These Highlights Do Not Include All The Information Needed To Use Levocetirizine Dihydrochloride Tablets Safely And Effectively. See Full Prescribing Information For Levocetirizine Dihydrochloride Tablets.

These Highlights Do Not Include All The Information Needed To Use Levocetirizine Dihydrochloride Tablets Safely And Effectively. See Full Prescribing Information For Levocetirizine Dihydrochloride Tablets.
SPL v5
SPL
SPL Set ID 85dcd6c0-7fb2-40b3-b07f-93bab169011d
Route
ORAL
Published
Effective Date 2025-08-31
Document Type 34391-3 HUMAN PRESCRIPTION DRUG LABEL

Drug Facts

Composition & Product

Active Ingredients
Levocetirizine (5 mg)
Inactive Ingredients
Microcrystalline Cellulose Lactose Monohydrate Silicon Dioxide Magnesium Stearate Hypromellose, Unspecified Titanium Dioxide Polyethylene Glycol, Unspecified

Identifiers & Packaging

Pill Appearance
Imprint: SG;136 Shape: oval Color: white Size: 8 mm Score: 1
Marketing Status
ANDA Active Since 2019-09-19

Description

Warnings and Precautions, Risk of New Onset Pruritus After Discontinuation of Levocetirizine dihydrochloride tablets ( 5.3 ) 07/2025

Indications and Usage

Levocetirizine dihydrochloride is a histamine H 1 -receptor antagonist indicated for: The treatment of the uncomplicated skin manifestations of chronic idiopathic urticaria ( 1.2 )

Dosage and Administration

Levocetirizine dihydrochloride tablets are available as 5 mg breakable (scored) tablets, allowing for the administration of 2.5 mg, if needed. Levocetirizine dihydrochloride tablets can be taken without regard to food consumption.

Warnings and Precautions

Somnolence: Somnolence, fatigue, and asthenia have been reported with use of levocetirizine dihydrochloride tablets in some patients in clinical trials. Avoid engaging in hazardous occupations requiring complete mental alertness such as driving or operating machinery when taking levocetirizine dihydrochloride tablets. Avoid concurrent use of alcohol or other central nervous system depressants with levocetirizine dihydrochloride tablets. ( 5.1 ) Urinary Retention: Urinary retention has been reported with use of levocetirizine dihydrochloride tablets. Use with caution in patients with predisposing factors of urinary retention (e.g. spinal cord lesion, prostatic hyperplasia). Discontinue levocetirizine dihydrochloride tablets if urinary retention occurs. ( 5.2 ) Risk of New Onset Pruritus After Discontinuation of Levocetirizine dihydrochloride tablets: New onset pruritus within a few days after discontinuation of Levocetirizine dihydrochloride tablets has been reported, usually after long-term use (e.g., few months to years) of Levocetirizine dihydrochloride tablets. Symptoms may improve with restarting or tapering Levocetirizine dihydrochloride tablets ( 5.3 ).

Contraindications

The use of levocetirizine dihydrochloride is contraindicated in:

Adverse Reactions

The following clinically significant adverse reactions are described elsewhere in the labeling: Somnolence [see Warnings and Precautions (5.1) ] Urinary Retention [see Warnings and Precautions (5.2) ] Risk of New Onset Pruritus After Discontinuation of Levocetirizine dihydrochloride tablets [see Warnings and Precautions (5.3) ]

Drug Interactions

In vitro data indicate that levocetirizine is unlikely to produce pharmacokinetic interactions through inhibition or induction of liver drug-metabolizing enzymes. No in vivo drug-drug interaction studies have been performed with levocetirizine. Drug interaction studies have been performed with racemic cetirizine.

Storage and Handling

Levocetirizine dihydrochloride tablets, USP 5 mg are white, oval, biconvex, film-coated functional scored tablets debossed with "S" on the left side of bisect and "G" on the right side of the bisect and other side "1" on the left side and "36" on the right side of the bisect. They are supplied in unit of use HDPE bottles. 90 tablets (NDC 69367-238-09)

How Supplied

Levocetirizine dihydrochloride tablets, USP 5 mg are white, oval, biconvex, film-coated functional scored tablets debossed with "S" on the left side of bisect and "G" on the right side of the bisect and other side "1" on the left side and "36" on the right side of the bisect. They are supplied in unit of use HDPE bottles. 90 tablets (NDC 69367-238-09)


Medication Information

Warnings and Precautions

Somnolence: Somnolence, fatigue, and asthenia have been reported with use of levocetirizine dihydrochloride tablets in some patients in clinical trials. Avoid engaging in hazardous occupations requiring complete mental alertness such as driving or operating machinery when taking levocetirizine dihydrochloride tablets. Avoid concurrent use of alcohol or other central nervous system depressants with levocetirizine dihydrochloride tablets. ( 5.1 ) Urinary Retention: Urinary retention has been reported with use of levocetirizine dihydrochloride tablets. Use with caution in patients with predisposing factors of urinary retention (e.g. spinal cord lesion, prostatic hyperplasia). Discontinue levocetirizine dihydrochloride tablets if urinary retention occurs. ( 5.2 ) Risk of New Onset Pruritus After Discontinuation of Levocetirizine dihydrochloride tablets: New onset pruritus within a few days after discontinuation of Levocetirizine dihydrochloride tablets has been reported, usually after long-term use (e.g., few months to years) of Levocetirizine dihydrochloride tablets. Symptoms may improve with restarting or tapering Levocetirizine dihydrochloride tablets ( 5.3 ).

Indications and Usage

Levocetirizine dihydrochloride is a histamine H 1 -receptor antagonist indicated for: The treatment of the uncomplicated skin manifestations of chronic idiopathic urticaria ( 1.2 )

Dosage and Administration

Levocetirizine dihydrochloride tablets are available as 5 mg breakable (scored) tablets, allowing for the administration of 2.5 mg, if needed. Levocetirizine dihydrochloride tablets can be taken without regard to food consumption.

Contraindications

The use of levocetirizine dihydrochloride is contraindicated in:

Adverse Reactions

The following clinically significant adverse reactions are described elsewhere in the labeling: Somnolence [see Warnings and Precautions (5.1) ] Urinary Retention [see Warnings and Precautions (5.2) ] Risk of New Onset Pruritus After Discontinuation of Levocetirizine dihydrochloride tablets [see Warnings and Precautions (5.3) ]

Drug Interactions

In vitro data indicate that levocetirizine is unlikely to produce pharmacokinetic interactions through inhibition or induction of liver drug-metabolizing enzymes. No in vivo drug-drug interaction studies have been performed with levocetirizine. Drug interaction studies have been performed with racemic cetirizine.

Storage and Handling

Levocetirizine dihydrochloride tablets, USP 5 mg are white, oval, biconvex, film-coated functional scored tablets debossed with "S" on the left side of bisect and "G" on the right side of the bisect and other side "1" on the left side and "36" on the right side of the bisect. They are supplied in unit of use HDPE bottles. 90 tablets (NDC 69367-238-09)

How Supplied

Levocetirizine dihydrochloride tablets, USP 5 mg are white, oval, biconvex, film-coated functional scored tablets debossed with "S" on the left side of bisect and "G" on the right side of the bisect and other side "1" on the left side and "36" on the right side of the bisect. They are supplied in unit of use HDPE bottles. 90 tablets (NDC 69367-238-09)

Description

Warnings and Precautions, Risk of New Onset Pruritus After Discontinuation of Levocetirizine dihydrochloride tablets ( 5.3 ) 07/2025

Section 42229-5

Manufactured for:

Westminster Pharmaceuticals, LLC

Nashville, TN 37217

Manufactured by:

ScieGen Pharmaceuticals, Inc.

Hauppauge, NY 11788 USA

Rev. 8/2025

Section 43683-2
Warnings and Precautions, Risk of New Onset Pruritus After Discontinuation of Levocetirizine dihydrochloride tablets (5.3) 07/2025
Section 44425-7

Storage

Store at 20°C to 25°C (68°F to 77°F); excursions permitted to 15°C to 30°C (59°F to 86°F) [see USP Controlled Room Temperature].

10 Overdosage

Overdosage has been reported with levocetirizine dihydrochloride.

Symptoms of overdose may include drowsiness in adults. In children agitation and restlessness may initially occur, followed by drowsiness. There is no known specific antidote to levocetirizine dihydrochloride. Should overdose occur, symptomatic or supportive treatment is recommended. Levocetirizine dihydrochloride is not effectively removed by dialysis, and dialysis will be ineffective unless a dialyzable agent has been concomitantly ingested.

The acute maximal non-lethal oral dose of levocetirizine was 240 mg/kg in mice (approximately 190 times the maximum recommended daily oral dose in adults, approximately 230 times the maximum recommended daily oral dose in children 6 to 11 years of age, and approximately 180 times the maximum recommended daily oral dose in children 6 months to 5 years of age on a mg/m2 basis). In rats the maximal non-lethal oral dose was 240 mg/kg (approximately 390 times the maximum recommended daily oral dose in adults, approximately 460 times the maximum recommended daily oral dose in children 6 to 11 years of age, and approximately 370 times the maximum recommended daily oral dose in children 6 months to 5 years of age on a mg/m2 basis).

7.2 Ritonavir

Ritonavir increased the plasma AUC of cetirizine by about 42% accompanied by an increase in half-life (53%) and a decrease in clearance (29%) of cetirizine. The disposition of ritonavir was not altered by concomitant cetirizine administration.

8.1 Pregnancy

Risk Summary

Available data from published literature and postmarketing experience with levocetirizine use in pregnant women are insufficient to identify any drug-associated risks of miscarriage, birth defects, or adverse maternal or fetal outcomes. In animal reproduction studies, there was no evidence of fetal harm with administration of levocetirizine by the oral route to pregnant rats and rabbits, during the period of organogenesis, at doses up to 390 times and 470 times, respectively, the maximum recommended human dose (MRHD) in adults. In rats treated during late gestation and the lactation period, cetirizine had no effects on pup development at oral doses up to approximately 60 times the MRHD in adults. In mice treated during late gestation and the lactation period, cetirizine administered by the oral route to the dams had no effects on pup development at a dose that was approximately 25 times the MRHD in adults; however, lower pup weight gain during lactation was observed at a dose that was 95 times the MRHD in adults [see Data].

The estimated background risk of major birth defects and miscarriage for the indicated population is unknown. All pregnancies have a background risk of birth defect, loss, or other adverse outcomes. In the U.S. general population, the estimated background risks of major birth defects and miscarriage in clinically recognized pregnancies is 2% to 4% and 15% to 20%, respectively.

Data

Animal data

In embryo-fetal development studies, pregnant rats received daily doses of levocetirizine up to 200 mg/kg/day from gestation days 6 to 15 and pregnant rabbits received daily doses of levocetirizine up to 120 mg/kg/day from gestation days 6 to 18. Levocetirizine produced no evidence of fetal harm in rats and rabbits at doses up to 390 and 470 times the MRHD, respectively (on a mg/m2 basis with maternal oral doses of 200 mg/kg/day and 120 mg/kg/day in rats and rabbits, respectively).

No prenatal and postnatal development (PPND) studies in animals have been conducted with levocetirizine. In a PPND study conducted in mice, cetirizine was administered at oral doses up to 96 mg/kg/day from gestation day 15 through lactation day 21. Cetirizine lowered pup body weight gain during lactation at an oral dose in dams that was approximately 95 times the MRHD (on a mg/m2 basis with a maternal oral dose of 96 mg/kg/day); however, there were no effects on pup weight gain at an oral dose in dams that was approximately 25 times the MRHD (on a mg/m2 basis with a maternal oral dose of 24 mg/kg/day). In a PPND study conducted in rats, cetirizine was administered at oral doses up to 180 mg/kg/day from gestation day 17 to lactation day 22. Cetirizine did not have any adverse effects on rat dams or offspring development at doses up to approximately 60 times the MRHD (on a mg/m2 basis with a maternal oral dose of 30 mg/kg/day). Cetirizine caused excessive maternal toxicity at an oral dose in dams that was approximately 350 times the MRHD (on a mg/m2 basis with a maternal oral dose of 180 mg/kg/day).

8.2 Lactation

Risk Summary

There are no data on the presence of levocetirizine in human milk, the effects on the breastfed infant, or the effects on milk production. However, cetirizine has been reported to be present in human breast milk. In mice and beagle dogs, studies indicated that cetirizine was excreted in milk (see Data). When a drug is present in animal milk, it is likely the drug will be present in human milk. The developmental and health benefits of breastfeeding should be considered along with the mother's clinical need for levocetirizine dihydrochloride and any potential adverse effects on the breastfed child from levocetirizine dihydrochloride or from the underlying maternal condition.

