Nystatin Cream Usp

Nystatin Cream Usp
SPL v105
SPL
SPL Set ID 840eebe8-5de2-40c5-acfd-03a98b2e790e
Route
TOPICAL
Published
Effective Date 2024-04-30
Document Type 34391-3 HUMAN PRESCRIPTION DRUG LABEL

Drug Facts

Composition & Product

Active Ingredients
Nystatin (100000 [USP'U])
Inactive Ingredients
Glycerin Isopropyl Myristate Lactic Acid, Unspecified Form Water Sodium Hydroxide Sorbic Acid

Identifiers & Packaging

Marketing Status
ANDA Active Since 2006-09-21

Description

For Dermatologic Use Only Not For Ophthalmic Use Rx Only

Indications and Usage

Nystatin Cream USP is indicated in the treatment of cutaneous or mucocutaneous mycotic infections caused by Candida albicans and other susceptible Candida species. Nystatin Cream USP is not indicated for systemic, oral, intravaginal or ophthalmic use.

Dosage and Administration

Very moist lesions are best treated with nystatin topical dusting powder.

Contraindications

Nystatin Cream USP is contraindicated in patients with a history of hypersensitivity to any of its components.

Adverse Reactions

The frequency of adverse events reported in patients using Nystatin Cream USP is less than 0.1%. The more common events that were reported include allergic reactions, burning, itching, rash, eczema, and pain on application (see PRECAUTIONS-General ).

How Supplied

Nystatin Cream USP (100,000 USP Nystatin Units per gram) is a yellow cream available as follows: 15 g tube (NDC 63629-8694-1) Storage Store at 20-25°C (68-77°F) [see USP Controlled Room Temperature]. Repackaged/Relabeled by: Bryant Ranch Prepack, Inc. Burbank, CA 91504


Medication Information

Indications and Usage

Nystatin Cream USP is indicated in the treatment of cutaneous or mucocutaneous mycotic infections caused by Candida albicans and other susceptible Candida species.

Nystatin Cream USP is not indicated for systemic, oral, intravaginal or ophthalmic use.

Dosage and Administration

Very moist lesions are best treated with nystatin topical dusting powder.

Contraindications

Nystatin Cream USP is contraindicated in patients with a history of hypersensitivity to any of its components.

Adverse Reactions

The frequency of adverse events reported in patients using Nystatin Cream USP is less than 0.1%. The more common events that were reported include allergic reactions, burning, itching, rash, eczema, and pain on application (see PRECAUTIONS-General).

How Supplied

Nystatin Cream USP (100,000 USP Nystatin Units per gram) is a yellow cream available as follows:

15 g tube (NDC 63629-8694-1)

Storage

Store at 20-25°C (68-77°F) [see USP Controlled Room Temperature].

Repackaged/Relabeled by:

Bryant Ranch Prepack, Inc.

Burbank, CA 91504

Description

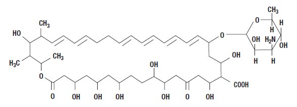
Nystatin is a polyene antifungal antibiotic obtained from Streptomyces noursei. The molecular formula is C47H75NO17, and the molecular weight is 926.13.

Structural formula:

Nystatin Cream USP is for dermatologic use.

Nystatin Cream USP for topical use, contains 100,000 USP nystatin units per gram. Inactive ingredients: emulsifying wax, glycerin, isopropyl myristate, lactic acid, purified water, sodium hydroxide, and sorbic acid.

Section 42229-5

For Dermatologic Use Only

Not For Ophthalmic Use

Rx Only

Section 51945-4

Nystatin Cream USP (100,000 USP Nystatin Units)

General

Nystatin Cream USP should not be used for the treatment of systemic, oral, intravaginal or ophthalmic infections.

If irritation or sensitization develops, treatment should be discontinued and appropriate measures taken as indicated. It is recommended that KOH smears, cultures, or other diagnostic methods be used to confirm the diagnosis of cutaneous or mucocutaneous candidiasis and to rule out infection caused by other pathogens.

Microbiology

Nystatin is an antibiotic which is both fungistatic and fungicidal in vitro against a wide variety of yeasts and yeast-like fungi, including Candida albicans, C. parapsilosis, C. tropicalis, C. guilliermondi, C. pseudotropicalis, C. krusei, Torulopsis glabrata, Tricophyton rubrum, T. mentagrophytes.

