These Highlights Do Not Include All The Information Needed To Use Valproic Acid Capsules Safely And Effectively. See Full Prescribing Information For Valproic Acid Capsules.

These Highlights Do Not Include All The Information Needed To Use Valproic Acid Capsules Safely And Effectively. See Full Prescribing Information For Valproic Acid Capsules.
SPL v10
SPL
SPL Set ID 8785a152-3010-4370-aaf5-11315a1a56e1
Route
ORAL
Published
Effective Date 2025-06-04
Document Type 34391-3 HUMAN PRESCRIPTION DRUG LABEL

Drug Facts

Composition & Product

Active Ingredients
Valproic Acid (250 mg)
Inactive Ingredients
Corn Oil Gelatin Glycerin Water Titanium Dioxide Fd&c Blue No. 1

Identifiers & Packaging

Pill Appearance
Imprint: PA2120 Shape: oval Color: white Size: 19 mm Score: 1
Marketing Status
ANDA Active Since 2016-07-15

Description

Hepatotoxicity General Population: H e p atic failure resulting in fatalities has occurred in patients receiving valproate and its derivatives. These incidents usually have occurred during the first six months of treatment. Serious or fatal hepatotoxicity may be preceded by non-specific symptoms such as malaise, weakness, lethargy, facial edema, anorexia, and vomiting. In patients with epilepsy, a loss of seizure control may also occur. Patients should be monitored closely for appearance of these symptoms. Serum liver tests should be performed prior to therapy and at frequent intervals thereafter, especially during the first six months [see Warnings and Precautions ( 5.1 )] . Children under the age of two years are at a considerably increased risk of developing fatal hepatotoxicity, especially those on multiple anticonvulsants, those with congenital  metabolic disorders, those with severe seizure disorders accompanied by mental retardation, and those with organic brain disease. When Valproic Acid Capsules are used in this patient group, they should be used with extreme caution and as a sole agent. The benefits of therapy should be weighed against the risks. The incidence of fatal hepatotoxicity decreases considerably in progressively older patient groups. Patients with Mitochondrial Disease: There is an increased risk of valproate-induced acute liver failure and resultant deaths in patients with hereditary neurometabolic syndromes caused by DNA mutations of the mitochondrial DNA Polymerase γ (POLG) gene (e.g. Alpers Huttenlocher Syndrome). Valproic Acid Capsules are contraindicated in patients known to have mitochondrial disorders caused by POLG mutations and children under two years of age who are clinically suspected of having a mitochondrial disorder [see Contraindications ( 4 )] . In patients over two years of age who are clinically suspected of having a hereditary mitochondrial disease, Valproic Acid Capsules should only be used after other anticonvulsants have failed. This older group of patients should be closely monitored during treatment with Valproic Acid Capsules for the development of acute liver injury with regular clinical assessments and serum liver testing. POLG mutation screening should be performed in accordance with current clinical practice [see Warnings and Precautions ( 5.1 )] . F e t al Risk Valproate can cause major congenital malformations, particularly neural tube defects (e.g., spina bifida). In addition, valproate can cause decreased IQ scores and neurodevelopmental disorders following in utero exposure. Valproate is therefore contraindicated for prophylaxis of migraine headaches in pregnant women and in women of childbearing potential who are not using effective contraception [see Contraindications ( 4 )] . Valproate should not be used to treat women with epilepsy or bipolar disorder who are pregnant or who plan to become pregnant unless other medications have failed to provide adequate symptom control or are otherwise unacceptable. Valproate should not be administered to a woman of childbearing potential unless other medications have failed to provide adequate symptom control or are otherwise unacceptable. In such situations, effective contraception should be used [see Warnings and Precautions ( 5.2 , 5.3 , 5.4 ) ] . A Medication Guide describing the risks of valproate is available for patients [see Patient Counseling Information ( 17 )] . P ancreatitis Cases of life-threatening pancreatitis have been reported in both children and adults receiving valproate. Some of the cases have been described as hemorrhagic with a rapid progression from initial symptoms to death. Cases have been reported shortly after initial use as well as after several years of use. Patients and guardians should be warned that abdominal pain, nausea, vomiting, and/or anorexia can be symptoms of pancreatitis that require prompt medical evaluation. If pancreatitis is diagnosed, valproate should ordinarily be discontinued. Alternative treatment for the underlying medical condition should be initiated as clinically indicated [see Warnings and Precautions ( 5.5 )] .

Indications and Usage

Valproic Acid Capsules are indicated for: Monotherapy and adjunctive therapy of complex partial seizures; sole and adjunctive therapy of simple and complex absence seizures; adjunctive therapy in patients with multiple seizure types that include absence seizures ( 1 )

Dosage and Administration

Valproic Acid Capsules are intended for oral administration. ( 2.1 ) Simple and Complex Absence Seizures: Start at 10 to 15 mg/kg/day, increasing at 1-week intervals by 5 to 10 mg/kg/week until seizure control or limiting side effects ( 2.1 ) Safety of doses above 60 mg/kg/day is not established ( 2.1 , 2.2 )

Warnings and Precautions

Hepatotoxicity; evaluate high risk populations and monitor serum liver tests ( 5.1 ) Birth defects, decreased IQ, and neurodevelopmental disorders following in utero exposure; should not be used to treat women with epilepsy or bipolar disorder who are pregnant or who plan to become pregnant or to treat a woman of childbearing potential unless other medications have failed to provide adequate symptom control or are otherwise unacceptable ( 5.2 , 5.3 , 5.4 ) Pancreatitis; valproic acid should ordinarily be discontinued ( 5.5 ) Suicidal behavior or ideation; Antiepileptic drugs, including valproic acid, increase the risk of suicidal thoughts or behavior ( 5.7 ) Bleeding and other hematopoietic disorders; monitor platelet counts and coagulation tests ( 5.8 ) Hyperammonemia and hyperammonemic encephalopathy; measure ammonia level if unexplained lethargy and vomiting or changes in mental status, and also with concomitant topiramate use; consider discontinuation of valproate therapy ( 5.6 , 5.9 , 5.10 ) Hypothermia; Hypothermia has been reported during valproate therapy with or without associated hyperammonemia. This adverse reaction can also occur in patients using concomitant topiramate ( 5.11 ) Drug Reaction with Eosinophilia and Systemic Symptoms (DRESS)/Multiorgan hypersensitivity reaction; discontinue valproic acid ( 5.12 ) Somnolence in the elderly can occur. Valproic acid dosage should be increased slowly and with regular monitoring for fluid and nutritional intake ( 5.14 )

Contraindications

Valproic Acid Capsules should not be administered to patients with hepatic disease or significant hepatic dysfunction [see Warnings and Precautions ( 5.1 )] . Valproic Acid is contraindicated in patients known to have mitochondrial disorders caused by mutations in mitochondrial DNA polymerase γ (POLG; e.g., Alpers-Huttenlocher Syndrome) and children under two years of age who are suspected of having a POLG-related disorder [see Warnings and Precautions ( 5.1 )] . Valproic Acid is contraindicated in patients with known hypersensitivity to the drug [see Warnings and Precautions ( 5.12 )] . Valproic Acid is contraindicated in patients with known urea cycle disorders [see Warnings and Precautions ( 5.6 )] . For use in prophylaxis of migraine headaches: Valproic Acid is contraindicated in women who are pregnant and in women of childbearing potential who are not using effective contraception  [see Warnings and Precautions ( 5.2, 5.3 , 5.4 ) and Use in Specific Populations ( 8.1 )] .

Adverse Reactions

The following serious adverse reactions are described below and elsewhere in the labeling: Hepatic failure [see Warnings and Precautions ( 5.1 )] Birth defects [see Warnings and Precautions ( 5.2 )] Decreased IQ following in utero exposure [see Warnings and Precautions ( 5.3 )] Pancreatitis [see Warnings and Precautions ( 5.5 )] Hyperammonemic encephalopathy [see Warnings and Precautions ( 5.6 , 5.9 , 5.10 )] Suicidal behavior and ideation [see Warnings and Precautions ( 5.7 )] Bleeding and other hematopoietic disorders [see Warnings and Precautions ( 5.8 )] Hypothermia [see Warnings and Precautions ( 5.11 )] Drug Reaction with Eosinophilia and Systemic Symptoms (DRESS)/Multiorgan hypersensitivity reactions [see Warnings and Precautions ( 5.12 )] Somnolence in the elderly [see Warnings and Precautions ( 5.14 )] Because clinical studies are conducted under widely varying conditions, adverse reaction rates observed in the clinical studies of a drug cannot be directly compared to rates in the clinical studies of another drug and may not reflect the rates observed in practice.

Drug Interactions

Hepatic enzyme-inducing drugs (e.g., phenytoin, carbamazepine, phenobarbital, primidone, rifampin) can increase valproate clearance, while enzyme inhibitors (e.g., felbamate) can decrease valproate clearance. Therefore increased monitoring of valproate and concomitant drug concentrations and dosage adjustment are indicated whenever enzyme-inducing or inhibiting drugs are introduced or withdrawn ( 7.1 ) Aspirin, carbapenem antibiotics, estrogen-containing hormonal contraceptives: Monitoring of valproate concentrations is recommended ( 7.1 ) Co-administration of valproate can affect the pharmacokinetics of other drugs (e.g. diazepam, ethosuximide, lamotrigine, phenytoin) by inhibiting their metabolism or protein binding displacement ( 7.2 ) Patients stabilized on rufinamide should begin valproate therapy at a low dose, and titrate to clinically effective dose ( 7.2 ) Dosage adjustment of amitriptyline/nortriptyline, propofol, warfarin, and zidovudine may be necessary if used concomitantly with Valproic Acid Capsules ( 7.2 ) Topiramate: Hyperammonemia and encephalopathy ( 5.10 , 7.3 )

Storage and Handling

Each white, oblong soft-gelatin capsule is imprinted PA2120, contains 250 mg valproic acid in blistercards of 30’s (NDC # 0615-8205-39). The softgels should be protected from moisture and humidity and stored between 59 to 77°F (15 to 25°C) as per the container label. Dispense in a tight, light-resistant container as defined in the USP/NF. Maalox ® is a registered trademark of Novartis Consumer Health Canada Inc. Titralac™ is a registered trademark of 3M. Depakote ® is a registered trademark of Abbott Laboratories.

How Supplied

Each white, oblong soft-gelatin capsule is imprinted PA2120, contains 250 mg valproic acid in blistercards of 30’s (NDC # 0615-8205-39). The softgels should be protected from moisture and humidity and stored between 59 to 77°F (15 to 25°C) as per the container label. Dispense in a tight, light-resistant container as defined in the USP/NF. Maalox ® is a registered trademark of Novartis Consumer Health Canada Inc. Titralac™ is a registered trademark of 3M. Depakote ® is a registered trademark of Abbott Laboratories.


Medication Information

Warnings and Precautions

Hepatotoxicity; evaluate high risk populations and monitor serum liver tests ( 5.1 ) Birth defects, decreased IQ, and neurodevelopmental disorders following in utero exposure; should not be used to treat women with epilepsy or bipolar disorder who are pregnant or who plan to become pregnant or to treat a woman of childbearing potential unless other medications have failed to provide adequate symptom control or are otherwise unacceptable ( 5.2 , 5.3 , 5.4 ) Pancreatitis; valproic acid should ordinarily be discontinued ( 5.5 ) Suicidal behavior or ideation; Antiepileptic drugs, including valproic acid, increase the risk of suicidal thoughts or behavior ( 5.7 ) Bleeding and other hematopoietic disorders; monitor platelet counts and coagulation tests ( 5.8 ) Hyperammonemia and hyperammonemic encephalopathy; measure ammonia level if unexplained lethargy and vomiting or changes in mental status, and also with concomitant topiramate use; consider discontinuation of valproate therapy ( 5.6 , 5.9 , 5.10 ) Hypothermia; Hypothermia has been reported during valproate therapy with or without associated hyperammonemia. This adverse reaction can also occur in patients using concomitant topiramate ( 5.11 ) Drug Reaction with Eosinophilia and Systemic Symptoms (DRESS)/Multiorgan hypersensitivity reaction; discontinue valproic acid ( 5.12 ) Somnolence in the elderly can occur. Valproic acid dosage should be increased slowly and with regular monitoring for fluid and nutritional intake ( 5.14 )

Indications and Usage

Valproic Acid Capsules are indicated for: Monotherapy and adjunctive therapy of complex partial seizures; sole and adjunctive therapy of simple and complex absence seizures; adjunctive therapy in patients with multiple seizure types that include absence seizures ( 1 )

Dosage and Administration

Valproic Acid Capsules are intended for oral administration. ( 2.1 ) Simple and Complex Absence Seizures: Start at 10 to 15 mg/kg/day, increasing at 1-week intervals by 5 to 10 mg/kg/week until seizure control or limiting side effects ( 2.1 ) Safety of doses above 60 mg/kg/day is not established ( 2.1 , 2.2 )

Contraindications

Valproic Acid Capsules should not be administered to patients with hepatic disease or significant hepatic dysfunction [see Warnings and Precautions ( 5.1 )] . Valproic Acid is contraindicated in patients known to have mitochondrial disorders caused by mutations in mitochondrial DNA polymerase γ (POLG; e.g., Alpers-Huttenlocher Syndrome) and children under two years of age who are suspected of having a POLG-related disorder [see Warnings and Precautions ( 5.1 )] . Valproic Acid is contraindicated in patients with known hypersensitivity to the drug [see Warnings and Precautions ( 5.12 )] . Valproic Acid is contraindicated in patients with known urea cycle disorders [see Warnings and Precautions ( 5.6 )] . For use in prophylaxis of migraine headaches: Valproic Acid is contraindicated in women who are pregnant and in women of childbearing potential who are not using effective contraception  [see Warnings and Precautions ( 5.2, 5.3 , 5.4 ) and Use in Specific Populations ( 8.1 )] .

Adverse Reactions

The following serious adverse reactions are described below and elsewhere in the labeling: Hepatic failure [see Warnings and Precautions ( 5.1 )] Birth defects [see Warnings and Precautions ( 5.2 )] Decreased IQ following in utero exposure [see Warnings and Precautions ( 5.3 )] Pancreatitis [see Warnings and Precautions ( 5.5 )] Hyperammonemic encephalopathy [see Warnings and Precautions ( 5.6 , 5.9 , 5.10 )] Suicidal behavior and ideation [see Warnings and Precautions ( 5.7 )] Bleeding and other hematopoietic disorders [see Warnings and Precautions ( 5.8 )] Hypothermia [see Warnings and Precautions ( 5.11 )] Drug Reaction with Eosinophilia and Systemic Symptoms (DRESS)/Multiorgan hypersensitivity reactions [see Warnings and Precautions ( 5.12 )] Somnolence in the elderly [see Warnings and Precautions ( 5.14 )] Because clinical studies are conducted under widely varying conditions, adverse reaction rates observed in the clinical studies of a drug cannot be directly compared to rates in the clinical studies of another drug and may not reflect the rates observed in practice.

Drug Interactions

Hepatic enzyme-inducing drugs (e.g., phenytoin, carbamazepine, phenobarbital, primidone, rifampin) can increase valproate clearance, while enzyme inhibitors (e.g., felbamate) can decrease valproate clearance. Therefore increased monitoring of valproate and concomitant drug concentrations and dosage adjustment are indicated whenever enzyme-inducing or inhibiting drugs are introduced or withdrawn ( 7.1 ) Aspirin, carbapenem antibiotics, estrogen-containing hormonal contraceptives: Monitoring of valproate concentrations is recommended ( 7.1 ) Co-administration of valproate can affect the pharmacokinetics of other drugs (e.g. diazepam, ethosuximide, lamotrigine, phenytoin) by inhibiting their metabolism or protein binding displacement ( 7.2 ) Patients stabilized on rufinamide should begin valproate therapy at a low dose, and titrate to clinically effective dose ( 7.2 ) Dosage adjustment of amitriptyline/nortriptyline, propofol, warfarin, and zidovudine may be necessary if used concomitantly with Valproic Acid Capsules ( 7.2 ) Topiramate: Hyperammonemia and encephalopathy ( 5.10 , 7.3 )

Storage and Handling

Each white, oblong soft-gelatin capsule is imprinted PA2120, contains 250 mg valproic acid in blistercards of 30’s (NDC # 0615-8205-39). The softgels should be protected from moisture and humidity and stored between 59 to 77°F (15 to 25°C) as per the container label. Dispense in a tight, light-resistant container as defined in the USP/NF. Maalox ® is a registered trademark of Novartis Consumer Health Canada Inc. Titralac™ is a registered trademark of 3M. Depakote ® is a registered trademark of Abbott Laboratories.

How Supplied

Each white, oblong soft-gelatin capsule is imprinted PA2120, contains 250 mg valproic acid in blistercards of 30’s (NDC # 0615-8205-39). The softgels should be protected from moisture and humidity and stored between 59 to 77°F (15 to 25°C) as per the container label. Dispense in a tight, light-resistant container as defined in the USP/NF. Maalox ® is a registered trademark of Novartis Consumer Health Canada Inc. Titralac™ is a registered trademark of 3M. Depakote ® is a registered trademark of Abbott Laboratories.

Description

Hepatotoxicity General Population: H e p atic failure resulting in fatalities has occurred in patients receiving valproate and its derivatives. These incidents usually have occurred during the first six months of treatment. Serious or fatal hepatotoxicity may be preceded by non-specific symptoms such as malaise, weakness, lethargy, facial edema, anorexia, and vomiting. In patients with epilepsy, a loss of seizure control may also occur. Patients should be monitored closely for appearance of these symptoms. Serum liver tests should be performed prior to therapy and at frequent intervals thereafter, especially during the first six months [see Warnings and Precautions ( 5.1 )] . Children under the age of two years are at a considerably increased risk of developing fatal hepatotoxicity, especially those on multiple anticonvulsants, those with congenital  metabolic disorders, those with severe seizure disorders accompanied by mental retardation, and those with organic brain disease. When Valproic Acid Capsules are used in this patient group, they should be used with extreme caution and as a sole agent. The benefits of therapy should be weighed against the risks. The incidence of fatal hepatotoxicity decreases considerably in progressively older patient groups. Patients with Mitochondrial Disease: There is an increased risk of valproate-induced acute liver failure and resultant deaths in patients with hereditary neurometabolic syndromes caused by DNA mutations of the mitochondrial DNA Polymerase γ (POLG) gene (e.g. Alpers Huttenlocher Syndrome). Valproic Acid Capsules are contraindicated in patients known to have mitochondrial disorders caused by POLG mutations and children under two years of age who are clinically suspected of having a mitochondrial disorder [see Contraindications ( 4 )] . In patients over two years of age who are clinically suspected of having a hereditary mitochondrial disease, Valproic Acid Capsules should only be used after other anticonvulsants have failed. This older group of patients should be closely monitored during treatment with Valproic Acid Capsules for the development of acute liver injury with regular clinical assessments and serum liver testing. POLG mutation screening should be performed in accordance with current clinical practice [see Warnings and Precautions ( 5.1 )] . F e t al Risk Valproate can cause major congenital malformations, particularly neural tube defects (e.g., spina bifida). In addition, valproate can cause decreased IQ scores and neurodevelopmental disorders following in utero exposure. Valproate is therefore contraindicated for prophylaxis of migraine headaches in pregnant women and in women of childbearing potential who are not using effective contraception [see Contraindications ( 4 )] . Valproate should not be used to treat women with epilepsy or bipolar disorder who are pregnant or who plan to become pregnant unless other medications have failed to provide adequate symptom control or are otherwise unacceptable. Valproate should not be administered to a woman of childbearing potential unless other medications have failed to provide adequate symptom control or are otherwise unacceptable. In such situations, effective contraception should be used [see Warnings and Precautions ( 5.2 , 5.3 , 5.4 ) ] . A Medication Guide describing the risks of valproate is available for patients [see Patient Counseling Information ( 17 )] . P ancreatitis Cases of life-threatening pancreatitis have been reported in both children and adults receiving valproate. Some of the cases have been described as hemorrhagic with a rapid progression from initial symptoms to death. Cases have been reported shortly after initial use as well as after several years of use. Patients and guardians should be warned that abdominal pain, nausea, vomiting, and/or anorexia can be symptoms of pancreatitis that require prompt medical evaluation. If pancreatitis is diagnosed, valproate should ordinarily be discontinued. Alternative treatment for the underlying medical condition should be initiated as clinically indicated [see Warnings and Precautions ( 5.5 )] .

Section 42229-5

Absorption/Bioavailability

Equivalent oral doses of Depakote (divalproex sodium) products and Valproic Acid Capsules deliver equivalent quantities of valproate ion systemically. Although the rate of valproate ion absorption may vary with the formulation administered (liquid, solid, or sprinkle), conditions of use (e.g., fasting or postprandial) and the method of administration (e.g., whether the contents of the capsule are sprinkled on food or the capsule is taken intact), these differences should be of minor clinical importance under the steady state conditions achieved in chronic use in the treatment of epilepsy.

However, it is possible that differences among the various valproate products in T maxand C maxcould be important upon initiation of treatment. For example, in single dose studies, the effect of feeding had a greater influence on the rate of absorption of the Depakote tablet (increase in T maxfrom 4 to 8 hours) than on the absorption of the Depakote sprinkle capsules (increase in T maxfrom 3.3 to 4.8 hours).

While the absorption rate from the G.I. tract and fluctuation in valproate plasma concentrations vary with dosing regimen and formulation, the efficacy of valproate as an anticonvulsant in chronic use is unlikely to be affected. Experience employing dosing regimens from once-a-day to four-times-a-day, as well as studies in primate epilepsy models involving constant rate infusion, indicate that total daily systemic bioavailability (extent of absorption) is the primary determinant of seizure control and that differences in the ratios of plasma peak to trough concentrations between valproate formulations are inconsequential from a practical clinical standpoint.

Co-administration of oral valproate products with food and substitution among the various Depakote and valproate formulations should cause no clinical problems in the management of patients with epilepsy [see Dosage and Administration ( 2.1)] . Nonetheless, any changes in dosage administration, or the addition or discontinuance of concomitant drugs should ordinarily be accompanied by close monitoring of clinical status and valproate plasma concentrations.

Distribution

Protein Binding

The plasma protein binding of valproate is concentration dependent and the free fraction increases from approximately 10% at 40 mcg/mL to 18.5% at 130 mcg/mL. Protein binding of valproate is reduced in the elderly, in patients with chronic hepatic diseases, in patients with renal impairment, and in the presence of other drugs (e.g., aspirin). Conversely, valproate may displace certain protein-bound drugs (e.g., phenytoin, carbamazepine, warfarin, and tolbutamide) [ see Drug Interactions ( 7.2) for more detailed information on the pharmacokinetic interactions of valproate with other drugs ].

CNS Distribution

Valproate concentrations in cerebrospinal fluid (CSF) approximate unbound concentrations in plasma (about 10% of total concentration).

Metabolism

Valproate is metabolized almost entirely by the liver. In adult patients on monotherapy, 30 to 50% of an administered dose appears in urine as a glucuronide conjugate. Mitochondrial β-oxidation is the other major metabolic pathway, typically accounting for over 40% of the dose. Usually, less than 15 to 20% of the dose is eliminated by other oxidative mechanisms. Less than 3% of an administered dose is excreted unchanged in urine.

The relationship between dose and total valproate concentration is nonlinear; concentration does not increase proportionally with the dose, but rather, increases to a lesser extent due to saturable plasma protein binding. The kinetics of unbound drug are linear.

Elimination

Mean plasma clearance and volume of distribution for total valproate are 0.56 L/hr/1.73 m 2and 11 L/1.73 m 2, respectively. Mean plasma clearance and volume of distribution for free valproate are 4.6 L/hr/1.73 m 2and 92 L/1.73 m 2. Mean terminal half-life for valproate monotherapy ranged from 9 to 16 hours following oral dosing regimens of 250 to 1,000 mg.

The estimates cited apply primarily to patients who are not taking drugs that affect hepatic metabolizing enzyme systems. For example, patients taking enzyme-inducing antiepileptic drugs (carbamazepine, phenytoin, and phenobarbital) will clear valproate more rapidly. Because of these changes in valproate clearance, monitoring of antiepileptic concentrations should be intensified whenever concomitant antiepileptics are introduced or withdrawn.

Special Populations

Effect of AgeNeonates

Children within the first two months of life have a markedly decreased ability to eliminate valproate compared to older children and adults. This is a result of reduced clearance (perhaps due to delay in development of glucuronosyltransferase and other enzyme systems involved in valproate elimination) as well as increased volume of distribution (in part due to decreased plasma protein binding). For example, in one study, the half-life in children under 10 days ranged from 10 to 67 hours compared to a range of 7 to 13 hours in children greater than 2 months.

Children

Pediatric patients (i.e., between 3 months and 10 years) have 50% higher clearances expressed on weight (i.e., mL/min/kg) than do adults. Over the age of 10 years, children have pharmacokinetic parameters that approximate those of adults.

Elderly

The capacity of elderly patients (age range: 68 to 89 years) to eliminate valproate has been shown to be reduced compared to younger adults (age range: 22 to 26 years). Intrinsic clearance is reduced by 39%; the free fraction is increased by 44%. Accordingly, the initial dosage should be reduced in the elderly [see Dosage and Administration ( 2.2)] .

Effect of Sex

There are no differences in the body surface area adjusted unbound clearance between males and females (4.8 ± 0.17 and 4.7 ± 0.07 L/hr per 1.73 m 2, respectively).

Effect of Race

The effects of race on the kinetics of valproate have not been studied.

Effect of Disease

Liver Disease

Liver disease impairs the capacity to eliminate valproate. In one study, the clearance of free valproate was decreased by 50% in 7 patients with cirrhosis and by 16% in 4 patients with acute hepatitis, compared with 6 healthy subjects. In that study, the half-life of valproate was increased from 12 to 18 hours. Liver disease is also associated with decreased albumin concentrations and larger unbound fractions (2 to 2.6-fold increase) of valproate. Accordingly, monitoring of total concentrations may be misleading since free concentrations may be substantially elevated in patients with hepatic disease whereas total concentrations may appear to be normal [see Boxed Warning, Contraindications ( 4), and Warnings and Precautions ( 5.1)] .

Renal Disease

A slight reduction (27%) in the unbound clearance of valproate has been reported in patients with renal failure (creatinine clearance < 10 mL/minute); however, hemodialysis typically reduces valproate concentrations by about 20%. Therefore, no dosage adjustment appears to be necessary in patients with renal failure. Protein binding in these patients is substantially reduced; thus, monitoring total concentrations may be misleading.

Section 42231-1

MEDICATION GUIDE

Valproic Acid (val∙pro∙ic acid) Capsules

Read this Medication Guide before you start taking Valproic Acid Capsules and each time you get a refill. There may be new information. This information does not take the place of talking to your healthcare provider about your medical condition or treatment.

What is the most important information I should know about V a lproic Acid Capsules?

D o not stop taking V a lproic Acid Capsules without first talking to your healthcare provider.

Stopping Valproic Acid suddenly can cause serious problems.

V a lproic Acid Capsules can cause serious side effects, including:

1. S er i o u s liver damage that can cause death, especially in children younger than 2 years old.

The risk of getting this serious liver damage is more likely to happen within the first 6 months of treatment.

Ca l l your healthcare provider right away if you get any of the following symptoms:

  • nausea or vomiting that does not go away
  • loss of appetite
  • pain on the right side of your stomach (abdomen)
  • dark urine
  • swelling of your face
  • yellowing of your skin or the whites of your eyes

In some cases, liver damage may continue despite stopping the drug.

