Neomycin And Polymyxin B Sulfates And Hydrocortisone Otic Suspension, Usp

Neomycin And Polymyxin B Sulfates And Hydrocortisone Otic Suspension, Usp
SPL v9
SPL
SPL Set ID 84d32193-c2cc-4837-88d1-c7d7dc2c7042
Route
AURICULAR (OTIC)
Published
Effective Date 2024-11-18
Document Type 34391-3 HUMAN PRESCRIPTION DRUG LABEL

Drug Facts

Composition & Product

Active Ingredients
Neomycin (3.5 mg) Polymyxin B (10000 [USP'U]) Hydrocortisone (10 mg)
Inactive Ingredients
Thimerosal Cetyl Alcohol Propylene Glycol Peg-20 Sorbitan Oleate Acetic Acid Water

Identifiers & Packaging

Marketing Status
ANDA Active Since 2003-03-17

Description

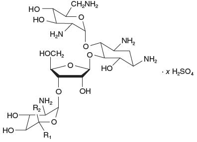
Neomycin and Polymyxin B Sulfates and Hydrocortisone OTIC Suspension, USP is a sterile antibacterial and anti-inflammatory suspension for otic use. Each mL contains: neomycin sulfate equivalent to 3.5 mg neomycin base, polymyxin B sulfate equivalent to 10,000 polymyxin B units, and hydrocortisone 10 mg (1%). The vehicle contains thimerosal 0.01% (added as a preservative) and the inactive ingredients cetyl alcohol, propylene glycol, polysorbate 80, glacial acetic acid and Water for Injection. Neomycin sulfate is the sulfate salt of neomycin B and C, which are produced by the growth of Streptomyces fradiae Waksman (Fam. Streptomycetaceae). It has a potency equivalent of not less than 600 mcg of neomycin standard per mg, calculated on an anhydrous basis. The structural formula are: Neomycin B (R 1 =H, R 2 =CH 2 NH 2 ) Neomycin C (R 1 =CH 2 NH 2 , R 2 =H) Polymyxin B sulfate is the sulfate salt of polymyxin B 1 and B 2 , which are produced by the growth of Bacillus polymyxa (Prazmowski) Migula (Fam. Bacillaceae). It has a potency of not less than 6,000 polymyxin B units per mg, calculated on an anhydrous basis. The structural formula are: Hydrocortisone, 11β,17, 21-trihydroxypregn-4-ene-3, 20-dione, is an anti-inflammatory hormone. Its structural formula is:

Indications and Usage

For the treatment of superficial bacterial infections of the external auditory canal caused by organisms susceptible to the action of the antibiotics, and for the treatment of infections of mastoidectomy and fenestration cavities caused by organisms susceptible to the antibiotics.

Dosage and Administration

Therapy with this product should be limited to 10 consecutive days. The external auditory canal should be thoroughly cleansed and dried with a sterile cotton applicator. For adults, 4 drops of the suspension should be instilled into the affected ear 3 or 4 times daily. For children, 3 drops are suggested because of the smaller capacity of the ear canal. The patient should lie with the affected ear upward and then the drops should be instilled. This position should be maintained for 5 minutes to facilitate penetration of the drops into the ear canal. Repeat, if necessary, for the opposite ear. If preferred, a cotton wick may be inserted into the canal and then the cotton may be saturated with the suspension. This wick should be kept moist by adding further suspension every 4 hours. The wick should be replaced at least once every 24 hours. SHAKE WELL BEFORE USING.

Contraindications

This product is contraindicated in those individuals who have shown hypersensitivity to any of its components, and in herpes simplex, vaccinia, and varicella infections.

