These Highlights Do Not Include All The Information Needed To Use

These Highlights Do Not Include All The Information Needed To Use
SPL v2
SPL
SPL Set ID 86abb371-3ac9-9f74-e053-2991aa0a66af
Route
INTRAVENOUS
Published
Effective Date 2023-05-15
Document Type 34391-3 HUMAN PRESCRIPTION DRUG LABEL

Drug Facts

Composition & Product

Active Ingredients
Phenylephrine (1 mg)
Inactive Ingredients
Citric Acid Monohydrate Hydrochloric Acid Sodium Chloride Sodium Hydroxide Sodium Metabisulfite Trisodium Citrate Dihydrate Water

Identifiers & Packaging

Marketing Status
ANDA Active Since 2018-07-07

Description

Phenylephrine hydrochloride injection, 10 mg/mL is an alpha-1 adrenergic receptor agonist indicated for the treatment of clinically important hypotension resulting primarily from vasodilation in the setting of anesthesia.

Indications and Usage

Phenylephrine hydrochloride injection, 10 mg/mL is an alpha-1 adrenergic receptor agonist indicated for the treatment of clinically important hypotension resulting primarily from vasodilation in the setting of anesthesia.

Dosage and Administration

Phenylephrine hydrochloride injection, 10 mg/mL must be diluted before administration as an intravenous bolus or continuous intravenous infusion to achieve the desired concentration: Bolus : Dilute with normal saline or 5% dextrose in water. Continuous infusion : Dilute with normal saline or 5% dextrose in water. Parenteral drug products should be inspected visually for particulate matter and discoloration prior to administration. Do not use if the solution is colored or cloudy, or if it contains particulate matter. The diluted solution should not be held for more than 4 hours at room temperature or for more than 24 hours under refrigerated conditions. Discard any unused portion. During phenylephrine hydrochloride injection administration: Correct intravascular volume depletion. Correct acidosis. Acidosis may reduce the effectiveness of phenylephrine.

Warnings and Precautions

Extravasation during intravenous administration may cause necrosis or sloughing of tissue. ( 5.3 ) Severe bradycardia and decreased cardiac output. ( 5.4 ) Allergic-type reactions : Sulfite. ( 5.5 ) Concomitant use with oxytocic drugs: Pressor effect of sympathomimetic pressor amines is potentiated. ( 5.8 )

Contraindications

None

Adverse Reactions

Adverse reactions to phenylephrine hydrochloride are primarily attributable to excessive pharmacologic activity. Adverse reactions reported in published clinical studies, observational trials, and case reports of phenylephrine hydrochloride are listed below by body system. Because these reactions are reported voluntarily from a population of uncertain size, it is not always possible to estimate their frequency reliably or to establish a causal relationship to drug exposure. Cardiac disorders: Reflex bradycardia, lowered cardiac output, ischemia, hypertension, arrhythmias Gastrointestinal disorders: Epigastric pain, vomiting, nausea Nervous system disorders: Headache, blurred vision, neck pain, tremors Vascular disorders: Hypertensive crisis Respiratory, Thoracic and Mediastinal Disorders: Dyspnea Skin and subcutaneous tissue disorders: Pruritis

Drug Interactions

Agonistic effects with monoamine oxidase inhibitors (MAOI), oxytocin and oxytocic drugs, tricyclic antidepressants, angiotensin and aldosterone, atropine, steroids, norepinephrine transporter inhibitors, ergot alkaloids. ( 7.1 ) Antagonistic effects with α-adrenergic antagonists, phosphodiesterase Type 5 inhibitors, mixed α- and β-receptor antagonists, calcium channel blockers, benzodiazepines and ACE inhibitors, centrally acting sympatholytic agents. ( 7.2 )

Storage and Handling

Phenylephrine Hydrochloride Injection, USP is a sterile, clear, colorless solution and supplied in 1 mL single-dose glass vials. Each mL contains phenylephrine hydrochloride USP, 10 mg . 10 mg/mL (1 mL) 1 mL Single - dose Vial:                                NDC 70121-1577-1 25 Vials in a Carton:                                    NDC 70121-1577-5 Store phenylephrine hydrochloride injection USP, 10 mg/mL at 20° to 25°C (68° to 77°F); excursions permitted between 15° to 30°C (59° to 86°F) [see USP Controlled Room Temperature]. Protect from light. Store in carton until time of use. Vial stoppers are not manufactured with natural rubber latex. The diluted solution should not be held for more than 4 hours at room temperature or for more than 24 hours under refrigerated conditions. Discard any unused portion.

How Supplied

Phenylephrine Hydrochloride Injection, USP is a sterile, clear, colorless solution and supplied in 1 mL single-dose glass vials. Each mL contains phenylephrine hydrochloride USP, 10 mg . 10 mg/mL (1 mL) 1 mL Single - dose Vial:                                NDC 70121-1577-1 25 Vials in a Carton:                                    NDC 70121-1577-5 Store phenylephrine hydrochloride injection USP, 10 mg/mL at 20° to 25°C (68° to 77°F); excursions permitted between 15° to 30°C (59° to 86°F) [see USP Controlled Room Temperature]. Protect from light. Store in carton until time of use. Vial stoppers are not manufactured with natural rubber latex. The diluted solution should not be held for more than 4 hours at room temperature or for more than 24 hours under refrigerated conditions. Discard any unused portion.


Medication Information

Warnings and Precautions

Extravasation during intravenous administration may cause necrosis or sloughing of tissue. ( 5.3 ) Severe bradycardia and decreased cardiac output. ( 5.4 ) Allergic-type reactions : Sulfite. ( 5.5 ) Concomitant use with oxytocic drugs: Pressor effect of sympathomimetic pressor amines is potentiated. ( 5.8 )

Indications and Usage

Phenylephrine hydrochloride injection, 10 mg/mL is an alpha-1 adrenergic receptor agonist indicated for the treatment of clinically important hypotension resulting primarily from vasodilation in the setting of anesthesia.

