These Highlights Do Not Include All The Information Needed To Use Mometasone Furoate Cream Safely And Effectively. See Full Prescribing Information For Mometasone Furoate Cream.

These Highlights Do Not Include All The Information Needed To Use Mometasone Furoate Cream Safely And Effectively. See Full Prescribing Information For Mometasone Furoate Cream.
SPL v2
SPL
SPL Set ID 831f7694-8153-4a79-a453-48020b26f035
Route
TOPICAL
Published
Effective Date 2021-02-09
Document Type 34391-3 HUMAN PRESCRIPTION DRUG LABEL

Drug Facts

Composition & Product

Active Ingredients
Mometasone (1 mg)
Inactive Ingredients
Aluminum Starch Octenylsuccinate Polyoxyl 20 Cetostearyl Ether Phosphoric Acid Propylene Glycol Propylene Glycol Monostearate Water Stearyl Alcohol Titanium Dioxide Petrolatum White Wax

Identifiers & Packaging

Marketing Status
ANDA Active Since 2023-11-14

Description

Mometasone Furoate Cream USP, 0.1% is a corticosteroid indicated for the relief of the inflammatory and pruritic manifestations of corticosteroid-responsive dermatoses in patients 2 years of age or older.

Indications and Usage

Mometasone Furoate Cream USP, 0.1% is a corticosteroid indicated for the relief of the inflammatory and pruritic manifestations of corticosteroid-responsive dermatoses in patients 2 years of age or older.

Dosage and Administration

Apply a thin film of mometasone furoate cream to the affected skin areas once daily. Mometasone furoate cream may be used in pediatric patients 2 years of age or older. Since safety and efficacy of mometasone furoate cream have not been established in pediatric patients below 2 years of age; use in this age group is not recommended [see Warnings and Precautions (5.1) and Use in Specific Populations (8.4) ] . Therapy should be discontinued when control is achieved. If no improvement is seen within 2 weeks, reassessment of diagnosis may be necessary [see Warnings and Precautions (5.1) ] . Do not use mometasone furoate cream with occlusive dressings unless directed by a physician. Do not apply mometasone furoate cream in the diaper area if the patient still requires diapers or plastic pants, as these garments may constitute occlusive dressing. Avoid contact with eyes. Wash hands after each application. Avoid use on the face, groin, or axillae. Mometasone furoate cream is for topical use only. It is not for oral, ophthalmic, or intravaginal use.

Warnings and Precautions

1. Reversible HPA axis suppression with the potential for glucocorticosteroid insufficiency after withdrawal of treatment, Cushing's syndrome, and hyperglycemia may occur due to systemic absorption. Patients applying a topical steroid to a large surface area or to areas under occlusion should be evaluated periodically for evidence of HPA axis suppression. Modify use should HPA axis suppression develop. ( 5.1 , 8.4 ) 2. Pediatric patients may be more susceptible to systemic toxicity. ( 5.1 , 8.4 ) 3. May increase the risk of cataracts and glaucoma. If visual symptoms occur, consider referral to an ophthalmologist. ( 5.2 )

Contraindications

Mometasone furoate cream is contraindicated in those patients with a history of hypersensitivity to any of the components in the preparation.

Adverse Reactions

Most common adverse reactions are: burning, pruritus, and skin atrophy. ( 6 ) To report SUSPECTED ADVERSE REACTIONS, contact Taro Pharmaceuticals U.S.A., Inc., at 1-866-923-4914 or FDA at 1-800-FDA-1088 or www.fda.gov/medwatch.

Drug Interactions

No drug-drug interaction studies have been conducted with mometasone furoate cream.

Storage and Handling

Mometasone Furoate Cream USP, 0.1% is white to off-white in color and supplied in: 45 g (NDC 68788-8548-4) tubes

How Supplied

Mometasone Furoate Cream USP, 0.1% is white to off-white in color and supplied in: 45 g (NDC 68788-8548-4) tubes


Medication Information

Warnings and Precautions

1. Reversible HPA axis suppression with the potential for glucocorticosteroid insufficiency after withdrawal of treatment, Cushing's syndrome, and hyperglycemia may occur due to systemic absorption. Patients applying a topical steroid to a large surface area or to areas under occlusion should be evaluated periodically for evidence of HPA axis suppression. Modify use should HPA axis suppression develop. ( 5.1 , 8.4 ) 2. Pediatric patients may be more susceptible to systemic toxicity. ( 5.1 , 8.4 ) 3. May increase the risk of cataracts and glaucoma. If visual symptoms occur, consider referral to an ophthalmologist. ( 5.2 )

Indications and Usage

Mometasone Furoate Cream USP, 0.1% is a corticosteroid indicated for the relief of the inflammatory and pruritic manifestations of corticosteroid-responsive dermatoses in patients 2 years of age or older.

Dosage and Administration

Apply a thin film of mometasone furoate cream to the affected skin areas once daily. Mometasone furoate cream may be used in pediatric patients 2 years of age or older. Since safety and efficacy of mometasone furoate cream have not been established in pediatric patients below 2 years of age; use in this age group is not recommended [see Warnings and Precautions (5.1) and Use in Specific Populations (8.4) ] . Therapy should be discontinued when control is achieved. If no improvement is seen within 2 weeks, reassessment of diagnosis may be necessary [see Warnings and Precautions (5.1) ] . Do not use mometasone furoate cream with occlusive dressings unless directed by a physician. Do not apply mometasone furoate cream in the diaper area if the patient still requires diapers or plastic pants, as these garments may constitute occlusive dressing. Avoid contact with eyes. Wash hands after each application. Avoid use on the face, groin, or axillae. Mometasone furoate cream is for topical use only. It is not for oral, ophthalmic, or intravaginal use.

Contraindications

Mometasone furoate cream is contraindicated in those patients with a history of hypersensitivity to any of the components in the preparation.

Adverse Reactions

Most common adverse reactions are: burning, pruritus, and skin atrophy. ( 6 ) To report SUSPECTED ADVERSE REACTIONS, contact Taro Pharmaceuticals U.S.A., Inc., at 1-866-923-4914 or FDA at 1-800-FDA-1088 or www.fda.gov/medwatch.

Drug Interactions

No drug-drug interaction studies have been conducted with mometasone furoate cream.

Storage and Handling

Mometasone Furoate Cream USP, 0.1% is white to off-white in color and supplied in: 45 g (NDC 68788-8548-4) tubes

How Supplied

Mometasone Furoate Cream USP, 0.1% is white to off-white in color and supplied in: 45 g (NDC 68788-8548-4) tubes

Description

Mometasone Furoate Cream USP, 0.1% is a corticosteroid indicated for the relief of the inflammatory and pruritic manifestations of corticosteroid-responsive dermatoses in patients 2 years of age or older.

Section 34077-8

Teratogenic Effects:

There are no adequate and well-controlled studies in pregnant women. Therefore, mometasone furoate cream should be used during pregnancy only if the potential benefit justifies the potential risk to the fetus.

Corticosteroids have been shown to be teratogenic in laboratory animals when administered systemically at relatively low dosage levels. Some corticosteroids have been shown to be teratogenic after dermal application in laboratory animals.