Adverse Reactions

Neomycin occasionally causes skin sensitization. Ototoxicity and nephrotoxicity have also been reported [see Warnings ]. Adverse reactions have occurred with topical use of antibiotic combinations including neomycin and polymyxin B. Exact incidence figures are not available since no denominator of treated patients is available. The reaction occurring most often is allergic sensitization. In one clinical study, using a 20% neomycin patch, neomycin-induced allergic skin reactions occurred in two of 2,175 (0.09%) individuals in the general population. 2 In another study, the incidence was found to be approximately 1%. 3 The following local adverse reactions have been reported with topical corticosteroids, especially under occlusive dressings: burning, itching, irritation, dryness, folliculitis, hypertrichosis, acneiform eruptions, hypopigmentation, perioral dermatitis, allergic contact dermatitis, maceration of the skin, secondary infection, skin atrophy, striae, and miliaria. Stinging and burning have been reported rarely when this product has gained access to the middle ear. To report SUSPECTED ADVERSE REACTIONS, contact Sandoz Inc. at 1-800-525-8747 or FDA at 1-800-FDA-1088 or www.fda.gov/medwatch.

How Supplied

Product: 50090-2365 NDC: 50090-2365-0 10 mL in a BOTTLE, PLASTIC


Medication Information

Indications and Usage

For the treatment of superficial bacterial infections of the external auditory canal caused by organisms susceptible to the action of the antibiotics, and for the treatment of infections of mastoidectomy and fenestration cavities caused by organisms susceptible to the antibiotics.

Dosage and Administration

Therapy with this product should be limited to 10 consecutive days.

The external auditory canal should be thoroughly cleansed and dried with a sterile cotton applicator.

For adults, 4 drops of the suspension should be instilled into the affected ear 3 or 4 times daily.

For children, 3 drops are suggested because of the smaller capacity of the ear canal.

The patient should lie with the affected ear upward and then the drops should be instilled. This position should be maintained for 5 minutes to facilitate penetration of the drops into the ear canal. Repeat, if necessary, for the opposite ear. If preferred, a cotton wick may be inserted into the canal and then the cotton may be saturated with the suspension. This wick should be kept moist by adding further suspension every 4 hours. The wick should be replaced at least once every 24 hours.

SHAKE WELL BEFORE USING.

Contraindications

This product is contraindicated in those individuals who have shown hypersensitivity to any of its components, and in herpes simplex, vaccinia, and varicella infections.

Adverse Reactions

Neomycin occasionally causes skin sensitization. Ototoxicity and nephrotoxicity have also been reported [see Warnings ]. Adverse reactions have occurred with topical use of antibiotic combinations including neomycin and polymyxin B. Exact incidence figures are not available since no denominator of treated patients is available. The reaction occurring most often is allergic sensitization. In one clinical study, using a 20% neomycin patch, neomycin-induced allergic skin reactions occurred in two of 2,175 (0.09%) individuals in the general population.2 In another study, the incidence was found to be approximately 1%.3

The following local adverse reactions have been reported with topical corticosteroids, especially under occlusive dressings: burning, itching, irritation, dryness, folliculitis, hypertrichosis, acneiform eruptions, hypopigmentation, perioral dermatitis, allergic contact dermatitis, maceration of the skin, secondary infection, skin atrophy, striae, and miliaria. Stinging and burning have been reported rarely when this product has gained access to the middle ear.

To report SUSPECTED ADVERSE REACTIONS, contact Sandoz Inc. at 1-800-525-8747 or FDA at 1-800-FDA-1088 or www.fda.gov/medwatch.

How Supplied

Product: 50090-2365

NDC: 50090-2365-0 10 mL in a BOTTLE, PLASTIC

Description

Neomycin and Polymyxin B Sulfates and Hydrocortisone OTIC Suspension, USP is a sterile antibacterial and anti-inflammatory suspension for otic use. Each mL contains: neomycin sulfate equivalent to 3.5 mg neomycin base, polymyxin B sulfate equivalent to 10,000 polymyxin B units, and hydrocortisone 10 mg (1%). The vehicle contains thimerosal 0.01% (added as a preservative) and the inactive ingredients cetyl alcohol, propylene glycol, polysorbate 80, glacial acetic acid and Water for Injection.