Data

Animal data

Cetirizine was detected in the milk of mice. No adverse developmental effects on pups were seen when cetirizine was administered orally to dams during lactation at a dose that was approximately 25 times the MRHD in adults [see Use in Specific Populations (8.1)]. Studies in beagle dogs indicated that approximately 3% of the dose of cetirizine was excreted in milk. The concentration of drug in animal milk does not necessarily predict the concentration of drug in human milk.

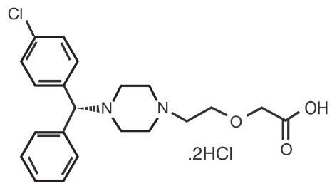
11 Description

Levocetirizine dihydrochloride, USP the active component of levocetirizine dihydrochloride tablets, USP is an orally active H1-receptor antagonist. The chemical name is (R)-[2-[4-[(4-chlorophenyl) phenylmethyl]-1-piperazinyl] ethoxy] acetic acid dihydrochloride. Levocetirizine dihydrochloride is the R enantiomer of cetirizine hydrochloride, a racemic compound with antihistaminic properties. The empirical formula of levocetirizine dihydrochloride is C21H25ClN2O3∙2HCl.

The molecular weight is 461.82 and the chemical structure is shown below:

Levocetirizine dihydrochloride, USP is a white, or almost white powder and is freely soluble in water, practically insoluble in acetone and methylene chloride.

Levocetirizine dihydrochloride tablets, USP 5 mg are formulated as immediate release, white, film-coated, oval, scored tablets for oral administration. The tablets are debossed with "S" on the left side of bisect and "G" on the right side of the bisect and other side "1" on the left side and "36" on the right side of the bisect. Inactive ingredients are: microcrystalline cellulose, lactose monohydrate, colloidal silicon dioxide, and magnesium stearate. The film coating contains hypromellose, titanium dioxide, and polyethylene glycol.

5.1 Somnolence

In clinical trials the occurrence of somnolence, fatigue, and asthenia has been reported in some patients under therapy with levocetirizine dihydrochloride. Patients should be cautioned against engaging in hazardous occupations requiring complete mental alertness, and motor coordination such as operating machinery or driving a motor vehicle after ingestion of levocetirizine dihydrochloride. Concurrent use of levocetirizine dihydrochloride with alcohol or other central nervous system depressants should be avoided because additional reductions in alertness and additional impairment of central nervous system performance may occur.

8.4 Pediatric Use

The recommended dose of levocetirizine dihydrochloride for the treatment of the uncomplicated skin manifestations of chronic idiopathic urticaria in patients 6 months to 17 years of age is based on extrapolation of efficacy from adults 18 years of age and older [see Clinical Studies (14)].

The recommended dose of levocetirizine dihydrochloride in patients 6 months to 2 years of age for the treatment of the symptoms of perennial allergic rhinitis and 6 months to 11 years of age with chronic idiopathic urticaria is based on cross-study comparisons of the systemic exposure of levocetirizine dihydrochloride in adults and pediatric patients and on the safety profile of levocetirizine dihydrochloride in both adult and pediatric patients at doses equal to or higher than the recommended dose for patients 6 months to 11 years of age.

The safety of levocetirizine dihydrochloride 5 mg once daily was evaluated in 243 pediatric patients 6 to 12 years of age in two placebo-controlled clinical trials lasting 4 and 6 weeks. The safety of levocetirizine dihydrochloride 1.25 mg twice daily was evaluated in one 2-week clinical trial in 114 pediatric patients 1 to 5 years of age and the safety of levocetirizine dihydrochloride 1.25 mg once daily was evaluated in one 2-week clinical trial in 45 pediatric patients 6 to 11 months of age [see Adverse Reactions (6.1)].

The effectiveness of levocetirizine dihydrochloride 1.25 mg once daily (6 months to 5 years of age) and 2.5 mg once daily (6 to 11 years of age) for the treatment of the symptoms of perennial allergic rhinitis and chronic idiopathic urticaria is supported by the extrapolation of demonstrated efficacy of levocetirizine dihydrochloride 5 mg once daily in patients 12 years of age and older based on the pharmacokinetic comparison between adults and children.

Cross-study comparisons indicate that administration of a 5 mg dose of levocetirizine dihydrochloride to 6 to 12 year old pediatric patients resulted in about 2-fold the systemic exposure (AUC) observed when 5 mg of levocetirizine dihydrochloride was administered to healthy adults. Therefore, in children 6 to 11 years of age the recommended dose of 2.5 mg once daily should not be exceeded. In a population pharmacokinetics study the administration of 1.25 mg once daily in children 6 months to 5 years of age resulted in systemic exposure comparable to 5 mg once daily in adults. [see Dosage and Administration (2.2), Clinical Studies (14), and Clinical Pharmacology (12.3)].

8.5 Geriatric Use

Clinical studies of levocetirizine dihydrochloride for each approved indication did not include sufficient numbers of patients aged 65 years and older to determine whether they respond differently than younger patients. Other reported clinical experience has not identified differences in responses between the elderly and younger patients. In general, dose selection for an elderly patient should be cautious, usually starting at the low end of the dosing range reflecting the greater frequency of decreased hepatic, renal, or cardiac function and of concomitant disease or other drug therapy.

4 Contraindications

The use of levocetirizine dihydrochloride is contraindicated in:

6 Adverse Reactions

The following clinically significant adverse reactions are described elsewhere in the labeling:

7 Drug Interactions

In vitro data indicate that levocetirizine is unlikely to produce pharmacokinetic interactions through inhibition or induction of liver drug-metabolizing enzymes. No in vivo drug-drug interaction studies have been performed with levocetirizine. Drug interaction studies have been performed with racemic cetirizine.

8.6 Renal Impairment

Levocetirizine dihydrochloride is known to be substantially excreted by the kidneys and the risk of adverse reactions to this drug may be greater in patients with impaired renal function. Because elderly patients are more likely to have decreased renal function, care should be taken in dose selection and it may be useful to monitor renal function [see Dosage and Administration (2) and Clinical Pharmacology (12.3)].

12.2 Pharmacodynamics

Studies in adult healthy subjects showed that levocetirizine at doses of 2.5 mg and 5 mg inhibited the skin wheal and flare caused by the intradermal injection of histamine. In contrast, dextrocetirizine exhibited no clear change in the inhibition of the wheal and flare reaction.

Levocetirizine at a dose of 5 mg inhibited the wheal and flare caused by intradermal injection of histamine in 14 pediatric subjects (aged 6 to 11 years) and the activity persisted for at least 24 hours. The clinical relevance of histamine wheal skin testing is unknown.

A QT/QTc study using a single dose of 30 mg of levocetirizine did not demonstrate an effect on the QTc interval. While a single dose of levocetirizine had no effect, the effects of levocetirizine may not be at steady state following single dose. The effect of levocetirizine on the QTc interval following multiple dose administration is unknown. Levocetirizine is not expected to have QT/QTc effects because of the results of QTc studies with cetirizine and the long postmarketing history of cetirizine without reports of QT prolongation.

12.3 Pharmacokinetics

Levocetirizine exhibited linear pharmacokinetics over the therapeutic dose range in adult healthy subjects.

Absorption

Levocetirizine is rapidly and extensively absorbed following oral administration. In adults, peak plasma concentrations are achieved 0.9 hour after administration of the oral tablet. The accumulation ratio following daily oral administration is 1.12 with steady state achieved after 2 days. Peak concentrations are typically 270 ng/mL and 308 ng/mL following a single and a repeated 5 mg once daily dose, respectively. Food had no effect on the extent of exposure (AUC) of the levocetirizine tablet, but Tmax was delayed by about 1.25 hours and Cmax was decreased by about 36% after administration with a high fat meal; therefore, levocetirizine can be administered with or without food.

A dose of 5 mg (10 mL) of levocetirizine dihydrochloride oral solution is bioequivalent to a 5 mg dose of levocetirizine dihydrochloride tablets. Following oral administration of a 5 mg dose of levocetirizine dihydrochloride oral solution to healthy adult subjects, the mean peak plasma concentrations were achieved approximately 0.5 hour post dose.

Distribution

The mean plasma protein binding of levocetirizine in vitro ranged from 91 to 92%, independent of concentration in the range of 90 ng/mL to 5,000 ng/mL, which includes the therapeutic plasma levels observed. Following oral dosing, the average apparent volume of distribution is approximately 0.4 L/kg, representative of distribution in total body water.

Metabolism

The extent of metabolism of levocetirizine in humans is less than 14% of the dose and therefore differences resulting from genetic polymorphism or concomitant intake of hepatic drug metabolizing enzyme inhibitors are expected to be negligible. Metabolic pathways include aromatic oxidation, N- and O-dealkylation, and taurine conjugation. Dealkylation pathways are primarily mediated by CYP3A4 while aromatic oxidation involves multiple and/or unidentified CYP isoforms.

Elimination

The plasma half-life in adult healthy subjects was about 8 to 9 hours after administration of oral tablets and oral solution, and the mean oral total body clearance for levocetirizine was approximately 0.63 mL/kg/min. The major route of excretion of levocetirizine and its metabolites is via urine, accounting for a mean of 85.4% of the dose. Excretion via feces accounts for only 12.9% of the dose. Levocetirizine is excreted both by glomerular filtration and active tubular secretion. Renal clearance of levocetirizine correlates with that of creatinine clearance. In patients with renal impairment the clearance of levocetirizine is reduced [see Dosage and Administration (2.2)].

Drug Interaction Studies

In vitro data on metabolite interaction indicate that levocetirizine is unlikely to produce, or be subject to metabolic interactions. Levocetirizine at concentrations well above Cmax level achieved within the therapeutic dose ranges is not an inhibitor of CYP isoenzymes 1A2, 2C9, 2C19, 2A1, 2D6, 2E1, and 3A4, and is not an inducer of UGT1A or CYP isoenzymes 1A2, 2C9 and 3A4.

No formal in vivo drug interaction studies have been performed with levocetirizine. Studies have been performed with the racemic cetirizine [see Drug Interactions (7)].

Pediatric patients

Data from a pediatric pharmacokinetic study with oral administration of a single dose of 5 mg levocetirizine in 14 children age 6 to 11 years with body weight ranging between 20 kg and 40 kg show that Cmax and AUC values are about 2-fold greater than that reported in healthy adult subjects in a cross-study comparison. The mean Cmax was 450 ng/mL, occurring at a mean time of 1.2 hours, weight-normalized, total body clearance was 30% greater, and the elimination half- life 24% shorter in this pediatric population than in adults.

Dedicated pharmacokinetic studies have not been conducted in pediatric patients younger than 6 years of age. A retrospective population pharmacokinetic analysis was conducted in 323 subjects (181 children 1 to 5 years of age, 18 children 6 to 11 years of age, and 124 adults 18 to 55 years of age) who received single or multiple doses of levocetirizine ranging from 1.25 mg to 30 mg. Data generated from this analysis indicated that administration of 1.25 mg once daily to children 6 months to 5 years of age results in plasma concentrations similar to those of adults receiving 5 mg once daily.

Geriatric patients

Limited pharmacokinetic data are available in elderly subjects. Following once daily repeat oral administration of 30 mg levocetirizine for 6 days in 9 elderly subjects (65 to 74 years of age), the total body clearance was approximately 33% lower compared to that in younger adults. The disposition of racemic cetirizine has been shown to be dependent on renal function rather than on age. This finding would also be applicable for levocetirizine, as levocetirizine and cetirizine are both predominantly excreted in urine. Therefore, the levocetirizine dihydrochloride dose should be adjusted in accordance with renal function in elderly patients [see Dosage and Administration (2)].

Gender

Pharmacokinetic results for 77 patients (40 men, 37 women) were evaluated for potential effect of gender. The half-life was slightly shorter in women (7.08 ± 1.72 hr) than in men (8.62 ± 1.84 hr); however, the body weight-adjusted oral clearance in women (0.67 ± 0.16 mL/min/kg) appears to be comparable to that in men (0.59 ± 0.12 mL/min/kg). The same daily doses and dosing intervals are applicable for men and women with normal renal function.

Race

The effect of race on levocetirizine has not been studied. As levocetirizine is primarily renally excreted, and there are no important racial differences in creatinine clearance, pharmacokinetic characteristics of levocetirizine are not expected to be different across races. No race-related differences in the kinetics of racemic cetirizine have been observed.

Renal impairment

Levocetirizine exposure (AUC) exhibited 1.8-, 3.2-, 4.3-, and 5.7-fold increase in mild, moderate, severe, renal impaired, and end-stage renal disease patients, respectively, compared to healthy subjects. The corresponding increases of half-life estimates were 1.4-, 2.0-, 2.9-, and 4-fold, respectively.

The total body clearance of levocetirizine after oral dosing was correlated to the creatinine clearance and was progressively reduced based on severity of renal impairment. Therefore, it is recommended to adjust the dose and dosing intervals of levocetirizine based on creatinine clearance in patients with mild, moderate, or severe renal impairment. In end-stage renal disease patients (CLCR < 10 mL/min) levocetirizine is contraindicated. The amount of levocetirizine removed during a standard 4-hour hemodialysis procedure was < 10%.