When administered to pregnant rats, rabbits, and mice, mometasone furoate increased fetal malformations. The doses that produced malformations also decreased fetal growth, as measured by lower fetal weights and/or delayed ossification. Mometasone furoate also caused dystocia and related complications when administered to rats during the end of pregnancy.

In mice, mometasone furoate caused cleft palate at subcutaneous doses of 60 mcg/kg and above. Fetal survival was reduced at 180 mcg/kg. No toxicity was observed at 20 mcg/kg. (Doses of 20 mcg/kg, 60 mcg/kg, and 180 mcg/kg in the mouse are approximately 0.01 times, 0.02 times, and 0.05 times the estimated maximum clinical topical dose from mometasone furoate cream on a mcg/m 2basis.)

In rats, mometasone furoate produced umbilical hernias at topical doses of 600 mcg/kg and above. A dose of 300 mcg/kg produced delays in ossification, but no malformations. (Doses of 300 mcg/kg and 600 mcg/kg in the rat are approximately 0.2 times and 0.4 times the estimated maximum clinical topical dose from mometasone furoate cream on a mcg/m 2basis.)

In rabbits, mometasone furoate caused multiple malformations (e.g., flexed front paws, gallbladder agenesis, umbilical hernia, hydrocephaly) at topical doses of 150 mcg/kg and above (approximately 0.2 times the estimated maximum clinical topical dose from mometasone furoate cream on a mcg/m 2basis). In an oral study, mometasone furoate increased resorptions and caused cleft palate and/or head malformations (hydrocephaly and domed head) at 700 mcg/kg. At 2800 mcg/kg most litters were aborted or resorbed. No toxicity was observed at 140 mcg/kg. (Doses at 140 mcg/kg, 700 mcg/kg, and 2800 mcg/kg in the rabbit are approximately 0.2 times, 0.9 times, and 3.6 times the estimated maximum clinical topical dose from mometasone furoate cream on a mcg/m 2basis.)

When rats received subcutaneous doses of mometasone furoate throughout pregnancy or during the later stages of pregnancy, 15 mcg/kg caused prolonged and difficult labor and reduced the number of live births, birth weight, and early pup survival. Similar effects were not observed at 7.5 mcg/kg. (Doses of 7.5 mcg/kg and 15 mcg/kg in the rat are approximately 0.005 times and 0.01 times the estimated maximum clinical topical dose from mometasone furoate cream on a mcg/m 2basis.)

Section 42229-5

Manufactured for Padagis® by Taro Pharmaceuticals Inc.

Brampton, Ontario, Canada L6T 1C1

www.padagis.com

Rev 01-24

OF400 RC PH6

Made in Canada 5239914 54

Relabeled By: Preferred Pharmaceuticals Inc.

Section 42230-3
This Patient Information has been approved by the U.S. Food and Drug Administration

Patient Information

Mometasone Furoate

(moe met' a sone fure' oh ate)

Cream USP, 0.1%

Important information: Mometasone furoate cream is for use on skin only.Do not use mometasone furoate cream in your eyes, mouth, or vagina.

What is mometasone furoate cream?

  • 1.
    Mometasone furoate cream is a prescription medicine used on the skin (topical) for the relief of redness, swelling, heat, pain (inflammation) and itching, caused by certain skin problems in people 2 years of age and older.
    • 1.
      It is not known if mometasone furoate cream is safe and effective for use in children under 2 years of age.
    • 2.
      Mometasone furoate cream should not be used in children under 2 years of age.
    • 3.
      It is not known if mometasone furoate cream is safe and effective for use in children longer than 3 weeks.

Do not use mometasone furoate cream if youare allergic to mometasone furoate or any of the ingredients in mometasone furoate cream. See the end of this leaflet for a complete list of ingredients in mometasone furoate cream.

Before using mometasone furoate cream, tell your healthcare provider about all your medical conditions, including if you:

  • 1.
    have a skin infection at the site to be treated. You may also need medicine to treat the skin infection.
  • 2.
    are pregnant or plan to become pregnant. It is not known if mometasone furoate cream will harm your unborn baby.
  • 3.
    are breastfeeding or plan to breastfeed. It is not known if mometasone furoate passes into your breast milk.

Tell your healthcare provider about all the medicines you take,including prescription and over-the-counter medicines, vitamins, and herbal supplements.

Especially tell your healthcare provider if you take other corticosteroid medicines by mouth or use other products on your skin or scalp that contain corticosteroids.

How should I use mometasone furoate cream?

  • 1.
    Use mometasone furoate cream exactly as your healthcare provider tells you to use it.
  • 2.
    Apply a thin film of mometasone furoate cream to the affected skin area 1 time each day.
  • 3.
    Tell your healthcare provider if the treated skin area does not get better after 2 weeks of treatment.
  • 4.
    Do not bandage, cover, or wrap the treated skin area unless your healthcare provider tells you to.
  • 5.
    Mometasone furoate cream should not be used to treat diaper rash or redness. Do not apply mometasone furoate cream in the diaper area if wearing diapers or plastic pants.
  • 6.
    Avoid using mometasone furoate cream on the face, groin, or underarms (armpits).
  • 7.
    Wash your hands after applying mometasone furoate cream.

What are the possible side effects of mometasone furoate cream?

Mometasone furoate cream may cause serious side effects, including:

  • 1.
    Mometasone furoate cream can pass through your skin.Too much mometasone furoate cream passing through your skin can cause your adrenal glands to stop working properly. Your healthcare provider may do blood tests to check for adrenal gland problems.
  • 2.
    V ision problems.Topical corticosteroids may increase your chance of developing vision problems such as cataract and glaucoma. Tell your healthcare provider if you develop blurred vision or other vision problems during treatment with mometasone furoate cream.
  • 3.
    Skin problems.Skin problems may happen during treatment with mometasone furoate cream, including allergic reactions (contact dermatitis) and skin infections at the treatment site. Stop using mometasone furoate cream and tell your healthcare provider if you develop any skin reactions such as pain, tenderness, swelling, or problems healing during treatment with mometasone furoate cream.

The most common side effects of mometasone furoate cream includeburning, itching, and thinning of the skin (atrophy).

These are not all the possible side effects of mometasone furoate cream.

Call your doctor for medical advice about side effects. You may report side effects to FDA at 1-800-FDA-1088.

How should I store mometasone furoate cream?

  • 1.
    Store mometasone furoate cream at room temperature between 68°F to 77°F (20°C to 25°C).
  • 2.
    Keep mometasone furoate cream and all medicines out of the reach of children.

General information about the safe and effective use of mometasone furoate cream.

Medicines are sometimes prescribed for purposes other than those listed in a Patient Information leaflet. Do not use mometasone furoate cream for a condition for which it was not prescribed. Do not give mometasone furoate cream to other people, even if they have the same symptoms that you have. It may harm them. You can ask your pharmacist or healthcare provider for information about mometasone furoate cream that is written for health professionals.

What are the ingredients in mometasone furoate cream?

Active ingredient:mometasone furoate

Inactive ingredients:aluminum starch octenylsuccinate, ceteareth-20, phosphoric acid, propylene glycol, propylene glycol stearate, purified water, stearyl alcohol, titanium dioxide, white petrolatum and white wax

Manufactured for Padagis® by Taro Pharmaceuticals Inc.