Neomycin sulfate is the sulfate salt of neomycin B and C, which are produced by the growth of Streptomyces fradiae Waksman (Fam. Streptomycetaceae). It has a potency equivalent of not less than 600 mcg of neomycin standard per mg, calculated on an anhydrous basis. The structural formula are:

Neomycin B (R1=H, R2=CH2NH2)

Neomycin C (R1=CH2NH2, R2=H)

Polymyxin B sulfate is the sulfate salt of polymyxin B1 and B2, which are produced by the growth of Bacillus polymyxa (Prazmowski) Migula (Fam. Bacillaceae). It has a potency of not less than 6,000 polymyxin B units per mg, calculated on an anhydrous basis. The structural formula are:

Hydrocortisone, 11β,17, 21-trihydroxypregn-4-ene-3, 20-dione, is an anti-inflammatory hormone. Its structural formula is:

Section 42229-5

Manufactured by

Alcon Laboratories, Inc.

Fort Worth, Texas 76134 for

Sandoz Inc.

Princeton, NJ 08540

Revised: August 2021

300049860-0821

General

As with other antibiotic preparations, prolonged use may result in overgrowth of nonsusceptible organisms, including fungi.

If the infection is not improved after 1 week, cultures and susceptibility tests should be repeated to verify the identity of the organism and to determine whether therapy should be changed.

Treatment should not be continued for longer than 10 days.

Allergic cross-reactions may occur which could prevent the use of any or all of the following antibiotics for the treatment of future infections: kanamycin, paromomycin, streptomycin, and possibly gentamicin.

Warnings

Neomycin can induce permanent sensorineural hearing loss due to cochlear damage, mainly destruction of hair cells in the organ of Corti. The risk is greater with prolonged use. Therapy should be limited to 10 consecutive days [see Precautions-General ]. Patients being treated with eardrops containing neomycin should be under close clinical observation. Neomycin and Polymyxin B Sulfates and Hydrocortisone OTIC Suspension should not be used in any patient with a perforated tympanic membrane.

Discontinue promptly if sensitization or irritation occurs.

Neomycin sulfate may cause cutaneous sensitization. A precise incidence of hypersensitivity reactions (primarily skin rash) due to topical neomycin is not known.

When using neomycin-containing products to control secondary infection in the chronic dermatoses, such as chronic otitis externa or stasis dermatitis, it should be borne in mind that the skin in these conditions is more liable than is normal skin to become sensitized to many substances, including neomycin. The manifestation of sensitization to neomycin is usually a low-grade reddening with swelling, dry scaling, and itching; it may be manifest simply as a failure to heal. Periodic examination for such signs is advisable, and the patient should be told to discontinue the product if they are observed. These symptoms regress quickly on withdrawing the medication. Neomycin-containing applications should be avoided for the patient thereafter.

Pregnancy

Teratogenic Effects

Pregnancy Category C. Corticosteroids have been shown to be teratogenic in rabbits when applied topically at concentrations of 0.5% on days 6 to 18 of gestation and in mice when applied topically at a concentration of 15% on days 10 to 13 of gestation. There are no adequate and well-controlled studies in pregnant women. Corticosteroids should be used during pregnancy only if the potential benefit justifies the potential risk to the fetus.

References

1. Jones RN, Milazzo J, Seidlin M. Ofloxacin Otic Solution for Treatment of Otitis Externa in Children and Adults. Arch Otolaryngol Head Neck Surgery 1997;123:1193-1200.

2. Leyden JJ, Kligman AM. Contact dermatitis to neomycin sulfate. JAMA. 1979;242:1276-1278.

3. Prystowsky SD, Allen AM, Smith RW, Nonomura JH, Odom RB, Akers WA. Allergic contact hypersensitivity to nickel, neomycin, ethylenediamine, and benzocaine: relationships between age, sex, history of exposure, and reactivity to standard patch and use tests in a general population. Arch Dermatol. 1979;115:959-962.

Geriatric Use

Clinical studies of Neomycin and Polymyxin B Sulfates and Hydrocortisone OTIC Suspension did not include sufficient numbers of subjects aged 65 and over to determine whether they respond differently from younger subjects. Other reported clinical experience has not identified differences in responses between the elderly and younger patients.

