Vancomycin Hydrochloride For Injection Usp

Vancomycin Hydrochloride For Injection Usp
SPL v3
SPL
SPL Set ID 83ea3faf-fedd-4725-911f-d71a23ec5d5e
Route
INTRAVENOUS
Published
Effective Date 2015-10-27
Document Type 34391-3 HUMAN PRESCRIPTION DRUG LABEL

Drug Facts

Composition & Product

Active Ingredients
Vancomycin (1 g)

Identifiers & Packaging

Marketing Status
ANDA Active Since 2000-09-20

Description

Rx only To reduce the development of drug-resistant bacteria and maintain the effectiveness of Vancomycin Hydrochloride for Injection, USP and other antibacterial drugs, Vancomycin Hydrochloride for Injection, USP should be used only to treat or prevent infections that are proven or strongly suspected to be caused by bacteria.

Indications and Usage

To reduce the development of drug-resistant bacteria and maintain the effectiveness of Vancomycin Hydrochloride for Injection, USP and other antibacterial drugs, vancomycin should be used only to treat or prevent infections that are proven or strongly suspected to be caused by susceptible bacteria.  When culture and susceptibility information are available, they should be considered in selecting or modifying antibacterial therapy.  In the absence of such data, local epidemiology and susceptibility patterns may contribute to the empiric selection of therapy. Vancomycin Hydrochloride for Injection, USP is indicated for the treatment of serious or severe infections caused by susceptible strains of methicillin-resistant (β-lactam-resistant) staphylococci.  It is indicated for penicillin-allergic patients, for patients who cannot receive or who have failed to respond to other drugs, including the penicillins or cephalosporins, and for infections caused by vancomycin-susceptible organisms that are resistant to other antimicrobial drugs.  Vancomycin is indicated for initial therapy when methicillin-resistant staphylococci are suspected, but after susceptibility data are available, therapy should be adjusted accordingly. Vancomycin is effective in the treatment of staphylococcal endocarditis.  Its effectiveness has been documented in other infections due to staphylococci, including septicemia, bone infections, lower respiratory tract infections, and skin and skin-structure infections.  When staphylococcal infections are localized and purulent, antibiotics are used as adjuncts to appropriate surgical measures. Vancomycin has been reported to be effective alone or in combination with an aminoglycoside for endocarditis caused by S. viridans or S. bovis.  For endocarditis caused by enterococci (e.g., E. faecalis ) , vancomycin has been reported to be effective only in combination with an aminoglycoside. Vancomycin has been reported to be effective for the treatment of diphtheroid endocarditis.  Vancomycin has been used successfully in combination with either rifampin, an aminoglycoside, or both in early-onset prosthetic valve endocarditis caused by S. epidermidis or diphtheroids. Specimens for bacteriologic cultures should be obtained in order to isolate and identify causative organisms and to determine their susceptibilities to vancomycin. The parenteral form of vancomycin may be administered orally for treatment of antibiotic-associated pseudomembranous colitis produced by C. difficile and for staphylococcal enterocolitis.  Parenteral administration of vancomycin hydrochloride alone is of unproven benefit for these indications. Vancomycin is not effective by the oral route for other types of infection.

Dosage and Administration

Infusion-related events are related to both the concentration and the rate of administration of vancomycin.  Concentrations of no more than 5 mg/mL and rates of no more than 10 mg/min are recommended in adults (see also age-specific recommendations).  In selected patients in need of fluid restriction, a concentration up to 10 mg/mL may be used; use of such higher concentrations may increase the risk of infusion-related events.  Infusion-related events may occur, however, at any rate or concentration.

Contraindications

Vancomycin is contraindicated in patients with known hypersensitivity to this antibiotic.

Drug Interactions

Concomitant administration of vancomycin and anesthetic agents has been associated with erythema and histamine-like flushing (see Pediatric Use ) and anaphylactoid reactions (see ADVERSE REACTIONS ). Concurrent and/or sequential systemic or topical use of other potentially, neurotoxic and/or nephrotoxic drugs, such as amphotericin B, aminoglycosides, bacitracin, polymyxin B, colistin, viomycin, or cisplatin, when indicated requires careful monitoring.

How Supplied

Product No. NDC No. 28421 63323-284-21 Vancomycin Hydrochloride for Injection, USP equivalent to 1 g vancomycin in a 20 mL flip-top vial, in packages of 10. Store at 20° to 25°C (68° to 77°F) [see USP Controlled Room Temperature]. The container closure is not made with natural rubber latex.


Medication Information

Indications and Usage

To reduce the development of drug-resistant bacteria and maintain the effectiveness of Vancomycin Hydrochloride for Injection, USP and other antibacterial drugs, vancomycin should be used only to treat or prevent infections that are proven or strongly suspected to be caused by susceptible bacteria.  When culture and susceptibility information are available, they should be considered in selecting or modifying antibacterial therapy.  In the absence of such data, local epidemiology and susceptibility patterns may contribute to the empiric selection of therapy. Vancomycin Hydrochloride for Injection, USP is indicated for the treatment of serious or severe infections caused by susceptible strains of methicillin-resistant (β-lactam-resistant) staphylococci.  It is indicated for penicillin-allergic patients, for patients who cannot receive or who have failed to respond to other drugs, including the penicillins or cephalosporins, and for infections caused by vancomycin-susceptible organisms that are resistant to other antimicrobial drugs.  Vancomycin is indicated for initial therapy when methicillin-resistant staphylococci are suspected, but after susceptibility data are available, therapy should be adjusted accordingly. Vancomycin is effective in the treatment of staphylococcal endocarditis.  Its effectiveness has been documented in other infections due to staphylococci, including septicemia, bone infections, lower respiratory tract infections, and skin and skin-structure infections.  When staphylococcal infections are localized and purulent, antibiotics are used as adjuncts to appropriate surgical measures. Vancomycin has been reported to be effective alone or in combination with an aminoglycoside for endocarditis caused by S. viridans or S. bovis.  For endocarditis caused by enterococci (e.g., E. faecalis ) , vancomycin has been reported to be effective only in combination with an aminoglycoside. Vancomycin has been reported to be effective for the treatment of diphtheroid endocarditis.  Vancomycin has been used successfully in combination with either rifampin, an aminoglycoside, or both in early-onset prosthetic valve endocarditis caused by S. epidermidis or diphtheroids. Specimens for bacteriologic cultures should be obtained in order to isolate and identify causative organisms and to determine their susceptibilities to vancomycin. The parenteral form of vancomycin may be administered orally for treatment of antibiotic-associated pseudomembranous colitis produced by C. difficile and for staphylococcal enterocolitis.  Parenteral administration of vancomycin hydrochloride alone is of unproven benefit for these indications. Vancomycin is not effective by the oral route for other types of infection.

Dosage and Administration

Infusion-related events are related to both the concentration and the rate of administration of vancomycin.  Concentrations of no more than 5 mg/mL and rates of no more than 10 mg/min are recommended in adults (see also age-specific recommendations).  In selected patients in need of fluid restriction, a concentration up to 10 mg/mL may be used; use of such higher concentrations may increase the risk of infusion-related events.  Infusion-related events may occur, however, at any rate or concentration.

Contraindications

Vancomycin is contraindicated in patients with known hypersensitivity to this antibiotic.

Drug Interactions

Concomitant administration of vancomycin and anesthetic agents has been associated with erythema and histamine-like flushing (see Pediatric Use ) and anaphylactoid reactions (see ADVERSE REACTIONS ).

Concurrent and/or sequential systemic or topical use of other potentially, neurotoxic and/or nephrotoxic drugs, such as amphotericin B, aminoglycosides, bacitracin, polymyxin B, colistin, viomycin, or cisplatin, when indicated requires careful monitoring.

How Supplied

Product No. NDC No. 28421 63323-284-21 Vancomycin Hydrochloride for Injection, USP equivalent to 1 g vancomycin in a 20 mL flip-top vial, in packages of 10. Store at 20° to 25°C (68° to 77°F) [see USP Controlled Room Temperature]. The container closure is not made with natural rubber latex.

Description

Rx only To reduce the development of drug-resistant bacteria and maintain the effectiveness of Vancomycin Hydrochloride for Injection, USP and other antibacterial drugs, Vancomycin Hydrochloride for Injection, USP should be used only to treat or prevent infections that are proven or strongly suspected to be caused by bacteria.

Section 42229-5

Rx only

To reduce the development of drug-resistant bacteria and maintain the effectiveness of Vancomycin Hydrochloride for Injection, USP and other antibacterial drugs, Vancomycin Hydrochloride for Injection, USP should be used only to treat or prevent infections that are proven or strongly suspected to be caused by bacteria.

