Chlordiazepoxide Hydrochloride And Clidinium Bromide Capsules, Usp For Oral Use

Chlordiazepoxide Hydrochloride And Clidinium Bromide Capsules, Usp For Oral Use
SPL v5
SPL
SPL Set ID 87d1a147-d3c3-4097-aac0-4b19c49eabe3
Route
ORAL
Published
Effective Date 2021-04-30
Document Type 34391-3 HUMAN PRESCRIPTION DRUG LABEL

Drug Facts

Composition & Product

Active Ingredients
Chlordiazepoxide (5 mg) Clidinium (2.5 mg)
Inactive Ingredients
Lactose Monohydrate Starch, Corn Talc Titanium Dioxide Gelatin, Unspecified

Identifiers & Packaging

Pill Appearance
Imprint: WL;134 Shape: capsule Color: white Size: 16 mm Score: 1
Marketing Status
ANDA Active Since 2020-12-07

Description

Concomitant use of benzodiazepines and opioids may result in profound sedation, respiratory depression, coma, and death. Reserve concomitant prescribing of these drugs in patients for whom alternative treatment options are inadequate. Limit dosages and durations to the minimum required. Follow patients for signs and symptoms of respiratory depression and sedation (see WARNINGS and PRECAUTIONS and PRECAUTIONS , Drug Interactions ). The use of benzodiazepines, including chlordiazepoxide hydrochloride, a component of Chlordiazepoxide Hydrochloride and Clidinium Bromide Capsule, exposes users to risks of abuse, misuse, and addiction, which can lead to overdose or death. Abuse and misuse of benzodiazepines commonly involve concomitant use of other medications, alcohol, and/or illicit substances, which is associated with an increased frequency of serious adverse outcomes. Before prescribing Chlordiazepoxide Hydrochloride and Clidinium Bromide Capsule and throughout treatment, assess each patient’s risk for abuse, misuse, and addiction (see WARNINGS ). The continued use of benzodiazepines, including Chlordiazepoxide Hydrochloride and Clidinium Bromide Capsule, may lead to clinically significant physical dependence. The risks of dependence and withdrawal increase with longer treatment duration and higher daily dose. Abrupt discontinuation or rapid dosage reduction of Chlordiazepoxide Hydrochloride and Clidinium Bromide Capsule after continued use may precipitate acute withdrawal reactions, which can be life-threatening. To reduce the risk of withdrawal reactions, use a gradual taper to discontinue Chlordiazepoxide Hydrochloride and Clidinium Bromide Capsule or reduce the dosage (see WARNINGS and DOSAGE AND ADMINISTRATION ).

Indications and Usage

Chlordiazepoxide Hydrochloride and Clidinium Bromide Capsule is indicated to control emotional and somatic factors in gastrointestinal disorders. Chlordiazepoxide Hydrochloride and Clidinium Bromide Capsule may also be used as adjunctive therapy in the treatment of peptic ulcer and in the treatment of the irritable bowel syndrome (irritable colon, spastic colon, mucous colitis) and acute enterocolitis.

Dosage and Administration

Recommended Dosage Because of the varied individual responses to tranquilizers and anticholinergics, the optimum dosage of Chlordiazepoxide Hydrochloride and Clidinium Bromide Capsule varies with the diagnosis and response of the individual patient. The dosage, therefore, should be individualized for maximum beneficial effects. The usual maintenance dose is 1 or 2 capsules, 3 or 4 times a day administered before meals and at bedtime.

Contraindications

Chlordiazepoxide Hydrochloride and Clidinium Bromide Capsule is contraindicated in the presence of glaucoma (since the anticholinergic component may produce some degree of mydriasis) and in patients with prostatic hypertrophy and benign bladder neck obstruction. It is contraindicated in patients with known hypersensitivity to Chlordiazepoxide hydrochloride and/or clidinium bromide.

Adverse Reactions

No side effects or manifestations not seen with either compound alone have been reported with the administration of Chlordiazepoxide Hydrochloride and Clidinium Bromide Capsules. However, since Chlordiazepoxide Hydrochloride and Clidinium Bromide Capsule contains chlordiazepoxide hydrochloride and clidinium bromide, the possibility of untoward effects which may be seen with either of these two compounds cannot be excluded. When chlordiazepoxide hydrochloride has been used alone the necessity of discontinuing therapy because of undesirable effects has been rare. Drowsiness, ataxia and confusion have been reported in some patients — particularly the elderly and debilitated. While these effects can be avoided in almost all instances by proper dosage adjustment, they have occasionally been observed at the lower dosage ranges. In a few instances syncope has been reported. Other adverse reactions reported during therapy with chlordiazepoxide hydrochloride include isolated instances of skin eruptions, edema, minor menstrual irregularities, nausea and constipation, extrapyramidal symptoms, as well as increased and decreased libido. Such side effects have been infrequent and are generally controlled with reduction of dosage. Changes in EEG patterns (low-voltage fast activity) have been observed in patients during and after chlordiazepoxide hydrochloride treatment. Blood dyscrasias, including agranulocytosis, jaundice and hepatic dysfunction have occasionally been reported during therapy with chlordiazepoxide hydrochloride. When chlordiazepoxide hydrochloride treatment is protracted, periodic blood counts and liver function tests are advisable. Adverse effects reported with use of Chlordiazepoxide Hydrochloride and Clidinium Bromide Capsules are those typical of anticholinergic agents, i.e., dryness of the mouth, blurring of vision, urinary hesitancy and constipation. Constipation has occurred most often when Chlordiazepoxide Hydrochloride and Clidinium Bromide Capsule therapy has been combined with other spasmolytic agents and/or a low residue diet. To report SUSPECTED ADVERSE REACTIONS, contact Winder Laboratories LLC at 1-770-307-0703 or FDA at 1-800-FDA-1088 or www.fda.gov/medwatch.

Drug Interactions

Opioids The concomitant use of benzodiazepines, including chlordiazepoxide hydrochloride, a component of Chlordiazepoxide Hydrochloride and Clidinium Bromide Capsule and opioids increases the risk of respiratory depression because of actions at different receptor sites in the CNS that control respiration. Benzodiazepines interact at GABA A sites and opioids interact primarily at mu receptors. When benzodiazepines and opioids are combined, the potential for benzodiazepines to significantly worsen opioid-related respiratory depression exists. Limit dosage and duration of concomitant use of Chlordiazepoxide Hydrochloride and Clidinium Bromide Capsule and opioids, and follow patients closely for respiratory depression and sedation. Oral Anticoagulants Although clinical studies have not established a cause and effect relationship, physicians should be aware that variable effects on blood coagulation have been reported very rarely in patients receiving oral anticoagulants and chlordiazepoxide hydrochloride, a component of Chlordiazepoxide Hydrochloride and Clidinium Bromide Capsule.

How Supplied

Chlordiazepoxide Hydrochloride and Clidinium Bromide Capsule is available in light green opaque capsules, each containing 5 mg Chlordiazepoxide hydrochloride and 2.5 mg clidinium bromide — bottles of 100 (NDC 75826-134-10), with "WL" and "134" imprinted on the body of the capsule. Storage: Store at 20º to 25°C (68º to 77°F); excursions permitted between 15° to 30°C (59° to 86°F) [See USP Controlled Room Temperature]. Keep out of reach of children. Dispense in tight, light-resistant container as defined in USP/NF.


Medication Information

Indications and Usage

Chlordiazepoxide Hydrochloride and Clidinium Bromide Capsule is indicated to control emotional and somatic factors in gastrointestinal disorders. Chlordiazepoxide Hydrochloride and Clidinium Bromide Capsule may also be used as adjunctive therapy in the treatment of peptic ulcer and in the treatment of the irritable bowel syndrome (irritable colon, spastic colon, mucous colitis) and acute enterocolitis.

Dosage and Administration

Recommended Dosage Because of the varied individual responses to tranquilizers and anticholinergics, the optimum dosage of Chlordiazepoxide Hydrochloride and Clidinium Bromide Capsule varies with the diagnosis and response of the individual patient. The dosage, therefore, should be individualized for maximum beneficial effects. The usual maintenance dose is 1 or 2 capsules, 3 or 4 times a day administered before meals and at bedtime.

Contraindications

Chlordiazepoxide Hydrochloride and Clidinium Bromide Capsule is contraindicated in the presence of glaucoma (since the anticholinergic component may produce some degree of mydriasis) and in patients with prostatic hypertrophy and benign bladder neck obstruction. It is contraindicated in patients with known hypersensitivity to Chlordiazepoxide hydrochloride and/or clidinium bromide.

Adverse Reactions

No side effects or manifestations not seen with either compound alone have been reported with the administration of Chlordiazepoxide Hydrochloride and Clidinium Bromide Capsules. However, since Chlordiazepoxide Hydrochloride and Clidinium Bromide Capsule contains chlordiazepoxide hydrochloride and clidinium bromide, the possibility of untoward effects which may be seen with either of these two compounds cannot be excluded. When chlordiazepoxide hydrochloride has been used alone the necessity of discontinuing therapy because of undesirable effects has been rare. Drowsiness, ataxia and confusion have been reported in some patients — particularly the elderly and debilitated. While these effects can be avoided in almost all instances by proper dosage adjustment, they have occasionally been observed at the lower dosage ranges. In a few instances syncope has been reported. Other adverse reactions reported during therapy with chlordiazepoxide hydrochloride include isolated instances of skin eruptions, edema, minor menstrual irregularities, nausea and constipation, extrapyramidal symptoms, as well as increased and decreased libido. Such side effects have been infrequent and are generally controlled with reduction of dosage. Changes in EEG patterns (low-voltage fast activity) have been observed in patients during and after chlordiazepoxide hydrochloride treatment. Blood dyscrasias, including agranulocytosis, jaundice and hepatic dysfunction have occasionally been reported during therapy with chlordiazepoxide hydrochloride. When chlordiazepoxide hydrochloride treatment is protracted, periodic blood counts and liver function tests are advisable. Adverse effects reported with use of Chlordiazepoxide Hydrochloride and Clidinium Bromide Capsules are those typical of anticholinergic agents, i.e., dryness of the mouth, blurring of vision, urinary hesitancy and constipation. Constipation has occurred most often when Chlordiazepoxide Hydrochloride and Clidinium Bromide Capsule therapy has been combined with other spasmolytic agents and/or a low residue diet. To report SUSPECTED ADVERSE REACTIONS, contact Winder Laboratories LLC at 1-770-307-0703 or FDA at 1-800-FDA-1088 or www.fda.gov/medwatch.

Drug Interactions

Opioids

The concomitant use of benzodiazepines, including chlordiazepoxide hydrochloride, a component of Chlordiazepoxide Hydrochloride and Clidinium Bromide Capsule and opioids increases the risk of respiratory depression because of actions at different receptor sites in the CNS that control respiration.