Brampton, Ontario, Canada L6T 1C1

www.padagis.com

Rev 01-24

OF400 RC PH6

Made in Canada 5239914 54

Relabeled By: Preferred Pharmaceuticals Inc.

Section 44425-7

Store at 20° to 25°C (68° to 77°F)[see USP Controlled Room Temperature]. Avoid excessive heat.

10 Overdosage

Topically applied mometasone furoate cream can be absorbed in sufficient amounts to produce systemic effects [see Warnings and Precautions (5.1)] .

11 Description

Mometasone Furoate Cream USP, 0.1% contains mometasone furoate for topical use. Mometasone furoate is a synthetic corticosteroid with anti-inflammatory activity.

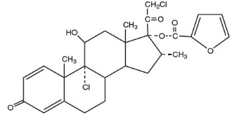
Chemically, mometasone furoate is 9α, 21-dichloro-11β,17-dihydroxy-16α-methylpregna-1,4-diene-3,20-dione 17-(2-furoate), with the empirical formula C 27H 30Cl 2O 6, a molecular weight of 521.4 and the following structural formula:

Mometasone furoate is a white to off-white powder practically insoluble in water, slightly soluble in octanol, and moderately soluble in ethyl alcohol.

Each gram of Mometasone Furoate Cream USP, 0.1% contains 1 mg mometasone furoate in a white to off-white cream base of aluminum starch octenylsuccinate, ceteareth-20, phosphoric acid, propylene glycol, propylene glycol stearate, purified water, stearyl alcohol, titanium dioxide, white petrolatum and white wax.

8.4 Pediatric Use

Mometasone furoate cream may be used with caution in pediatric patients 2 years of age or older, although the safety and efficacy of drug use for longer than 3 weeks have not been established. Since safety and efficacy of mometasone furoate cream have not been established in pediatric patients below 2 years of age, its use in this age group is not recommended.

In a pediatric trial, 24 atopic dermatitis subjects, of whom 19 subjects were age 2 to 12 years, were treated with mometasone furoate cream once daily. The majority of subjects cleared within 3 weeks.

Mometasone furoate cream caused HPA axis suppression in approximately 16% of pediatric subjects ages 6 to 23 months, who showed normal adrenal function by Cortrosyn test before starting treatment, and were treated for approximately 3 weeks over a mean body surface area of 41% (range 15% to 94%). The criteria for suppression were: basal cortisol level of ≤5 mcg/dL, 30-minute post-stimulation level of ≤18 mcg/dL, or an increase of <7 mcg/dL. Follow-up testing 2 to 4 weeks after trial completion, available for 5 of the subjects, demonstrated suppressed HPA axis function in 1 subject, using these same criteria. Long-term use of topical corticosteroids has not been studied in this population [see Clinical Pharmacology (12.2)].

Because of a higher ratio of skin surface area to body mass, pediatric patients are at a greater risk than adults of HPA axis suppression and Cushing's syndrome when they are treated with topical corticosteroids. They are, therefore, also at greater risk of adrenal insufficiency during and/or after withdrawal of treatment. Pediatric patients may be more susceptible than adults to skin atrophy, including striae, when they are treated with topical corticosteroids. Pediatric patients applying topical corticosteroids to greater than 20% of body surface are at higher risk of HPA axis suppression.

HPA axis suppression, Cushing's syndrome, linear growth retardation, delayed weight gain, and intracranial hypertension have been reported in pediatric patients receiving topical corticosteroids. Manifestations of adrenal suppression in children include low plasma cortisol levels and an absence of response to ACTH stimulation. Manifestations of intracranial hypertension include bulging fontanelles, headaches, and bilateral papilledema.

Mometasone furoate cream should not be used in the treatment of diaper dermatitis.

8.5 Geriatric Use

Clinical studies of mometasone furoate cream included 190 subjects who were 65 years of age and over and 39 subjects who were 75 years of age and over. No overall differences in safety or effectiveness were observed between these subjects and younger subjects, and other reported clinical experience has not identified differences in responses between the elderly and younger patients. However, greater sensitivity of some older individuals cannot be ruled out.

14 Clinical Studies

The safety and efficacy of mometasone furoate cream for the treatment of corticosteroid-responsive dermatoses were evaluated in two randomized, double-blind, vehicle-controlled clinical trials, one in psoriasis and one in atopic dermatitis. A total of 366 subjects (12 to 81 years of age), of whom 177 received mometasone furoate cream and 181 subjects received vehicle cream, were evaluated in these trials. Mometasone furoate cream or the vehicle cream were applied once daily for 21 days. The two trials showed mometasone furoate cream is effective in the treatment of psoriasis and atopic dermatitis.

4 Contraindications

Mometasone furoate cream is contraindicated in those patients with a history of hypersensitivity to any of the components in the preparation.

6 Adverse Reactions

Most common adverse reactions are: burning, pruritus, and skin atrophy. ( 6)

To report SUSPECTED ADVERSE REACTIONS, contact Taro Pharmaceuticals U.S.A., Inc., at 1-866-923-4914 or FDA at 1-800-FDA-1088 or www.fda.gov/medwatch.

7 Drug Interactions

No drug-drug interaction studies have been conducted with mometasone furoate cream.

8.3 Nursing Mothers

Systemically administered corticosteroids appear in human milk and could suppress growth, interfere with endogenous corticosteroid production, or cause other untoward effects. It is not known whether topical administration of corticosteroids could result in sufficient systemic absorption to produce detectable quantities in human milk. Because many drugs are excreted in human milk, caution should be exercised when mometasone furoate cream is administered to a nursing woman.

12.2 Pharmacodynamics

Studies performed with mometasone furoate cream indicate that it is in the medium range of potency as compared with other topical corticosteroids.

In a study evaluating the effects of mometasone furoate cream on the HPA axis, 15 grams were applied twice daily for 7 days to six adult subjects with psoriasis or atopic dermatitis. The cream was applied without occlusion to at least 30% of the body surface. The results showed that the drug caused a slight lowering of adrenal corticosteroid secretion [see Warnings and Precautions (5.1)] .

Ninety-seven pediatric subjects ages 6 to 23 months with atopic dermatitis were enrolled in an open-label HPA axis safety study. Mometasone furoate cream was applied once daily for approximately 3 weeks over a mean body surface area of 41% (range 15% to 94%). In approximately 16% of subjects who showed normal adrenal function by Cortrosyn test before starting treatment, adrenal suppression was observed at the end of treatment with mometasone furoate cream. The criteria for suppression were: basal cortisol level of ≤5 mcg/dL, 30-minute post-stimulation level of ≤18 mcg/dL, or an increase of <7 mcg/dL. Follow-up testing 2 to 4 weeks after stopping treatment, available for 5 of the subjects, demonstrated suppressed HPA axis function in one subject, using these same criteria [see Use in Specific Populations (8.4)] .

12.3 Pharmacokinetics

The extent of percutaneous absorption of topical corticosteroids is determined by many factors including the vehicle and the integrity of the epidermal barrier. Studies in humans indicate that approximately 0.4% of the applied dose of mometasone furoate cream enters the circulation after 8 hours of contact on normal skin without occlusion. Inflammation and/or other disease processes in the skin may increase percutaneous absorption.