2. Valproic Acid Capsules may harm your unborn baby.

  • If you take Valproic Acid Capsules during pregnancy for any medical condition, your baby is at risk for serious birth defects that affect the brain and spinal cord and are called spina bifida or neural tube defects. These defects occur in 1 to 2 out of every 100 babies born to mothers who use this medicine during pregnancy. These defects can begin in the first month, even before you know you are pregnant. Other birth defects that affect the structures of the heart, head, arms, legs, and the opening where the urine comes out (urethra) on the bottom of the penis can also happen. Decreased hearing or hearing loss can also happen.
  • Birth defects may occur even in children born to women who are not taking any medicines and do not have other risk factors.
  • Taking folic acid supplements before getting pregnant and during early pregnancy can lower the chance of having a baby with a neural tube defect.
  • If you take Valproic Acid Capsules during pregnancy for any medical condition, your child is at risk for having lower IQ and may be at risk for developing autism or attention deficit/hyperactivity disorder.
  • There may be other medicines to treat your condition that have a lower chance of causing birth defects, decreased IQ, or other disorders in your child.
  • Women who are pregnant must not take Valproic Acid Capsules to prevent migraine headaches.
  • All women of childbearing age (including girls from the start of puberty) should talk to their healthcare provider about using other possible treatments instead of Valproic Acid Capsules. If the decision is made to use Valproic Acid Capsules, you should use effective birth control (contraception).
  • Tell your healthcare provider right away if you become pregnant while taking Valproic Acid Capsules. You and your healthcare provider should decide if you will continue to take Valproic Acid Capsules while you are pregnant.
  • Pregnancy Registry: If you become pregnant while taking Valproic Acid Capsules, talk to your healthcare provider about registering with the North American Antiepileptic Drug Pregnancy Registry. You can enroll in this registry by calling toll-free 1-888-233-2334 or by visiting the website, http://www.aedpregnancyregistry.org/. The purpose of this registry is to collect information about the safety of antiepileptic drugs during pregnancy.

3. Inflammation of your pancreas that can cause death.

Call your healthcare provider right away if you have any of these symptoms:

  • severe stomach pain that you may also feel in your back
  • nausea or vomiting that does not go away

4. Like other antiepileptic drugs, Valproic Acid Capsules may cause suicidal thoughts or actions in a very small number of people, about 1 in 500.

Call a healthcare provider right away if you have any of these symptoms, especially if they are new, worse, or worry you:

  • thoughts about suicide or dying
  • attempts to commit suicide
  • new or worse depression
  • new or worse anxiety
  • feeling agitated or restless
  • panic attacks
  • trouble sleeping (insomnia)
  • new or worse irritability
  • acting aggressive, being angry, or violent
  • acting on dangerous impulses
  • an extreme increase in activity and talking (mania)
  • other unusual changes in behavior or mood

H ow can I watch for early symptoms of suicidal thoughts and actions?

  • Pay attention to any changes, especially sudden changes in mood, behaviors, thoughts, or feelings.
  • Keep all follow-up visits with your healthcare provider as scheduled.

Call your healthcare provider between visits as needed, especially if you are worried about symptoms.

D o not stop V a lproic Acid Capsules without first talking to a healthcare provider.Stopping Valproic Acid Capsules suddenly can cause serious problems. Stopping a seizure medicine suddenly in a patient who has epilepsy can cause seizures that will not stop (status epilepticus).

Suicidal thoughts or actions can be caused by things other than medicines. If you have suicidal thoughts or actions, your healthcare provider may check for other causes.

What are V a lproic Acid Capsules?

Valproic Acid Capsules are prescription medicines used alone or with other medicines, to treat:

  • complex partial seizures in adults and children 10 years of age and older
  • simple and complex absence seizures, with or without other seizure types

Who should not take V a lproic Acid Capsules?

Do not take Valproic Acid Capsules if you:

  • have liver problems
  • have or think you have a genetic liver problem caused by a mitochondrial disorder (e.g. Alpers-Huttenlocher syndrome)
  • are allergic to divalproex sodium, valproic acid, sodium valproate, or any of the ingredients in Valproic Acid Capsules. See the end of this leaflet for a complete list of ingredients in Valproic Acid Capsules.
  • have a genetic problem called urea cycle disorder
  • are taking it to prevent migraine headaches and are either pregnant or may become pregnant because you are not using effective birth control (contraception)

What should I tell my healthcare provider before taking Valproic Acid Capsules?

Before you take Valproic Acid Capsules, tell your healthcare provider if you:

  • have a genetic liver problem caused by a mitochondrial disorder (e.g. Alpers-Huttenlocher syndrome)
  • drink alcohol
  • are pregnant or breastfeeding. Valproic Acid can pass into breast milk. Talk to your healthcare provider about the best way to feed your baby if you take Valproic Acid Capsules.
  • have or have had depression, mood problems, or suicidal thoughts or behavior
  • have any other medical conditions

T e l l your healthcare provider about all the medicines you take,including prescription and non-prescription medicines, vitamins, herbal supplements and medicines that you take for a short period of time.

Taking Valproic Acid Capsules with certain other medicines can cause side effects or affect how well they work. Do not start or stop other medicines without talking to your healthcare provider.

Know the medicines you take. Keep a list of them and show it to your healthcare provider and pharmacist each time you get a new medicine.

Ho w should I take V a lproic Acid Capsules?

  • Take Valproic Acid Capsules exactly as your healthcare provider tells you. Your healthcare provider will tell you how much Valproic Acid Capsules to take and when to take it.
  • Your healthcare provider may change your dose.
  • Do not change your dose of Valproic Acid without talking to your healthcare provider.
  • Do not stop taking Valproic Acid Capsules without first talking to your healthcare provider. Stopping Valproic Acid suddenly can cause serious problems.
  • Swallow Valproic Acid Capsules whole. Do not crush or chew Valproic Acid Capsules. Tell your healthcare provider if you cannot swallow Valproic Acid Capsules whole. You may need a different medicine.
  • If you take too much Valproic Acid, call your healthcare provider or local Poison Control Center right away.

What should I avoid while taking V a lproic Acid Capsules?

  • Valproic Acid Capsules can cause drowsiness and dizziness. Do not drink alcohol or take other medicines that make you sleepy or dizzy while taking Valproic Acid Capsules, until you talk with your doctor. Taking Valproic Acid Capsules with alcohol or drugs that cause sleepiness or dizziness may make your sleepiness or dizziness worse.
  • Do not drive a car or operate dangerous machinery until you know how Valproic Acid Capsules affect you. Valproic Acid Capsules can slow your thinking and motor skills.

What are the possible side effects of V a lproic Acid Capsules?

  • See What is the most important information I should know about Valproic Acid Capsules?

Valproic Acid Capsules can cause serious side effects including:

  • Bleeding problems:red or purple spots on your skin, bruising, pain and swelling into your joints due to bleeding or bleeding from your mouth or nose.
  • High ammonia levels in your blood:feeling tired, vomiting, changes in mental status.
  • Low body temperature (hypothermia):drop in your body temperature to less than 95°F, feeling tired, confusion, coma.
  • Allergic (hypersensitivity) reactions:fever, skin rash, hives, sores in your mouth, blistering and peeling of your skin, swelling of your lymph nodes, swelling of your face, eyes, lips, tongue, or throat, trouble swallowing or breathing.
  • Drowsiness or sleepiness in the elderly.This extreme drowsiness may cause you to eat or drink less than you normally would. Tell your doctor if you are not able to eat or drink as you normally do. Your doctor may start you at a lower dose of Valproic Acid.

Call your healthcare provider right away, if you have any of the symptoms listed above.

Th e common side effects of V a lproic Acid Capsules include:

  • nausea
  • headache
  • sleepiness
  • vomiting
  • weakness
  • tremor
  • dizziness
  • stomach pain
  • blurry vision
  • double vision
  • diarrhea
  • increased appetite
  • weight gain
  • hair loss
  • loss of appetite
  • problems with walking or coordination

These are not all of the possible side effects of Valproic Acid Capsules. For more information, ask your healthcare provider or pharmacist.

Tell your healthcare provider if you have any side effect that bothers you or that does not go away.

Call your doctor for medical advice about side effects. You may report side effects to FDA at 1-800-FDA-1088.

Ho w should I store Valproic Acid Capsules?

  • Store Valproic Acid Capsules at 59°F to 77°F (15°C to 25°C).

K e e p Valproic Acid Capsules and all medicines out of the reach of children.

G e neral information about the safe and effective use of Valproic Acid Capsules

Medicines are sometimes prescribed for purposes other than those listed in a Medication Guide. Do not use Valproic Acid Capsules for a condition for which it was not prescribed. Do not give Valproic Acid Capsules to other people, even if they have the same symptoms that you have. It may harm them.

This Medication Guide summarizes the most important information about Valproic Acid Capsules. If you would like more information, talk with your healthcare provider. You can ask your pharmacist or healthcare provider for information about Valproic Acid Capsules that is written for health professionals.

For more information, call 1-888-235-2466.

What are the ingredients in Valproic Acid Capsules?

Active ingredient :valproic acid

Inactive ingredients :Corn oil, FD&C Blue No. 1, gelatin, glycerin, purified water and titanium dioxide.

This Medication Guide has been approved by the U.S. Food and Drug Administration.

Manufactured for:

Bionpharma Inc.

Princeton, NJ 08540, USA

MADE IN INDIA

Code: TN/DRUGS/TN00002123

2411272

Rev. 7/2024

6.2 Mania

Although Valproic Acid has not been evaluated for safety and efficacy in the treatment of manic episodes associated with bipolar disorder, the following adverse reactions not listed above were reported by 1% or more of patients from two placebo-controlled clinical trials of Depakote (divalproex sodium) tablets.

Body as a Whole: Chills, neck pain, neck rigidity.

Cardiovascular System:Hypotension, postural hypotension, vasodilation.

Digestive System:Fecal incontinence, gastroenteritis, glossitis.

Musculoskeletal System:Arthrosis.

Nervous System:Agitation, catatonic reaction, hypokinesia, reflexes increased, tardive dyskinesia, vertigo.

Skin and Appendages:Furunculosis, maculopapular rash, seborrhea.

Special Senses: Conjunctivitis, dry eyes, eye pain.

Urogenital System:Dysuria.

1.1 Epilepsy

Valproic Acid Capsules are indicated as monotherapy and adjunctive therapy in the treatment of patients with complex partial seizures that occur either in isolation or in association with other types of seizures. Valproic Acid Capsules are indicated for use as sole and adjunctive therapy in the treatment of simple and complex absence seizures, and adjunctively in patients with multiple seizure types which include absence seizures.

Simple absence is defined as very brief clouding of the sensorium or loss of consciousness accompanied by certain generalized epileptic discharges without other detectable clinical signs. Complex absence is the term used when other signs are also present.

See Warnings and Precautions ( 5.1) for statement regarding fatal hepatic dysfunction.

2.1 Epilepsy

Valproic Acid Capsules are intended for oral administration. Valproic Acid Capsules should be swallowed whole without chewing to avoid local irritation of the mouth and throat.

Patients should be informed to take Valproic Acid Capsules every day as prescribed. If a dose is missed it should be taken as soon as possible, unless it is almost time for the next dose. If a dose is skipped, the patient should not double the next dose.

Valproic Acid Capsules are indicated as monotherapy and adjunctive therapy in complex partial seizures in adults and pediatric patients down to the age of 10 years, and in simple and complex absence seizures. As the Valproic Acid dosage is titrated upward, concentrations of clonazepam, diazepam, ethosuximide, lamotrigine, tolbutamide, phenobarbital, carbamazepine, and/or phenytoin may be affected [see Drug Interactions ( 7.2)] .

Complex Partial Seizures

For adults and children 10 years of age or older.

Monotherapy (Initial Therapy)

Valproic Acid Capsules have not been systematically studied as initial therapy. Patients should initiate therapy at 10 to 15 mg/kg/day. The dosage should be increased by 5 to 10 mg/kg/week to achieve optimal clinical response. Ordinarily, optimal clinical response is achieved at daily doses below 60 mg/kg/day. If satisfactory clinical response has not been achieved, plasma levels should be measured to determine whether or not they are in the usually accepted therapeutic range (50 to 100 mcg/mL). No recommendation regarding the safety of valproate for use at doses above 60 mg/kg/day can be made.

The probability of thrombocytopenia increases significantly at total trough valproate plasma concentrations above 110 mcg/mL in females and 135 mcg/mL in males. The benefit of improved seizure control with higher doses should be weighed against the possibility of a greater incidence of adverse reactions.

Conversion to Monotherapy

Patients should initiate therapy at 10 to 15 mg/kg/day. The dosage should be increased by 5 to 10 mg/kg/week to achieve optimal clinical response. Ordinarily, optimal clinical response is achieved at daily doses below 60 mg/kg/day. If satisfactory clinical response has not been achieved, plasma levels should be measured to determine whether or not they are in the usually accepted therapeutic range (50 to 100 mcg/mL). No recommendation regarding the safety of valproate for use at doses above 60 mg/kg/day can be made. Concomitant antiepilepsy drug (AED) dosage can ordinarily be reduced by approximately 25% every 2 weeks. This reduction may be started at initiation of Valproic Acid therapy, or delayed by 1 to 2 weeks if there is a concern that seizures are likely to occur with a reduction. The speed and duration of withdrawal of the concomitant AED can be highly variable, and patients should be monitored closely during this period for increased seizure frequency.

Adjunctive Therapy

Valproic Acid Capsules may be added to the patient's regimen at a dosage of 10 to 15 mg/kg/day. The dosage may be increased by 5 to 10 mg/kg/week to achieve optimal clinical response. Ordinarily, optimal clinical response is achieved at daily doses below 60 mg/kg/day. If satisfactory clinical response has not been achieved, plasma levels should be measured to determine whether or not they are in the usually accepted therapeutic range (50 to 100 mcg/mL). No recommendation regarding the safety of valproate for use at doses above 60 mg/kg/day can be made. If the total daily dose exceeds 250 mg, it should be given in divided doses.

In a study of adjunctive therapy for complex partial seizures in which patients were receiving either carbamazepine or phenytoin in addition to Depakote tablets, no adjustment of carbamazepine or phenytoin dosage was needed [see Clinical Studies ( 14)] . However, since valproate may interact with these or other concurrently administered AEDs as well as other drugs, periodic plasma concentration determinations of concomitant AEDs are recommended during the early course of therapy [see Drug Interactions ( 7)] .

Si m pl e and Complex Absence Seizures

The recommended initial dose is 15 mg/kg/day, increasing at one-week intervals by 5 to 10 mg/kg/day until seizures are controlled or side effects preclude further increases. The maximum recommended dosage is 60 mg/kg/day. If the total daily dose exceeds 250 mg, it should be given in divided doses.

A good correlation has not been established between daily dose, serum concentrations, and therapeutic effect. However, therapeutic valproate serum concentration for most patients with absence seizures is considered to range from 50 to 100 mcg/mL. Some patients may be controlled with lower or higher serum concentrations [see Clinical Pharmacology ( 12.3)] .

As the Valproic acid dosage is titrated upward, blood concentrations of phenobarbital and/or phenytoin may be affected [see Drug Interactions ( 7.2)] .

Antiepilepsy drugs should not be abruptly discontinued in patients in whom the drug is administered to prevent major seizures because of the strong possibility of precipitating status epilepticus with attendant hypoxia and threat to life.

The following table is a guide for the initial daily dose of Valproic Acid Capsules (15 mg/kg/day):

Table 1. Initial Daily Dose

Weight

Total Daily Dose (mg)

Number of Capsules

(Kg)

(Lb)

Dose 1

Dose 2

Dose 3

10 to 24.9

22 to 54.9

250

0

0

1

25 to 39.9

55 to 87.9

500

1

0

1

40 to 59.9

88 to 131.9

750

1

1

1

60 to 74.9

132 to 164.9

1,000

1

1

2

75 to 89.9

165 to 197.9

1,250

2

1

2

6.1 Epilepsy

The data described in the following section were obtained using Depakote (divalproex sodium) tablets.

Based on a placebo-controlled trial of adjunctive therapy for treatment of complex partial seizures, Depakote (divalproex sodium) was generally well tolerated with most adverse reactions rated as mild to moderate in severity. Intolerance was the primary reason for discontinuation in the Depakote-treated patients (6%), compared to 1% of placebo-treated patients.

Table 3 lists treatment-emergent adverse reactions which were reported by ≥ 5% of Depakote-treated patients and for which the incidence was greater than in the placebo group, in a placebo-controlled trial of adjunctive therapy for treatment of complex partial seizures. Since patients were also treated with other antiepilepsy drugs, it is not possible, in most cases, to determine whether the following adverse reactions can be ascribed to Depakote alone, or the combination of Depakote and other antiepilepsy drugs.

Table 3. Adverse Reactions Reported by ≥ 5% of Patients Treated with Depakote During Placebo-Controlled Trial of Adjunctive Therapy for Complex Partial Seizures
Body System/Reaction Depakote

(n = 77) %
Placebo

(n = 70) %
Body as a Whole
  Headache 31 21
  Asthenia 27 7
  Fever 6 4
Gastrointestinal System
  Nausea 48 14
  Vomiting 27 7
  Abdominal Pain 23 6
  Diarrhea 13 6
  Anorexia 12 0
  Dyspepsia 8 4
  Constipation 5 1
Nervous System
  Somnolence 27 11
  Tremor 25 6
  Dizziness 25 13
  Diplopia 16 9
  Amblyopia/Blurred Vision 12 9
  Ataxia 8 1
  Nystagmus 8 1
  Emotional Lability 6 4
  Thinking Abnormal 6 0
  Amnesia 5 1
Respiratory System
  Flu Syndrome 12 9
  Infection 12 6
  Bronchitis 5 1
  Rhinitis 5 4
Other
  Alopecia 6 1
  Weight Loss 6 0

Table 4 lists treatment-emergent adverse reactions which were reported by ≥ 5% of patients in the high dose Depakote group, and for which the incidence was greater than in the low dose group, in a controlled trial of Depakote monotherapy treatment of complex partial seizures. Since patients were being titrated off another antiepilepsy drug during the first portion of the trial, it is not possible, in many cases, to determine whether the following adverse reactions can be ascribed to Depakote alone, or the combination of Depakote and other antiepilepsy drugs.

Table 4. Adverse Reactions Reported by ≥ 5% of Patients in the High Dose Group in the Controlled Trial of Depakote Monotherapy for Complex Partial Seizures
Headache was the only adverse reaction that occurred in ≥ 5% of patients in the high dose group and at an equal or greater incidence in the low dose group.
Body System/Reaction High Dose

(n = 131) %
Low Dose

(n = 134) %
Body as a Whole
  Asthenia 21 10
Digestive System
  Nausea 34 26
  Diarrhea 23 19
  Vomiting 23 15
  Abdominal Pain 12 9
  Anorexia 11 4
  Dyspepsia 11 10
Hemic/Lymphatic System
  Thrombocytopenia 24 1
  Ecchymosis 5 4
Metabolic/Nutritional
  Weight Gain 9 4
  Peripheral Edema 8 3
Nervous System
  Tremor 57 19
  Somnolence 30 18
  Dizziness 18 13
  Insomnia 15 9
  Nervousness 11 7
  Amnesia 7 4
  Nystagmus 7 1
  Depression 5 4
Respiratory System
  Infection 20 13
  Pharyngitis 8 2
  Dyspnea 5 1
Skin and Appendages
  Alopecia 24 13
Special Senses
  Amblyopia/Blurred Vision 8 4
  Tinnitus 7 1

The following additional adverse reactions were reported by greater than 1% but less than 5% of the 358 patients treated with Depakote in the controlled trials of complex partial seizures:

Body as a Whole:Back pain, chest pain, malaise.

Cardiovascular System:Tachycardia, hypertension, palpitation.

Digestive System:Increased appetite, flatulence, hematemesis, eructation, pancreatitis, periodontal abscess.

Hemic and Lymphatic System:Petechia.

Metabolic and Nutritional Disorders:SGOT increased, SGPT increased.

Musculoskeletal System: Myalgia, twitching, arthralgia, leg cramps, myasthenia.

Nervous System:Anxiety, confusion, abnormal gait, paresthesia, hypertonia, incoordination, abnormal dreams, personality disorder.

Respiratory System:Sinusitis, cough increased, pneumonia, epistaxis.

Skin and Appendages:Rash, pruritus, dry skin.

Special Senses:Taste perversion, abnormal vision, deafness, otitis media.

Urogenital System:Urinary incontinence, vaginitis, dysmenorrhea, amenorrhea, urinary frequency.

6.3 Migraine

Although Valproic Acid has not been evaluated for safety and efficacy in the prophylactic treatment of migraine headaches, the following adverse reactions not listed above were reported by 1% or more of patients from two placebo-controlled clinical trials of Depakote (divalproex sodium) tablets.

Body as a Whole:Face edema.

Digestive System:Dry mouth, stomatitis.

Urogenital System:Cystitis, metrorrhagia, and vaginal hemorrhage.

10 Overdosage

Overdosage with valproate may result in somnolence, heart block, deep coma, and hypernatremia. Fatalities have been reported; however, patients have recovered from valproate levels as high as 2,120 mcg/mL.

In overdose situations, the fraction of drug not bound to protein is high and hemodialysis or tandem hemodialysis plus hemoperfusion may result in significant removal of drug. The benefit of gastric lavage or emesis will vary with the time since ingestion. General supportive measures should be applied with particular attention to the maintenance of adequate urinary output.

Naloxone has been reported to reverse the CNS depressant effects of valproate overdosage. Because naloxone could theoretically also reverse the antiepileptic effects of valproate, it should be used with caution in patients with epilepsy.

14.1 Epilepsy

The efficacy of Depakote in reducing the incidence of complex partial seizures (CPS) that occur in isolation or in association with other seizure types was established in two controlled trials.

In one, multi-clinic, placebo-controlled study employing an add-on design (adjunctive therapy), 144 patients who continued to suffer eight or more CPS per 8 weeks during an 8-week period of monotherapy with doses of either carbamazepine or phenytoin sufficient to assure plasma concentrations within the "therapeutic range" were randomized to receive, in addition to their original antiepilepsy drug (AED), either Depakote or placebo. Randomized patients were to be followed for a total of 16 weeks. The following table presents the findings.

Table 5. Adjunctive Therapy Study Median Incidence of CPS per 8 Weeks
Add-on Treatment Number of Patients Baseline Incidence Experimental Incidence
Depakote 75 16.0 8.9
Reduction from baseline statistically significantly greater for Depakote than placebo at p ≤ 0.05 level.
Placebo 69 14.5 11.5

Figure 1 presents the proportion of patients (X axis) whose percentage reduction from baseline in complex partial seizure rates was at least as great as that indicated on the Y axis in the adjunctive therapy study. A positive percent reduction indicates an improvement (i.e., a decrease in seizure frequency), while a negative percent reduction indicates worsening. Thus, in a display of this type, the curve for an effective treatment is shifted to the left of the curve for placebo. This figure shows that the proportion of patients achieving any particular level of improvement was consistently higher for Depakote than for placebo. For example, 45% of patients treated with Depakote had a ≥ 50% reduction in complex partial seizure rate compared to 23% of patients treated with placebo.

Figure 1

The second study assessed the capacity of Depakote to reduce the incidence of CPS when administered as the sole AED. The study compared the incidence of CPS among patients randomized to either a high or low dose treatment arm. Patients qualified for entry into the randomized comparison phase of this study only if 1) they continued to experience 2 or more CPS per 4 weeks during an 8 to 12-week long period of monotherapy with adequate doses of an AED (i.e., phenytoin, carbamazepine, phenobarbital, or primidone) and 2) they made a successful transition over a two-week interval to Depakote. Patients entering the randomized phase were then brought to their assigned target dose, gradually tapered off their concomitant AED and followed for an interval as long as 22 weeks. Less than 50% of the patients randomized, however, completed the study. In patients converted to Depakote monotherapy, the mean total valproate concentrations during monotherapy were 71 and 123 mcg/mL in the low dose and high dose groups, respectively.

The following table presents the findings for all patients randomized who had at least one post-randomization assessment.

Table 6. Monotherapy Study Median Incidence of CPS per 8 Weeks
Treatment Number of Patients Baseline Incidence Randomized Phase Incidence
High dose Depakote 131 13.2 10.7
Reduction from baseline statistically significantly greater for high dose than low dose at p ≤ 0.05 level.
Low dose Depakote 134 14.2 13.8

Figure 2 presents the proportion of patients (X axis) whose percentage reduction from baseline in complex partial seizure rates was at least as great as that indicated on the Y axis in the monotherapy study. A positive percent reduction indicates an improvement (i.e., a decrease in seizure frequency), while a negative percent reduction indicates worsening. Thus, in a display of this type, the curve for a more effective treatment is shifted to the left of the curve for a less effective treatment. This figure shows that the proportion of patients achieving any particular level of reduction was consistently higher for high dose Depakote than for low dose Depakote. For example, when switching from carbamazepine, phenytoin, phenobarbital or primidone monotherapy to high dose Depakote monotherapy, 63% of patients experienced no change or a reduction in complex partial seizure rates compared to 54% of patients receiving low dose Depakote.

Figure 2

Information on pediatric studies is presented in section 8.

15 References
  • Meador KJ, Baker GA, Browning N, et al. Fetal antiepileptic drug exposure and cognitive outcomes at age 6 years (NEAD study): a prospective observational study. Lancet Neurology 2013; 12 (3):244-252.
8.1 Pregnancy

Pregnancy Exposure Registry

There is a pregnancy exposure registry that monitors pregnancy outcomes in women exposed to antiepileptic drugs (AEDs), including Valproic Acid, during pregnancy. Encourage women who are taking valproic acid during pregnancy to enroll in the North American Antiepileptic Drug (NAAED) Pregnancy Registry by calling toll-free 1-888-233-2334 or visiting the website, http://www.aedpregnancyregistry.org/. This must be done by the patient herself.

Risk Summary

For use in prophylaxis of migraine headaches, valproate is contraindicated in women who are pregnant and in women of childbearing potential who are not using effective contraception [see Contraindications ( 4)] .

For use in epilepsy or bipolar disorder, valproate should not be used to treat women who are pregnant or who plan to become pregnant unless other medications have failed to provide adequate symptom control or are otherwise unacceptable [see Boxed Warningand Warnings and Precautions ( 5.2, 5.3)] . Women with epilepsy who become pregnant while taking valproate should not discontinue valproate abruptly, as this can precipitate status epilepticus with resulting maternal and fetal hypoxia and threat to life.

Maternal valproate use during pregnancy for any indication increases the risk of congenital malformations, particularly neural tube defects including spina bifida, but also malformations involving other body systems (e.g., craniofacial defects including oral clefts, cardiovascular malformations, hypospadias, limb malformations). This risk is dose-dependent; however, a threshold dose below which no risk exists cannot be established.  In uteroexposure to valproate may also result in hearing impairment or hearing loss. Valproate polytherapy with other AEDs has been associated with an increased frequency of congenital malformations compared with AED monotherapy. The risk of major structural abnormalities is greatest during the first trimester; however, other serious developmental effects can occur with valproate use throughout pregnancy. The rate of congenital malformations among babies born to epileptic mothers who used valproate during pregnancy has been shown to be about four times higher than the rate among babies born to epileptic mothers who used other anti-seizure monotherapies  [see Warnings and Precautions ( 5.2) and Data (Human)].