Benzodiazepines interact at GABA Asites and opioids interact primarily at mu receptors. When benzodiazepines and opioids are combined, the potential for benzodiazepines to significantly worsen opioid-related respiratory depression exists. Limit dosage and duration of concomitant use of Chlordiazepoxide Hydrochloride and Clidinium Bromide Capsule and opioids, and follow patients closely for respiratory depression and sedation.

Oral Anticoagulants

Although clinical studies have not established a cause and effect relationship, physicians should be aware that variable effects on blood coagulation have been reported very rarely in patients receiving oral anticoagulants and chlordiazepoxide hydrochloride, a component of Chlordiazepoxide Hydrochloride and Clidinium Bromide Capsule.

How Supplied

Chlordiazepoxide Hydrochloride and Clidinium Bromide Capsule is available in light green opaque capsules, each containing 5 mg Chlordiazepoxide hydrochloride and 2.5 mg clidinium bromide — bottles of 100 (NDC 75826-134-10), with "WL" and "134" imprinted on the body of the capsule. Storage: Store at 20º to 25°C (68º to 77°F); excursions permitted between 15° to 30°C (59° to 86°F) [See USP Controlled Room Temperature]. Keep out of reach of children. Dispense in tight, light-resistant container as defined in USP/NF.

Description

Chlordiazepoxide Hydrochloride and Clidinium Bromide Capsules is a fixed-combination of chlordiazepoxide hydrochloride, a benzodiazepine, and clidinium bromide, an anticholinergic.



Each Chlordiazepoxide Hydrochloride and Clidinium Bromide capsule contains the active ingredients 5 mg chlordiazepoxide hydrochloride and 2.5 mg clidinium bromide. Each capsule also contains the inactive ingredients lactose monohydrate, pregelatinized starch, talc, ammonia solution, FC&C blue #1, FC&C red #40, FC&C yellow #6, propylene glycol, shellac, titanium dioxide, and gelatin.



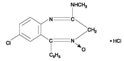
Chlordiazepoxide hydrochloride is 7-chloro-2-methylamino-5-phenyl-3H-1,4-benzodiazepine 4-oxide hydrochloride. A white to slightly yellow, crystalline powder and it is soluble in water. It is unstable in solution and the powder must be protected from light. The molecular weight is 336.22. The structural formula of chlordiazepoxide hydrochloride is as follows:

Clidinium bromide is a synthetic anticholinergic agent which has been shown in experimental and clinical studies to have a antispasmodic and antisecretory effects on the gastrointestinal tract.



Structurally clidinium bromide is:

FDA approved dissolution specification differs from the USP dissolution specification.

Section 42229-5

Manufactured by:

Winder Laboratories LLC

Winder, Georgia

RLS.134.99-1.0

Revised: 07/2022

Warnings:

Concomitant use of benzodiazepines, including Chlordiazepoxide Hydrochloride and Clidinium Bromide Capsule, and opioids may result in profound sedation, respiratory depression, coma, and death. Because of these risks, reserve concomitant prescribing of these drugs - in patients for whom alternative treatment options are inadequate.

Observational studies have demonstrated that concomitant use of opioid analgesics and benzodiazepines increases the risk of drug-related mortality compared to use of opioids alone. If a decision is made to prescribe Chlordiazepoxide Hydrochloride and Clidinium Bromide Capsule concomitantly with opioids, prescribe the lowest effective dosages and minimum durations of concomitant use, and follow patients closely for signs and symptoms of respiratory depression and sedation. Advise both patients and caregivers about the risks of respiratory depression and sedation when Chlordiazepoxide Hydrochloride and Clidinium Bromide Capsule is used with opioids (see PRECAUTIONS ).

Abuse, Misuse, and Addiction

The use of benzodiazepines, including chlordiazepoxide hydrochloride, a component of Chlordiazepoxide Hydrochloride and Clidinium Bromide Capsule, exposes users to the risks of abuse, misuse, and addiction, which can lead to overdose or death. Abuse and misuse of benzodiazepines often (but not always) involve the use of doses greater than the maximum recommended dosage and commonly involve concomitant use of other medications, alcohol, and/or illicit substances, which is associated with an increased frequency of serious adverse outcomes, including respiratory depression, overdose, or death (see DRUG ABUSE AND DEPENDENCE ).



Before prescribing Chlordiazepoxide Hydrochloride and Clidinium Bromide Capsule and throughout treatment, assess each patient’s risk for abuse, misuse, and addiction (e.g., using a standardized screening tool). Use of Chlordiazepoxide Hydrochloride and Clidinium Bromide Capsule, particularly in patients at elevated risk, necessitates counseling about the risks and proper use of Librax along with monitoring for signs and symptoms of abuse, misuse, and addiction. Prescribe the lowest effective dosage; avoid or minimize concomitant use of CNS depressants and other substances associated with abuse, misuse, and addiction (e.g., opioid analgesics, stimulants); and advise patients on the proper disposal of unused drug. If a substance use disorder is suspected, evaluate the patient and institute (or refer them for) early treatment, as appropriate.

Dependence and Withdrawal Reactions

To reduce the risk of withdrawal reactions, use a gradual taper to discontinue Chlordiazepoxide Hydrochloride and Clidinium Bromide Capsule or reduce the dosage (a patient-specific plan should be used to taper the dosage) (see DOSAGE AND ADMINISTRATION ).



Patients at an increased risk of withdrawal adverse reactions after benzodiazepine discontinuation or rapid dosage reduction include those who take higher dosages, and those who have had longer durations of use.

Acute Withdrawal Reactions

The continued use of benzodiazepines, including Chlordiazepoxide Hydrochloride and Clidinium Bromide Capsule, may lead to clinically significant physical dependence. Abrupt discontinuation or rapid dosage reduction of Chlordiazepoxide Hydrochloride and Clidinium Bromide Capsule after continued use, or administration of flumazenil (a benzodiazepine antagonist) may precipitate acute withdrawal reactions, which can be life-threatening (e.g., seizures) (see DRUG ABUSE AND DEPENDENCE ) .

Protracted Withdrawal Syndrome

In some cases, benzodiazepine users have developed a protracted withdrawal syndrome with withdrawal symptoms lasting weeks to more than 12 months (see DRUG ABUSE AND DEPENDENCE ).

Effects on the Ability to Drive or Operate Machinery

As in the case of other preparations containing CNS-acting drugs, patients receiving Chlordiazepoxide Hydrochloride and Clidinium Bromide Capsule should be cautioned about possible combined effects with opioids, alcohol and other CNS depressants. For the same reason, they should be cautioned against hazardous occupations requiring complete mental alertness, such as operating machinery or driving a motor vehicle.

Overdosage:

Manifestations of chlordiazepoxide hydrochloride overdosage include somnolence, confusion, coma and diminished reflexes. Respiration, pulse and blood pressure should be monitored, as in all cases of drug overdosage, although, in general, these effects have been minimal following chlordiazepoxide hydrochloride overdosage.

While the signs and symptoms of Chlordiazepoxide Hydrochloride and Clidinium Bromide Capsule overdosage may be produced by either of its components, usually such symptoms will be overshadowed by the anticholinergic actions of clidinium bromide. The symptoms of overdosage of clidinium bromide are excessive dryness of mouth, blurring of vision, urinary hesitancy and constipation.

General supportive measures should be employed, along with immediate gastric lavage. Administer physostigmine 0.5 to 2 mg at a rate of no more than 1 mg per minute. This may be repeated in 1 to 4 mg doses if arrhythmias, convulsions or deep coma recur. Intravenous fluids should be administered and an adequate airway maintained. Hypotension may be combated by the use of levarterenol or metaraminol. Methylphenidate or caffeine and sodium benzoate may be given to combat CNS-depressive effects. Dialysis is of limited value. Should excitation occur, barbiturates should not be used. As with the management of intentional overdosage with any drug, it should be borne in mind that multiple agents may have been ingested.

Withdrawal symptoms of the barbiturate type have occurred after the discontinuation of benzodiazepines (see DRUG ABUSE AND DEPENDENCE ).

Precautions:

CNS Adverse Reactions

In geriatric or debilitated patients, it is recommended that the dosage be limited to the smallest effective amount to preclude the development of ataxia, oversedation or confusion (not more than 2 Chlordiazepoxide Hydrochloride and Clidinium Bromide capsules per day initially, to be increased gradually as needed and tolerated). In general, the concomitant administration of Chlordiazepoxide Hydrochloride and Clidinium Bromide Capsule and other psychotropic agents is not recommended. If such combination therapy seems indicated, careful consideration should be given to the pharmacology of the agents to be employed — particularly when the known potentiating compounds such as the MAO inhibitors and phenothiazines are to be used. The usual precautions in treating patients with impaired renal or hepatic function should be observed.

Paradoxical reactions to chlordiazepoxide hydrochloride, e.g., excitement, stimulation and acute rage, have been reported in psychiatric patients and should be watched for during Chlordiazepoxide Hydrochloride and Clidinium Bromide Capsule therapy. The usual precautions are indicated when chlordiazepoxide hydrochloride is used in the treatment of anxiety states where there is any evidence of impending depression; it should be borne in mind that suicidal tendencies may be present and protective measures may be necessary.

Geriatric Use

Geriatric subjects may be particularly prone to experiencing drowsiness, ataxia and confusion while receiving Chlordiazepoxide Hydrochloride and Clidinium Bromide Capsule. These effects can usually be avoided with proper dosage adjustment, although they have occasionally been observed even at the lower dosage ranges. Dosing in geriatric subjects should be initiated cautiously (no more than 2 capsules per day) and increased gradually if needed and tolerated (see DOSAGE AND ADMINISTRATION ). Chlordiazepoxide Hydrochloride and Clidinium Bromide Capsule is contraindicated in the presence of glaucoma, prostatic hypertrophy and benign bladder neck obstruction (see CONTRAINDICATIONS ).

How Supplied:

Chlordiazepoxide Hydrochloride and Clidinium Bromide Capsule is available in light green opaque capsules, each containing 5 mg Chlordiazepoxide hydrochloride and 2.5 mg clidinium bromide — bottles of 100 (NDC 75826-134-10), with "WL" and "134" imprinted on the body of the capsule.

Storage: Store at 20º to 25°C (68º to 77°F); excursions permitted between 15° to 30°C (59° to 86°F) [See USP Controlled Room Temperature].



Keep out of reach of children.



Dispense in tight, light-resistant container as defined in USP/NF.

Pediatric Use

Safety and effectiveness in pediatric patients have not been established.

Medication Guide

Chlordiazepoxide Hydrochloride (KLOR-dye-AZ-e-POX-ide hahy-druh-klawr-ahyd) and Clidinium Bromide (kli-DIN-ee-um bro-mide) Capsules for oral use

What is the most important information I should know about Chlordiazepoxide Hydrochloride and Clidinium Bromide Capsule?