Section 51945-4

PACKAGE LABEL – PRINCIPAL DISPLAY – Vancomycin Hydrochloride 1 g Vial Label

NDC 63323-284-21

28421

VANCOMYCIN HYDROCHLORIDE FOR INJECTION, USP

equivalent to

1 g per vial

Vancomycin

For Intravenous Use

Rx only

Must be Further Diluted Before Use

General

Prescribing vancomycin in the absence of a proven or strongly suspected bacterial infection or a prophylactic indication is unlikely to provide benefit to the patient and increases the risk of the development of drug-resistant bacteria.

Clinically significant serum concentrations have been reported in some patients being treated for active C. difficile -induced pseudomembranous colitis after multiple oral doses of vancomycin.

Prolonged use of vancomycin may result in the overgrowth of nonsusceptible organisms.  Careful observation of the patient is essential.  If superinfection occurs during therapy, appropriate measures should be taken.  In rare instances, there have been reports of pseudomembranous colitis due to C. difficile developing in patients who received IV vancomycin.

In order to minimize the risk of nephrotoxicity when treating patients with underlying renal dysfunction or patients receiving concomitant therapy with an aminoglycoside, serial monitoring of renal function should be performed and particular care should be taken in following appropriate dosing schedules (see DOSAGE AND ADMINISTRATION ).

Serial tests of auditory function may be helpful in order to minimize the risk of ototoxicity.

Reversible neutropenia has been reported in patients receiving vancomycin (see ADVERSE REACTIONS ).  Patients who will undergo prolonged therapy with vancomycin or those who are receiving concomitant drugs which may cause neutropenia should have periodic monitoring of the leukocyte count. 

Vancomycin is irritating to tissue and must be given by a secure IV route of administration.  Pain, tenderness and necrosis occur with intramuscular (IM) injection of vancomycin or with inadvertent extravasation.  Thrombophlebitis may occur, the frequency and severity of which can be minimized by administering the drug slowly as a dilute solution (2.5 to 5 g/L) and by rotating the sites of infusion.

There have been reports that the frequency of infusion-related events (including hypotension, flushing, erythema, urticaria and pruritus) increases with the concomitant administration of anesthetic agents. Infusion-related events may be minimized by the administration of vancomycin as a 60-minute infusion prior to anesthetic induction.

The safety and efficacy of vancomycin administration by the intraperitoneal and intrathecal (intralumbar or intraventricular) routes have not been assessed.

Although the safety and efficacy of vancomycin by the intraperitoneal route have not been established, reports reveal that the product has been given by this route during peritoneal dialysis.  Administration of vancomycin by the intraperitoneal route during continuous ambulatory peritoneal dialysis has resulted in over 50 reports of chemical peritonitis that developed in some patients within the 12-hour period after administration.  To date, all have been self-limited and ranged from cloudy dialysate alone to severe abdominal pain and fever.  Most cloudy dialysates were sterile and some contained increased numbers of white blood cells and polymorphonuclear cells.  Fluids usually cleared promptly after discontinuation of the vancomycin.

Synergy

The combination of vancomycin and an aminoglycoside acts synergistically in vitro against many strains of Staphylococcus aureus, Streptococcus bovis, enterococci, and the viridans group streptococci.

Vancomycin has been shown to be active against most strains of the following microorganisms, both in vitro and in clinical infections as described in INDICATIONS AND USAGE .

Aerobic gram-positive microorganisms

   Diphtheroids

   Enterococci (e.g., Enterococcus faecalis)

   Staphylococci, including Staphylococcus aureus and Staphylococcus epidermidis (including heterogeneous methicillin-resistant strains)

   Streptococcus bovis

   Viridans group streptococci

The following in vitro data are available, but their clinical significance is unknown.  

Vancomycin exhibits in vitro MICs of 1 mcg/mL or less against most (≥90%) strains of streptococci listed below and MICs of 4 mcg/mL or less against most (≥90%) strains of other listed microorganisms; however, the safety and effectiveness of vancomycin in treating clinical infections due to these microorganisms have not been established in adequate and well-controlled clinical trials.

Aerobic gram-positive microorganisms

   Listeria monocytogenes

   Streptococcus pyogenes

   Streptococcus pneumoniae (including penicillin-resistant strains)

   Streptococcus agalactiae

Anaerobic gram-positive microorganisms

   Actinomyces species

   Lactobacillus species

Phlebitis

Inflammation at the injection site has been reported.

Pregnancy

Teratogenic Effects: Pregnancy Category C

In a controlled clinical study, vancomycin was administered to pregnant women for serious staphylococcal infections that were complications of their IV drug abuse to evaluate potential ototoxic and nephrotoxic effects on the infant.  Vancomycin was found in cord blood.  No sensorineural hearing loss or nephrotoxicity attributable to vancomycin was noted.  One infant experienced conductive hearing loss that was not attributed to the administration of vancomycin.  Because the number of patients treated in this study was limited and vancomycin was administered only in the second and third trimesters, it is not known whether vancomycin causes fetal harm.

Warnings:

Rapid bolus administration (e.g., over several minutes) may be associated with exaggerated hypotension and, rarely, cardiac arrest.

Vancomycin should be administered in a diluted solution over a period of not less than 60 minutes to avoid rapid-infusion-related reactions.  Stopping the infusion usually results in a prompt cessation of these reactions.

Ototoxicity has occurred in patients receiving vancomycin.  It may be transient or permanent.  It has been reported mostly in patients who have been given excessive doses, who have an underlying hearing loss, or who are receiving concomitant therapy with another ototoxic agent such as an aminoglycoside. Vancomycin should be used with caution in patients with renal insufficiency because the risk of toxicity is appreciably increased by high, prolonged blood concentrations.

Dosage of vancomycin must be adjusted for patients with renal dysfunction (see PRECAUTIONS   and DOSAGE AND ADMINISTRATION ).

Clostridium difficile associated diarrhea (CDAD) has been reported with use of nearly all antibacterial agents, including vancomycin, and may range in severity from mild diarrhea to fatal colitis.  Treatment with antibacterial agents alters the normal flora of the colon leading to overgrowth of C. difficile .

C. difficile produces toxins A and B which contribute to the development of CDAD.  Hypertoxin producing strains of C. difficile cause increased morbidity and mortality, as these infections can be refractory to antimicrobial therapy and may require colectomy.  CDAD must be considered in all patients who present with diarrhea following antibiotic use.  Careful medical history is necessary since CDAD has been reported to occur over two months after the administration of antibacterial agents.

If CDAD is suspected or confirmed, ongoing antibiotic use not directed against C. difficile may need to be discontinued.  Appropriate fluid and electrolyte management, protein supplementation, antibiotic treatment of C. difficile , and surgical evaluation should be instituted as clinically indicated.

Geriatrics

The natural decrement of glomerular filtration with increasing age may lead to elevated vancomycin serum concentrations if dosage is not adjusted.  Vancomycin dosage schedules should be adjusted in elderly patients (see DOSAGE AND ADMINISTRATION ).

Overdosage:

Supportive care is advised, with maintenance of glomerular filtration.  Vancomycin is poorly removed by dialysis.  Hemofiltration and hemoperfusion with polysulfone resin have been reported to result in increased vancomycin clearance.  The median lethal intravenous dose is 319 mg/kg in rats and 400 mg/kg in mice.

To obtain up-to-date information about the treatment of overdose, a good resource is your certified Regional Poison Control Center. Telephone numbers of certified poison control centers are listed in the Physicians’ Desk Reference (PDR).  In managing overdosage, consider the possibility of multiple drug overdoses, interaction among drugs and unusual drug kinetics in your patient.

Ototoxicity

A few dozen cases of hearing loss associated with vancomycin have been reported.  Most of these patients had kidney dysfunction or a pre-existing hearing loss or were receiving concomitant treatment with an ototoxic drug.  Vertigo, dizziness, and tinnitus have been reported rarely.

References:
  • National Committee for Clinical Laboratory Standards. Methods for Dilution Antimicrobial Susceptibility Tests for Bacteria that Grow Aerobically — Fourth Edition. Approved Standard NCCLS Document M7-A4, Vol. 17, No. 2, NCCLS, Wayne, PA, January, 1997.
  • National Committee for Clinical Laboratory Standards. Performance Standards for Antimicrobial Disk Susceptibility Tests — Sixth Edition. Approved Standard NCCLS Document M2-A6, Vol. 17, No. 1, NCCLS, Wayne, PA, January, 1997.
  •  Moellering, R.C., Krogstad, D.J., and Greenblatt, D.J.: Vancomycin Therapy in Patients with Impaired Renal Function: A Nomogram for Dosage, Ann. Intern. Med., 94:343, 1981.
Description:

Vancomycin Hydrochloride for Injection, USP is a lyophilized powder, for preparing intravenous (IV) infusions, in vials each containing the equivalent of 1 g vancomycin base. 500 mg of the base are equivalent to 0.34 mmol. When reconstituted with Sterile Water for Injection to a concentration of 50 mg/mL, the pH of the solution is between 2.5 and 4.5.  Vancomycin Hydrochloride for Injection, USP should be administered intravenously in diluted solution (see DOSAGE AND ADMINISTRATION ).   FURTHER DILUTION IS REQUIRED BEFORE USE.