Epidemiological studies have indicated that children exposed to valproate  in uterohave lower IQ scores and a higher risk of neurodevelopmental disorders compared to children exposed to either another AED  in utero or to no AEDs  in utero  [see Warnings and Precautions ( 5.3 and Data (Human)].

An observational study has suggested that exposure to valproate products during pregnancy increases the risk of autism spectrum disorders  [see Data (Human)]

In animal studies, valproate administration during pregnancy resulted in fetal structural malformations similar to those seen in humans and  neurobehavioral deficits in the offspring at clinically relevant doses [see Data (Animal)].

There have been reports of hypoglycemia in neonates and fatal cases of hepatic failure in infants following maternal use of valproate during pregnancy.

Pregnant women taking valproate may develop hepatic failure or clotting abnormalities including thrombocytopenia, hypofibrinogenemia, and/or decrease in other coagulation factors, which may result in hemorrhagic complications in the neonate including death [see Warnings and Precautions ( 5.1, 5.8)] .

Available prenatal diagnostic testing to detect neural tube and other defects should be offered to pregnant women using valproate.

Evidence suggests that folic acid supplementation prior to conception and during the first trimester of pregnancy decreases the risk for congenital neural tube defects in the general population. It is not known whether the risk of neural tube defects or decreased IQ in the offspring of women receiving valproate is reduced by folic acid supplementation. Dietary folic acid supplementation both prior to conception and during pregnancy should be routinely recommended for patients using valproate [see Warnings and Precautions ( 5.2, 5.4)].

All pregnancies have a background risk of birth defect, loss, or other adverse outcomes. In the U.S. general population, the estimated background risk of major birth defects and miscarriage in clinically recognized pregnancies is 2 to 4% and 15 to 20%, respectively.

Clinical Considerations

Disease-associated maternal and/or embryo/fetal risk

To prevent major seizures, women with epilepsy should not discontinue valproate abruptly, as this can precipitate status epilepticus with resulting maternal and fetal hypoxia and threat to life. Even minor seizures may pose some hazard to the developing embryo or fetus [see Warnings and Precautions ( 5.4)] . However, discontinuation of the drug may be considered prior to and during pregnancy in individual cases if the seizure disorder severity and frequency do not pose a serious threat to the patient.

Maternal adverse reactions

Pregnant women taking valproate may develop clotting abnormalities including thrombocytopenia, hypofibrinogenemia, and/or decrease in other coagulation factors, which may result in hemorrhagic complications in the neonate including death [see Warnings and Precautions ( 5.8)] . If valproate is used in pregnancy, the clotting parameters should be monitored carefully in the mother. If abnormal in the mother, then these parameters should also be monitored in the neonate.

Patients taking valproate may develop hepatic failure [see Boxed Warningand Warnings and Precautions ( 5.1)] . Fatal cases of hepatic failure in infants exposed to valproate in uterohave also been reported following maternal use of valproate during pregnancy.

Hypoglycemia has been reported in neonates whose mothers have taken valproate during pregnancy.

Data

Human

Neural tube defects and other structural abnormalities

There is an extensive body of evidence demonstrating that exposure to valproate  in utero increases the risk of neural tube defects and other structural abnormalities. Based on published data from the CDC’s National Birth Defects Prevention Network, the risk of spina bifida in the general population is about 0.06 to 0.07% (6 to 7 in 10,000 births) compared to the risk following  in utero valproate exposure estimated to be approximately 1 to 2% (100 to 200 in 10,000 births).

The NAAED Pregnancy Registry has reported a major malformation rate of 9 to 11% in the offspring of women exposed to an average of 1,000 mg/day of valproate monotherapy during pregnancy. These data show an up to a five-fold increased risk for any major malformation following valproate exposure  in utero compared to the risk following exposure  in utero to other AEDs taken as monotherapy. The major congenital malformations included cases of neural tube defects, cardiovascular malformations, craniofacial defects (e.g., oral clefts, craniosynostosis), hypospadias, limb malformations (e.g., clubfoot, polydactyly), and other malformations of varying severity involving other body systems [see Warnings and Precautions ( 5.2)] .

Effect on IQ and neurodevelopmental effects

Published epidemiological studies have indicated that children exposed to valproate  in utero have lower IQ scores than children exposed to either another AED  in utero or to no AEDs  in utero. The largest of these studies 1is a prospective cohort study conducted in the United States and United Kingdom that found that children with prenatal exposure to valproate (n = 62) had lower IQ scores at age 6 (97 [95% C.I. 94-101]) than children with prenatal exposure to the other anti-epileptic drug monotherapy treatments evaluated: lamotrigine (108 [95% C.I. 105-110]), carbamazepine (105 [95% C.I. 102-108]) and phenytoin (108 [95% C.I. 104-112]). It is not known when during pregnancy cognitive effects in valproate-exposed children occur. Because the women in this study were exposed to AEDs throughout pregnancy, whether the risk for decreased IQ was related to a particular time period during pregnancy could not be assessed [see Warnings and Precautions ( 5.3)] .

Although the available studies have methodological limitations, the weight of the evidence supports a causal association between valproate exposure  in utero and subsequent adverse effects on neurodevelopment, including increases in autism spectrum disorders and attention deficit/hyperactivity disorder (ADHD). An observational study has suggested that exposure to valproate products during pregnancy increases the risk of autism spectrum disorders. In this study, children born to mothers who had used valproate products during pregnancy had 2.9 times the risk (95% confidence interval [CI]: 1.7-4.9) of developing autism spectrum disorders compared to children born to mothers not exposed to valproate products during pregnancy. The absolute risks for autism spectrum disorders were 4.4% (95% CI: 2.6%-7.5%) in valproate-exposed children and 1.5% (95% CI: 1.5%-1.6%) in children not exposed to valproate products. Another observational study found that children who were exposed to valproate in uterohad an increased risk of ADHD (adjusted HR 1.48; 95% CI, 1.09‑2.00) compared with the unexposed children. Because these studies were observational in nature, conclusions regarding a causal association between in uterovalproate exposure and an increased risk of autism spectrum disorder and ADHD cannot be considered definitive.

Other

There are published case reports of fatal hepatic failure in offspring of women who used valproate during pregnancy.

Animal

In developmental toxicity studies conducted in mice, rats, rabbits, and monkeys, increased rates of fetal structural abnormalities, intrauterine growth retardation, and embryo-fetal death occurred following administration of valproate to pregnant animals during organogenesis at clinically relevant doses (calculated on a body surface area [mg/m 2] basis). Valproate induced malformations of multiple organ systems, including skeletal, cardiac, and urogenital defects. In mice, in addition to other malformations, fetal neural tube defects have been reported following valproate administration during critical periods of organogenesis, and the teratogenic response correlated with peak maternal drug levels. Behavioral abnormalities (including cognitive, locomotor, and social interaction deficits) and brain histopathological changes have also been reported in mice and rat offspring exposed prenatally to clinically relevant doses of valproate.

8.2 Lactation

Risk Summary

Valproate is excreted in human milk. Data in the published literature describe the presence of valproate in human milk (range: 0.4 mcg/mL to 3.9 mcg/mL), corresponding to 1% to 10% of maternal serum levels. Valproate serum concentrations collected from breastfed infants aged 3 days postnatal to 12 weeks following delivery ranged from 0.7 mcg/mL to 4 mcg/mL, which were 1% to 6% of maternal serum valproate levels. A published study in children up to six years of age did not report adverse developmental or cognitive effects following exposure to valproate via breast milk [see Data (Human)].

There are no data to assess the effects of valproic acid on milk production or excretion.

Clinical Considerations

The developmental and health benefits of breastfeeding should be considered along with the mother’s clinical need for valproic acid and any potential adverse effects on the breastfed infant from valproic acid or from the underlying maternal condition.

Monitor the breastfed infant for signs of liver damage including jaundice and unusual bruising or bleeding. There have been reports of hepatic failure and clotting abnormalities in offspring of women who used valproate during pregnancy [see Use in Specific Populations ( 8.1)] .

Data

Human

In a published study, breast milk and maternal blood samples were obtained from 11 epilepsy patients taking valproate at doses ranging from 300 mg/day to 2,400 mg/day on postnatal days 3 to 6. In 4 patients who were taking valproate only, breast milk contained an average valproate concentration of 1.8 mcg/mL (range: 1.1 mcg/mL to 2.2 mcg/mL), which corresponded to 4.8% of the maternal plasma concentration (range: 2.7% to 7.4%). Across all patients (7 of whom were taking other AEDs concomitantly), similar results were obtained for breast milk concentration (1.8 mcg/mL, range: 0.4 mcg/mL to 3.9 mcg/mL) and maternal plasma ratio (5.1%, range: 1.3% to 9.6%).

A published study of 6 breastfeeding mother-infant pairs measured serum valproate levels during maternal treatment for bipolar disorder (750 mg/day or 1,000 mg/day). None of the mothers received valproate during pregnancy, and infants were aged from 4 weeks to 19 weeks at the time of evaluation. Infant serum levels ranged from 0.7 mcg/mL to 1.5 mcg/mL. With maternal serum valproate levels near or within the therapeutic range, infant exposure was 0.9% to 2.3% of maternal levels. Similarly, in 2 published case reports with maternal doses of 500 mg/day or 750 mg/day during breastfeeding of infants aged 3 months and 1-month, infant exposure was 1.5% and 6% that of the mother, respectively.

A prospective observational multicenter study evaluated the long-term neurodevelopmental effects of AED use on children. Pregnant women receiving monotherapy for epilepsy were enrolled with assessments of their children at ages 3 years and 6 years. Mothers continued AED therapy during the breastfeeding period. Adjusted IQs measured at 3 years for breastfed and non-breastfed children were 93 (n = 11) and 90 (n = 24), respectively. At 6 years, the scores for breastfed and non-breastfed children were 106 (n = 11) and 94 (n = 25), respectively (p = 0.04). For other cognitive domains evaluated at 6 years, no adverse cognitive effects of continued exposure to an AED (including valproate) via breast milk were observed.

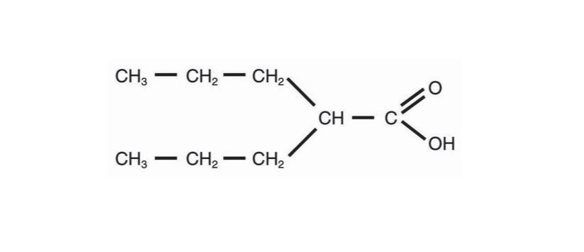
11 Description

Valproic acid is a carboxylic acid designated as 2-propylpentanoic acid. It is also known as dipropylacetic acid. Valproic acid has the following structure:

Valproic acid (pKa 4.8) has a molecular weight of 144 and occurs as a colorless liquid with a characteristic odor. It is slightly soluble in water (1.3 mg/mL) and very soluble in organic solvents.

Valproic Acid Capsules are antiepileptics for oral administration. Each soft gelatin capsule contains 250 mg valproic acid.

I n ac tive Ingredients

Corn oil, FD&C Blue No. 1, gelatin, glycerin, purified water and titanium dioxide.

7.3 Topiramate

Concomitant administration of valproate and topiramate has been associated with hyperammonemia with and without encephalopathy [see Contraindications ( 4) and Warnings and Precautions ( 5.6, 5.9, 5.10)] . Concomitant administration of topiramate with valproate has also been associated with hypothermia in patients who have tolerated either drug alone. It may be prudent to examine blood ammonia levels in patients in whom the onset of hypothermia has been reported [see Warnings and Precautions ( 5.9, 5.11)] .

5.11 Hypothermia

Hypothermia, defined as an unintentional drop in body core temperature to <35°C (95°F), has been reported in association with valproate therapy both in conjunction with and in the absence of hyperammonemia. This adverse reaction can also occur in patients using concomitant topiramate with valproate after starting topiramate treatment or after increasing the daily dose of topiramate [see Drug Interactions ( 7.3)] . Consideration should be given to stopping valproate in patients who develop hypothermia, which may be manifested by a variety of clinical abnormalities including lethargy, confusion, coma, and significant alterations in other major organ systems such as the cardiovascular and respiratory systems. Clinical management and assessment should include examination of blood ammonia levels.

5.5 Pancreatitis

Cases of life-threatening pancreatitis have been reported in both children and adults receiving valproate. Some of the cases have been described as hemorrhagic with rapid progression from initial symptoms to death. Some cases have occurred shortly after initial use as well as after several years of use. The rate based upon the reported cases exceeds that expected in the general population and there have been cases in which pancreatitis recurred after rechallenge with valproate. In clinical trials, there were 2 cases of pancreatitis without alternative etiology in 2,416 patients, representing 1,044 patient-years experience. Patients and guardians should be warned that abdominal pain, nausea, vomiting, and/or anorexia can be symptoms of pancreatitis that require prompt medical evaluation. If pancreatitis is diagnosed, Valproic acid should ordinarily be discontinued. Alternative treatment for the underlying medical condition should be initiated as clinically indicated [see Boxed Warning] .

8.4 Pediatric Use

Experience has indicated that pediatric patients under the age of two years are at a considerably increased risk of developing fatal hepatotoxicity, especially those with the aforementioned conditions [see Boxed Warning] . When valproic acid is used in this patient group, it should be used with extreme caution and as a sole agent. The benefits of therapy should be weighed against the risks. Above the age of 2 years, experience in epilepsy has indicated that the incidence of fatal hepatotoxicity decreases considerably in progressively older patient groups.

Younger children, especially those receiving enzyme-inducing drugs, will require larger maintenance doses to attain targeted total and unbound valproate concentrations. Pediatric patients (i.e., between 3 months and 10 years) have 50% higher clearances expressed on weight (i.e., mL/min/kg) than do adults. Over the age of 10 years, children have pharmacokinetic parameters that approximate those of adults.

The variability in free fraction limits the clinical usefulness of monitoring total serum valproic acid concentrations. Interpretation of valproic acid concentrations in children should include consideration of factors that affect hepatic metabolism and protein binding.

Pediatric Clinical Trials

Depakote was studied in seven pediatric clinical trials.

Two of the pediatric studies were double-blinded placebo-controlled trials to evaluate the efficacy of Depakote ER for the indications of mania (150 patients aged 10 to 17 years, 76 of whom were on Depakote ER) and migraine (304 patients aged 12 to 17 years, 231 of whom were on Depakote ER). Efficacy was not established for either the treatment of migraine or the treatment of mania. The most common drug-related adverse reactions (reported > 5% and twice the rate of placebo) reported in the controlled pediatric mania study were nausea, upper abdominal pain, somnolence, increased ammonia, gastritis and rash.

The remaining five trials were long term safety studies. Two six-month pediatric studies were conducted to evaluate the long-term safety of Depakote ER for the indication of mania (292 patients aged 10 to 17 years). Two twelve-month pediatric studies were conducted to evaluate the long-term safety of Depakote ER for the indication of migraine (353 patients aged 12 to 17 years). One twelve-month study was conducted to evaluate the safety of Depakote Sprinkle Capsules in the indication of partial seizures (169 patients aged 3 to 10 years).

In these seven clinical trials, the safety and tolerability of Depakote in pediatric patients were shown to be comparable to those in adults [see Adverse Reactions ( 6)] .

J uvenile Animal Toxicology

In studies of valproate in immature animals, toxic effects not observed in adult animals included retinal dysplasia in rats treated during the neonatal period (from postnatal day 4) and nephrotoxicity in rats treated during the neonatal and juvenile (from postnatal day 14) periods. The no-effect dose for these findings was less than the maximum recommended human dose on a mg/m 2basis.

8.5 Geriatric Use

No patients above the age of 65 years were enrolled in double-blind prospective clinical trials of mania associated with bipolar illness. In a case review study of 583 patients, 72 patients (12%) were greater than 65 years of age. A higher percentage of patients above 65 years of age reported accidental injury, infection, pain, somnolence, and tremor.

Discontinuation of valproate was occasionally associated with the latter two events. It is not clear whether these events indicate additional risk or whether they result from pre-existing medical illness and concomitant medication use among these patients.

A study of elderly patients with dementia revealed drug related somnolence and discontinuation for somnolence [see Warnings and Precautions ( 5.14)] . The starting dose should be reduced in these patients, and dosage reductions or discontinuation should be considered in patients with excessive somnolence [see Dosage and Administration ( 2.2)] .

5.1 Hepatotoxicity

General Information on Hepatotoxicity

Hepatic failure resulting in fatalities has occurred in patients receiving valproate. These incidents usually have occurred during the first six months of treatment. Serious or fatal hepatotoxicity may be preceded by non-specific symptoms such as malaise, weakness, lethargy, facial edema, anorexia, and vomiting. In patients with epilepsy, a loss of seizure control may also occur. Patients should be monitored closely for appearance of these symptoms. Serum liver tests should be performed prior to therapy and at frequent intervals thereafter, especially during the first six months of valproate therapy. However, healthcare providers should not rely totally on serum biochemistry since these tests may not be abnormal in all instances, but should also consider the results of careful interim medical history and physical examination.

Caution should be observed when administering valproate products to patients with a prior history of hepatic disease. Patients on multiple anticonvulsants, children, those with congenital metabolic disorders, those with severe seizure disorders accompanied by mental retardation, and those with organic brain disease may be at particular risk. See below, “Patients with Known or Suspected Mitochondrial Disease.”

Experience has indicated that children under the age of two years are at a considerably increased risk of developing fatal hepatotoxicity, especially those with the aforementioned conditions. When Valproic Acid Capsules are used in this patient group, they should be used with extreme caution and as a sole agent. The benefits of therapy should be weighed against the risks. In progressively older patient groups experience in epilepsy has indicated that the incidence of fatal hepatotoxicity decreases considerably.

Patients with Known or Suspected Mitochondrial Disease

Valproic Acid Capsules are contraindicated in patients known to have mitochondrial disorders caused by POLG mutations and children under two years of age who are clinically suspected of having a mitochondrial disorder [see Contraindications ( 4)] . Valproate-induced acute liver failure and liver-related deaths have been reported in patients with hereditary neurometabolic syndromes caused by mutations in the gene for mitochondrial DNA polymerase γ (POLG) (e.g., Alpers-Huttenlocher Syndrome) at a higher rate than those without these syndromes. Most of the reported cases of liver failure in patients with these syndromes have been identified in children and adolescents.

POLG-related disorders should be suspected in patients with a family history or suggestive symptoms of a POLG-related disorder, including but not limited to unexplained encephalopathy, refractory epilepsy (focal, myoclonic), status epilepticus at presentation, developmental delays, psychomotor regression, axonal sensorimotor neuropathy, myopathy cerebellar ataxia, ophthalmoplegia, or complicated migraine with occipital aura. POLG mutation testing should be performed in accordance with current clinical practice for the diagnostic evaluation of such disorders. The A467T and W748S mutations are present in approximately 2/3 of patients with autosomal recessive POLG-related disorders.

In patients over two years of age who are clinically suspected of having a hereditary mitochondrial disease, Valproic Acid Capsules should only be used after other anticonvulsants have failed. This older group of patients should be closely monitored during treatment with Valproic Acid Capsules for the development of acute liver injury with regular clinical assessments and serum liver test monitoring.

The drug should be discontinued immediately in the presence of significant hepatic dysfunction, suspected or apparent. In some cases, hepatic dysfunction has progressed in spite of discontinuation of drug [see Boxed Warningand Contraindications ( 4)] .

5.9 Hyperammonemia

Hyperammonemia has been reported in association with valproate therapy and may be present despite normal liver function tests. In patients who develop unexplained lethargy and vomiting or changes in mental status, hyperammonemic encephalopathy should be considered and an ammonia level should be measured. Hyperammonemia should also be considered in patients who present with hypothermia [see Warnings and Precautions ( 5.11)] . If ammonia is increased, valproate therapy should be discontinued. Appropriate interventions for treatment of hyperammonemia should be initiated, and such patients should undergo investigation for underlying urea cycle disorders [see Contraindications ( 4) and Warnings and Precautions ( 5.6, 5.10)] .

Asymptomatic elevations of ammonia are more common and when present, require close monitoring of plasma ammonia levels. If the elevation persists, discontinuation of valproate therapy should be considered.

14 Clinical Studies

The studies described in the following section were conducted using Depakote (divalproex sodium) tablets.

4 Contraindications
  • Valproic Acid Capsules should not be administered to patients with hepatic disease or significant hepatic dysfunction [see Warnings and Precautions ( 5.1)] .
  • Valproic Acid is contraindicated in patients known to have mitochondrial disorders caused by mutations in mitochondrial DNA polymerase γ (POLG; e.g., Alpers-Huttenlocher Syndrome) and children under two years of age who are suspected of having a POLG-related disorder [see Warnings and Precautions ( 5.1)] .
  • Valproic Acid is contraindicated in patients with known hypersensitivity to the drug [see Warnings and Precautions ( 5.12)] .
  • Valproic Acid is contraindicated in patients with known urea cycle disorders [see Warnings and Precautions ( 5.6)] .
  • For use in prophylaxis of migraine headaches: Valproic Acid is contraindicated in women who are pregnant and in women of childbearing potential who are not using effective contraception  [see Warnings and Precautions ( 5.2, 5.3, 5.4 ) and Use in Specific Populations ( 8.1 )].
6 Adverse Reactions

The following serious adverse reactions are described below and elsewhere in the labeling:

  • Hepatic failure [see Warnings and Precautions ( 5.1)]
  • Birth defects [see Warnings and Precautions ( 5.2)]
  • Decreased IQ following in uteroexposure [see Warnings and Precautions ( 5.3)]
  • Pancreatitis [see Warnings and Precautions ( 5.5)]
  • Hyperammonemic encephalopathy [see Warnings and Precautions ( 5.6, 5.9, 5.10)]
  • Suicidal behavior and ideation [see Warnings and Precautions ( 5.7)]
  • Bleeding and other hematopoietic disorders [see Warnings and Precautions ( 5.8)]
  • Hypothermia [see Warnings and Precautions ( 5.11)]
  • Drug Reaction with Eosinophilia and Systemic Symptoms (DRESS)/Multiorgan hypersensitivity reactions [see Warnings and Precautions ( 5.12)]
  • Somnolence in the elderly [see Warnings and Precautions ( 5.14)]

Because clinical studies are conducted under widely varying conditions, adverse reaction rates observed in the clinical studies of a drug cannot be directly compared to rates in the clinical studies of another drug and may not reflect the rates observed in practice.

7 Drug Interactions
  • Hepatic enzyme-inducing drugs (e.g., phenytoin, carbamazepine, phenobarbital, primidone, rifampin) can increase valproate clearance, while enzyme inhibitors (e.g., felbamate) can decrease valproate clearance. Therefore increased monitoring of valproate and concomitant drug concentrations and dosage adjustment are indicated whenever enzyme-inducing or inhibiting drugs are introduced or withdrawn ( 7.1)
  • Aspirin, carbapenem antibiotics, estrogen-containing hormonal contraceptives: Monitoring of valproate concentrations is recommended ( 7.1)
  • Co-administration of valproate can affect the pharmacokinetics of other drugs (e.g. diazepam, ethosuximide, lamotrigine, phenytoin) by inhibiting their metabolism or protein binding displacement ( 7.2)
  • Patients stabilized on rufinamide should begin valproate therapy at a low dose, and titrate to clinically effective dose ( 7.2)
  • Dosage adjustment of amitriptyline/nortriptyline, propofol, warfarin, and zidovudine may be necessary if used concomitantly with Valproic Acid Capsules ( 7.2)
  • Topiramate: Hyperammonemia and encephalopathy ( 5.10, 7.3)
12.2 Pharmacodynamics

The relationship between plasma concentration and clinical response is not well documented. One contributing factor is the nonlinear, concentration dependent protein binding of valproate which affects the clearance of the drug. Thus, monitoring of total serum valproate cannot provide a reliable index of the bioactive valproate species.

For example, because the plasma protein binding of valproate is concentration dependent, the free fraction increases from approximately 10% at 40 mcg/mL to 18.5% at 130 mcg/mL. Higher than expected free fractions occur in the elderly, in hyperlipidemic patients, and in patients with hepatic and renal diseases.

Epilepsy

The therapeutic range in epilepsy is commonly considered to be 50 to 100 mcg/mL of total valproate, although some patients may be controlled with lower or higher plasma concentrations.

1 Indications and Usage

Valproic Acid Capsules are indicated for:

  • Monotherapy and adjunctive therapy of complex partial seizures; sole and adjunctive therapy of simple and complex absence seizures; adjunctive therapy in patients with multiple seizure types that include absence seizures ( 1)
Principal Display Panel
12.1 Mechanism of Action

Valproic acid dissociates to the valproate ion in the gastrointestinal tract. The mechanisms by which valproate exerts its therapeutic effects have not been established. It has been suggested that its activity in epilepsy is related to increased brain concentrations of gamma-aminobutyric acid (GABA).

5.6 Urea Cycle Disorders

Valproic acid is contraindicated in patients with known urea cycle disorders (UCD).

Hyperammonemic encephalopathy, sometimes fatal, has been reported following initiation of valproate therapy in patients with urea cycle disorders, a group of uncommon genetic abnormalities, particularly ornithine transcarbamylase deficiency. Prior to the initiation of Valproic acid therapy, evaluation for UCD should be considered in the following patients: 1) those with a history of unexplained encephalopathy or coma, encephalopathy associated with a protein load, pregnancy-related or postpartum encephalopathy, unexplained mental retardation, or history of elevated plasma ammonia or glutamine; 2) those with cyclical vomiting and lethargy, episodic extreme irritability, ataxia, low BUN, or protein avoidance; 3) those with a family history of UCD or a family history of unexplained infant deaths (particularly males); 4) those with other signs or symptoms of UCD. Patients who develop symptoms of unexplained hyperammonemic encephalopathy while receiving valproate therapy should receive prompt treatment (including discontinuation of valproate therapy) and be evaluated for underlying urea cycle disorders [see Contraindications ( 4) and Warnings and Precautions ( 5.10)] .

1.2 Important Limitations

Because of the risk to the fetus of decreased IQ, neurodevelopmental disorders, neural tube defects, and other major congenital malformations, which may occur very early in pregnancy, valproate should not be used to treat women with epilepsy or bipolar disorder who are pregnant or who plan to become pregnant unless other medications have failed to provide adequate symptom control or are otherwise unacceptable. Valproate should not be administered to a woman of childbearing potential unless other medications have failed to provide adequate symptom control or are otherwise unacceptable [see Warnings and Precautions ( 5.2, 5.3, 5.4), Use in Specific Populations ( 8.1), and Patient Counseling Information ( 17) ].

For prophylaxis of migraine headaches, valproate is contraindicated in women who are pregnant and in women of childbearing potential who are not using effective contraception [see Contraindications ( 4)] .

2.2 General Dosing Advice

Dosing in Elderly Patients

Due to a decrease in unbound clearance of valproate and possibly a greater sensitivity to somnolence in the elderly, the starting dose should be reduced in these patients. Dosage should be increased more slowly and with regular monitoring for fluid and nutritional intake, dehydration, somnolence, and other adverse reactions. Dose reductions or discontinuation of valproate should be considered in patients with decreased food or fluid intake and in patients with excessive somnolence. The ultimate therapeutic dose should be achieved on the basis of both tolerability and clinical response [see Warnings and Precautions ( 5.14), Use in Specific Populations ( 8.5), and Clinical Pharmacology ( 12.3)] .