  • Chlordiazepoxide Hydrochloride and Clidinium Bromide Capsule contains a benzodiazepine medicine. Taking Chlordiazepoxide Hydrochloride and Clidinium Bromide Capsule with opioid medicines, alcohol, or other central nervous system (CNS) depressants (including street drugs) can cause severe drowsiness, breathing problems (respiratory depression), coma, and death.Get emergency help right away if any of the following happens:
    • shallow or slowed breathing
    • breathing stops (which may lead to the heart stopping)

    • excessive sleepiness (sedation)

Do not drive or operate heavy machinery until you know how taking Chlordiazepoxide Hydrochloride and Clidinium Bromide Capsule with opioids affects you.

  • Risk of abuse, misuse, and addiction.There is a risk of abuse, misuse, and addiction with benzodiazepines, including Chlordiazepoxide Hydrochloride and Clidinium Bromide Capsule, which can lead to overdose or death.
    • Serious side effects including coma and death have happened in people who have abused or misused benzodiazepines, including Chlordiazepoxide Hydrochloride and Clidinium Bromide Capsule.These serious side effects may also include delirium, paranoia, suicidal thoughts or actions, seizures, and difficulty breathing. Call your healthcare provider or go to the nearest hospital emergency room right away if you get any of these serious side effects.
    • You can develop an addiction even if you take Chlordiazepoxide Hydrochloride and Clidinium Bromide Capsule as prescribed by your healthcare provider.

    • Take Chlordiazepoxide Hydrochloride and Clidinium Bromide Capsule exactly as your healthcare provider prescribed.

    • Do not share your Chlordiazepoxide Hydrochloride and Clidinium Bromide Capsule with other people.

    • Keep Chlordiazepoxide Hydrochloride and Clidinium Bromide Capsule in a safe place and away from children.

  • Physical dependence and withdrawal reactions.Chlordiazepoxide Hydrochloride and Clidinium Bromide Capsule can cause physical dependence and withdrawal reactions.
    • Do not suddenly stop using Chlordiazepoxide Hydrochloride and Clidinium Bromide Capsule. Stopping Chlordiazepoxide Hydrochloride and Clidinium Bromide Capsule suddenly can cause serious and life-threatening side effects, including unusual movements, responses, or expressions, seizures, sudden and severe mental or nervous system changes, depression, seeing or hearing things that others do not see or hear, an extreme increase in activity or talking, losing touch with reality, and suicidal thoughts or actions. Call your healthcare provider or go to the nearest hospital emergency room right away if you get any of these symptoms.
    • Some people who suddenly stop benzodiazepines have symptoms that can last for several weeks to more than 12 months, including anxiety, trouble remembering, learning, or concentrating, depression, problems sleeping, feeling like insects are crawling under your skin, weakness, shaking, muscle twitches, burning or prickling feeling in your hands, arms, legs or feet, and ringing in your ears.
    • Physical dependence is not the same as drug addiction. Your healthcare provider can tell you more about the differences between physical dependence and drug addiction.

    • Do not take more Chlordiazepoxide Hydrochloride and Clidinium Bromide Capsule than prescribed or take Chlordiazepoxide Hydrochloride and Clidinium Bromide Capsule for longer than prescribed.

What is Chlordiazepoxide Hydrochloride and Clidinium Bromide Capsule?

  • Chlordiazepoxide Hydrochloride and Clidinium Bromide Capsule is a prescription medicine that is used with other therapies for the treatment of:
  • stomach (peptic) ulcers
  • irritable bowel syndrome (IBS)
  • inflammation of the colon called acute enterocolitis
  • Chlordiazepoxide Hydrochloride and Clidinium Bromide Capsule contains the medicines chlordiazepoxide HCl and clidinium bromide.
  • Chlordiazepoxide Hydrochloride and Clidinium Bromide Capsule can be abused or lead to dependence.Keep Chlordiazepoxide Hydrochloride and Clidinium Bromide Capsule in a safe place to prevent misuse and abuse. Selling or giving away Chlordiazepoxide Hydrochloride and Clidinium Bromide Capsule may harm others. Tell your healthcare provider if you have abused or been dependent on alcohol, prescription medicines or street drugs.
  • It is not known if Chlordiazepoxide Hydrochloride and Clidinium Bromide Capsule is safe and effective in children.

Do not take Chlordiazepoxide Hydrochloride and Clidinium Bromide Capsule if you:

  • have glaucoma
  • have an enlarged prostate
  • have a blockage of your bladder that causes problems with urination
  • are allergic to chlordiazepoxide hydrochloride or clidinium bromide

Before you take Chlordiazepoxide Hydrochloride and Clidinium Bromide Capsule, tell your healthcare provider about all of your medical conditions, including if you:

  • have eye problems
  • have problems urinating or emptying your bladder
  • have coordination problems
  • have kidney or liver problems
  • have a history of depression, mental illness, or suicidal thoughts
  • have a history of drug or alcohol abuse or addiction
  • have bleeding problems
  • are pregnant or plan to become pregnant. Chlordiazepoxide Hydrochloride and Clidinium Bromide Capsule may harm your unborn baby. Avoid taking Chlordiazepoxide Hydrochloride and Clidinium Bromide Capsule during the first trimester of pregnancy. Tell your healthcare provider right away if you become pregnant during treatment with Chlordiazepoxide Hydrochloride and Clidinium Bromide Capsule.
  • are breastfeeding or plan to breastfeed. Chlordiazepoxide Hydrochloride and Clidinium Bromide Capsule may pass through your breast milk and may harm your baby. Talk to your healthcare provider about the best way to feed your baby if you take Chlordiazepoxide Hydrochloride and Clidinium Bromide Capsule. Chlordiazepoxide Hydrochloride and Clidinium Bromide Capsule may decrease the amount of breast milk your body makes.

Tell your healthcare provider about all the medicines you take, including prescription and over-the- counter medicines, vitamins, and herbal supplements.

Taking Chlordiazepoxide Hydrochloride and Clidinium Bromide Capsule with certain other medicines can cause side effects or affect how well Chlordiazepoxide Hydrochloride and Clidinium Bromide Capsule or the other medicines work.

Do not start or stop other medicines without talking to your healthcare provider. Especially tell your healthcare provider if you:

  • take a monoamine oxidase inhibitor (MAOI) medicine or an anti-psychotic medicine called phenothiazine.

How should I take Chlordiazepoxide Hydrochloride and Clidinium Bromide Capsule?

  • Take Chlordiazepoxide Hydrochloride and Clidinium Bromide Capsule exactly as your healthcare provider tells you to take it.
  • Your healthcare provider may change your dose of Chlordiazepoxide Hydrochloride and Clidinium Bromide Capsule if needed. Do not change your dose of Chlordiazepoxide Hydrochloride and Clidinium Bromide Capsule or suddenly stop taking Chlordiazepoxide Hydrochloride and Clidinium Bromide Capsule without talking with your healthcare provider.
  • If you take too much Chlordiazepoxide Hydrochloride and Clidinium Bromide Capsule, call your healthcare provider or go to the nearest hospital emergency room right away.

What are the possible side effects of Chlordiazepoxide Hydrochloride and Clidinium Bromide Capsule?

Chlordiazepoxide Hydrochloride and Clidinium Bromide Capsule may cause serious side effects, including: See "What is the most important information I should know about Chlordiazepoxide Hydrochloride and Clidinium Bromide Capsule?"

  • Chlordiazepoxide Hydrochloride and Clidinium Bromide Capsule can make you sleepy or dizzy and can slow your thinking an motor skills.
    • Do not drive, operate heavy machinery, or do other dangerous activities until you know how Chlordiazepoxide Hydrochloride and Clidinium Bromide Capsule affects you.
    • Do not drink alcohol or take other drugs that may make you sleepy or dizzy while taking Chlordiazepoxide Hydrochloride and Clidinium Bromide Capsule without first talking to your healthcare provider. When taken with alcohol or drugs that cause sleepiness or dizziness, Chlordiazepoxide Hydrochloride and Clidinium Bromide Capsule may make your sleepiness or dizziness much worse.

The most common side effects of Chlordiazepoxide Hydrochloride and Clidinium Bromide Capsule include:

  • dry mouth
  • blurred vision
  • nausea
  • constipation
  • skin problems
  • swelling
  • irregular menstrual (periods) cycles
  • increase and decreased desire for sex (libido)
  • problems starting to urinate
  • drowsiness, coordination problems, and confusion may happen, especially in people who are elderly or weak

These are not all the possible side effects of Chlordiazepoxide Hydrochloride and Clidinium Bromide Capsule.

Call your doctor for medical advice about side effects. You may report side effects to FDA at 1-800- FDA-1088.

How should I store Chlordiazepoxide Hydrochloride and Clidinium Bromide Capsules?

  • Store Chlordiazepoxide Hydrochloride and Clidinium Bromide Capsule at 20º to 25°C (68º to 77°F).
  • Keep Chlordiazepoxide Hydrochloride and Clidinium Bromide Capsule and all medicines out of the reach of children.

General information about the safe and effective use of Chlordiazepoxide Hydrochloride and Clidinium Bromide Capsule.

Medicines are sometimes prescribed for purposes other than those listed in a Medication Guide. Do not use Chlordiazepoxide Hydrochloride and Clidinium Bromide Capsule for a condition for which it was not prescribed. Do not take Chlordiazepoxide Hydrochloride and Clidinium Bromide Capsule to other people, even if they have the same symptoms that you have. It may harm them. You can ask your pharmacist or healthcare provider for information about Chlordiazepoxide Hydrochloride and Clidinium Bromide Capsule that is written for health professionals.

What are the ingredients in Chlordiazepoxide Hydrochloride and Clidinium Bromide Capsule?

Active ingredient:chlordiazepoxide hydrochloride and clidinium bromide

Inactive ingredients:lactose monohydrate, pregelatinized starch, talc, ammonia solution, FC&C blue #1, FC&C red #40, FC&C yellow #6, propylene glycol, shellac, titanium dioxide, and gelatin.

Manufactured by:

Winder Laboratories LLC

Winder, Georgia

This Medication Guide has been approved by the U.S. Food and Drug Administration

RLS.134.99-1.0

Revised: 07/2022

Adverse Reactions:

No side effects or manifestations not seen with either compound alone have been reported with the administration of Chlordiazepoxide Hydrochloride and Clidinium Bromide Capsules. However, since Chlordiazepoxide Hydrochloride and Clidinium Bromide Capsule contains chlordiazepoxide hydrochloride and clidinium bromide, the possibility of untoward effects which may be seen with either of these two compounds cannot be excluded.

When chlordiazepoxide hydrochloride has been used alone the necessity of discontinuing therapy because of undesirable effects has been rare. Drowsiness, ataxia and confusion have been reported in some patients — particularly the elderly and debilitated. While these effects can be avoided in almost all instances by proper dosage adjustment, they have occasionally been observed at the lower dosage ranges. In a few instances syncope has been reported.

Other adverse reactions reported during therapy with chlordiazepoxide hydrochloride include isolated instances of skin eruptions, edema, minor menstrual irregularities, nausea and constipation, extrapyramidal symptoms, as well as increased and decreased libido. Such side effects have been infrequent and are generally controlled with reduction of dosage. Changes in EEG patterns (low-voltage fast activity) have been observed in patients during and after chlordiazepoxide hydrochloride treatment.

