Doxycycline Tablets

Doxycycline Tablets
SPL v5
SPL
SPL Set ID 8224b9c5-5c4b-4dda-bc58-47b6604c2884
Route
ORAL
Published
Effective Date 2018-08-06
Document Type 34391-3 HUMAN PRESCRIPTION DRUG LABEL

Drug Facts

Composition & Product

Active Ingredients
Doxycycline Anhydrous (50 mg)
Inactive Ingredients
Silicon Dioxide Magnesium Stearate Polysorbate 80 Sodium Starch Glycolate Type A Potato Titanium Dioxide Fd&c Blue No. 1 Hypromellose, Unspecified Microcrystalline Cellulose Polyethylene Glycol, Unspecified Triacetin D&c Yellow No. 10 Fd&c Yellow No. 6

Identifiers & Packaging

Pill Appearance
Imprint: RX;173 Shape: round Color: blue Color: green Color: white Size: 8 mm Size: 9 mm Size: 10 mm Score: 2
Marketing Status
ANDA Active Since 2018-08-06

Description

To reduce the development of drug-resistant bacteria and maintain the effectiveness of doxycycline tablets and other antibacterial drugs, doxycycline tablets should be used only to treat or prevent infections that are proven or strongly suspected to be caused by bacteria.

Indications and Usage

To reduce the development of drug-resistant bacteria and maintain effectiveness of doxycycline tablets and other antibacterial drugs, doxycycline tablets should be used only to treat or prevent infections that are proven or strongly suspected to be caused by susceptible bacteria. When culture and susceptibility information are available, they should be considered in selecting or modifying antibacterial therapy. In the absence of such data, local epidemiology and susceptibility patterns may contribute to the empiric selection of therapy. Doxycycline tablets are indicated for the treatment of the following infections: Rocky Mountain spotted fever, typhus fever and the typhus group, Q fever, rickettsialpox, and tick fevers caused by Rickettsiae. Respiratory tract infections caused by Mycoplasma pneumoniae. Lymphogranuloma venereum caused by Chlamydia trachomatis. Psittacosis (ornithosis) caused by Chlamydophila psittaci . Trachoma caused by Chlamydia trachomatis , although the infectious agent is not always eliminated as judged by immunofluorescence. Inclusion conjunctivitis caused by Chlamydia trachomatis . Uncomplicated urethral, endocervical or rectal infections in adults caused by Chlamydia trachomatis . Nongonococcal urethritis caused by Ureaplasma urealyticum . Relapsing fever due to Borrelia recurrentis. Doxycycline tablets are also indicated for the treatment of infections caused by the following gram-negative microorganisms: Chancroid caused by Haemophilus ducreyi. Plague due to Yersinia pestis . Tularemia due to Francisella tularensis . Cholera caused by Vibrio cholerae . Campylobacter fetus infections caused by Campylobacter fetus . Brucellosis due to Brucella species (in conjunction with streptomycin). Bartonellosis due to Bartonella bacilliformis. Granuloma inguinale caused by Klebsiella granulomatis. Because many strains of the following groups of microorganisms have been shown to be resistant to doxycycline, culture and susceptibility testing are recommended. Doxycycline tablets are indicated for treatment of infections caused by the following gram-negative microorganisms, when bacteriologic testing indicates appropriate susceptibility to the drug: Escherichia coli Enterobacter aerogenes Shigella species Acinetobacter species Respiratory tract infections caused by Haemophilus influenzae. Respiratory tract and urinary tract infections caused by Klebsiella species Doxycycline tablets are indicated for treatment of infections caused by the following gram-positive microorganisms when bacteriologic testing indicates appropriate susceptibility to the drug: Upper respiratory infections caused by Streptococcus pneumoniae . Anthrax due to Bacillus anthracis , including inhalational anthrax (post-exposure): to reduce the incidence or progression of disease following exposure to aerosolized Bacillus anthracis. When penicillin is contraindicated, doxycycline tablets are an alternative drug in the treatment of the following infections: Uncomplicated gonorrhea caused by Neisseria gonorrhoeae . Syphilis caused by Treponema pallidum. Yaws caused by Treponema pallidum subspecies pertenue. Listeriosis due to Listeria monocytogenes . Vincent’s infection caused by Fusobacterium fusiforme. Actinomycosis caused by Actinomyces israelii. Infections caused by Clostridium species. In acute intestinal amebiasis, doxycycline tablets may be a useful adjunct to amebicides. In severe acne, doxycycline tablets may be useful adjunctive therapy.

Dosage and Administration

THE USUAL DOSAGE AND FREQUENCY OF ADMINISTRATION OF DOXYCYCLINE TABLETS DIFFERS FROM THAT OF THE OTHER TETRACYCLINES. EXCEEDING THE RECOMMENDED DOSAGE MAY RESULT IN AN INCREASED INCIDENCE OF SIDE EFFECTS. Adults: The usual dose of oral doxycycline tablets is 200 mg on the first day of treatment (administered 100 mg every 12 hours or 50 mg every 6 hours) followed by a maintenance dose of 100 mg/day. The maintenance dose may be administered as a single dose or as 50 mg every 12 hours. In the management of more severe infections (particularly chronic infections of the urinary tract), 100 mg every 12 hours is recommended. Pediatric Patients: For all pediatric patients weighing less than 45 kg with severe or life-threatening infections (e.g. anthrax, Rocky Mountain spotted fever), the recommended dosage is 2.2 mg/kg of body weight administered every 12 hours. Children weighing 45 kg or more should receive the adult dose (see WARNINGS and PRECAUTIONS ). For pediatric patients with less severe disease (greater than 8 years of age and weighing less than 45 kg), the recommended dosage schedule is 4.4 mg per kg of body weight divided into two doses on the first day of treatment, followed by a maintenance dose of 2.2 mg per kg of body weight (given as a single daily dose or divided into twice daily doses). For pediatric patients weighing over 45 kg, the usual adult dose should be used. The therapeutic antibacterial serum activity will usually persist for 24 hours following recommended dosage. When used in streptococcal infections, therapy should be continued for 10 days. Administration of adequate amounts of fluid along with capsule and tablet forms of drugs in the tetracycline class is recommended to wash down the drugs and reduce the risk of esophageal irritation and ulceration. (See ADVERSE REACTIONS) If gastric irritation occurs, it is recommended that doxycycline be given with food or milk. The absorption of doxycycline is not markedly influenced by simultaneous ingestion of food or milk. Studies to date have indicated that administration of doxycycline at the usual recommended doses does not lead to excessive accumulation of doxycycline in patients with renal impairment. Uncomplicated gonococcal infections in adults (except anorectal infections in men): 100 mg, by mouth, twice a day for 7 days. As an alternate single visit dose, administer 300 mg stat followed in one hour by a second 300 mg dose. Acute epididymo-orchitis caused by N. gonorrhoeae : 100 mg, by mouth, twice a day for at least 10 days. Primary and secondary syphilis: 300 mg a day in divided doses for at least 10 days. Uncomplicated urethral, endocervical, or rectal infection in adults caused by Chlamydia trachomatis : 100 mg, by mouth, twice a day for at least 7 days. Nongonococcal urethritis caused by C. trachomatis and U. urealyticum : 100 mg, by mouth, twice a day for at least 7 days. Acute epididymo-orchitis caused by C. trachomatis : 100 mg, by mouth, twice a day for at least 10 days. Inhalational anthrax (post-exposure): ADULTS: 100 mg of doxycycline tablets, by mouth, twice a day for 60 days. CHILDREN: weighing less than 100 pounds (45 kg); 1 mg/lb (2.2 mg/kg) of body weight, by mouth, twice a day for 60 days. Children weighing 100 pounds or more should receive the adult dose.