Dose- R e l a t ed  Adver s e Reactions

The frequency of adverse effects (particularly elevated liver enzymes and thrombocytopenia) may be dose-related. The probability of thrombocytopenia appears to increase significantly at total valproate concentrations of ≥ 110 mcg/mL (females) or ≥ 135 mcg/mL (males) [see Warnings and Precautions ( 5.8)] . The benefit of improved therapeutic effect with higher doses should be weighed against the possibility of a greater incidence of adverse reactions.

G.I. Irritation

Patients who experience G.I. irritation may benefit from administration of the drug with food or by slowly building up the dose from an initial low level.

5 Warnings and Precautions
  • Hepatotoxicity; evaluate high risk populations and monitor serum liver tests ( 5.1)
  • Birth defects, decreased IQ, and neurodevelopmental disorders following in uteroexposure; should not be used to treat women with epilepsy or bipolar disorder who are pregnant or who plan to become pregnant or to treat a woman of childbearing potential unless other medications have failed to provide adequate symptom control or are otherwise unacceptable ( 5.2, 5.3, 5.4)
  • Pancreatitis; valproic acid should ordinarily be discontinued ( 5.5)
  • Suicidal behavior or ideation; Antiepileptic drugs, including valproic acid, increase the risk of suicidal thoughts or behavior ( 5.7)
  • Bleeding and other hematopoietic disorders; monitor platelet counts and coagulation tests ( 5.8)
  • Hyperammonemia and hyperammonemic encephalopathy; measure ammonia level if unexplained lethargy and vomiting or changes in mental status, and also with concomitant topiramate use; consider discontinuation of valproate therapy ( 5.6, 5.9, 5.10)
  • Hypothermia; Hypothermia has been reported during valproate therapy with or without associated hyperammonemia. This adverse reaction can also occur in patients using concomitant topiramate ( 5.11)
  • Drug Reaction with Eosinophilia and Systemic Symptoms (DRESS)/Multiorgan hypersensitivity reaction; discontinue valproic acid ( 5.12)
  • Somnolence in the elderly can occur. Valproic acid dosage should be increased slowly and with regular monitoring for fluid and nutritional intake ( 5.14)
2 Dosage and Administration

Valproic Acid Capsules are intended for oral administration. ( 2.1)

  • Simple and Complex Absence Seizures: Start at 10 to 15 mg/kg/day, increasing at 1-week intervals by 5 to 10 mg/kg/week until seizure control or limiting side effects ( 2.1)
  • Safety of doses above 60 mg/kg/day is not established ( 2.1, 2.2)
3 Dosage Forms and Strengths

Valproic Acid Capsules are available as white, oblong soft gelatin capsules of 250 mg valproic acid with imprint ‘PA2120’ for product identification.

6.4 Postmarketing Experience

The following adverse reactions have been identified during post approval use of Depakote. Because these reactions are reported voluntarily from a population of uncertain size, it is not always possible to reliably estimate their frequency or establish a causal relationship to drug exposure.

Dermatologic:Hair texture changes, hair color changes, photosensitivity, erythema multiforme, toxic epidermal necrolysis, nail and nail bed disorders, and Stevens-Johnson syndrome.

Psychiatric:Emotional upset, psychosis, aggression, psychomotor hyperactivity, hostility, disturbance in attention, learning disorder, and behavioral deterioration.

Neurologic: Paradoxical convulsion, parkinsonism

There have been several reports of acute or subacute cognitive decline and behavioral changes (apathy or irritability) with cerebral pseudoatrophy on imaging associated with valproate therapy; both the cognitive/behavioral changes and cerebral pseudoatrophy reversed partially or fully after valproate discontinuation.

There have been reports of acute or subacute encephalopathy in the absence of elevated ammonia levels, elevated valproate levels, or neuroimaging changes. The encephalopathy reversed partially or fully after valproate discontinuation.

Musculoskeletal:Fractures, decreased bone mineral density, osteopenia, osteoporosis, and weakness.

Hematologic:Relative lymphocytosis, macrocytosis, leukopenia, anemia including macrocytic with or without folate deficiency, bone marrow suppression, pancytopenia, aplastic anemia, agranulocytosis, and acute intermittent porphyria.

Endocrine:Irregular menses, secondary amenorrhea, hyperandrogenism, hirsutism, elevated testosterone level, breast enlargement, galactorrhea, parotid gland swelling, polycystic ovary disease, decreased carnitine concentrations, hyponatremia, hyperglycinemia, and inappropriate ADH secretion.

There have been rare reports of Fanconi's syndrome occurring chiefly in children.

Metabolism and nutrition: Weight gain.

Reproductive: Aspermia, azoospermia, decreased sperm count, decreased spermatozoa motility, male infertility, and abnormal spermatozoa morphology.

Genitourinary:Enuresis and urinary tract infection.

Special Senses:Hearing loss.

Other:Allergic reaction, anaphylaxis, developmental delay, bone pain, bradycardia, and cutaneous vasculitis.

5.2 structural Birth Defects

Valproate can cause fetal harm when administered to a pregnant woman. Pregnancy registry data show that maternal valproate use can cause neural tube defects and other structural abnormalities (e.g., craniofacial defects, cardiovascular malformations, hypospadias, limb malformations). The rate of congenital malformations among babies born to mothers using valproate is about four times higher than the rate among babies born to epileptic mothers using other anti-seizure monotherapies. Evidence suggests that folic acid supplementation prior to conception and during the first trimester of pregnancy decreases the risk for congenital neural tube defects in the general population  [see Use in Specific Populations ( 8.1)] .

8 Use in Specific Populations
  • Pregnancy: Valproic Acid Capsules can cause congenital malformations including neural tube defects, decreased IQ, and neurodevelopmental disorders ( 5.2, 5.3, 8.1)
  • Pediatric: Children under the age of two years are at considerably higher risk of fatal hepatotoxicity ( 5.1, 8.4)
  • Geriatric: Reduce starting dose; increase dosage more slowly; monitor fluid and nutritional intake, and somnolence ( 5.14, 8.5)
5.14 Somnolence in the Elderly

In a double-blind, multicenter trial of valproate in elderly patients with dementia (mean age = 83 years), doses were increased by 125 mg/day to a target dose of 20 mg/kg/day. A significantly higher proportion of valproate patients had somnolence compared to placebo, and although not statistically significant, there was a higher proportion of patients with dehydration. Discontinuations for somnolence were also significantly higher than with placebo. In some patients with somnolence (approximately one-half), there was associated reduced nutritional intake and weight loss. There was a trend for the patients who experienced these events to have a lower baseline albumin concentration, lower valproate clearance, and a higher BUN. In elderly patients, dosage should be increased more slowly and with regular monitoring for fluid and nutritional intake, dehydration, somnolence, and other adverse reactions. Dose reductions or discontinuation of valproate should be considered in patients with decreased food or fluid intake and in patients with excessive somnolence [see Dosage and Administration ( 2.2)] .

17 Patient Counseling Information

Advise the patient to read the FDA-approved patient labeling (Medication Guide).

Hepatotoxicity

Warn patients and guardians that nausea, vomiting, abdominal pain, anorexia, diarrhea, asthenia, and/or jaundice can be symptoms of hepatotoxicity and, therefore, require further medical evaluation promptly [see Warnings and Precautions ( 5.1)] .

P ancreatitis

Warn patients and guardians that abdominal pain, nausea, vomiting, and/or anorexia can be symptoms of pancreatitis and, therefore, require further medical evaluation promptly [see Warnings and Precautions ( 5.5)] .

Birth Defects and Decreased IQ

Inform pregnant women and women of childbearing potential (including girls beginning the onset of puberty) that use of valproate during pregnancy increases the risk of birth defects, decreased IQ, and neurodevelopmental disorders in children who were exposed in utero. Advise women to use effective contraception while taking valproate. When appropriate, counsel these patients about alternative therapeutic options. This is particularly important when valproate use is considered for a condition not usually associated with permanent injury or death such as prophylaxis of migraine headache [see Contraindications ( 4)] . Advise patients to read the Medication Guide, which appears as the last section of the labeling [see Warnings and Precautions ( 5.2, 5.3, 5.4) and Use in Specific Populations ( 8.1)] .

Pregnancy Registry

Advise women of childbearing potential to discuss pregnancy planning with their doctor and to contact their doctor immediately if they think they are pregnant.

Encourage women who are taking valproic acid to enroll in the North American Antiepileptic Drug (NAAED) Pregnancy Registry if they become pregnant. This registry is collecting information about the safety of antiepileptic drugs during pregnancy. To enroll, patients can call the toll-free number 1-888-233-2334 or visit the website, http://www.aedpregnancyregistry.org/ [ see Use in Specific Populations ( 8.1)] .

Suicidal Thinking and Behavior

Counsel patients, their caregivers, and families that AEDs, including Valproic Acid, may increase the risk of suicidal thoughts and behavior and to be alert for the emergence or worsening of symptoms of depression, any unusual changes in mood or behavior, or the emergence of suicidal thoughts, behavior, or thoughts about self-harm. Instruct patients, caregivers, and families to report behaviors of concern immediately to the healthcare providers [see Warnings and Precautions ( 5.7)] .

Hyperammonemia

Inform patients of the signs and symptoms associated with hyperammonemic encephalopathy and to notify the prescriber if any of these symptoms occur [see Warnings and Precautions ( 5.9, 5.10)] .

CNS Depression

Since valproate products may produce CNS depression, especially when combined with another CNS depressant (e.g., alcohol), advise patients not to engage in hazardous activities, such as driving an automobile or operating dangerous machinery, until it is known that they do not become drowsy from the drug.

Multiorgan Hypersensitivity Reactions

Instruct patients that a fever associated with other organ system involvement (rash, lymphadenopathy, etc.) may be drug-related and should be reported to the physician immediately [see Warnings and Precautions ( 5.12)] .

Revised: July 2024

5.7 Suicidal Behavior and Ideation

Antiepileptic drugs (AEDs), including Valproic Acid, increase the risk of suicidal thoughts or behavior in patients taking these drugs for any indication. Patients treated with any AED for any indication should be monitored for the emergence or worsening of depression, suicidal thoughts or behavior, and/or any unusual changes in mood or behavior.

Pooled analyses of 199 placebo-controlled clinical trials (mono- and adjunctive therapy) of 11 different AEDs showed that patients randomized to one of the AEDs had approximately twice the risk (adjusted Relative Risk 1.8, 95% CI:1.2, 2.7) of suicidal thinking or behavior compared to patients randomized to placebo. In these trials, which had a median treatment duration of 12 weeks, the estimated incidence rate of suicidal behavior or ideation among 27,863 AED-treated patients was 0.43%, compared to 0.24% among 16,029 placebo-treated patients, representing an increase of approximately one case of suicidal thinking or behavior for every 530 patients treated. There were four suicides in drug-treated patients in the trials and none in placebo-treated patients, but the number is too small to allow any conclusion about drug effect on suicide.

The increased risk of suicidal thoughts or behavior with AEDs was observed as early as one week after starting drug treatment with AEDs and persisted for the duration of treatment assessed. Because most trials included in the analysis did not extend beyond 24 weeks, the risk of suicidal thoughts or behavior beyond 24 weeks could not be assessed.

The risk of suicidal thoughts or behavior was generally consistent among drugs in the data analyzed. The finding of increased risk with AEDs of varying mechanisms of action and across a range of indications suggests that the risk applies to all AEDs used for any indication. The risk did not vary substantially by age (5-100 years) in the clinical trials analyzed.

Table 2 shows absolute and relative risk by indication for all evaluated AEDs.

Table 2. Risk by Indication for Antiepileptic Drugs in the Pooled Analysis
Indication Placebo Patients with Events Per 1,000 Patients Drug Patients with Events Per 1,000 Patients Relative Risk: Incidence of Events in Drug Patients/Incidence in Placebo Patients Risk Difference: Additional Drug Patients with Events Per 1,000 Patients
Epilepsy 1.0 3.4 3.5 2.4
Psychiatric 5.7 8.5 1.5 2.9
Other 1.0 1.8 1.9 0.9
Total 2.4 4.3 1.8 1.9

The relative risk for suicidal thoughts or behavior was higher in clinical trials for epilepsy than in clinical trials for psychiatric or other conditions, but the absolute risk differences were similar for the epilepsy and psychiatric indications.

Anyone considering prescribing Valproic Acid Capsules or any other AED must balance the risk of suicidal thoughts or behavior with the risk of untreated illness. Epilepsy and many other illnesses for which AEDs are prescribed are themselves associated with morbidity and mortality and an increased risk of suicidal thoughts and behavior. Should suicidal thoughts and behavior emerge during treatment, the prescriber needs to consider whether the emergence of these symptoms in any given patient may be related to the illness being treated.

16 How Supplied/storage and Handling

Each white, oblong soft-gelatin capsule is imprinted PA2120, contains 250 mg valproic acid in blistercards of 30’s (NDC # 0615-8205-39).

The softgels should be protected from moisture and humidity and stored between 59 to 77°F (15 to 25°C) as per the container label. Dispense in a tight, light-resistant container as defined in the USP/NF.

Maalox ®is a registered trademark of Novartis Consumer Health Canada Inc.

Titralac™ is a registered trademark of 3M.

Depakote ®is a registered trademark of Abbott Laboratories.

7.2 Effects of Valproate On Other Drugs

Valproate has been found to be a weak inhibitor of some P450 isozymes, epoxide hydrase, and glucuronosyltransferases.

The following list provides information about the potential for an influence of valproate co‑administration on the pharmacokinetics or pharmacodynamics of several commonly prescribed medications. The list is not exhaustive, since new interactions are continuously being reported.

Drugs for which a potentially important valproate interaction has been observed

Amitriptyline/Nortriptyline

Administration of a single oral 50 mg dose of amitriptyline to 15 normal volunteers (10 males and 5 females) who received valproate (500 mg BID) resulted in a 21% decrease in plasma clearance of amitriptyline and a 34% decrease in the net clearance of nortriptyline. Rare postmarketing reports of concurrent use of valproate and amitriptyline resulting in an increased amitriptyline level have been received. Concurrent use of valproate and amitriptyline has rarely been associated with toxicity. Monitoring of amitriptyline levels should be considered for patients taking valproate concomitantly with amitriptyline. Consideration should be given to lowering the dose of amitriptyline/nortriptyline in the presence of valproate.

Carbamazepine/carbamazepine-10,11-Epoxide

Serum levels of carbamazepine (CBZ) decreased 17% while that of carbamazepine-10,11-epoxide (CBZ-E) increased by 45% upon co-administration of valproate and CBZ to epileptic patients.

Clonazepam

The concomitant use of valproate and clonazepam may induce absence status in patients with a history of absence type seizures.

Diazepam

Valproate displaces diazepam from its plasma albumin binding sites and inhibits its metabolism. Co-administration of valproate (1,500 mg daily) increased the free fraction of diazepam (10 mg) by 90% in healthy volunteers (n = 6). Plasma clearance and volume of distribution for free diazepam were reduced by 25% and 20%, respectively, in the presence of valproate. The elimination half-life of diazepam remained unchanged upon addition of valproate.

Ethosuximide

Valproate inhibits the metabolism of ethosuximide. Administration of a single ethosuximide dose of 500 mg with valproate (800 to 1,600 mg/day) to healthy volunteers (n = 6) was accompanied by a 25% increase in elimination half-life of ethosuximide and a 15% decrease in its total clearance as compared to ethosuximide alone. Patients receiving valproate and ethosuximide, especially along with other anticonvulsants, should be monitored for alterations in serum concentrations of both drugs.

Lamotrigine

In a steady-state study involving 10 healthy volunteers, the elimination half-life of lamotrigine increased from 26 to 70 hours with valproate co-administration (a 165% increase). The dose of lamotrigine should be reduced when co-administered with valproate. Serious skin reactions (such as Stevens-Johnson syndrome and toxic epidermal necrolysis) have been reported with concomitant lamotrigine and valproate administration. See lamotrigine package insert for details on lamotrigine dosing with concomitant valproate administration.

Phenobarbital

Valproate was found to inhibit the metabolism of phenobarbital. Co-administration of valproate (250 mg BID for 14 days) with phenobarbital to normal subjects (n = 6) resulted in a 50% increase in half-life and a 30% decrease in plasma clearance of phenobarbital (60 mg single-dose). The fraction of phenobarbital dose excreted unchanged increased by 50% in presence of valproate.

There is evidence for severe CNS depression, with or without significant elevations of barbiturate or valproate serum concentrations. All patients receiving concomitant barbiturate therapy should be closely monitored for neurological toxicity. Serum barbiturate concentrations should be obtained, if possible, and the barbiturate dosage decreased, if appropriate.

Primidone, which is metabolized to a barbiturate, may be involved in a similar interaction with valproate.

Phenytoin

Valproate displaces phenytoin from its plasma albumin binding sites and inhibits its hepatic metabolism. Co-administration of valproate (400 mg TID) with phenytoin (250 mg) in normal volunteers (n = 7) was associated with a 60% increase in the free fraction of phenytoin. Total plasma clearance and apparent volume of distribution of phenytoin increased 30% in the presence of valproate. Both the clearance and apparent volume of distribution of free phenytoin were reduced by 25%.

In patients with epilepsy, there have been reports of breakthrough seizures occurring with the combination of valproate and phenytoin. The dosage of phenytoin should be adjusted as required by the clinical situation.

Propofol

The concomitant use of valproate and propofol may lead to increased blood levels of propofol. Reduce the dose of propofol when co-administering with valproate. Monitor patients closely for signs of increased sedation or cardiorespiratory depression.

Rufinamide

Based on a population pharmacokinetic analysis, rufinamide clearance was decreased by valproate. Rufinamide concentrations were increased by < 16% to 70%, dependent on concentration of valproate (with the larger increases being seen in pediatric patients at high doses or concentrations of valproate). Patients stabilized on rufinamide before being prescribed valproate should begin valproate therapy at a low dose, and titrate to a clinically effective dose [see Dosage and Administration ( 2.3)] . Similarly, patients on valproate should begin at a rufinamide dose lower than 10 mg/kg per day (pediatric patients) or 400 mg per day (adults).

Tolbutamide

From in vitroexperiments, the unbound fraction of tolbutamide was increased from 20% to 50% when added to plasma samples taken from patients treated with valproate. The clinical relevance of this displacement is unknown.

Warfarin

In an in vitrostudy, valproate increased the unbound fraction of warfarin by up to 32.6%. The therapeutic relevance of this is unknown; however, coagulation tests should be monitored if valproate therapy is instituted in patients taking anticoagulants.

Zidovudine

In six patients who were seropositive for HIV, the clearance of zidovudine (100 mg q8h) was decreased by 38% after administration of valproate (250 or 500 mg q8h); the half-life of zidovudine was unaffected.

Drugs for which either no interaction or a likely clinically unimportant interaction has been observed

Acetaminophen

Valproate had no effect on any of the pharmacokinetic parameters of acetaminophen when it was concurrently administered to three epileptic patients.

Clozapine

In psychotic patients (n = 11), no interaction was observed when valproate was co-administered with clozapine.

Lithium

Co-administration of valproate (500 mg BID) and lithium carbonate (300 mg TID) to normal male volunteers (n = 16) had no effect on the steady-state kinetics of lithium.

Lorazepam

Concomitant administration of valproate (500 mg BID) and lorazepam (1 mg BID) in normal male volunteers (n = 9) was accompanied by a 17% decrease in the plasma clearance of lorazepam.

Olanzapine

No dose adjustment for olanzapine is necessary when olanzapine is administered concomitantly with valproate. Co-administration of valproate (500 mg BID) and olanzapine (5 mg) to healthy adults (n = 10) caused 15% reduction in C maxand 35% reduction in AUC of olanzapine.

Oral Contraceptive Steroids

Administration of a single-dose of ethinyloestradiol (50 mcg)/levonorgestrel (250 mcg) to 6 women on valproate (200 mg BID) therapy for 2 months did not reveal any pharmacokinetic interaction.

2.3 Dosing in Patients Taking Rufinamide

Patients stabilized on rufinamide before being prescribed valproate should begin valproate therapy at a low dose and titrate to a clinically effective dose [see Drug Interactions ( 7.2)] .

5.15 Monitoring: Drug Plasma Concentration

Since valproate may interact with concurrently administered drugs which are capable of enzyme induction, periodic plasma concentration determinations of valproate and concomitant drugs are recommended during the early course of therapy [see Drug Interactions ( 7)] .

5.4 Use in Women of Childbearing Potential

Because of the risk to the fetus of decreased IQ, neurodevelopmental disorders, and major congenital malformations (including neural tube defects), which may occur very early in pregnancy, valproate should not be administered to a woman of childbearing potential unless other medications have failed to provide adequate symptom control or are otherwise unacceptable. This is especially important when valproate use is considered for a condition not usually associated with permanent injury or death such as prophylaxis of migraine headaches [see Contraindications ( 4)] . Women should use effective contraception while using valproate.

Women of childbearing potential should be counseled regularly regarding the relative risks and benefits of valproate use during pregnancy. This is especially important for women planning a pregnancy and for girls at the onset of puberty; alternative therapeutic options should be considered for these patients [see Boxed Warningand Use in Specific Populations ( 8.1) ].

To prevent major seizures, valproate should not be discontinued abruptly, as this can precipitate status epilepticus with resulting maternal and fetal hypoxia and threat to life.

Evidence suggests that folic acid supplementation prior to conception and during the first trimester of pregnancy decreases the risk for congenital neural tube defects in the general population. It is not known whether the risk of neural tube defects or decreased IQ in the offspring of women receiving valproate is reduced by folic acid supplementation. Dietary folic acid supplementation both prior to conception and during pregnancy should be routinely recommended for patients using valproate.

Warning: Life Threatening Adverse Reactions

Hepatotoxicity

General Population: H e p atic failure resulting in fatalities has occurred in patients receiving valproate and its derivatives. These incidents usually have occurred during the first six months of treatment. Serious or fatal hepatotoxicity may be preceded by non-specific symptoms such as malaise, weakness, lethargy, facial edema, anorexia, and vomiting. In patients with epilepsy, a loss of seizure control may also occur. Patients should be monitored closely for appearance of these symptoms. Serum liver tests should be performed prior to therapy and at frequent intervals thereafter, especially during the first six months [see Warnings and Precautions ( 5.1)] .

Children under the age of two years are at a considerably increased risk of developing fatal hepatotoxicity, especially those on multiple anticonvulsants, those with congenital  metabolic disorders, those with severe seizure disorders accompanied by mental retardation, and those with organic brain disease. When Valproic Acid Capsules are used in this patient group, they should be used with extreme caution and as a sole agent. The benefits of therapy should be weighed against the risks. The incidence of fatal hepatotoxicity decreases considerably in progressively older patient groups.

Patients with Mitochondrial Disease: There is an increased risk of valproate-induced acute liver failure and resultant deaths in patients with hereditary neurometabolic syndromes caused by DNA mutations of the mitochondrial DNA Polymerase γ (POLG) gene (e.g. Alpers Huttenlocher Syndrome). Valproic Acid Capsules are contraindicated in patients known to have mitochondrial disorders caused by POLG mutations and children under two years of age who are clinically suspected of having a mitochondrial disorder [see Contraindications ( 4)] . In patients over two years of age who are clinically suspected of having a hereditary mitochondrial disease, Valproic Acid Capsules should only be used after other anticonvulsants have failed. This older group of patients should be closely monitored during treatment with Valproic Acid Capsules for the development of acute liver injury with regular clinical assessments and serum liver testing. POLG mutation screening should be performed in accordance with current clinical practice [see Warnings and Precautions ( 5.1)] .

F e t al Risk

Valproate can cause major congenital malformations, particularly neural tube defects (e.g., spina bifida). In addition, valproate can cause decreased IQ scores and neurodevelopmental disorders following in uteroexposure.

Valproate is therefore contraindicated for prophylaxis of migraine headaches in pregnant women and in women of childbearing potential who are not using effective contraception [see Contraindications ( 4)] . Valproate should not be used to treat women with epilepsy or bipolar disorder who are pregnant or who plan to become pregnant unless other medications have failed to provide adequate symptom control or are otherwise unacceptable.

Valproate should not be administered to a woman of childbearing potential unless other medications have failed to provide adequate symptom control or are otherwise unacceptable. In such situations, effective contraception should be used [see Warnings and Precautions ( 5.2, 5.3, 5.4) ].

A Medication Guide describing the risks of valproate is available for patients [see Patient Counseling Information ( 17)] .

P ancreatitis

Cases of life-threatening pancreatitis have been reported in both children and adults receiving valproate. Some of the cases have been described as hemorrhagic with a rapid progression from initial symptoms to death. Cases have been reported shortly after initial use as well as after several years of use. Patients and guardians should be warned that abdominal pain, nausea, vomiting, and/or anorexia can be symptoms of pancreatitis that require prompt medical evaluation. If pancreatitis is diagnosed, valproate should ordinarily be discontinued. Alternative treatment for the underlying medical condition should be initiated as clinically indicated [see Warnings and Precautions ( 5.5)] .

5.13 Interaction With Carbapenem Antibiotics

Carbapenem antibiotics (for example, ertapenem, imipenem, meropenem; this is not a complete list) may reduce serum valproate concentrations to subtherapeutic levels, resulting in loss of seizure control. Serum valproate concentrations should be monitored frequently after initiating carbapenem therapy. Alternative antibacterial or anticonvulsant therapy should be considered if serum valproate concentrations drop significantly or seizure control deteriorates [see Drug Interactions ( 7.1)] .

5.3 Decreased Iq Following in Utero Exposure

Valproate can cause decreased IQ scores following in uteroexposure. Published epidemiological studies have indicated that children exposed to valproate in uterohave lower cognitive test scores than children exposed in uteroto either another antiepileptic drug or to no antiepileptic drugs. The largest of these studies 1is a prospective cohort study conducted in the United States and United Kingdom that found that children with prenatal exposure to valproate (n = 62) had lower IQ scores at age 6 (97 [95% C.I. 94-101]) than children with prenatal exposure to the other antiepileptic drug monotherapy treatments evaluated: lamotrigine (108 [95% C.I. 105-110]), carbamazepine (105 [95% C.I. 102-108]), and phenytoin (108 [95% C.I. 104-112]). It is not known when during pregnancy cognitive effects in valproate-exposed children occur. Because the women in this study were exposed to antiepileptic drugs throughout pregnancy, whether the risk for decreased IQ was related to a particular time period during pregnancy could not be assessed.

Although all of the available studies have methodological limitations, the weight of the evidence supports the conclusion that valproate exposure in uterocan cause decreased IQ in children.

In animal studies, offspring with prenatal exposure to valproate had malformations similar to those seen in humans and demonstrated neurobehavioral deficits [see Use in Specific Populations ( 8.1)] .

5.17 Effect On Hiv and Cmv Viruses Replication

There are in vitrostudies that suggest valproate stimulates the replication of the HIV and CMV viruses under certain experimental conditions. The clinical consequence, if any, is not known. Additionally, the relevance of these in vitrofindings is uncertain for patients receiving maximally suppressive antiretroviral therapy. Nevertheless, these data should be borne in mind when interpreting the results from regular monitoring of the viral load in HIV infected patients receiving valproate or when following CMV infected patients clinically.