Pediatric Use

The safety and effectiveness of Neomycin and Polymyxin B Sulfates and Hydrocortisone OTIC Suspension in otitis externa have been established in the pediatric age group 2 years to 16 years of age. There is inadequate data to establish safety and effectiveness in otitis externa for pediatric patients under 2 years of age.1

Nursing Mothers

Hydrocortisone appears in human milk following oral administration of the drug. Since systemic absorption of hydrocortisone may occur when applied topically, caution should be exercised when Neomycin and Polymyxin B Sulfates and Hydrocortisone OTIC Suspension is used by a nursing woman.

Laboratory Tests

Systemic effects of excessive levels of hydrocortisone may include a reduction in the number of circulating eosinophils and a decrease in urinary excretion of 17-hydroxycorticosteroids.

Clinical Pharmacology

Corticoids suppress the inflammatory response to a variety of agents and they may delay healing. Since corticoids may inhibit the body's defense mechanism against infection, a concomitant antimicrobial drug may be used when this inhibition is considered to be clinically significant in a particular case.

The anti-infective components in the combination are included to provide action against specific organisms susceptible to them. Neomycin sulfate and polymyxin B sulfate together are considered active against the following microorganisms: Staphylococcus aureus, Escherichia coli, Haemophilus influenzae, Klebsiella-Enterobacter species, Neisseria species, and Pseudomonas aeruginosa. This product does not provide adequate coverage against Serratia marcescens and streptococci, including Streptococcus pneumoniae.

The relative potency of corticosteroids depends on the molecular structure, concentration, and release from the vehicle.

Information for Patients

Avoid contaminating the bottle tip with material from the ear, fingers, or other source. This caution is necessary if the sterility of the drops is to be preserved.

If sensitization or irritation occurs, discontinue use immediately and contact your physician.

Do not use in the eyes.

SHAKE WELL BEFORE USING.

Carcinogenesis, Mutagenesis, Impairment of Fertility

Long-term studies in animals (rats, rabbits, mice) showed no evidence of carcinogenicity attributable to oral administration of corticosteroids.

Neomycin Sulfate, Polymyxin B Sulfate and Hydrocortisone

Structured Label Content

Section 42229-5 (42229-5)

Manufactured by

Alcon Laboratories, Inc.

Fort Worth, Texas 76134 for

Sandoz Inc.

Princeton, NJ 08540

Revised: August 2021

300049860-0821

General

As with other antibiotic preparations, prolonged use may result in overgrowth of nonsusceptible organisms, including fungi.

If the infection is not improved after 1 week, cultures and susceptibility tests should be repeated to verify the identity of the organism and to determine whether therapy should be changed.

Treatment should not be continued for longer than 10 days.

Allergic cross-reactions may occur which could prevent the use of any or all of the following antibiotics for the treatment of future infections: kanamycin, paromomycin, streptomycin, and possibly gentamicin.

Warnings (WARNINGS)

Neomycin can induce permanent sensorineural hearing loss due to cochlear damage, mainly destruction of hair cells in the organ of Corti. The risk is greater with prolonged use. Therapy should be limited to 10 consecutive days [see Precautions-General ]. Patients being treated with eardrops containing neomycin should be under close clinical observation. Neomycin and Polymyxin B Sulfates and Hydrocortisone OTIC Suspension should not be used in any patient with a perforated tympanic membrane.

Discontinue promptly if sensitization or irritation occurs.

Neomycin sulfate may cause cutaneous sensitization. A precise incidence of hypersensitivity reactions (primarily skin rash) due to topical neomycin is not known.

When using neomycin-containing products to control secondary infection in the chronic dermatoses, such as chronic otitis externa or stasis dermatitis, it should be borne in mind that the skin in these conditions is more liable than is normal skin to become sensitized to many substances, including neomycin. The manifestation of sensitization to neomycin is usually a low-grade reddening with swelling, dry scaling, and itching; it may be manifest simply as a failure to heal. Periodic examination for such signs is advisable, and the patient should be told to discontinue the product if they are observed. These symptoms regress quickly on withdrawing the medication. Neomycin-containing applications should be avoided for the patient thereafter.