Nystatin acts by binding to sterols in the cell membrane of susceptible species resulting in a change in membrane permeability and the subsequent leakage of intracellular components. On repeated subculturing with increasing levels of nystatin, Candida albicans does not develop resistance to nystatin. Generally, resistance to nystatin does not develop during therapy. However, other species of Candida (C. tropicalis, C. guilliermondi, C. krusei, and C. stellatoides) become quite resistant on treatment with nystatin and simultaneously become cross resistant to amphotericin as well. This resistance is lost when the antibiotic is removed.

Nystatin exhibits no appreciable activity against bacteria, protozoa, or viruses.

Geriatric Use

Clinical studies with nystatin cream did not include sufficient numbers of subjects aged 65 years and older to determine whether they respond differently than younger subjects. Other reported clinical experience has not identified differences in responses between elderly and younger patients, but greater sensitivity of some older individuals cannot be ruled out.

Pediatric Use

Safety and effectiveness have been established in the pediatric population from birth to 16 years (see DOSAGE AND ADMINISTRATION).

Pharmacokinetics

Nystatin Cream USP is not absorbed from intact skin or mucous membrane.

Nursing Mothers

It is not known whether Nystatin is excreted in human milk. Caution should be exercised when nystatin is prescribed for a nursing woman.

Laboratory Tests

If there is a lack of therapeutic response, KOH smears, cultures, or other diagnostic methods should be repeated.

Information for Patients

Patients using this medication should receive the following information and instructions:

1. The patient should be instructed to use this medication as directed (including the replacement of missed doses). This medication is not for any disorder other than that for which it is prescribed.

2. Even if symptomatic relief occurs within the first few days of treatment, the patient should be advised not to interrupt or discontinue therapy until the prescribed course of treatment is completed.

3. If symptoms of irritation develop, the patient should be advised to notify the physician promptly.

Pregnancy: Teratogenic Effects: Category C

Animal reproduction studies have not been conducted with any Nystatin topical preparation. It also is not known whether these preparations can cause fetal harm when used by a pregnant woman or can affect reproductive capacity. Nystatin topical preparations should be prescribed for a pregnant woman only if the potential benefit to the mother outweighs the potential risk to the fetus.

Adults and Pediatric Patients (neonates and Older):

Apply liberally to affected areas twice daily or as indicated until healing is complete.

Carcinogenesis, Mutagenesis, Impairment of Fertility

No long-term animal studies have been performed to evaluate the carcinogenic potential of Nystatin. No studies have been performed to determine the mutagenicity of Nystatin or its effects on male or female fertility.


Structured Label Content

Section 42229-5 (42229-5)

For Dermatologic Use Only

Not For Ophthalmic Use

Rx Only

Section 51945-4 (51945-4)

Nystatin Cream USP (100,000 USP Nystatin Units)

General (General -)

Nystatin Cream USP should not be used for the treatment of systemic, oral, intravaginal or ophthalmic infections.

If irritation or sensitization develops, treatment should be discontinued and appropriate measures taken as indicated. It is recommended that KOH smears, cultures, or other diagnostic methods be used to confirm the diagnosis of cutaneous or mucocutaneous candidiasis and to rule out infection caused by other pathogens.

Description (DESCRIPTION)

Nystatin is a polyene antifungal antibiotic obtained from Streptomyces noursei. The molecular formula is C47H75NO17, and the molecular weight is 926.13.

Structural formula:

Nystatin Cream USP is for dermatologic use.

Nystatin Cream USP for topical use, contains 100,000 USP nystatin units per gram. Inactive ingredients: emulsifying wax, glycerin, isopropyl myristate, lactic acid, purified water, sodium hydroxide, and sorbic acid.

How Supplied (HOW SUPPLIED)

Nystatin Cream USP (100,000 USP Nystatin Units per gram) is a yellow cream available as follows:

15 g tube (NDC 63629-8694-1)

Storage

Store at 20-25°C (68-77°F) [see USP Controlled Room Temperature].

Repackaged/Relabeled by:

Bryant Ranch Prepack, Inc.