Dosage and Administration

Phenylephrine hydrochloride injection, 10 mg/mL must be diluted before administration as an intravenous bolus or continuous intravenous infusion to achieve the desired concentration: Bolus : Dilute with normal saline or 5% dextrose in water. Continuous infusion : Dilute with normal saline or 5% dextrose in water. Parenteral drug products should be inspected visually for particulate matter and discoloration prior to administration. Do not use if the solution is colored or cloudy, or if it contains particulate matter. The diluted solution should not be held for more than 4 hours at room temperature or for more than 24 hours under refrigerated conditions. Discard any unused portion. During phenylephrine hydrochloride injection administration: Correct intravascular volume depletion. Correct acidosis. Acidosis may reduce the effectiveness of phenylephrine.

Contraindications

None

Adverse Reactions

Adverse reactions to phenylephrine hydrochloride are primarily attributable to excessive pharmacologic activity. Adverse reactions reported in published clinical studies, observational trials, and case reports of phenylephrine hydrochloride are listed below by body system. Because these reactions are reported voluntarily from a population of uncertain size, it is not always possible to estimate their frequency reliably or to establish a causal relationship to drug exposure. Cardiac disorders: Reflex bradycardia, lowered cardiac output, ischemia, hypertension, arrhythmias Gastrointestinal disorders: Epigastric pain, vomiting, nausea Nervous system disorders: Headache, blurred vision, neck pain, tremors Vascular disorders: Hypertensive crisis Respiratory, Thoracic and Mediastinal Disorders: Dyspnea Skin and subcutaneous tissue disorders: Pruritis

Drug Interactions

Agonistic effects with monoamine oxidase inhibitors (MAOI), oxytocin and oxytocic drugs, tricyclic antidepressants, angiotensin and aldosterone, atropine, steroids, norepinephrine transporter inhibitors, ergot alkaloids. ( 7.1 ) Antagonistic effects with α-adrenergic antagonists, phosphodiesterase Type 5 inhibitors, mixed α- and β-receptor antagonists, calcium channel blockers, benzodiazepines and ACE inhibitors, centrally acting sympatholytic agents. ( 7.2 )

Storage and Handling

Phenylephrine Hydrochloride Injection, USP is a sterile, clear, colorless solution and supplied in 1 mL single-dose glass vials. Each mL contains phenylephrine hydrochloride USP, 10 mg . 10 mg/mL (1 mL) 1 mL Single - dose Vial:                                NDC 70121-1577-1 25 Vials in a Carton:                                    NDC 70121-1577-5 Store phenylephrine hydrochloride injection USP, 10 mg/mL at 20° to 25°C (68° to 77°F); excursions permitted between 15° to 30°C (59° to 86°F) [see USP Controlled Room Temperature]. Protect from light. Store in carton until time of use. Vial stoppers are not manufactured with natural rubber latex. The diluted solution should not be held for more than 4 hours at room temperature or for more than 24 hours under refrigerated conditions. Discard any unused portion.

How Supplied

Phenylephrine Hydrochloride Injection, USP is a sterile, clear, colorless solution and supplied in 1 mL single-dose glass vials. Each mL contains phenylephrine hydrochloride USP, 10 mg . 10 mg/mL (1 mL) 1 mL Single - dose Vial:                                NDC 70121-1577-1 25 Vials in a Carton:                                    NDC 70121-1577-5 Store phenylephrine hydrochloride injection USP, 10 mg/mL at 20° to 25°C (68° to 77°F); excursions permitted between 15° to 30°C (59° to 86°F) [see USP Controlled Room Temperature]. Protect from light. Store in carton until time of use. Vial stoppers are not manufactured with natural rubber latex. The diluted solution should not be held for more than 4 hours at room temperature or for more than 24 hours under refrigerated conditions. Discard any unused portion.

Description

Phenylephrine hydrochloride injection, 10 mg/mL is an alpha-1 adrenergic receptor agonist indicated for the treatment of clinically important hypotension resulting primarily from vasodilation in the setting of anesthesia.

10 Overdosage

Overdose of phenylephrine hydrochloride can cause a rapid rise in blood pressure. Symptoms of overdose include headache, vomiting, hypertension, reflex bradycardia, a sensation of fullness in the head, tingling of the extremities, and cardiac arrhythmias including ventricular extrasystoles and ventricular tachycardia.

8.1 Pregnancy

Pregnancy Category C

Risk Summary

There are no adequate or well-controlled studies with phenylephrine hydrochloride injection in pregnant women, nor have animal reproduction studies been conducted. Published studies in normotensive pregnant rabbits report early onset labor, increased fetal lethality, and adverse placental effects with subcutaneous phenylephrine administration during gestation at doses approximately 1.9-times the total daily human dose. Published studies in normotensive pregnant sheep report decreased uterine blood flow and decreased PaO 2 in the fetus with intravenous phenylephrine administration during late gestation at doses less than and similar to the human dose. It is not known whether phenylephrine hydrochloride, can cause fetal harm when administered to a pregnant woman. Phenylephrine hydrochloride, should be given to a pregnant woman only if the potential benefit justifies the potential risk to the fetus.

 

Clinical Considerations

 

Labor and Delivery

The most common maternal adverse reactions reported in published studies of phenylephrine use during neuraxial anesthesia during Cesarean delivery include nausea and vomiting, bradycardia, reactive hypertension, and transient arrhythmias. Phenylephrine, when administered during labor or delivery, does not appear to alter either neonatal Apgar scores or umbilical artery blood-gas status.

Data

Animal Data

 

Studies in the published literature evaluating subcutaneously administered phenylephrine (0.33 mg/kg, TID) in normotensive pregnant rabbits reported fetal deaths, adverse histopathology findings in the placenta (necrosis, calcification and thickened vascular walls with narrowed lumen) and possible teratogenic effects (one incidence of clubbed feet, partial development of the intestine) when treatment was initiated during the first trimester or later; and premature labor when treatment was initiated at the second trimester or later. The doses administered were 1.9- times the total daily human dose of 10 mg/day based on a body surface area comparison. Published studies in pregnant normotensive sheep demonstrate that intravenous phenylephrine (4 mcg/kg/min for 30 minutes, equivalent to 3.6 to 4.1 mcg/kg/min human equivalent dose based on body surface area) administered during the third trimester of pregnancy decreased uterine blood flow by 42%. This dose is 1.1- to 1.2-times the human bolus dose of 200 mcg/60 kg person based on body surface area. Mean fetal blood pressure and heart rate fluctuated above and below controls by about 7% during the infusion. Fetal PaO 2 was significantly decreased by approximately 26% of control during the infusion. Likewise, PaCO 2 was increased and pH was decreased. The clinical significance of these findings is not clear; however, the results suggest the potential for cardiovascular effects on the fetus when phenylephrine is used during pregnancy.