The dosage of levocetirizine dihydrochloride should be reduced in patients with mild renal impairment. Both the dosage and frequency of administration should be reduced in patients with moderate or severe renal impairment [see Dosage and Administration (2.2)].

Hepatic impairment

Levocetirizine dihydrochloride has not been studied in patients with hepatic impairment. The non-renal clearance (indicative of hepatic contribution) was found to constitute about 28% of the total body clearance in healthy adult subjects after oral administration.

As levocetirizine is mainly excreted unchanged by the kidney, it is unlikely that the clearance of levocetirizine is significantly decreased in patients with solely hepatic impairment [see Dosage and Administration (2)].

5.2 Urinary Retention

Urinary retention has been reported post marketing with levocetirizine dihydrochloride. Levocetirizine dihydrochloride should be used with caution in patients with predisposing factors of urinary retention (e.g. spinal cord lesion, prostatic hyperplasia) as levocetirizine dihydrochloride may increase the risk of urinary retention. Discontinue levocetirizine dihydrochloride if urinary retention occurs.

8.7 Hepatic Impairment

As levocetirizine is mainly excreted unchanged by the kidneys, it is unlikely that the clearance of levocetirizine is significantly decreased in patients with solely hepatic impairment [see Clinical Pharmacology (12.3)].

1 Indications and Usage

Levocetirizine dihydrochloride is a histamine H1-receptor antagonist indicated for:

  • The treatment of the uncomplicated skin manifestations of chronic idiopathic urticaria (1.2)
12.1 Mechanism of Action

Levocetirizine, the active enantiomer of cetirizine, is an antihistamine; its principal effects are mediated via selective inhibition of H1 receptors. The antihistaminic activity of levocetirizine has been documented in a variety of animal and human models. In vitro binding studies revealed that levocetirizine has an affinity for the human H1-receptor 2-fold higher than that of cetirizine (Ki = 3 nmol/L vs. 6 nmol/L, respectively). The clinical relevance of this finding is unknown.

5 Warnings and Precautions
  • Somnolence: Somnolence, fatigue, and asthenia have been reported with use of levocetirizine dihydrochloride tablets in some patients in clinical trials. Avoid engaging in hazardous occupations requiring complete mental alertness such as driving or operating machinery when taking levocetirizine dihydrochloride tablets. Avoid concurrent use of alcohol or other central nervous system depressants with levocetirizine dihydrochloride tablets. (5.1)
  • Urinary Retention: Urinary retention has been reported with use of levocetirizine dihydrochloride tablets. Use with caution in patients with predisposing factors of urinary retention (e.g. spinal cord lesion, prostatic hyperplasia). Discontinue levocetirizine dihydrochloride tablets if urinary retention occurs. (5.2)
  • Risk of New Onset Pruritus After Discontinuation of Levocetirizine dihydrochloride tablets: New onset pruritus within a few days after discontinuation of Levocetirizine dihydrochloride tablets has been reported, usually after long-term use (e.g., few months to years) of Levocetirizine dihydrochloride tablets. Symptoms may improve with restarting or tapering Levocetirizine dihydrochloride tablets (5.3).
2 Dosage and Administration

Levocetirizine dihydrochloride tablets are available as 5 mg breakable (scored) tablets, allowing for the administration of 2.5 mg, if needed. Levocetirizine dihydrochloride tablets can be taken without regard to food consumption.

3 Dosage Forms and Strengths

Levocetirizine dihydrochloride tablets, USP 5 mg are white, oval, biconvex, film-coated functional scored tablets debossed with "S" on the left side of bisect and "G" on the right side of bisect and other side "1" on the left side and "36" on the right side of the bisect.

6.2 Postmarketing Experience

In addition to the adverse reactions reported during clinical trials and listed above, the following adverse reactions have also been identified during postapproval use of levocetirizine dihydrochloride. Because these reactions are reported voluntarily from a population of uncertain size, it is not always possible to reliably estimate their frequency or establish a causal relationship to drug exposure.

  • Cardiac disorders: palpitations, tachycardia
  • Ear and labyrinth disorders: vertigo
  • Eye disorders: blurred vision, visual disturbances
  • Gastrointestinal disorders: nausea, vomiting
  • General disorders and administration site conditions: edema
  • Hepatobiliary disorders: hepatitis
  • Immune system disorders: anaphylaxis and hypersensitivity
  • Metabolism and nutrition disorders: increased appetite
  • Musculoskeletal, connective tissues, and bone disorders: arthralgia, myalgia
  • Nervous system disorders: dizziness, dysgeusia, febrile seizure, movement disorders (including dystonia and oculogyric crisis), paresthesia, seizure (reported in subjects with and without a known seizure disorder), tremor
  • Psychiatric disorders: aggression and agitation, depression, hallucinations, insomnia, nightmare, suicidal ideation
  • Renal and urinary disorders: dysuria, urinary retention
  • Respiratory, thoracic, and mediastinal disorders: dyspnea
  • Skin and subcutaneous tissue disorders: angioedema, fixed drug eruption, pruritus, rash, urticaria, and new onset pruritus within a few days after discontinuation of levocetirizine dihydrochloride tablets, usually after long-term use (e.g., few months to years) of levocetirizine dihydrochloride tablets.

Besides these reactions reported under treatment with levocetirizine dihydrochloride, other potentially severe adverse reactions have been reported from the postmarketing experience with cetirizine. Since levocetirizine is the principal pharmacologically active component of cetirizine, one should take into account the fact that the following adverse reactions could also potentially occur under treatment with levocetirizine dihydrochloride.

  • Cardiac disorders: severe hypotension
  • Gastrointestinal disorders: cholestasis
  • Nervous system disorders: extrapyramidal symptoms, myoclonus, orofacial dyskinesia, tic
  • Pregnancy, puerperium and perinatal conditions: stillbirth
  • Renal and urinary disorders: glomerulonephritis
  • Skin and subcutaneous tissue disorders: acute generalized exanthematous pustulosis (AGEP).
8 Use in Specific Populations
  • Renal Impairment

    Because levocetirizine dihydrochloride is substantially excreted by the kidneys, the risk of adverse reactions to this drug may be greater in patients with impaired renal function. (8.6, 12.3)
  • Pediatric Use

    Do not exceed the recommended doses of 2.5 mg once daily in children 6 to 11 years of age. Systemic exposure with these doses in respective pediatric age groups is comparable to that from a 5 mg once daily dose in adults. (12.3)
6.1 Clinical Trials Experience

Because clinical trials are conducted under widely varying conditions, adverse reaction rates observed in the clinical trials of a drug cannot be directly compared to rates in the clinical trials of another drug and may not reflect the rates observed in practice.

The safety data described below reflect exposure to levocetirizine dihydrochloride in 2,708 patients with allergic rhinitis or chronic idiopathic urticaria in 14 controlled clinical trials of 1 week to 6 months duration.

The short-term (exposure up to 6 weeks) safety data for adults and adolescents are based upon eight clinical trials in which 1,896 patients (825 males and 1,071 females aged 12 years and older) were treated with levocetirizine dihydrochloride 2.5 mg, 5 mg, or 10 mg once daily in the evening.

The short-term safety data from pediatric patients are based upon two clinical trials in which 243 children with allergic rhinitis (162 males and 81 females 6 to 12 years of age) were treated with levocetirizine dihydrochloride 5 mg once daily for 4 to 6 weeks, one clinical trial in which 114 children (65 males and 49 females 1 to 5 years of age) with allergic rhinitis or chronic idiopathic urticaria were treated with levocetirizine dihydrochloride 1.25 mg twice daily for 2 weeks, and one clinical trial in which 45 children (28 males and 17 females 6 to 11 months of age) with symptoms of allergic rhinitis or chronic urticaria were treated with levocetirizine dihydrochloride 1.25 mg once daily for 2 weeks.

The long-term (exposure of 4 or 6 months) safety data in adults and adolescents are based upon two clinical trials in which 428 patients (190 males and 238 females) with allergic rhinitis were exposed to treatment with levocetirizine dihydrochloride 5 mg once daily. Long term safety data are also available from an 18-month trial in 255 levocetirizine dihydrochloride-treated subjects 12 to 24 months of age.

Because clinical trials are conducted under widely varying conditions, adverse reaction rates observed in the clinical trials of a drug cannot be directly compared to rates in the clinical trial of another drug and may not reflect the rates observed in practice.

Adults and Adolescents 12 years of Age and Older

In studies up to 6 weeks in duration, the mean age of the adult and adolescent patients was 32 years, 44% of the patients were men and 56% were women, and the large majority (more than 90%) was Caucasian.

In these trials 43% and 42% of the subjects in the levocetirizine dihydrochloride 2.5 mg and 5 mg groups, respectively, had at least one adverse event compared to 43% in the placebo group.

In placebo-controlled trials of 1 to 6 weeks in duration, the most common adverse reactions were somnolence, nasopharyngitis, fatigue, dry mouth, and pharyngitis, and most were mild to moderate in intensity. Somnolence with levocetirizine dihydrochloride showed dose ordering between tested doses of 2.5 mg, 5 mg and 10 mg and was the most common adverse reaction leading to discontinuation (0.5%).

Table 1 lists adverse reactions that were reported in greater than or equal to 2% of subjects aged 12 years and older exposed to levocetirizine dihydrochloride 2.5 mg or 5 mg in eight placebo-controlled clinical trials and that were more common with levocetirizine dihydrochloride than placebo.

Table 1: Adverse Reactions Reported in ≥ 2%
Rounded to the closest unit percentage
of Subjects Aged 12 Years and Older Exposed to Levocetirizine Dihydrochloride 2.5 mg or 5 mg Once Daily in Placebo-Controlled Clinical Trials 1 to 6 Weeks in Duration
Adverse Reactions Levocetirizine dihydrochloride 2.5 mg

(n = 421)
Levocetirizine dihydrochloride 5 mg

(n = 1,070)
Placebo

(n = 912)
Somnolence 22 (5%) 61 (6%) 16 (2%)
Nasopharyngitis 25 (6%) 40 (4%) 28 (3%)
Fatigue 5 (1%) 46 (4%) 20 (2%)
Dry Mouth 12 (3%) 26 (2%) 11 (1%)
Pharyngitis 10 (2%) 12 (1%) 9 (1%)

Additional adverse reactions of medical significance observed at a higher incidence than in placebo in adults and adolescents aged 12 years and older exposed to levocetirizine dihydrochloride are syncope (0.2%) and weight increased (0.5%).

Pediatric Patients 6 to 12 Years of Age

A total of 243 pediatric patients 6 to 12 years of age received levocetirizine dihydrochloride 5 mg once daily in two short-term placebo controlled double-blind trials. The mean age of the patients was 9.8 years, 79 (32%) were 6 to 8 years of age, and 50% were Caucasian. Table 2 lists adverse reactions that were reported in greater than or equal to 2% of subjects aged 6 to 12 years exposed to levocetirizine dihydrochloride 5 mg in placebo-controlled clinical trials and that were more common with levocetirizine dihydrochloride than placebo.

Table 2: Adverse Reactions Reported in ≥ 2%
Rounded to the closest unit percentage
of Subjects Aged 6 to 12 Years Exposed to Levocetirizine Dihydrochloride 5 mg Once Daily in Placebo-Controlled Clinical Trials 4 and 6 Weeks in Duration
Adverse Reactions Levocetirizine dihydrochloride 5 mg

(n = 243)
Placebo

(n = 240)
Pyrexia 10 (4%) 5 (2%)
Cough 8 (3%) 2 (< 1%)
Somnolence 7 (3%) 1 (< 1%)
Epistaxis 6 (2%) 1 (< 1%)

Pediatric Patients 1 to 5 Years of Age

A total of 114 pediatric patients 1 to 5 years of age received levocetirizine dihydrochloride 1.25 mg twice daily in a two week placebo-controlled double-blind safety trial. The mean age of the patients was 3.8 years, 32% were 1 to 2 years of age, 71% were Caucasian and 18% were Black. Table 3 lists adverse reactions that were reported in greater than or equal to 2% of subjects aged 1 to 5 years exposed to levocetirizine dihydrochloride 1.25 mg twice daily in the placebo controlled safety trial and that were more common with levocetirizine dihydrochloride than placebo.