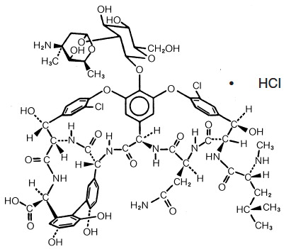
Vancomycin is a tricyclic glycopeptide antibiotic derived from Amycolatopasis orientalis (formerly Nocardia orientalis ).  Vancomycin hydrochloride has the following structural formula:



C 66H 75Cl 2N 9O 24 HCl                                            M.W.  1485.73

Microbiology

The bactericidal action of vancomycin results primarily from inhibition of cell-wall biosynthesis.  In addition, vancomycin alters bacterial-cell-membrane permeability and RNA synthesis.  There is no cross-resistance between vancomycin and other antibiotics. Vancomycin is not active in vitro against gram-negative bacilli, mycobacteria, or fungi.



How Supplied:


Product

No.

NDC

No.

28421

63323-284-21

Vancomycin Hydrochloride for Injection, USP equivalent to 1 g vancomycin in a 20 mL flip-top vial, in packages of 10.

Store at 20° to 25°C (68° to 77°F) [see USP Controlled Room Temperature].

The container closure is not made with natural rubber latex.

Hematopoietic

Reversible neutropenia, usually starting 1 week or more after onset of therapy with vancomycin or after a total dosage of more than 25 g, has been reported for several dozen patients. Neutropenia appears to be promptly reversible when vancomycin is discontinued. Thrombocytopenia has rarely been reported.  Although a causal relationship has not been established, reversible agranulocytosis (granulocytes <500/mm 3) has been reported rarely.

Miscellaneous

Infrequently, patients have been reported to have had anaphylaxis, drug fever, nausea, chills, eosinophilia, rashes including exfoliative dermatitis, Stevens-Johnson syndrome, toxic epidermal necrolysis and vasculitis in association with administration of vancomycin.

Chemical peritonitis has been reported following intraperitoneal administration of vancomycin (see PRECAUTIONS ).

Pediatric Use

In premature neonates and young infants, it may be appropriate to confirm desired vancomycin serum concentrations.  Concomitant administration of vancomycin and anesthetic agents has been associated with erythema and histamine-like flushing in pediatric patients (see ADVERSE REACTIONS ).

Nephrotoxicity

Renal failure, principally manifested by increased serum creatinine or BUN concentrations, especially in patients administered large doses of vancomycin, has been reported rarely. Cases of interstitial nephritis have also been reported rarely.  Most of these have occurred in patients who were given aminoglycosides concomitantly or who had pre-existing kidney dysfunction.  When vancomycin was discontinued, azotemia resolved in most patients.

Nursing Mothers

Vancomycin is excreted in human milk.  Caution should be exercised when vancomycin is administered to a nursing woman.  Because of the potential for adverse events, a decision should be made whether to discontinue nursing or discontinue the drug, taking into account the importance of the drug to the mother.

Gastrointestinal

Onset of pseudomembranous colitis symptoms may occur during or after antibiotic treatment (see WARNINGS ).

Contraindications:

Vancomycin is contraindicated in patients with known hypersensitivity to this antibiotic.

Animal Pharmacology:

In animal studies, hypotension and bradycardia occurred in dogs receiving an intravenous infusion of vancomycin, 25 mg/kg, at a concentration of 25 mg/mL and an infusion rate of 13.3 mL/min.

Susceptibility Tests

Dilution Techniques

Quantitative methods are used to determine antimicrobial minimum inhibitory concentrations (MICs).  These MICs provide estimates of the susceptibility of bacteria to antimicrobial compounds.  The MICs should be determined using a standardized procedure.  Standardized procedures are based on a dilution method 1 (broth or agar) or equivalent with standardized inoculum concentrations and standardized concentrations of vancomycin powder.  The MIC values should be interpreted according to the following criteria:

For testing aerobic microorganisms a other than streptococci:

MIC (mcg/mL) 

Interpretation 

 ≤4

 Susceptible (S)

 8 to 16

 Intermediate (I)

 ≥32

 Resistant (R)

a  A ß-lactamase test using an inoculum ≥ 10 7 CFU/mL (or direct colony growth) and a nitrocefin-based substrate should be performed to detect either ampicillin or penicillin resistance among enterococci due to ß-lactamase production.

For testing streptococci a other than Streptococcus pneumoniae :

  MIC (mcg/mL)

Interpretation 

 ≤1

  Susceptible (S)

  a  Interpretative criteria applicable only to tests performed by broth microdilution method using cation-adjusted Mueller-Hinton broth with 2 to 5% lysed horse blood 1.

The current absence of data on resistant strains precludes defining any categories other than “Susceptible”.

Strains yielding MIC results suggestive of a “nonsusceptible” category should be submitted to a reference laboratory for further testing.

A report of “Susceptible” indicates that the pathogen is likely to be inhibited if the antimicrobial compound in the blood reaches the concentrations usually achievable.  A report of “Intermediate” indicates that the result should be considered equivocal, and, if the microorganism is not fully susceptible to alternative, clinically feasible drugs, the test should be repeated.  This category implies possible clinical applicability in body sites where the drug is physiologically concentrated or in situations where high dosage of drug can be used.  This category also provides a buffer zone which prevents small uncontrolled technical factors from causing major discrepancies in interpretation.  A report of “Resistant” indicates that the pathogen is not likely to be inhibited if the antimicrobial compound in the blood reaches the concentrations usually achievable; other therapy should be selected.  Standardized susceptibility test procedures require the use of laboratory control microorganisms to control the technical aspects of the laboratory procedures.  Standard vancomycin powder should provide the following MIC values:

Microorganism 

 

MIC (mcg/mL)

  Enterococcus faecalis

 ATCC 29212

 1 to 4

  Staphylococcus aureus

 ATCC 29213

 0.5 to 2

  Streptococcus pneumoniae a

 ATCC 49619

 0.12 to 0.5

  a  Interpretative criteria applicable only to tests performed by broth microdilution method using cation-adjusted Mueller-Hinton broth with 2 to 5% lysed horse blood 1.

Diffusion Techniques

Quantitative methods that require measurement of zone diameters also provide reproducible estimates of the susceptibility of bacteria to antimicrobial compounds.  One such standardized procedure 2 requires the use of standardized inoculum concentrations.  This procedure uses paper disks impregnated with 30-mcg vancomycin to test the susceptibility of microorganisms to vancomycin. 

Reports from the laboratory providing results of the standard single-disk susceptibility test with a 30-mcg vancomycin disk should be interpreted according to the following criteria:

For testing aerobic microorganisms other than enterococci and streptococci:

Zone Diameter (mm) 

  Interpretation

 ≥15

 Susceptible (S)

 -

 Intermediate (I)

 -

 Resistant (R)

For testing enterococci a,b:



  Zone Diameter (mm)

  Interpretation

 ≥17

 Susceptible (S)

 15 to 16

 Intermediate (I)

 ≤14

 Resistant (R)

  a  A direct nitrocefin-based ß-lactamase test using direct colony growth should be performed to detect either ampicillin or penicillin resistance among enterococci due to ß-lactamase production.

  b  When testing for enterococci resistance to vancomycin, plates should be held for a full 24 hours and examined using transmitted light.  The presence of a haze or any growth within the zone of inhibition indicates resistance.  Those enterococci with intermediate zones of inhibition should be tested by a standardized procedure based on a dilution method 1 (broth or agar) or equivalent.

For testing streptococci a other than Streptococcus pneumoniae :

  Zone Diameter (mm) 

   Interpretation

 ≥17

 Susceptible (S)

  Interpretative criteria applicable only to tests performed by disk diffusion method using Mueller-Hinton agar with 5% defibrinated sheep blood and incubated in 5% CO 2 2.

The current absence of data on resistant strains precludes defining any categories other than “Susceptible”.  Strains yielding zone diameter results suggestive of a “nonsusceptible” category should be submitted to a reference laboratory for further testing.

Interpretation should be as stated above for results using dilution techniques.  Interpretation involves correlation of the diameter obtained in the disk test with the MIC for vancomycin.

As with standardized dilution techniques, diffusion methods require the use of laboratory control microorganisms that are used to control the technical aspects of the laboratory procedures.  For the diffusion technique, the 30-mcg vancomycin disk should provide the following zone diameters in these laboratory test quality control strains:

Microorganism       Zone Diameter (mm)

  Staphylococcus aureus  ATCC 25923

 17 to 21

  Streptococcus pneumoniae a  ATCC 49619

 20 to 27

a   Interpretative criteria applicable only to tests performed by disk diffusion method using Mueller-Hinton agar with 5% defibrinated sheep blood and incubated in 5% CO 2 2.

Clinical Pharmacology:

Vancomycin is poorly absorbed after oral administration.