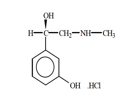
11 Description

Phenylephrine is an alpha-1 adrenergic receptor agonist. Phenylephrine hydrochloride injection USP, 10 mg/mL is a sterile, nonpyrogenic solution for intravenous use. It must be diluted before administration as an intravenous bolus or continuous intravenous infusion. The chemical name of phenylephrine hydrochloride is (-)- m-hydroxy-α-[(methylamino)methyl]benzyl alcohol hydrochloride, and its structural formula is depicted below:

Phenylephrine hydrochloride, USP is a white or practically white crystals with a molecular formula of C 9H 13NO 2 • HCl and a molecular weight of 203.67. It is freely soluble in water and in alcohol.

Phenylephrine hydrochloride injection USP, 10 mg/mL is sensitive to light.

Each mL contains: phenylephrine hydrochloride, USP 10 mg, sodium chloride 3.5 mg, trisodium citrate dihydrate 4 mg, citric acid monohydrate 1 mg, and sodium metabisulfite       2 mg in water for injection. The pH is adjusted with sodium hydroxide and/or hydrochloric acid if necessary. The pH range is 3.5 to 5.5.

5.4 Bradycardia

Phenylephrine hydrochloride can cause severe bradycardia and decreased cardiac output.

8.4 Pediatric Use

Safety and effectiveness in pediatric patients have not been established.

 

8.5 Geriatric Use

Clinical studies of phenylephrine did not include sufficient numbers of subjects aged 65 and over to determine whether they respond differently from younger subjects. Other reported clinical experience has not identified differences in responses between the elderly and younger patients. In general, dose selection for an elderly patient should be cautious, usually starting at the low end of the dosing range, reflecting the greater frequency of decreased hepatic, renal, or cardiac function, and of concomitant disease or other drug therapy.

5.6 Renal Toxicity

Phenylephrine hydrochloride can increase the need for renal replacement therapy in patients with septic shock. Monitor renal function.

14 Clinical Studies

The evidence for the efficacy of phenylephrine hydrochloride is derived from studies of phenylephrine hydrochloride in the published literature. The literature support includes 16 studies evaluating the use of intravenous phenylephrine to treat hypotension during anesthesia. The 16 studies include 9 studies where phenylephrine was used in low-risk (ASA 1 and 2) pregnant women undergoing neuraxial anesthesia during Cesarean delivery, 6 studies in non-obstetric surgery under general anesthesia, and 1 study in non-obstetric surgery under combined general and neuraxial anesthesia. Phenylephrine has been shown to raise systolic and mean blood pressure when administered either as a bolus dose or by continuous infusion following the development of hypotension during anesthesia.

4 Contraindications

None

6 Adverse Reactions

Adverse reactions to phenylephrine hydrochloride are primarily attributable to excessive pharmacologic activity. Adverse reactions reported in published clinical studies, observational trials, and case reports of phenylephrine hydrochloride are listed below by body system. Because these reactions are reported voluntarily from a population of uncertain size, it is not always possible to estimate their frequency reliably or to establish a causal relationship to drug exposure.

Cardiac disorders: Reflex bradycardia, lowered cardiac output, ischemia, hypertension, arrhythmias

Gastrointestinal disorders: Epigastric pain, vomiting, nausea

Nervous system disorders: Headache, blurred vision, neck pain, tremors

Vascular disorders: Hypertensive crisis

Respiratory, Thoracic and Mediastinal Disorders: Dyspnea

Skin and subcutaneous tissue disorders: Pruritis

7 Drug Interactions
  • Agonistic effects with monoamine oxidase inhibitors (MAOI), oxytocin and oxytocic drugs, tricyclic antidepressants, angiotensin and aldosterone, atropine, steroids, norepinephrine transporter inhibitors, ergot alkaloids. ( 7.1)
  • Antagonistic effects with α-adrenergic antagonists, phosphodiesterase Type 5 inhibitors, mixed α- and β-receptor antagonists, calcium channel blockers, benzodiazepines and ACE inhibitors, centrally acting sympatholytic agents. ( 7.2)
8.3 Nursing Mothers

It is not known whether phenylephrine is present in human milk. The developmental and health benefits of breastfeeding should be considered along with the mother’s clinical need for phenylephrine hydrochloride and any potential adverse effects on the breastfed child from the drug or from the underlying maternal condition. Exercise caution when phenylephrine hydrochloride injection is administered to a nursing woman.

8.7 Renal Impairment

In patients with end stage renal disease (ESRD), dose-response data indicate increased responsiveness to phenylephrine. Consider starting at the lower end of the recommended dose range, and adjusting dose based on the target blood pressure goal.

12.2 Pharmacodynamics

Interaction of phenylephrine with α1-adrenergic receptors on vascular smooth muscle cells causes activation of the cells and results in vasoconstriction. Following phenylephrine hydrochloride intravenous administration, increases in systolic and diastolic blood pressures, mean arterial blood pressure, and total peripheral vascular resistance are observed. The onset of blood pressure increase following an intravenous bolus phenylephrine hydrochloride administration is rapid, typically within minutes. As blood pressure increases following intravenous administration, vagal activity also increases, resulting in reflex bradycardia. Phenylephrine has activity on most vascular beds, including renal, pulmonary, and splanchnic arteries.

12.3 Pharmacokinetics

 

Following an intravenous infusion of phenylephrine hydrochloride, the observed effective half-life was approximately 5 minutes. The steady-state volume of distribution of approximately 340 L suggests a high distribution into organs and peripheral tissues. The average total serum clearance is approximately 2100 mL/min. The observed phenylephrine plasma terminal elimination half-life was 2.5 hours.

