor potency and therapeutic efficacy in man.

Information for the Patient

Patients using topical corticosteroids should receive the following information and instructions:

1. This medication is to be used as directed by the physician. It is for external use only. Avoid contact with the eyes.

2. Patients should be advised not to use this medication for any disorder other than for which it was prescribed.

3. The treated skin area should not be bandaged or otherwise covered or wrapped as to be occlusive unless directed by the physician.

4. Patients should report any signs of local adverse reactions especially under occlusive dressing.

5. Parents of pediatric patients should be advised not to use tight-fitting diapers or plastic pants on a child being treated in the diaper area, as these garments may constitute occlusive dressings.

Principal Display Panel 90 G Tube Carton

NDC 51672-4166-8

90 g

Clocortolone Pivalate

Cream USP, 0.1%

For Topical Use Only

Rx only

Keep this and all medications out of the reach of children.

TARO

Carcinogenesis, Mutagenesis, and Impairment of Fertility

Long-term animal studies have not been performed to evaluate the carcinogenic potential or the effect on fertility of topical corticosteroids.

Studies to determine mutagenicity with prednisolone and hydrocortisone have revealed negative results.


Structured Label Content

Section 42229-5 (42229-5)

Rx Only

For Topical Use Only

WARNING: KEEP OUT OF REACH OF CHILDREN

General

Systemic absorption of topical corticosteroids has produced reversible hypothalamic-pituitary-adrenal (HPA) axis suppression, manifestations of Cushing's syndrome, hyperglycemia, and glucosuria in some patients.

Conditions which augment systemic absorption include the application of the more potent steroids, use over large surface areas, prolonged use, and the addition of occlusive dressings.

Therefore, patients receiving a large dose of a potent topical steroid applied to a large surface area or under an occlusive dressing should be evaluated periodically for evidence of HPA axis suppression by using the urinary free cortisol and ACTH stimulation tests. If HPA axis suppression is noted, an attempt should be made to withdraw the drug, to reduce the frequency of application, or to substitute a less potent steroid.

Recovery of HPA axis function is generally prompt and complete upon discontinuation of the drug. Infrequently, signs and symptoms of steroid withdrawal may occur, requiring supplemental systemic corticosteroids.

Children may absorb proportionally larger amounts of topical corticosteroids and thus be more susceptible to systemic toxicity. (See PRECAUTIONS-Pediatric Use ).

If irritation develops, topical corticosteroids should be discontinued and appropriate therapy instituted.

In the presence of dermatological infections, the use of an appropriate antifungal or antibacterial agent should be instituted. If a favorable response does not occur promptly, the corticosteroid should be discontinued until the infection has been adequately controlled.

Storage (STORAGE)

Store at 20° to 25°C (68° to 77°F) [see USP Controlled Room Temperature]. Protect from freezing.

Pregnancy

Corticosteroids are generally teratogenic in laboratory animals when administered systemically at relatively low dosage levels. The more potent corticosteroids have been shown to be teratogenic after dermal application in laboratory animals. There are no adequate and well-controlled studies in pregnant women on teratogenic effects from topically applied corticosteroids. Therefore, topical corticosteroids should be used during pregnancy only if the potential benefit justifies the potential risk to the fetus. Drugs of this class should not be used extensively on pregnant patients, in large amounts, or for prolonged periods of time.

Overdosage (OVERDOSAGE)

Topically applied corticosteroids can be absorbed in sufficient amounts to produce systemic effects (see PRECAUTIONS ).

Description (DESCRIPTION)

Clocortolone pivalate cream USP, 0.1% contains the medium potency topical corticosteroid, clocortolone pivalate, in a specially formulated water-washable emollient cream base consisting of benzyl alcohol, carbomer homopolymer Type B (carbopol 974P), edetate disodium, methylparaben, mineral oil, polyoxyl 40 stearate (MYRJ 40S), propylparaben, purified water, sodium hydroxide, stearyl alcohol and white petrolatum.

Chemically, clocortolone pivalate is 9-chloro-6α-fluoro-11β, 21-dihydroxy-16αmethylpregna-1, 4-diene-3, 20-dione 21-pivalate. Its structure is as follows:

How Supplied (HOW SUPPLIED)

Clocortolone Pivalate Cream USP, 0.1% is supplied in 45 gram and 90 gram tubes.

45 gram tube NDC 51672-4166-6
90 gram tube NDC 51672-4166-8
Pediatric Use

Pediatric patients may demonstrate greater susceptibility to topical corticosteroid-induced HPA axis suppression and Cushing's syndrome than mature patients because of a larger skin surface area body weight ratio.

Hypothalamic-pituitary-adrenal (HPA) axis suppression, Cushing's syndrome, and intracranial hypertension have been reported in children receiving topical corticosteroids. Manifestations of adrenal suppression in children include linear growth retardation, delayed weight gain, low plasma cortisol levels, and absence of response to ACTH stimulation. Manifestations of intracranial hypertension include bulging fontanelles, headaches, and bilateral papilledema.