1 Indications and Usage

Mometasone Furoate Cream USP, 0.1% is a corticosteroid indicated for the relief of the inflammatory and pruritic manifestations of corticosteroid-responsive dermatoses in patients 2 years of age or older.

12.1 Mechanism of Action

Like other topical corticosteroids, mometasone furoate has anti-inflammatory, antipruritic, and vasoconstrictive properties. The mechanism of the anti-inflammatory activity of the topical steroids, in general, is unclear. However, corticosteroids are thought to act by the induction of phospholipase A 2inhibitory proteins, collectively called lipocortins. It is postulated that these proteins control the biosynthesis of potent mediators of inflammation such as prostaglandins and leukotrienes by inhibiting the release of their common precursor arachidonic acid. Arachidonic acid is released from membrane phospholipids by phospholipase A 2.

5 Warnings and Precautions
  • 1.
    Reversible HPA axis suppression with the potential for glucocorticosteroid insufficiency after withdrawal of treatment, Cushing's syndrome, and hyperglycemia may occur due to systemic absorption. Patients applying a topical steroid to a large surface area or to areas under occlusion should be evaluated periodically for evidence of HPA axis suppression. Modify use should HPA axis suppression develop. ( 5.1, 8.4)
  • 2.
    Pediatric patients may be more susceptible to systemic toxicity. ( 5.1, 8.4)
  • 3.
    May increase the risk of cataracts and glaucoma. If visual symptoms occur, consider referral to an ophthalmologist. ( 5.2)
2 Dosage and Administration

Apply a thin film of mometasone furoate cream to the affected skin areas once daily. Mometasone furoate cream may be used in pediatric patients 2 years of age or older. Since safety and efficacy of mometasone furoate cream have not been established in pediatric patients below 2 years of age; use in this age group is not recommended [see Warnings and Precautions (5.1)and Use in Specific Populations (8.4)] .

Therapy should be discontinued when control is achieved. If no improvement is seen within 2 weeks, reassessment of diagnosis may be necessary [see Warnings and Precautions (5.1)] .

Do not use mometasone furoate cream with occlusive dressings unless directed by a physician. Do not apply mometasone furoate cream in the diaper area if the patient still requires diapers or plastic pants, as these garments may constitute occlusive dressing.

Avoid contact with eyes. Wash hands after each application.

Avoid use on the face, groin, or axillae.

Mometasone furoate cream is for topical use only. It is not for oral, ophthalmic, or intravaginal use.

3 Dosage Forms and Strengths

Cream, 0.1%. Each gram of mometasone furoate cream contains 1 mg of mometasone furoate in a white to off-white cream base.

6.2 Postmarketing Experience

Because adverse reactions are reported voluntarily from a population of uncertain size, it is not always possible to reliably estimate their frequency or establish a causal relationship to drug exposure.

Postmarketing reports for local adverse reactions to topical corticosteroids include irritation, dryness, folliculitis, hypertrichosis, acneiform eruptions, hypopigmentation, perioral dermatitis, allergic contact dermatitis, secondary infection, striae, and miliaria. These adverse reactions may occur more frequently with the use of occlusive dressings.

Postmarketing reports for ophthalmic adverse reactions to topical corticosteroids include blurred vision, cataracts, glaucoma, increased intraocular pressure, and central serous chorioretinopathy.

6.1 Clinical Trials Experience

Because clinical trials are conducted under widely varying conditions, adverse reaction rates observed in the clinical trials of a drug cannot be directly compared to rates in the clinical trials of another drug and may not reflect the rates observed in clinical practice. In controlled clinical trials involving 319 subjects, the incidence of adverse reactions associated with the use of mometasone furoate cream was 1.6%. Reported reactions included burning, pruritus, and skin atrophy. Reports of rosacea associated with the use of mometasone furoate cream have also been received. In controlled clinical trials (n=74) involving pediatric subjects 2 to 12 years of age, the incidence of adverse experiences associated with the use of mometasone furoate cream was approximately 7%. Reported reactions included stinging, pruritus, and furunculosis.

The following adverse reactions were reported to be possibly or probably related to treatment with mometasone furoate cream during clinical trials in 4% of 182 pediatric subjects 6 months to 2 years of age: decreased glucocorticoid levels, 2; paresthesia, 2; folliculitis, 1; moniliasis, 1; bacterial infection, 1; skin depigmentation, 1. The following signs of skin atrophy were also observed among 97 subjects treated with mometasone furoate cream in a clinical trial: shininess, 4; telangiectasia, 1; loss of elasticity, 4; loss of normal skin markings, 4; thinness, 1; and bruising, 1.

5.1 Effects On Endocrine System

Systemic absorption of topical corticosteroids can produce reversible hypothalamic-pituitary-adrenal (HPA) axis suppression with the potential for glucocorticosteroid insufficiency. This may occur during treatment or after withdrawal of treatment. Manifestations of Cushing's syndrome, hyperglycemia, and glucosuria can also be produced in some patients by systemic absorption of topical corticosteroids while on treatment. Factors that predispose a patient using a topical corticosteroid to HPA axis suppression include the use of high-potency steroids, large treatment surface areas, prolonged use, use of occlusive dressings, altered skin barrier, liver failure and young age.

Because of the potential for systemic absorption, use of topical corticosteroids may require that patients be periodically evaluated for HPA axis suppression. This may be done by using the adrenocorticotropic hormone (ACTH) stimulation test.

In a study evaluating the effects of mometasone furoate cream on the HPA axis, 15 grams were applied twice daily for 7 days to six adult subjects with psoriasis or atopic dermatitis. The results show that the drug caused a slight lowering of adrenal corticosteroid secretion.

If HPA axis suppression is noted, an attempt should be made to gradually withdraw the drug, to reduce the frequency of application, or to substitute a less potent corticosteroid. Recovery of HPA axis function is generally prompt upon discontinuation of topical corticosteroids. Infrequently, signs and symptoms of glucocorticosteroid insufficiency may occur, requiring supplemental systemic corticosteroids.

Pediatric patients may be more susceptible to systemic toxicity from equivalent doses due to their larger skin surface to body mass ratios [see Use in Specific Populations (8.4)] .

5.3 Allergic Contact Dermatitis

If irritation develops, mometasone furoate cream should be discontinued and appropriate therapy instituted. Allergic contact dermatitis with corticosteroids is usually diagnosed by observing a failure to heal rather than noting a clinical exacerbation as with most topical products not containing corticosteroids. Such an observation should be corroborated with appropriate diagnostic patch testing.

5.4 Concomitant Skin Infections

If concomitant skin infections are present or develop, an appropriate antifungal or antibacterial agent should be used. If a favorable response does not occur promptly, use of mometasone furoate cream should be discontinued until the infection has been adequately controlled.

5.2 Ophthalmic Adverse Reactions

Use of topical corticosteroids may increase the risk of posterior subcapsular cataracts and glaucoma. Cataracts and glaucoma have been reported in postmarketing experience with the use of topical corticosteroids, including the topical mometasone products [see Adverse Reactions (6.2)] .

Avoid contact of mometasone furoate cream with eyes. Advise patients to report any visual symptoms and consider referral to an ophthalmologist for evaluation.