Blood dyscrasias, including agranulocytosis, jaundice and hepatic dysfunction have occasionally been reported during therapy with chlordiazepoxide hydrochloride. When chlordiazepoxide hydrochloride treatment is protracted, periodic blood counts and liver function tests are advisable.

Adverse effects reported with use of Chlordiazepoxide Hydrochloride and Clidinium Bromide Capsules are those typical of anticholinergic agents, i.e., dryness of the mouth, blurring of vision, urinary hesitancy and constipation. Constipation has occurred most often when Chlordiazepoxide Hydrochloride and Clidinium Bromide Capsule therapy has been combined with other spasmolytic agents and/or a low residue diet.

To report SUSPECTED ADVERSE REACTIONS, contact Winder Laboratories LLC at 1-770-307-0703 or FDA at 1-800-FDA-1088 or www.fda.gov/medwatch.

Contraindications:

Chlordiazepoxide Hydrochloride and Clidinium Bromide Capsule is contraindicated in the presence of glaucoma (since the anticholinergic component may produce some degree of mydriasis) and in patients with prostatic hypertrophy and benign bladder neck obstruction. It is contraindicated in patients with known hypersensitivity to Chlordiazepoxide hydrochloride and/or clidinium bromide.

Usage in Pregnancy

An increased risk of congenital malformations associated with the use of minor tranquilizers (chlordiazepoxide, diazepam and meprobamate) during the first trimester of pregnancy has been suggested in several studies. Because use of these drugs is rarely a matter of urgency, their use during this period should almost always be avoided. The possibility that a woman of childbearing potential may be pregnant at the time of institution of therapy should be considered. Patients should be advised that if they become pregnant during therapy or intend to become pregnant they should communicate with their physicians about the desirability of discontinuing the drug.

As with all anticholinergic drugs, an inhibiting effect on lactation may occur (see ANIMAL PHARMACOLOGY ).

Animal Pharmacology:

Chlordiazepoxide hydrochloride has been studied extensively in many species of animals and these studies are suggestive of action on the limbic system of the brain, which recent evidence indicates is involved in emotional responses. Hostile monkeys were made tame by oral drug doses, which did not cause sedation. Chlordiazepoxide hydrochloride revealed a "taming-action with the elimination of fear and aggression". The taming effect of chlordiazepoxide hydrochloride was further demonstrated in rats made vicious by lesions in the septal area of the brain. The drug dosage which effectively blocked the vicious reaction was well below the dose which caused sedation in these animals.

The oral LD 50of single doses of chlordiazepoxide hydrochloride, calculated according to the method of Miller and Tainter, is 720 ± 51 mg/kg as determined in mice observed over a period of 5 days following dosage.

Clidinium bromide is an effective anticholinergic agent with activity approximating that of atropine sulfate against acetylcholine-induced spasms in isolated intestinal strips. On oral administration in mice, it proved an effective antisialagogue in preventing pilocarpine-induced salivation. Spontaneous intestinal motility in both rats and dogs is reduced following oral dosing with 0.1 to 0.25 mg/kg. Potent cholinergic ganglionic blocking effects (vagal) were produced with intravenous usage in anesthetized dogs.

Oral doses of 2.5 mg/kg to dogs produced signs of nasal dryness and slight pupillary dilation. In two other species, monkeys and rabbits, doses of 5 mg/kg, po, given three times daily for 5 days did not produce apparent secretory or visual changes.

The oral LD 50of single doses of clidinium bromide is 860 ± 57 mg/kg as determined in mice observed over a period of 5 days following dosage; the calculations were made according to the method of Miller and Tainter.

Indications and Usage:

Chlordiazepoxide Hydrochloride and Clidinium Bromide Capsule is indicated to control emotional and somatic factors in gastrointestinal disorders. Chlordiazepoxide Hydrochloride and Clidinium Bromide Capsule may also be used as adjunctive therapy in the treatment of peptic ulcer and in the treatment of the irritable bowel syndrome (irritable colon, spastic colon, mucous colitis) and acute enterocolitis.

Effects On Reproduction:

Reproduction studies in rats fed chlordiazepoxide hydrochloride, 10, 20 and 80 mg/kg daily, and bred through one or two matings showed no congenital anomalies, nor were there adverse effects on lactation of the dams or growth of the newborn. However, in another study at 100 mg/kg daily there was noted a significant decrease in the fertilization rate and a marked decrease in the viability and body weight of offspring which may be attributable to sedative activity, thus resulting in lack of interest in mating and lessened maternal nursing and care of the young. One neonate in each of the first and second matings in the rat reproduction study at the 100 mg/kg dose exhibited major skeletal defects. Further studies are in progress to determine the significance of these findings.

Two series of reproduction experiments with clidinium bromide were carried out in rats, employing dosages of 2.5 and 10 mg/kg daily in each experiment. In the first experiment, clidinium bromide was administered for a 9-week interval prior to mating; no untoward effect on fertilization or gestation was noted. The offspring were taken by caesarean section and did not show a significant incidence of congenital anomalies when compared to control animals. In the second experiment, adult animals were given clidinium bromide for 10 days prior to and through two mating cycles. No significant effects were observed on fertility, gestation, viability of offspring or lactation, as compared to control animals, nor was there a significant incidence of congenital anomalies in the offspring derived from these experiments.

A reproduction study of Chlordiazepoxide Hydrochloride and Clidinium Bromide Capsule was carried out in rats through two successive matings. Oral daily doses were administered in two concentrations: 2.5 mg/kg chlordiazepoxide hydrochloride with 1.25 mg/kg clidinium bromide or 25 mg/kg chlordiazepoxide hydrochloride with 12.5 mg/kg clidinium bromide. In the first mating, no significant differences were noted between the control or the treated groups, with the exception of a slight decrease in the number of animals surviving during lactation among those receiving the highest dosage. As with all anticholinergic drugs, an inhibiting effect on lactation may occur. In the second mating, similar results were obtained except for a slight decrease in the number of pregnant females and in the percentage of offspring surviving until weaning. No congenital anomalies were observed in both matings in either the control or treated groups. Additional animal reproduction studies are in progress.

Information for Patients

Abuse, Misuse, and Addiction

Inform patients that the use of Chlordiazepoxide Hydrochloride and Clidinium Bromide Capsule, even at recommended dosages, exposes users to risks of abuse, misuse, and addiction, which can lead to overdose and death, especially when used in combination with other medications (e.g., opioid analgesics), alcohol, and/or illicit substances .Inform patients about the signs and symptoms of benzodiazepine abuse, misuse, and addiction; to seek medical help if they develop these signs and/or symptoms; and on the proper disposal of unused drug (see WARNINGS ) .

Withdrawal Reactions

Inform patients that the continued use of Chlordiazepoxide Hydrochloride and Clidinium Bromide Capsule may lead to clinically significant physical dependence and that abrupt discontinuation or rapid dosage reduction of Chlordiazepoxide Hydrochloride and Clidinium Bromide Capsule may precipitate acute withdrawal reactions, which can be life-threatening. Inform patients that in some cases, patients taking benzodiazepines have developed a protracted withdrawal syndrome with withdrawal symptoms lasting weeks to more than 12 months. Instruct patients that discontinuation or dosage reduction of Chlordiazepoxide Hydrochloride and Clidinium Bromide Capsule may require a slow taper (see WARNINGS  and  DRUG ABUSE AND DEPENDENCE ) .

Concomitant Use With Opioids and Other CNS Depressants

Inform patients and caregivers that potentially fatal additive effects may occur if Chlordiazepoxide Hydrochloride and Clidinium Bromide Capsule is used with opioids or other CNS depressants, including alcohol, and not to use these concomitantly unless supervised by a health care provider (see WARNINGS  and  PRECAUTIONS , Drug Interactions ).

Drug Abuse and Dependence

Controlled Substance

Chlordiazepoxide Hydrochloride and Clidinium Bromide Capsules contains chlordiazepoxide hydrochloride, a Schedule IV controlled substance and clidinium bromide, which is not a controlled substance. Chlordiazepoxide Hydrochloride and Clidinium Bromide Capsules is exempted from Schedule IV and is not controlled under the Controlled Substances Act.

Abuse

Chlordiazepoxide hydrochloride, a component of Chlordiazepoxide Hydrochloride and Clidinium Bromide Capsules, is a CNS depressant with a potential for abuse and addiction. Abuse is the intentional, non-therapeutic use of a drug, even once, for its desirable psychological or physiological effects. Misuse is the intentional use, for therapeutic purposes, of a drug by an individual in a way other than prescribed by a health care provider or for whom it was not prescribed. Drug addiction is a cluster of behavioral, cognitive, and physiological phenomena that may include a strong desire to take the drug, difficulties in controlling drug use (e.g., continuing drug use despite harmful consequences, giving a higher priority to drug use than other activities and obligations), and possible tolerance or physical dependence. Even taking benzodiazepines as prescribed may put patients at risk for abuse and misuse of their medication. Abuse and misuse of benzodiazepines may lead to addiction.



Abuse and misuse of benzodiazepines often (but not always) involve the use of doses greater than the maximum recommended dosage and commonly involve concomitant use of other medications, alcohol, and/or illicit substances, which is associated with an increased frequency of serious adverse outcomes, including respiratory depression, overdose, or death. Benzodiazepines are often sought by individuals who abuse drugs and other substances, and by individuals with addictive disorders (see WARNINGS ).



The following adverse reactions have occurred with benzodiazepine abuse and/or misuse: abdominal pain, amnesia, anorexia, anxiety, aggression, ataxia, blurred vision, confusion, depression, disinhibition, disorientation, dizziness, euphoria, impaired concentration and memory, indigestion, irritability, muscle pain, slurred speech, tremors, and vertigo.



The following severe adverse reactions have occurred with benzodiazepine abuse and/or misuse: delirium, paranoia, suicidal ideation and behavior, seizures, coma, breathing difficulty, and death. Death is more often associated with polysubstance use (especially benzodiazepines with other CNS depressants such as opioids and alcohol).

Dependence

Physical Dependence

Chlordiazepoxide Hydrochloride and Clidinium Bromide Capsules may produce physical dependence from continued therapy. Physical dependence is a state that develops as a result of physiological adaptation in response to repeated drug use, manifested by withdrawal signs and symptoms after abrupt discontinuation or a significant dose reduction of a drug. Abrupt discontinuation or rapid dosage reduction of benzodiazepines or administration of flumazenil, a benzodiazepine antagonist, may precipitate acute withdrawal reactions, including seizures, which can be life-threatening. Patients at an increased risk of withdrawal adverse reactions after benzodiazepine discontinuation or rapid dosage reduction include those who take higher dosages (i.e., higher and/or more frequent doses) and those who have had longer durations of use (see WARNINGS ).



To reduce the risk of withdrawal reactions, use a gradual taper to discontinue Chlordiazepoxide Hydrochloride and Clidinium Bromide Capsule or reduce the dosage (see WARNINGS   and DOSAGE AND ADMININSTRATION ).