Contraindications

This drug is contraindicated in persons who have shown hypersensitivity to any of the tetracyclines.

Adverse Reactions

Due to oral doxycycline’s virtually complete absorption, side effects to the lower bowel, particularly diarrhea, have been infrequent. The following adverse reactions have been observed in patients receiving tetracyclines. Gastrointestinal: Anorexia, nausea, vomiting, diarrhea, glossitis, dysphagia, enterocolitis, and inflammatory lesions (with monilial overgrowth) in the anogenital region, and pancreatitis. Hepatotoxicity has been reported. These reactions have been caused by both the oral and parenteral administration of tetracyclines. Rare instances of esophagitis and esophageal ulcerations have been reported in patients receiving capsule and tablet forms of drugs in the tetracycline class. Most of these patients took medications immediately before going to bed. (See DOSAGE AND ADMINISTRATION . ) Skin: Maculopapular and erythematous rashes, Stevens-Johnson syndrome, toxic epidermal necrolysis, and erythema multiforme have been reported. Exfoliative dermatitis has been reported but is uncommon. Photosensitivity is discussed above. (See WARNINGS ). Renal Toxicity: Rise in BUN has been reported and is apparently dose related. (See WARNINGS . ) Hypersensitivity Reactions: Urticaria, angioneurotic edema, anaphylaxis, anaphylactoid purpura, serum sickness, pericarditis, and exacerbation of systemic lupus erythematosus. Blood: Hemolytic anemia, thrombocytopenia, neutropenia, and eosinophilia have been reported with tetracyclines. Other: Intracranial hypertension (IH, pseudotumor cerebri) has been associated with the use of tetracyclines. (See PRECAUTIONS-General ). When given over prolonged periods, tetracyclines have been reported to produce brown-black microscopic discoloration of the thyroid gland. No abnormalities of thyroid function are known to occur.

How Supplied

Doxycycline tablets 50 mg are light blue colored, round, convex faced, film-coated, debossed with “ RX130 ” on one side and plain on the other side. Each tablet contains doxycycline monohydrate, USP equivalent to 50 mg of doxycycline. They are supplied as follows: NDC 63304-130-10 Bottles of 1000 Doxycycline tablets 75 mg are green colored, round, convex faced, film-coated, debossed with “ RX131 ” on one side and plain on the other side. Each tablet contains doxycycline monohydrate, USP equivalent to 75 mg of doxycycline. They are supplied as follows: NDC 63304-131-01 Bottles of 100 NDC 63304-131-10 Bottles of 1000 Doxycycline tablets 100 mg are dark blue colored, round, convex faced, film-coated, debossed with “ RX132 ” on one side and plain on the other side. Each tablet contains doxycycline monohydrate, USP equivalent to 100 mg of doxycycline. They are supplied as follows: NDC 63304-132-50 Bottles of 50 NDC 63304-132-04 Bottles of 250 NDC 63304-132-10 Bottles of 1000 Doxycycline tablets 150 mg are white colored, convex faced, film-coated, debossed with “ RX ” above the bisect and “ 173 ” below the bisect on one side and plain on the other side. Each tablet contains doxycycline monohydrate, USP equivalent to 150 mg of doxycycline. They are supplied as follows: NDC 63304-173-03 Bottles of 10 NDC 63304-173-30 Bottles of 30 NDC 63304-173-10 Bottles of 1000 NDC 63304-173-69 Blister pack of 10 Store at 20° - 25° C (68° - 77° F) [See USP Controlled Room temperature]. Protect from light. DISPENSE IN A TIGHT LIGHT RESISTANT CONTAINER AS DEFINED IN THE USP/NF. Storage of Blister Pack PROTECT FROM LIGHT. RETAIN IN CARTON UNTIL TIME OF USE. You may report side effects to FDA at 1-800-FDA-1088.


Medication Information

Indications and Usage

To reduce the development of drug-resistant bacteria and maintain effectiveness of doxycycline tablets and other antibacterial drugs, doxycycline tablets should be used only to treat or prevent infections that are proven or strongly suspected to be caused by susceptible bacteria. When culture and susceptibility information are available, they should be considered in selecting or modifying antibacterial therapy. In the absence of such data, local epidemiology and susceptibility patterns may contribute to the empiric selection of therapy.

Doxycycline tablets are indicated for the treatment of the following infections:

Rocky Mountain spotted fever, typhus fever and the typhus group, Q fever, rickettsialpox, and tick fevers caused by Rickettsiae.

Respiratory tract infections caused by Mycoplasma pneumoniae.

Lymphogranuloma venereum caused by Chlamydia trachomatis.

Psittacosis (ornithosis) caused by Chlamydophila psittaci.

Trachoma caused by Chlamydia trachomatis, although the infectious agent is not always eliminated as judged by immunofluorescence.

Inclusion conjunctivitis caused by Chlamydia trachomatis.

Uncomplicated urethral, endocervical or rectal infections in adults caused by Chlamydia trachomatis.

Nongonococcal urethritis caused by Ureaplasma urealyticum.

Relapsing fever due to Borrelia recurrentis.

Doxycycline tablets are also indicated for the treatment of infections caused by the following gram-negative microorganisms:

Chancroid caused by Haemophilus ducreyi.

Plague due to Yersinia pestis.

Tularemia due to Francisella tularensis.

Cholera caused by Vibrio cholerae.

Campylobacter fetus infections caused by Campylobacter fetus.

Brucellosis due to Brucella species (in conjunction with streptomycin).

Bartonellosis due to Bartonella bacilliformis.

Granuloma inguinale caused by Klebsiella granulomatis.

Because many strains of the following groups of microorganisms have been shown to be resistant to doxycycline, culture and susceptibility testing are recommended.

Doxycycline tablets are indicated for treatment of infections caused by the following gram-negative microorganisms, when bacteriologic testing indicates appropriate susceptibility to the drug:

Escherichia coli

Enterobacter aerogenes

Shigella species

Acinetobacter species

Respiratory tract infections caused by Haemophilus influenzae.