5.8 Bleeding and Other Hematopoietic Disorders

Valproate is associated with dose-related thrombocytopenia. In a clinical trial of Depakote (divalproex sodium) as monotherapy in patients with epilepsy, 34/126 patients (27%) receiving approximately 50 mg/kg/day on average, had at least one value of platelets ≤ 75 x 10 9/L. Approximately half of these patients had treatment discontinued, with return of platelet counts to normal. In the remaining patients, platelet counts normalized with continued treatment. In this study, the probability of thrombocytopenia appeared to increase significantly at total valproate concentrations of ≥ 110 mcg/mL (females) or ≥ 135 mcg/mL (males). The therapeutic benefit which may accompany the higher doses should therefore be weighed against the possibility of a greater incidence of adverse effects. Valproate use has also been associated with decreases in other cell lines and myelodysplasia.

Because of reports of cytopenias, inhibition of the secondary phase of platelet aggregation, and abnormal coagulation parameters, (e.g., low fibrinogen, coagulation factor deficiencies, acquired von Willebrand’s disease), measurements of complete blood counts and coagulation tests are recommended before initiating therapy and at periodic intervals. It is recommended that patients receiving Valproic Acid be monitored for blood counts and coagulation parameters prior to planned surgery and during pregnancy [see Use in Specific Populations ( 8.1)] . Evidence of hemorrhage, bruising, or a disorder of hemostasis/coagulation is an indication for reduction of the dosage or withdrawal of therapy.

5.16 Effect On Ketone and Thyroid Function Tests

Valproate is partially eliminated in the urine as a keto-metabolite which may lead to a false interpretation of the urine ketone test.

There have been reports of altered thyroid function tests associated with valproate. The clinical significance of these is unknown.

8.3 females and Males of Reproductive Potential

Contraception

Women of childbearing potential should use effective contraception while taking valproate [see Boxed Warning, Warnings and Precautions ( 5.4), Drug Interactions ( 7), and Use in Specific Populations ( 8.1)] . This is especially important when valproate use is considered for a condition not usually associated with permanent injury or death such as prophylaxis of migraine headaches [see Contraindications ( 4)] .

Infertility

There have been reports of male infertility coincident with valproate therapy [see Adverse Reactions ( 6.4)] .

In animal studies, oral administration of valproate at clinically relevant doses resulted in adverse reproductive effects in males [see Nonclinical Toxicology ( 13.1)] .

7.1 Effects of Co Administered Drugs On Valproate Clearance

Drugs that affect the level of expression of hepatic enzymes, particularly those that elevate levels of glucuronosyltransferases (such as ritonavir), may increase the clearance of valproate. For example, phenytoin, carbamazepine, and phenobarbital (or primidone) can double the clearance of valproate. Thus, patients on monotherapy will generally have longer half-lives and higher concentrations than patients receiving polytherapy with antiepilepsy drugs.

In contrast, drugs that are inhibitors of cytochrome P450 isozymes, e.g., antidepressants, may be expected to have little effect on valproate clearance because cytochrome P450 microsomal mediated oxidation is a relatively minor secondary metabolic pathway compared to glucuronidation and beta-oxidation.

Because of these changes in valproate clearance, monitoring of valproate and concomitant drug concentrations should be increased whenever enzyme inducing drugs are introduced or withdrawn.

The following list provides information about the potential for an influence of several commonly prescribed medications on valproate pharmacokinetics. The list is not exhaustive nor could it be, since new interactions are continuously being reported.

Drugs for which a potentially important interaction has been observed

Aspirin

A study involving the co-administration of aspirin at antipyretic doses (11 to 16 mg/kg) with valproate to pediatric patients (n = 6) revealed a decrease in protein binding and an inhibition of metabolism of valproate. Valproate free fraction was increased 4-fold in the presence of aspirin compared to valproate alone. The β-oxidation pathway consisting of 2-E-valproic acid, 3-OH-valproic acid, and 3-keto valproic acid was decreased from 25% of total metabolites excreted on valproate alone to 8.3% in the presence of aspirin. Caution should be observed if valproate and aspirin are to be co-administered.

Carbapenem Antibiotics

A clinically significant reduction in serum valproic acid concentration has been reported in patients receiving carbapenem antibiotics (for example, ertapenem, imipenem, meropenem; this is not a complete list) and may result in loss of seizure control. The mechanism of this interaction is not well understood. Serum valproic acid concentrations should be monitored frequently after initiating carbapenem therapy. Alternative antibacterial or anticonvulsant therapy should be considered if serum valproic acid concentrations drop significantly or seizure control deteriorates [see Warnings and Precautions ( 5.13)] .

Cholestyramine

Cholestyramine, when concurrently administered with valproic acid, led to, on average, a 14% decrease in plasma levels of valproic acid in a study conducted in 6 healthy subjects administered valproic acid and cholestyramine. Delaying the administration of cholestyramine relative to valproic acid administration by 3 hours may lessen the interaction.

Estrogen-Containing Hormonal Contraceptives

Estrogen-containing hormonal contraceptives may increase the clearance of valproate, which may result in decreased concentration of valproate and potentially increased seizure frequency. Prescribers should monitor serum valproate concentrations and clinical response when adding or discontinuing estrogen containing products.

Felbamate

A study involving the co-administration of 1,200 mg/day of felbamate with valproate to patients with epilepsy (n = 10) revealed an increase in mean valproate peak concentration by 35% (from 86 to 115 mcg/mL) compared to valproate alone. Increasing the felbamate dose to 2,400 mg/day increased the mean valproate peak concentration to 133 mcg/mL (another 16% increase). A decrease in valproate dosage may be necessary when felbamate therapy is initiated.

Rifampin

A study involving the administration of a single dose of valproate (7 mg/kg) 36 hours after 5 nights of daily dosing with rifampin (600 mg) revealed a 40% increase in the oral clearance of valproate. Valproate dosage adjustment may be necessary when it is co-administered with rifampin.

Drugs for which either no interaction or a likely clinically unimportant interaction has been observed

Antacids

A study involving the co-administration of valproate 500 mg with commonly administered antacids (Maalox, Trisogel, and Titralac - 160 mEq doses) did not reveal any effect on the extent of absorption of valproate.

Chlorpromazine

A study involving the administration of 100 to 300 mg/day of chlorpromazine to schizophrenic patients already receiving valproate (200 mg BID) revealed a 15% increase in trough plasma levels of valproate.

Haloperidol

A study involving the administration of 6 to 10 mg/day of haloperidol to schizophrenic patients already receiving valproate (200 mg BID) revealed no significant changes in valproate trough plasma levels.

Cimetidine and Ranitidine

Cimetidine and ranitidine do not affect the clearance of valproate.

13.1 Carcinogenesis, Mutagenesis, and Impairment of Fertility

C arc i nogenesis

Valproate was administered orally to rats and mice at doses of 80 and 170 mg/kg/day (less than the maximum recommended human dose on a mg/m 2basis) for two years. The primary findings were an increase in the incidence of subcutaneous fibrosarcomas in high-dose male rats receiving valproate and a dose-related trend for benign pulmonary adenomas in male mice receiving valproate.

Mutagenesis

Valproate was not mutagenic in an in vitrobacterial assay (Ames test), did not produce dominant lethal effects in mice, and did not increase chromosome aberration frequency in an in vivocytogenetic study in rats. Increased frequencies of sister chromatid exchange (SCE) have been reported in a study of epileptic children taking valproate; this association was not observed in another study conducted in adults.

I mpairment of Fertility

In chronic toxicity studies in juvenile and adult rats and dogs, administration of valproate resulted in testicular atrophy and reduced spermatogenesis at oral doses of 400 mg/kg/day or greater in rats (approximately equal to or greater than the maximum recommended human dose (MRHD) on a mg/m 2 basis) and 150 mg/kg/day or greater in dogs (approximately equal to or greater than the MRHD on a mg/m 2 basis). Fertility studies in rats have shown no effect on fertility at oral doses of valproate up to 350 mg/kg/day (approximately equal to the MRHD on a mg/m 2 basis) for 60 days.

5.10 Hyperammonemia and Encephalopathy Associated With Concomitant Topiramate Use

Concomitant administration of topiramate and valproate has been associated with hyperammonemia with or without encephalopathy in patients who have tolerated either drug alone. Clinical symptoms of hyperammonemic encephalopathy often include acute alterations in level of consciousness and/or cognitive function with lethargy or vomiting. Hypothermia can also be a manifestation of hyperammonemia [see Warnings and Precautions ( 5.11)] . In most cases, symptoms and signs abated with discontinuation of either drug. This adverse reaction is not due to a pharmacokinetic interaction. Patients with inborn errors of metabolism or reduced hepatic mitochondrial activity may be at an increased risk for hyperammonemia with or without encephalopathy. Although not studied, an interaction of topiramate and valproate may exacerbate existing defects or unmask deficiencies in susceptible persons. In patients who develop unexplained lethargy, vomiting, or changes in mental status, hyperammonemic encephalopathy should be considered and an ammonia level should be measured [see Contraindications ( 4) and Warnings and Precautions ( 5.6, 5.9)] .

5.12 Drug Reaction With Eosinophilia and Systemic Symptoms (dress)/multiorgan Hypersensitivity Reactions

Drug Reaction with Eosinophilia and Systemic Symptoms (DRESS), also known as Multiorgan Hypersensitivity, has been reported in patients taking valproate. DRESS may be fatal or life-threatening. DRESS typically, although not exclusively, presents with fever, rash, lymphadenopathy, and/or facial swelling, in association with other organ system involvement, such as hepatitis, nephritis, hematological abnormalities, myocarditis, or myositis sometimes resembling an acute viral infection. Eosinophilia is often present. Because this disorder is variable in its expression, other organ systems not noted here may be involved. It is important to note that early manifestations of hypersensitivity, such as fever or lymphadenopathy, may be present even though rash is not evident. If such signs or symptoms are present, the patient should be evaluated immediately. Valproate should be discontinued and not be resumed if an alternative etiology for the signs or symptoms cannot be established.


Structured Label Content

Section 42229-5 (42229-5)

Absorption/Bioavailability

Equivalent oral doses of Depakote (divalproex sodium) products and Valproic Acid Capsules deliver equivalent quantities of valproate ion systemically. Although the rate of valproate ion absorption may vary with the formulation administered (liquid, solid, or sprinkle), conditions of use (e.g., fasting or postprandial) and the method of administration (e.g., whether the contents of the capsule are sprinkled on food or the capsule is taken intact), these differences should be of minor clinical importance under the steady state conditions achieved in chronic use in the treatment of epilepsy.

However, it is possible that differences among the various valproate products in T maxand C maxcould be important upon initiation of treatment. For example, in single dose studies, the effect of feeding had a greater influence on the rate of absorption of the Depakote tablet (increase in T maxfrom 4 to 8 hours) than on the absorption of the Depakote sprinkle capsules (increase in T maxfrom 3.3 to 4.8 hours).

While the absorption rate from the G.I. tract and fluctuation in valproate plasma concentrations vary with dosing regimen and formulation, the efficacy of valproate as an anticonvulsant in chronic use is unlikely to be affected. Experience employing dosing regimens from once-a-day to four-times-a-day, as well as studies in primate epilepsy models involving constant rate infusion, indicate that total daily systemic bioavailability (extent of absorption) is the primary determinant of seizure control and that differences in the ratios of plasma peak to trough concentrations between valproate formulations are inconsequential from a practical clinical standpoint.

Co-administration of oral valproate products with food and substitution among the various Depakote and valproate formulations should cause no clinical problems in the management of patients with epilepsy [see Dosage and Administration ( 2.1)] . Nonetheless, any changes in dosage administration, or the addition or discontinuance of concomitant drugs should ordinarily be accompanied by close monitoring of clinical status and valproate plasma concentrations.

Distribution

Protein Binding

The plasma protein binding of valproate is concentration dependent and the free fraction increases from approximately 10% at 40 mcg/mL to 18.5% at 130 mcg/mL. Protein binding of valproate is reduced in the elderly, in patients with chronic hepatic diseases, in patients with renal impairment, and in the presence of other drugs (e.g., aspirin). Conversely, valproate may displace certain protein-bound drugs (e.g., phenytoin, carbamazepine, warfarin, and tolbutamide) [ see Drug Interactions ( 7.2) for more detailed information on the pharmacokinetic interactions of valproate with other drugs ].

CNS Distribution

Valproate concentrations in cerebrospinal fluid (CSF) approximate unbound concentrations in plasma (about 10% of total concentration).

Metabolism

Valproate is metabolized almost entirely by the liver. In adult patients on monotherapy, 30 to 50% of an administered dose appears in urine as a glucuronide conjugate. Mitochondrial β-oxidation is the other major metabolic pathway, typically accounting for over 40% of the dose. Usually, less than 15 to 20% of the dose is eliminated by other oxidative mechanisms. Less than 3% of an administered dose is excreted unchanged in urine.

The relationship between dose and total valproate concentration is nonlinear; concentration does not increase proportionally with the dose, but rather, increases to a lesser extent due to saturable plasma protein binding. The kinetics of unbound drug are linear.

Elimination

Mean plasma clearance and volume of distribution for total valproate are 0.56 L/hr/1.73 m 2and 11 L/1.73 m 2, respectively. Mean plasma clearance and volume of distribution for free valproate are 4.6 L/hr/1.73 m 2and 92 L/1.73 m 2. Mean terminal half-life for valproate monotherapy ranged from 9 to 16 hours following oral dosing regimens of 250 to 1,000 mg.

The estimates cited apply primarily to patients who are not taking drugs that affect hepatic metabolizing enzyme systems. For example, patients taking enzyme-inducing antiepileptic drugs (carbamazepine, phenytoin, and phenobarbital) will clear valproate more rapidly. Because of these changes in valproate clearance, monitoring of antiepileptic concentrations should be intensified whenever concomitant antiepileptics are introduced or withdrawn.

Special Populations

Effect of AgeNeonates

Children within the first two months of life have a markedly decreased ability to eliminate valproate compared to older children and adults. This is a result of reduced clearance (perhaps due to delay in development of glucuronosyltransferase and other enzyme systems involved in valproate elimination) as well as increased volume of distribution (in part due to decreased plasma protein binding). For example, in one study, the half-life in children under 10 days ranged from 10 to 67 hours compared to a range of 7 to 13 hours in children greater than 2 months.

Children

Pediatric patients (i.e., between 3 months and 10 years) have 50% higher clearances expressed on weight (i.e., mL/min/kg) than do adults. Over the age of 10 years, children have pharmacokinetic parameters that approximate those of adults.

Elderly

The capacity of elderly patients (age range: 68 to 89 years) to eliminate valproate has been shown to be reduced compared to younger adults (age range: 22 to 26 years). Intrinsic clearance is reduced by 39%; the free fraction is increased by 44%. Accordingly, the initial dosage should be reduced in the elderly [see Dosage and Administration ( 2.2)] .

Effect of Sex

There are no differences in the body surface area adjusted unbound clearance between males and females (4.8 ± 0.17 and 4.7 ± 0.07 L/hr per 1.73 m 2, respectively).

Effect of Race

The effects of race on the kinetics of valproate have not been studied.

Effect of Disease

Liver Disease

Liver disease impairs the capacity to eliminate valproate. In one study, the clearance of free valproate was decreased by 50% in 7 patients with cirrhosis and by 16% in 4 patients with acute hepatitis, compared with 6 healthy subjects. In that study, the half-life of valproate was increased from 12 to 18 hours. Liver disease is also associated with decreased albumin concentrations and larger unbound fractions (2 to 2.6-fold increase) of valproate. Accordingly, monitoring of total concentrations may be misleading since free concentrations may be substantially elevated in patients with hepatic disease whereas total concentrations may appear to be normal [see Boxed Warning, Contraindications ( 4), and Warnings and Precautions ( 5.1)] .

Renal Disease

A slight reduction (27%) in the unbound clearance of valproate has been reported in patients with renal failure (creatinine clearance < 10 mL/minute); however, hemodialysis typically reduces valproate concentrations by about 20%. Therefore, no dosage adjustment appears to be necessary in patients with renal failure. Protein binding in these patients is substantially reduced; thus, monitoring total concentrations may be misleading.

Section 42231-1 (42231-1)

MEDICATION GUIDE

Valproic Acid (val∙pro∙ic acid) Capsules

Read this Medication Guide before you start taking Valproic Acid Capsules and each time you get a refill. There may be new information. This information does not take the place of talking to your healthcare provider about your medical condition or treatment.

What is the most important information I should know about V a lproic Acid Capsules?

D o not stop taking V a lproic Acid Capsules without first talking to your healthcare provider.

Stopping Valproic Acid suddenly can cause serious problems.

V a lproic Acid Capsules can cause serious side effects, including:

1. S er i o u s liver damage that can cause death, especially in children younger than 2 years old.

The risk of getting this serious liver damage is more likely to happen within the first 6 months of treatment.

Ca l l your healthcare provider right away if you get any of the following symptoms:

  • nausea or vomiting that does not go away
  • loss of appetite
  • pain on the right side of your stomach (abdomen)
  • dark urine
  • swelling of your face
  • yellowing of your skin or the whites of your eyes

In some cases, liver damage may continue despite stopping the drug.

2. Valproic Acid Capsules may harm your unborn baby.

  • If you take Valproic Acid Capsules during pregnancy for any medical condition, your baby is at risk for serious birth defects that affect the brain and spinal cord and are called spina bifida or neural tube defects. These defects occur in 1 to 2 out of every 100 babies born to mothers who use this medicine during pregnancy. These defects can begin in the first month, even before you know you are pregnant. Other birth defects that affect the structures of the heart, head, arms, legs, and the opening where the urine comes out (urethra) on the bottom of the penis can also happen. Decreased hearing or hearing loss can also happen.
  • Birth defects may occur even in children born to women who are not taking any medicines and do not have other risk factors.
  • Taking folic acid supplements before getting pregnant and during early pregnancy can lower the chance of having a baby with a neural tube defect.
  • If you take Valproic Acid Capsules during pregnancy for any medical condition, your child is at risk for having lower IQ and may be at risk for developing autism or attention deficit/hyperactivity disorder.
  • There may be other medicines to treat your condition that have a lower chance of causing birth defects, decreased IQ, or other disorders in your child.
  • Women who are pregnant must not take Valproic Acid Capsules to prevent migraine headaches.
  • All women of childbearing age (including girls from the start of puberty) should talk to their healthcare provider about using other possible treatments instead of Valproic Acid Capsules. If the decision is made to use Valproic Acid Capsules, you should use effective birth control (contraception).
  • Tell your healthcare provider right away if you become pregnant while taking Valproic Acid Capsules. You and your healthcare provider should decide if you will continue to take Valproic Acid Capsules while you are pregnant.
  • Pregnancy Registry: If you become pregnant while taking Valproic Acid Capsules, talk to your healthcare provider about registering with the North American Antiepileptic Drug Pregnancy Registry. You can enroll in this registry by calling toll-free 1-888-233-2334 or by visiting the website, http://www.aedpregnancyregistry.org/. The purpose of this registry is to collect information about the safety of antiepileptic drugs during pregnancy.

3. Inflammation of your pancreas that can cause death.

Call your healthcare provider right away if you have any of these symptoms:

  • severe stomach pain that you may also feel in your back
  • nausea or vomiting that does not go away

4. Like other antiepileptic drugs, Valproic Acid Capsules may cause suicidal thoughts or actions in a very small number of people, about 1 in 500.

Call a healthcare provider right away if you have any of these symptoms, especially if they are new, worse, or worry you:

  • thoughts about suicide or dying
  • attempts to commit suicide
  • new or worse depression
  • new or worse anxiety
  • feeling agitated or restless
  • panic attacks
  • trouble sleeping (insomnia)
  • new or worse irritability
  • acting aggressive, being angry, or violent
  • acting on dangerous impulses
  • an extreme increase in activity and talking (mania)
  • other unusual changes in behavior or mood

H ow can I watch for early symptoms of suicidal thoughts and actions?

  • Pay attention to any changes, especially sudden changes in mood, behaviors, thoughts, or feelings.
  • Keep all follow-up visits with your healthcare provider as scheduled.

Call your healthcare provider between visits as needed, especially if you are worried about symptoms.

D o not stop V a lproic Acid Capsules without first talking to a healthcare provider.Stopping Valproic Acid Capsules suddenly can cause serious problems. Stopping a seizure medicine suddenly in a patient who has epilepsy can cause seizures that will not stop (status epilepticus).

Suicidal thoughts or actions can be caused by things other than medicines. If you have suicidal thoughts or actions, your healthcare provider may check for other causes.

What are V a lproic Acid Capsules?

Valproic Acid Capsules are prescription medicines used alone or with other medicines, to treat:

  • complex partial seizures in adults and children 10 years of age and older
  • simple and complex absence seizures, with or without other seizure types

Who should not take V a lproic Acid Capsules?

Do not take Valproic Acid Capsules if you:

  • have liver problems
  • have or think you have a genetic liver problem caused by a mitochondrial disorder (e.g. Alpers-Huttenlocher syndrome)
  • are allergic to divalproex sodium, valproic acid, sodium valproate, or any of the ingredients in Valproic Acid Capsules. See the end of this leaflet for a complete list of ingredients in Valproic Acid Capsules.
  • have a genetic problem called urea cycle disorder
  • are taking it to prevent migraine headaches and are either pregnant or may become pregnant because you are not using effective birth control (contraception)

What should I tell my healthcare provider before taking Valproic Acid Capsules?

Before you take Valproic Acid Capsules, tell your healthcare provider if you:

  • have a genetic liver problem caused by a mitochondrial disorder (e.g. Alpers-Huttenlocher syndrome)
  • drink alcohol
  • are pregnant or breastfeeding. Valproic Acid can pass into breast milk. Talk to your healthcare provider about the best way to feed your baby if you take Valproic Acid Capsules.
  • have or have had depression, mood problems, or suicidal thoughts or behavior
  • have any other medical conditions

T e l l your healthcare provider about all the medicines you take,including prescription and non-prescription medicines, vitamins, herbal supplements and medicines that you take for a short period of time.

Taking Valproic Acid Capsules with certain other medicines can cause side effects or affect how well they work. Do not start or stop other medicines without talking to your healthcare provider.

Know the medicines you take. Keep a list of them and show it to your healthcare provider and pharmacist each time you get a new medicine.

Ho w should I take V a lproic Acid Capsules?

  • Take Valproic Acid Capsules exactly as your healthcare provider tells you. Your healthcare provider will tell you how much Valproic Acid Capsules to take and when to take it.
  • Your healthcare provider may change your dose.
  • Do not change your dose of Valproic Acid without talking to your healthcare provider.
  • Do not stop taking Valproic Acid Capsules without first talking to your healthcare provider. Stopping Valproic Acid suddenly can cause serious problems.
  • Swallow Valproic Acid Capsules whole. Do not crush or chew Valproic Acid Capsules. Tell your healthcare provider if you cannot swallow Valproic Acid Capsules whole. You may need a different medicine.
  • If you take too much Valproic Acid, call your healthcare provider or local Poison Control Center right away.

What should I avoid while taking V a lproic Acid Capsules?

  • Valproic Acid Capsules can cause drowsiness and dizziness. Do not drink alcohol or take other medicines that make you sleepy or dizzy while taking Valproic Acid Capsules, until you talk with your doctor. Taking Valproic Acid Capsules with alcohol or drugs that cause sleepiness or dizziness may make your sleepiness or dizziness worse.
  • Do not drive a car or operate dangerous machinery until you know how Valproic Acid Capsules affect you. Valproic Acid Capsules can slow your thinking and motor skills.

What are the possible side effects of V a lproic Acid Capsules?

  • See What is the most important information I should know about Valproic Acid Capsules?

Valproic Acid Capsules can cause serious side effects including:

  • Bleeding problems:red or purple spots on your skin, bruising, pain and swelling into your joints due to bleeding or bleeding from your mouth or nose.
  • High ammonia levels in your blood:feeling tired, vomiting, changes in mental status.
  • Low body temperature (hypothermia):drop in your body temperature to less than 95°F, feeling tired, confusion, coma.
  • Allergic (hypersensitivity) reactions:fever, skin rash, hives, sores in your mouth, blistering and peeling of your skin, swelling of your lymph nodes, swelling of your face, eyes, lips, tongue, or throat, trouble swallowing or breathing.
  • Drowsiness or sleepiness in the elderly.This extreme drowsiness may cause you to eat or drink less than you normally would. Tell your doctor if you are not able to eat or drink as you normally do. Your doctor may start you at a lower dose of Valproic Acid.

Call your healthcare provider right away, if you have any of the symptoms listed above.

Th e common side effects of V a lproic Acid Capsules include:

  • nausea
  • headache
  • sleepiness
  • vomiting
  • weakness
  • tremor
  • dizziness
  • stomach pain
  • blurry vision
  • double vision
  • diarrhea
  • increased appetite
  • weight gain
  • hair loss
  • loss of appetite
  • problems with walking or coordination

These are not all of the possible side effects of Valproic Acid Capsules. For more information, ask your healthcare provider or pharmacist.

Tell your healthcare provider if you have any side effect that bothers you or that does not go away.

Call your doctor for medical advice about side effects. You may report side effects to FDA at 1-800-FDA-1088.

Ho w should I store Valproic Acid Capsules?

  • Store Valproic Acid Capsules at 59°F to 77°F (15°C to 25°C).

K e e p Valproic Acid Capsules and all medicines out of the reach of children.

G e neral information about the safe and effective use of Valproic Acid Capsules

Medicines are sometimes prescribed for purposes other than those listed in a Medication Guide. Do not use Valproic Acid Capsules for a condition for which it was not prescribed. Do not give Valproic Acid Capsules to other people, even if they have the same symptoms that you have. It may harm them.

This Medication Guide summarizes the most important information about Valproic Acid Capsules. If you would like more information, talk with your healthcare provider. You can ask your pharmacist or healthcare provider for information about Valproic Acid Capsules that is written for health professionals.

For more information, call 1-888-235-2466.

What are the ingredients in Valproic Acid Capsules?

Active ingredient :valproic acid

Inactive ingredients :Corn oil, FD&C Blue No. 1, gelatin, glycerin, purified water and titanium dioxide.

This Medication Guide has been approved by the U.S. Food and Drug Administration.

Manufactured for:

Bionpharma Inc.

Princeton, NJ 08540, USA

MADE IN INDIA

Code: TN/DRUGS/TN00002123

2411272

Rev. 7/2024

6.2 Mania

Although Valproic Acid has not been evaluated for safety and efficacy in the treatment of manic episodes associated with bipolar disorder, the following adverse reactions not listed above were reported by 1% or more of patients from two placebo-controlled clinical trials of Depakote (divalproex sodium) tablets.

Body as a Whole: Chills, neck pain, neck rigidity.

Cardiovascular System:Hypotension, postural hypotension, vasodilation.

Digestive System:Fecal incontinence, gastroenteritis, glossitis.

Musculoskeletal System:Arthrosis.

Nervous System:Agitation, catatonic reaction, hypokinesia, reflexes increased, tardive dyskinesia, vertigo.

Skin and Appendages:Furunculosis, maculopapular rash, seborrhea.

Special Senses: Conjunctivitis, dry eyes, eye pain.

Urogenital System:Dysuria.

1.1 Epilepsy

Valproic Acid Capsules are indicated as monotherapy and adjunctive therapy in the treatment of patients with complex partial seizures that occur either in isolation or in association with other types of seizures. Valproic Acid Capsules are indicated for use as sole and adjunctive therapy in the treatment of simple and complex absence seizures, and adjunctively in patients with multiple seizure types which include absence seizures.