Table 3: Adverse Reactions Reported in ≥ 2%
Rounded to the closest unit percentage
of Subjects Aged 1 to 5 Years Exposed to levocetirizine Dihydrochloride 1.25 mg Twice Daily in a 2-Week Placebo-Controlled Clinical Trial
Adverse Reactions Levocetirizine dihydrochloride 1.25 mg Twice Daily

(n = 114)
Placebo

(n = 59)
Pyrexia 5 (4%) 1 (2%)
Diarrhea 4 (4%) 2 (3%)
Vomiting 4 (4%) 2 (3%)
Otitis Media 3 (3%) 0 (0%)

Pediatric Patients 6 to 11 Months of Age

A total of 45 pediatric patients 6 to 11 months of age received levocetirizine dihydrochloride 1.25 mg once daily in a two week placebo-controlled double-blind safety trial. The mean age of the patients was 9 months, 51% were Caucasian and 31% were Black. Adverse reactions that were reported in more than 1 subject (i.e. greater than or equal to 3% of subjects) aged 6 to 11 months exposed to levocetirizine dihydrochloride 1.25 mg once daily in the placebo-controlled safety trial and that were more common with levocetirizine dihydrochloride than placebo included diarrhea and constipation which were reported in 6 (13%) and 1 (4%) and 3 (7%) and 1 (4%) children in the levocetirizine dihydrochloride and placebo-treated groups, respectively.

Long-Term Clinical Trials Experience

In two controlled clinical trials, 428 patients (190 males and 238 females) aged 12 years and older were treated with levocetirizine dihydrochloride 5 mg once daily for 4 or 6 months. The patient characteristics and the safety profile were similar to that seen in the short-term studies. Ten (2.3%) patients treated with levocetirizine dihydrochloride discontinued because of somnolence, fatigue or asthenia compared to 2 (< 1%) in the placebo group.

There are no long term clinical trials in children below 12 years of age with allergic rhinitis or chronic idiopathic urticaria.

Laboratory Test Abnormalities

Elevations of blood bilirubin and transaminases were reported in < 1% of patients in the clinical trials. The elevations were transient and did not lead to discontinuation in any patient.

1.2 Chronic Idiopathic Urticaria

Levocetirizine dihydrochloride tablets are indicated for the treatment of the uncomplicated skin manifestations of chronic idiopathic urticaria in adults and children 6 years of age and older.

14.1 Perennial Allergic Rhinitis

Adults and Adolescents 12 Years of Age and Older

The efficacy of levocetirizine dihydrochloride was evaluated in four randomized, placebo-controlled, double-blind clinical trials in adult and adolescent patients 12 years and older with symptoms of perennial allergic rhinitis. The four clinical trials include two dose-ranging trials of 4 weeks duration and two efficacy trials (one 6-week and one 6-month) in patients with perennial allergic rhinitis.

These trials included a total of 1,729 patients (752 males and 977 females) of whom 227 were adolescents 12 to 17 years of age. Efficacy was assessed using a total symptom score from patient recording of 4 symptoms (sneezing, rhinorrhea, nasal pruritus, and ocular pruritus) in three studies and 5 symptoms (sneezing, rhinorrhea, nasal pruritus, ocular pruritus, and nasal congestion) in one study. Patients recorded symptoms using a 0 to 3 categorical severity scale (0 = absent, 1 = mild, 2 = moderate, 3 = severe) once daily in the evening reflective of the 24 hour treatment period. The primary endpoint was the mean total symptom score averaged over the first week and over 4 weeks for perennial allergic rhinitis trials.

The two dose-ranging trials were conducted to evaluate the efficacy of levocetirizine dihydrochloride 2.5 mg, 5 mg, and 10 mg once daily in the evening. These trials were 4 weeks in duration and included patients with perennial allergic rhinitis. In these trials, each of the three doses of levocetirizine dihydrochloride demonstrated greater decrease in the reflective total symptom score than placebo and the difference was statistically significant for all three doses in the two studies. Results for one of these trials are shown in Table 4.

Table 4: Mean Reflective Total Symptom Score
Total symptom score is the sum of individual symptoms of sneezing, rhinorrhea, nasal pruritus, and ocular pruritus as assessed by patients on a 0 to 3 categorical severity scale.
in Allergic Rhinitis Dose-Ranging Trials
Treatment N Baseline On Treatment Adjusted Mean Difference from Placebo
Estimate 95% CI p-value
Perennial Allergic Rhinitis Trial – Reflective total symptom score
Levocetirizine dihydrochloride 2.5 mg 133 7.14 4.12 1.17 (0.71, 1.63) < 0.001
Levocetirizine dihydrochloride 5 mg 127 7.18 4.07 1.22 (0.76, 1.69) < 0.001
Levocetirizine dihydrochloride 10 mg 129 7.58 4.19 1.10 (0.64, 1.57) < 0.001
Placebo 128 7.22 5.29

One clinical trial evaluated the efficacy of levocetirizine dihydrochloride 5 mg once daily in the evening compared to placebo in patients with perennial allergic rhinitis over a 6-week treatment period. Another trial conducted over a 6-month treatment period assessed efficacy at 4 weeks. Levocetirizine dihydrochloride 5 mg demonstrated a greater decrease from baseline in the reflective total symptom score than placebo and the difference from placebo was statistically significant. Results of the former are shown in Table 5.

Table 5: Mean Reflective Total Symptom Score
Total symptom score is the sum of individual symptoms of sneezing, rhinorrhea, nasal pruritus, and ocular pruritus as assessed by patients on a 0 to 3 categorical severity scale.
in Allergic Rhinitis Trials
Treatment N Baseline On Treatment Adjusted Mean Difference from Placebo
Estimate 95% CI p-value
Perennial Allergic Rhinitis Trial – Reflective total symptom score
Levocetirizine dihydrochloride 5 mg 150 7.69 3.93 1.17 (0.70, 1.64) < 0.001
Placebo 142 7.44 5.10

Onset of action was evaluated in two environmental exposure unit studies in allergic rhinitis patients with a single dose of levocetirizine dihydrochloride 2.5 mg or 5 mg. Levocetirizine dihydrochloride 5 mg was found to have an onset of action 1 hour after oral intake. Onset of action was also assessed from the daily recording of symptoms in the evening before dosing in the allergic rhinitis trials. In these trials, onset of effect was seen after 1 day of dosing.

Pediatric Patients Less than 12 Years of Age

There are no clinical efficacy trials with levocetirizine dihydrochloride 2.5 mg once daily in pediatric patients under 12 years of age, and no clinical efficacy trials with levocetirizine dihydrochloride 1.25 mg once daily in pediatric patients 6 months to 5 years of age. The clinical efficacy of levocetirizine dihydrochloride in pediatric patients under 12 years of age has been extrapolated from adult clinical efficacy trials based on pharmacokinetic comparisons [see Use in Specific Populations (8.4)].

2.2 Chronic Idiopathic Urticaria

Adults and Children 12 Years of Age and Older

The recommended dose of levocetirizine dihydrochloride tablets is 5 mg (1 tablet) once daily in the evening. Some patients may be adequately controlled by 2.5 mg (1/2 tablet) once daily in the evening.

Children 6 to 11 Years of Age

The recommended dose of levocetirizine dihydrochloride tablets is 2.5 mg (1/2 tablet) once daily in the evening. The 2.5 mg dose should not be exceeded because the systemic exposure with 5 mg is approximately twice that of adults [see Clinical Pharmacology (12.3)].

Dose Adjustment for Renal and Hepatic Impairment

In adults and children 12 years of age and older with:

  • Mild renal impairment (creatinine clearance [CLCR] = 50 to 80 mL/min): a dose of 2.5 mg once daily is recommended;
  • Moderate renal impairment (CLCR = 30 to 50 mL/min): a dose of 2.5 mg once every other day is recommended;
  • Severe renal impairment (CLCR = 10 to 30 mL/min): a dose of 2.5 mg twice weekly (administered once every 3 to 4 days) is recommended;
  • End-stage renal disease patients (CLCR < 10 mL/min) and patients undergoing hemodialysis should not receive levocetirizine dihydrochloride.

No dose adjustment is needed in patients with solely hepatic impairment. In patients with both hepatic impairment and renal impairment, adjustment of the dose is recommended.

14.2 Chronic Idiopathic Urticaria

Adult Patients 18 Years of Age and Older

The efficacy of levocetirizine dihydrochloride for the treatment of the uncomplicated skin manifestations of chronic idiopathic urticaria was evaluated in two multi-center, randomized, placebo-controlled, double-blind clinical trials of 4 weeks duration in adult patients 18 to 85 years of age with chronic idiopathic urticaria. The two trials included one 4-week dose-ranging trial and one 4-week single-dose level efficacy trial. These trials included 423 patients (139 males and 284 females). Most patients (> 90%) were Caucasian and the mean age was 41. Of these patients, 146 received levocetirizine dihydrochloride 5 mg once daily in the evening. Efficacy was assessed based on patient recording of pruritus severity on a severity score of 0 to 3 (0 = none to 3 = severe). The primary efficacy endpoint was the mean reflective pruritus severity score over the first week and over the entire treatment period. Additional efficacy variables were the instantaneous pruritus severity score, the number and size of wheals, and duration of pruritus.

The dose-ranging trial was conducted to evaluate the efficacy of levocetirizine dihydrochloride 2.5 mg, 5 mg, and 10 mg once daily in the evening. In this trial, each of the three doses of levocetirizine dihydrochloride demonstrated greater decrease in the reflective pruritus severity score than placebo and the difference was statistically significant for all three doses (see Table 6).

The single dose level trial evaluated the efficacy of levocetirizine dihydrochloride 5 mg once daily in the evening compared to placebo in patients with chronic idiopathic urticaria over a 4-week treatment period.

Levocetirizine dihydrochloride 5 mg demonstrated a greater decrease from baseline in the reflective pruritus severity score than placebo and the difference from placebo was statistically significant.

Duration of pruritus, number and size of wheals, and instantaneous pruritus severity score also showed significant improvement over placebo. The significant improvement in the instantaneous pruritus severity score over placebo confirmed end of dosing interval efficacy (see Table 6).

Table 6: Mean Reflective Pruritus Severity Score in Chronic Idiopathic Urticaria Trials
Treatment N Baseline On Treatment Adjusted Mean Difference from Placebo
Estimate 95% CI p-value
Dose-Ranging Trial – Reflective pruritus severity score
Levocetirizine dihydrochloride 2.5 mg 69 2.08 1.02 0.82 (0.58, 1.06) < 0.001
Levocetirizine dihydrochloride 5 mg 62 2.07 0.92 0.91 (0.66, 1.16) < 0.001
Levocetirizine dihydrochloride 10 mg 55 2.04 0.73 1.11 (0.85, 1.37) < 0.001
Placebo 60 2.25 1.84
Chronic Idiopathic Urticaria Trial – Reflective pruritus severity score
Levocetirizine dihydrochloride 5 mg 80 2.07 0.94 0.62 (0.38, 0.86) < 0.001
Placebo 82 2.06 1.56

Pediatric Patients

There are no clinical efficacy trials in pediatric patients with chronic idiopathic urticaria [see Use in Specific Populations (8.4)].

17 Patient Counseling Information

Somnolence

Caution patients against engaging in hazardous occupations requiring complete mental alertness, and motor coordination such as operating machinery or driving a motor vehicle after ingestion of levocetirizine dihydrochloride [see Warnings and Precautions (5.1)].

Concomitant Use of Alcohol and other Central Nervous System Depressants

Instruct patients to avoid concurrent use of levocetirizine dihydrochloride with alcohol or other central nervous system depressants because additional reduction in mental alertness may occur [see Warnings and Precautions (5.1)].

Risk of New Onset Pruritus After Discontinuation of Levocetirizine Dihydrochloride Tablets

Inform patients pruritus has occurred within a few days of discontinuing levocetirizine dihydrochloride tablets among patients who used levocetirizine dihydrochloride tablets long-term (e.g., few months to years). Pruritus may improve with restarting or tapering levocetirizine dihydrochloride tablets [see Warnings and Precautions (5.3)]. Advise patients to seek medical advice if pruritus occurs.

Dosing of Levocetirizine Dihydrochloride Tablets

Do not exceed the recommended daily dose in adults and adolescents 12 years of age and older of 5 mg once daily in the evening. In children 6 to 11 years of age the recommended dose is 2.5 mg once daily in the evening. Advise patients to not ingest more than the recommended dose of levocetirizine dihydrochloride tablets because of the increased risk of somnolence at higher doses.

16 How Supplied/storage and Handling

Levocetirizine dihydrochloride tablets, USP 5 mg are white, oval, biconvex, film-coated functional scored tablets debossed with "S" on the left side of bisect and "G" on the right side of the bisect and other side "1" on the left side and "36" on the right side of the bisect. They are supplied in unit of use HDPE bottles.

90 tablets (NDC 69367-238-09)
4.1 Patients With Known Hypersensitivity

Patients with known hypersensitivity to levocetirizine or any of the ingredients of levocetirizine dihydrochloride tablets, or to cetirizine. Observed reactions range from urticaria to anaphylaxis [see Adverse Reactions (6.2)].