Pregnancy

Teratogenic Effects

Pregnancy Category C. Corticosteroids have been shown to be teratogenic in rabbits when applied topically at concentrations of 0.5% on days 6 to 18 of gestation and in mice when applied topically at a concentration of 15% on days 10 to 13 of gestation. There are no adequate and well-controlled studies in pregnant women. Corticosteroids should be used during pregnancy only if the potential benefit justifies the potential risk to the fetus.

References (REFERENCES)

1. Jones RN, Milazzo J, Seidlin M. Ofloxacin Otic Solution for Treatment of Otitis Externa in Children and Adults. Arch Otolaryngol Head Neck Surgery 1997;123:1193-1200.

2. Leyden JJ, Kligman AM. Contact dermatitis to neomycin sulfate. JAMA. 1979;242:1276-1278.

3. Prystowsky SD, Allen AM, Smith RW, Nonomura JH, Odom RB, Akers WA. Allergic contact hypersensitivity to nickel, neomycin, ethylenediamine, and benzocaine: relationships between age, sex, history of exposure, and reactivity to standard patch and use tests in a general population. Arch Dermatol. 1979;115:959-962.

Description (DESCRIPTION)

Neomycin and Polymyxin B Sulfates and Hydrocortisone OTIC Suspension, USP is a sterile antibacterial and anti-inflammatory suspension for otic use. Each mL contains: neomycin sulfate equivalent to 3.5 mg neomycin base, polymyxin B sulfate equivalent to 10,000 polymyxin B units, and hydrocortisone 10 mg (1%). The vehicle contains thimerosal 0.01% (added as a preservative) and the inactive ingredients cetyl alcohol, propylene glycol, polysorbate 80, glacial acetic acid and Water for Injection.

Neomycin sulfate is the sulfate salt of neomycin B and C, which are produced by the growth of Streptomyces fradiae Waksman (Fam. Streptomycetaceae). It has a potency equivalent of not less than 600 mcg of neomycin standard per mg, calculated on an anhydrous basis. The structural formula are:

Neomycin B (R1=H, R2=CH2NH2)

Neomycin C (R1=CH2NH2, R2=H)

Polymyxin B sulfate is the sulfate salt of polymyxin B1 and B2, which are produced by the growth of Bacillus polymyxa (Prazmowski) Migula (Fam. Bacillaceae). It has a potency of not less than 6,000 polymyxin B units per mg, calculated on an anhydrous basis. The structural formula are:

Hydrocortisone, 11β,17, 21-trihydroxypregn-4-ene-3, 20-dione, is an anti-inflammatory hormone. Its structural formula is:

How Supplied

Product: 50090-2365

NDC: 50090-2365-0 10 mL in a BOTTLE, PLASTIC

Geriatric Use

Clinical studies of Neomycin and Polymyxin B Sulfates and Hydrocortisone OTIC Suspension did not include sufficient numbers of subjects aged 65 and over to determine whether they respond differently from younger subjects. Other reported clinical experience has not identified differences in responses between the elderly and younger patients.

Pediatric Use

The safety and effectiveness of Neomycin and Polymyxin B Sulfates and Hydrocortisone OTIC Suspension in otitis externa have been established in the pediatric age group 2 years to 16 years of age. There is inadequate data to establish safety and effectiveness in otitis externa for pediatric patients under 2 years of age.1

Nursing Mothers

Hydrocortisone appears in human milk following oral administration of the drug. Since systemic absorption of hydrocortisone may occur when applied topically, caution should be exercised when Neomycin and Polymyxin B Sulfates and Hydrocortisone OTIC Suspension is used by a nursing woman.

Laboratory Tests

Systemic effects of excessive levels of hydrocortisone may include a reduction in the number of circulating eosinophils and a decrease in urinary excretion of 17-hydroxycorticosteroids.