Simple absence is defined as very brief clouding of the sensorium or loss of consciousness accompanied by certain generalized epileptic discharges without other detectable clinical signs. Complex absence is the term used when other signs are also present.

See Warnings and Precautions ( 5.1) for statement regarding fatal hepatic dysfunction.

2.1 Epilepsy

Valproic Acid Capsules are intended for oral administration. Valproic Acid Capsules should be swallowed whole without chewing to avoid local irritation of the mouth and throat.

Patients should be informed to take Valproic Acid Capsules every day as prescribed. If a dose is missed it should be taken as soon as possible, unless it is almost time for the next dose. If a dose is skipped, the patient should not double the next dose.

Valproic Acid Capsules are indicated as monotherapy and adjunctive therapy in complex partial seizures in adults and pediatric patients down to the age of 10 years, and in simple and complex absence seizures. As the Valproic Acid dosage is titrated upward, concentrations of clonazepam, diazepam, ethosuximide, lamotrigine, tolbutamide, phenobarbital, carbamazepine, and/or phenytoin may be affected [see Drug Interactions ( 7.2)] .

Complex Partial Seizures

For adults and children 10 years of age or older.

Monotherapy (Initial Therapy)

Valproic Acid Capsules have not been systematically studied as initial therapy. Patients should initiate therapy at 10 to 15 mg/kg/day. The dosage should be increased by 5 to 10 mg/kg/week to achieve optimal clinical response. Ordinarily, optimal clinical response is achieved at daily doses below 60 mg/kg/day. If satisfactory clinical response has not been achieved, plasma levels should be measured to determine whether or not they are in the usually accepted therapeutic range (50 to 100 mcg/mL). No recommendation regarding the safety of valproate for use at doses above 60 mg/kg/day can be made.

The probability of thrombocytopenia increases significantly at total trough valproate plasma concentrations above 110 mcg/mL in females and 135 mcg/mL in males. The benefit of improved seizure control with higher doses should be weighed against the possibility of a greater incidence of adverse reactions.

Conversion to Monotherapy

Patients should initiate therapy at 10 to 15 mg/kg/day. The dosage should be increased by 5 to 10 mg/kg/week to achieve optimal clinical response. Ordinarily, optimal clinical response is achieved at daily doses below 60 mg/kg/day. If satisfactory clinical response has not been achieved, plasma levels should be measured to determine whether or not they are in the usually accepted therapeutic range (50 to 100 mcg/mL). No recommendation regarding the safety of valproate for use at doses above 60 mg/kg/day can be made. Concomitant antiepilepsy drug (AED) dosage can ordinarily be reduced by approximately 25% every 2 weeks. This reduction may be started at initiation of Valproic Acid therapy, or delayed by 1 to 2 weeks if there is a concern that seizures are likely to occur with a reduction. The speed and duration of withdrawal of the concomitant AED can be highly variable, and patients should be monitored closely during this period for increased seizure frequency.

Adjunctive Therapy

Valproic Acid Capsules may be added to the patient's regimen at a dosage of 10 to 15 mg/kg/day. The dosage may be increased by 5 to 10 mg/kg/week to achieve optimal clinical response. Ordinarily, optimal clinical response is achieved at daily doses below 60 mg/kg/day. If satisfactory clinical response has not been achieved, plasma levels should be measured to determine whether or not they are in the usually accepted therapeutic range (50 to 100 mcg/mL). No recommendation regarding the safety of valproate for use at doses above 60 mg/kg/day can be made. If the total daily dose exceeds 250 mg, it should be given in divided doses.

In a study of adjunctive therapy for complex partial seizures in which patients were receiving either carbamazepine or phenytoin in addition to Depakote tablets, no adjustment of carbamazepine or phenytoin dosage was needed [see Clinical Studies ( 14)] . However, since valproate may interact with these or other concurrently administered AEDs as well as other drugs, periodic plasma concentration determinations of concomitant AEDs are recommended during the early course of therapy [see Drug Interactions ( 7)] .

Si m pl e and Complex Absence Seizures

The recommended initial dose is 15 mg/kg/day, increasing at one-week intervals by 5 to 10 mg/kg/day until seizures are controlled or side effects preclude further increases. The maximum recommended dosage is 60 mg/kg/day. If the total daily dose exceeds 250 mg, it should be given in divided doses.

A good correlation has not been established between daily dose, serum concentrations, and therapeutic effect. However, therapeutic valproate serum concentration for most patients with absence seizures is considered to range from 50 to 100 mcg/mL. Some patients may be controlled with lower or higher serum concentrations [see Clinical Pharmacology ( 12.3)] .

As the Valproic acid dosage is titrated upward, blood concentrations of phenobarbital and/or phenytoin may be affected [see Drug Interactions ( 7.2)] .

Antiepilepsy drugs should not be abruptly discontinued in patients in whom the drug is administered to prevent major seizures because of the strong possibility of precipitating status epilepticus with attendant hypoxia and threat to life.

The following table is a guide for the initial daily dose of Valproic Acid Capsules (15 mg/kg/day):

Table 1. Initial Daily Dose

Weight

Total Daily Dose (mg)

Number of Capsules

(Kg)

(Lb)

Dose 1

Dose 2

Dose 3

10 to 24.9

22 to 54.9

250

0

0

1

25 to 39.9

55 to 87.9

500

1

0

1

40 to 59.9

88 to 131.9

750

1

1

1

60 to 74.9

132 to 164.9

1,000

1

1

2

75 to 89.9

165 to 197.9

1,250

2

1

2

6.1 Epilepsy

The data described in the following section were obtained using Depakote (divalproex sodium) tablets.

Based on a placebo-controlled trial of adjunctive therapy for treatment of complex partial seizures, Depakote (divalproex sodium) was generally well tolerated with most adverse reactions rated as mild to moderate in severity. Intolerance was the primary reason for discontinuation in the Depakote-treated patients (6%), compared to 1% of placebo-treated patients.

Table 3 lists treatment-emergent adverse reactions which were reported by ≥ 5% of Depakote-treated patients and for which the incidence was greater than in the placebo group, in a placebo-controlled trial of adjunctive therapy for treatment of complex partial seizures. Since patients were also treated with other antiepilepsy drugs, it is not possible, in most cases, to determine whether the following adverse reactions can be ascribed to Depakote alone, or the combination of Depakote and other antiepilepsy drugs.

Table 3. Adverse Reactions Reported by ≥ 5% of Patients Treated with Depakote During Placebo-Controlled Trial of Adjunctive Therapy for Complex Partial Seizures
Body System/Reaction Depakote

(n = 77) %
Placebo

(n = 70) %
Body as a Whole
  Headache 31 21
  Asthenia 27 7
  Fever 6 4
Gastrointestinal System
  Nausea 48 14
  Vomiting 27 7
  Abdominal Pain 23 6
  Diarrhea 13 6
  Anorexia 12 0
  Dyspepsia 8 4
  Constipation 5 1
Nervous System
  Somnolence 27 11
  Tremor 25 6
  Dizziness 25 13
  Diplopia 16 9
  Amblyopia/Blurred Vision 12 9
  Ataxia 8 1
  Nystagmus 8 1
  Emotional Lability 6 4
  Thinking Abnormal 6 0
  Amnesia 5 1
Respiratory System
  Flu Syndrome 12 9
  Infection 12 6
  Bronchitis 5 1
  Rhinitis 5 4
Other
  Alopecia 6 1
  Weight Loss 6 0

Table 4 lists treatment-emergent adverse reactions which were reported by ≥ 5% of patients in the high dose Depakote group, and for which the incidence was greater than in the low dose group, in a controlled trial of Depakote monotherapy treatment of complex partial seizures. Since patients were being titrated off another antiepilepsy drug during the first portion of the trial, it is not possible, in many cases, to determine whether the following adverse reactions can be ascribed to Depakote alone, or the combination of Depakote and other antiepilepsy drugs.

Table 4. Adverse Reactions Reported by ≥ 5% of Patients in the High Dose Group in the Controlled Trial of Depakote Monotherapy for Complex Partial Seizures
Headache was the only adverse reaction that occurred in ≥ 5% of patients in the high dose group and at an equal or greater incidence in the low dose group.
Body System/Reaction High Dose

(n = 131) %
Low Dose

(n = 134) %
Body as a Whole
  Asthenia 21 10
Digestive System
  Nausea 34 26
  Diarrhea 23 19
  Vomiting 23 15
  Abdominal Pain 12 9
  Anorexia 11 4
  Dyspepsia 11 10
Hemic/Lymphatic System
  Thrombocytopenia 24 1
  Ecchymosis 5 4
Metabolic/Nutritional
  Weight Gain 9 4
  Peripheral Edema 8 3
Nervous System
  Tremor 57 19
  Somnolence 30 18
  Dizziness 18 13
  Insomnia 15 9
  Nervousness 11 7
  Amnesia 7 4
  Nystagmus 7 1
  Depression 5 4
Respiratory System
  Infection 20 13
  Pharyngitis 8 2
  Dyspnea 5 1
Skin and Appendages
  Alopecia 24 13
Special Senses
  Amblyopia/Blurred Vision 8 4
  Tinnitus 7 1

The following additional adverse reactions were reported by greater than 1% but less than 5% of the 358 patients treated with Depakote in the controlled trials of complex partial seizures:

Body as a Whole:Back pain, chest pain, malaise.

Cardiovascular System:Tachycardia, hypertension, palpitation.

Digestive System:Increased appetite, flatulence, hematemesis, eructation, pancreatitis, periodontal abscess.

Hemic and Lymphatic System:Petechia.

Metabolic and Nutritional Disorders:SGOT increased, SGPT increased.

Musculoskeletal System: Myalgia, twitching, arthralgia, leg cramps, myasthenia.

Nervous System:Anxiety, confusion, abnormal gait, paresthesia, hypertonia, incoordination, abnormal dreams, personality disorder.

Respiratory System:Sinusitis, cough increased, pneumonia, epistaxis.

Skin and Appendages:Rash, pruritus, dry skin.

Special Senses:Taste perversion, abnormal vision, deafness, otitis media.

Urogenital System:Urinary incontinence, vaginitis, dysmenorrhea, amenorrhea, urinary frequency.

6.3 Migraine

Although Valproic Acid has not been evaluated for safety and efficacy in the prophylactic treatment of migraine headaches, the following adverse reactions not listed above were reported by 1% or more of patients from two placebo-controlled clinical trials of Depakote (divalproex sodium) tablets.

Body as a Whole:Face edema.

Digestive System:Dry mouth, stomatitis.

Urogenital System:Cystitis, metrorrhagia, and vaginal hemorrhage.

10 Overdosage (10 OVERDOSAGE)

Overdosage with valproate may result in somnolence, heart block, deep coma, and hypernatremia. Fatalities have been reported; however, patients have recovered from valproate levels as high as 2,120 mcg/mL.

In overdose situations, the fraction of drug not bound to protein is high and hemodialysis or tandem hemodialysis plus hemoperfusion may result in significant removal of drug. The benefit of gastric lavage or emesis will vary with the time since ingestion. General supportive measures should be applied with particular attention to the maintenance of adequate urinary output.

Naloxone has been reported to reverse the CNS depressant effects of valproate overdosage. Because naloxone could theoretically also reverse the antiepileptic effects of valproate, it should be used with caution in patients with epilepsy.

14.1 Epilepsy

The efficacy of Depakote in reducing the incidence of complex partial seizures (CPS) that occur in isolation or in association with other seizure types was established in two controlled trials.

In one, multi-clinic, placebo-controlled study employing an add-on design (adjunctive therapy), 144 patients who continued to suffer eight or more CPS per 8 weeks during an 8-week period of monotherapy with doses of either carbamazepine or phenytoin sufficient to assure plasma concentrations within the "therapeutic range" were randomized to receive, in addition to their original antiepilepsy drug (AED), either Depakote or placebo. Randomized patients were to be followed for a total of 16 weeks. The following table presents the findings.

Table 5. Adjunctive Therapy Study Median Incidence of CPS per 8 Weeks
Add-on Treatment Number of Patients Baseline Incidence Experimental Incidence
Depakote 75 16.0 8.9
Reduction from baseline statistically significantly greater for Depakote than placebo at p ≤ 0.05 level.
Placebo 69 14.5 11.5

Figure 1 presents the proportion of patients (X axis) whose percentage reduction from baseline in complex partial seizure rates was at least as great as that indicated on the Y axis in the adjunctive therapy study. A positive percent reduction indicates an improvement (i.e., a decrease in seizure frequency), while a negative percent reduction indicates worsening. Thus, in a display of this type, the curve for an effective treatment is shifted to the left of the curve for placebo. This figure shows that the proportion of patients achieving any particular level of improvement was consistently higher for Depakote than for placebo. For example, 45% of patients treated with Depakote had a ≥ 50% reduction in complex partial seizure rate compared to 23% of patients treated with placebo.

Figure 1

The second study assessed the capacity of Depakote to reduce the incidence of CPS when administered as the sole AED. The study compared the incidence of CPS among patients randomized to either a high or low dose treatment arm. Patients qualified for entry into the randomized comparison phase of this study only if 1) they continued to experience 2 or more CPS per 4 weeks during an 8 to 12-week long period of monotherapy with adequate doses of an AED (i.e., phenytoin, carbamazepine, phenobarbital, or primidone) and 2) they made a successful transition over a two-week interval to Depakote. Patients entering the randomized phase were then brought to their assigned target dose, gradually tapered off their concomitant AED and followed for an interval as long as 22 weeks. Less than 50% of the patients randomized, however, completed the study. In patients converted to Depakote monotherapy, the mean total valproate concentrations during monotherapy were 71 and 123 mcg/mL in the low dose and high dose groups, respectively.

The following table presents the findings for all patients randomized who had at least one post-randomization assessment.

Table 6. Monotherapy Study Median Incidence of CPS per 8 Weeks
Treatment Number of Patients Baseline Incidence Randomized Phase Incidence
High dose Depakote 131 13.2 10.7
Reduction from baseline statistically significantly greater for high dose than low dose at p ≤ 0.05 level.
Low dose Depakote 134 14.2 13.8

Figure 2 presents the proportion of patients (X axis) whose percentage reduction from baseline in complex partial seizure rates was at least as great as that indicated on the Y axis in the monotherapy study. A positive percent reduction indicates an improvement (i.e., a decrease in seizure frequency), while a negative percent reduction indicates worsening. Thus, in a display of this type, the curve for a more effective treatment is shifted to the left of the curve for a less effective treatment. This figure shows that the proportion of patients achieving any particular level of reduction was consistently higher for high dose Depakote than for low dose Depakote. For example, when switching from carbamazepine, phenytoin, phenobarbital or primidone monotherapy to high dose Depakote monotherapy, 63% of patients experienced no change or a reduction in complex partial seizure rates compared to 54% of patients receiving low dose Depakote.

Figure 2

Information on pediatric studies is presented in section 8.

15 References (15 REFERENCES)
  • Meador KJ, Baker GA, Browning N, et al. Fetal antiepileptic drug exposure and cognitive outcomes at age 6 years (NEAD study): a prospective observational study. Lancet Neurology 2013; 12 (3):244-252.
8.1 Pregnancy

Pregnancy Exposure Registry

There is a pregnancy exposure registry that monitors pregnancy outcomes in women exposed to antiepileptic drugs (AEDs), including Valproic Acid, during pregnancy. Encourage women who are taking valproic acid during pregnancy to enroll in the North American Antiepileptic Drug (NAAED) Pregnancy Registry by calling toll-free 1-888-233-2334 or visiting the website, http://www.aedpregnancyregistry.org/. This must be done by the patient herself.

Risk Summary

For use in prophylaxis of migraine headaches, valproate is contraindicated in women who are pregnant and in women of childbearing potential who are not using effective contraception [see Contraindications ( 4)] .

For use in epilepsy or bipolar disorder, valproate should not be used to treat women who are pregnant or who plan to become pregnant unless other medications have failed to provide adequate symptom control or are otherwise unacceptable [see Boxed Warningand Warnings and Precautions ( 5.2, 5.3)] . Women with epilepsy who become pregnant while taking valproate should not discontinue valproate abruptly, as this can precipitate status epilepticus with resulting maternal and fetal hypoxia and threat to life.

Maternal valproate use during pregnancy for any indication increases the risk of congenital malformations, particularly neural tube defects including spina bifida, but also malformations involving other body systems (e.g., craniofacial defects including oral clefts, cardiovascular malformations, hypospadias, limb malformations). This risk is dose-dependent; however, a threshold dose below which no risk exists cannot be established.  In uteroexposure to valproate may also result in hearing impairment or hearing loss. Valproate polytherapy with other AEDs has been associated with an increased frequency of congenital malformations compared with AED monotherapy. The risk of major structural abnormalities is greatest during the first trimester; however, other serious developmental effects can occur with valproate use throughout pregnancy. The rate of congenital malformations among babies born to epileptic mothers who used valproate during pregnancy has been shown to be about four times higher than the rate among babies born to epileptic mothers who used other anti-seizure monotherapies  [see Warnings and Precautions ( 5.2) and Data (Human)].

Epidemiological studies have indicated that children exposed to valproate  in uterohave lower IQ scores and a higher risk of neurodevelopmental disorders compared to children exposed to either another AED  in utero or to no AEDs  in utero  [see Warnings and Precautions ( 5.3 and Data (Human)].

An observational study has suggested that exposure to valproate products during pregnancy increases the risk of autism spectrum disorders  [see Data (Human)]

In animal studies, valproate administration during pregnancy resulted in fetal structural malformations similar to those seen in humans and  neurobehavioral deficits in the offspring at clinically relevant doses [see Data (Animal)].

There have been reports of hypoglycemia in neonates and fatal cases of hepatic failure in infants following maternal use of valproate during pregnancy.

Pregnant women taking valproate may develop hepatic failure or clotting abnormalities including thrombocytopenia, hypofibrinogenemia, and/or decrease in other coagulation factors, which may result in hemorrhagic complications in the neonate including death [see Warnings and Precautions ( 5.1, 5.8)] .

Available prenatal diagnostic testing to detect neural tube and other defects should be offered to pregnant women using valproate.

Evidence suggests that folic acid supplementation prior to conception and during the first trimester of pregnancy decreases the risk for congenital neural tube defects in the general population. It is not known whether the risk of neural tube defects or decreased IQ in the offspring of women receiving valproate is reduced by folic acid supplementation. Dietary folic acid supplementation both prior to conception and during pregnancy should be routinely recommended for patients using valproate [see Warnings and Precautions ( 5.2, 5.4)].

All pregnancies have a background risk of birth defect, loss, or other adverse outcomes. In the U.S. general population, the estimated background risk of major birth defects and miscarriage in clinically recognized pregnancies is 2 to 4% and 15 to 20%, respectively.

Clinical Considerations

Disease-associated maternal and/or embryo/fetal risk

To prevent major seizures, women with epilepsy should not discontinue valproate abruptly, as this can precipitate status epilepticus with resulting maternal and fetal hypoxia and threat to life. Even minor seizures may pose some hazard to the developing embryo or fetus [see Warnings and Precautions ( 5.4)] . However, discontinuation of the drug may be considered prior to and during pregnancy in individual cases if the seizure disorder severity and frequency do not pose a serious threat to the patient.

Maternal adverse reactions

Pregnant women taking valproate may develop clotting abnormalities including thrombocytopenia, hypofibrinogenemia, and/or decrease in other coagulation factors, which may result in hemorrhagic complications in the neonate including death [see Warnings and Precautions ( 5.8)] . If valproate is used in pregnancy, the clotting parameters should be monitored carefully in the mother. If abnormal in the mother, then these parameters should also be monitored in the neonate.

Patients taking valproate may develop hepatic failure [see Boxed Warningand Warnings and Precautions ( 5.1)] . Fatal cases of hepatic failure in infants exposed to valproate in uterohave also been reported following maternal use of valproate during pregnancy.

Hypoglycemia has been reported in neonates whose mothers have taken valproate during pregnancy.

Data

Human

Neural tube defects and other structural abnormalities

There is an extensive body of evidence demonstrating that exposure to valproate  in utero increases the risk of neural tube defects and other structural abnormalities. Based on published data from the CDC’s National Birth Defects Prevention Network, the risk of spina bifida in the general population is about 0.06 to 0.07% (6 to 7 in 10,000 births) compared to the risk following  in utero valproate exposure estimated to be approximately 1 to 2% (100 to 200 in 10,000 births).

The NAAED Pregnancy Registry has reported a major malformation rate of 9 to 11% in the offspring of women exposed to an average of 1,000 mg/day of valproate monotherapy during pregnancy. These data show an up to a five-fold increased risk for any major malformation following valproate exposure  in utero compared to the risk following exposure  in utero to other AEDs taken as monotherapy. The major congenital malformations included cases of neural tube defects, cardiovascular malformations, craniofacial defects (e.g., oral clefts, craniosynostosis), hypospadias, limb malformations (e.g., clubfoot, polydactyly), and other malformations of varying severity involving other body systems [see Warnings and Precautions ( 5.2)] .

Effect on IQ and neurodevelopmental effects

Published epidemiological studies have indicated that children exposed to valproate  in utero have lower IQ scores than children exposed to either another AED  in utero or to no AEDs  in utero. The largest of these studies 1is a prospective cohort study conducted in the United States and United Kingdom that found that children with prenatal exposure to valproate (n = 62) had lower IQ scores at age 6 (97 [95% C.I. 94-101]) than children with prenatal exposure to the other anti-epileptic drug monotherapy treatments evaluated: lamotrigine (108 [95% C.I. 105-110]), carbamazepine (105 [95% C.I. 102-108]) and phenytoin (108 [95% C.I. 104-112]). It is not known when during pregnancy cognitive effects in valproate-exposed children occur. Because the women in this study were exposed to AEDs throughout pregnancy, whether the risk for decreased IQ was related to a particular time period during pregnancy could not be assessed [see Warnings and Precautions ( 5.3)] .

Although the available studies have methodological limitations, the weight of the evidence supports a causal association between valproate exposure  in utero and subsequent adverse effects on neurodevelopment, including increases in autism spectrum disorders and attention deficit/hyperactivity disorder (ADHD). An observational study has suggested that exposure to valproate products during pregnancy increases the risk of autism spectrum disorders. In this study, children born to mothers who had used valproate products during pregnancy had 2.9 times the risk (95% confidence interval [CI]: 1.7-4.9) of developing autism spectrum disorders compared to children born to mothers not exposed to valproate products during pregnancy. The absolute risks for autism spectrum disorders were 4.4% (95% CI: 2.6%-7.5%) in valproate-exposed children and 1.5% (95% CI: 1.5%-1.6%) in children not exposed to valproate products. Another observational study found that children who were exposed to valproate in uterohad an increased risk of ADHD (adjusted HR 1.48; 95% CI, 1.09‑2.00) compared with the unexposed children. Because these studies were observational in nature, conclusions regarding a causal association between in uterovalproate exposure and an increased risk of autism spectrum disorder and ADHD cannot be considered definitive.

Other

There are published case reports of fatal hepatic failure in offspring of women who used valproate during pregnancy.

Animal

In developmental toxicity studies conducted in mice, rats, rabbits, and monkeys, increased rates of fetal structural abnormalities, intrauterine growth retardation, and embryo-fetal death occurred following administration of valproate to pregnant animals during organogenesis at clinically relevant doses (calculated on a body surface area [mg/m 2] basis). Valproate induced malformations of multiple organ systems, including skeletal, cardiac, and urogenital defects. In mice, in addition to other malformations, fetal neural tube defects have been reported following valproate administration during critical periods of organogenesis, and the teratogenic response correlated with peak maternal drug levels. Behavioral abnormalities (including cognitive, locomotor, and social interaction deficits) and brain histopathological changes have also been reported in mice and rat offspring exposed prenatally to clinically relevant doses of valproate.

8.2 Lactation

Risk Summary

Valproate is excreted in human milk. Data in the published literature describe the presence of valproate in human milk (range: 0.4 mcg/mL to 3.9 mcg/mL), corresponding to 1% to 10% of maternal serum levels. Valproate serum concentrations collected from breastfed infants aged 3 days postnatal to 12 weeks following delivery ranged from 0.7 mcg/mL to 4 mcg/mL, which were 1% to 6% of maternal serum valproate levels. A published study in children up to six years of age did not report adverse developmental or cognitive effects following exposure to valproate via breast milk [see Data (Human)].

There are no data to assess the effects of valproic acid on milk production or excretion.

Clinical Considerations

The developmental and health benefits of breastfeeding should be considered along with the mother’s clinical need for valproic acid and any potential adverse effects on the breastfed infant from valproic acid or from the underlying maternal condition.

Monitor the breastfed infant for signs of liver damage including jaundice and unusual bruising or bleeding. There have been reports of hepatic failure and clotting abnormalities in offspring of women who used valproate during pregnancy [see Use in Specific Populations ( 8.1)] .

Data

Human

In a published study, breast milk and maternal blood samples were obtained from 11 epilepsy patients taking valproate at doses ranging from 300 mg/day to 2,400 mg/day on postnatal days 3 to 6. In 4 patients who were taking valproate only, breast milk contained an average valproate concentration of 1.8 mcg/mL (range: 1.1 mcg/mL to 2.2 mcg/mL), which corresponded to 4.8% of the maternal plasma concentration (range: 2.7% to 7.4%). Across all patients (7 of whom were taking other AEDs concomitantly), similar results were obtained for breast milk concentration (1.8 mcg/mL, range: 0.4 mcg/mL to 3.9 mcg/mL) and maternal plasma ratio (5.1%, range: 1.3% to 9.6%).

A published study of 6 breastfeeding mother-infant pairs measured serum valproate levels during maternal treatment for bipolar disorder (750 mg/day or 1,000 mg/day). None of the mothers received valproate during pregnancy, and infants were aged from 4 weeks to 19 weeks at the time of evaluation. Infant serum levels ranged from 0.7 mcg/mL to 1.5 mcg/mL. With maternal serum valproate levels near or within the therapeutic range, infant exposure was 0.9% to 2.3% of maternal levels. Similarly, in 2 published case reports with maternal doses of 500 mg/day or 750 mg/day during breastfeeding of infants aged 3 months and 1-month, infant exposure was 1.5% and 6% that of the mother, respectively.

A prospective observational multicenter study evaluated the long-term neurodevelopmental effects of AED use on children. Pregnant women receiving monotherapy for epilepsy were enrolled with assessments of their children at ages 3 years and 6 years. Mothers continued AED therapy during the breastfeeding period. Adjusted IQs measured at 3 years for breastfed and non-breastfed children were 93 (n = 11) and 90 (n = 24), respectively. At 6 years, the scores for breastfed and non-breastfed children were 106 (n = 11) and 94 (n = 25), respectively (p = 0.04). For other cognitive domains evaluated at 6 years, no adverse cognitive effects of continued exposure to an AED (including valproate) via breast milk were observed.

11 Description (11 DESCRIPTION)

Valproic acid is a carboxylic acid designated as 2-propylpentanoic acid. It is also known as dipropylacetic acid. Valproic acid has the following structure:

Valproic acid (pKa 4.8) has a molecular weight of 144 and occurs as a colorless liquid with a characteristic odor. It is slightly soluble in water (1.3 mg/mL) and very soluble in organic solvents.

Valproic Acid Capsules are antiepileptics for oral administration. Each soft gelatin capsule contains 250 mg valproic acid.

I n ac tive Ingredients

Corn oil, FD&C Blue No. 1, gelatin, glycerin, purified water and titanium dioxide.