Phenylephrine is metabolized primarily by monoamine oxidase and sulfotransferase. After intravenous administration of radiolabeled phenylephrine, approximately 80% of the total dose was eliminated within first 12 hours; and approximately 86% of the total dose was recovered in the urine within 48 hours. The excreted unchanged parent drug was 16% of the total dose in the urine at 48 hours post intravenous administration. There are two major metabolites, with approximately 57 and 8% of the total dose excreted as m-hydroxymandelic acid and sulfate conjugates, respectively. The metabolites are considered not pharmacologically active.

5.5 Allergic Reactions

Phenylephrine hydrochloride contains sodium metabisulfite, a sulfite that may cause allergic-type reactions, including anaphylactic symptoms and life-threatening or less severe asthmatic episodes in certain susceptible people. The overall prevalence of sulfite sensitivity in the general population is unknown and probably low. Sulfite sensitivity is seen more frequently in asthmatic than in nonasthmatic people.

8.6 Hepatic Impairment

In patients with liver cirrhosis [Child Pugh Class B and Class C], dose-response data indicate decreased responsiveness to phenylephrine. Start dosing in the recommended dose range but consider that you may need to give more phenylephrine in this population.

1 Indications and Usage

Phenylephrine hydrochloride injection, 10 mg/mL is an alpha-1 adrenergic receptor agonist indicated for the treatment of clinically important hypotension resulting primarily from vasodilation in the setting of anesthesia.

12.1 Mechanism of Action

Phenylephrine hydrochloride is an α-1 adrenergic receptor agonist.

5 Warnings and Precautions
  • Extravasation during intravenous administration may cause necrosis or sloughing of tissue. ( 5.3)
  • Severe bradycardia and decreased cardiac output. ( 5.4)
  • Allergic-type reactions: Sulfite. ( 5.5)
  • Concomitant use with oxytocic drugs: Pressor effect of sympathomimetic pressor amines is potentiated. ( 5.8)
2 Dosage and Administration

Phenylephrine hydrochloride injection, 10 mg/mL, is injected intravenously either as a bolus or in a dilute solution as a continuous infusion.

Dilute before administration. ( 2)

 

Dosing for treatment of hypotension during anesthesia

  • Bolus intravenous injection: 40 mcg to 100 mcg every 1 to 2 minutes as needed, not to exceed 200 mcg. ( 2)
  • Intravenous infusion: 10 mcg/min to 35 mcg/min, titrating to effect, not to exceed 200 mcg/min. ( 2)

The dose should be adjusted according to the pressor response (i.e. titrate to effect). ( 2)

3 Dosage Forms and Strengths

Phenylephrine hydrochloride injection, USP is a sterile, clear, colorless solution and supplied in 1 mL single-dose glass vials. Each mL contains phenylephrine hydrochloride USP, 10 mg.

8 Use in Specific Populations
  • Pregnancy: Based on animal data, may cause fetal harm. ( 8.1)
17 Patient Counseling Information

If applicable, inform patients, family member, or caregiver that certain medical conditions and medications might influence how phenylephrine hydrochloride injection works.

Manufactured by:

Amneal Pharmaceuticals Pvt. Ltd.

Parenteral Unit

Ahmedabad 382213, INDIA

Distributed by:

Amneal Biosciences LLC

Bridgewater, NJ 08807

Rev. 04-2018-00

5.3 Skin and Subcutaneous Necrosis

Extravasation of phenylephrine hydrochloride can cause necrosis or sloughing of tissue. The infusion site should be checked for free flow. Care should be taken to avoid extravasation of phenylephrine hydrochloride.

16 How Supplied/storage and Handling

Phenylephrine Hydrochloride Injection, USP is a sterile, clear, colorless solution and supplied in 1 mL single-dose glass vials. Each mL contains phenylephrine hydrochloride USP, 10 mg.

10 mg/mL (1 mL)

1 mL Single -dose Vial:                                NDC 70121-1577-1

25 Vials in a Carton:                                    NDC 70121-1577-5

Store phenylephrine hydrochloride injection USP, 10 mg/mL at 20° to 25°C (68° to 77°F); excursions permitted between 15° to 30°C (59° to 86°F) [see USP Controlled Room Temperature].

Protect from light. Store in carton until time of use. Vial stoppers are not manufactured with natural rubber latex.

The diluted solution should not be held for more than 4 hours at room temperature or for more than 24 hours under refrigerated conditions. Discard any unused portion.

5.2 Peripheral and Visceral Ischemia

Phenylephrine hydrochloride can cause excessive peripheral and visceral vasoconstriction and ischemia to vital organs, particularly in patients with extensive peripheral vascular disease.

Principal Display Panel Vial Label

Name: Phenylephrine Hydrochloride Injection, USP

Strength: 10 mg/mL (1 mL)

Rx Only

Vial Label

Principal Display Panel Outer Package

NDC 71872-7159-1

RX ONLY

Phenylephrine Hydrochloride Injection, USP

1 - 10 mg/mL 1 mL Single Dose Vial

For Intravenous Use.

Must be diluted.

Protect from light.

7.1 Interactions That Augment Pressor Effect

The increasing blood pressure effect of phenylephrine hydrochloride is increased in patients receiving:

  • Monoamine oxidase inhibitors (MAOI)
  • Oxytocin and oxytocic drugs
  • Tricyclic antidepressants
  • Angiotensin, aldosterone
  • Atropine
  • Steroids, such as hydrocortisone
  • Norepinephrine transporter inhibitors, such as atomoxetine
  • Ergot alkaloids, such as methylergonovine maleate
2.1 General Dosage and Administration Instructions

Phenylephrine hydrochloride injection, 10 mg/mL must be diluted before administration as an intravenous bolus or continuous intravenous infusion to achieve the desired concentration:

  • Bolus: Dilute with normal saline or 5% dextrose in water.
  • Continuous infusion: Dilute with normal saline or 5% dextrose in water.