In subjects with normal kidney function, multiple IV dosing of 1 g of vancomycin (15 mg/kg) infused over 60 minutes produces mean plasma concentrations of approximately 63 mcg/mL immediately at the completion of infusion, mean plasma concentrations of approximately 23 mcg/mL two hours after infusion, and mean plasma concentrations of approximately 8 mcg/mL 11 hours after the end of the infusion.  Multiple dosing of 500 mg infused over 30 minutes produces mean plasma concentrations of about 49 mcg/mL at the completion of infusion, mean plasma concentrations of about 19 mcg/mL two hours after infusion, and mean plasma concentrations of about 10 mcg/mL six hours after infusion.  The plasma concentrations during multiple dosing are similar to those after a single dose.

The mean elimination half-life of vancomycin from plasma is four to six hours in subjects with normal renal function.  In the first 24 hours, about 75% of an administered dose of vancomycin is excreted in urine by glomerular filtration.  Mean plasma clearance is about 0.058 L/kg/hr, and mean renal clearance is about 0.048 L/kg/hr.  Renal dysfunction slows excretion of vancomycin. In anephric patients, the average half-life of elimination is 7.5 days.  The distribution coefficient is from 0.3 to 0.43 L/kg. There is no apparent metabolism of the drug.  About 60% of an intraperitoneal dose of vancomycin administered during peritoneal dialysis is absorbed systemically in six hours.  Serum concentrations of about 10 mcg/mL are achieved by intraperitoneal injection of 30 mg/kg of vancomycin.  Vancomycin is not effectively removed by either hemodialysis or peritoneal dialysis; there have been no reports of vancomycin clearance with hemoperfusion. 

Total systemic and renal clearance of vancomycin may be reduced in the elderly.

Vancomycin is approximately 55% serum protein bound as measured by ultrafiltration at vancomycin serum concentrations of 10 to 100 mcg/mL.  After IV administration of vancomycin inhibitory concentrations are present in pleural, pericardial, ascitic and synovial fluids; in urine; in peritoneal dialysis fluid; and in atrial appendage tissue.  Vancomycin does not readily diffuse across normal meninges into the spinal fluid; but, when the meninges are inflamed, penetration into the spinal fluid occurs.

Indications and Usage:

To reduce the development of drug-resistant bacteria and maintain the effectiveness of Vancomycin Hydrochloride for Injection, USP and other antibacterial drugs, vancomycin should be used only to treat or prevent infections that are proven or strongly suspected to be caused by susceptible bacteria.  When culture and susceptibility information are available, they should be considered in selecting or modifying antibacterial therapy.  In the absence of such data, local epidemiology and susceptibility patterns may contribute to the empiric selection of therapy.

Vancomycin Hydrochloride for Injection, USP is indicated for the treatment of serious or severe infections caused by susceptible strains of methicillin-resistant (β-lactam-resistant) staphylococci.  It is indicated for penicillin-allergic patients, for patients who cannot receive or who have failed to respond to other drugs, including the penicillins or cephalosporins, and for infections caused by vancomycin-susceptible organisms that are resistant to other antimicrobial drugs.  Vancomycin is indicated for initial therapy when methicillin-resistant staphylococci are suspected, but after susceptibility data are available, therapy should be adjusted accordingly.

Vancomycin is effective in the treatment of staphylococcal endocarditis.  Its effectiveness has been documented in other infections due to staphylococci, including septicemia, bone infections, lower respiratory tract infections, and skin and skin-structure infections.  When staphylococcal infections are localized and purulent, antibiotics are used as adjuncts to appropriate surgical measures.

Vancomycin has been reported to be effective alone or in combination with an aminoglycoside for endocarditis caused by S. viridans or S. bovis.  For endocarditis caused by enterococci (e.g., E. faecalis) , vancomycin has been reported to be effective only in combination with an aminoglycoside.

Vancomycin has been reported to be effective for the treatment of diphtheroid endocarditis.  Vancomycin has been used successfully in combination with either rifampin, an aminoglycoside, or both in early-onset prosthetic valve endocarditis caused by S. epidermidis or diphtheroids.

Specimens for bacteriologic cultures should be obtained in order to isolate and identify causative organisms and to determine their susceptibilities to vancomycin.

The parenteral form of vancomycin may be administered orally for treatment of antibiotic-associated pseudomembranous colitis produced by C. difficile and for staphylococcal enterocolitis.  Parenteral administration of vancomycin hydrochloride alone is of unproven benefit for these indications. Vancomycin is not effective by the oral route for other types of infection.

Post Marketing Reports

The following adverse reactions have been identified during post-approval use of vancomycin. Because these reactions are reported voluntarily from a population of uncertain size, it is not possible to reliably estimate their frequency or establish a causal relationship to drug exposure.

     Skin and Subcutaneous Tissue Disorders

     Drug Rash with Eosinophilia and Systemic Symptoms (DRESS)

For Oral Administration

Oral vancomycin is used in treating antibiotic-associated pseudomembranous colitis caused by C. difficile and for staphylococcal enterocolitis.  Vancomycin is not effective by the oral route for other types of infections.  The usual adult total daily dosage is 500 mg to 2 g given in 3 or 4 divided doses for 7 to 10 days.  The total daily dose in children is 40 mg/kg of body weight in 3 or 4 divided doses for 7 to 10 days.  The total daily dosage should not exceed 2 g.  The appropriate dose may be diluted in 1 oz of water and given to the patient to drink.  Common flavoring syrups may be added to the solution to improve the taste for oral administration.  The diluted solution may be administered via a nasogastric tube.

Infusion Related Events

During or soon after rapid infusion of vancomycin, patients may develop anaphylactoid reactions, including hypotension (see ANIMAL PHARMACOLOGY ), wheezing, dyspnea, urticaria, or pruritus.  Rapid infusion may also cause flushing of the upper body (“red neck”) or pain and muscle spasm of the chest and back.  These reactions usually resolve within 20 minutes but may persist for several hours.  Such events are infrequent if vancomycin is given by a slow infusion over 60 minutes.  In studies of normal volunteers, infusion-related events did not occur when vancomycin was administered at a rate of 10 mg/min or less.

Information for Patients

Diarrhea is a common problem caused by antibiotics which usually ends when the antibiotic is discontinued.  Sometimes after starting treatment with antibiotics, patients can develop watery and bloody stools (with or without stomach cramps and fever) even as late as two or more months after having taken the last dose of the antibiotic.  If this occurs, patients should contact their physician as soon as possible.

Patients should be counseled that antibacterial drugs including vancomycin should only be used to treat bacterial infections.  They do not treat viral infections (e.g., the common cold).  When vancomycin is prescribed to treat a bacterial infection, patients should be told that although it is common to feel better early in the course of therapy, the medication should be taken exactly as directed.  Skipping doses or not completing the full course of therapy may (1) decrease the effectiveness of the immediate treatment and (2) increase the likelihood that bacteria will develop resistance and will not be treatable by vancomycin or other antibacterial drugs in the future.

Preparation and Stability

At the time of use, reconstitute vials of vancomycin with Sterile Water for Injection, USP to a concentration of 50 mg of vancomycin/mL.  (See following table for volume of diluent.)

Concentration/Vial

Volume of Diluent

1 g

20 mL

After reconstitution, the vials may be stored in a refrigerator for 96 hours without significant loss of potency.

Reconstituted solutions of vancomycin (1 g/20 mL) must be further diluted in at least 200 mL of a suitable infusion solution.  The desired dose diluted in this manner should be administered by intermittent IV infusion over a period of at least 60 minutes.

Dosage and Administration:

Infusion-related events are related to both the concentration and the rate of administration of vancomycin.  Concentrations of no more than 5 mg/mL and rates of no more than 10 mg/min are recommended in adults (see also age-specific recommendations).  In selected patients in need of fluid restriction, a concentration up to 10 mg/mL may be used; use of such higher concentrations may increase the risk of infusion-related events.  Infusion-related events may occur, however, at any rate or concentration.

Patients With Normal Renal Function

Adults

The usual daily dose is 2 g divided either as 500 mg every six hours or 1 g every 12 hours. Each dose should be administered at no more than 10 mg/min, or over a period of at least 60 minutes, whichever is longer.  Other patients factors, such as age or obesity, may call for modification of the usual intravenous daily dose.

Children

The usual intravenous dosage of vancomycin is 10 mg/kg per dose given every 6 hours.  Each dose should be administered over a period of at least 60 minutes.  

Infants and Neonates

In neonates and young infants, the total daily IV dosage may be lower.  In both neonates and infants, an initial dose of 15 mg/kg is suggested, followed by 10 mg/kg every 12 hours for neonates in the first week of life and every eight hours thereafter up to the age of one month.  Each dose should be administered over 60 minutes.  Close monitoring of serum concentrations of vancomycin may be warranted in these patients.