Respiratory tract and urinary tract infections caused by Klebsiella species

Doxycycline tablets are indicated for treatment of infections caused by the following gram-positive microorganisms when bacteriologic testing indicates appropriate susceptibility to the drug:

Upper respiratory infections caused by Streptococcus pneumoniae.

Anthrax due to Bacillus anthracis, including inhalational anthrax (post-exposure): to reduce the incidence or progression of disease following exposure to aerosolized Bacillus anthracis.

When penicillin is contraindicated, doxycycline tablets are an alternative drug in the treatment of the following infections:

Uncomplicated gonorrhea caused by Neisseria gonorrhoeae.

Syphilis caused by Treponema pallidum.

Yaws caused by Treponema pallidum subspecies pertenue.

Listeriosis due to Listeria monocytogenes.

Vincent’s infection caused by Fusobacterium fusiforme.

Actinomycosis caused by Actinomyces israelii.

Infections caused by Clostridium species.

In acute intestinal amebiasis, doxycycline tablets may be a useful adjunct to amebicides.

In severe acne, doxycycline tablets may be useful adjunctive therapy.

Dosage and Administration

THE USUAL DOSAGE AND FREQUENCY OF ADMINISTRATION OF DOXYCYCLINE TABLETS DIFFERS FROM THAT OF THE OTHER TETRACYCLINES. EXCEEDING THE RECOMMENDED DOSAGE MAY RESULT IN AN INCREASED INCIDENCE OF SIDE EFFECTS.

Adults: The usual dose of oral doxycycline tablets is 200 mg on the first day of treatment (administered 100 mg every 12 hours or 50 mg every 6 hours) followed by a maintenance dose of 100 mg/day. The maintenance dose may be administered as a single dose or as 50 mg every 12 hours. In the management of more severe infections (particularly chronic infections of the urinary tract), 100 mg every 12 hours is recommended.

Pediatric Patients:

For all pediatric patients weighing less than 45 kg with severe or life-threatening infections (e.g. anthrax, Rocky Mountain spotted fever), the recommended dosage is 2.2 mg/kg of body weight administered every 12 hours. Children weighing 45 kg or more should receive the adult dose (see WARNINGS and PRECAUTIONS).

For pediatric patients with less severe disease (greater than 8 years of age and weighing less than 45 kg), the recommended dosage schedule is 4.4 mg per kg of body weight divided into two doses on the first day of treatment, followed by a maintenance dose of 2.2 mg per kg of body weight (given as a single daily dose or divided into twice daily doses). For pediatric patients weighing over 45 kg, the usual adult dose should be used.

The therapeutic antibacterial serum activity will usually persist for 24 hours following recommended dosage.

When used in streptococcal infections, therapy should be continued for 10 days.

Administration of adequate amounts of fluid along with capsule and tablet forms of drugs in the tetracycline class is recommended to wash down the drugs and reduce the risk of esophageal irritation and ulceration. (See ADVERSE REACTIONS)

If gastric irritation occurs, it is recommended that doxycycline be given with food or milk. The absorption of doxycycline is not markedly influenced by simultaneous ingestion of food or milk.

Studies to date have indicated that administration of doxycycline at the usual recommended doses does not lead to excessive accumulation of doxycycline in patients with renal impairment.

Uncomplicated gonococcal infections in adults (except anorectal infections in men): 100 mg, by mouth, twice a day for 7 days. As an alternate single visit dose, administer 300 mg stat followed in one hour by a second 300 mg dose.

Acute epididymo-orchitis caused by N. gonorrhoeae: 100 mg, by mouth, twice a day for at least 10 days.

Primary and secondary syphilis: 300 mg a day in divided doses for at least 10 days.

Uncomplicated urethral, endocervical, or rectal infection in adults caused by Chlamydia trachomatis: 100 mg, by mouth, twice a day for at least 7 days.

Nongonococcal urethritis caused by C. trachomatis and U. urealyticum: 100 mg, by mouth, twice a day for at least 7 days.

Acute epididymo-orchitis caused by C. trachomatis: 100 mg, by mouth, twice a day for at least 10 days.

Inhalational anthrax (post-exposure):

ADULTS: 100 mg of doxycycline tablets, by mouth, twice a day for 60 days. CHILDREN: weighing less than 100 pounds (45 kg); 1 mg/lb (2.2 mg/kg) of body weight, by mouth, twice a day for 60 days. Children weighing 100 pounds or more should receive the adult dose.

Contraindications

This drug is contraindicated in persons who have shown hypersensitivity to any of the tetracyclines.

Adverse Reactions

Due to oral doxycycline’s virtually complete absorption, side effects to the lower bowel, particularly diarrhea, have been infrequent. The following adverse reactions have been observed in patients receiving tetracyclines.

Gastrointestinal: Anorexia, nausea, vomiting, diarrhea, glossitis, dysphagia, enterocolitis, and inflammatory lesions (with monilial overgrowth) in the anogenital region, and pancreatitis. Hepatotoxicity has been reported. These reactions have been caused by both the oral and parenteral administration of tetracyclines. Rare instances of esophagitis and esophageal ulcerations have been reported in patients receiving capsule and tablet forms of drugs in the tetracycline class. Most of these patients took medications immediately before going to bed. (See DOSAGE AND ADMINISTRATION .)

Skin: Maculopapular and erythematous rashes, Stevens-Johnson syndrome, toxic epidermal necrolysis, and erythema multiforme have been reported. Exfoliative dermatitis has been reported but is uncommon. Photosensitivity is discussed above. (See WARNINGS).

Renal Toxicity: Rise in BUN has been reported and is apparently dose related. (See WARNINGS .)

Hypersensitivity Reactions: Urticaria, angioneurotic edema, anaphylaxis, anaphylactoid purpura, serum sickness, pericarditis, and exacerbation of systemic lupus erythematosus.

Blood: Hemolytic anemia, thrombocytopenia, neutropenia, and eosinophilia have been reported with tetracyclines.

Other: Intracranial hypertension (IH, pseudotumor cerebri) has been associated with the use of tetracyclines. (See PRECAUTIONS-General).

When given over prolonged periods, tetracyclines have been reported to produce brown-black microscopic discoloration of the thyroid gland. No abnormalities of thyroid function are known to occur.