Parenteral drug products should be inspected visually for particulate matter and discoloration prior to administration. Do not use if the solution is colored or cloudy, or if it contains particulate matter. The diluted solution should not be held for more than 4 hours at room temperature or for more than 24 hours under refrigerated conditions. Discard any unused portion.

During phenylephrine hydrochloride injection administration:

  • Correct intravascular volume depletion.
  • Correct acidosis. Acidosis may reduce the effectiveness of phenylephrine.
5.8 Pressor Effect With Concomitant Oxytocic Drugs

Oxytocic drugs potentiate the increasing blood pressure effect of sympathomimetic pressor amines including phenylephrine hydrochloride [see Drug Interactions ( 7.1) ] , with the potential for hemorrhagic stroke.

7.2 Interactions That Antagonize the Pressor Effect

The increasing blood pressure effect of phenylephrine hydrochloride is decreased in patients receiving:

  • α-adrenergic antagonists
  • Phosphodiesterase Type 5 inhibitors
  • Mixed α- and β-receptor antagonists
  • Calcium channel blockers, such as nifedipine
  • Benzodiazepines
  • ACE inhibitors
  • Centrally acting sympatholytic agents, such as reserpine, guanfacine.
13.1 Carcinogenesis, Mutagenesis, Impairment of Fertility

Carcinogenesis: Long-term animal studies that evaluated the carcinogenic potential of orally administered phenylephrine hydrochloride in F344/N rats and B6C3F 1 mice were completed by the National Toxicology Program using the dietary route of administration. There was no evidence of carcinogenicity in mice administered approximately 270 mg/kg/day (131-times the maximum recommended daily dose of < 10 mg/day) or rats administered approximately 50 mg/kg/day (48-times the maximum recommended daily dose of < 10 mg/day) based on body surface area comparisons.

Mutagenesis: Phenylephrine hydrochloride tested negative in the in vitro bacterial reverse mutation assay ( S.typhimurium strains TA98, TA100, TA1535 and TA1537), the in vitro chromosomal aberrations assay, the in vitro sister chromatid exchange assay, and the in vivo rat micronucleus assay. Positive results were reported in only one of two replicates of the in vitro mouse lymphoma assay.

Impairment of Fertility: Studies to evaluate the effect of phenylephrine on fertility have not been conducted.

2.2 Dosing for Treatment of Hypotension During Anesthesia

The following are the recommended dosages for the treatment of hypotension during anesthesia.

  • The recommended initial dose is 40 to 100 mcg administered by intravenous bolus.

    May administer additional boluses every 1 to 2 minutes as needed; not to exceed a total dosage of 200 mcg.

  • If blood pressure is below the target goal, start a continuous intravenous infusion with an infusion rate of 10 to 35 mcg/minute; not to exceed 200 mcg/minute.
  • Adjust dosage according to the blood pressure goal.
2.4 Prepare A Solution for Continuous Intravenous Administration

For continuous intravenous infusion, prepare a solution containing a final concentration of 20 mcg/mL of phenylephrine hydrochloride in 5% Dextrose Injection, USP or 0.9% Sodium Chloride Injection, USP:

  • Withdraw 10 mg (1 mL of 10 mg/mL) of phenylephrine hydrochloride and dilute with 500 mL of 5% Dextrose Injection, USP or 0.9% Sodium Chloride Injection, USP.
2.3 Prepare A 100 Mcg/ml Solution for Bolus Intravenous Administration

For bolus intravenous administration, prepare a solution containing a final concentration of 100 mcg/mL of phenylephrine hydrochloride injection:

  • Withdraw 10 mg (1 mL of 10 mg/mL) of phenylephrine hydrochloride and dilute with 99 mL of 5% Dextrose Injection, USP or 0.9% Sodium Chloride Injection, USP.
  • Withdraw an appropriate dose from the 100 mcg/mL solution prior to bolus intravenous administration.
5.7 Risk of Augmented Pressor Affect in Patients With Autonomic Dysfunction

The increasing blood pressure response to adrenergic drugs, including phenylephrine hydrochloride, can be increased in patients with autonomic dysfunction, as may occur with spinal cord injuries.

5.1 Exacerbation of Angina, Heart Failure, Or Pulmonary Arterial Hypertension

Because of its increasing blood pressure effects, phenylephrine hydrochloride can precipitate angina in patients with severe arteriosclerosis or history of angina, exacerbate underlying heart failure, and increase pulmonary arterial pressure.


Structured Label Content

10 Overdosage (10 OVERDOSAGE)

Overdose of phenylephrine hydrochloride can cause a rapid rise in blood pressure. Symptoms of overdose include headache, vomiting, hypertension, reflex bradycardia, a sensation of fullness in the head, tingling of the extremities, and cardiac arrhythmias including ventricular extrasystoles and ventricular tachycardia.

8.1 Pregnancy

Pregnancy Category C

Risk Summary

There are no adequate or well-controlled studies with phenylephrine hydrochloride injection in pregnant women, nor have animal reproduction studies been conducted. Published studies in normotensive pregnant rabbits report early onset labor, increased fetal lethality, and adverse placental effects with subcutaneous phenylephrine administration during gestation at doses approximately 1.9-times the total daily human dose. Published studies in normotensive pregnant sheep report decreased uterine blood flow and decreased PaO 2 in the fetus with intravenous phenylephrine administration during late gestation at doses less than and similar to the human dose. It is not known whether phenylephrine hydrochloride, can cause fetal harm when administered to a pregnant woman. Phenylephrine hydrochloride, should be given to a pregnant woman only if the potential benefit justifies the potential risk to the fetus.

 

Clinical Considerations

 

Labor and Delivery

The most common maternal adverse reactions reported in published studies of phenylephrine use during neuraxial anesthesia during Cesarean delivery include nausea and vomiting, bradycardia, reactive hypertension, and transient arrhythmias. Phenylephrine, when administered during labor or delivery, does not appear to alter either neonatal Apgar scores or umbilical artery blood-gas status.

