Nystatin Oral Suspension, Usp

Nystatin Oral Suspension, Usp
SPL v1
SPL
SPL Set ID 88a0a22e-8d6b-42aa-b225-2d57fb5b3a97
Route
ORAL
Published
Effective Date 2025-11-07
Document Type 34391-3 HUMAN PRESCRIPTION DRUG LABEL

Drug Facts

Composition & Product

Active Ingredients
Nystatin (100000 U)
Inactive Ingredients
Edetate Calcium Disodium Hydrochloric Acid Methylparaben Polysorbate 80 Propylparaben Bentonite Sodium Hydroxide Sucrose D&c Yellow No. 10 Water

Identifiers & Packaging

Pill Appearance
Color: yellow
Marketing Status
NDA AUTHORIZED GENERIC Active Since 1971-04-14

Description

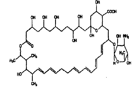
Nystatin, USP is obtained from Streptomyces noursei . It is known to be a mixture, but the composition has not been completely elucidated. Nystatin A is closely related to amphotericin B. Each is a macro-cyclic lactone containing a ketal ring, an all-trans polyene system, and a mycosamine (3-amino-3-deoxyrhamose) moiety. Its structural formula is:                         C 47 H 75 NO 17                         M.W .926 .13 Nystatin Oral Suspension, USP, is a cherry-flavored, ready-to-use suspension containing 100,000 units of Nystatin, USP per mL. Nystatin, USP contains the following inactive ingredients: artificial (wild) cherry flavor, D&C Yellow 10, edetate calcium disodium, hydrochloric acid, methylparaben, polysorbate 80, propylparaben, purified bentonite, purified water, sodium hydroxide and sucrose.

Indications and Usage

Nystatin oral suspension is indicated for the treatment of infections of the oral cavity caused by Candida albicans .

Dosage and Administration

Infants: 2 mL (200,000 units) four times daily (1 mL in each side of mouth). Pediatric patients and adults: 4 to 6 mL (400,000 to 600,000 units) four times daily (one-half of dose in each side of mouth). NOTE: Limited clinical studies in neonates, including premature and low-birth weight neonates, indicate that 1 mL (100,000 units) four times daily is effective.  Local treatment should be continued at least 48 hours after perioral symptoms have disappeared and/or cultures returned to normal. It is recommended that the drug be retained in the mouth as long as possible before swallowing.

Contraindications

Nystatin is contraindicated in patients with a history of hypersensitivity to nystatin or any of the suspension components.

Adverse Reactions

Gastrointestinal symptoms including diarrhea, gastrointestinal distress, nausea, vomiting and burning of the mouth have been reported. Hypersensitivity reactions including rash, pruritus, and anaphylactoid reaction have also been reported.

How Supplied

Nystatin Oral Suspension, USP is a bright yellow color suspension with cherry flavor containing 100,000 units of nystatin per mL, supplied as follows: NDC 68999-813-05 – 5 mL Unit Dose Cups NDC 68999-813-24 – 20 Unit Dose Cups of 5 mL each Store at controlled room temperature between 20°C to 25°C (68°F -77°F). DO NOT FREEZE Manufactured for: Chartwell Governmental & Specialty RX, LLC. Congers, NY 10920 L72796 Rev. 10/2025


Medication Information

Indications and Usage

Nystatin oral suspension is indicated for the treatment of infections of the oral cavity caused by Candida albicans.

Dosage and Administration

Infants: 2 mL (200,000 units) four times daily (1 mL in each side of mouth).

Pediatric patients and adults: 4 to 6 mL (400,000 to 600,000 units) four times daily (one-half of dose in each side of mouth).

NOTE: Limited clinical studies in neonates, including premature and low-birth weight neonates, indicate that 1 mL (100,000 units) four times daily is effective. 

Local treatment should be continued at least 48 hours after perioral symptoms have disappeared and/or cultures returned to normal. It is recommended that the drug be retained in the mouth as long as possible before swallowing.

Contraindications

Nystatin is contraindicated in patients with a history of hypersensitivity to nystatin or any of the suspension components.

Adverse Reactions

Gastrointestinal symptoms including diarrhea, gastrointestinal distress, nausea, vomiting and burning of the mouth have been reported. Hypersensitivity reactions including rash, pruritus, and anaphylactoid reaction have also been reported.

How Supplied

Nystatin Oral Suspension, USP is a bright yellow color suspension with cherry flavor containing 100,000 units of nystatin per mL, supplied as follows:

NDC 68999-813-05 – 5 mL Unit Dose Cups

NDC 68999-813-24 – 20 Unit Dose Cups of 5 mL each

Store at controlled room temperature between 20°C to 25°C (68°F -77°F).