How Supplied

Doxycycline tablets 50 mg are light blue colored, round, convex faced, film-coated, debossed with “RX130” on one side and plain on the other side. Each tablet contains doxycycline monohydrate, USP equivalent to 50 mg of doxycycline. They are supplied as follows:

NDC 63304-130-10 Bottles of 1000

Doxycycline tablets 75 mg are green colored, round, convex faced, film-coated, debossed with “RX131” on one side and plain on the other side. Each tablet contains doxycycline monohydrate, USP equivalent to 75 mg of doxycycline. They are supplied as follows:

NDC 63304-131-01 Bottles of 100

NDC 63304-131-10 Bottles of 1000

Doxycycline tablets 100 mg are dark blue colored, round, convex faced, film-coated, debossed with “RX132” on one side and plain on the other side. Each tablet contains doxycycline monohydrate, USP equivalent to 100 mg of doxycycline. They are supplied as follows:

NDC 63304-132-50 Bottles of 50

NDC 63304-132-04 Bottles of 250

NDC 63304-132-10 Bottles of 1000

Doxycycline tablets 150 mg are white colored, convex faced, film-coated, debossed with “RX” above the bisect and “173” below the bisect on one side and plain on the other side. Each tablet contains doxycycline monohydrate, USP equivalent to 150 mg of doxycycline. They are supplied as follows:

NDC 63304-173-03 Bottles of 10

NDC 63304-173-30 Bottles of 30

NDC 63304-173-10 Bottles of 1000

NDC 63304-173-69 Blister pack of 10

Store at 20° - 25° C (68° - 77° F) [See USP Controlled Room temperature]. Protect from light.

DISPENSE IN A TIGHT LIGHT RESISTANT CONTAINER AS DEFINED IN THE USP/NF.

Storage of Blister Pack

PROTECT FROM LIGHT. RETAIN IN CARTON UNTIL TIME OF USE.

You may report side effects to FDA at 1-800-FDA-1088.

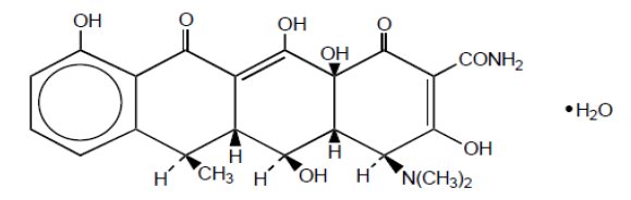
Description

Doxycycline is a broad-spectrum antibacterial synthetically derived from oxytetracycline. Doxycycline 150 mg, 100 mg, 75 mg, and 50 mg tablets contain doxycycline monohydrate, USP equivalent to 150 mg, 100 mg, 75 mg, or 50 mg of doxycycline for oral administration. Inactive ingredients include colloidal silicon dioxide, hypromellose, magnesium stearate, microcrystalline cellulose, polysorbate 80, sodium starch glycolate, and titanium dioxide. In addition, doxycycline 50 mg tablets contain: FD&C Blue #1 Aluminum lake and polyethylene glycol, 75 mg tablets contain: D&C Yellow #10 Aluminum lake, FD&C Blue #1 Aluminum lake, FD&C Yellow #6 Aluminum lake and triacetin, 100 mg tablets contain: polyethylene glycol and FD&C Blue #1 Aluminum lake and 150 mg tablets contain: polyethylene glycol. Its molecular weight is 462.46. The chemical designation of the light-yellow crystalline powder is alpha-6-deoxy-5-oxytetracycline.

Structural formula:

C22H24N2O8•H2O

Doxycycline has a high degree of lipid solubility and a low affinity for calcium binding. It is highly stable in normal human serum. Doxycycline will not degrade into an epianhydro form

Section 42229-5

To reduce the development of drug-resistant bacteria and maintain the effectiveness of doxycycline tablets and other antibacterial drugs, doxycycline tablets should be used only to treat or prevent infections that are proven or strongly suspected to be caused by bacteria.

Warnings

The use of drugs of the tetracycline class during tooth development (last half of pregnancy, infancy, and childhood to the age of 8 years) may cause permanent discoloration of the teeth (yellow-gray-brown). This adverse reaction is more common during long-term use of the drugs, but it has been observed following repeated short-term courses. Enamel hypoplasia has also been reported. Use of doxycycline in pediatric patients 8 years of age or less only when the potential benefits are expected to outweigh the risks in severe or life-threatening conditions (e.g. anthrax, Rocky Mountain spotted fever), particularly when there are no alternative therapies.

Clostridium difficile associated diarrhea (CDAD) has been reported with use of nearly all antibacterial agents, including doxycycline, and may range in severity from mild diarrhea to fatal colitis. Treatment with antibacterial agents alters the normal flora of the colon leading to overgrowth of C. difficile.

C. difficile produces toxins A and B which contribute to the development of CDAD. Hypertoxin producing strains of C. difficile cause increased morbidity and mortality, as these infections can be refractory to antimicrobial therapy and may require colectomy. CDAD must be considered in all patients who present with diarrhea following antibiotic use. Careful medical history is necessary since CDAD has been reported to occur over two months after the administration of antibacterial agents.

If CDAD is suspected or confirmed, ongoing antibiotic use not directed against C. difficile may need to be discontinued. Appropriate fluid and electrolyte management, protein supplementation, antibiotic treatment of C. difficile, and surgical evaluation should be instituted as clinically indicated.

Intracranial hypertension (IH, pseudotumor cerebri) has been associated with the use of tetracyclines including doxycycline. Clinical manifestations of IH include headache, blurred vision, diplopia, and vision loss; papilledema can be found on fundoscopy. Women of childbearing age who are overweight or have a history of IH are at greater risk for developing tetracycline associated IH. Concomitant use of isotretinoin and doxycycline should be avoided because isotretinoin is also known to cause pseudotumor cerebri.

Although IH typically resolves after discontinuation of treatment, the possibility for permanent visual loss exists. If visual disturbance occurs during treatment, prompt ophthalmologic evaluation is warranted. Since intracranial pressure can remain elevated for weeks after drug cessation patients should be monitored until they stabilize.

All tetracyclines form a stable calcium complex in any bone-forming tissue. A decrease in the fibula growth rate has been observed in prematures given oral tetracycline in doses of 25 mg/kg every six hours. This reaction was shown to be reversible when the drug was discontinued.

Results of animal studies indicate that tetracyclines cross the placenta, are found in fetal tissues, and can have toxic effects on the developing fetus (often related to retardation of skeletal development). Evidence of embryo toxicity has been noted in animals treated early in pregnancy. If any tetracycline is used during pregnancy or if the patient becomes pregnant while taking these drugs, the patient should be apprised of the potential hazard to the fetus.

The antianabolic action of the tetracyclines may cause an increase in BUN. Studies to date indicate that this does not occur with the use of doxycycline in patients with impaired renal function.

Photosensitivity manifested by an exaggerated sunburn reaction has been observed in some individuals taking tetracyclines. Patients apt to be exposed to direct sunlight or ultraviolet light should be advised that this reaction can occur with tetracycline drugs, and treatment should be discontinued at the first evidence of skin erythema.

Overdosage

In case of overdosage, discontinue medication, treat symptomatically and institute supportive measures. Dialysis does not alter serum half-life, and it would not be of benefit in treating cases of overdosage.