Compatibility With Other Drugs and Iv Fluids

The following diluents are physically and chemically compatible (with 4 g/L vancomycin hydrochloride):

   5% Dextrose Injection, USP

   5% Dextrose Injection and 0.9% Sodium Chloride Injection, USP

   Lactated Ringer’s Injection, USP

   5% Dextrose and Lactated Ringer’s Injection

   Normosol ®-M and 5% Dextrose

   0.9% Sodium Chloride Injection, USP

   Isolyte ® E

Good professional practice suggests that compounded admixtures should be administered as soon after preparation as is feasible.

Vancomycin solution has a low pH and may cause physical instability of other compounds.

Parenteral drug products should be visually inspected for particulate matter and discoloration prior to administration, whenever solution and container permit.

Carcinogenesis, Mutagenesis, Impairment of Fertility

Although no long-term studies in animals have been performed to evaluate carcinogenic potential, no mutagenic potential of vancomycin was found in standard laboratory tests. No definitive fertility studies have been performed.

Patients With Impaired Renal Function and Elderly Patients

Dosage adjustment must be made in patients with impaired renal function.  In premature infants and the elderly, greater dosage reductions than expected may be necessary because of decreased renal function.  Measurement of vancomycin serum concentrations can be helpful in optimizing therapy, especially in seriously ill patients with changing renal function.  Vancomycin serum concentrations can be determined by use of microbiologic assay, radioimmunoassay, fluorescence polarization immunoassay, fluorescence immunoassay or high-pressure liquid chromatography.  

If creatinine clearance can be measured or estimated accurately, the dosage for most patients with renal impairment can be calculated using the following table.  The dosage of vancomycin per day in mg is about 15 times the glomerular filtration rate in mL/min (see following table).



DOSAGE TABLE FOR VANCOMYCIN IN PATIENTS WITH IMPAIRED RENAL FUNCTION

                                            (Adapted from Moellering et al. 3)

Creatinine Clearance                                                                        Vancomycin Dose

_______mL/min                                                                                          mg/24 hr_____

               100                                                                                                   1,545

                90                                                                                                    1,390

                80                                                                                                    1,235

                70                                                                                                    1,080

                60                                                                                                      925

                50                                                                                                      770

                40                                                                                                      620

                30                                                                                                      465

                20                                                                                                      310

                10                                                                                                      155



The initial dose should be no less than 15 mg/kg, even in patients with mild to moderate renal insufficiency.

The table is not valid for functionally anephric patients.  For such patients, an initial dose of 15 mg/kg of body weight should be given to achieve prompt therapeutic serum concentrations. The dose required to maintain stable concentrations is 1.9 mg/kg/24 hr.  In patients with marked renal impairment, it may be more convenient to give maintenance doses of 250 to 1,000 mg once every several days rather than administering the drug on a daily basis.  In anuria, a dose of 1,000 mg every 7 to 10 days has been recommended.

When only serum creatinine is known, the following formula (based on sex, weight and age of the patient) may be used to calculate creatinine clearance.  Calculated creatinine clearances (mL/min) are only estimates.  The creatinine clearance should be measured promptly.

Men:                                         Weight (kg) x (140 – age in years)          

                                          72 x serum creatinine concentration (mg/dL)

Women:                            0.85 x above value

The serum creatinine must represent a steady state of renal function or the estimated value for creatinine clearance will not be valid.  Such a calculated clearance is an overestimate of actual clearance in patients with conditions: (1) characterized by decreasing renal function, such as shock, severe heart failure or oliguria; (2) in which a normal relationship between muscle mass and total body weight is not present, such as in obese patients or those with liver disease, edema, or ascites; and (3) accompanied by debilitation, malnutrition or inactivity.  

The safety and efficacy of vancomycin administration by the intrathecal (intralumbar or intraventricular) route have not been assessed.

Intermittent infusion is the recommended method of administration.


Structured Label Content

Section 42229-5 (42229-5)

Rx only

To reduce the development of drug-resistant bacteria and maintain the effectiveness of Vancomycin Hydrochloride for Injection, USP and other antibacterial drugs, Vancomycin Hydrochloride for Injection, USP should be used only to treat or prevent infections that are proven or strongly suspected to be caused by bacteria.

Section 51945-4 (51945-4)

PACKAGE LABEL – PRINCIPAL DISPLAY – Vancomycin Hydrochloride 1 g Vial Label

NDC 63323-284-21

28421

VANCOMYCIN HYDROCHLORIDE FOR INJECTION, USP

equivalent to

1 g per vial

Vancomycin

For Intravenous Use

Rx only

Must be Further Diluted Before Use

General

Prescribing vancomycin in the absence of a proven or strongly suspected bacterial infection or a prophylactic indication is unlikely to provide benefit to the patient and increases the risk of the development of drug-resistant bacteria.

Clinically significant serum concentrations have been reported in some patients being treated for active C. difficile -induced pseudomembranous colitis after multiple oral doses of vancomycin.

Prolonged use of vancomycin may result in the overgrowth of nonsusceptible organisms.  Careful observation of the patient is essential.  If superinfection occurs during therapy, appropriate measures should be taken.  In rare instances, there have been reports of pseudomembranous colitis due to C. difficile developing in patients who received IV vancomycin.

In order to minimize the risk of nephrotoxicity when treating patients with underlying renal dysfunction or patients receiving concomitant therapy with an aminoglycoside, serial monitoring of renal function should be performed and particular care should be taken in following appropriate dosing schedules (see DOSAGE AND ADMINISTRATION ).

Serial tests of auditory function may be helpful in order to minimize the risk of ototoxicity.

Reversible neutropenia has been reported in patients receiving vancomycin (see ADVERSE REACTIONS ).  Patients who will undergo prolonged therapy with vancomycin or those who are receiving concomitant drugs which may cause neutropenia should have periodic monitoring of the leukocyte count. 

Vancomycin is irritating to tissue and must be given by a secure IV route of administration.  Pain, tenderness and necrosis occur with intramuscular (IM) injection of vancomycin or with inadvertent extravasation.  Thrombophlebitis may occur, the frequency and severity of which can be minimized by administering the drug slowly as a dilute solution (2.5 to 5 g/L) and by rotating the sites of infusion.

There have been reports that the frequency of infusion-related events (including hypotension, flushing, erythema, urticaria and pruritus) increases with the concomitant administration of anesthetic agents. Infusion-related events may be minimized by the administration of vancomycin as a 60-minute infusion prior to anesthetic induction.

The safety and efficacy of vancomycin administration by the intraperitoneal and intrathecal (intralumbar or intraventricular) routes have not been assessed.

Although the safety and efficacy of vancomycin by the intraperitoneal route have not been established, reports reveal that the product has been given by this route during peritoneal dialysis.  Administration of vancomycin by the intraperitoneal route during continuous ambulatory peritoneal dialysis has resulted in over 50 reports of chemical peritonitis that developed in some patients within the 12-hour period after administration.  To date, all have been self-limited and ranged from cloudy dialysate alone to severe abdominal pain and fever.  Most cloudy dialysates were sterile and some contained increased numbers of white blood cells and polymorphonuclear cells.  Fluids usually cleared promptly after discontinuation of the vancomycin.

Synergy

The combination of vancomycin and an aminoglycoside acts synergistically in vitro against many strains of Staphylococcus aureus, Streptococcus bovis, enterococci, and the viridans group streptococci.

Vancomycin has been shown to be active against most strains of the following microorganisms, both in vitro and in clinical infections as described in INDICATIONS AND USAGE .

Aerobic gram-positive microorganisms

   Diphtheroids

   Enterococci (e.g., Enterococcus faecalis)

   Staphylococci, including Staphylococcus aureus and Staphylococcus epidermidis (including heterogeneous methicillin-resistant strains)

   Streptococcus bovis

   Viridans group streptococci

The following in vitro data are available, but their clinical significance is unknown.  

Vancomycin exhibits in vitro MICs of 1 mcg/mL or less against most (≥90%) strains of streptococci listed below and MICs of 4 mcg/mL or less against most (≥90%) strains of other listed microorganisms; however, the safety and effectiveness of vancomycin in treating clinical infections due to these microorganisms have not been established in adequate and well-controlled clinical trials.

Aerobic gram-positive microorganisms

   Listeria monocytogenes

   Streptococcus pyogenes

   Streptococcus pneumoniae (including penicillin-resistant strains)

   Streptococcus agalactiae

Anaerobic gram-positive microorganisms

   Actinomyces species

   Lactobacillus species

Phlebitis

Inflammation at the injection site has been reported.

Pregnancy

Teratogenic Effects: Pregnancy Category C

In a controlled clinical study, vancomycin was administered to pregnant women for serious staphylococcal infections that were complications of their IV drug abuse to evaluate potential ototoxic and nephrotoxic effects on the infant.  Vancomycin was found in cord blood.  No sensorineural hearing loss or nephrotoxicity attributable to vancomycin was noted.  One infant experienced conductive hearing loss that was not attributed to the administration of vancomycin.  Because the number of patients treated in this study was limited and vancomycin was administered only in the second and third trimesters, it is not known whether vancomycin causes fetal harm.