Acute Withdrawal Signs and Symptoms

Acute withdrawal signs and symptoms associated with benzodiazepines have included abnormal involuntary movements, anxiety, blurred vision, depersonalization, depression, derealization, dizziness, fatigue, gastrointestinal adverse reactions (e.g., nausea, vomiting, diarrhea, weight loss, decreased appetite), headache, hyperacusis, hypertension, irritability, insomnia, memory impairment, muscle pain and stiffness, panic attacks, photophobia, restlessness, tachycardia, and tremor. More severe acute withdrawal signs and symptoms, including life-threatening reactions, have included catatonia, convulsions, delirium tremens, depression, hallucinations, mania, psychosis, seizures and suicidality.

Protracted Withdrawal Syndrome

Protracted withdrawal syndrome associated with benzodiazepines is characterized by anxiety, cognitive impairment, depression, insomnia, formication, motor symptoms (e.g., weakness, tremor, muscle twitches), paresthesia, and tinnitus that persists beyond 4 to 6 weeks after initial benzodiazepine withdrawal. Protracted withdrawal symptoms may last weeks to more than 12 months. As a result, there may be difficulty in differentiating withdrawal symptoms from potential re-emergence or continuation of symptoms for which the benzodiazepine was being used.

Tolerance

Tolerance to Chlordiazepoxide Hydrochloride and Clidinium Bromide Capsules may develop from continued therapy. Tolerance is a physiological state characterized by a reduced response to a drug after repeated administration (i.e., a higher dose of a drug is required to produce the same effect that was once obtained at a lower dose). Tolerance to the therapeutic effects of Chlordiazepoxide Hydrochloride and Clidinium Bromide Capsule may develop; however, little tolerance develops to the amnestic reactions and other cognitive impairments caused by benzodiazepines.

Dosage and Administration:

Recommended Dosage

Because of the varied individual responses to tranquilizers and anticholinergics, the optimum dosage of Chlordiazepoxide Hydrochloride and Clidinium Bromide Capsule varies with the diagnosis and response of the individual patient. The dosage, therefore, should be individualized for maximum beneficial effects. The usual maintenance dose is 1 or 2 capsules, 3 or 4 times a day administered before meals and at bedtime.

Recommended Geriatric Dosage

Dosage should be limited to the smallest effective amount to preclude the development of ataxia, oversedation or confusion. The initial dose should not exceed 2 Chlordiazepoxide Hydrochloride and Clidinium Bromide capsules per day, to be increased gradually as needed and tolerated. Elderly patients have an increased risk of dose-related adverse reactions (See PRECAUTIONS )

Discontinuation or Dosage Reduction of Chlordiazepoxide Hydrochloride and Clidinium Bromide Capsule

To reduce the risk of withdrawal reactions, use a gradual taper to discontinue Chlordiazepoxide Hydrochloride and Clidinium Bromide Capsule or reduce the dosage. If a patient develops withdrawal reactions, consider pausing the taper or increasing the dosage to the previous tapered dosage level. Subsequently decrease the dosage more slowly (see WARNINGS   and DRUG ABUSE AND DEPENDENCE ).

Principal Display Panel 100 Capsule Bottle Label

NDC 75826-134-10

Rx Only

Chlordiazepoxide HCl

and Clidinium Bromide

Capsules, USP

5 mg/2.5 mg *

Dispense the Medication Guide

provided separately to each patient

100 Capsules

Warning: Risks From Concomitant Use With Opioids; Abuse, Misuse, and Addiction; and Dependence and Withdrawal Reactions
  • Concomitant use of benzodiazepines and opioids may result in profound sedation, respiratory depression, coma, and death. Reserve concomitant prescribing of these drugs in patients for whom alternative treatment options are inadequate. Limit dosages and durations to the minimum required. Follow patients for signs and symptoms of respiratory depression and sedation (see WARNINGSand PRECAUTIONSand PRECAUTIONS, Drug Interactions).
  • The use of benzodiazepines, including chlordiazepoxide hydrochloride, a component of Chlordiazepoxide Hydrochloride and Clidinium Bromide Capsule, exposes users to risks of abuse, misuse, and addiction, which can lead to overdose or death. Abuse and misuse of benzodiazepines commonly involve concomitant use of other medications, alcohol, and/or illicit substances, which is associated with an increased frequency of serious adverse outcomes. Before prescribing Chlordiazepoxide Hydrochloride and Clidinium Bromide Capsule and throughout treatment, assess each patient’s risk for abuse, misuse, and addiction (see WARNINGS).
  • The continued use of benzodiazepines, including Chlordiazepoxide Hydrochloride and Clidinium Bromide Capsule, may lead to clinically significant physical dependence. The risks of dependence and withdrawal increase with longer treatment duration and higher daily dose. Abrupt discontinuation or rapid dosage reduction of Chlordiazepoxide Hydrochloride and Clidinium Bromide Capsule after continued use may precipitate acute withdrawal reactions, which can be life-threatening. To reduce the risk of withdrawal reactions, use a gradual taper to discontinue Chlordiazepoxide Hydrochloride and Clidinium Bromide Capsule or reduce the dosage (see WARNINGSand DOSAGE AND ADMINISTRATION).

Structured Label Content

Section 42229-5 (42229-5)

Manufactured by:

Winder Laboratories LLC

Winder, Georgia

RLS.134.99-1.0

Revised: 07/2022

Warnings: (WARNINGS:)

Concomitant use of benzodiazepines, including Chlordiazepoxide Hydrochloride and Clidinium Bromide Capsule, and opioids may result in profound sedation, respiratory depression, coma, and death. Because of these risks, reserve concomitant prescribing of these drugs - in patients for whom alternative treatment options are inadequate.

Observational studies have demonstrated that concomitant use of opioid analgesics and benzodiazepines increases the risk of drug-related mortality compared to use of opioids alone. If a decision is made to prescribe Chlordiazepoxide Hydrochloride and Clidinium Bromide Capsule concomitantly with opioids, prescribe the lowest effective dosages and minimum durations of concomitant use, and follow patients closely for signs and symptoms of respiratory depression and sedation. Advise both patients and caregivers about the risks of respiratory depression and sedation when Chlordiazepoxide Hydrochloride and Clidinium Bromide Capsule is used with opioids (see PRECAUTIONS ).

Abuse, Misuse, and Addiction

The use of benzodiazepines, including chlordiazepoxide hydrochloride, a component of Chlordiazepoxide Hydrochloride and Clidinium Bromide Capsule, exposes users to the risks of abuse, misuse, and addiction, which can lead to overdose or death. Abuse and misuse of benzodiazepines often (but not always) involve the use of doses greater than the maximum recommended dosage and commonly involve concomitant use of other medications, alcohol, and/or illicit substances, which is associated with an increased frequency of serious adverse outcomes, including respiratory depression, overdose, or death (see DRUG ABUSE AND DEPENDENCE ).



Before prescribing Chlordiazepoxide Hydrochloride and Clidinium Bromide Capsule and throughout treatment, assess each patient’s risk for abuse, misuse, and addiction (e.g., using a standardized screening tool). Use of Chlordiazepoxide Hydrochloride and Clidinium Bromide Capsule, particularly in patients at elevated risk, necessitates counseling about the risks and proper use of Librax along with monitoring for signs and symptoms of abuse, misuse, and addiction. Prescribe the lowest effective dosage; avoid or minimize concomitant use of CNS depressants and other substances associated with abuse, misuse, and addiction (e.g., opioid analgesics, stimulants); and advise patients on the proper disposal of unused drug. If a substance use disorder is suspected, evaluate the patient and institute (or refer them for) early treatment, as appropriate.

Dependence and Withdrawal Reactions

To reduce the risk of withdrawal reactions, use a gradual taper to discontinue Chlordiazepoxide Hydrochloride and Clidinium Bromide Capsule or reduce the dosage (a patient-specific plan should be used to taper the dosage) (see DOSAGE AND ADMINISTRATION ).



Patients at an increased risk of withdrawal adverse reactions after benzodiazepine discontinuation or rapid dosage reduction include those who take higher dosages, and those who have had longer durations of use.

Acute Withdrawal Reactions

The continued use of benzodiazepines, including Chlordiazepoxide Hydrochloride and Clidinium Bromide Capsule, may lead to clinically significant physical dependence. Abrupt discontinuation or rapid dosage reduction of Chlordiazepoxide Hydrochloride and Clidinium Bromide Capsule after continued use, or administration of flumazenil (a benzodiazepine antagonist) may precipitate acute withdrawal reactions, which can be life-threatening (e.g., seizures) (see DRUG ABUSE AND DEPENDENCE ) .

Protracted Withdrawal Syndrome

In some cases, benzodiazepine users have developed a protracted withdrawal syndrome with withdrawal symptoms lasting weeks to more than 12 months (see DRUG ABUSE AND DEPENDENCE ).

Effects on the Ability to Drive or Operate Machinery

As in the case of other preparations containing CNS-acting drugs, patients receiving Chlordiazepoxide Hydrochloride and Clidinium Bromide Capsule should be cautioned about possible combined effects with opioids, alcohol and other CNS depressants. For the same reason, they should be cautioned against hazardous occupations requiring complete mental alertness, such as operating machinery or driving a motor vehicle.

Description (DESCRIPTION)

Chlordiazepoxide Hydrochloride and Clidinium Bromide Capsules is a fixed-combination of chlordiazepoxide hydrochloride, a benzodiazepine, and clidinium bromide, an anticholinergic.



Each Chlordiazepoxide Hydrochloride and Clidinium Bromide capsule contains the active ingredients 5 mg chlordiazepoxide hydrochloride and 2.5 mg clidinium bromide. Each capsule also contains the inactive ingredients lactose monohydrate, pregelatinized starch, talc, ammonia solution, FC&C blue #1, FC&C red #40, FC&C yellow #6, propylene glycol, shellac, titanium dioxide, and gelatin.



Chlordiazepoxide hydrochloride is 7-chloro-2-methylamino-5-phenyl-3H-1,4-benzodiazepine 4-oxide hydrochloride. A white to slightly yellow, crystalline powder and it is soluble in water. It is unstable in solution and the powder must be protected from light. The molecular weight is 336.22. The structural formula of chlordiazepoxide hydrochloride is as follows:

Clidinium bromide is a synthetic anticholinergic agent which has been shown in experimental and clinical studies to have a antispasmodic and antisecretory effects on the gastrointestinal tract.



Structurally clidinium bromide is:

FDA approved dissolution specification differs from the USP dissolution specification.

Overdosage: (OVERDOSAGE:)

Manifestations of chlordiazepoxide hydrochloride overdosage include somnolence, confusion, coma and diminished reflexes. Respiration, pulse and blood pressure should be monitored, as in all cases of drug overdosage, although, in general, these effects have been minimal following chlordiazepoxide hydrochloride overdosage.