References
  •  
    1. Clinical and Laboratory Standards Institute (CLSI). Performance Standards for Antimicrobial Susceptibility Testing; Twenty-seventh Informational Supplement, CLSI document M100-S27 [2017]. CLSI document M100S23, Clinical Laboratory Standards Institute, 950 West Valley Road, Suite 2500,Wayne Pennsylvania 19087, USA.
  •  
    2. Clinical and Laboratory Standards Institute (CLSI). Methods for Dilution Antimicrobial Susceptibility Tests for Bacteria that Grow Aerobically; Approved Standard – Tenth Edition. CLSI document M07-A10 [2015], Clinical Laboratory Standards Institute, 950 West Valley Road, Suite 2500, Wayne Pennsylvania 19087, USA.
  •  
    3. Clinical and Laboratory Standards Institute (CLSI). Performance Standards for Antimicrobial Disk Diffusion Susceptibility Tests; Approved Standard – Twelfth Edition. CLSI document M02-A12 [2015], Clinical Laboratory Standards Institute, 950 West Valley Road, Suite 2500, Wayne Pennsylvania 19087, USA.
  •  
    4. Clinical and Laboratory Standards Institute (CLSI). Methods for Antimicrobial Dilution and Disk Susceptibility Testing of Infrequently Isolated or Fastidious Bacteria; Approved Guideline – Third Edition. CLSI document M45-A3 [2015], Clinical Laboratory Standards Institute, 950 West Valley Road, Suite 2500, Wayne Pennsylvania 19087, USA.
  •  
    5. Clinical and Laboratory Standards Institute (CLSI). Methods for Antimicrobial Susceptibility Testing of Anaerobic Bacteria; Approved Standard – Eighth Edition. CLSI document M11-A8 [2012], Clinical Laboratory Standards Institute, 950 West Valley Road, Suite 2500, Wayne Pennsylvania 19087, USA.
  •  
    6. Clinical and Laboratory Standards Institute (CLSI). Methods for Mycobacteria, Nocardiae, and Other Aerobic Actinomycetes; Approved Standard – Second Edition. CLSI document M24-A2 [2011], Clinical Laboratory Standards Institute, 950 West Valley Road, Suite 2500, Wayne Pennsylvania 19087, USA.
  •  
    7. Clinical and Laboratory Standards Institute (CLSI). Methods for Antimicrobial Susceptibility Testing for Human Mycoplasmas; Approved Guideline. CLSI document M43-A [2011], Clinical Laboratory Standards Institute, 950 West Valley Road, Suite 2500, Wayne Pennsylvania 19087, USA.
  •  
    8. Friedman JM and Polifka JE. Teratogenic Effects of Drugs. A Resource for Clinicians (TERIS). Baltimore, MD: The Johns Hopkins University Press: 2000: 149-195.
  •  
    9. Cziezel AE and Rockenbauer M. Teratogenic study of doxycycline. Obstet Gynecol 1997;89:524-528.
  •  
    10. Horne HW Jr. and Kundsin RB. The role of mycoplasma among 81 consecutive pregnancies: a prospective study. Int J Fertil 1980; 25:315-317.
  •  
    11. Hale T. Medications and Mothers Milk. 9 th edition. Amarillo, TX: Pharmasoft Publishing 2000; 225-226.

Manufactured for:

Ranbaxy Pharmaceuticals Inc.

Jacksonville, FL 32257 USA

  •  
    July 2018 FDA-09
Clinical Pharmacology

Tetracyclines are readily absorbed and are bound to plasma proteins in varying degrees. They are concentrated by the liver in the bile and excreted in the urine and feces at high concentrations in a biologically active form. Doxycycline is virtually completely absorbed after oral administration.

Following a 200 mg dose of doxycycline monohydrate, 24 normal adult volunteers averaged the following serum concentration values:

Time (hr):

0.5

1

1.5

2

3

4

8

12

24

48

72

Conc:

(mcg/mL):

1.02

2.26

2.67

3.01

3.16

3.03

2.03

1.62

0.95

0.37

0.15

Average Observed Values

Maximum Concentration

3.61 mcg/mL (± 0.9 sd)

Time of Maximum Concentration

2.60 hr (± 1.10 sd)

Elimination Rate Constant

0.049 per hr (± 0.030 sd)

Half-Life

16.33 hr (± 4.53 sd)

Excretion of doxycycline by the kidney is about 40%/72 hours in individuals with normal function (creatinine clearance about 75 mL/min). This percentage excretion may fall as low as 1 to 5%/72 hours in individuals with severe renal insufficiency (creatinine clearance below 10 mL/min). Studies have shown no significant difference in serum half-life of doxycycline (range 18to22 hours) in individuals with normal and severely impaired renal function.

Hemodialysis does not alter serum half-life.

Microbiology:

Mechanism of Action

Doxycycline inhibits bacterial protein synthesis by binding to the 30S ribosomal subunit. Doxycycline has bacteriostatic activity against a broad range of Gram-positive and Gram-negative bacteria.

Resistance

Cross resistance with other tetracyclines is common.

Antimicrobial Activity

Doxycycline has been shown to be active against most isolates of the following microorganisms, both in vitro and in clinical infections (see INDICATIONS AND USAGE ).

GramNegative Bacteria

  •  
    Acinetobacter species
  •  
    Bartonella bacilliformis
  •  
    Brucella species
  •  
    Campylobacter fetus
  •  
    Enterobacter aerogenes
  •  
    Escherichia coli
  •  
    Francisella tularensis
  •  
    Haemophilus ducreyi
  •  
    Haemophilus influenzae
  •  
    Klebsiella granulomatis
  •  
    Klebsiella species
  •  
    Neisseria gonorrhoeae
  •  
    Shigella species
  •  
    Vibrio cholerae
  •  
    Yersinia pestis

GramPositive Bacteria

Bacillus anthracis

Listeria monocytogenes

Streptococcus pneumoniae

Anaerobic Bacteria

  •  
    Clostridium species
  •  
    Fusobacterium fusiforme
  •  
    Propionibacterium acnes

Other Bacteria

Nocardiae and other Actinomyces species

Borrelia recurrentis

Chlamydophila psittaci

Chlamydia trachomatis

Mycoplasma pneumoniae

Rickettsiae

Treponema pallidum

Treponema pallidum subspecies pertenue

Ureaplasma urealyticum

Parasites

Balantidium coli

Entamoeba species

Susceptibility Testing Methods

When available, the clinical microbiology laboratory should provide cumulative reports of in vitro susceptibility test results for antimicrobial drugs used in local hospitals and practice areas as periodic reports that describe the susceptibility profile of nosocomial and community-acquired pathogens. These reports should aid the physician in selecting the most effective antimicrobial.