Warnings: (WARNINGS:)

Rapid bolus administration (e.g., over several minutes) may be associated with exaggerated hypotension and, rarely, cardiac arrest.

Vancomycin should be administered in a diluted solution over a period of not less than 60 minutes to avoid rapid-infusion-related reactions.  Stopping the infusion usually results in a prompt cessation of these reactions.

Ototoxicity has occurred in patients receiving vancomycin.  It may be transient or permanent.  It has been reported mostly in patients who have been given excessive doses, who have an underlying hearing loss, or who are receiving concomitant therapy with another ototoxic agent such as an aminoglycoside. Vancomycin should be used with caution in patients with renal insufficiency because the risk of toxicity is appreciably increased by high, prolonged blood concentrations.

Dosage of vancomycin must be adjusted for patients with renal dysfunction (see PRECAUTIONS   and DOSAGE AND ADMINISTRATION ).

Clostridium difficile associated diarrhea (CDAD) has been reported with use of nearly all antibacterial agents, including vancomycin, and may range in severity from mild diarrhea to fatal colitis.  Treatment with antibacterial agents alters the normal flora of the colon leading to overgrowth of C. difficile .

C. difficile produces toxins A and B which contribute to the development of CDAD.  Hypertoxin producing strains of C. difficile cause increased morbidity and mortality, as these infections can be refractory to antimicrobial therapy and may require colectomy.  CDAD must be considered in all patients who present with diarrhea following antibiotic use.  Careful medical history is necessary since CDAD has been reported to occur over two months after the administration of antibacterial agents.

If CDAD is suspected or confirmed, ongoing antibiotic use not directed against C. difficile may need to be discontinued.  Appropriate fluid and electrolyte management, protein supplementation, antibiotic treatment of C. difficile , and surgical evaluation should be instituted as clinically indicated.

Geriatrics

The natural decrement of glomerular filtration with increasing age may lead to elevated vancomycin serum concentrations if dosage is not adjusted.  Vancomycin dosage schedules should be adjusted in elderly patients (see DOSAGE AND ADMINISTRATION ).

Overdosage: (OVERDOSAGE:)

Supportive care is advised, with maintenance of glomerular filtration.  Vancomycin is poorly removed by dialysis.  Hemofiltration and hemoperfusion with polysulfone resin have been reported to result in increased vancomycin clearance.  The median lethal intravenous dose is 319 mg/kg in rats and 400 mg/kg in mice.

To obtain up-to-date information about the treatment of overdose, a good resource is your certified Regional Poison Control Center. Telephone numbers of certified poison control centers are listed in the Physicians’ Desk Reference (PDR).  In managing overdosage, consider the possibility of multiple drug overdoses, interaction among drugs and unusual drug kinetics in your patient.

Ototoxicity

A few dozen cases of hearing loss associated with vancomycin have been reported.  Most of these patients had kidney dysfunction or a pre-existing hearing loss or were receiving concomitant treatment with an ototoxic drug.  Vertigo, dizziness, and tinnitus have been reported rarely.

References: (REFERENCES:)
  • National Committee for Clinical Laboratory Standards. Methods for Dilution Antimicrobial Susceptibility Tests for Bacteria that Grow Aerobically — Fourth Edition. Approved Standard NCCLS Document M7-A4, Vol. 17, No. 2, NCCLS, Wayne, PA, January, 1997.
  • National Committee for Clinical Laboratory Standards. Performance Standards for Antimicrobial Disk Susceptibility Tests — Sixth Edition. Approved Standard NCCLS Document M2-A6, Vol. 17, No. 1, NCCLS, Wayne, PA, January, 1997.
  •  Moellering, R.C., Krogstad, D.J., and Greenblatt, D.J.: Vancomycin Therapy in Patients with Impaired Renal Function: A Nomogram for Dosage, Ann. Intern. Med., 94:343, 1981.
Description: (DESCRIPTION:)

Vancomycin Hydrochloride for Injection, USP is a lyophilized powder, for preparing intravenous (IV) infusions, in vials each containing the equivalent of 1 g vancomycin base. 500 mg of the base are equivalent to 0.34 mmol. When reconstituted with Sterile Water for Injection to a concentration of 50 mg/mL, the pH of the solution is between 2.5 and 4.5.  Vancomycin Hydrochloride for Injection, USP should be administered intravenously in diluted solution (see DOSAGE AND ADMINISTRATION ).   FURTHER DILUTION IS REQUIRED BEFORE USE.

Vancomycin is a tricyclic glycopeptide antibiotic derived from Amycolatopasis orientalis (formerly Nocardia orientalis ).  Vancomycin hydrochloride has the following structural formula:



C 66H 75Cl 2N 9O 24 HCl                                            M.W.  1485.73

Microbiology

The bactericidal action of vancomycin results primarily from inhibition of cell-wall biosynthesis.  In addition, vancomycin alters bacterial-cell-membrane permeability and RNA synthesis.  There is no cross-resistance between vancomycin and other antibiotics. Vancomycin is not active in vitro against gram-negative bacilli, mycobacteria, or fungi.



How Supplied: (HOW SUPPLIED:)


Product

No.

NDC

No.

28421

63323-284-21

Vancomycin Hydrochloride for Injection, USP equivalent to 1 g vancomycin in a 20 mL flip-top vial, in packages of 10.

Store at 20° to 25°C (68° to 77°F) [see USP Controlled Room Temperature].

The container closure is not made with natural rubber latex.

Hematopoietic

Reversible neutropenia, usually starting 1 week or more after onset of therapy with vancomycin or after a total dosage of more than 25 g, has been reported for several dozen patients. Neutropenia appears to be promptly reversible when vancomycin is discontinued. Thrombocytopenia has rarely been reported.  Although a causal relationship has not been established, reversible agranulocytosis (granulocytes <500/mm 3) has been reported rarely.

Miscellaneous

Infrequently, patients have been reported to have had anaphylaxis, drug fever, nausea, chills, eosinophilia, rashes including exfoliative dermatitis, Stevens-Johnson syndrome, toxic epidermal necrolysis and vasculitis in association with administration of vancomycin.

Chemical peritonitis has been reported following intraperitoneal administration of vancomycin (see PRECAUTIONS ).

Pediatric Use

In premature neonates and young infants, it may be appropriate to confirm desired vancomycin serum concentrations.  Concomitant administration of vancomycin and anesthetic agents has been associated with erythema and histamine-like flushing in pediatric patients (see ADVERSE REACTIONS ).

Nephrotoxicity

Renal failure, principally manifested by increased serum creatinine or BUN concentrations, especially in patients administered large doses of vancomycin, has been reported rarely. Cases of interstitial nephritis have also been reported rarely.  Most of these have occurred in patients who were given aminoglycosides concomitantly or who had pre-existing kidney dysfunction.  When vancomycin was discontinued, azotemia resolved in most patients.

Nursing Mothers

Vancomycin is excreted in human milk.  Caution should be exercised when vancomycin is administered to a nursing woman.  Because of the potential for adverse events, a decision should be made whether to discontinue nursing or discontinue the drug, taking into account the importance of the drug to the mother.

Gastrointestinal

Onset of pseudomembranous colitis symptoms may occur during or after antibiotic treatment (see WARNINGS ).

Drug Interactions

Concomitant administration of vancomycin and anesthetic agents has been associated with erythema and histamine-like flushing (see Pediatric Use ) and anaphylactoid reactions (see ADVERSE REACTIONS ).

Concurrent and/or sequential systemic or topical use of other potentially, neurotoxic and/or nephrotoxic drugs, such as amphotericin B, aminoglycosides, bacitracin, polymyxin B, colistin, viomycin, or cisplatin, when indicated requires careful monitoring.

Contraindications: (CONTRAINDICATIONS:)

Vancomycin is contraindicated in patients with known hypersensitivity to this antibiotic.

Animal Pharmacology: (ANIMAL PHARMACOLOGY:)

In animal studies, hypotension and bradycardia occurred in dogs receiving an intravenous infusion of vancomycin, 25 mg/kg, at a concentration of 25 mg/mL and an infusion rate of 13.3 mL/min.

Susceptibility Tests

Dilution Techniques

Quantitative methods are used to determine antimicrobial minimum inhibitory concentrations (MICs).  These MICs provide estimates of the susceptibility of bacteria to antimicrobial compounds.  The MICs should be determined using a standardized procedure.  Standardized procedures are based on a dilution method 1 (broth or agar) or equivalent with standardized inoculum concentrations and standardized concentrations of vancomycin powder.  The MIC values should be interpreted according to the following criteria:

For testing aerobic microorganisms a other than streptococci:

MIC (mcg/mL) 

Interpretation 

 ≤4

 Susceptible (S)

 8 to 16

 Intermediate (I)

 ≥32

 Resistant (R)

a  A ß-lactamase test using an inoculum ≥ 10 7 CFU/mL (or direct colony growth) and a nitrocefin-based substrate should be performed to detect either ampicillin or penicillin resistance among enterococci due to ß-lactamase production.