Adverse Reactions (ADVERSE REACTIONS)

Neomycin occasionally causes skin sensitization. Ototoxicity and nephrotoxicity have also been reported [see Warnings ]. Adverse reactions have occurred with topical use of antibiotic combinations including neomycin and polymyxin B. Exact incidence figures are not available since no denominator of treated patients is available. The reaction occurring most often is allergic sensitization. In one clinical study, using a 20% neomycin patch, neomycin-induced allergic skin reactions occurred in two of 2,175 (0.09%) individuals in the general population.2 In another study, the incidence was found to be approximately 1%.3

The following local adverse reactions have been reported with topical corticosteroids, especially under occlusive dressings: burning, itching, irritation, dryness, folliculitis, hypertrichosis, acneiform eruptions, hypopigmentation, perioral dermatitis, allergic contact dermatitis, maceration of the skin, secondary infection, skin atrophy, striae, and miliaria. Stinging and burning have been reported rarely when this product has gained access to the middle ear.

To report SUSPECTED ADVERSE REACTIONS, contact Sandoz Inc. at 1-800-525-8747 or FDA at 1-800-FDA-1088 or www.fda.gov/medwatch.

Contraindications (CONTRAINDICATIONS)

This product is contraindicated in those individuals who have shown hypersensitivity to any of its components, and in herpes simplex, vaccinia, and varicella infections.

Clinical Pharmacology (CLINICAL PHARMACOLOGY)

Corticoids suppress the inflammatory response to a variety of agents and they may delay healing. Since corticoids may inhibit the body's defense mechanism against infection, a concomitant antimicrobial drug may be used when this inhibition is considered to be clinically significant in a particular case.

The anti-infective components in the combination are included to provide action against specific organisms susceptible to them. Neomycin sulfate and polymyxin B sulfate together are considered active against the following microorganisms: Staphylococcus aureus, Escherichia coli, Haemophilus influenzae, Klebsiella-Enterobacter species, Neisseria species, and Pseudomonas aeruginosa. This product does not provide adequate coverage against Serratia marcescens and streptococci, including Streptococcus pneumoniae.

The relative potency of corticosteroids depends on the molecular structure, concentration, and release from the vehicle.

Indications and Usage (INDICATIONS AND USAGE)

For the treatment of superficial bacterial infections of the external auditory canal caused by organisms susceptible to the action of the antibiotics, and for the treatment of infections of mastoidectomy and fenestration cavities caused by organisms susceptible to the antibiotics.

Information for Patients

Avoid contaminating the bottle tip with material from the ear, fingers, or other source. This caution is necessary if the sterility of the drops is to be preserved.

If sensitization or irritation occurs, discontinue use immediately and contact your physician.

Do not use in the eyes.

SHAKE WELL BEFORE USING.

Dosage and Administration (DOSAGE AND ADMINISTRATION)

Therapy with this product should be limited to 10 consecutive days.

The external auditory canal should be thoroughly cleansed and dried with a sterile cotton applicator.

For adults, 4 drops of the suspension should be instilled into the affected ear 3 or 4 times daily.

For children, 3 drops are suggested because of the smaller capacity of the ear canal.

The patient should lie with the affected ear upward and then the drops should be instilled. This position should be maintained for 5 minutes to facilitate penetration of the drops into the ear canal. Repeat, if necessary, for the opposite ear. If preferred, a cotton wick may be inserted into the canal and then the cotton may be saturated with the suspension. This wick should be kept moist by adding further suspension every 4 hours. The wick should be replaced at least once every 24 hours.

SHAKE WELL BEFORE USING.

Carcinogenesis, Mutagenesis, Impairment of Fertility

Long-term studies in animals (rats, rabbits, mice) showed no evidence of carcinogenicity attributable to oral administration of corticosteroids.

Neomycin Sulfate, Polymyxin B Sulfate and Hydrocortisone (neomycin sulfate, polymyxin b sulfate and hydrocortisone)

Advanced Ingredient Data


Raw Label Data

All Sections (JSON)