Dilution Techniques

Quantitative methods are used to determine antimicrobial minimum inhibitory concentrations (MICs). These MICs provide estimates of the susceptibility of bacteria to antimicrobial compounds. The MICs should be determined using a standardized test method (broth and/or agar).1,2,4,6,7 The MIC values should be interpreted according to criteria provided in Table 1.

Diffusion Techniques

Quantitative methods that require measurement of zone diameters can also provide reproducible estimates of the susceptibility of bacteria to antimicrobial compounds. The zone size should be determined using a standardized test method .1,3,4 This procedure uses paper disks impregnated with 30 mcg doxycycline to test the susceptibility of microorganisms to doxycycline. The disk diffusion interpretive criteria are provided in Table 1.

Anaerobic Techniques

For anaerobic bacteria, the susceptibility to doxycycline can be determined by a standardized test method.1,5 The MIC values obtained should be interpreted according to the criteria provided in Table 1

Table 1: Susceptibility Test Interpretive Criteria for Doxycycline and Tetracycline

Bacteria*

Minimal Inhibitory Concentration (mcg per mL)

Zone Diameter (mm)

Agar Dilution (mcg per mL)

S

I

R

S

I

R

S

I

R

Acinetobacter spp.

  •  
    Doxycycline

≤ 4

8

≥ 16

≥ 13

10 to 12

≤ 9

-

-

-

  •  
    Tetracycline

≤ 4

8

≥ 16

≥ 15

12 to 14

≤ 11

-

-

-

Anaerobes

  •  
    Tetracycline

-

-

-

-

-

-

≤ 4

8

16

Bacillus anthracis

  •  
    Doxycycline

≤ 1

-

-

-

-

-

-

-

-

  •  
    Tetracycline

≤ 1

-

-

-

-

-

-

-

-

Brucella species†

  •  
    Doxycycline

≤ 1

-

-

-

-

-

-

-

-

  •  
    Tetracycline

≤ 1

-

-

-

-

-

-

-

-

Enterobacteriaceae

  •  
    Doxycycline

≤ 4

8

≥ 16

≥ 14

11 to 13

≤ 10

-

-

-

  •  
    Tetracycline

≤ 4

8

≥ 16

≥ 15

12 to 14

≤ 11

-

-

-

Franciscella tularensis

  •  
    Doxycycline

≤ 4

-

-

-

-

-

-

-

-

  •  
    Tetracycline

≤ 4

-

-

-

-

-

-

-

-

Haemophilus influenzae

-

-

-

  •  
    Tetracycline

≤ 2

4

≥ 8

≥ 29

26 to 28

≤ 25

-

-

-

Mycoplasma pneumoniae

  •  
    Tetracycline

-

-

-

-

-

-

≤ 2

-

-

Neisseria gonorrhoeae

  •  
    Tetracycline

-

-

-

≥ 38

31 to 37

≤ 30

≤ 0.25

0.5 to 1

≥ 2

Norcardiae and other aerobic Actinomyces species†

  •  
    Doxycycline

≤ 1

2 to 4

≥ 8

-

-

-

-

-

-

Streptococcus pneumoniae

  •  
    Doxycycline
  •  
    Tetracycline

< 0.25

≤ 1

0.5

2

≥ 1

≥ 4

≥ 28

≥ 28

25 to 27

25 to 27

< 24 ≤ 24

-

-

-

Vibrio cholerae

  •  
    Doxycycline

≤ 4

8

≥ 16

-

-

-

-

-

-

  •  
    Tetracycline

≤ 4

8

≥ 16

-

-

-

-

-

-

Yersinia pestis

  •  
    Doxycycline

≤ 4

8

≥ 16

-

-

-

-

-

-

  •  
    Tetracycline

≤ 4

8

≥ 16

-

-

-

-

-

-

Ureaplasma urealyticum

  •  
    Tetracycline

-

-

-

-

-

-

≤ 1

-

≥ 2

  •  
    * Organisms susceptible to tetracycline are also considered susceptible to doxycycline. However, some organisms that are intermediate or resistant to tetracycline may be susceptible to doxycycline.
  •  
    † The current absence of resistance isolates precludes defining any results other than "Susceptible". If isolates yielding MIC results other than susceptible, they should be submitted to a reference laboratory for further testing.
  •  
    ‡ Gonococci with 30 mcg tetracycline disk zone diameters of less than 19 mm usually indicate a plasmid-mediated tetracycline resistant Neisseria gonorrhoeae isolate. Resistance in these strains should be confirmed by a dilution test (MIC ≥ 16 mcg per mL).

A report of Susceptible (S) indicates that the antimicrobial is likely to inhibit growth of the microorganism if the antimicrobial drug reaches the concentration usually achievable at the site of infection. A report of Intermediate (I) indicates that the result should be considered equivocal, and, if the microorganism is not fully susceptible to alternative, clinically feasible drugs, the test should be repeated. This category implies possible clinical applicability in body sites where the drug product is physiologically concentrated or in situations where high dosage of drug can be used. This category also provides a buffer zone that prevents small uncontrolled technical factors from causing major discrepancies in interpretation. A report of Resistant (R) indicates that the antimicrobial drug is not likely to inhibit growth of the microorganism if the antimicrobial drug reaches the concentrations usually achievable at the infection site; other therapy should be selected.

Quality Control

Standardized susceptibility test procedures require the use of laboratory controls to monitor and ensure the accuracy and precision of the supplies and reagents used in the assay, and the techniques of the individuals performing the test.1,2,3,4,5,6,7 Standard doxycycline and tetracycline powders should provide the following range of MIC values noted in Table 2. For the diffusion technique using the 30 mcg doxycycline disk or 30 mcg tetracycline disk, the criteria noted in Table 2 should be achieved.

Table 2: Acceptable Quality Control Ranges for Susceptibility Testing for Doxycycline and Tetracycline

QC Strain

Minimal Inhibitory Concentration (mcg per mL)

Zone Diameter (mm)

Agar Dilution (mcg per mL)

Enterococcus faecalis ATCC 29212

  •  
    Doxycycline

2 to 8

-

-

  •  
    Tetracycline

8 to 32

-

-

Escherichia coli ATCC 25922

  •  
    Doxycycline

0.5 to 2

18 to 24

-

  •  
    Tetracycline

0.5 to 2

18 to 25

-

  •  
    Eggerthella lenta ATCC 43055 Doxycycline

2 to 16

Haemophilus influenzae ATCC 49247

Tetracycline

4 to 32

14 to 22

-

Neisseria gonorrhoeae ATCC 49226

Tetracycline

-

30 to 42

0.25 to 1

Staphylococcus aureus ATCC 25923

  •  
    Doxycycline

-

23 to 29

-

  •  
    Tetracycline

-

24 to 30

-

Staphylococcus aureus ATCC 29213

  •  
    Doxycycline

0.12 to 0.5

-

-

  •  
    Tetracycline

0.12 to 1

-

-

Streptococcus pneumoniae ATCC 49619

  •  
    Doxycycline

0.015 to 0.12

25 to 34

-

  •  
    Tetracycline

0.06 to 0.5

27 to 31

-

Bacteroides fragilis ATCC 25285

  •  
    Tetracycline

-

-

0.125 to 0.5

Bacteroides thetaiotaomicron ATCC 29741

  •  
    Doxycycline
  •  
    Tetracycline

2 to 8

-

-

8 to 32

Mycoplasma pneumoniae ATCC 29342

  •  
    Tetracycline

0.06 to 0.5

-

0.06 to 0.5

Ureaplasma urealyticum ATCC 33175

  •  
    Tetracycline

-

-

≥ 8

*ATCC is the American Type Culture Collection

Package/label Display Panel

RANBAXY

NDC 63304-130-10

DOXYCYCLINE TABLETS

50 mg*

(*doxycycline monohydrate, USP equivalent to 50 mg of doxycycline)