17 Patient Counseling Information

Advise the patient to read the FDA-approved patient labeling (Patient Information). Inform patients of the following:

  • 1.
    Use mometasone furoate cream as directed by the physician. It is for external use only.
  • 2.
    Avoid contact with the eyes.
  • 3.
    Advise patients to report any visual symptoms to their healthcare providers.
  • 4.
    Do not use mometasone furoate cream on the face, underarms, or groin areas unless directed by the physician.
  • 5.
    Do not use mometasone furoate cream for any disorder other than that for which it was prescribed.
  • 6.
    Do not bandage or otherwise cover or wrap the treated skin area so as to be occlusive, unless directed by the physician.
  • 7.
    Report any signs of local adverse reactions to the physician.
  • 8.
    Advise patients not to use mometasone furoate cream in the treatment of diaper dermatitis. Do not apply mometasone furoate cream in the diaper area, as diapers or plastic pants may constitute occlusive dressing.
  • 9.
    Discontinue therapy when control is achieved. If no improvement is seen within 2 weeks, contact the physician.
  • 10.
    Do not use other corticosteroid-containing products with mometasone furoate cream without first consulting with the physician.
16 How Supplied/storage and Handling

Mometasone Furoate Cream USP, 0.1% is white to off-white in color and supplied in:

45 g (NDC 68788-8548-4) tubes

Principal Display Panel 15 G Tube Carton

Rx Only

NDC 45802-257-42

Mometasone Furoate Cream USP, 0.1%

For Dermatologic Use Only. Not for Ophthalmic Use.

45 g

13.1 Carcinogenesis, Mutagenesis, Impairment of Fertility

Long-term animal studies have not been performed to evaluate the carcinogenic potential of mometasone furoate cream. Long-term carcinogenicity studies of mometasone furoate were conducted by the inhalation route in rats and mice. In a 2-year carcinogenicity study in Sprague Dawley rats, mometasone furoate demonstrated no statistically significant increase of tumors at inhalation doses up to 67 mcg/kg (approximately 0.04 times the estimated maximum clinical topical dose from mometasone furoate cream on a mcg/m 2basis). In a 19-month carcinogenicity study in Swiss CD-1 mice, mometasone furoate demonstrated no statistically significant increase in the incidence of tumors at inhalation doses up to 160 mcg/kg (approximately 0.05 times the estimated maximum clinical topical dose from mometasone furoate cream on a mcg/m 2basis).

Mometasone furoate increased chromosomal aberrations in an in vitroChinese hamster ovary cell assay, but did not increase chromosomal aberrations in an in vitroChinese hamster lung cell assay. Mometasone furoate was not mutagenic in the Ames test or mouse lymphoma assay, and was not clastogenic in an in vivomouse micronucleus assay, a rat bone marrow chromosomal aberration assay, or a mouse male germ-cell chromosomal aberration assay. Mometasone furoate also did not induce unscheduled DNA synthesis in vivoin rat hepatocytes.

In reproductive studies in rats, impairment of fertility was not produced in male or female rats by subcutaneous doses up to 15 mcg/kg (approximately 0.01 times the estimated maximum clinical topical dose from mometasone furoate cream on a mcg/m 2basis).


Structured Label Content

Section 34077-8 (34077-8)

Teratogenic Effects:

There are no adequate and well-controlled studies in pregnant women. Therefore, mometasone furoate cream should be used during pregnancy only if the potential benefit justifies the potential risk to the fetus.

Corticosteroids have been shown to be teratogenic in laboratory animals when administered systemically at relatively low dosage levels. Some corticosteroids have been shown to be teratogenic after dermal application in laboratory animals.

When administered to pregnant rats, rabbits, and mice, mometasone furoate increased fetal malformations. The doses that produced malformations also decreased fetal growth, as measured by lower fetal weights and/or delayed ossification. Mometasone furoate also caused dystocia and related complications when administered to rats during the end of pregnancy.

In mice, mometasone furoate caused cleft palate at subcutaneous doses of 60 mcg/kg and above. Fetal survival was reduced at 180 mcg/kg. No toxicity was observed at 20 mcg/kg. (Doses of 20 mcg/kg, 60 mcg/kg, and 180 mcg/kg in the mouse are approximately 0.01 times, 0.02 times, and 0.05 times the estimated maximum clinical topical dose from mometasone furoate cream on a mcg/m 2basis.)

In rats, mometasone furoate produced umbilical hernias at topical doses of 600 mcg/kg and above. A dose of 300 mcg/kg produced delays in ossification, but no malformations. (Doses of 300 mcg/kg and 600 mcg/kg in the rat are approximately 0.2 times and 0.4 times the estimated maximum clinical topical dose from mometasone furoate cream on a mcg/m 2basis.)

In rabbits, mometasone furoate caused multiple malformations (e.g., flexed front paws, gallbladder agenesis, umbilical hernia, hydrocephaly) at topical doses of 150 mcg/kg and above (approximately 0.2 times the estimated maximum clinical topical dose from mometasone furoate cream on a mcg/m 2basis). In an oral study, mometasone furoate increased resorptions and caused cleft palate and/or head malformations (hydrocephaly and domed head) at 700 mcg/kg. At 2800 mcg/kg most litters were aborted or resorbed. No toxicity was observed at 140 mcg/kg. (Doses at 140 mcg/kg, 700 mcg/kg, and 2800 mcg/kg in the rabbit are approximately 0.2 times, 0.9 times, and 3.6 times the estimated maximum clinical topical dose from mometasone furoate cream on a mcg/m 2basis.)

When rats received subcutaneous doses of mometasone furoate throughout pregnancy or during the later stages of pregnancy, 15 mcg/kg caused prolonged and difficult labor and reduced the number of live births, birth weight, and early pup survival. Similar effects were not observed at 7.5 mcg/kg. (Doses of 7.5 mcg/kg and 15 mcg/kg in the rat are approximately 0.005 times and 0.01 times the estimated maximum clinical topical dose from mometasone furoate cream on a mcg/m 2basis.)

Section 42229-5 (42229-5)

Manufactured for Padagis® by Taro Pharmaceuticals Inc.

Brampton, Ontario, Canada L6T 1C1

www.padagis.com

Rev 01-24

OF400 RC PH6

Made in Canada 5239914 54

Relabeled By: Preferred Pharmaceuticals Inc.

Section 42230-3 (42230-3)
This Patient Information has been approved by the U.S. Food and Drug Administration

Patient Information

Mometasone Furoate

(moe met' a sone fure' oh ate)

Cream USP, 0.1%

Important information: Mometasone furoate cream is for use on skin only.Do not use mometasone furoate cream in your eyes, mouth, or vagina.

What is mometasone furoate cream?

  • 1.
    Mometasone furoate cream is a prescription medicine used on the skin (topical) for the relief of redness, swelling, heat, pain (inflammation) and itching, caused by certain skin problems in people 2 years of age and older.
    • 1.
      It is not known if mometasone furoate cream is safe and effective for use in children under 2 years of age.
    • 2.
      Mometasone furoate cream should not be used in children under 2 years of age.
    • 3.
      It is not known if mometasone furoate cream is safe and effective for use in children longer than 3 weeks.

Do not use mometasone furoate cream if youare allergic to mometasone furoate or any of the ingredients in mometasone furoate cream. See the end of this leaflet for a complete list of ingredients in mometasone furoate cream.