DO NOT FREEZE



Manufactured for:

Chartwell Governmental & Specialty RX, LLC.

Congers, NY 10920

L72796

Rev. 10/2025

Description

Nystatin, USP is obtained from Streptomyces noursei. It is known to be a mixture, but the composition has not been completely elucidated. Nystatin A is closely related to amphotericin B. Each is a macro-cyclic lactone containing a ketal ring, an all-transpolyene system, and a mycosamine (3-amino-3-deoxyrhamose) moiety.

Its structural formula is:

                        C 47H 75NO 17                        M.W .926 .13

Nystatin Oral Suspension, USP, is a cherry-flavored, ready-to-use suspension containing 100,000 units of Nystatin, USP per mL. Nystatin, USP contains the following inactive ingredients: artificial (wild) cherry flavor, D&C Yellow 10, edetate calcium disodium, hydrochloric acid, methylparaben, polysorbate 80, propylparaben, purified bentonite, purified water, sodium hydroxide and sucrose.

Overdosage

Oral doses of nystatin in excess of five million units daily have caused nausea and gastrointestinal upset. 

Precautions

General

Discontinue treatment with nystatin if sensitization or irritation is reported during use.

Nystatin is not effective in the treatment of systemic mycoses since it is not significantly absorbed from the gastrointestinal tract.

Information for the Patient

Patient should be advised to retain nystatin in the mouth as long as possible and to continue its use for at least 2 days after symptoms have subsided.

There should be no interruption or discontinuation of the medication until the prescribed course of treatment is completed, even though symptomatic relief may occur within a few days.

If symptoms of local irritation develop, the physician should be notified immediately.

Laboratory Tests

If there is a lack of therapeutic response, appropriate microbiological studies (e.g., KOH smears and/or cultures) should be repeated to confirm the diagnosis of candidiasis and rule out other pathogens before instituting another course of therapy.

Carcinogenesis, Mutagenesis, Impairment of Fertility

No long-term animal studies have been performed to evaluate the carcinogenic potential of nystatin. In mice exposed to nystatin 50 mg/kg by injection, an increased incidence of chromosomal aberrations, consisting primarily of chromatid breaks, was observed in bone marrow cells. However, there have been no studies to determine the mutagenicity of orally-administered nystatin or its effects on fertility in males or females.

Pregnancy

Teratogenic effects

Teratogenicity studies have not been conducted with nystatin. It is also not known whether nystatin can cause fetal harm when administered to a pregnant woman or can affect reproduction capacity. Nystatin should be given to a pregnant woman only if clearly needed.

Nonteratogenic effects

In one rat reproductive study, nystatin was administered orally to pregnant rats in single doses of 100, 500, or 3000 mg/kg on the ninth day of gestation, or as multiple doses of 500 mg/kg/day on gestation days 1-20, 1-4, 7-10, 11-14, or 15-18. It was found that nystatin had a slight abortive effect when used during the whole period of pregnancy. No abnormalities were seen in surviving fetuses. Although no adverse effects or complications have been attributed to the use of intra-vaginal nystatin in neonates born to women treated during pregnancy, no similar studies evaluating complications of oral nystatin have been conducted.

Nursing Mothers

It is not known whether nystatin is excreted in human milk. Because many drugs are excreted in human milk, caution should be exercised when nystatin is administered to a nursing woman.

Pediatric Use

See DOSAGE AND ADMINISTRATION section for pediatric dosing recommendations.

Clinical Pharmacology

Nystatin acts by binding to sterols in the cell membrane of the fungus with a resultant change in membrane permeability allowing leakage of intracellular components. Nystatin is absorbed very sparingly following oral administration, with no detectable blood levels when given in the recommended doses.

Principal Display Panel

Nystatin Oral Suspension, USP 500,000 units/5mL - NDC 68999-813-05 – 5 mL Unit Dose Label


Structured Label Content

Overdosage (OVERDOSAGE)

Oral doses of nystatin in excess of five million units daily have caused nausea and gastrointestinal upset. 

Description (DESCRIPTION)

Nystatin, USP is obtained from Streptomyces noursei. It is known to be a mixture, but the composition has not been completely elucidated. Nystatin A is closely related to amphotericin B. Each is a macro-cyclic lactone containing a ketal ring, an all-transpolyene system, and a mycosamine (3-amino-3-deoxyrhamose) moiety.

Its structural formula is:

                        C 47H 75NO 17                        M.W .926 .13

Nystatin Oral Suspension, USP, is a cherry-flavored, ready-to-use suspension containing 100,000 units of Nystatin, USP per mL. Nystatin, USP contains the following inactive ingredients: artificial (wild) cherry flavor, D&C Yellow 10, edetate calcium disodium, hydrochloric acid, methylparaben, polysorbate 80, propylparaben, purified bentonite, purified water, sodium hydroxide and sucrose.