Administration of topical corticosteroids to children should be limited to the least amount compatible with an effective therapeutic regimen. Chronic corticosteroid therapy may interfere with the growth and development of children.

Nursing Mothers

It is not known whether topical administration of corticosteroids could result in sufficient systemic absorption to produce detectable quantities in breast milk. Systemically administered corticosteroids are secreted into breast milk in quantities not likely to have deleterious effect on the infant. Nevertheless, caution should be exercised when topical corticosteroids are administered to a nursing woman.

Laboratory Tests

The following tests may be helpful in evaluating the HPA axis suppression:

  •  
    Urinary free cortisol test
  •  
    ACTH stimulation test
Pharmacokinetics

The extent of percutaneous absorption of topical corticosteroids is determined by many factors including the vehicle, the integrity of the epidermal barrier, and the use of occlusive dressings.

Topical corticosteroids can be absorbed from normal intact skin. Inflammation and/or other disease processes in the skin increase percutaneous absorption. Occlusive dressings substantially increase the percutaneous absorption of topical corticosteroids. Thus, occlusive dressings may be a valuable therapeutic adjunct for treatment of resistant dermatoses. (See DOSAGE AND ADMINISTRATION ).

Once absorbed through the skin, topical corticosteroids are handled through pharmacokinetic pathways similar to systemically administered corticosteroids. Corticosteroids are bound to plasma proteins in varying degrees. Corticosteroids are metabolized primarily in the liver and are then excreted by the kidneys. Some of the topical corticosteroids and their metabolites are also excreted into the bile.

Adverse Reactions (ADVERSE REACTIONS)

The following local adverse reactions are reported infrequently with topical corticosteroids, but may occur more frequently with the use of occlusive dressings. These reactions are listed in an approximate decreasing order of occurrence:

  •  
    Burning
  •  
    Itching
  •  
    Irritation
  •  
    Dryness
  •  
    Folliculitis
  •  
    Hypertrichosis
  •  
    Acneform eruptions
  •  
    Hypopigmentation
  •  
    Perioral dermatitis
  •  
    Allergic contact dermatitis
  •  
    Maceration of the skin
  •  
    Secondary infection
  •  
    Skin atrophy
  •  
    Striae
  •  
    Miliaria
Contraindications (CONTRAINDICATIONS)

Topical corticosteroids are contraindicated in those patients with a history of hypersensitivity to any of the components of the preparation.

Clinical Pharmacology (CLINICAL PHARMACOLOGY)

Topical corticosteroids share anti-inflammatory, antipruritic and vasoconstrictive actions.

The mechanism of anti-inflammatory activity of the topical corticosteroids is unclear. Various laboratory methods, including vasoconstrictor assays, are used to compare and predict potencies and/or clinical efficacies of the topical corticosteroids. There is some evidence to suggest that a recognizable correlation exists between vasoconstrictor potency and therapeutic efficacy in man.

Indications and Usage (INDICATIONS AND USAGE)

Topical corticosteroids are indicated for the relief of the inflammatory and pruritic manifestations of corticosteroid-responsive dermatoses.

Dosage and Administration (DOSAGE AND ADMINISTRATION)

Apply clocortolone pivalate cream USP, 0.1% sparingly to the affected areas three times a day and rub in gently. Occlusive dressings may be used for the management of psoriasis or recalcitrant conditions.

If an infection develops, the use of occlusive dressings should be discontinued and appropriate anti-microbial therapy instituted.

Information for the Patient

Patients using topical corticosteroids should receive the following information and instructions:

1. This medication is to be used as directed by the physician. It is for external use only. Avoid contact with the eyes.

2. Patients should be advised not to use this medication for any disorder other than for which it was prescribed.

3. The treated skin area should not be bandaged or otherwise covered or wrapped as to be occlusive unless directed by the physician.

4. Patients should report any signs of local adverse reactions especially under occlusive dressing.

5. Parents of pediatric patients should be advised not to use tight-fitting diapers or plastic pants on a child being treated in the diaper area, as these garments may constitute occlusive dressings.

Principal Display Panel 90 G Tube Carton (PRINCIPAL DISPLAY PANEL - 90 g Tube Carton)

NDC 51672-4166-8

90 g

Clocortolone Pivalate

Cream USP, 0.1%

For Topical Use Only

Rx only

Keep this and all medications out of the reach of children.

TARO

Carcinogenesis, Mutagenesis, and Impairment of Fertility

Long-term animal studies have not been performed to evaluate the carcinogenic potential or the effect on fertility of topical corticosteroids.

Studies to determine mutagenicity with prednisolone and hydrocortisone have revealed negative results.


Advanced Ingredient Data


Raw Label Data

All Sections (JSON)