While the signs and symptoms of Chlordiazepoxide Hydrochloride and Clidinium Bromide Capsule overdosage may be produced by either of its components, usually such symptoms will be overshadowed by the anticholinergic actions of clidinium bromide. The symptoms of overdosage of clidinium bromide are excessive dryness of mouth, blurring of vision, urinary hesitancy and constipation.

General supportive measures should be employed, along with immediate gastric lavage. Administer physostigmine 0.5 to 2 mg at a rate of no more than 1 mg per minute. This may be repeated in 1 to 4 mg doses if arrhythmias, convulsions or deep coma recur. Intravenous fluids should be administered and an adequate airway maintained. Hypotension may be combated by the use of levarterenol or metaraminol. Methylphenidate or caffeine and sodium benzoate may be given to combat CNS-depressive effects. Dialysis is of limited value. Should excitation occur, barbiturates should not be used. As with the management of intentional overdosage with any drug, it should be borne in mind that multiple agents may have been ingested.

Withdrawal symptoms of the barbiturate type have occurred after the discontinuation of benzodiazepines (see DRUG ABUSE AND DEPENDENCE ).

Precautions: (PRECAUTIONS:)

CNS Adverse Reactions

In geriatric or debilitated patients, it is recommended that the dosage be limited to the smallest effective amount to preclude the development of ataxia, oversedation or confusion (not more than 2 Chlordiazepoxide Hydrochloride and Clidinium Bromide capsules per day initially, to be increased gradually as needed and tolerated). In general, the concomitant administration of Chlordiazepoxide Hydrochloride and Clidinium Bromide Capsule and other psychotropic agents is not recommended. If such combination therapy seems indicated, careful consideration should be given to the pharmacology of the agents to be employed — particularly when the known potentiating compounds such as the MAO inhibitors and phenothiazines are to be used. The usual precautions in treating patients with impaired renal or hepatic function should be observed.

Paradoxical reactions to chlordiazepoxide hydrochloride, e.g., excitement, stimulation and acute rage, have been reported in psychiatric patients and should be watched for during Chlordiazepoxide Hydrochloride and Clidinium Bromide Capsule therapy. The usual precautions are indicated when chlordiazepoxide hydrochloride is used in the treatment of anxiety states where there is any evidence of impending depression; it should be borne in mind that suicidal tendencies may be present and protective measures may be necessary.

Geriatric Use

Geriatric subjects may be particularly prone to experiencing drowsiness, ataxia and confusion while receiving Chlordiazepoxide Hydrochloride and Clidinium Bromide Capsule. These effects can usually be avoided with proper dosage adjustment, although they have occasionally been observed even at the lower dosage ranges. Dosing in geriatric subjects should be initiated cautiously (no more than 2 capsules per day) and increased gradually if needed and tolerated (see DOSAGE AND ADMINISTRATION ). Chlordiazepoxide Hydrochloride and Clidinium Bromide Capsule is contraindicated in the presence of glaucoma, prostatic hypertrophy and benign bladder neck obstruction (see CONTRAINDICATIONS ).

How Supplied: (HOW SUPPLIED:)

Chlordiazepoxide Hydrochloride and Clidinium Bromide Capsule is available in light green opaque capsules, each containing 5 mg Chlordiazepoxide hydrochloride and 2.5 mg clidinium bromide — bottles of 100 (NDC 75826-134-10), with "WL" and "134" imprinted on the body of the capsule.

Storage: Store at 20º to 25°C (68º to 77°F); excursions permitted between 15° to 30°C (59° to 86°F) [See USP Controlled Room Temperature].



Keep out of reach of children.



Dispense in tight, light-resistant container as defined in USP/NF.

Pediatric Use

Safety and effectiveness in pediatric patients have not been established.

Medication Guide

Chlordiazepoxide Hydrochloride (KLOR-dye-AZ-e-POX-ide hahy-druh-klawr-ahyd) and Clidinium Bromide (kli-DIN-ee-um bro-mide) Capsules for oral use

What is the most important information I should know about Chlordiazepoxide Hydrochloride and Clidinium Bromide Capsule?

  • Chlordiazepoxide Hydrochloride and Clidinium Bromide Capsule contains a benzodiazepine medicine. Taking Chlordiazepoxide Hydrochloride and Clidinium Bromide Capsule with opioid medicines, alcohol, or other central nervous system (CNS) depressants (including street drugs) can cause severe drowsiness, breathing problems (respiratory depression), coma, and death.Get emergency help right away if any of the following happens:
    • shallow or slowed breathing
    • breathing stops (which may lead to the heart stopping)

    • excessive sleepiness (sedation)

Do not drive or operate heavy machinery until you know how taking Chlordiazepoxide Hydrochloride and Clidinium Bromide Capsule with opioids affects you.

  • Risk of abuse, misuse, and addiction.There is a risk of abuse, misuse, and addiction with benzodiazepines, including Chlordiazepoxide Hydrochloride and Clidinium Bromide Capsule, which can lead to overdose or death.
    • Serious side effects including coma and death have happened in people who have abused or misused benzodiazepines, including Chlordiazepoxide Hydrochloride and Clidinium Bromide Capsule.These serious side effects may also include delirium, paranoia, suicidal thoughts or actions, seizures, and difficulty breathing. Call your healthcare provider or go to the nearest hospital emergency room right away if you get any of these serious side effects.
    • You can develop an addiction even if you take Chlordiazepoxide Hydrochloride and Clidinium Bromide Capsule as prescribed by your healthcare provider.

    • Take Chlordiazepoxide Hydrochloride and Clidinium Bromide Capsule exactly as your healthcare provider prescribed.

    • Do not share your Chlordiazepoxide Hydrochloride and Clidinium Bromide Capsule with other people.

    • Keep Chlordiazepoxide Hydrochloride and Clidinium Bromide Capsule in a safe place and away from children.

  • Physical dependence and withdrawal reactions.Chlordiazepoxide Hydrochloride and Clidinium Bromide Capsule can cause physical dependence and withdrawal reactions.
    • Do not suddenly stop using Chlordiazepoxide Hydrochloride and Clidinium Bromide Capsule. Stopping Chlordiazepoxide Hydrochloride and Clidinium Bromide Capsule suddenly can cause serious and life-threatening side effects, including unusual movements, responses, or expressions, seizures, sudden and severe mental or nervous system changes, depression, seeing or hearing things that others do not see or hear, an extreme increase in activity or talking, losing touch with reality, and suicidal thoughts or actions. Call your healthcare provider or go to the nearest hospital emergency room right away if you get any of these symptoms.
    • Some people who suddenly stop benzodiazepines have symptoms that can last for several weeks to more than 12 months, including anxiety, trouble remembering, learning, or concentrating, depression, problems sleeping, feeling like insects are crawling under your skin, weakness, shaking, muscle twitches, burning or prickling feeling in your hands, arms, legs or feet, and ringing in your ears.
    • Physical dependence is not the same as drug addiction. Your healthcare provider can tell you more about the differences between physical dependence and drug addiction.

    • Do not take more Chlordiazepoxide Hydrochloride and Clidinium Bromide Capsule than prescribed or take Chlordiazepoxide Hydrochloride and Clidinium Bromide Capsule for longer than prescribed.

What is Chlordiazepoxide Hydrochloride and Clidinium Bromide Capsule?

  • Chlordiazepoxide Hydrochloride and Clidinium Bromide Capsule is a prescription medicine that is used with other therapies for the treatment of:
  • stomach (peptic) ulcers
  • irritable bowel syndrome (IBS)
  • inflammation of the colon called acute enterocolitis
  • Chlordiazepoxide Hydrochloride and Clidinium Bromide Capsule contains the medicines chlordiazepoxide HCl and clidinium bromide.
  • Chlordiazepoxide Hydrochloride and Clidinium Bromide Capsule can be abused or lead to dependence.Keep Chlordiazepoxide Hydrochloride and Clidinium Bromide Capsule in a safe place to prevent misuse and abuse. Selling or giving away Chlordiazepoxide Hydrochloride and Clidinium Bromide Capsule may harm others. Tell your healthcare provider if you have abused or been dependent on alcohol, prescription medicines or street drugs.
  • It is not known if Chlordiazepoxide Hydrochloride and Clidinium Bromide Capsule is safe and effective in children.

Do not take Chlordiazepoxide Hydrochloride and Clidinium Bromide Capsule if you:

  • have glaucoma
  • have an enlarged prostate
  • have a blockage of your bladder that causes problems with urination
  • are allergic to chlordiazepoxide hydrochloride or clidinium bromide

Before you take Chlordiazepoxide Hydrochloride and Clidinium Bromide Capsule, tell your healthcare provider about all of your medical conditions, including if you:

  • have eye problems
  • have problems urinating or emptying your bladder
  • have coordination problems
  • have kidney or liver problems
  • have a history of depression, mental illness, or suicidal thoughts
  • have a history of drug or alcohol abuse or addiction
  • have bleeding problems
  • are pregnant or plan to become pregnant. Chlordiazepoxide Hydrochloride and Clidinium Bromide Capsule may harm your unborn baby. Avoid taking Chlordiazepoxide Hydrochloride and Clidinium Bromide Capsule during the first trimester of pregnancy. Tell your healthcare provider right away if you become pregnant during treatment with Chlordiazepoxide Hydrochloride and Clidinium Bromide Capsule.
  • are breastfeeding or plan to breastfeed. Chlordiazepoxide Hydrochloride and Clidinium Bromide Capsule may pass through your breast milk and may harm your baby. Talk to your healthcare provider about the best way to feed your baby if you take Chlordiazepoxide Hydrochloride and Clidinium Bromide Capsule. Chlordiazepoxide Hydrochloride and Clidinium Bromide Capsule may decrease the amount of breast milk your body makes.

Tell your healthcare provider about all the medicines you take, including prescription and over-the- counter medicines, vitamins, and herbal supplements.

Taking Chlordiazepoxide Hydrochloride and Clidinium Bromide Capsule with certain other medicines can cause side effects or affect how well Chlordiazepoxide Hydrochloride and Clidinium Bromide Capsule or the other medicines work.

Do not start or stop other medicines without talking to your healthcare provider. Especially tell your healthcare provider if you:

  • take a monoamine oxidase inhibitor (MAOI) medicine or an anti-psychotic medicine called phenothiazine.

How should I take Chlordiazepoxide Hydrochloride and Clidinium Bromide Capsule?

  • Take Chlordiazepoxide Hydrochloride and Clidinium Bromide Capsule exactly as your healthcare provider tells you to take it.
  • Your healthcare provider may change your dose of Chlordiazepoxide Hydrochloride and Clidinium Bromide Capsule if needed. Do not change your dose of Chlordiazepoxide Hydrochloride and Clidinium Bromide Capsule or suddenly stop taking Chlordiazepoxide Hydrochloride and Clidinium Bromide Capsule without talking with your healthcare provider.
  • If you take too much Chlordiazepoxide Hydrochloride and Clidinium Bromide Capsule, call your healthcare provider or go to the nearest hospital emergency room right away.

What are the possible side effects of Chlordiazepoxide Hydrochloride and Clidinium Bromide Capsule?