Precautions (PRECAUTIONS)

General

Discontinue treatment with nystatin if sensitization or irritation is reported during use.

Nystatin is not effective in the treatment of systemic mycoses since it is not significantly absorbed from the gastrointestinal tract.

Information for the Patient

Patient should be advised to retain nystatin in the mouth as long as possible and to continue its use for at least 2 days after symptoms have subsided.

There should be no interruption or discontinuation of the medication until the prescribed course of treatment is completed, even though symptomatic relief may occur within a few days.

If symptoms of local irritation develop, the physician should be notified immediately.

Laboratory Tests

If there is a lack of therapeutic response, appropriate microbiological studies (e.g., KOH smears and/or cultures) should be repeated to confirm the diagnosis of candidiasis and rule out other pathogens before instituting another course of therapy.

Carcinogenesis, Mutagenesis, Impairment of Fertility

No long-term animal studies have been performed to evaluate the carcinogenic potential of nystatin. In mice exposed to nystatin 50 mg/kg by injection, an increased incidence of chromosomal aberrations, consisting primarily of chromatid breaks, was observed in bone marrow cells. However, there have been no studies to determine the mutagenicity of orally-administered nystatin or its effects on fertility in males or females.

Pregnancy

Teratogenic effects

Teratogenicity studies have not been conducted with nystatin. It is also not known whether nystatin can cause fetal harm when administered to a pregnant woman or can affect reproduction capacity. Nystatin should be given to a pregnant woman only if clearly needed.

Nonteratogenic effects

In one rat reproductive study, nystatin was administered orally to pregnant rats in single doses of 100, 500, or 3000 mg/kg on the ninth day of gestation, or as multiple doses of 500 mg/kg/day on gestation days 1-20, 1-4, 7-10, 11-14, or 15-18. It was found that nystatin had a slight abortive effect when used during the whole period of pregnancy. No abnormalities were seen in surviving fetuses. Although no adverse effects or complications have been attributed to the use of intra-vaginal nystatin in neonates born to women treated during pregnancy, no similar studies evaluating complications of oral nystatin have been conducted.

Nursing Mothers

It is not known whether nystatin is excreted in human milk. Because many drugs are excreted in human milk, caution should be exercised when nystatin is administered to a nursing woman.

Pediatric Use

See DOSAGE AND ADMINISTRATION section for pediatric dosing recommendations.

How Supplied (HOW SUPPLIED)

Nystatin Oral Suspension, USP is a bright yellow color suspension with cherry flavor containing 100,000 units of nystatin per mL, supplied as follows:

NDC 68999-813-05 – 5 mL Unit Dose Cups

NDC 68999-813-24 – 20 Unit Dose Cups of 5 mL each

Store at controlled room temperature between 20°C to 25°C (68°F -77°F).

DO NOT FREEZE



Manufactured for:

Chartwell Governmental & Specialty RX, LLC.

Congers, NY 10920

L72796

Rev. 10/2025

Adverse Reactions (ADVERSE REACTIONS)

Gastrointestinal symptoms including diarrhea, gastrointestinal distress, nausea, vomiting and burning of the mouth have been reported. Hypersensitivity reactions including rash, pruritus, and anaphylactoid reaction have also been reported.

Contraindications (CONTRAINDICATIONS)

Nystatin is contraindicated in patients with a history of hypersensitivity to nystatin or any of the suspension components.

Clinical Pharmacology (CLINICAL PHARMACOLOGY)

Nystatin acts by binding to sterols in the cell membrane of the fungus with a resultant change in membrane permeability allowing leakage of intracellular components. Nystatin is absorbed very sparingly following oral administration, with no detectable blood levels when given in the recommended doses.

Indications and Usage (INDICATIONS AND USAGE)

Nystatin oral suspension is indicated for the treatment of infections of the oral cavity caused by Candida albicans.

Principal Display Panel (PRINCIPAL DISPLAY PANEL)

Nystatin Oral Suspension, USP 500,000 units/5mL - NDC 68999-813-05 – 5 mL Unit Dose Label

Dosage and Administration (DOSAGE AND ADMINISTRATION)

Infants: 2 mL (200,000 units) four times daily (1 mL in each side of mouth).

Pediatric patients and adults: 4 to 6 mL (400,000 to 600,000 units) four times daily (one-half of dose in each side of mouth).

NOTE: Limited clinical studies in neonates, including premature and low-birth weight neonates, indicate that 1 mL (100,000 units) four times daily is effective. 

Local treatment should be continued at least 48 hours after perioral symptoms have disappeared and/or cultures returned to normal. It is recommended that the drug be retained in the mouth as long as possible before swallowing.


Advanced Ingredient Data


Raw Label Data

All Sections (JSON)