Burbank, CA 91504

Microbiology

Nystatin is an antibiotic which is both fungistatic and fungicidal in vitro against a wide variety of yeasts and yeast-like fungi, including Candida albicans, C. parapsilosis, C. tropicalis, C. guilliermondi, C. pseudotropicalis, C. krusei, Torulopsis glabrata, Tricophyton rubrum, T. mentagrophytes.

Nystatin acts by binding to sterols in the cell membrane of susceptible species resulting in a change in membrane permeability and the subsequent leakage of intracellular components. On repeated subculturing with increasing levels of nystatin, Candida albicans does not develop resistance to nystatin. Generally, resistance to nystatin does not develop during therapy. However, other species of Candida (C. tropicalis, C. guilliermondi, C. krusei, and C. stellatoides) become quite resistant on treatment with nystatin and simultaneously become cross resistant to amphotericin as well. This resistance is lost when the antibiotic is removed.

Nystatin exhibits no appreciable activity against bacteria, protozoa, or viruses.

Geriatric Use (Geriatric Use -)

Clinical studies with nystatin cream did not include sufficient numbers of subjects aged 65 years and older to determine whether they respond differently than younger subjects. Other reported clinical experience has not identified differences in responses between elderly and younger patients, but greater sensitivity of some older individuals cannot be ruled out.

Pediatric Use (Pediatric Use -)

Safety and effectiveness have been established in the pediatric population from birth to 16 years (see DOSAGE AND ADMINISTRATION).

Pharmacokinetics

Nystatin Cream USP is not absorbed from intact skin or mucous membrane.

Adverse Reactions (ADVERSE REACTIONS)

The frequency of adverse events reported in patients using Nystatin Cream USP is less than 0.1%. The more common events that were reported include allergic reactions, burning, itching, rash, eczema, and pain on application (see PRECAUTIONS-General).

Contraindications (CONTRAINDICATIONS)

Nystatin Cream USP is contraindicated in patients with a history of hypersensitivity to any of its components.

Nursing Mothers (Nursing Mothers -)

It is not known whether Nystatin is excreted in human milk. Caution should be exercised when nystatin is prescribed for a nursing woman.

Laboratory Tests (Laboratory Tests -)

If there is a lack of therapeutic response, KOH smears, cultures, or other diagnostic methods should be repeated.

Indications and Usage (INDICATIONS AND USAGE)

Nystatin Cream USP is indicated in the treatment of cutaneous or mucocutaneous mycotic infections caused by Candida albicans and other susceptible Candida species.

Nystatin Cream USP is not indicated for systemic, oral, intravaginal or ophthalmic use.

Dosage and Administration (DOSAGE AND ADMINISTRATION)

Very moist lesions are best treated with nystatin topical dusting powder.

Information for Patients (Information for Patients -)

Patients using this medication should receive the following information and instructions:

1. The patient should be instructed to use this medication as directed (including the replacement of missed doses). This medication is not for any disorder other than that for which it is prescribed.

2. Even if symptomatic relief occurs within the first few days of treatment, the patient should be advised not to interrupt or discontinue therapy until the prescribed course of treatment is completed.

3. If symptoms of irritation develop, the patient should be advised to notify the physician promptly.

Pregnancy: Teratogenic Effects: Category C (Pregnancy: Teratogenic Effects: Category C -)

Animal reproduction studies have not been conducted with any Nystatin topical preparation. It also is not known whether these preparations can cause fetal harm when used by a pregnant woman or can affect reproductive capacity. Nystatin topical preparations should be prescribed for a pregnant woman only if the potential benefit to the mother outweighs the potential risk to the fetus.

Adults and Pediatric Patients (neonates and Older): (Adults and Pediatric Patients (Neonates and Older):)

Apply liberally to affected areas twice daily or as indicated until healing is complete.

Carcinogenesis, Mutagenesis, Impairment of Fertility (Carcinogenesis, Mutagenesis, Impairment of Fertility -)

No long-term animal studies have been performed to evaluate the carcinogenic potential of Nystatin. No studies have been performed to determine the mutagenicity of Nystatin or its effects on male or female fertility.


Advanced Ingredient Data


Raw Label Data

All Sections (JSON)