  •  
    Rx only

1000 Tablets

Package Label. Principal Display Panel

RANBAXY

NDC 63304-173-30

DOXYCYCLINE TABLETS

150 mg*

(*doxycycline monohydrate, USP equivalent to 150 mg of doxycycline)

  •  
    Rx only
  •  
    30 Tablets
Animal Pharmacology and Animal Toxicology

Hyperpigmentation of the thyroid has been produced by members of the tetracycline class in the following species: in rats by oxytetracycline, doxycycline, tetracycline PO4, and methacycline; in minipigs by doxycycline, minocycline, tetracycline PO4, and methacycline; in dogs by doxycycline and minocycline; in monkeys by minocycline.

Minocycline, tetracycline PO4, methacycline, doxycycline, tetracycline base, oxytetracycline HCl and tetracycline HCl were goitrogenic in rats fed a low iodine diet. This goitrogenic effect was accompanied by high radioactive iodine uptake. Administration of minocycline also produced a large goiter with high radioiodine uptake in rats fed a relatively high iodine diet.

Treatment of various animal species with this class of drugs has also resulted in the induction of thyroid hyperplasia in the following: in rats and dogs (minocycline), in chickens (chlortetracycline) and in rats and mice (oxytetracycline). Adrenal gland hyperplasia has been observed in goats and rats treated with oxytetracycline.


Structured Label Content

Section 42229-5 (42229-5)

To reduce the development of drug-resistant bacteria and maintain the effectiveness of doxycycline tablets and other antibacterial drugs, doxycycline tablets should be used only to treat or prevent infections that are proven or strongly suspected to be caused by bacteria.

Warnings (WARNINGS)

The use of drugs of the tetracycline class during tooth development (last half of pregnancy, infancy, and childhood to the age of 8 years) may cause permanent discoloration of the teeth (yellow-gray-brown). This adverse reaction is more common during long-term use of the drugs, but it has been observed following repeated short-term courses. Enamel hypoplasia has also been reported. Use of doxycycline in pediatric patients 8 years of age or less only when the potential benefits are expected to outweigh the risks in severe or life-threatening conditions (e.g. anthrax, Rocky Mountain spotted fever), particularly when there are no alternative therapies.

Clostridium difficile associated diarrhea (CDAD) has been reported with use of nearly all antibacterial agents, including doxycycline, and may range in severity from mild diarrhea to fatal colitis. Treatment with antibacterial agents alters the normal flora of the colon leading to overgrowth of C. difficile.

C. difficile produces toxins A and B which contribute to the development of CDAD. Hypertoxin producing strains of C. difficile cause increased morbidity and mortality, as these infections can be refractory to antimicrobial therapy and may require colectomy. CDAD must be considered in all patients who present with diarrhea following antibiotic use. Careful medical history is necessary since CDAD has been reported to occur over two months after the administration of antibacterial agents.

If CDAD is suspected or confirmed, ongoing antibiotic use not directed against C. difficile may need to be discontinued. Appropriate fluid and electrolyte management, protein supplementation, antibiotic treatment of C. difficile, and surgical evaluation should be instituted as clinically indicated.

Intracranial hypertension (IH, pseudotumor cerebri) has been associated with the use of tetracyclines including doxycycline. Clinical manifestations of IH include headache, blurred vision, diplopia, and vision loss; papilledema can be found on fundoscopy. Women of childbearing age who are overweight or have a history of IH are at greater risk for developing tetracycline associated IH. Concomitant use of isotretinoin and doxycycline should be avoided because isotretinoin is also known to cause pseudotumor cerebri.

Although IH typically resolves after discontinuation of treatment, the possibility for permanent visual loss exists. If visual disturbance occurs during treatment, prompt ophthalmologic evaluation is warranted. Since intracranial pressure can remain elevated for weeks after drug cessation patients should be monitored until they stabilize.

All tetracyclines form a stable calcium complex in any bone-forming tissue. A decrease in the fibula growth rate has been observed in prematures given oral tetracycline in doses of 25 mg/kg every six hours. This reaction was shown to be reversible when the drug was discontinued.

Results of animal studies indicate that tetracyclines cross the placenta, are found in fetal tissues, and can have toxic effects on the developing fetus (often related to retardation of skeletal development). Evidence of embryo toxicity has been noted in animals treated early in pregnancy. If any tetracycline is used during pregnancy or if the patient becomes pregnant while taking these drugs, the patient should be apprised of the potential hazard to the fetus.

The antianabolic action of the tetracyclines may cause an increase in BUN. Studies to date indicate that this does not occur with the use of doxycycline in patients with impaired renal function.

Photosensitivity manifested by an exaggerated sunburn reaction has been observed in some individuals taking tetracyclines. Patients apt to be exposed to direct sunlight or ultraviolet light should be advised that this reaction can occur with tetracycline drugs, and treatment should be discontinued at the first evidence of skin erythema.

Overdosage (OVERDOSAGE)

In case of overdosage, discontinue medication, treat symptomatically and institute supportive measures. Dialysis does not alter serum half-life, and it would not be of benefit in treating cases of overdosage.