For testing streptococci a other than Streptococcus pneumoniae :

  MIC (mcg/mL)

Interpretation 

 ≤1

  Susceptible (S)

  a  Interpretative criteria applicable only to tests performed by broth microdilution method using cation-adjusted Mueller-Hinton broth with 2 to 5% lysed horse blood 1.

The current absence of data on resistant strains precludes defining any categories other than “Susceptible”.

Strains yielding MIC results suggestive of a “nonsusceptible” category should be submitted to a reference laboratory for further testing.

A report of “Susceptible” indicates that the pathogen is likely to be inhibited if the antimicrobial compound in the blood reaches the concentrations usually achievable.  A report of “Intermediate” indicates that the result should be considered equivocal, and, if the microorganism is not fully susceptible to alternative, clinically feasible drugs, the test should be repeated.  This category implies possible clinical applicability in body sites where the drug is physiologically concentrated or in situations where high dosage of drug can be used.  This category also provides a buffer zone which prevents small uncontrolled technical factors from causing major discrepancies in interpretation.  A report of “Resistant” indicates that the pathogen is not likely to be inhibited if the antimicrobial compound in the blood reaches the concentrations usually achievable; other therapy should be selected.  Standardized susceptibility test procedures require the use of laboratory control microorganisms to control the technical aspects of the laboratory procedures.  Standard vancomycin powder should provide the following MIC values:

Microorganism 

 

MIC (mcg/mL)

  Enterococcus faecalis

 ATCC 29212

 1 to 4

  Staphylococcus aureus

 ATCC 29213

 0.5 to 2

  Streptococcus pneumoniae a

 ATCC 49619

 0.12 to 0.5

  a  Interpretative criteria applicable only to tests performed by broth microdilution method using cation-adjusted Mueller-Hinton broth with 2 to 5% lysed horse blood 1.

Diffusion Techniques

Quantitative methods that require measurement of zone diameters also provide reproducible estimates of the susceptibility of bacteria to antimicrobial compounds.  One such standardized procedure 2 requires the use of standardized inoculum concentrations.  This procedure uses paper disks impregnated with 30-mcg vancomycin to test the susceptibility of microorganisms to vancomycin. 

Reports from the laboratory providing results of the standard single-disk susceptibility test with a 30-mcg vancomycin disk should be interpreted according to the following criteria:

For testing aerobic microorganisms other than enterococci and streptococci:

Zone Diameter (mm) 

  Interpretation

 ≥15

 Susceptible (S)

 -

 Intermediate (I)

 -

 Resistant (R)

For testing enterococci a,b:



  Zone Diameter (mm)

  Interpretation

 ≥17

 Susceptible (S)

 15 to 16

 Intermediate (I)

 ≤14

 Resistant (R)

  a  A direct nitrocefin-based ß-lactamase test using direct colony growth should be performed to detect either ampicillin or penicillin resistance among enterococci due to ß-lactamase production.

  b  When testing for enterococci resistance to vancomycin, plates should be held for a full 24 hours and examined using transmitted light.  The presence of a haze or any growth within the zone of inhibition indicates resistance.  Those enterococci with intermediate zones of inhibition should be tested by a standardized procedure based on a dilution method 1 (broth or agar) or equivalent.

For testing streptococci a other than Streptococcus pneumoniae :

  Zone Diameter (mm) 

   Interpretation

 ≥17

 Susceptible (S)

  Interpretative criteria applicable only to tests performed by disk diffusion method using Mueller-Hinton agar with 5% defibrinated sheep blood and incubated in 5% CO 2 2.

The current absence of data on resistant strains precludes defining any categories other than “Susceptible”.  Strains yielding zone diameter results suggestive of a “nonsusceptible” category should be submitted to a reference laboratory for further testing.

Interpretation should be as stated above for results using dilution techniques.  Interpretation involves correlation of the diameter obtained in the disk test with the MIC for vancomycin.

As with standardized dilution techniques, diffusion methods require the use of laboratory control microorganisms that are used to control the technical aspects of the laboratory procedures.  For the diffusion technique, the 30-mcg vancomycin disk should provide the following zone diameters in these laboratory test quality control strains:

Microorganism       Zone Diameter (mm)

  Staphylococcus aureus  ATCC 25923

 17 to 21

  Streptococcus pneumoniae a  ATCC 49619

 20 to 27

a   Interpretative criteria applicable only to tests performed by disk diffusion method using Mueller-Hinton agar with 5% defibrinated sheep blood and incubated in 5% CO 2 2.

Clinical Pharmacology: (CLINICAL PHARMACOLOGY:)

Vancomycin is poorly absorbed after oral administration.

In subjects with normal kidney function, multiple IV dosing of 1 g of vancomycin (15 mg/kg) infused over 60 minutes produces mean plasma concentrations of approximately 63 mcg/mL immediately at the completion of infusion, mean plasma concentrations of approximately 23 mcg/mL two hours after infusion, and mean plasma concentrations of approximately 8 mcg/mL 11 hours after the end of the infusion.  Multiple dosing of 500 mg infused over 30 minutes produces mean plasma concentrations of about 49 mcg/mL at the completion of infusion, mean plasma concentrations of about 19 mcg/mL two hours after infusion, and mean plasma concentrations of about 10 mcg/mL six hours after infusion.  The plasma concentrations during multiple dosing are similar to those after a single dose.

The mean elimination half-life of vancomycin from plasma is four to six hours in subjects with normal renal function.  In the first 24 hours, about 75% of an administered dose of vancomycin is excreted in urine by glomerular filtration.  Mean plasma clearance is about 0.058 L/kg/hr, and mean renal clearance is about 0.048 L/kg/hr.  Renal dysfunction slows excretion of vancomycin. In anephric patients, the average half-life of elimination is 7.5 days.  The distribution coefficient is from 0.3 to 0.43 L/kg. There is no apparent metabolism of the drug.  About 60% of an intraperitoneal dose of vancomycin administered during peritoneal dialysis is absorbed systemically in six hours.  Serum concentrations of about 10 mcg/mL are achieved by intraperitoneal injection of 30 mg/kg of vancomycin.  Vancomycin is not effectively removed by either hemodialysis or peritoneal dialysis; there have been no reports of vancomycin clearance with hemoperfusion. 

Total systemic and renal clearance of vancomycin may be reduced in the elderly.

Vancomycin is approximately 55% serum protein bound as measured by ultrafiltration at vancomycin serum concentrations of 10 to 100 mcg/mL.  After IV administration of vancomycin inhibitory concentrations are present in pleural, pericardial, ascitic and synovial fluids; in urine; in peritoneal dialysis fluid; and in atrial appendage tissue.  Vancomycin does not readily diffuse across normal meninges into the spinal fluid; but, when the meninges are inflamed, penetration into the spinal fluid occurs.

Indications and Usage: (INDICATIONS AND USAGE:)

To reduce the development of drug-resistant bacteria and maintain the effectiveness of Vancomycin Hydrochloride for Injection, USP and other antibacterial drugs, vancomycin should be used only to treat or prevent infections that are proven or strongly suspected to be caused by susceptible bacteria.  When culture and susceptibility information are available, they should be considered in selecting or modifying antibacterial therapy.  In the absence of such data, local epidemiology and susceptibility patterns may contribute to the empiric selection of therapy.

Vancomycin Hydrochloride for Injection, USP is indicated for the treatment of serious or severe infections caused by susceptible strains of methicillin-resistant (β-lactam-resistant) staphylococci.  It is indicated for penicillin-allergic patients, for patients who cannot receive or who have failed to respond to other drugs, including the penicillins or cephalosporins, and for infections caused by vancomycin-susceptible organisms that are resistant to other antimicrobial drugs.  Vancomycin is indicated for initial therapy when methicillin-resistant staphylococci are suspected, but after susceptibility data are available, therapy should be adjusted accordingly.

Vancomycin is effective in the treatment of staphylococcal endocarditis.  Its effectiveness has been documented in other infections due to staphylococci, including septicemia, bone infections, lower respiratory tract infections, and skin and skin-structure infections.  When staphylococcal infections are localized and purulent, antibiotics are used as adjuncts to appropriate surgical measures.

Vancomycin has been reported to be effective alone or in combination with an aminoglycoside for endocarditis caused by S. viridans or S. bovis.  For endocarditis caused by enterococci (e.g., E. faecalis) , vancomycin has been reported to be effective only in combination with an aminoglycoside.

Vancomycin has been reported to be effective for the treatment of diphtheroid endocarditis.  Vancomycin has been used successfully in combination with either rifampin, an aminoglycoside, or both in early-onset prosthetic valve endocarditis caused by S. epidermidis or diphtheroids.