Before using mometasone furoate cream, tell your healthcare provider about all your medical conditions, including if you:

  • 1.
    have a skin infection at the site to be treated. You may also need medicine to treat the skin infection.
  • 2.
    are pregnant or plan to become pregnant. It is not known if mometasone furoate cream will harm your unborn baby.
  • 3.
    are breastfeeding or plan to breastfeed. It is not known if mometasone furoate passes into your breast milk.

Tell your healthcare provider about all the medicines you take,including prescription and over-the-counter medicines, vitamins, and herbal supplements.

Especially tell your healthcare provider if you take other corticosteroid medicines by mouth or use other products on your skin or scalp that contain corticosteroids.

How should I use mometasone furoate cream?

  • 1.
    Use mometasone furoate cream exactly as your healthcare provider tells you to use it.
  • 2.
    Apply a thin film of mometasone furoate cream to the affected skin area 1 time each day.
  • 3.
    Tell your healthcare provider if the treated skin area does not get better after 2 weeks of treatment.
  • 4.
    Do not bandage, cover, or wrap the treated skin area unless your healthcare provider tells you to.
  • 5.
    Mometasone furoate cream should not be used to treat diaper rash or redness. Do not apply mometasone furoate cream in the diaper area if wearing diapers or plastic pants.
  • 6.
    Avoid using mometasone furoate cream on the face, groin, or underarms (armpits).
  • 7.
    Wash your hands after applying mometasone furoate cream.

What are the possible side effects of mometasone furoate cream?

Mometasone furoate cream may cause serious side effects, including:

  • 1.
    Mometasone furoate cream can pass through your skin.Too much mometasone furoate cream passing through your skin can cause your adrenal glands to stop working properly. Your healthcare provider may do blood tests to check for adrenal gland problems.
  • 2.
    V ision problems.Topical corticosteroids may increase your chance of developing vision problems such as cataract and glaucoma. Tell your healthcare provider if you develop blurred vision or other vision problems during treatment with mometasone furoate cream.
  • 3.
    Skin problems.Skin problems may happen during treatment with mometasone furoate cream, including allergic reactions (contact dermatitis) and skin infections at the treatment site. Stop using mometasone furoate cream and tell your healthcare provider if you develop any skin reactions such as pain, tenderness, swelling, or problems healing during treatment with mometasone furoate cream.

The most common side effects of mometasone furoate cream includeburning, itching, and thinning of the skin (atrophy).

These are not all the possible side effects of mometasone furoate cream.

Call your doctor for medical advice about side effects. You may report side effects to FDA at 1-800-FDA-1088.

How should I store mometasone furoate cream?

  • 1.
    Store mometasone furoate cream at room temperature between 68°F to 77°F (20°C to 25°C).
  • 2.
    Keep mometasone furoate cream and all medicines out of the reach of children.

General information about the safe and effective use of mometasone furoate cream.

Medicines are sometimes prescribed for purposes other than those listed in a Patient Information leaflet. Do not use mometasone furoate cream for a condition for which it was not prescribed. Do not give mometasone furoate cream to other people, even if they have the same symptoms that you have. It may harm them. You can ask your pharmacist or healthcare provider for information about mometasone furoate cream that is written for health professionals.

What are the ingredients in mometasone furoate cream?

Active ingredient:mometasone furoate

Inactive ingredients:aluminum starch octenylsuccinate, ceteareth-20, phosphoric acid, propylene glycol, propylene glycol stearate, purified water, stearyl alcohol, titanium dioxide, white petrolatum and white wax

Manufactured for Padagis® by Taro Pharmaceuticals Inc.

Brampton, Ontario, Canada L6T 1C1

www.padagis.com

Rev 01-24

OF400 RC PH6

Made in Canada 5239914 54

Relabeled By: Preferred Pharmaceuticals Inc.

Section 44425-7 (44425-7)

Store at 20° to 25°C (68° to 77°F)[see USP Controlled Room Temperature]. Avoid excessive heat.

10 Overdosage (10 OVERDOSAGE)

Topically applied mometasone furoate cream can be absorbed in sufficient amounts to produce systemic effects [see Warnings and Precautions (5.1)] .

11 Description (11 DESCRIPTION)

Mometasone Furoate Cream USP, 0.1% contains mometasone furoate for topical use. Mometasone furoate is a synthetic corticosteroid with anti-inflammatory activity.

Chemically, mometasone furoate is 9α, 21-dichloro-11β,17-dihydroxy-16α-methylpregna-1,4-diene-3,20-dione 17-(2-furoate), with the empirical formula C 27H 30Cl 2O 6, a molecular weight of 521.4 and the following structural formula:

Mometasone furoate is a white to off-white powder practically insoluble in water, slightly soluble in octanol, and moderately soluble in ethyl alcohol.

Each gram of Mometasone Furoate Cream USP, 0.1% contains 1 mg mometasone furoate in a white to off-white cream base of aluminum starch octenylsuccinate, ceteareth-20, phosphoric acid, propylene glycol, propylene glycol stearate, purified water, stearyl alcohol, titanium dioxide, white petrolatum and white wax.

8.4 Pediatric Use

Mometasone furoate cream may be used with caution in pediatric patients 2 years of age or older, although the safety and efficacy of drug use for longer than 3 weeks have not been established. Since safety and efficacy of mometasone furoate cream have not been established in pediatric patients below 2 years of age, its use in this age group is not recommended.

In a pediatric trial, 24 atopic dermatitis subjects, of whom 19 subjects were age 2 to 12 years, were treated with mometasone furoate cream once daily. The majority of subjects cleared within 3 weeks.

Mometasone furoate cream caused HPA axis suppression in approximately 16% of pediatric subjects ages 6 to 23 months, who showed normal adrenal function by Cortrosyn test before starting treatment, and were treated for approximately 3 weeks over a mean body surface area of 41% (range 15% to 94%). The criteria for suppression were: basal cortisol level of ≤5 mcg/dL, 30-minute post-stimulation level of ≤18 mcg/dL, or an increase of <7 mcg/dL. Follow-up testing 2 to 4 weeks after trial completion, available for 5 of the subjects, demonstrated suppressed HPA axis function in 1 subject, using these same criteria. Long-term use of topical corticosteroids has not been studied in this population [see Clinical Pharmacology (12.2)].

Because of a higher ratio of skin surface area to body mass, pediatric patients are at a greater risk than adults of HPA axis suppression and Cushing's syndrome when they are treated with topical corticosteroids. They are, therefore, also at greater risk of adrenal insufficiency during and/or after withdrawal of treatment. Pediatric patients may be more susceptible than adults to skin atrophy, including striae, when they are treated with topical corticosteroids. Pediatric patients applying topical corticosteroids to greater than 20% of body surface are at higher risk of HPA axis suppression.

HPA axis suppression, Cushing's syndrome, linear growth retardation, delayed weight gain, and intracranial hypertension have been reported in pediatric patients receiving topical corticosteroids. Manifestations of adrenal suppression in children include low plasma cortisol levels and an absence of response to ACTH stimulation. Manifestations of intracranial hypertension include bulging fontanelles, headaches, and bilateral papilledema.

Mometasone furoate cream should not be used in the treatment of diaper dermatitis.