Data

Animal Data

 

Studies in the published literature evaluating subcutaneously administered phenylephrine (0.33 mg/kg, TID) in normotensive pregnant rabbits reported fetal deaths, adverse histopathology findings in the placenta (necrosis, calcification and thickened vascular walls with narrowed lumen) and possible teratogenic effects (one incidence of clubbed feet, partial development of the intestine) when treatment was initiated during the first trimester or later; and premature labor when treatment was initiated at the second trimester or later. The doses administered were 1.9- times the total daily human dose of 10 mg/day based on a body surface area comparison. Published studies in pregnant normotensive sheep demonstrate that intravenous phenylephrine (4 mcg/kg/min for 30 minutes, equivalent to 3.6 to 4.1 mcg/kg/min human equivalent dose based on body surface area) administered during the third trimester of pregnancy decreased uterine blood flow by 42%. This dose is 1.1- to 1.2-times the human bolus dose of 200 mcg/60 kg person based on body surface area. Mean fetal blood pressure and heart rate fluctuated above and below controls by about 7% during the infusion. Fetal PaO 2 was significantly decreased by approximately 26% of control during the infusion. Likewise, PaCO 2 was increased and pH was decreased. The clinical significance of these findings is not clear; however, the results suggest the potential for cardiovascular effects on the fetus when phenylephrine is used during pregnancy.

11 Description (11 DESCRIPTION)

Phenylephrine is an alpha-1 adrenergic receptor agonist. Phenylephrine hydrochloride injection USP, 10 mg/mL is a sterile, nonpyrogenic solution for intravenous use. It must be diluted before administration as an intravenous bolus or continuous intravenous infusion. The chemical name of phenylephrine hydrochloride is (-)- m-hydroxy-α-[(methylamino)methyl]benzyl alcohol hydrochloride, and its structural formula is depicted below:

Phenylephrine hydrochloride, USP is a white or practically white crystals with a molecular formula of C 9H 13NO 2 • HCl and a molecular weight of 203.67. It is freely soluble in water and in alcohol.

Phenylephrine hydrochloride injection USP, 10 mg/mL is sensitive to light.

Each mL contains: phenylephrine hydrochloride, USP 10 mg, sodium chloride 3.5 mg, trisodium citrate dihydrate 4 mg, citric acid monohydrate 1 mg, and sodium metabisulfite       2 mg in water for injection. The pH is adjusted with sodium hydroxide and/or hydrochloric acid if necessary. The pH range is 3.5 to 5.5.

5.4 Bradycardia

Phenylephrine hydrochloride can cause severe bradycardia and decreased cardiac output.

8.4 Pediatric Use

Safety and effectiveness in pediatric patients have not been established.

 

8.5 Geriatric Use

Clinical studies of phenylephrine did not include sufficient numbers of subjects aged 65 and over to determine whether they respond differently from younger subjects. Other reported clinical experience has not identified differences in responses between the elderly and younger patients. In general, dose selection for an elderly patient should be cautious, usually starting at the low end of the dosing range, reflecting the greater frequency of decreased hepatic, renal, or cardiac function, and of concomitant disease or other drug therapy.

5.6 Renal Toxicity

Phenylephrine hydrochloride can increase the need for renal replacement therapy in patients with septic shock. Monitor renal function.

14 Clinical Studies (14 CLINICAL STUDIES)

The evidence for the efficacy of phenylephrine hydrochloride is derived from studies of phenylephrine hydrochloride in the published literature. The literature support includes 16 studies evaluating the use of intravenous phenylephrine to treat hypotension during anesthesia. The 16 studies include 9 studies where phenylephrine was used in low-risk (ASA 1 and 2) pregnant women undergoing neuraxial anesthesia during Cesarean delivery, 6 studies in non-obstetric surgery under general anesthesia, and 1 study in non-obstetric surgery under combined general and neuraxial anesthesia. Phenylephrine has been shown to raise systolic and mean blood pressure when administered either as a bolus dose or by continuous infusion following the development of hypotension during anesthesia.

4 Contraindications (4 CONTRAINDICATIONS)

None

6 Adverse Reactions (6 ADVERSE REACTIONS)

Adverse reactions to phenylephrine hydrochloride are primarily attributable to excessive pharmacologic activity. Adverse reactions reported in published clinical studies, observational trials, and case reports of phenylephrine hydrochloride are listed below by body system. Because these reactions are reported voluntarily from a population of uncertain size, it is not always possible to estimate their frequency reliably or to establish a causal relationship to drug exposure.

Cardiac disorders: Reflex bradycardia, lowered cardiac output, ischemia, hypertension, arrhythmias

Gastrointestinal disorders: Epigastric pain, vomiting, nausea

Nervous system disorders: Headache, blurred vision, neck pain, tremors

Vascular disorders: Hypertensive crisis

Respiratory, Thoracic and Mediastinal Disorders: Dyspnea

Skin and subcutaneous tissue disorders: Pruritis

7 Drug Interactions (7 DRUG INTERACTIONS)
  • Agonistic effects with monoamine oxidase inhibitors (MAOI), oxytocin and oxytocic drugs, tricyclic antidepressants, angiotensin and aldosterone, atropine, steroids, norepinephrine transporter inhibitors, ergot alkaloids. ( 7.1)
  • Antagonistic effects with α-adrenergic antagonists, phosphodiesterase Type 5 inhibitors, mixed α- and β-receptor antagonists, calcium channel blockers, benzodiazepines and ACE inhibitors, centrally acting sympatholytic agents. ( 7.2)
8.3 Nursing Mothers

It is not known whether phenylephrine is present in human milk. The developmental and health benefits of breastfeeding should be considered along with the mother’s clinical need for phenylephrine hydrochloride and any potential adverse effects on the breastfed child from the drug or from the underlying maternal condition. Exercise caution when phenylephrine hydrochloride injection is administered to a nursing woman.

8.7 Renal Impairment

In patients with end stage renal disease (ESRD), dose-response data indicate increased responsiveness to phenylephrine. Consider starting at the lower end of the recommended dose range, and adjusting dose based on the target blood pressure goal.