4.2 Patients With End Stage Renal Disease

Patients with end-stage renal disease (CLCR < 10 mL/min) and patients undergoing hemodialysis

Principal Display Panel 5 Mg Tablet Bottle Label

NDC 69367-238-09

Rx Only

Levocetirizine

Dihydrochloride Tablets, USP

5 mg

For oral administration

90 Tablets

Westminster

Pharmaceuticals

4.3 Pediatric Patients With Impaired Renal Function

Children 6 months to 11 years of age with impaired renal function

13.1 Carcinogenesis, Mutagenesis, Impairment of Fertility

No carcinogenicity studies have been performed with levocetirizine. However, evaluation of cetirizine carcinogenicity studies is relevant for determination of the carcinogenic potential of levocetirizine. In a 2-year carcinogenicity study, in rats, cetirizine was not carcinogenic at dietary doses up to 20 mg/kg (approximately 40, 40, 25, and 10 times the MRHDs in adults, children 6 to 11 years of age, children 2 to 5 years, and children 6 months to 2 years of age, respectively, on a mg/m2 basis). In a 2-year carcinogenicity study in mice, cetirizine caused an increased incidence of benign hepatic tumors in males at a dietary dose of 16 mg/kg (approximately 15, 15, 9, and 5 times the MRHDs in adults, children 6 to 11 years of age, children 2 to 5 years, and children 6 months to 2 years of age, respectively, on a mg/m2 basis). No increased incidence of benign tumors was observed at a dietary dose of 4 mg/kg (approximately 4, 4, 2, and 1 times the MRHDs in adults, children 6 to 11 years of age, children 2 to 5 years, and children 6 months to 2 years of age, respectively on a mg/m2 basis). The clinical significance of these findings during long-term use of levocetirizine dihydrochloride is not known.

Levocetirizine was not mutagenic in the Ames test, and not clastogenic in the human lymphocyte assay, the mouse lymphoma assay, and in vivo micronucleus test in mice.

Fertility and reproductive performance were unaffected in male and female mice and rats that received cetirizine at oral doses up to 64 and 200 mg/kg/day, respectively (approximately 60 and 390 times the MRHD in adults on a mg/m2 basis).

5.3 Risk of New Onset Pruritus After Discontinuation of Levocetirizine Dihydrochloride Tablets

Cases of pruritus after discontinuation of levocetirizine dihydrochloride tablets have been reported in the postmarketing setting in patients where pruritus was not present before initiation of levocetirizine dihydrochloride tablets. Pruritus occurred within a few days of discontinuing levocetirizine dihydrochloride tablets among patients who used levocetirizine dihydrochloride tablets long-term (e.g., few months to years). Reported cases of pruritus were infrequent, but some were serious with patients experiencing widespread severe pruritus [see Adverse Reactions (6.2)]. If pruritus occurs after discontinuation of levocetirizine dihydrochloride tablets, symptoms may improve with restarting or tapering levocetirizine dihydrochloride tablets.

7.1 Antipyrine, Azithromycin, Cimetidine, Erythromycin, Ketoconazole, Theophylline, and Pseudoephedrine

Pharmacokinetic interaction studies performed with racemic cetirizine demonstrated that cetirizine did not interact with antipyrine, pseudoephedrine, erythromycin, azithromycin, ketoconazole, and cimetidine. There was a small decrease (~16%) in the clearance of cetirizine caused by a 400 mg dose of theophylline. It is possible that higher theophylline doses could have a greater effect.


Structured Label Content

Section 42229-5 (42229-5)

Manufactured for:

Westminster Pharmaceuticals, LLC

Nashville, TN 37217

Manufactured by:

ScieGen Pharmaceuticals, Inc.

Hauppauge, NY 11788 USA

Rev. 8/2025

Section 43683-2 (43683-2)
Warnings and Precautions, Risk of New Onset Pruritus After Discontinuation of Levocetirizine dihydrochloride tablets (5.3) 07/2025
Section 44425-7 (44425-7)

Storage

Store at 20°C to 25°C (68°F to 77°F); excursions permitted to 15°C to 30°C (59°F to 86°F) [see USP Controlled Room Temperature].

10 Overdosage (10 OVERDOSAGE)

Overdosage has been reported with levocetirizine dihydrochloride.

Symptoms of overdose may include drowsiness in adults. In children agitation and restlessness may initially occur, followed by drowsiness. There is no known specific antidote to levocetirizine dihydrochloride. Should overdose occur, symptomatic or supportive treatment is recommended. Levocetirizine dihydrochloride is not effectively removed by dialysis, and dialysis will be ineffective unless a dialyzable agent has been concomitantly ingested.

The acute maximal non-lethal oral dose of levocetirizine was 240 mg/kg in mice (approximately 190 times the maximum recommended daily oral dose in adults, approximately 230 times the maximum recommended daily oral dose in children 6 to 11 years of age, and approximately 180 times the maximum recommended daily oral dose in children 6 months to 5 years of age on a mg/m2 basis). In rats the maximal non-lethal oral dose was 240 mg/kg (approximately 390 times the maximum recommended daily oral dose in adults, approximately 460 times the maximum recommended daily oral dose in children 6 to 11 years of age, and approximately 370 times the maximum recommended daily oral dose in children 6 months to 5 years of age on a mg/m2 basis).

7.2 Ritonavir

Ritonavir increased the plasma AUC of cetirizine by about 42% accompanied by an increase in half-life (53%) and a decrease in clearance (29%) of cetirizine. The disposition of ritonavir was not altered by concomitant cetirizine administration.

8.1 Pregnancy

Risk Summary

Available data from published literature and postmarketing experience with levocetirizine use in pregnant women are insufficient to identify any drug-associated risks of miscarriage, birth defects, or adverse maternal or fetal outcomes. In animal reproduction studies, there was no evidence of fetal harm with administration of levocetirizine by the oral route to pregnant rats and rabbits, during the period of organogenesis, at doses up to 390 times and 470 times, respectively, the maximum recommended human dose (MRHD) in adults. In rats treated during late gestation and the lactation period, cetirizine had no effects on pup development at oral doses up to approximately 60 times the MRHD in adults. In mice treated during late gestation and the lactation period, cetirizine administered by the oral route to the dams had no effects on pup development at a dose that was approximately 25 times the MRHD in adults; however, lower pup weight gain during lactation was observed at a dose that was 95 times the MRHD in adults [see Data].

The estimated background risk of major birth defects and miscarriage for the indicated population is unknown. All pregnancies have a background risk of birth defect, loss, or other adverse outcomes. In the U.S. general population, the estimated background risks of major birth defects and miscarriage in clinically recognized pregnancies is 2% to 4% and 15% to 20%, respectively.

Data

Animal data

In embryo-fetal development studies, pregnant rats received daily doses of levocetirizine up to 200 mg/kg/day from gestation days 6 to 15 and pregnant rabbits received daily doses of levocetirizine up to 120 mg/kg/day from gestation days 6 to 18. Levocetirizine produced no evidence of fetal harm in rats and rabbits at doses up to 390 and 470 times the MRHD, respectively (on a mg/m2 basis with maternal oral doses of 200 mg/kg/day and 120 mg/kg/day in rats and rabbits, respectively).

No prenatal and postnatal development (PPND) studies in animals have been conducted with levocetirizine. In a PPND study conducted in mice, cetirizine was administered at oral doses up to 96 mg/kg/day from gestation day 15 through lactation day 21. Cetirizine lowered pup body weight gain during lactation at an oral dose in dams that was approximately 95 times the MRHD (on a mg/m2 basis with a maternal oral dose of 96 mg/kg/day); however, there were no effects on pup weight gain at an oral dose in dams that was approximately 25 times the MRHD (on a mg/m2 basis with a maternal oral dose of 24 mg/kg/day). In a PPND study conducted in rats, cetirizine was administered at oral doses up to 180 mg/kg/day from gestation day 17 to lactation day 22. Cetirizine did not have any adverse effects on rat dams or offspring development at doses up to approximately 60 times the MRHD (on a mg/m2 basis with a maternal oral dose of 30 mg/kg/day). Cetirizine caused excessive maternal toxicity at an oral dose in dams that was approximately 350 times the MRHD (on a mg/m2 basis with a maternal oral dose of 180 mg/kg/day).

8.2 Lactation

Risk Summary

There are no data on the presence of levocetirizine in human milk, the effects on the breastfed infant, or the effects on milk production. However, cetirizine has been reported to be present in human breast milk. In mice and beagle dogs, studies indicated that cetirizine was excreted in milk (see Data). When a drug is present in animal milk, it is likely the drug will be present in human milk. The developmental and health benefits of breastfeeding should be considered along with the mother's clinical need for levocetirizine dihydrochloride and any potential adverse effects on the breastfed child from levocetirizine dihydrochloride or from the underlying maternal condition.

Data

Animal data

Cetirizine was detected in the milk of mice. No adverse developmental effects on pups were seen when cetirizine was administered orally to dams during lactation at a dose that was approximately 25 times the MRHD in adults [see Use in Specific Populations (8.1)]. Studies in beagle dogs indicated that approximately 3% of the dose of cetirizine was excreted in milk. The concentration of drug in animal milk does not necessarily predict the concentration of drug in human milk.

11 Description (11 DESCRIPTION)

Levocetirizine dihydrochloride, USP the active component of levocetirizine dihydrochloride tablets, USP is an orally active H1-receptor antagonist. The chemical name is (R)-[2-[4-[(4-chlorophenyl) phenylmethyl]-1-piperazinyl] ethoxy] acetic acid dihydrochloride. Levocetirizine dihydrochloride is the R enantiomer of cetirizine hydrochloride, a racemic compound with antihistaminic properties. The empirical formula of levocetirizine dihydrochloride is C21H25ClN2O3∙2HCl.

The molecular weight is 461.82 and the chemical structure is shown below:

Levocetirizine dihydrochloride, USP is a white, or almost white powder and is freely soluble in water, practically insoluble in acetone and methylene chloride.

Levocetirizine dihydrochloride tablets, USP 5 mg are formulated as immediate release, white, film-coated, oval, scored tablets for oral administration. The tablets are debossed with "S" on the left side of bisect and "G" on the right side of the bisect and other side "1" on the left side and "36" on the right side of the bisect. Inactive ingredients are: microcrystalline cellulose, lactose monohydrate, colloidal silicon dioxide, and magnesium stearate. The film coating contains hypromellose, titanium dioxide, and polyethylene glycol.

5.1 Somnolence

In clinical trials the occurrence of somnolence, fatigue, and asthenia has been reported in some patients under therapy with levocetirizine dihydrochloride. Patients should be cautioned against engaging in hazardous occupations requiring complete mental alertness, and motor coordination such as operating machinery or driving a motor vehicle after ingestion of levocetirizine dihydrochloride. Concurrent use of levocetirizine dihydrochloride with alcohol or other central nervous system depressants should be avoided because additional reductions in alertness and additional impairment of central nervous system performance may occur.

8.4 Pediatric Use

The recommended dose of levocetirizine dihydrochloride for the treatment of the uncomplicated skin manifestations of chronic idiopathic urticaria in patients 6 months to 17 years of age is based on extrapolation of efficacy from adults 18 years of age and older [see Clinical Studies (14)].

The recommended dose of levocetirizine dihydrochloride in patients 6 months to 2 years of age for the treatment of the symptoms of perennial allergic rhinitis and 6 months to 11 years of age with chronic idiopathic urticaria is based on cross-study comparisons of the systemic exposure of levocetirizine dihydrochloride in adults and pediatric patients and on the safety profile of levocetirizine dihydrochloride in both adult and pediatric patients at doses equal to or higher than the recommended dose for patients 6 months to 11 years of age.

The safety of levocetirizine dihydrochloride 5 mg once daily was evaluated in 243 pediatric patients 6 to 12 years of age in two placebo-controlled clinical trials lasting 4 and 6 weeks. The safety of levocetirizine dihydrochloride 1.25 mg twice daily was evaluated in one 2-week clinical trial in 114 pediatric patients 1 to 5 years of age and the safety of levocetirizine dihydrochloride 1.25 mg once daily was evaluated in one 2-week clinical trial in 45 pediatric patients 6 to 11 months of age [see Adverse Reactions (6.1)].

The effectiveness of levocetirizine dihydrochloride 1.25 mg once daily (6 months to 5 years of age) and 2.5 mg once daily (6 to 11 years of age) for the treatment of the symptoms of perennial allergic rhinitis and chronic idiopathic urticaria is supported by the extrapolation of demonstrated efficacy of levocetirizine dihydrochloride 5 mg once daily in patients 12 years of age and older based on the pharmacokinetic comparison between adults and children.