8.5 Geriatric Use

Clinical studies of mometasone furoate cream included 190 subjects who were 65 years of age and over and 39 subjects who were 75 years of age and over. No overall differences in safety or effectiveness were observed between these subjects and younger subjects, and other reported clinical experience has not identified differences in responses between the elderly and younger patients. However, greater sensitivity of some older individuals cannot be ruled out.

14 Clinical Studies (14 CLINICAL STUDIES)

The safety and efficacy of mometasone furoate cream for the treatment of corticosteroid-responsive dermatoses were evaluated in two randomized, double-blind, vehicle-controlled clinical trials, one in psoriasis and one in atopic dermatitis. A total of 366 subjects (12 to 81 years of age), of whom 177 received mometasone furoate cream and 181 subjects received vehicle cream, were evaluated in these trials. Mometasone furoate cream or the vehicle cream were applied once daily for 21 days. The two trials showed mometasone furoate cream is effective in the treatment of psoriasis and atopic dermatitis.

4 Contraindications (4 CONTRAINDICATIONS)

Mometasone furoate cream is contraindicated in those patients with a history of hypersensitivity to any of the components in the preparation.

6 Adverse Reactions (6 ADVERSE REACTIONS)

Most common adverse reactions are: burning, pruritus, and skin atrophy. ( 6)

To report SUSPECTED ADVERSE REACTIONS, contact Taro Pharmaceuticals U.S.A., Inc., at 1-866-923-4914 or FDA at 1-800-FDA-1088 or www.fda.gov/medwatch.

7 Drug Interactions (7 DRUG INTERACTIONS)

No drug-drug interaction studies have been conducted with mometasone furoate cream.

8.3 Nursing Mothers

Systemically administered corticosteroids appear in human milk and could suppress growth, interfere with endogenous corticosteroid production, or cause other untoward effects. It is not known whether topical administration of corticosteroids could result in sufficient systemic absorption to produce detectable quantities in human milk. Because many drugs are excreted in human milk, caution should be exercised when mometasone furoate cream is administered to a nursing woman.

12.2 Pharmacodynamics

Studies performed with mometasone furoate cream indicate that it is in the medium range of potency as compared with other topical corticosteroids.

In a study evaluating the effects of mometasone furoate cream on the HPA axis, 15 grams were applied twice daily for 7 days to six adult subjects with psoriasis or atopic dermatitis. The cream was applied without occlusion to at least 30% of the body surface. The results showed that the drug caused a slight lowering of adrenal corticosteroid secretion [see Warnings and Precautions (5.1)] .

Ninety-seven pediatric subjects ages 6 to 23 months with atopic dermatitis were enrolled in an open-label HPA axis safety study. Mometasone furoate cream was applied once daily for approximately 3 weeks over a mean body surface area of 41% (range 15% to 94%). In approximately 16% of subjects who showed normal adrenal function by Cortrosyn test before starting treatment, adrenal suppression was observed at the end of treatment with mometasone furoate cream. The criteria for suppression were: basal cortisol level of ≤5 mcg/dL, 30-minute post-stimulation level of ≤18 mcg/dL, or an increase of <7 mcg/dL. Follow-up testing 2 to 4 weeks after stopping treatment, available for 5 of the subjects, demonstrated suppressed HPA axis function in one subject, using these same criteria [see Use in Specific Populations (8.4)] .

12.3 Pharmacokinetics

The extent of percutaneous absorption of topical corticosteroids is determined by many factors including the vehicle and the integrity of the epidermal barrier. Studies in humans indicate that approximately 0.4% of the applied dose of mometasone furoate cream enters the circulation after 8 hours of contact on normal skin without occlusion. Inflammation and/or other disease processes in the skin may increase percutaneous absorption.

1 Indications and Usage (1 INDICATIONS AND USAGE)

Mometasone Furoate Cream USP, 0.1% is a corticosteroid indicated for the relief of the inflammatory and pruritic manifestations of corticosteroid-responsive dermatoses in patients 2 years of age or older.

12.1 Mechanism of Action

Like other topical corticosteroids, mometasone furoate has anti-inflammatory, antipruritic, and vasoconstrictive properties. The mechanism of the anti-inflammatory activity of the topical steroids, in general, is unclear. However, corticosteroids are thought to act by the induction of phospholipase A 2inhibitory proteins, collectively called lipocortins. It is postulated that these proteins control the biosynthesis of potent mediators of inflammation such as prostaglandins and leukotrienes by inhibiting the release of their common precursor arachidonic acid. Arachidonic acid is released from membrane phospholipids by phospholipase A 2.

5 Warnings and Precautions (5 WARNINGS AND PRECAUTIONS)
  • 1.
    Reversible HPA axis suppression with the potential for glucocorticosteroid insufficiency after withdrawal of treatment, Cushing's syndrome, and hyperglycemia may occur due to systemic absorption. Patients applying a topical steroid to a large surface area or to areas under occlusion should be evaluated periodically for evidence of HPA axis suppression. Modify use should HPA axis suppression develop. ( 5.1, 8.4)
  • 2.
    Pediatric patients may be more susceptible to systemic toxicity. ( 5.1, 8.4)
  • 3.
    May increase the risk of cataracts and glaucoma. If visual symptoms occur, consider referral to an ophthalmologist. ( 5.2)
2 Dosage and Administration (2 DOSAGE AND ADMINISTRATION)

Apply a thin film of mometasone furoate cream to the affected skin areas once daily. Mometasone furoate cream may be used in pediatric patients 2 years of age or older. Since safety and efficacy of mometasone furoate cream have not been established in pediatric patients below 2 years of age; use in this age group is not recommended [see Warnings and Precautions (5.1)and Use in Specific Populations (8.4)] .

Therapy should be discontinued when control is achieved. If no improvement is seen within 2 weeks, reassessment of diagnosis may be necessary [see Warnings and Precautions (5.1)] .

Do not use mometasone furoate cream with occlusive dressings unless directed by a physician. Do not apply mometasone furoate cream in the diaper area if the patient still requires diapers or plastic pants, as these garments may constitute occlusive dressing.

Avoid contact with eyes. Wash hands after each application.

Avoid use on the face, groin, or axillae.

Mometasone furoate cream is for topical use only. It is not for oral, ophthalmic, or intravaginal use.

3 Dosage Forms and Strengths (3 DOSAGE FORMS AND STRENGTHS)

Cream, 0.1%. Each gram of mometasone furoate cream contains 1 mg of mometasone furoate in a white to off-white cream base.

6.2 Postmarketing Experience

Because adverse reactions are reported voluntarily from a population of uncertain size, it is not always possible to reliably estimate their frequency or establish a causal relationship to drug exposure.

Postmarketing reports for local adverse reactions to topical corticosteroids include irritation, dryness, folliculitis, hypertrichosis, acneiform eruptions, hypopigmentation, perioral dermatitis, allergic contact dermatitis, secondary infection, striae, and miliaria. These adverse reactions may occur more frequently with the use of occlusive dressings.

Postmarketing reports for ophthalmic adverse reactions to topical corticosteroids include blurred vision, cataracts, glaucoma, increased intraocular pressure, and central serous chorioretinopathy.