12.2 Pharmacodynamics

Interaction of phenylephrine with α1-adrenergic receptors on vascular smooth muscle cells causes activation of the cells and results in vasoconstriction. Following phenylephrine hydrochloride intravenous administration, increases in systolic and diastolic blood pressures, mean arterial blood pressure, and total peripheral vascular resistance are observed. The onset of blood pressure increase following an intravenous bolus phenylephrine hydrochloride administration is rapid, typically within minutes. As blood pressure increases following intravenous administration, vagal activity also increases, resulting in reflex bradycardia. Phenylephrine has activity on most vascular beds, including renal, pulmonary, and splanchnic arteries.

12.3 Pharmacokinetics

 

Following an intravenous infusion of phenylephrine hydrochloride, the observed effective half-life was approximately 5 minutes. The steady-state volume of distribution of approximately 340 L suggests a high distribution into organs and peripheral tissues. The average total serum clearance is approximately 2100 mL/min. The observed phenylephrine plasma terminal elimination half-life was 2.5 hours.

Phenylephrine is metabolized primarily by monoamine oxidase and sulfotransferase. After intravenous administration of radiolabeled phenylephrine, approximately 80% of the total dose was eliminated within first 12 hours; and approximately 86% of the total dose was recovered in the urine within 48 hours. The excreted unchanged parent drug was 16% of the total dose in the urine at 48 hours post intravenous administration. There are two major metabolites, with approximately 57 and 8% of the total dose excreted as m-hydroxymandelic acid and sulfate conjugates, respectively. The metabolites are considered not pharmacologically active.

5.5 Allergic Reactions

Phenylephrine hydrochloride contains sodium metabisulfite, a sulfite that may cause allergic-type reactions, including anaphylactic symptoms and life-threatening or less severe asthmatic episodes in certain susceptible people. The overall prevalence of sulfite sensitivity in the general population is unknown and probably low. Sulfite sensitivity is seen more frequently in asthmatic than in nonasthmatic people.

8.6 Hepatic Impairment

In patients with liver cirrhosis [Child Pugh Class B and Class C], dose-response data indicate decreased responsiveness to phenylephrine. Start dosing in the recommended dose range but consider that you may need to give more phenylephrine in this population.

1 Indications and Usage (1 INDICATIONS AND USAGE)

Phenylephrine hydrochloride injection, 10 mg/mL is an alpha-1 adrenergic receptor agonist indicated for the treatment of clinically important hypotension resulting primarily from vasodilation in the setting of anesthesia.

12.1 Mechanism of Action

Phenylephrine hydrochloride is an α-1 adrenergic receptor agonist.

5 Warnings and Precautions (5 WARNINGS AND PRECAUTIONS)
  • Extravasation during intravenous administration may cause necrosis or sloughing of tissue. ( 5.3)
  • Severe bradycardia and decreased cardiac output. ( 5.4)
  • Allergic-type reactions: Sulfite. ( 5.5)
  • Concomitant use with oxytocic drugs: Pressor effect of sympathomimetic pressor amines is potentiated. ( 5.8)
2 Dosage and Administration (2 DOSAGE AND ADMINISTRATION)

Phenylephrine hydrochloride injection, 10 mg/mL, is injected intravenously either as a bolus or in a dilute solution as a continuous infusion.

Dilute before administration. ( 2)

 

Dosing for treatment of hypotension during anesthesia

  • Bolus intravenous injection: 40 mcg to 100 mcg every 1 to 2 minutes as needed, not to exceed 200 mcg. ( 2)
  • Intravenous infusion: 10 mcg/min to 35 mcg/min, titrating to effect, not to exceed 200 mcg/min. ( 2)

The dose should be adjusted according to the pressor response (i.e. titrate to effect). ( 2)

3 Dosage Forms and Strengths (3 DOSAGE FORMS AND STRENGTHS)

Phenylephrine hydrochloride injection, USP is a sterile, clear, colorless solution and supplied in 1 mL single-dose glass vials. Each mL contains phenylephrine hydrochloride USP, 10 mg.

8 Use in Specific Populations (8 USE IN SPECIFIC POPULATIONS)
  • Pregnancy: Based on animal data, may cause fetal harm. ( 8.1)
17 Patient Counseling Information (17 PATIENT COUNSELING INFORMATION)

If applicable, inform patients, family member, or caregiver that certain medical conditions and medications might influence how phenylephrine hydrochloride injection works.

Manufactured by:

Amneal Pharmaceuticals Pvt. Ltd.

Parenteral Unit

Ahmedabad 382213, INDIA

Distributed by:

Amneal Biosciences LLC

Bridgewater, NJ 08807

Rev. 04-2018-00

5.3 Skin and Subcutaneous Necrosis

Extravasation of phenylephrine hydrochloride can cause necrosis or sloughing of tissue. The infusion site should be checked for free flow. Care should be taken to avoid extravasation of phenylephrine hydrochloride.

16 How Supplied/storage and Handling (16 HOW SUPPLIED/STORAGE AND HANDLING)

Phenylephrine Hydrochloride Injection, USP is a sterile, clear, colorless solution and supplied in 1 mL single-dose glass vials. Each mL contains phenylephrine hydrochloride USP, 10 mg.

10 mg/mL (1 mL)

1 mL Single -dose Vial:                                NDC 70121-1577-1

25 Vials in a Carton:                                    NDC 70121-1577-5

Store phenylephrine hydrochloride injection USP, 10 mg/mL at 20° to 25°C (68° to 77°F); excursions permitted between 15° to 30°C (59° to 86°F) [see USP Controlled Room Temperature].

Protect from light. Store in carton until time of use. Vial stoppers are not manufactured with natural rubber latex.

The diluted solution should not be held for more than 4 hours at room temperature or for more than 24 hours under refrigerated conditions. Discard any unused portion.

5.2 Peripheral and Visceral Ischemia

Phenylephrine hydrochloride can cause excessive peripheral and visceral vasoconstriction and ischemia to vital organs, particularly in patients with extensive peripheral vascular disease.

Principal Display Panel Vial Label (PRINCIPAL DISPLAY PANEL - VIAL LABEL)

Name: Phenylephrine Hydrochloride Injection, USP

Strength: 10 mg/mL (1 mL)

Rx Only

Vial Label

Principal Display Panel Outer Package (PRINCIPAL DISPLAY PANEL - OUTER PACKAGE)

NDC 71872-7159-1

RX ONLY

Phenylephrine Hydrochloride Injection, USP

1 - 10 mg/mL 1 mL Single Dose Vial

For Intravenous Use.