Cross-study comparisons indicate that administration of a 5 mg dose of levocetirizine dihydrochloride to 6 to 12 year old pediatric patients resulted in about 2-fold the systemic exposure (AUC) observed when 5 mg of levocetirizine dihydrochloride was administered to healthy adults. Therefore, in children 6 to 11 years of age the recommended dose of 2.5 mg once daily should not be exceeded. In a population pharmacokinetics study the administration of 1.25 mg once daily in children 6 months to 5 years of age resulted in systemic exposure comparable to 5 mg once daily in adults. [see Dosage and Administration (2.2), Clinical Studies (14), and Clinical Pharmacology (12.3)].

8.5 Geriatric Use

Clinical studies of levocetirizine dihydrochloride for each approved indication did not include sufficient numbers of patients aged 65 years and older to determine whether they respond differently than younger patients. Other reported clinical experience has not identified differences in responses between the elderly and younger patients. In general, dose selection for an elderly patient should be cautious, usually starting at the low end of the dosing range reflecting the greater frequency of decreased hepatic, renal, or cardiac function and of concomitant disease or other drug therapy.

4 Contraindications (4 CONTRAINDICATIONS)

The use of levocetirizine dihydrochloride is contraindicated in:

6 Adverse Reactions (6 ADVERSE REACTIONS)

The following clinically significant adverse reactions are described elsewhere in the labeling:

7 Drug Interactions (7 DRUG INTERACTIONS)

In vitro data indicate that levocetirizine is unlikely to produce pharmacokinetic interactions through inhibition or induction of liver drug-metabolizing enzymes. No in vivo drug-drug interaction studies have been performed with levocetirizine. Drug interaction studies have been performed with racemic cetirizine.

8.6 Renal Impairment

Levocetirizine dihydrochloride is known to be substantially excreted by the kidneys and the risk of adverse reactions to this drug may be greater in patients with impaired renal function. Because elderly patients are more likely to have decreased renal function, care should be taken in dose selection and it may be useful to monitor renal function [see Dosage and Administration (2) and Clinical Pharmacology (12.3)].

12.2 Pharmacodynamics

Studies in adult healthy subjects showed that levocetirizine at doses of 2.5 mg and 5 mg inhibited the skin wheal and flare caused by the intradermal injection of histamine. In contrast, dextrocetirizine exhibited no clear change in the inhibition of the wheal and flare reaction.

Levocetirizine at a dose of 5 mg inhibited the wheal and flare caused by intradermal injection of histamine in 14 pediatric subjects (aged 6 to 11 years) and the activity persisted for at least 24 hours. The clinical relevance of histamine wheal skin testing is unknown.

A QT/QTc study using a single dose of 30 mg of levocetirizine did not demonstrate an effect on the QTc interval. While a single dose of levocetirizine had no effect, the effects of levocetirizine may not be at steady state following single dose. The effect of levocetirizine on the QTc interval following multiple dose administration is unknown. Levocetirizine is not expected to have QT/QTc effects because of the results of QTc studies with cetirizine and the long postmarketing history of cetirizine without reports of QT prolongation.

12.3 Pharmacokinetics

Levocetirizine exhibited linear pharmacokinetics over the therapeutic dose range in adult healthy subjects.

Absorption

Levocetirizine is rapidly and extensively absorbed following oral administration. In adults, peak plasma concentrations are achieved 0.9 hour after administration of the oral tablet. The accumulation ratio following daily oral administration is 1.12 with steady state achieved after 2 days. Peak concentrations are typically 270 ng/mL and 308 ng/mL following a single and a repeated 5 mg once daily dose, respectively. Food had no effect on the extent of exposure (AUC) of the levocetirizine tablet, but Tmax was delayed by about 1.25 hours and Cmax was decreased by about 36% after administration with a high fat meal; therefore, levocetirizine can be administered with or without food.

A dose of 5 mg (10 mL) of levocetirizine dihydrochloride oral solution is bioequivalent to a 5 mg dose of levocetirizine dihydrochloride tablets. Following oral administration of a 5 mg dose of levocetirizine dihydrochloride oral solution to healthy adult subjects, the mean peak plasma concentrations were achieved approximately 0.5 hour post dose.

Distribution

The mean plasma protein binding of levocetirizine in vitro ranged from 91 to 92%, independent of concentration in the range of 90 ng/mL to 5,000 ng/mL, which includes the therapeutic plasma levels observed. Following oral dosing, the average apparent volume of distribution is approximately 0.4 L/kg, representative of distribution in total body water.

Metabolism

The extent of metabolism of levocetirizine in humans is less than 14% of the dose and therefore differences resulting from genetic polymorphism or concomitant intake of hepatic drug metabolizing enzyme inhibitors are expected to be negligible. Metabolic pathways include aromatic oxidation, N- and O-dealkylation, and taurine conjugation. Dealkylation pathways are primarily mediated by CYP3A4 while aromatic oxidation involves multiple and/or unidentified CYP isoforms.

Elimination

The plasma half-life in adult healthy subjects was about 8 to 9 hours after administration of oral tablets and oral solution, and the mean oral total body clearance for levocetirizine was approximately 0.63 mL/kg/min. The major route of excretion of levocetirizine and its metabolites is via urine, accounting for a mean of 85.4% of the dose. Excretion via feces accounts for only 12.9% of the dose. Levocetirizine is excreted both by glomerular filtration and active tubular secretion. Renal clearance of levocetirizine correlates with that of creatinine clearance. In patients with renal impairment the clearance of levocetirizine is reduced [see Dosage and Administration (2.2)].

Drug Interaction Studies

In vitro data on metabolite interaction indicate that levocetirizine is unlikely to produce, or be subject to metabolic interactions. Levocetirizine at concentrations well above Cmax level achieved within the therapeutic dose ranges is not an inhibitor of CYP isoenzymes 1A2, 2C9, 2C19, 2A1, 2D6, 2E1, and 3A4, and is not an inducer of UGT1A or CYP isoenzymes 1A2, 2C9 and 3A4.

No formal in vivo drug interaction studies have been performed with levocetirizine. Studies have been performed with the racemic cetirizine [see Drug Interactions (7)].

Pediatric patients

Data from a pediatric pharmacokinetic study with oral administration of a single dose of 5 mg levocetirizine in 14 children age 6 to 11 years with body weight ranging between 20 kg and 40 kg show that Cmax and AUC values are about 2-fold greater than that reported in healthy adult subjects in a cross-study comparison. The mean Cmax was 450 ng/mL, occurring at a mean time of 1.2 hours, weight-normalized, total body clearance was 30% greater, and the elimination half- life 24% shorter in this pediatric population than in adults.

Dedicated pharmacokinetic studies have not been conducted in pediatric patients younger than 6 years of age. A retrospective population pharmacokinetic analysis was conducted in 323 subjects (181 children 1 to 5 years of age, 18 children 6 to 11 years of age, and 124 adults 18 to 55 years of age) who received single or multiple doses of levocetirizine ranging from 1.25 mg to 30 mg. Data generated from this analysis indicated that administration of 1.25 mg once daily to children 6 months to 5 years of age results in plasma concentrations similar to those of adults receiving 5 mg once daily.

Geriatric patients

Limited pharmacokinetic data are available in elderly subjects. Following once daily repeat oral administration of 30 mg levocetirizine for 6 days in 9 elderly subjects (65 to 74 years of age), the total body clearance was approximately 33% lower compared to that in younger adults. The disposition of racemic cetirizine has been shown to be dependent on renal function rather than on age. This finding would also be applicable for levocetirizine, as levocetirizine and cetirizine are both predominantly excreted in urine. Therefore, the levocetirizine dihydrochloride dose should be adjusted in accordance with renal function in elderly patients [see Dosage and Administration (2)].

Gender

Pharmacokinetic results for 77 patients (40 men, 37 women) were evaluated for potential effect of gender. The half-life was slightly shorter in women (7.08 ± 1.72 hr) than in men (8.62 ± 1.84 hr); however, the body weight-adjusted oral clearance in women (0.67 ± 0.16 mL/min/kg) appears to be comparable to that in men (0.59 ± 0.12 mL/min/kg). The same daily doses and dosing intervals are applicable for men and women with normal renal function.

Race

The effect of race on levocetirizine has not been studied. As levocetirizine is primarily renally excreted, and there are no important racial differences in creatinine clearance, pharmacokinetic characteristics of levocetirizine are not expected to be different across races. No race-related differences in the kinetics of racemic cetirizine have been observed.

Renal impairment

Levocetirizine exposure (AUC) exhibited 1.8-, 3.2-, 4.3-, and 5.7-fold increase in mild, moderate, severe, renal impaired, and end-stage renal disease patients, respectively, compared to healthy subjects. The corresponding increases of half-life estimates were 1.4-, 2.0-, 2.9-, and 4-fold, respectively.

The total body clearance of levocetirizine after oral dosing was correlated to the creatinine clearance and was progressively reduced based on severity of renal impairment. Therefore, it is recommended to adjust the dose and dosing intervals of levocetirizine based on creatinine clearance in patients with mild, moderate, or severe renal impairment. In end-stage renal disease patients (CLCR < 10 mL/min) levocetirizine is contraindicated. The amount of levocetirizine removed during a standard 4-hour hemodialysis procedure was < 10%.

The dosage of levocetirizine dihydrochloride should be reduced in patients with mild renal impairment. Both the dosage and frequency of administration should be reduced in patients with moderate or severe renal impairment [see Dosage and Administration (2.2)].

Hepatic impairment

Levocetirizine dihydrochloride has not been studied in patients with hepatic impairment. The non-renal clearance (indicative of hepatic contribution) was found to constitute about 28% of the total body clearance in healthy adult subjects after oral administration.

As levocetirizine is mainly excreted unchanged by the kidney, it is unlikely that the clearance of levocetirizine is significantly decreased in patients with solely hepatic impairment [see Dosage and Administration (2)].

5.2 Urinary Retention

Urinary retention has been reported post marketing with levocetirizine dihydrochloride. Levocetirizine dihydrochloride should be used with caution in patients with predisposing factors of urinary retention (e.g. spinal cord lesion, prostatic hyperplasia) as levocetirizine dihydrochloride may increase the risk of urinary retention. Discontinue levocetirizine dihydrochloride if urinary retention occurs.

8.7 Hepatic Impairment

As levocetirizine is mainly excreted unchanged by the kidneys, it is unlikely that the clearance of levocetirizine is significantly decreased in patients with solely hepatic impairment [see Clinical Pharmacology (12.3)].

1 Indications and Usage (1 INDICATIONS AND USAGE)

Levocetirizine dihydrochloride is a histamine H1-receptor antagonist indicated for:

  • The treatment of the uncomplicated skin manifestations of chronic idiopathic urticaria (1.2)
12.1 Mechanism of Action

Levocetirizine, the active enantiomer of cetirizine, is an antihistamine; its principal effects are mediated via selective inhibition of H1 receptors. The antihistaminic activity of levocetirizine has been documented in a variety of animal and human models. In vitro binding studies revealed that levocetirizine has an affinity for the human H1-receptor 2-fold higher than that of cetirizine (Ki = 3 nmol/L vs. 6 nmol/L, respectively). The clinical relevance of this finding is unknown.

5 Warnings and Precautions (5 WARNINGS AND PRECAUTIONS)
  • Somnolence: Somnolence, fatigue, and asthenia have been reported with use of levocetirizine dihydrochloride tablets in some patients in clinical trials. Avoid engaging in hazardous occupations requiring complete mental alertness such as driving or operating machinery when taking levocetirizine dihydrochloride tablets. Avoid concurrent use of alcohol or other central nervous system depressants with levocetirizine dihydrochloride tablets. (5.1)
  • Urinary Retention: Urinary retention has been reported with use of levocetirizine dihydrochloride tablets. Use with caution in patients with predisposing factors of urinary retention (e.g. spinal cord lesion, prostatic hyperplasia). Discontinue levocetirizine dihydrochloride tablets if urinary retention occurs. (5.2)
  • Risk of New Onset Pruritus After Discontinuation of Levocetirizine dihydrochloride tablets: New onset pruritus within a few days after discontinuation of Levocetirizine dihydrochloride tablets has been reported, usually after long-term use (e.g., few months to years) of Levocetirizine dihydrochloride tablets. Symptoms may improve with restarting or tapering Levocetirizine dihydrochloride tablets (5.3).
2 Dosage and Administration (2 DOSAGE AND ADMINISTRATION)

Levocetirizine dihydrochloride tablets are available as 5 mg breakable (scored) tablets, allowing for the administration of 2.5 mg, if needed. Levocetirizine dihydrochloride tablets can be taken without regard to food consumption.

3 Dosage Forms and Strengths (3 DOSAGE FORMS AND STRENGTHS)

Levocetirizine dihydrochloride tablets, USP 5 mg are white, oval, biconvex, film-coated functional scored tablets debossed with "S" on the left side of bisect and "G" on the right side of bisect and other side "1" on the left side and "36" on the right side of the bisect.