6.1 Clinical Trials Experience

Because clinical trials are conducted under widely varying conditions, adverse reaction rates observed in the clinical trials of a drug cannot be directly compared to rates in the clinical trials of another drug and may not reflect the rates observed in clinical practice. In controlled clinical trials involving 319 subjects, the incidence of adverse reactions associated with the use of mometasone furoate cream was 1.6%. Reported reactions included burning, pruritus, and skin atrophy. Reports of rosacea associated with the use of mometasone furoate cream have also been received. In controlled clinical trials (n=74) involving pediatric subjects 2 to 12 years of age, the incidence of adverse experiences associated with the use of mometasone furoate cream was approximately 7%. Reported reactions included stinging, pruritus, and furunculosis.

The following adverse reactions were reported to be possibly or probably related to treatment with mometasone furoate cream during clinical trials in 4% of 182 pediatric subjects 6 months to 2 years of age: decreased glucocorticoid levels, 2; paresthesia, 2; folliculitis, 1; moniliasis, 1; bacterial infection, 1; skin depigmentation, 1. The following signs of skin atrophy were also observed among 97 subjects treated with mometasone furoate cream in a clinical trial: shininess, 4; telangiectasia, 1; loss of elasticity, 4; loss of normal skin markings, 4; thinness, 1; and bruising, 1.

5.1 Effects On Endocrine System (5.1 Effects on Endocrine System)

Systemic absorption of topical corticosteroids can produce reversible hypothalamic-pituitary-adrenal (HPA) axis suppression with the potential for glucocorticosteroid insufficiency. This may occur during treatment or after withdrawal of treatment. Manifestations of Cushing's syndrome, hyperglycemia, and glucosuria can also be produced in some patients by systemic absorption of topical corticosteroids while on treatment. Factors that predispose a patient using a topical corticosteroid to HPA axis suppression include the use of high-potency steroids, large treatment surface areas, prolonged use, use of occlusive dressings, altered skin barrier, liver failure and young age.

Because of the potential for systemic absorption, use of topical corticosteroids may require that patients be periodically evaluated for HPA axis suppression. This may be done by using the adrenocorticotropic hormone (ACTH) stimulation test.

In a study evaluating the effects of mometasone furoate cream on the HPA axis, 15 grams were applied twice daily for 7 days to six adult subjects with psoriasis or atopic dermatitis. The results show that the drug caused a slight lowering of adrenal corticosteroid secretion.

If HPA axis suppression is noted, an attempt should be made to gradually withdraw the drug, to reduce the frequency of application, or to substitute a less potent corticosteroid. Recovery of HPA axis function is generally prompt upon discontinuation of topical corticosteroids. Infrequently, signs and symptoms of glucocorticosteroid insufficiency may occur, requiring supplemental systemic corticosteroids.

Pediatric patients may be more susceptible to systemic toxicity from equivalent doses due to their larger skin surface to body mass ratios [see Use in Specific Populations (8.4)] .

5.3 Allergic Contact Dermatitis

If irritation develops, mometasone furoate cream should be discontinued and appropriate therapy instituted. Allergic contact dermatitis with corticosteroids is usually diagnosed by observing a failure to heal rather than noting a clinical exacerbation as with most topical products not containing corticosteroids. Such an observation should be corroborated with appropriate diagnostic patch testing.

5.4 Concomitant Skin Infections

If concomitant skin infections are present or develop, an appropriate antifungal or antibacterial agent should be used. If a favorable response does not occur promptly, use of mometasone furoate cream should be discontinued until the infection has been adequately controlled.

5.2 Ophthalmic Adverse Reactions

Use of topical corticosteroids may increase the risk of posterior subcapsular cataracts and glaucoma. Cataracts and glaucoma have been reported in postmarketing experience with the use of topical corticosteroids, including the topical mometasone products [see Adverse Reactions (6.2)] .

Avoid contact of mometasone furoate cream with eyes. Advise patients to report any visual symptoms and consider referral to an ophthalmologist for evaluation.

17 Patient Counseling Information (17 PATIENT COUNSELING INFORMATION)

Advise the patient to read the FDA-approved patient labeling (Patient Information). Inform patients of the following:

  • 1.
    Use mometasone furoate cream as directed by the physician. It is for external use only.
  • 2.
    Avoid contact with the eyes.
  • 3.
    Advise patients to report any visual symptoms to their healthcare providers.
  • 4.
    Do not use mometasone furoate cream on the face, underarms, or groin areas unless directed by the physician.
  • 5.
    Do not use mometasone furoate cream for any disorder other than that for which it was prescribed.
  • 6.
    Do not bandage or otherwise cover or wrap the treated skin area so as to be occlusive, unless directed by the physician.
  • 7.
    Report any signs of local adverse reactions to the physician.
  • 8.
    Advise patients not to use mometasone furoate cream in the treatment of diaper dermatitis. Do not apply mometasone furoate cream in the diaper area, as diapers or plastic pants may constitute occlusive dressing.
  • 9.
    Discontinue therapy when control is achieved. If no improvement is seen within 2 weeks, contact the physician.
  • 10.
    Do not use other corticosteroid-containing products with mometasone furoate cream without first consulting with the physician.
16 How Supplied/storage and Handling (16 HOW SUPPLIED/STORAGE AND HANDLING)

Mometasone Furoate Cream USP, 0.1% is white to off-white in color and supplied in:

45 g (NDC 68788-8548-4) tubes

Principal Display Panel 15 G Tube Carton (PRINCIPAL DISPLAY PANEL - 15 g Tube Carton)

Rx Only

NDC 45802-257-42

Mometasone Furoate Cream USP, 0.1%

For Dermatologic Use Only. Not for Ophthalmic Use.

45 g

13.1 Carcinogenesis, Mutagenesis, Impairment of Fertility

Long-term animal studies have not been performed to evaluate the carcinogenic potential of mometasone furoate cream. Long-term carcinogenicity studies of mometasone furoate were conducted by the inhalation route in rats and mice. In a 2-year carcinogenicity study in Sprague Dawley rats, mometasone furoate demonstrated no statistically significant increase of tumors at inhalation doses up to 67 mcg/kg (approximately 0.04 times the estimated maximum clinical topical dose from mometasone furoate cream on a mcg/m 2basis). In a 19-month carcinogenicity study in Swiss CD-1 mice, mometasone furoate demonstrated no statistically significant increase in the incidence of tumors at inhalation doses up to 160 mcg/kg (approximately 0.05 times the estimated maximum clinical topical dose from mometasone furoate cream on a mcg/m 2basis).

Mometasone furoate increased chromosomal aberrations in an in vitroChinese hamster ovary cell assay, but did not increase chromosomal aberrations in an in vitroChinese hamster lung cell assay. Mometasone furoate was not mutagenic in the Ames test or mouse lymphoma assay, and was not clastogenic in an in vivomouse micronucleus assay, a rat bone marrow chromosomal aberration assay, or a mouse male germ-cell chromosomal aberration assay. Mometasone furoate also did not induce unscheduled DNA synthesis in vivoin rat hepatocytes.

In reproductive studies in rats, impairment of fertility was not produced in male or female rats by subcutaneous doses up to 15 mcg/kg (approximately 0.01 times the estimated maximum clinical topical dose from mometasone furoate cream on a mcg/m 2basis).


Advanced Ingredient Data


Raw Label Data

All Sections (JSON)