Specimens for bacteriologic cultures should be obtained in order to isolate and identify causative organisms and to determine their susceptibilities to vancomycin.

The parenteral form of vancomycin may be administered orally for treatment of antibiotic-associated pseudomembranous colitis produced by C. difficile and for staphylococcal enterocolitis.  Parenteral administration of vancomycin hydrochloride alone is of unproven benefit for these indications. Vancomycin is not effective by the oral route for other types of infection.

Post Marketing Reports

The following adverse reactions have been identified during post-approval use of vancomycin. Because these reactions are reported voluntarily from a population of uncertain size, it is not possible to reliably estimate their frequency or establish a causal relationship to drug exposure.

     Skin and Subcutaneous Tissue Disorders

     Drug Rash with Eosinophilia and Systemic Symptoms (DRESS)

For Oral Administration

Oral vancomycin is used in treating antibiotic-associated pseudomembranous colitis caused by C. difficile and for staphylococcal enterocolitis.  Vancomycin is not effective by the oral route for other types of infections.  The usual adult total daily dosage is 500 mg to 2 g given in 3 or 4 divided doses for 7 to 10 days.  The total daily dose in children is 40 mg/kg of body weight in 3 or 4 divided doses for 7 to 10 days.  The total daily dosage should not exceed 2 g.  The appropriate dose may be diluted in 1 oz of water and given to the patient to drink.  Common flavoring syrups may be added to the solution to improve the taste for oral administration.  The diluted solution may be administered via a nasogastric tube.

Infusion Related Events (Infusion-Related Events)

During or soon after rapid infusion of vancomycin, patients may develop anaphylactoid reactions, including hypotension (see ANIMAL PHARMACOLOGY ), wheezing, dyspnea, urticaria, or pruritus.  Rapid infusion may also cause flushing of the upper body (“red neck”) or pain and muscle spasm of the chest and back.  These reactions usually resolve within 20 minutes but may persist for several hours.  Such events are infrequent if vancomycin is given by a slow infusion over 60 minutes.  In studies of normal volunteers, infusion-related events did not occur when vancomycin was administered at a rate of 10 mg/min or less.

Information for Patients

Diarrhea is a common problem caused by antibiotics which usually ends when the antibiotic is discontinued.  Sometimes after starting treatment with antibiotics, patients can develop watery and bloody stools (with or without stomach cramps and fever) even as late as two or more months after having taken the last dose of the antibiotic.  If this occurs, patients should contact their physician as soon as possible.

Patients should be counseled that antibacterial drugs including vancomycin should only be used to treat bacterial infections.  They do not treat viral infections (e.g., the common cold).  When vancomycin is prescribed to treat a bacterial infection, patients should be told that although it is common to feel better early in the course of therapy, the medication should be taken exactly as directed.  Skipping doses or not completing the full course of therapy may (1) decrease the effectiveness of the immediate treatment and (2) increase the likelihood that bacteria will develop resistance and will not be treatable by vancomycin or other antibacterial drugs in the future.

Preparation and Stability

At the time of use, reconstitute vials of vancomycin with Sterile Water for Injection, USP to a concentration of 50 mg of vancomycin/mL.  (See following table for volume of diluent.)

Concentration/Vial

Volume of Diluent

1 g

20 mL

After reconstitution, the vials may be stored in a refrigerator for 96 hours without significant loss of potency.

Reconstituted solutions of vancomycin (1 g/20 mL) must be further diluted in at least 200 mL of a suitable infusion solution.  The desired dose diluted in this manner should be administered by intermittent IV infusion over a period of at least 60 minutes.

Dosage and Administration: (DOSAGE AND ADMINISTRATION:)

Infusion-related events are related to both the concentration and the rate of administration of vancomycin.  Concentrations of no more than 5 mg/mL and rates of no more than 10 mg/min are recommended in adults (see also age-specific recommendations).  In selected patients in need of fluid restriction, a concentration up to 10 mg/mL may be used; use of such higher concentrations may increase the risk of infusion-related events.  Infusion-related events may occur, however, at any rate or concentration.

Patients With Normal Renal Function (Patients with Normal Renal Function)

Adults

The usual daily dose is 2 g divided either as 500 mg every six hours or 1 g every 12 hours. Each dose should be administered at no more than 10 mg/min, or over a period of at least 60 minutes, whichever is longer.  Other patients factors, such as age or obesity, may call for modification of the usual intravenous daily dose.

Children

The usual intravenous dosage of vancomycin is 10 mg/kg per dose given every 6 hours.  Each dose should be administered over a period of at least 60 minutes.  

Infants and Neonates

In neonates and young infants, the total daily IV dosage may be lower.  In both neonates and infants, an initial dose of 15 mg/kg is suggested, followed by 10 mg/kg every 12 hours for neonates in the first week of life and every eight hours thereafter up to the age of one month.  Each dose should be administered over 60 minutes.  Close monitoring of serum concentrations of vancomycin may be warranted in these patients.

Compatibility With Other Drugs and Iv Fluids (Compatibility with Other Drugs and IV Fluids)

The following diluents are physically and chemically compatible (with 4 g/L vancomycin hydrochloride):

   5% Dextrose Injection, USP

   5% Dextrose Injection and 0.9% Sodium Chloride Injection, USP

   Lactated Ringer’s Injection, USP

   5% Dextrose and Lactated Ringer’s Injection

   Normosol ®-M and 5% Dextrose

   0.9% Sodium Chloride Injection, USP

   Isolyte ® E

Good professional practice suggests that compounded admixtures should be administered as soon after preparation as is feasible.

Vancomycin solution has a low pH and may cause physical instability of other compounds.

Parenteral drug products should be visually inspected for particulate matter and discoloration prior to administration, whenever solution and container permit.

Carcinogenesis, Mutagenesis, Impairment of Fertility

Although no long-term studies in animals have been performed to evaluate carcinogenic potential, no mutagenic potential of vancomycin was found in standard laboratory tests. No definitive fertility studies have been performed.

Patients With Impaired Renal Function and Elderly Patients (Patients with Impaired Renal Function and Elderly Patients)

Dosage adjustment must be made in patients with impaired renal function.  In premature infants and the elderly, greater dosage reductions than expected may be necessary because of decreased renal function.  Measurement of vancomycin serum concentrations can be helpful in optimizing therapy, especially in seriously ill patients with changing renal function.  Vancomycin serum concentrations can be determined by use of microbiologic assay, radioimmunoassay, fluorescence polarization immunoassay, fluorescence immunoassay or high-pressure liquid chromatography.  

If creatinine clearance can be measured or estimated accurately, the dosage for most patients with renal impairment can be calculated using the following table.  The dosage of vancomycin per day in mg is about 15 times the glomerular filtration rate in mL/min (see following table).



DOSAGE TABLE FOR VANCOMYCIN IN PATIENTS WITH IMPAIRED RENAL FUNCTION

                                            (Adapted from Moellering et al. 3)

Creatinine Clearance                                                                        Vancomycin Dose

_______mL/min                                                                                          mg/24 hr_____

               100                                                                                                   1,545

                90                                                                                                    1,390

                80                                                                                                    1,235

                70                                                                                                    1,080

                60                                                                                                      925

                50                                                                                                      770

                40                                                                                                      620

                30                                                                                                      465

                20                                                                                                      310

                10                                                                                                      155



The initial dose should be no less than 15 mg/kg, even in patients with mild to moderate renal insufficiency.

The table is not valid for functionally anephric patients.  For such patients, an initial dose of 15 mg/kg of body weight should be given to achieve prompt therapeutic serum concentrations. The dose required to maintain stable concentrations is 1.9 mg/kg/24 hr.  In patients with marked renal impairment, it may be more convenient to give maintenance doses of 250 to 1,000 mg once every several days rather than administering the drug on a daily basis.  In anuria, a dose of 1,000 mg every 7 to 10 days has been recommended.

When only serum creatinine is known, the following formula (based on sex, weight and age of the patient) may be used to calculate creatinine clearance.  Calculated creatinine clearances (mL/min) are only estimates.  The creatinine clearance should be measured promptly.

Men:                                         Weight (kg) x (140 – age in years)          

                                          72 x serum creatinine concentration (mg/dL)

Women:                            0.85 x above value

The serum creatinine must represent a steady state of renal function or the estimated value for creatinine clearance will not be valid.  Such a calculated clearance is an overestimate of actual clearance in patients with conditions: (1) characterized by decreasing renal function, such as shock, severe heart failure or oliguria; (2) in which a normal relationship between muscle mass and total body weight is not present, such as in obese patients or those with liver disease, edema, or ascites; and (3) accompanied by debilitation, malnutrition or inactivity.  

The safety and efficacy of vancomycin administration by the intrathecal (intralumbar or intraventricular) route have not been assessed.

Intermittent infusion is the recommended method of administration.


Advanced Ingredient Data


Raw Label Data

All Sections (JSON)