6.2 Postmarketing Experience

In addition to the adverse reactions reported during clinical trials and listed above, the following adverse reactions have also been identified during postapproval use of levocetirizine dihydrochloride. Because these reactions are reported voluntarily from a population of uncertain size, it is not always possible to reliably estimate their frequency or establish a causal relationship to drug exposure.

  • Cardiac disorders: palpitations, tachycardia
  • Ear and labyrinth disorders: vertigo
  • Eye disorders: blurred vision, visual disturbances
  • Gastrointestinal disorders: nausea, vomiting
  • General disorders and administration site conditions: edema
  • Hepatobiliary disorders: hepatitis
  • Immune system disorders: anaphylaxis and hypersensitivity
  • Metabolism and nutrition disorders: increased appetite
  • Musculoskeletal, connective tissues, and bone disorders: arthralgia, myalgia
  • Nervous system disorders: dizziness, dysgeusia, febrile seizure, movement disorders (including dystonia and oculogyric crisis), paresthesia, seizure (reported in subjects with and without a known seizure disorder), tremor
  • Psychiatric disorders: aggression and agitation, depression, hallucinations, insomnia, nightmare, suicidal ideation
  • Renal and urinary disorders: dysuria, urinary retention
  • Respiratory, thoracic, and mediastinal disorders: dyspnea
  • Skin and subcutaneous tissue disorders: angioedema, fixed drug eruption, pruritus, rash, urticaria, and new onset pruritus within a few days after discontinuation of levocetirizine dihydrochloride tablets, usually after long-term use (e.g., few months to years) of levocetirizine dihydrochloride tablets.

Besides these reactions reported under treatment with levocetirizine dihydrochloride, other potentially severe adverse reactions have been reported from the postmarketing experience with cetirizine. Since levocetirizine is the principal pharmacologically active component of cetirizine, one should take into account the fact that the following adverse reactions could also potentially occur under treatment with levocetirizine dihydrochloride.

  • Cardiac disorders: severe hypotension
  • Gastrointestinal disorders: cholestasis
  • Nervous system disorders: extrapyramidal symptoms, myoclonus, orofacial dyskinesia, tic
  • Pregnancy, puerperium and perinatal conditions: stillbirth
  • Renal and urinary disorders: glomerulonephritis
  • Skin and subcutaneous tissue disorders: acute generalized exanthematous pustulosis (AGEP).
8 Use in Specific Populations (8 USE IN SPECIFIC POPULATIONS)
  • Renal Impairment

    Because levocetirizine dihydrochloride is substantially excreted by the kidneys, the risk of adverse reactions to this drug may be greater in patients with impaired renal function. (8.6, 12.3)
  • Pediatric Use

    Do not exceed the recommended doses of 2.5 mg once daily in children 6 to 11 years of age. Systemic exposure with these doses in respective pediatric age groups is comparable to that from a 5 mg once daily dose in adults. (12.3)
6.1 Clinical Trials Experience

Because clinical trials are conducted under widely varying conditions, adverse reaction rates observed in the clinical trials of a drug cannot be directly compared to rates in the clinical trials of another drug and may not reflect the rates observed in practice.

The safety data described below reflect exposure to levocetirizine dihydrochloride in 2,708 patients with allergic rhinitis or chronic idiopathic urticaria in 14 controlled clinical trials of 1 week to 6 months duration.

The short-term (exposure up to 6 weeks) safety data for adults and adolescents are based upon eight clinical trials in which 1,896 patients (825 males and 1,071 females aged 12 years and older) were treated with levocetirizine dihydrochloride 2.5 mg, 5 mg, or 10 mg once daily in the evening.

The short-term safety data from pediatric patients are based upon two clinical trials in which 243 children with allergic rhinitis (162 males and 81 females 6 to 12 years of age) were treated with levocetirizine dihydrochloride 5 mg once daily for 4 to 6 weeks, one clinical trial in which 114 children (65 males and 49 females 1 to 5 years of age) with allergic rhinitis or chronic idiopathic urticaria were treated with levocetirizine dihydrochloride 1.25 mg twice daily for 2 weeks, and one clinical trial in which 45 children (28 males and 17 females 6 to 11 months of age) with symptoms of allergic rhinitis or chronic urticaria were treated with levocetirizine dihydrochloride 1.25 mg once daily for 2 weeks.

The long-term (exposure of 4 or 6 months) safety data in adults and adolescents are based upon two clinical trials in which 428 patients (190 males and 238 females) with allergic rhinitis were exposed to treatment with levocetirizine dihydrochloride 5 mg once daily. Long term safety data are also available from an 18-month trial in 255 levocetirizine dihydrochloride-treated subjects 12 to 24 months of age.

Because clinical trials are conducted under widely varying conditions, adverse reaction rates observed in the clinical trials of a drug cannot be directly compared to rates in the clinical trial of another drug and may not reflect the rates observed in practice.

Adults and Adolescents 12 years of Age and Older

In studies up to 6 weeks in duration, the mean age of the adult and adolescent patients was 32 years, 44% of the patients were men and 56% were women, and the large majority (more than 90%) was Caucasian.

In these trials 43% and 42% of the subjects in the levocetirizine dihydrochloride 2.5 mg and 5 mg groups, respectively, had at least one adverse event compared to 43% in the placebo group.

In placebo-controlled trials of 1 to 6 weeks in duration, the most common adverse reactions were somnolence, nasopharyngitis, fatigue, dry mouth, and pharyngitis, and most were mild to moderate in intensity. Somnolence with levocetirizine dihydrochloride showed dose ordering between tested doses of 2.5 mg, 5 mg and 10 mg and was the most common adverse reaction leading to discontinuation (0.5%).

Table 1 lists adverse reactions that were reported in greater than or equal to 2% of subjects aged 12 years and older exposed to levocetirizine dihydrochloride 2.5 mg or 5 mg in eight placebo-controlled clinical trials and that were more common with levocetirizine dihydrochloride than placebo.

Table 1: Adverse Reactions Reported in ≥ 2%
Rounded to the closest unit percentage
of Subjects Aged 12 Years and Older Exposed to Levocetirizine Dihydrochloride 2.5 mg or 5 mg Once Daily in Placebo-Controlled Clinical Trials 1 to 6 Weeks in Duration
Adverse Reactions Levocetirizine dihydrochloride 2.5 mg

(n = 421)
Levocetirizine dihydrochloride 5 mg

(n = 1,070)
Placebo

(n = 912)
Somnolence 22 (5%) 61 (6%) 16 (2%)
Nasopharyngitis 25 (6%) 40 (4%) 28 (3%)
Fatigue 5 (1%) 46 (4%) 20 (2%)
Dry Mouth 12 (3%) 26 (2%) 11 (1%)
Pharyngitis 10 (2%) 12 (1%) 9 (1%)

Additional adverse reactions of medical significance observed at a higher incidence than in placebo in adults and adolescents aged 12 years and older exposed to levocetirizine dihydrochloride are syncope (0.2%) and weight increased (0.5%).

Pediatric Patients 6 to 12 Years of Age

A total of 243 pediatric patients 6 to 12 years of age received levocetirizine dihydrochloride 5 mg once daily in two short-term placebo controlled double-blind trials. The mean age of the patients was 9.8 years, 79 (32%) were 6 to 8 years of age, and 50% were Caucasian. Table 2 lists adverse reactions that were reported in greater than or equal to 2% of subjects aged 6 to 12 years exposed to levocetirizine dihydrochloride 5 mg in placebo-controlled clinical trials and that were more common with levocetirizine dihydrochloride than placebo.

Table 2: Adverse Reactions Reported in ≥ 2%
Rounded to the closest unit percentage
of Subjects Aged 6 to 12 Years Exposed to Levocetirizine Dihydrochloride 5 mg Once Daily in Placebo-Controlled Clinical Trials 4 and 6 Weeks in Duration
Adverse Reactions Levocetirizine dihydrochloride 5 mg

(n = 243)
Placebo

(n = 240)
Pyrexia 10 (4%) 5 (2%)
Cough 8 (3%) 2 (< 1%)
Somnolence 7 (3%) 1 (< 1%)
Epistaxis 6 (2%) 1 (< 1%)

Pediatric Patients 1 to 5 Years of Age

A total of 114 pediatric patients 1 to 5 years of age received levocetirizine dihydrochloride 1.25 mg twice daily in a two week placebo-controlled double-blind safety trial. The mean age of the patients was 3.8 years, 32% were 1 to 2 years of age, 71% were Caucasian and 18% were Black. Table 3 lists adverse reactions that were reported in greater than or equal to 2% of subjects aged 1 to 5 years exposed to levocetirizine dihydrochloride 1.25 mg twice daily in the placebo controlled safety trial and that were more common with levocetirizine dihydrochloride than placebo.

Table 3: Adverse Reactions Reported in ≥ 2%
Rounded to the closest unit percentage
of Subjects Aged 1 to 5 Years Exposed to levocetirizine Dihydrochloride 1.25 mg Twice Daily in a 2-Week Placebo-Controlled Clinical Trial
Adverse Reactions Levocetirizine dihydrochloride 1.25 mg Twice Daily

(n = 114)
Placebo

(n = 59)
Pyrexia 5 (4%) 1 (2%)
Diarrhea 4 (4%) 2 (3%)
Vomiting 4 (4%) 2 (3%)
Otitis Media 3 (3%) 0 (0%)

Pediatric Patients 6 to 11 Months of Age

A total of 45 pediatric patients 6 to 11 months of age received levocetirizine dihydrochloride 1.25 mg once daily in a two week placebo-controlled double-blind safety trial. The mean age of the patients was 9 months, 51% were Caucasian and 31% were Black. Adverse reactions that were reported in more than 1 subject (i.e. greater than or equal to 3% of subjects) aged 6 to 11 months exposed to levocetirizine dihydrochloride 1.25 mg once daily in the placebo-controlled safety trial and that were more common with levocetirizine dihydrochloride than placebo included diarrhea and constipation which were reported in 6 (13%) and 1 (4%) and 3 (7%) and 1 (4%) children in the levocetirizine dihydrochloride and placebo-treated groups, respectively.

Long-Term Clinical Trials Experience

In two controlled clinical trials, 428 patients (190 males and 238 females) aged 12 years and older were treated with levocetirizine dihydrochloride 5 mg once daily for 4 or 6 months. The patient characteristics and the safety profile were similar to that seen in the short-term studies. Ten (2.3%) patients treated with levocetirizine dihydrochloride discontinued because of somnolence, fatigue or asthenia compared to 2 (< 1%) in the placebo group.

There are no long term clinical trials in children below 12 years of age with allergic rhinitis or chronic idiopathic urticaria.

Laboratory Test Abnormalities

Elevations of blood bilirubin and transaminases were reported in < 1% of patients in the clinical trials. The elevations were transient and did not lead to discontinuation in any patient.

1.2 Chronic Idiopathic Urticaria

Levocetirizine dihydrochloride tablets are indicated for the treatment of the uncomplicated skin manifestations of chronic idiopathic urticaria in adults and children 6 years of age and older.

14.1 Perennial Allergic Rhinitis

Adults and Adolescents 12 Years of Age and Older

The efficacy of levocetirizine dihydrochloride was evaluated in four randomized, placebo-controlled, double-blind clinical trials in adult and adolescent patients 12 years and older with symptoms of perennial allergic rhinitis. The four clinical trials include two dose-ranging trials of 4 weeks duration and two efficacy trials (one 6-week and one 6-month) in patients with perennial allergic rhinitis.

These trials included a total of 1,729 patients (752 males and 977 females) of whom 227 were adolescents 12 to 17 years of age. Efficacy was assessed using a total symptom score from patient recording of 4 symptoms (sneezing, rhinorrhea, nasal pruritus, and ocular pruritus) in three studies and 5 symptoms (sneezing, rhinorrhea, nasal pruritus, ocular pruritus, and nasal congestion) in one study. Patients recorded symptoms using a 0 to 3 categorical severity scale (0 = absent, 1 = mild, 2 = moderate, 3 = severe) once daily in the evening reflective of the 24 hour treatment period. The primary endpoint was the mean total symptom score averaged over the first week and over 4 weeks for perennial allergic rhinitis trials.

The two dose-ranging trials were conducted to evaluate the efficacy of levocetirizine dihydrochloride 2.5 mg, 5 mg, and 10 mg once daily in the evening. These trials were 4 weeks in duration and included patients with perennial allergic rhinitis. In these trials, each of the three doses of levocetirizine dihydrochloride demonstrated greater decrease in the reflective total symptom score than placebo and the difference was statistically significant for all three doses in the two studies. Results for one of these trials are shown in Table 4.