Chlordiazepoxide Hydrochloride and Clidinium Bromide Capsule may cause serious side effects, including: See "What is the most important information I should know about Chlordiazepoxide Hydrochloride and Clidinium Bromide Capsule?"

  • Chlordiazepoxide Hydrochloride and Clidinium Bromide Capsule can make you sleepy or dizzy and can slow your thinking an motor skills.
    • Do not drive, operate heavy machinery, or do other dangerous activities until you know how Chlordiazepoxide Hydrochloride and Clidinium Bromide Capsule affects you.
    • Do not drink alcohol or take other drugs that may make you sleepy or dizzy while taking Chlordiazepoxide Hydrochloride and Clidinium Bromide Capsule without first talking to your healthcare provider. When taken with alcohol or drugs that cause sleepiness or dizziness, Chlordiazepoxide Hydrochloride and Clidinium Bromide Capsule may make your sleepiness or dizziness much worse.

The most common side effects of Chlordiazepoxide Hydrochloride and Clidinium Bromide Capsule include:

  • dry mouth
  • blurred vision
  • nausea
  • constipation
  • skin problems
  • swelling
  • irregular menstrual (periods) cycles
  • increase and decreased desire for sex (libido)
  • problems starting to urinate
  • drowsiness, coordination problems, and confusion may happen, especially in people who are elderly or weak

These are not all the possible side effects of Chlordiazepoxide Hydrochloride and Clidinium Bromide Capsule.

Call your doctor for medical advice about side effects. You may report side effects to FDA at 1-800- FDA-1088.

How should I store Chlordiazepoxide Hydrochloride and Clidinium Bromide Capsules?

  • Store Chlordiazepoxide Hydrochloride and Clidinium Bromide Capsule at 20º to 25°C (68º to 77°F).
  • Keep Chlordiazepoxide Hydrochloride and Clidinium Bromide Capsule and all medicines out of the reach of children.

General information about the safe and effective use of Chlordiazepoxide Hydrochloride and Clidinium Bromide Capsule.

Medicines are sometimes prescribed for purposes other than those listed in a Medication Guide. Do not use Chlordiazepoxide Hydrochloride and Clidinium Bromide Capsule for a condition for which it was not prescribed. Do not take Chlordiazepoxide Hydrochloride and Clidinium Bromide Capsule to other people, even if they have the same symptoms that you have. It may harm them. You can ask your pharmacist or healthcare provider for information about Chlordiazepoxide Hydrochloride and Clidinium Bromide Capsule that is written for health professionals.

What are the ingredients in Chlordiazepoxide Hydrochloride and Clidinium Bromide Capsule?

Active ingredient:chlordiazepoxide hydrochloride and clidinium bromide

Inactive ingredients:lactose monohydrate, pregelatinized starch, talc, ammonia solution, FC&C blue #1, FC&C red #40, FC&C yellow #6, propylene glycol, shellac, titanium dioxide, and gelatin.

Manufactured by:

Winder Laboratories LLC

Winder, Georgia

This Medication Guide has been approved by the U.S. Food and Drug Administration

RLS.134.99-1.0

Revised: 07/2022

Drug Interactions

Opioids

The concomitant use of benzodiazepines, including chlordiazepoxide hydrochloride, a component of Chlordiazepoxide Hydrochloride and Clidinium Bromide Capsule and opioids increases the risk of respiratory depression because of actions at different receptor sites in the CNS that control respiration.



Benzodiazepines interact at GABA Asites and opioids interact primarily at mu receptors. When benzodiazepines and opioids are combined, the potential for benzodiazepines to significantly worsen opioid-related respiratory depression exists. Limit dosage and duration of concomitant use of Chlordiazepoxide Hydrochloride and Clidinium Bromide Capsule and opioids, and follow patients closely for respiratory depression and sedation.

Oral Anticoagulants

Although clinical studies have not established a cause and effect relationship, physicians should be aware that variable effects on blood coagulation have been reported very rarely in patients receiving oral anticoagulants and chlordiazepoxide hydrochloride, a component of Chlordiazepoxide Hydrochloride and Clidinium Bromide Capsule.

Adverse Reactions: (ADVERSE REACTIONS:)

No side effects or manifestations not seen with either compound alone have been reported with the administration of Chlordiazepoxide Hydrochloride and Clidinium Bromide Capsules. However, since Chlordiazepoxide Hydrochloride and Clidinium Bromide Capsule contains chlordiazepoxide hydrochloride and clidinium bromide, the possibility of untoward effects which may be seen with either of these two compounds cannot be excluded.

When chlordiazepoxide hydrochloride has been used alone the necessity of discontinuing therapy because of undesirable effects has been rare. Drowsiness, ataxia and confusion have been reported in some patients — particularly the elderly and debilitated. While these effects can be avoided in almost all instances by proper dosage adjustment, they have occasionally been observed at the lower dosage ranges. In a few instances syncope has been reported.

Other adverse reactions reported during therapy with chlordiazepoxide hydrochloride include isolated instances of skin eruptions, edema, minor menstrual irregularities, nausea and constipation, extrapyramidal symptoms, as well as increased and decreased libido. Such side effects have been infrequent and are generally controlled with reduction of dosage. Changes in EEG patterns (low-voltage fast activity) have been observed in patients during and after chlordiazepoxide hydrochloride treatment.

Blood dyscrasias, including agranulocytosis, jaundice and hepatic dysfunction have occasionally been reported during therapy with chlordiazepoxide hydrochloride. When chlordiazepoxide hydrochloride treatment is protracted, periodic blood counts and liver function tests are advisable.

Adverse effects reported with use of Chlordiazepoxide Hydrochloride and Clidinium Bromide Capsules are those typical of anticholinergic agents, i.e., dryness of the mouth, blurring of vision, urinary hesitancy and constipation. Constipation has occurred most often when Chlordiazepoxide Hydrochloride and Clidinium Bromide Capsule therapy has been combined with other spasmolytic agents and/or a low residue diet.

To report SUSPECTED ADVERSE REACTIONS, contact Winder Laboratories LLC at 1-770-307-0703 or FDA at 1-800-FDA-1088 or www.fda.gov/medwatch.

Contraindications: (CONTRAINDICATIONS:)

Chlordiazepoxide Hydrochloride and Clidinium Bromide Capsule is contraindicated in the presence of glaucoma (since the anticholinergic component may produce some degree of mydriasis) and in patients with prostatic hypertrophy and benign bladder neck obstruction. It is contraindicated in patients with known hypersensitivity to Chlordiazepoxide hydrochloride and/or clidinium bromide.

Usage in Pregnancy

An increased risk of congenital malformations associated with the use of minor tranquilizers (chlordiazepoxide, diazepam and meprobamate) during the first trimester of pregnancy has been suggested in several studies. Because use of these drugs is rarely a matter of urgency, their use during this period should almost always be avoided. The possibility that a woman of childbearing potential may be pregnant at the time of institution of therapy should be considered. Patients should be advised that if they become pregnant during therapy or intend to become pregnant they should communicate with their physicians about the desirability of discontinuing the drug.

As with all anticholinergic drugs, an inhibiting effect on lactation may occur (see ANIMAL PHARMACOLOGY ).

Animal Pharmacology: (ANIMAL PHARMACOLOGY:)

Chlordiazepoxide hydrochloride has been studied extensively in many species of animals and these studies are suggestive of action on the limbic system of the brain, which recent evidence indicates is involved in emotional responses. Hostile monkeys were made tame by oral drug doses, which did not cause sedation. Chlordiazepoxide hydrochloride revealed a "taming-action with the elimination of fear and aggression". The taming effect of chlordiazepoxide hydrochloride was further demonstrated in rats made vicious by lesions in the septal area of the brain. The drug dosage which effectively blocked the vicious reaction was well below the dose which caused sedation in these animals.

The oral LD 50of single doses of chlordiazepoxide hydrochloride, calculated according to the method of Miller and Tainter, is 720 ± 51 mg/kg as determined in mice observed over a period of 5 days following dosage.

Clidinium bromide is an effective anticholinergic agent with activity approximating that of atropine sulfate against acetylcholine-induced spasms in isolated intestinal strips. On oral administration in mice, it proved an effective antisialagogue in preventing pilocarpine-induced salivation. Spontaneous intestinal motility in both rats and dogs is reduced following oral dosing with 0.1 to 0.25 mg/kg. Potent cholinergic ganglionic blocking effects (vagal) were produced with intravenous usage in anesthetized dogs.

Oral doses of 2.5 mg/kg to dogs produced signs of nasal dryness and slight pupillary dilation. In two other species, monkeys and rabbits, doses of 5 mg/kg, po, given three times daily for 5 days did not produce apparent secretory or visual changes.

The oral LD 50of single doses of clidinium bromide is 860 ± 57 mg/kg as determined in mice observed over a period of 5 days following dosage; the calculations were made according to the method of Miller and Tainter.

Indications and Usage: (INDICATIONS AND USAGE:)

Chlordiazepoxide Hydrochloride and Clidinium Bromide Capsule is indicated to control emotional and somatic factors in gastrointestinal disorders. Chlordiazepoxide Hydrochloride and Clidinium Bromide Capsule may also be used as adjunctive therapy in the treatment of peptic ulcer and in the treatment of the irritable bowel syndrome (irritable colon, spastic colon, mucous colitis) and acute enterocolitis.

Effects On Reproduction: (Effects on Reproduction:)

Reproduction studies in rats fed chlordiazepoxide hydrochloride, 10, 20 and 80 mg/kg daily, and bred through one or two matings showed no congenital anomalies, nor were there adverse effects on lactation of the dams or growth of the newborn. However, in another study at 100 mg/kg daily there was noted a significant decrease in the fertilization rate and a marked decrease in the viability and body weight of offspring which may be attributable to sedative activity, thus resulting in lack of interest in mating and lessened maternal nursing and care of the young. One neonate in each of the first and second matings in the rat reproduction study at the 100 mg/kg dose exhibited major skeletal defects. Further studies are in progress to determine the significance of these findings.

Two series of reproduction experiments with clidinium bromide were carried out in rats, employing dosages of 2.5 and 10 mg/kg daily in each experiment. In the first experiment, clidinium bromide was administered for a 9-week interval prior to mating; no untoward effect on fertilization or gestation was noted. The offspring were taken by caesarean section and did not show a significant incidence of congenital anomalies when compared to control animals. In the second experiment, adult animals were given clidinium bromide for 10 days prior to and through two mating cycles. No significant effects were observed on fertility, gestation, viability of offspring or lactation, as compared to control animals, nor was there a significant incidence of congenital anomalies in the offspring derived from these experiments.