7.3 Topiramate

Concomitant administration of valproate and topiramate has been associated with hyperammonemia with and without encephalopathy [see Contraindications ( 4) and Warnings and Precautions ( 5.6, 5.9, 5.10)] . Concomitant administration of topiramate with valproate has also been associated with hypothermia in patients who have tolerated either drug alone. It may be prudent to examine blood ammonia levels in patients in whom the onset of hypothermia has been reported [see Warnings and Precautions ( 5.9, 5.11)] .

5.11 Hypothermia

Hypothermia, defined as an unintentional drop in body core temperature to <35°C (95°F), has been reported in association with valproate therapy both in conjunction with and in the absence of hyperammonemia. This adverse reaction can also occur in patients using concomitant topiramate with valproate after starting topiramate treatment or after increasing the daily dose of topiramate [see Drug Interactions ( 7.3)] . Consideration should be given to stopping valproate in patients who develop hypothermia, which may be manifested by a variety of clinical abnormalities including lethargy, confusion, coma, and significant alterations in other major organ systems such as the cardiovascular and respiratory systems. Clinical management and assessment should include examination of blood ammonia levels.

5.5 Pancreatitis

Cases of life-threatening pancreatitis have been reported in both children and adults receiving valproate. Some of the cases have been described as hemorrhagic with rapid progression from initial symptoms to death. Some cases have occurred shortly after initial use as well as after several years of use. The rate based upon the reported cases exceeds that expected in the general population and there have been cases in which pancreatitis recurred after rechallenge with valproate. In clinical trials, there were 2 cases of pancreatitis without alternative etiology in 2,416 patients, representing 1,044 patient-years experience. Patients and guardians should be warned that abdominal pain, nausea, vomiting, and/or anorexia can be symptoms of pancreatitis that require prompt medical evaluation. If pancreatitis is diagnosed, Valproic acid should ordinarily be discontinued. Alternative treatment for the underlying medical condition should be initiated as clinically indicated [see Boxed Warning] .

8.4 Pediatric Use

Experience has indicated that pediatric patients under the age of two years are at a considerably increased risk of developing fatal hepatotoxicity, especially those with the aforementioned conditions [see Boxed Warning] . When valproic acid is used in this patient group, it should be used with extreme caution and as a sole agent. The benefits of therapy should be weighed against the risks. Above the age of 2 years, experience in epilepsy has indicated that the incidence of fatal hepatotoxicity decreases considerably in progressively older patient groups.

Younger children, especially those receiving enzyme-inducing drugs, will require larger maintenance doses to attain targeted total and unbound valproate concentrations. Pediatric patients (i.e., between 3 months and 10 years) have 50% higher clearances expressed on weight (i.e., mL/min/kg) than do adults. Over the age of 10 years, children have pharmacokinetic parameters that approximate those of adults.

The variability in free fraction limits the clinical usefulness of monitoring total serum valproic acid concentrations. Interpretation of valproic acid concentrations in children should include consideration of factors that affect hepatic metabolism and protein binding.

Pediatric Clinical Trials

Depakote was studied in seven pediatric clinical trials.

Two of the pediatric studies were double-blinded placebo-controlled trials to evaluate the efficacy of Depakote ER for the indications of mania (150 patients aged 10 to 17 years, 76 of whom were on Depakote ER) and migraine (304 patients aged 12 to 17 years, 231 of whom were on Depakote ER). Efficacy was not established for either the treatment of migraine or the treatment of mania. The most common drug-related adverse reactions (reported > 5% and twice the rate of placebo) reported in the controlled pediatric mania study were nausea, upper abdominal pain, somnolence, increased ammonia, gastritis and rash.

The remaining five trials were long term safety studies. Two six-month pediatric studies were conducted to evaluate the long-term safety of Depakote ER for the indication of mania (292 patients aged 10 to 17 years). Two twelve-month pediatric studies were conducted to evaluate the long-term safety of Depakote ER for the indication of migraine (353 patients aged 12 to 17 years). One twelve-month study was conducted to evaluate the safety of Depakote Sprinkle Capsules in the indication of partial seizures (169 patients aged 3 to 10 years).

In these seven clinical trials, the safety and tolerability of Depakote in pediatric patients were shown to be comparable to those in adults [see Adverse Reactions ( 6)] .

J uvenile Animal Toxicology

In studies of valproate in immature animals, toxic effects not observed in adult animals included retinal dysplasia in rats treated during the neonatal period (from postnatal day 4) and nephrotoxicity in rats treated during the neonatal and juvenile (from postnatal day 14) periods. The no-effect dose for these findings was less than the maximum recommended human dose on a mg/m 2basis.

8.5 Geriatric Use

No patients above the age of 65 years were enrolled in double-blind prospective clinical trials of mania associated with bipolar illness. In a case review study of 583 patients, 72 patients (12%) were greater than 65 years of age. A higher percentage of patients above 65 years of age reported accidental injury, infection, pain, somnolence, and tremor.

Discontinuation of valproate was occasionally associated with the latter two events. It is not clear whether these events indicate additional risk or whether they result from pre-existing medical illness and concomitant medication use among these patients.

A study of elderly patients with dementia revealed drug related somnolence and discontinuation for somnolence [see Warnings and Precautions ( 5.14)] . The starting dose should be reduced in these patients, and dosage reductions or discontinuation should be considered in patients with excessive somnolence [see Dosage and Administration ( 2.2)] .

5.1 Hepatotoxicity

General Information on Hepatotoxicity

Hepatic failure resulting in fatalities has occurred in patients receiving valproate. These incidents usually have occurred during the first six months of treatment. Serious or fatal hepatotoxicity may be preceded by non-specific symptoms such as malaise, weakness, lethargy, facial edema, anorexia, and vomiting. In patients with epilepsy, a loss of seizure control may also occur. Patients should be monitored closely for appearance of these symptoms. Serum liver tests should be performed prior to therapy and at frequent intervals thereafter, especially during the first six months of valproate therapy. However, healthcare providers should not rely totally on serum biochemistry since these tests may not be abnormal in all instances, but should also consider the results of careful interim medical history and physical examination.

Caution should be observed when administering valproate products to patients with a prior history of hepatic disease. Patients on multiple anticonvulsants, children, those with congenital metabolic disorders, those with severe seizure disorders accompanied by mental retardation, and those with organic brain disease may be at particular risk. See below, “Patients with Known or Suspected Mitochondrial Disease.”

Experience has indicated that children under the age of two years are at a considerably increased risk of developing fatal hepatotoxicity, especially those with the aforementioned conditions. When Valproic Acid Capsules are used in this patient group, they should be used with extreme caution and as a sole agent. The benefits of therapy should be weighed against the risks. In progressively older patient groups experience in epilepsy has indicated that the incidence of fatal hepatotoxicity decreases considerably.

Patients with Known or Suspected Mitochondrial Disease

Valproic Acid Capsules are contraindicated in patients known to have mitochondrial disorders caused by POLG mutations and children under two years of age who are clinically suspected of having a mitochondrial disorder [see Contraindications ( 4)] . Valproate-induced acute liver failure and liver-related deaths have been reported in patients with hereditary neurometabolic syndromes caused by mutations in the gene for mitochondrial DNA polymerase γ (POLG) (e.g., Alpers-Huttenlocher Syndrome) at a higher rate than those without these syndromes. Most of the reported cases of liver failure in patients with these syndromes have been identified in children and adolescents.

POLG-related disorders should be suspected in patients with a family history or suggestive symptoms of a POLG-related disorder, including but not limited to unexplained encephalopathy, refractory epilepsy (focal, myoclonic), status epilepticus at presentation, developmental delays, psychomotor regression, axonal sensorimotor neuropathy, myopathy cerebellar ataxia, ophthalmoplegia, or complicated migraine with occipital aura. POLG mutation testing should be performed in accordance with current clinical practice for the diagnostic evaluation of such disorders. The A467T and W748S mutations are present in approximately 2/3 of patients with autosomal recessive POLG-related disorders.

In patients over two years of age who are clinically suspected of having a hereditary mitochondrial disease, Valproic Acid Capsules should only be used after other anticonvulsants have failed. This older group of patients should be closely monitored during treatment with Valproic Acid Capsules for the development of acute liver injury with regular clinical assessments and serum liver test monitoring.

The drug should be discontinued immediately in the presence of significant hepatic dysfunction, suspected or apparent. In some cases, hepatic dysfunction has progressed in spite of discontinuation of drug [see Boxed Warningand Contraindications ( 4)] .

5.9 Hyperammonemia

Hyperammonemia has been reported in association with valproate therapy and may be present despite normal liver function tests. In patients who develop unexplained lethargy and vomiting or changes in mental status, hyperammonemic encephalopathy should be considered and an ammonia level should be measured. Hyperammonemia should also be considered in patients who present with hypothermia [see Warnings and Precautions ( 5.11)] . If ammonia is increased, valproate therapy should be discontinued. Appropriate interventions for treatment of hyperammonemia should be initiated, and such patients should undergo investigation for underlying urea cycle disorders [see Contraindications ( 4) and Warnings and Precautions ( 5.6, 5.10)] .

Asymptomatic elevations of ammonia are more common and when present, require close monitoring of plasma ammonia levels. If the elevation persists, discontinuation of valproate therapy should be considered.

14 Clinical Studies (14 CLINICAL STUDIES)

The studies described in the following section were conducted using Depakote (divalproex sodium) tablets.

4 Contraindications (4 CONTRAINDICATIONS)
  • Valproic Acid Capsules should not be administered to patients with hepatic disease or significant hepatic dysfunction [see Warnings and Precautions ( 5.1)] .
  • Valproic Acid is contraindicated in patients known to have mitochondrial disorders caused by mutations in mitochondrial DNA polymerase γ (POLG; e.g., Alpers-Huttenlocher Syndrome) and children under two years of age who are suspected of having a POLG-related disorder [see Warnings and Precautions ( 5.1)] .
  • Valproic Acid is contraindicated in patients with known hypersensitivity to the drug [see Warnings and Precautions ( 5.12)] .
  • Valproic Acid is contraindicated in patients with known urea cycle disorders [see Warnings and Precautions ( 5.6)] .
  • For use in prophylaxis of migraine headaches: Valproic Acid is contraindicated in women who are pregnant and in women of childbearing potential who are not using effective contraception  [see Warnings and Precautions ( 5.2, 5.3, 5.4 ) and Use in Specific Populations ( 8.1 )].
6 Adverse Reactions (6 ADVERSE REACTIONS)

The following serious adverse reactions are described below and elsewhere in the labeling:

  • Hepatic failure [see Warnings and Precautions ( 5.1)]
  • Birth defects [see Warnings and Precautions ( 5.2)]
  • Decreased IQ following in uteroexposure [see Warnings and Precautions ( 5.3)]
  • Pancreatitis [see Warnings and Precautions ( 5.5)]
  • Hyperammonemic encephalopathy [see Warnings and Precautions ( 5.6, 5.9, 5.10)]
  • Suicidal behavior and ideation [see Warnings and Precautions ( 5.7)]
  • Bleeding and other hematopoietic disorders [see Warnings and Precautions ( 5.8)]
  • Hypothermia [see Warnings and Precautions ( 5.11)]
  • Drug Reaction with Eosinophilia and Systemic Symptoms (DRESS)/Multiorgan hypersensitivity reactions [see Warnings and Precautions ( 5.12)]
  • Somnolence in the elderly [see Warnings and Precautions ( 5.14)]

Because clinical studies are conducted under widely varying conditions, adverse reaction rates observed in the clinical studies of a drug cannot be directly compared to rates in the clinical studies of another drug and may not reflect the rates observed in practice.

7 Drug Interactions (7 DRUG INTERACTIONS)
  • Hepatic enzyme-inducing drugs (e.g., phenytoin, carbamazepine, phenobarbital, primidone, rifampin) can increase valproate clearance, while enzyme inhibitors (e.g., felbamate) can decrease valproate clearance. Therefore increased monitoring of valproate and concomitant drug concentrations and dosage adjustment are indicated whenever enzyme-inducing or inhibiting drugs are introduced or withdrawn ( 7.1)
  • Aspirin, carbapenem antibiotics, estrogen-containing hormonal contraceptives: Monitoring of valproate concentrations is recommended ( 7.1)
  • Co-administration of valproate can affect the pharmacokinetics of other drugs (e.g. diazepam, ethosuximide, lamotrigine, phenytoin) by inhibiting their metabolism or protein binding displacement ( 7.2)
  • Patients stabilized on rufinamide should begin valproate therapy at a low dose, and titrate to clinically effective dose ( 7.2)
  • Dosage adjustment of amitriptyline/nortriptyline, propofol, warfarin, and zidovudine may be necessary if used concomitantly with Valproic Acid Capsules ( 7.2)
  • Topiramate: Hyperammonemia and encephalopathy ( 5.10, 7.3)
12.2 Pharmacodynamics

The relationship between plasma concentration and clinical response is not well documented. One contributing factor is the nonlinear, concentration dependent protein binding of valproate which affects the clearance of the drug. Thus, monitoring of total serum valproate cannot provide a reliable index of the bioactive valproate species.

For example, because the plasma protein binding of valproate is concentration dependent, the free fraction increases from approximately 10% at 40 mcg/mL to 18.5% at 130 mcg/mL. Higher than expected free fractions occur in the elderly, in hyperlipidemic patients, and in patients with hepatic and renal diseases.

Epilepsy

The therapeutic range in epilepsy is commonly considered to be 50 to 100 mcg/mL of total valproate, although some patients may be controlled with lower or higher plasma concentrations.

1 Indications and Usage (1 INDICATIONS AND USAGE)

Valproic Acid Capsules are indicated for:

  • Monotherapy and adjunctive therapy of complex partial seizures; sole and adjunctive therapy of simple and complex absence seizures; adjunctive therapy in patients with multiple seizure types that include absence seizures ( 1)
Principal Display Panel (PRINCIPAL DISPLAY PANEL)
12.1 Mechanism of Action

Valproic acid dissociates to the valproate ion in the gastrointestinal tract. The mechanisms by which valproate exerts its therapeutic effects have not been established. It has been suggested that its activity in epilepsy is related to increased brain concentrations of gamma-aminobutyric acid (GABA).

5.6 Urea Cycle Disorders

Valproic acid is contraindicated in patients with known urea cycle disorders (UCD).

Hyperammonemic encephalopathy, sometimes fatal, has been reported following initiation of valproate therapy in patients with urea cycle disorders, a group of uncommon genetic abnormalities, particularly ornithine transcarbamylase deficiency. Prior to the initiation of Valproic acid therapy, evaluation for UCD should be considered in the following patients: 1) those with a history of unexplained encephalopathy or coma, encephalopathy associated with a protein load, pregnancy-related or postpartum encephalopathy, unexplained mental retardation, or history of elevated plasma ammonia or glutamine; 2) those with cyclical vomiting and lethargy, episodic extreme irritability, ataxia, low BUN, or protein avoidance; 3) those with a family history of UCD or a family history of unexplained infant deaths (particularly males); 4) those with other signs or symptoms of UCD. Patients who develop symptoms of unexplained hyperammonemic encephalopathy while receiving valproate therapy should receive prompt treatment (including discontinuation of valproate therapy) and be evaluated for underlying urea cycle disorders [see Contraindications ( 4) and Warnings and Precautions ( 5.10)] .

1.2 Important Limitations

Because of the risk to the fetus of decreased IQ, neurodevelopmental disorders, neural tube defects, and other major congenital malformations, which may occur very early in pregnancy, valproate should not be used to treat women with epilepsy or bipolar disorder who are pregnant or who plan to become pregnant unless other medications have failed to provide adequate symptom control or are otherwise unacceptable. Valproate should not be administered to a woman of childbearing potential unless other medications have failed to provide adequate symptom control or are otherwise unacceptable [see Warnings and Precautions ( 5.2, 5.3, 5.4), Use in Specific Populations ( 8.1), and Patient Counseling Information ( 17) ].

For prophylaxis of migraine headaches, valproate is contraindicated in women who are pregnant and in women of childbearing potential who are not using effective contraception [see Contraindications ( 4)] .

2.2 General Dosing Advice

Dosing in Elderly Patients

Due to a decrease in unbound clearance of valproate and possibly a greater sensitivity to somnolence in the elderly, the starting dose should be reduced in these patients. Dosage should be increased more slowly and with regular monitoring for fluid and nutritional intake, dehydration, somnolence, and other adverse reactions. Dose reductions or discontinuation of valproate should be considered in patients with decreased food or fluid intake and in patients with excessive somnolence. The ultimate therapeutic dose should be achieved on the basis of both tolerability and clinical response [see Warnings and Precautions ( 5.14), Use in Specific Populations ( 8.5), and Clinical Pharmacology ( 12.3)] .

Dose- R e l a t ed  Adver s e Reactions

The frequency of adverse effects (particularly elevated liver enzymes and thrombocytopenia) may be dose-related. The probability of thrombocytopenia appears to increase significantly at total valproate concentrations of ≥ 110 mcg/mL (females) or ≥ 135 mcg/mL (males) [see Warnings and Precautions ( 5.8)] . The benefit of improved therapeutic effect with higher doses should be weighed against the possibility of a greater incidence of adverse reactions.

G.I. Irritation

Patients who experience G.I. irritation may benefit from administration of the drug with food or by slowly building up the dose from an initial low level.

5 Warnings and Precautions (5 WARNINGS AND PRECAUTIONS)
  • Hepatotoxicity; evaluate high risk populations and monitor serum liver tests ( 5.1)
  • Birth defects, decreased IQ, and neurodevelopmental disorders following in uteroexposure; should not be used to treat women with epilepsy or bipolar disorder who are pregnant or who plan to become pregnant or to treat a woman of childbearing potential unless other medications have failed to provide adequate symptom control or are otherwise unacceptable ( 5.2, 5.3, 5.4)
  • Pancreatitis; valproic acid should ordinarily be discontinued ( 5.5)
  • Suicidal behavior or ideation; Antiepileptic drugs, including valproic acid, increase the risk of suicidal thoughts or behavior ( 5.7)
  • Bleeding and other hematopoietic disorders; monitor platelet counts and coagulation tests ( 5.8)
  • Hyperammonemia and hyperammonemic encephalopathy; measure ammonia level if unexplained lethargy and vomiting or changes in mental status, and also with concomitant topiramate use; consider discontinuation of valproate therapy ( 5.6, 5.9, 5.10)
  • Hypothermia; Hypothermia has been reported during valproate therapy with or without associated hyperammonemia. This adverse reaction can also occur in patients using concomitant topiramate ( 5.11)
  • Drug Reaction with Eosinophilia and Systemic Symptoms (DRESS)/Multiorgan hypersensitivity reaction; discontinue valproic acid ( 5.12)
  • Somnolence in the elderly can occur. Valproic acid dosage should be increased slowly and with regular monitoring for fluid and nutritional intake ( 5.14)
2 Dosage and Administration (2 DOSAGE AND ADMINISTRATION)

Valproic Acid Capsules are intended for oral administration. ( 2.1)

  • Simple and Complex Absence Seizures: Start at 10 to 15 mg/kg/day, increasing at 1-week intervals by 5 to 10 mg/kg/week until seizure control or limiting side effects ( 2.1)
  • Safety of doses above 60 mg/kg/day is not established ( 2.1, 2.2)
3 Dosage Forms and Strengths (3 DOSAGE FORMS AND STRENGTHS)

Valproic Acid Capsules are available as white, oblong soft gelatin capsules of 250 mg valproic acid with imprint ‘PA2120’ for product identification.

6.4 Postmarketing Experience

The following adverse reactions have been identified during post approval use of Depakote. Because these reactions are reported voluntarily from a population of uncertain size, it is not always possible to reliably estimate their frequency or establish a causal relationship to drug exposure.

Dermatologic:Hair texture changes, hair color changes, photosensitivity, erythema multiforme, toxic epidermal necrolysis, nail and nail bed disorders, and Stevens-Johnson syndrome.

Psychiatric:Emotional upset, psychosis, aggression, psychomotor hyperactivity, hostility, disturbance in attention, learning disorder, and behavioral deterioration.

Neurologic: Paradoxical convulsion, parkinsonism

There have been several reports of acute or subacute cognitive decline and behavioral changes (apathy or irritability) with cerebral pseudoatrophy on imaging associated with valproate therapy; both the cognitive/behavioral changes and cerebral pseudoatrophy reversed partially or fully after valproate discontinuation.

There have been reports of acute or subacute encephalopathy in the absence of elevated ammonia levels, elevated valproate levels, or neuroimaging changes. The encephalopathy reversed partially or fully after valproate discontinuation.

Musculoskeletal:Fractures, decreased bone mineral density, osteopenia, osteoporosis, and weakness.

Hematologic:Relative lymphocytosis, macrocytosis, leukopenia, anemia including macrocytic with or without folate deficiency, bone marrow suppression, pancytopenia, aplastic anemia, agranulocytosis, and acute intermittent porphyria.

Endocrine:Irregular menses, secondary amenorrhea, hyperandrogenism, hirsutism, elevated testosterone level, breast enlargement, galactorrhea, parotid gland swelling, polycystic ovary disease, decreased carnitine concentrations, hyponatremia, hyperglycinemia, and inappropriate ADH secretion.

There have been rare reports of Fanconi's syndrome occurring chiefly in children.

Metabolism and nutrition: Weight gain.

Reproductive: Aspermia, azoospermia, decreased sperm count, decreased spermatozoa motility, male infertility, and abnormal spermatozoa morphology.

Genitourinary:Enuresis and urinary tract infection.

Special Senses:Hearing loss.

Other:Allergic reaction, anaphylaxis, developmental delay, bone pain, bradycardia, and cutaneous vasculitis.

5.2 structural Birth Defects (5.2 Structural Birth Defects)

Valproate can cause fetal harm when administered to a pregnant woman. Pregnancy registry data show that maternal valproate use can cause neural tube defects and other structural abnormalities (e.g., craniofacial defects, cardiovascular malformations, hypospadias, limb malformations). The rate of congenital malformations among babies born to mothers using valproate is about four times higher than the rate among babies born to epileptic mothers using other anti-seizure monotherapies. Evidence suggests that folic acid supplementation prior to conception and during the first trimester of pregnancy decreases the risk for congenital neural tube defects in the general population  [see Use in Specific Populations ( 8.1)] .

8 Use in Specific Populations (8 USE IN SPECIFIC POPULATIONS)
  • Pregnancy: Valproic Acid Capsules can cause congenital malformations including neural tube defects, decreased IQ, and neurodevelopmental disorders ( 5.2, 5.3, 8.1)
  • Pediatric: Children under the age of two years are at considerably higher risk of fatal hepatotoxicity ( 5.1, 8.4)
  • Geriatric: Reduce starting dose; increase dosage more slowly; monitor fluid and nutritional intake, and somnolence ( 5.14, 8.5)
5.14 Somnolence in the Elderly

In a double-blind, multicenter trial of valproate in elderly patients with dementia (mean age = 83 years), doses were increased by 125 mg/day to a target dose of 20 mg/kg/day. A significantly higher proportion of valproate patients had somnolence compared to placebo, and although not statistically significant, there was a higher proportion of patients with dehydration. Discontinuations for somnolence were also significantly higher than with placebo. In some patients with somnolence (approximately one-half), there was associated reduced nutritional intake and weight loss. There was a trend for the patients who experienced these events to have a lower baseline albumin concentration, lower valproate clearance, and a higher BUN. In elderly patients, dosage should be increased more slowly and with regular monitoring for fluid and nutritional intake, dehydration, somnolence, and other adverse reactions. Dose reductions or discontinuation of valproate should be considered in patients with decreased food or fluid intake and in patients with excessive somnolence [see Dosage and Administration ( 2.2)] .

17 Patient Counseling Information (17 PATIENT COUNSELING INFORMATION)

Advise the patient to read the FDA-approved patient labeling (Medication Guide).

Hepatotoxicity

Warn patients and guardians that nausea, vomiting, abdominal pain, anorexia, diarrhea, asthenia, and/or jaundice can be symptoms of hepatotoxicity and, therefore, require further medical evaluation promptly [see Warnings and Precautions ( 5.1)] .

P ancreatitis

Warn patients and guardians that abdominal pain, nausea, vomiting, and/or anorexia can be symptoms of pancreatitis and, therefore, require further medical evaluation promptly [see Warnings and Precautions ( 5.5)] .

Birth Defects and Decreased IQ

Inform pregnant women and women of childbearing potential (including girls beginning the onset of puberty) that use of valproate during pregnancy increases the risk of birth defects, decreased IQ, and neurodevelopmental disorders in children who were exposed in utero. Advise women to use effective contraception while taking valproate. When appropriate, counsel these patients about alternative therapeutic options. This is particularly important when valproate use is considered for a condition not usually associated with permanent injury or death such as prophylaxis of migraine headache [see Contraindications ( 4)] . Advise patients to read the Medication Guide, which appears as the last section of the labeling [see Warnings and Precautions ( 5.2, 5.3, 5.4) and Use in Specific Populations ( 8.1)] .

Pregnancy Registry

Advise women of childbearing potential to discuss pregnancy planning with their doctor and to contact their doctor immediately if they think they are pregnant.

Encourage women who are taking valproic acid to enroll in the North American Antiepileptic Drug (NAAED) Pregnancy Registry if they become pregnant. This registry is collecting information about the safety of antiepileptic drugs during pregnancy. To enroll, patients can call the toll-free number 1-888-233-2334 or visit the website, http://www.aedpregnancyregistry.org/ [ see Use in Specific Populations ( 8.1)] .

Suicidal Thinking and Behavior

Counsel patients, their caregivers, and families that AEDs, including Valproic Acid, may increase the risk of suicidal thoughts and behavior and to be alert for the emergence or worsening of symptoms of depression, any unusual changes in mood or behavior, or the emergence of suicidal thoughts, behavior, or thoughts about self-harm. Instruct patients, caregivers, and families to report behaviors of concern immediately to the healthcare providers [see Warnings and Precautions ( 5.7)] .

Hyperammonemia

Inform patients of the signs and symptoms associated with hyperammonemic encephalopathy and to notify the prescriber if any of these symptoms occur [see Warnings and Precautions ( 5.9, 5.10)] .

CNS Depression

Since valproate products may produce CNS depression, especially when combined with another CNS depressant (e.g., alcohol), advise patients not to engage in hazardous activities, such as driving an automobile or operating dangerous machinery, until it is known that they do not become drowsy from the drug.

Multiorgan Hypersensitivity Reactions

Instruct patients that a fever associated with other organ system involvement (rash, lymphadenopathy, etc.) may be drug-related and should be reported to the physician immediately [see Warnings and Precautions ( 5.12)] .

Revised: July 2024

5.7 Suicidal Behavior and Ideation

Antiepileptic drugs (AEDs), including Valproic Acid, increase the risk of suicidal thoughts or behavior in patients taking these drugs for any indication. Patients treated with any AED for any indication should be monitored for the emergence or worsening of depression, suicidal thoughts or behavior, and/or any unusual changes in mood or behavior.

Pooled analyses of 199 placebo-controlled clinical trials (mono- and adjunctive therapy) of 11 different AEDs showed that patients randomized to one of the AEDs had approximately twice the risk (adjusted Relative Risk 1.8, 95% CI:1.2, 2.7) of suicidal thinking or behavior compared to patients randomized to placebo. In these trials, which had a median treatment duration of 12 weeks, the estimated incidence rate of suicidal behavior or ideation among 27,863 AED-treated patients was 0.43%, compared to 0.24% among 16,029 placebo-treated patients, representing an increase of approximately one case of suicidal thinking or behavior for every 530 patients treated. There were four suicides in drug-treated patients in the trials and none in placebo-treated patients, but the number is too small to allow any conclusion about drug effect on suicide.