Table 4: Mean Reflective Total Symptom Score
Total symptom score is the sum of individual symptoms of sneezing, rhinorrhea, nasal pruritus, and ocular pruritus as assessed by patients on a 0 to 3 categorical severity scale.
in Allergic Rhinitis Dose-Ranging Trials
Treatment N Baseline On Treatment Adjusted Mean Difference from Placebo
Estimate 95% CI p-value
Perennial Allergic Rhinitis Trial – Reflective total symptom score
Levocetirizine dihydrochloride 2.5 mg 133 7.14 4.12 1.17 (0.71, 1.63) < 0.001
Levocetirizine dihydrochloride 5 mg 127 7.18 4.07 1.22 (0.76, 1.69) < 0.001
Levocetirizine dihydrochloride 10 mg 129 7.58 4.19 1.10 (0.64, 1.57) < 0.001
Placebo 128 7.22 5.29

One clinical trial evaluated the efficacy of levocetirizine dihydrochloride 5 mg once daily in the evening compared to placebo in patients with perennial allergic rhinitis over a 6-week treatment period. Another trial conducted over a 6-month treatment period assessed efficacy at 4 weeks. Levocetirizine dihydrochloride 5 mg demonstrated a greater decrease from baseline in the reflective total symptom score than placebo and the difference from placebo was statistically significant. Results of the former are shown in Table 5.

Table 5: Mean Reflective Total Symptom Score
Total symptom score is the sum of individual symptoms of sneezing, rhinorrhea, nasal pruritus, and ocular pruritus as assessed by patients on a 0 to 3 categorical severity scale.
in Allergic Rhinitis Trials
Treatment N Baseline On Treatment Adjusted Mean Difference from Placebo
Estimate 95% CI p-value
Perennial Allergic Rhinitis Trial – Reflective total symptom score
Levocetirizine dihydrochloride 5 mg 150 7.69 3.93 1.17 (0.70, 1.64) < 0.001
Placebo 142 7.44 5.10

Onset of action was evaluated in two environmental exposure unit studies in allergic rhinitis patients with a single dose of levocetirizine dihydrochloride 2.5 mg or 5 mg. Levocetirizine dihydrochloride 5 mg was found to have an onset of action 1 hour after oral intake. Onset of action was also assessed from the daily recording of symptoms in the evening before dosing in the allergic rhinitis trials. In these trials, onset of effect was seen after 1 day of dosing.

Pediatric Patients Less than 12 Years of Age

There are no clinical efficacy trials with levocetirizine dihydrochloride 2.5 mg once daily in pediatric patients under 12 years of age, and no clinical efficacy trials with levocetirizine dihydrochloride 1.25 mg once daily in pediatric patients 6 months to 5 years of age. The clinical efficacy of levocetirizine dihydrochloride in pediatric patients under 12 years of age has been extrapolated from adult clinical efficacy trials based on pharmacokinetic comparisons [see Use in Specific Populations (8.4)].

2.2 Chronic Idiopathic Urticaria

Adults and Children 12 Years of Age and Older

The recommended dose of levocetirizine dihydrochloride tablets is 5 mg (1 tablet) once daily in the evening. Some patients may be adequately controlled by 2.5 mg (1/2 tablet) once daily in the evening.

Children 6 to 11 Years of Age

The recommended dose of levocetirizine dihydrochloride tablets is 2.5 mg (1/2 tablet) once daily in the evening. The 2.5 mg dose should not be exceeded because the systemic exposure with 5 mg is approximately twice that of adults [see Clinical Pharmacology (12.3)].

Dose Adjustment for Renal and Hepatic Impairment

In adults and children 12 years of age and older with:

  • Mild renal impairment (creatinine clearance [CLCR] = 50 to 80 mL/min): a dose of 2.5 mg once daily is recommended;
  • Moderate renal impairment (CLCR = 30 to 50 mL/min): a dose of 2.5 mg once every other day is recommended;
  • Severe renal impairment (CLCR = 10 to 30 mL/min): a dose of 2.5 mg twice weekly (administered once every 3 to 4 days) is recommended;
  • End-stage renal disease patients (CLCR < 10 mL/min) and patients undergoing hemodialysis should not receive levocetirizine dihydrochloride.

No dose adjustment is needed in patients with solely hepatic impairment. In patients with both hepatic impairment and renal impairment, adjustment of the dose is recommended.

14.2 Chronic Idiopathic Urticaria

Adult Patients 18 Years of Age and Older

The efficacy of levocetirizine dihydrochloride for the treatment of the uncomplicated skin manifestations of chronic idiopathic urticaria was evaluated in two multi-center, randomized, placebo-controlled, double-blind clinical trials of 4 weeks duration in adult patients 18 to 85 years of age with chronic idiopathic urticaria. The two trials included one 4-week dose-ranging trial and one 4-week single-dose level efficacy trial. These trials included 423 patients (139 males and 284 females). Most patients (> 90%) were Caucasian and the mean age was 41. Of these patients, 146 received levocetirizine dihydrochloride 5 mg once daily in the evening. Efficacy was assessed based on patient recording of pruritus severity on a severity score of 0 to 3 (0 = none to 3 = severe). The primary efficacy endpoint was the mean reflective pruritus severity score over the first week and over the entire treatment period. Additional efficacy variables were the instantaneous pruritus severity score, the number and size of wheals, and duration of pruritus.

The dose-ranging trial was conducted to evaluate the efficacy of levocetirizine dihydrochloride 2.5 mg, 5 mg, and 10 mg once daily in the evening. In this trial, each of the three doses of levocetirizine dihydrochloride demonstrated greater decrease in the reflective pruritus severity score than placebo and the difference was statistically significant for all three doses (see Table 6).

The single dose level trial evaluated the efficacy of levocetirizine dihydrochloride 5 mg once daily in the evening compared to placebo in patients with chronic idiopathic urticaria over a 4-week treatment period.

Levocetirizine dihydrochloride 5 mg demonstrated a greater decrease from baseline in the reflective pruritus severity score than placebo and the difference from placebo was statistically significant.

Duration of pruritus, number and size of wheals, and instantaneous pruritus severity score also showed significant improvement over placebo. The significant improvement in the instantaneous pruritus severity score over placebo confirmed end of dosing interval efficacy (see Table 6).

Table 6: Mean Reflective Pruritus Severity Score in Chronic Idiopathic Urticaria Trials
Treatment N Baseline On Treatment Adjusted Mean Difference from Placebo
Estimate 95% CI p-value
Dose-Ranging Trial – Reflective pruritus severity score
Levocetirizine dihydrochloride 2.5 mg 69 2.08 1.02 0.82 (0.58, 1.06) < 0.001
Levocetirizine dihydrochloride 5 mg 62 2.07 0.92 0.91 (0.66, 1.16) < 0.001
Levocetirizine dihydrochloride 10 mg 55 2.04 0.73 1.11 (0.85, 1.37) < 0.001
Placebo 60 2.25 1.84
Chronic Idiopathic Urticaria Trial – Reflective pruritus severity score
Levocetirizine dihydrochloride 5 mg 80 2.07 0.94 0.62 (0.38, 0.86) < 0.001
Placebo 82 2.06 1.56

Pediatric Patients

There are no clinical efficacy trials in pediatric patients with chronic idiopathic urticaria [see Use in Specific Populations (8.4)].

17 Patient Counseling Information (17 PATIENT COUNSELING INFORMATION)

Somnolence

Caution patients against engaging in hazardous occupations requiring complete mental alertness, and motor coordination such as operating machinery or driving a motor vehicle after ingestion of levocetirizine dihydrochloride [see Warnings and Precautions (5.1)].

Concomitant Use of Alcohol and other Central Nervous System Depressants

Instruct patients to avoid concurrent use of levocetirizine dihydrochloride with alcohol or other central nervous system depressants because additional reduction in mental alertness may occur [see Warnings and Precautions (5.1)].

Risk of New Onset Pruritus After Discontinuation of Levocetirizine Dihydrochloride Tablets

Inform patients pruritus has occurred within a few days of discontinuing levocetirizine dihydrochloride tablets among patients who used levocetirizine dihydrochloride tablets long-term (e.g., few months to years). Pruritus may improve with restarting or tapering levocetirizine dihydrochloride tablets [see Warnings and Precautions (5.3)]. Advise patients to seek medical advice if pruritus occurs.

Dosing of Levocetirizine Dihydrochloride Tablets

Do not exceed the recommended daily dose in adults and adolescents 12 years of age and older of 5 mg once daily in the evening. In children 6 to 11 years of age the recommended dose is 2.5 mg once daily in the evening. Advise patients to not ingest more than the recommended dose of levocetirizine dihydrochloride tablets because of the increased risk of somnolence at higher doses.

16 How Supplied/storage and Handling (16 HOW SUPPLIED/STORAGE AND HANDLING)

Levocetirizine dihydrochloride tablets, USP 5 mg are white, oval, biconvex, film-coated functional scored tablets debossed with "S" on the left side of bisect and "G" on the right side of the bisect and other side "1" on the left side and "36" on the right side of the bisect. They are supplied in unit of use HDPE bottles.

90 tablets (NDC 69367-238-09)
4.1 Patients With Known Hypersensitivity (4.1 Patients with Known Hypersensitivity)

Patients with known hypersensitivity to levocetirizine or any of the ingredients of levocetirizine dihydrochloride tablets, or to cetirizine. Observed reactions range from urticaria to anaphylaxis [see Adverse Reactions (6.2)].

4.2 Patients With End Stage Renal Disease (4.2 Patients with End-Stage Renal Disease)

Patients with end-stage renal disease (CLCR < 10 mL/min) and patients undergoing hemodialysis

Principal Display Panel 5 Mg Tablet Bottle Label (PRINCIPAL DISPLAY PANEL - 5 mg Tablet Bottle Label)

NDC 69367-238-09

Rx Only

Levocetirizine

Dihydrochloride Tablets, USP

5 mg

For oral administration

90 Tablets

Westminster

Pharmaceuticals

4.3 Pediatric Patients With Impaired Renal Function (4.3 Pediatric Patients with Impaired Renal Function)

Children 6 months to 11 years of age with impaired renal function

13.1 Carcinogenesis, Mutagenesis, Impairment of Fertility

No carcinogenicity studies have been performed with levocetirizine. However, evaluation of cetirizine carcinogenicity studies is relevant for determination of the carcinogenic potential of levocetirizine. In a 2-year carcinogenicity study, in rats, cetirizine was not carcinogenic at dietary doses up to 20 mg/kg (approximately 40, 40, 25, and 10 times the MRHDs in adults, children 6 to 11 years of age, children 2 to 5 years, and children 6 months to 2 years of age, respectively, on a mg/m2 basis). In a 2-year carcinogenicity study in mice, cetirizine caused an increased incidence of benign hepatic tumors in males at a dietary dose of 16 mg/kg (approximately 15, 15, 9, and 5 times the MRHDs in adults, children 6 to 11 years of age, children 2 to 5 years, and children 6 months to 2 years of age, respectively, on a mg/m2 basis). No increased incidence of benign tumors was observed at a dietary dose of 4 mg/kg (approximately 4, 4, 2, and 1 times the MRHDs in adults, children 6 to 11 years of age, children 2 to 5 years, and children 6 months to 2 years of age, respectively on a mg/m2 basis). The clinical significance of these findings during long-term use of levocetirizine dihydrochloride is not known.

Levocetirizine was not mutagenic in the Ames test, and not clastogenic in the human lymphocyte assay, the mouse lymphoma assay, and in vivo micronucleus test in mice.

Fertility and reproductive performance were unaffected in male and female mice and rats that received cetirizine at oral doses up to 64 and 200 mg/kg/day, respectively (approximately 60 and 390 times the MRHD in adults on a mg/m2 basis).

5.3 Risk of New Onset Pruritus After Discontinuation of Levocetirizine Dihydrochloride Tablets

Cases of pruritus after discontinuation of levocetirizine dihydrochloride tablets have been reported in the postmarketing setting in patients where pruritus was not present before initiation of levocetirizine dihydrochloride tablets. Pruritus occurred within a few days of discontinuing levocetirizine dihydrochloride tablets among patients who used levocetirizine dihydrochloride tablets long-term (e.g., few months to years). Reported cases of pruritus were infrequent, but some were serious with patients experiencing widespread severe pruritus [see Adverse Reactions (6.2)]. If pruritus occurs after discontinuation of levocetirizine dihydrochloride tablets, symptoms may improve with restarting or tapering levocetirizine dihydrochloride tablets.

7.1 Antipyrine, Azithromycin, Cimetidine, Erythromycin, Ketoconazole, Theophylline, and Pseudoephedrine

Pharmacokinetic interaction studies performed with racemic cetirizine demonstrated that cetirizine did not interact with antipyrine, pseudoephedrine, erythromycin, azithromycin, ketoconazole, and cimetidine. There was a small decrease (~16%) in the clearance of cetirizine caused by a 400 mg dose of theophylline. It is possible that higher theophylline doses could have a greater effect.


Advanced Ingredient Data


Raw Label Data

All Sections (JSON)