Must be diluted.

Protect from light.

7.1 Interactions That Augment Pressor Effect (7.1 Interactions that Augment Pressor Effect)

The increasing blood pressure effect of phenylephrine hydrochloride is increased in patients receiving:

  • Monoamine oxidase inhibitors (MAOI)
  • Oxytocin and oxytocic drugs
  • Tricyclic antidepressants
  • Angiotensin, aldosterone
  • Atropine
  • Steroids, such as hydrocortisone
  • Norepinephrine transporter inhibitors, such as atomoxetine
  • Ergot alkaloids, such as methylergonovine maleate
2.1 General Dosage and Administration Instructions

Phenylephrine hydrochloride injection, 10 mg/mL must be diluted before administration as an intravenous bolus or continuous intravenous infusion to achieve the desired concentration:

  • Bolus: Dilute with normal saline or 5% dextrose in water.
  • Continuous infusion: Dilute with normal saline or 5% dextrose in water.

Parenteral drug products should be inspected visually for particulate matter and discoloration prior to administration. Do not use if the solution is colored or cloudy, or if it contains particulate matter. The diluted solution should not be held for more than 4 hours at room temperature or for more than 24 hours under refrigerated conditions. Discard any unused portion.

During phenylephrine hydrochloride injection administration:

  • Correct intravascular volume depletion.
  • Correct acidosis. Acidosis may reduce the effectiveness of phenylephrine.
5.8 Pressor Effect With Concomitant Oxytocic Drugs (5.8 Pressor Effect with Concomitant Oxytocic Drugs)

Oxytocic drugs potentiate the increasing blood pressure effect of sympathomimetic pressor amines including phenylephrine hydrochloride [see Drug Interactions ( 7.1) ] , with the potential for hemorrhagic stroke.

7.2 Interactions That Antagonize the Pressor Effect (7.2 Interactions that Antagonize the Pressor Effect)

The increasing blood pressure effect of phenylephrine hydrochloride is decreased in patients receiving:

  • α-adrenergic antagonists
  • Phosphodiesterase Type 5 inhibitors
  • Mixed α- and β-receptor antagonists
  • Calcium channel blockers, such as nifedipine
  • Benzodiazepines
  • ACE inhibitors
  • Centrally acting sympatholytic agents, such as reserpine, guanfacine.
13.1 Carcinogenesis, Mutagenesis, Impairment of Fertility

Carcinogenesis: Long-term animal studies that evaluated the carcinogenic potential of orally administered phenylephrine hydrochloride in F344/N rats and B6C3F 1 mice were completed by the National Toxicology Program using the dietary route of administration. There was no evidence of carcinogenicity in mice administered approximately 270 mg/kg/day (131-times the maximum recommended daily dose of < 10 mg/day) or rats administered approximately 50 mg/kg/day (48-times the maximum recommended daily dose of < 10 mg/day) based on body surface area comparisons.

Mutagenesis: Phenylephrine hydrochloride tested negative in the in vitro bacterial reverse mutation assay ( S.typhimurium strains TA98, TA100, TA1535 and TA1537), the in vitro chromosomal aberrations assay, the in vitro sister chromatid exchange assay, and the in vivo rat micronucleus assay. Positive results were reported in only one of two replicates of the in vitro mouse lymphoma assay.

Impairment of Fertility: Studies to evaluate the effect of phenylephrine on fertility have not been conducted.

2.2 Dosing for Treatment of Hypotension During Anesthesia (2.2 Dosing for Treatment of Hypotension during Anesthesia)

The following are the recommended dosages for the treatment of hypotension during anesthesia.

  • The recommended initial dose is 40 to 100 mcg administered by intravenous bolus.

    May administer additional boluses every 1 to 2 minutes as needed; not to exceed a total dosage of 200 mcg.

  • If blood pressure is below the target goal, start a continuous intravenous infusion with an infusion rate of 10 to 35 mcg/minute; not to exceed 200 mcg/minute.
  • Adjust dosage according to the blood pressure goal.
2.4 Prepare A Solution for Continuous Intravenous Administration (2.4 Prepare a Solution for Continuous Intravenous Administration)

For continuous intravenous infusion, prepare a solution containing a final concentration of 20 mcg/mL of phenylephrine hydrochloride in 5% Dextrose Injection, USP or 0.9% Sodium Chloride Injection, USP:

  • Withdraw 10 mg (1 mL of 10 mg/mL) of phenylephrine hydrochloride and dilute with 500 mL of 5% Dextrose Injection, USP or 0.9% Sodium Chloride Injection, USP.
2.3 Prepare A 100 Mcg/ml Solution for Bolus Intravenous Administration (2.3 Prepare a 100 mcg/mL Solution for Bolus Intravenous Administration)

For bolus intravenous administration, prepare a solution containing a final concentration of 100 mcg/mL of phenylephrine hydrochloride injection:

  • Withdraw 10 mg (1 mL of 10 mg/mL) of phenylephrine hydrochloride and dilute with 99 mL of 5% Dextrose Injection, USP or 0.9% Sodium Chloride Injection, USP.
  • Withdraw an appropriate dose from the 100 mcg/mL solution prior to bolus intravenous administration.
5.7 Risk of Augmented Pressor Affect in Patients With Autonomic Dysfunction (5.7 Risk of Augmented Pressor Affect in Patients with Autonomic Dysfunction)

The increasing blood pressure response to adrenergic drugs, including phenylephrine hydrochloride, can be increased in patients with autonomic dysfunction, as may occur with spinal cord injuries.

5.1 Exacerbation of Angina, Heart Failure, Or Pulmonary Arterial Hypertension (5.1 Exacerbation of Angina, Heart Failure, or Pulmonary Arterial Hypertension)

Because of its increasing blood pressure effects, phenylephrine hydrochloride can precipitate angina in patients with severe arteriosclerosis or history of angina, exacerbate underlying heart failure, and increase pulmonary arterial pressure.


Advanced Ingredient Data


Raw Label Data

All Sections (JSON)