The increased risk of suicidal thoughts or behavior with AEDs was observed as early as one week after starting drug treatment with AEDs and persisted for the duration of treatment assessed. Because most trials included in the analysis did not extend beyond 24 weeks, the risk of suicidal thoughts or behavior beyond 24 weeks could not be assessed.

The risk of suicidal thoughts or behavior was generally consistent among drugs in the data analyzed. The finding of increased risk with AEDs of varying mechanisms of action and across a range of indications suggests that the risk applies to all AEDs used for any indication. The risk did not vary substantially by age (5-100 years) in the clinical trials analyzed.

Table 2 shows absolute and relative risk by indication for all evaluated AEDs.

Table 2. Risk by Indication for Antiepileptic Drugs in the Pooled Analysis
Indication Placebo Patients with Events Per 1,000 Patients Drug Patients with Events Per 1,000 Patients Relative Risk: Incidence of Events in Drug Patients/Incidence in Placebo Patients Risk Difference: Additional Drug Patients with Events Per 1,000 Patients
Epilepsy 1.0 3.4 3.5 2.4
Psychiatric 5.7 8.5 1.5 2.9
Other 1.0 1.8 1.9 0.9
Total 2.4 4.3 1.8 1.9

The relative risk for suicidal thoughts or behavior was higher in clinical trials for epilepsy than in clinical trials for psychiatric or other conditions, but the absolute risk differences were similar for the epilepsy and psychiatric indications.

Anyone considering prescribing Valproic Acid Capsules or any other AED must balance the risk of suicidal thoughts or behavior with the risk of untreated illness. Epilepsy and many other illnesses for which AEDs are prescribed are themselves associated with morbidity and mortality and an increased risk of suicidal thoughts and behavior. Should suicidal thoughts and behavior emerge during treatment, the prescriber needs to consider whether the emergence of these symptoms in any given patient may be related to the illness being treated.

16 How Supplied/storage and Handling (16 HOW SUPPLIED/STORAGE AND HANDLING)

Each white, oblong soft-gelatin capsule is imprinted PA2120, contains 250 mg valproic acid in blistercards of 30’s (NDC # 0615-8205-39).

The softgels should be protected from moisture and humidity and stored between 59 to 77°F (15 to 25°C) as per the container label. Dispense in a tight, light-resistant container as defined in the USP/NF.

Maalox ®is a registered trademark of Novartis Consumer Health Canada Inc.

Titralac™ is a registered trademark of 3M.

Depakote ®is a registered trademark of Abbott Laboratories.

7.2 Effects of Valproate On Other Drugs (7.2 Effects of Valproate on Other Drugs)

Valproate has been found to be a weak inhibitor of some P450 isozymes, epoxide hydrase, and glucuronosyltransferases.

The following list provides information about the potential for an influence of valproate co‑administration on the pharmacokinetics or pharmacodynamics of several commonly prescribed medications. The list is not exhaustive, since new interactions are continuously being reported.

Drugs for which a potentially important valproate interaction has been observed

Amitriptyline/Nortriptyline

Administration of a single oral 50 mg dose of amitriptyline to 15 normal volunteers (10 males and 5 females) who received valproate (500 mg BID) resulted in a 21% decrease in plasma clearance of amitriptyline and a 34% decrease in the net clearance of nortriptyline. Rare postmarketing reports of concurrent use of valproate and amitriptyline resulting in an increased amitriptyline level have been received. Concurrent use of valproate and amitriptyline has rarely been associated with toxicity. Monitoring of amitriptyline levels should be considered for patients taking valproate concomitantly with amitriptyline. Consideration should be given to lowering the dose of amitriptyline/nortriptyline in the presence of valproate.

Carbamazepine/carbamazepine-10,11-Epoxide

Serum levels of carbamazepine (CBZ) decreased 17% while that of carbamazepine-10,11-epoxide (CBZ-E) increased by 45% upon co-administration of valproate and CBZ to epileptic patients.

Clonazepam

The concomitant use of valproate and clonazepam may induce absence status in patients with a history of absence type seizures.

Diazepam

Valproate displaces diazepam from its plasma albumin binding sites and inhibits its metabolism. Co-administration of valproate (1,500 mg daily) increased the free fraction of diazepam (10 mg) by 90% in healthy volunteers (n = 6). Plasma clearance and volume of distribution for free diazepam were reduced by 25% and 20%, respectively, in the presence of valproate. The elimination half-life of diazepam remained unchanged upon addition of valproate.

Ethosuximide

Valproate inhibits the metabolism of ethosuximide. Administration of a single ethosuximide dose of 500 mg with valproate (800 to 1,600 mg/day) to healthy volunteers (n = 6) was accompanied by a 25% increase in elimination half-life of ethosuximide and a 15% decrease in its total clearance as compared to ethosuximide alone. Patients receiving valproate and ethosuximide, especially along with other anticonvulsants, should be monitored for alterations in serum concentrations of both drugs.

Lamotrigine

In a steady-state study involving 10 healthy volunteers, the elimination half-life of lamotrigine increased from 26 to 70 hours with valproate co-administration (a 165% increase). The dose of lamotrigine should be reduced when co-administered with valproate. Serious skin reactions (such as Stevens-Johnson syndrome and toxic epidermal necrolysis) have been reported with concomitant lamotrigine and valproate administration. See lamotrigine package insert for details on lamotrigine dosing with concomitant valproate administration.

Phenobarbital

Valproate was found to inhibit the metabolism of phenobarbital. Co-administration of valproate (250 mg BID for 14 days) with phenobarbital to normal subjects (n = 6) resulted in a 50% increase in half-life and a 30% decrease in plasma clearance of phenobarbital (60 mg single-dose). The fraction of phenobarbital dose excreted unchanged increased by 50% in presence of valproate.

There is evidence for severe CNS depression, with or without significant elevations of barbiturate or valproate serum concentrations. All patients receiving concomitant barbiturate therapy should be closely monitored for neurological toxicity. Serum barbiturate concentrations should be obtained, if possible, and the barbiturate dosage decreased, if appropriate.

Primidone, which is metabolized to a barbiturate, may be involved in a similar interaction with valproate.

Phenytoin

Valproate displaces phenytoin from its plasma albumin binding sites and inhibits its hepatic metabolism. Co-administration of valproate (400 mg TID) with phenytoin (250 mg) in normal volunteers (n = 7) was associated with a 60% increase in the free fraction of phenytoin. Total plasma clearance and apparent volume of distribution of phenytoin increased 30% in the presence of valproate. Both the clearance and apparent volume of distribution of free phenytoin were reduced by 25%.

In patients with epilepsy, there have been reports of breakthrough seizures occurring with the combination of valproate and phenytoin. The dosage of phenytoin should be adjusted as required by the clinical situation.

Propofol

The concomitant use of valproate and propofol may lead to increased blood levels of propofol. Reduce the dose of propofol when co-administering with valproate. Monitor patients closely for signs of increased sedation or cardiorespiratory depression.

Rufinamide

Based on a population pharmacokinetic analysis, rufinamide clearance was decreased by valproate. Rufinamide concentrations were increased by < 16% to 70%, dependent on concentration of valproate (with the larger increases being seen in pediatric patients at high doses or concentrations of valproate). Patients stabilized on rufinamide before being prescribed valproate should begin valproate therapy at a low dose, and titrate to a clinically effective dose [see Dosage and Administration ( 2.3)] . Similarly, patients on valproate should begin at a rufinamide dose lower than 10 mg/kg per day (pediatric patients) or 400 mg per day (adults).

Tolbutamide

From in vitroexperiments, the unbound fraction of tolbutamide was increased from 20% to 50% when added to plasma samples taken from patients treated with valproate. The clinical relevance of this displacement is unknown.

Warfarin

In an in vitrostudy, valproate increased the unbound fraction of warfarin by up to 32.6%. The therapeutic relevance of this is unknown; however, coagulation tests should be monitored if valproate therapy is instituted in patients taking anticoagulants.

Zidovudine

In six patients who were seropositive for HIV, the clearance of zidovudine (100 mg q8h) was decreased by 38% after administration of valproate (250 or 500 mg q8h); the half-life of zidovudine was unaffected.

Drugs for which either no interaction or a likely clinically unimportant interaction has been observed

Acetaminophen

Valproate had no effect on any of the pharmacokinetic parameters of acetaminophen when it was concurrently administered to three epileptic patients.

Clozapine

In psychotic patients (n = 11), no interaction was observed when valproate was co-administered with clozapine.

Lithium

Co-administration of valproate (500 mg BID) and lithium carbonate (300 mg TID) to normal male volunteers (n = 16) had no effect on the steady-state kinetics of lithium.

Lorazepam

Concomitant administration of valproate (500 mg BID) and lorazepam (1 mg BID) in normal male volunteers (n = 9) was accompanied by a 17% decrease in the plasma clearance of lorazepam.

Olanzapine

No dose adjustment for olanzapine is necessary when olanzapine is administered concomitantly with valproate. Co-administration of valproate (500 mg BID) and olanzapine (5 mg) to healthy adults (n = 10) caused 15% reduction in C maxand 35% reduction in AUC of olanzapine.

Oral Contraceptive Steroids

Administration of a single-dose of ethinyloestradiol (50 mcg)/levonorgestrel (250 mcg) to 6 women on valproate (200 mg BID) therapy for 2 months did not reveal any pharmacokinetic interaction.

2.3 Dosing in Patients Taking Rufinamide

Patients stabilized on rufinamide before being prescribed valproate should begin valproate therapy at a low dose and titrate to a clinically effective dose [see Drug Interactions ( 7.2)] .

5.15 Monitoring: Drug Plasma Concentration

Since valproate may interact with concurrently administered drugs which are capable of enzyme induction, periodic plasma concentration determinations of valproate and concomitant drugs are recommended during the early course of therapy [see Drug Interactions ( 7)] .

5.4 Use in Women of Childbearing Potential

Because of the risk to the fetus of decreased IQ, neurodevelopmental disorders, and major congenital malformations (including neural tube defects), which may occur very early in pregnancy, valproate should not be administered to a woman of childbearing potential unless other medications have failed to provide adequate symptom control or are otherwise unacceptable. This is especially important when valproate use is considered for a condition not usually associated with permanent injury or death such as prophylaxis of migraine headaches [see Contraindications ( 4)] . Women should use effective contraception while using valproate.

Women of childbearing potential should be counseled regularly regarding the relative risks and benefits of valproate use during pregnancy. This is especially important for women planning a pregnancy and for girls at the onset of puberty; alternative therapeutic options should be considered for these patients [see Boxed Warningand Use in Specific Populations ( 8.1) ].

To prevent major seizures, valproate should not be discontinued abruptly, as this can precipitate status epilepticus with resulting maternal and fetal hypoxia and threat to life.

Evidence suggests that folic acid supplementation prior to conception and during the first trimester of pregnancy decreases the risk for congenital neural tube defects in the general population. It is not known whether the risk of neural tube defects or decreased IQ in the offspring of women receiving valproate is reduced by folic acid supplementation. Dietary folic acid supplementation both prior to conception and during pregnancy should be routinely recommended for patients using valproate.

Warning: Life Threatening Adverse Reactions (WARNING: LIFE THREATENING ADVERSE REACTIONS)

Hepatotoxicity

General Population: H e p atic failure resulting in fatalities has occurred in patients receiving valproate and its derivatives. These incidents usually have occurred during the first six months of treatment. Serious or fatal hepatotoxicity may be preceded by non-specific symptoms such as malaise, weakness, lethargy, facial edema, anorexia, and vomiting. In patients with epilepsy, a loss of seizure control may also occur. Patients should be monitored closely for appearance of these symptoms. Serum liver tests should be performed prior to therapy and at frequent intervals thereafter, especially during the first six months [see Warnings and Precautions ( 5.1)] .

Children under the age of two years are at a considerably increased risk of developing fatal hepatotoxicity, especially those on multiple anticonvulsants, those with congenital  metabolic disorders, those with severe seizure disorders accompanied by mental retardation, and those with organic brain disease. When Valproic Acid Capsules are used in this patient group, they should be used with extreme caution and as a sole agent. The benefits of therapy should be weighed against the risks. The incidence of fatal hepatotoxicity decreases considerably in progressively older patient groups.

Patients with Mitochondrial Disease: There is an increased risk of valproate-induced acute liver failure and resultant deaths in patients with hereditary neurometabolic syndromes caused by DNA mutations of the mitochondrial DNA Polymerase γ (POLG) gene (e.g. Alpers Huttenlocher Syndrome). Valproic Acid Capsules are contraindicated in patients known to have mitochondrial disorders caused by POLG mutations and children under two years of age who are clinically suspected of having a mitochondrial disorder [see Contraindications ( 4)] . In patients over two years of age who are clinically suspected of having a hereditary mitochondrial disease, Valproic Acid Capsules should only be used after other anticonvulsants have failed. This older group of patients should be closely monitored during treatment with Valproic Acid Capsules for the development of acute liver injury with regular clinical assessments and serum liver testing. POLG mutation screening should be performed in accordance with current clinical practice [see Warnings and Precautions ( 5.1)] .

F e t al Risk

Valproate can cause major congenital malformations, particularly neural tube defects (e.g., spina bifida). In addition, valproate can cause decreased IQ scores and neurodevelopmental disorders following in uteroexposure.

Valproate is therefore contraindicated for prophylaxis of migraine headaches in pregnant women and in women of childbearing potential who are not using effective contraception [see Contraindications ( 4)] . Valproate should not be used to treat women with epilepsy or bipolar disorder who are pregnant or who plan to become pregnant unless other medications have failed to provide adequate symptom control or are otherwise unacceptable.

Valproate should not be administered to a woman of childbearing potential unless other medications have failed to provide adequate symptom control or are otherwise unacceptable. In such situations, effective contraception should be used [see Warnings and Precautions ( 5.2, 5.3, 5.4) ].

A Medication Guide describing the risks of valproate is available for patients [see Patient Counseling Information ( 17)] .

P ancreatitis

Cases of life-threatening pancreatitis have been reported in both children and adults receiving valproate. Some of the cases have been described as hemorrhagic with a rapid progression from initial symptoms to death. Cases have been reported shortly after initial use as well as after several years of use. Patients and guardians should be warned that abdominal pain, nausea, vomiting, and/or anorexia can be symptoms of pancreatitis that require prompt medical evaluation. If pancreatitis is diagnosed, valproate should ordinarily be discontinued. Alternative treatment for the underlying medical condition should be initiated as clinically indicated [see Warnings and Precautions ( 5.5)] .

5.13 Interaction With Carbapenem Antibiotics (5.13 Interaction with Carbapenem Antibiotics)

Carbapenem antibiotics (for example, ertapenem, imipenem, meropenem; this is not a complete list) may reduce serum valproate concentrations to subtherapeutic levels, resulting in loss of seizure control. Serum valproate concentrations should be monitored frequently after initiating carbapenem therapy. Alternative antibacterial or anticonvulsant therapy should be considered if serum valproate concentrations drop significantly or seizure control deteriorates [see Drug Interactions ( 7.1)] .

5.3 Decreased Iq Following in Utero Exposure (5.3 Decreased IQ Following in utero Exposure)

Valproate can cause decreased IQ scores following in uteroexposure. Published epidemiological studies have indicated that children exposed to valproate in uterohave lower cognitive test scores than children exposed in uteroto either another antiepileptic drug or to no antiepileptic drugs. The largest of these studies 1is a prospective cohort study conducted in the United States and United Kingdom that found that children with prenatal exposure to valproate (n = 62) had lower IQ scores at age 6 (97 [95% C.I. 94-101]) than children with prenatal exposure to the other antiepileptic drug monotherapy treatments evaluated: lamotrigine (108 [95% C.I. 105-110]), carbamazepine (105 [95% C.I. 102-108]), and phenytoin (108 [95% C.I. 104-112]). It is not known when during pregnancy cognitive effects in valproate-exposed children occur. Because the women in this study were exposed to antiepileptic drugs throughout pregnancy, whether the risk for decreased IQ was related to a particular time period during pregnancy could not be assessed.

Although all of the available studies have methodological limitations, the weight of the evidence supports the conclusion that valproate exposure in uterocan cause decreased IQ in children.

In animal studies, offspring with prenatal exposure to valproate had malformations similar to those seen in humans and demonstrated neurobehavioral deficits [see Use in Specific Populations ( 8.1)] .

5.17 Effect On Hiv and Cmv Viruses Replication (5.17 Effect on HIV and CMV Viruses Replication)

There are in vitrostudies that suggest valproate stimulates the replication of the HIV and CMV viruses under certain experimental conditions. The clinical consequence, if any, is not known. Additionally, the relevance of these in vitrofindings is uncertain for patients receiving maximally suppressive antiretroviral therapy. Nevertheless, these data should be borne in mind when interpreting the results from regular monitoring of the viral load in HIV infected patients receiving valproate or when following CMV infected patients clinically.

5.8 Bleeding and Other Hematopoietic Disorders

Valproate is associated with dose-related thrombocytopenia. In a clinical trial of Depakote (divalproex sodium) as monotherapy in patients with epilepsy, 34/126 patients (27%) receiving approximately 50 mg/kg/day on average, had at least one value of platelets ≤ 75 x 10 9/L. Approximately half of these patients had treatment discontinued, with return of platelet counts to normal. In the remaining patients, platelet counts normalized with continued treatment. In this study, the probability of thrombocytopenia appeared to increase significantly at total valproate concentrations of ≥ 110 mcg/mL (females) or ≥ 135 mcg/mL (males). The therapeutic benefit which may accompany the higher doses should therefore be weighed against the possibility of a greater incidence of adverse effects. Valproate use has also been associated with decreases in other cell lines and myelodysplasia.

Because of reports of cytopenias, inhibition of the secondary phase of platelet aggregation, and abnormal coagulation parameters, (e.g., low fibrinogen, coagulation factor deficiencies, acquired von Willebrand’s disease), measurements of complete blood counts and coagulation tests are recommended before initiating therapy and at periodic intervals. It is recommended that patients receiving Valproic Acid be monitored for blood counts and coagulation parameters prior to planned surgery and during pregnancy [see Use in Specific Populations ( 8.1)] . Evidence of hemorrhage, bruising, or a disorder of hemostasis/coagulation is an indication for reduction of the dosage or withdrawal of therapy.

5.16 Effect On Ketone and Thyroid Function Tests (5.16 Effect on Ketone and Thyroid Function Tests)

Valproate is partially eliminated in the urine as a keto-metabolite which may lead to a false interpretation of the urine ketone test.

There have been reports of altered thyroid function tests associated with valproate. The clinical significance of these is unknown.

8.3 females and Males of Reproductive Potential (8.3 Females and Males of Reproductive Potential)

Contraception

Women of childbearing potential should use effective contraception while taking valproate [see Boxed Warning, Warnings and Precautions ( 5.4), Drug Interactions ( 7), and Use in Specific Populations ( 8.1)] . This is especially important when valproate use is considered for a condition not usually associated with permanent injury or death such as prophylaxis of migraine headaches [see Contraindications ( 4)] .

Infertility

There have been reports of male infertility coincident with valproate therapy [see Adverse Reactions ( 6.4)] .

In animal studies, oral administration of valproate at clinically relevant doses resulted in adverse reproductive effects in males [see Nonclinical Toxicology ( 13.1)] .

7.1 Effects of Co Administered Drugs On Valproate Clearance (7.1 Effects of Co-Administered Drugs on Valproate Clearance)

Drugs that affect the level of expression of hepatic enzymes, particularly those that elevate levels of glucuronosyltransferases (such as ritonavir), may increase the clearance of valproate. For example, phenytoin, carbamazepine, and phenobarbital (or primidone) can double the clearance of valproate. Thus, patients on monotherapy will generally have longer half-lives and higher concentrations than patients receiving polytherapy with antiepilepsy drugs.

In contrast, drugs that are inhibitors of cytochrome P450 isozymes, e.g., antidepressants, may be expected to have little effect on valproate clearance because cytochrome P450 microsomal mediated oxidation is a relatively minor secondary metabolic pathway compared to glucuronidation and beta-oxidation.

Because of these changes in valproate clearance, monitoring of valproate and concomitant drug concentrations should be increased whenever enzyme inducing drugs are introduced or withdrawn.

The following list provides information about the potential for an influence of several commonly prescribed medications on valproate pharmacokinetics. The list is not exhaustive nor could it be, since new interactions are continuously being reported.

Drugs for which a potentially important interaction has been observed

Aspirin

A study involving the co-administration of aspirin at antipyretic doses (11 to 16 mg/kg) with valproate to pediatric patients (n = 6) revealed a decrease in protein binding and an inhibition of metabolism of valproate. Valproate free fraction was increased 4-fold in the presence of aspirin compared to valproate alone. The β-oxidation pathway consisting of 2-E-valproic acid, 3-OH-valproic acid, and 3-keto valproic acid was decreased from 25% of total metabolites excreted on valproate alone to 8.3% in the presence of aspirin. Caution should be observed if valproate and aspirin are to be co-administered.

Carbapenem Antibiotics

A clinically significant reduction in serum valproic acid concentration has been reported in patients receiving carbapenem antibiotics (for example, ertapenem, imipenem, meropenem; this is not a complete list) and may result in loss of seizure control. The mechanism of this interaction is not well understood. Serum valproic acid concentrations should be monitored frequently after initiating carbapenem therapy. Alternative antibacterial or anticonvulsant therapy should be considered if serum valproic acid concentrations drop significantly or seizure control deteriorates [see Warnings and Precautions ( 5.13)] .

Cholestyramine

Cholestyramine, when concurrently administered with valproic acid, led to, on average, a 14% decrease in plasma levels of valproic acid in a study conducted in 6 healthy subjects administered valproic acid and cholestyramine. Delaying the administration of cholestyramine relative to valproic acid administration by 3 hours may lessen the interaction.

Estrogen-Containing Hormonal Contraceptives

Estrogen-containing hormonal contraceptives may increase the clearance of valproate, which may result in decreased concentration of valproate and potentially increased seizure frequency. Prescribers should monitor serum valproate concentrations and clinical response when adding or discontinuing estrogen containing products.

Felbamate

A study involving the co-administration of 1,200 mg/day of felbamate with valproate to patients with epilepsy (n = 10) revealed an increase in mean valproate peak concentration by 35% (from 86 to 115 mcg/mL) compared to valproate alone. Increasing the felbamate dose to 2,400 mg/day increased the mean valproate peak concentration to 133 mcg/mL (another 16% increase). A decrease in valproate dosage may be necessary when felbamate therapy is initiated.

Rifampin

A study involving the administration of a single dose of valproate (7 mg/kg) 36 hours after 5 nights of daily dosing with rifampin (600 mg) revealed a 40% increase in the oral clearance of valproate. Valproate dosage adjustment may be necessary when it is co-administered with rifampin.

Drugs for which either no interaction or a likely clinically unimportant interaction has been observed

Antacids

A study involving the co-administration of valproate 500 mg with commonly administered antacids (Maalox, Trisogel, and Titralac - 160 mEq doses) did not reveal any effect on the extent of absorption of valproate.

Chlorpromazine

A study involving the administration of 100 to 300 mg/day of chlorpromazine to schizophrenic patients already receiving valproate (200 mg BID) revealed a 15% increase in trough plasma levels of valproate.

Haloperidol

A study involving the administration of 6 to 10 mg/day of haloperidol to schizophrenic patients already receiving valproate (200 mg BID) revealed no significant changes in valproate trough plasma levels.

Cimetidine and Ranitidine

Cimetidine and ranitidine do not affect the clearance of valproate.

13.1 Carcinogenesis, Mutagenesis, and Impairment of Fertility

C arc i nogenesis

Valproate was administered orally to rats and mice at doses of 80 and 170 mg/kg/day (less than the maximum recommended human dose on a mg/m 2basis) for two years. The primary findings were an increase in the incidence of subcutaneous fibrosarcomas in high-dose male rats receiving valproate and a dose-related trend for benign pulmonary adenomas in male mice receiving valproate.

Mutagenesis

Valproate was not mutagenic in an in vitrobacterial assay (Ames test), did not produce dominant lethal effects in mice, and did not increase chromosome aberration frequency in an in vivocytogenetic study in rats. Increased frequencies of sister chromatid exchange (SCE) have been reported in a study of epileptic children taking valproate; this association was not observed in another study conducted in adults.

I mpairment of Fertility

In chronic toxicity studies in juvenile and adult rats and dogs, administration of valproate resulted in testicular atrophy and reduced spermatogenesis at oral doses of 400 mg/kg/day or greater in rats (approximately equal to or greater than the maximum recommended human dose (MRHD) on a mg/m 2 basis) and 150 mg/kg/day or greater in dogs (approximately equal to or greater than the MRHD on a mg/m 2 basis). Fertility studies in rats have shown no effect on fertility at oral doses of valproate up to 350 mg/kg/day (approximately equal to the MRHD on a mg/m 2 basis) for 60 days.

5.10 Hyperammonemia and Encephalopathy Associated With Concomitant Topiramate Use (5.10 Hyperammonemia and Encephalopathy Associated with Concomitant Topiramate Use)

Concomitant administration of topiramate and valproate has been associated with hyperammonemia with or without encephalopathy in patients who have tolerated either drug alone. Clinical symptoms of hyperammonemic encephalopathy often include acute alterations in level of consciousness and/or cognitive function with lethargy or vomiting. Hypothermia can also be a manifestation of hyperammonemia [see Warnings and Precautions ( 5.11)] . In most cases, symptoms and signs abated with discontinuation of either drug. This adverse reaction is not due to a pharmacokinetic interaction. Patients with inborn errors of metabolism or reduced hepatic mitochondrial activity may be at an increased risk for hyperammonemia with or without encephalopathy. Although not studied, an interaction of topiramate and valproate may exacerbate existing defects or unmask deficiencies in susceptible persons. In patients who develop unexplained lethargy, vomiting, or changes in mental status, hyperammonemic encephalopathy should be considered and an ammonia level should be measured [see Contraindications ( 4) and Warnings and Precautions ( 5.6, 5.9)] .

5.12 Drug Reaction With Eosinophilia and Systemic Symptoms (dress)/multiorgan Hypersensitivity Reactions (5.12 Drug Reaction with Eosinophilia and Systemic Symptoms (DRESS)/Multiorgan Hypersensitivity Reactions)

Drug Reaction with Eosinophilia and Systemic Symptoms (DRESS), also known as Multiorgan Hypersensitivity, has been reported in patients taking valproate. DRESS may be fatal or life-threatening. DRESS typically, although not exclusively, presents with fever, rash, lymphadenopathy, and/or facial swelling, in association with other organ system involvement, such as hepatitis, nephritis, hematological abnormalities, myocarditis, or myositis sometimes resembling an acute viral infection. Eosinophilia is often present. Because this disorder is variable in its expression, other organ systems not noted here may be involved. It is important to note that early manifestations of hypersensitivity, such as fever or lymphadenopathy, may be present even though rash is not evident. If such signs or symptoms are present, the patient should be evaluated immediately. Valproate should be discontinued and not be resumed if an alternative etiology for the signs or symptoms cannot be established.


Advanced Ingredient Data


Raw Label Data

All Sections (JSON)