A reproduction study of Chlordiazepoxide Hydrochloride and Clidinium Bromide Capsule was carried out in rats through two successive matings. Oral daily doses were administered in two concentrations: 2.5 mg/kg chlordiazepoxide hydrochloride with 1.25 mg/kg clidinium bromide or 25 mg/kg chlordiazepoxide hydrochloride with 12.5 mg/kg clidinium bromide. In the first mating, no significant differences were noted between the control or the treated groups, with the exception of a slight decrease in the number of animals surviving during lactation among those receiving the highest dosage. As with all anticholinergic drugs, an inhibiting effect on lactation may occur. In the second mating, similar results were obtained except for a slight decrease in the number of pregnant females and in the percentage of offspring surviving until weaning. No congenital anomalies were observed in both matings in either the control or treated groups. Additional animal reproduction studies are in progress.

Information for Patients

Abuse, Misuse, and Addiction

Inform patients that the use of Chlordiazepoxide Hydrochloride and Clidinium Bromide Capsule, even at recommended dosages, exposes users to risks of abuse, misuse, and addiction, which can lead to overdose and death, especially when used in combination with other medications (e.g., opioid analgesics), alcohol, and/or illicit substances .Inform patients about the signs and symptoms of benzodiazepine abuse, misuse, and addiction; to seek medical help if they develop these signs and/or symptoms; and on the proper disposal of unused drug (see WARNINGS ) .

Withdrawal Reactions

Inform patients that the continued use of Chlordiazepoxide Hydrochloride and Clidinium Bromide Capsule may lead to clinically significant physical dependence and that abrupt discontinuation or rapid dosage reduction of Chlordiazepoxide Hydrochloride and Clidinium Bromide Capsule may precipitate acute withdrawal reactions, which can be life-threatening. Inform patients that in some cases, patients taking benzodiazepines have developed a protracted withdrawal syndrome with withdrawal symptoms lasting weeks to more than 12 months. Instruct patients that discontinuation or dosage reduction of Chlordiazepoxide Hydrochloride and Clidinium Bromide Capsule may require a slow taper (see WARNINGS  and  DRUG ABUSE AND DEPENDENCE ) .

Concomitant Use With Opioids and Other CNS Depressants

Inform patients and caregivers that potentially fatal additive effects may occur if Chlordiazepoxide Hydrochloride and Clidinium Bromide Capsule is used with opioids or other CNS depressants, including alcohol, and not to use these concomitantly unless supervised by a health care provider (see WARNINGS  and  PRECAUTIONS , Drug Interactions ).

Drug Abuse and Dependence (DRUG ABUSE AND DEPENDENCE)

Controlled Substance

Chlordiazepoxide Hydrochloride and Clidinium Bromide Capsules contains chlordiazepoxide hydrochloride, a Schedule IV controlled substance and clidinium bromide, which is not a controlled substance. Chlordiazepoxide Hydrochloride and Clidinium Bromide Capsules is exempted from Schedule IV and is not controlled under the Controlled Substances Act.

Abuse

Chlordiazepoxide hydrochloride, a component of Chlordiazepoxide Hydrochloride and Clidinium Bromide Capsules, is a CNS depressant with a potential for abuse and addiction. Abuse is the intentional, non-therapeutic use of a drug, even once, for its desirable psychological or physiological effects. Misuse is the intentional use, for therapeutic purposes, of a drug by an individual in a way other than prescribed by a health care provider or for whom it was not prescribed. Drug addiction is a cluster of behavioral, cognitive, and physiological phenomena that may include a strong desire to take the drug, difficulties in controlling drug use (e.g., continuing drug use despite harmful consequences, giving a higher priority to drug use than other activities and obligations), and possible tolerance or physical dependence. Even taking benzodiazepines as prescribed may put patients at risk for abuse and misuse of their medication. Abuse and misuse of benzodiazepines may lead to addiction.



Abuse and misuse of benzodiazepines often (but not always) involve the use of doses greater than the maximum recommended dosage and commonly involve concomitant use of other medications, alcohol, and/or illicit substances, which is associated with an increased frequency of serious adverse outcomes, including respiratory depression, overdose, or death. Benzodiazepines are often sought by individuals who abuse drugs and other substances, and by individuals with addictive disorders (see WARNINGS ).



The following adverse reactions have occurred with benzodiazepine abuse and/or misuse: abdominal pain, amnesia, anorexia, anxiety, aggression, ataxia, blurred vision, confusion, depression, disinhibition, disorientation, dizziness, euphoria, impaired concentration and memory, indigestion, irritability, muscle pain, slurred speech, tremors, and vertigo.



The following severe adverse reactions have occurred with benzodiazepine abuse and/or misuse: delirium, paranoia, suicidal ideation and behavior, seizures, coma, breathing difficulty, and death. Death is more often associated with polysubstance use (especially benzodiazepines with other CNS depressants such as opioids and alcohol).

Dependence

Physical Dependence

Chlordiazepoxide Hydrochloride and Clidinium Bromide Capsules may produce physical dependence from continued therapy. Physical dependence is a state that develops as a result of physiological adaptation in response to repeated drug use, manifested by withdrawal signs and symptoms after abrupt discontinuation or a significant dose reduction of a drug. Abrupt discontinuation or rapid dosage reduction of benzodiazepines or administration of flumazenil, a benzodiazepine antagonist, may precipitate acute withdrawal reactions, including seizures, which can be life-threatening. Patients at an increased risk of withdrawal adverse reactions after benzodiazepine discontinuation or rapid dosage reduction include those who take higher dosages (i.e., higher and/or more frequent doses) and those who have had longer durations of use (see WARNINGS ).



To reduce the risk of withdrawal reactions, use a gradual taper to discontinue Chlordiazepoxide Hydrochloride and Clidinium Bromide Capsule or reduce the dosage (see WARNINGS   and DOSAGE AND ADMININSTRATION ).

Acute Withdrawal Signs and Symptoms

Acute withdrawal signs and symptoms associated with benzodiazepines have included abnormal involuntary movements, anxiety, blurred vision, depersonalization, depression, derealization, dizziness, fatigue, gastrointestinal adverse reactions (e.g., nausea, vomiting, diarrhea, weight loss, decreased appetite), headache, hyperacusis, hypertension, irritability, insomnia, memory impairment, muscle pain and stiffness, panic attacks, photophobia, restlessness, tachycardia, and tremor. More severe acute withdrawal signs and symptoms, including life-threatening reactions, have included catatonia, convulsions, delirium tremens, depression, hallucinations, mania, psychosis, seizures and suicidality.

Protracted Withdrawal Syndrome

Protracted withdrawal syndrome associated with benzodiazepines is characterized by anxiety, cognitive impairment, depression, insomnia, formication, motor symptoms (e.g., weakness, tremor, muscle twitches), paresthesia, and tinnitus that persists beyond 4 to 6 weeks after initial benzodiazepine withdrawal. Protracted withdrawal symptoms may last weeks to more than 12 months. As a result, there may be difficulty in differentiating withdrawal symptoms from potential re-emergence or continuation of symptoms for which the benzodiazepine was being used.

Tolerance

Tolerance to Chlordiazepoxide Hydrochloride and Clidinium Bromide Capsules may develop from continued therapy. Tolerance is a physiological state characterized by a reduced response to a drug after repeated administration (i.e., a higher dose of a drug is required to produce the same effect that was once obtained at a lower dose). Tolerance to the therapeutic effects of Chlordiazepoxide Hydrochloride and Clidinium Bromide Capsule may develop; however, little tolerance develops to the amnestic reactions and other cognitive impairments caused by benzodiazepines.

Dosage and Administration: (DOSAGE AND ADMINISTRATION:)

Recommended Dosage

Because of the varied individual responses to tranquilizers and anticholinergics, the optimum dosage of Chlordiazepoxide Hydrochloride and Clidinium Bromide Capsule varies with the diagnosis and response of the individual patient. The dosage, therefore, should be individualized for maximum beneficial effects. The usual maintenance dose is 1 or 2 capsules, 3 or 4 times a day administered before meals and at bedtime.

Recommended Geriatric Dosage

Dosage should be limited to the smallest effective amount to preclude the development of ataxia, oversedation or confusion. The initial dose should not exceed 2 Chlordiazepoxide Hydrochloride and Clidinium Bromide capsules per day, to be increased gradually as needed and tolerated. Elderly patients have an increased risk of dose-related adverse reactions (See PRECAUTIONS )

Discontinuation or Dosage Reduction of Chlordiazepoxide Hydrochloride and Clidinium Bromide Capsule

To reduce the risk of withdrawal reactions, use a gradual taper to discontinue Chlordiazepoxide Hydrochloride and Clidinium Bromide Capsule or reduce the dosage. If a patient develops withdrawal reactions, consider pausing the taper or increasing the dosage to the previous tapered dosage level. Subsequently decrease the dosage more slowly (see WARNINGS   and DRUG ABUSE AND DEPENDENCE ).

Principal Display Panel 100 Capsule Bottle Label (PRINCIPAL DISPLAY PANEL - 100 Capsule Bottle Label)

NDC 75826-134-10

Rx Only

Chlordiazepoxide HCl

and Clidinium Bromide

Capsules, USP

5 mg/2.5 mg *

Dispense the Medication Guide

provided separately to each patient

100 Capsules

Warning: Risks From Concomitant Use With Opioids; Abuse, Misuse, and Addiction; and Dependence and Withdrawal Reactions (WARNING: RISKS FROM CONCOMITANT USE WITH OPIOIDS; ABUSE, MISUSE, AND ADDICTION; and DEPENDENCE AND WITHDRAWAL REACTIONS)
  • Concomitant use of benzodiazepines and opioids may result in profound sedation, respiratory depression, coma, and death. Reserve concomitant prescribing of these drugs in patients for whom alternative treatment options are inadequate. Limit dosages and durations to the minimum required. Follow patients for signs and symptoms of respiratory depression and sedation (see WARNINGSand PRECAUTIONSand PRECAUTIONS, Drug Interactions).
  • The use of benzodiazepines, including chlordiazepoxide hydrochloride, a component of Chlordiazepoxide Hydrochloride and Clidinium Bromide Capsule, exposes users to risks of abuse, misuse, and addiction, which can lead to overdose or death. Abuse and misuse of benzodiazepines commonly involve concomitant use of other medications, alcohol, and/or illicit substances, which is associated with an increased frequency of serious adverse outcomes. Before prescribing Chlordiazepoxide Hydrochloride and Clidinium Bromide Capsule and throughout treatment, assess each patient’s risk for abuse, misuse, and addiction (see WARNINGS).
  • The continued use of benzodiazepines, including Chlordiazepoxide Hydrochloride and Clidinium Bromide Capsule, may lead to clinically significant physical dependence. The risks of dependence and withdrawal increase with longer treatment duration and higher daily dose. Abrupt discontinuation or rapid dosage reduction of Chlordiazepoxide Hydrochloride and Clidinium Bromide Capsule after continued use may precipitate acute withdrawal reactions, which can be life-threatening. To reduce the risk of withdrawal reactions, use a gradual taper to discontinue Chlordiazepoxide Hydrochloride and Clidinium Bromide Capsule or reduce the dosage (see WARNINGSand DOSAGE AND ADMINISTRATION).

Advanced Ingredient Data


Raw Label Data

All Sections (JSON)