References (REFERENCES)
  •  
    1. Clinical and Laboratory Standards Institute (CLSI). Performance Standards for Antimicrobial Susceptibility Testing; Twenty-seventh Informational Supplement, CLSI document M100-S27 [2017]. CLSI document M100S23, Clinical Laboratory Standards Institute, 950 West Valley Road, Suite 2500,Wayne Pennsylvania 19087, USA.
  •  
    2. Clinical and Laboratory Standards Institute (CLSI). Methods for Dilution Antimicrobial Susceptibility Tests for Bacteria that Grow Aerobically; Approved Standard – Tenth Edition. CLSI document M07-A10 [2015], Clinical Laboratory Standards Institute, 950 West Valley Road, Suite 2500, Wayne Pennsylvania 19087, USA.
  •  
    3. Clinical and Laboratory Standards Institute (CLSI). Performance Standards for Antimicrobial Disk Diffusion Susceptibility Tests; Approved Standard – Twelfth Edition. CLSI document M02-A12 [2015], Clinical Laboratory Standards Institute, 950 West Valley Road, Suite 2500, Wayne Pennsylvania 19087, USA.
  •  
    4. Clinical and Laboratory Standards Institute (CLSI). Methods for Antimicrobial Dilution and Disk Susceptibility Testing of Infrequently Isolated or Fastidious Bacteria; Approved Guideline – Third Edition. CLSI document M45-A3 [2015], Clinical Laboratory Standards Institute, 950 West Valley Road, Suite 2500, Wayne Pennsylvania 19087, USA.
  •  
    5. Clinical and Laboratory Standards Institute (CLSI). Methods for Antimicrobial Susceptibility Testing of Anaerobic Bacteria; Approved Standard – Eighth Edition. CLSI document M11-A8 [2012], Clinical Laboratory Standards Institute, 950 West Valley Road, Suite 2500, Wayne Pennsylvania 19087, USA.
  •  
    6. Clinical and Laboratory Standards Institute (CLSI). Methods for Mycobacteria, Nocardiae, and Other Aerobic Actinomycetes; Approved Standard – Second Edition. CLSI document M24-A2 [2011], Clinical Laboratory Standards Institute, 950 West Valley Road, Suite 2500, Wayne Pennsylvania 19087, USA.
  •  
    7. Clinical and Laboratory Standards Institute (CLSI). Methods for Antimicrobial Susceptibility Testing for Human Mycoplasmas; Approved Guideline. CLSI document M43-A [2011], Clinical Laboratory Standards Institute, 950 West Valley Road, Suite 2500, Wayne Pennsylvania 19087, USA.
  •  
    8. Friedman JM and Polifka JE. Teratogenic Effects of Drugs. A Resource for Clinicians (TERIS). Baltimore, MD: The Johns Hopkins University Press: 2000: 149-195.
  •  
    9. Cziezel AE and Rockenbauer M. Teratogenic study of doxycycline. Obstet Gynecol 1997;89:524-528.
  •  
    10. Horne HW Jr. and Kundsin RB. The role of mycoplasma among 81 consecutive pregnancies: a prospective study. Int J Fertil 1980; 25:315-317.
  •  
    11. Hale T. Medications and Mothers Milk. 9 th edition. Amarillo, TX: Pharmasoft Publishing 2000; 225-226.

Manufactured for:

Ranbaxy Pharmaceuticals Inc.

Jacksonville, FL 32257 USA

  •  
    July 2018 FDA-09
Description (DESCRIPTION)

Doxycycline is a broad-spectrum antibacterial synthetically derived from oxytetracycline. Doxycycline 150 mg, 100 mg, 75 mg, and 50 mg tablets contain doxycycline monohydrate, USP equivalent to 150 mg, 100 mg, 75 mg, or 50 mg of doxycycline for oral administration. Inactive ingredients include colloidal silicon dioxide, hypromellose, magnesium stearate, microcrystalline cellulose, polysorbate 80, sodium starch glycolate, and titanium dioxide. In addition, doxycycline 50 mg tablets contain: FD&C Blue #1 Aluminum lake and polyethylene glycol, 75 mg tablets contain: D&C Yellow #10 Aluminum lake, FD&C Blue #1 Aluminum lake, FD&C Yellow #6 Aluminum lake and triacetin, 100 mg tablets contain: polyethylene glycol and FD&C Blue #1 Aluminum lake and 150 mg tablets contain: polyethylene glycol. Its molecular weight is 462.46. The chemical designation of the light-yellow crystalline powder is alpha-6-deoxy-5-oxytetracycline.

Structural formula:

C22H24N2O8•H2O

Doxycycline has a high degree of lipid solubility and a low affinity for calcium binding. It is highly stable in normal human serum. Doxycycline will not degrade into an epianhydro form

How Supplied (HOW SUPPLIED)

Doxycycline tablets 50 mg are light blue colored, round, convex faced, film-coated, debossed with “RX130” on one side and plain on the other side. Each tablet contains doxycycline monohydrate, USP equivalent to 50 mg of doxycycline. They are supplied as follows:

NDC 63304-130-10 Bottles of 1000

Doxycycline tablets 75 mg are green colored, round, convex faced, film-coated, debossed with “RX131” on one side and plain on the other side. Each tablet contains doxycycline monohydrate, USP equivalent to 75 mg of doxycycline. They are supplied as follows:

NDC 63304-131-01 Bottles of 100

NDC 63304-131-10 Bottles of 1000

Doxycycline tablets 100 mg are dark blue colored, round, convex faced, film-coated, debossed with “RX132” on one side and plain on the other side. Each tablet contains doxycycline monohydrate, USP equivalent to 100 mg of doxycycline. They are supplied as follows:

NDC 63304-132-50 Bottles of 50

NDC 63304-132-04 Bottles of 250

NDC 63304-132-10 Bottles of 1000

Doxycycline tablets 150 mg are white colored, convex faced, film-coated, debossed with “RX” above the bisect and “173” below the bisect on one side and plain on the other side. Each tablet contains doxycycline monohydrate, USP equivalent to 150 mg of doxycycline. They are supplied as follows:

NDC 63304-173-03 Bottles of 10

NDC 63304-173-30 Bottles of 30

NDC 63304-173-10 Bottles of 1000

NDC 63304-173-69 Blister pack of 10

Store at 20° - 25° C (68° - 77° F) [See USP Controlled Room temperature]. Protect from light.

DISPENSE IN A TIGHT LIGHT RESISTANT CONTAINER AS DEFINED IN THE USP/NF.

Storage of Blister Pack

PROTECT FROM LIGHT. RETAIN IN CARTON UNTIL TIME OF USE.

You may report side effects to FDA at 1-800-FDA-1088.

Adverse Reactions (ADVERSE REACTIONS)

Due to oral doxycycline’s virtually complete absorption, side effects to the lower bowel, particularly diarrhea, have been infrequent. The following adverse reactions have been observed in patients receiving tetracyclines.

Gastrointestinal: Anorexia, nausea, vomiting, diarrhea, glossitis, dysphagia, enterocolitis, and inflammatory lesions (with monilial overgrowth) in the anogenital region, and pancreatitis. Hepatotoxicity has been reported. These reactions have been caused by both the oral and parenteral administration of tetracyclines. Rare instances of esophagitis and esophageal ulcerations have been reported in patients receiving capsule and tablet forms of drugs in the tetracycline class. Most of these patients took medications immediately before going to bed. (See DOSAGE AND ADMINISTRATION .)

Skin: Maculopapular and erythematous rashes, Stevens-Johnson syndrome, toxic epidermal necrolysis, and erythema multiforme have been reported. Exfoliative dermatitis has been reported but is uncommon. Photosensitivity is discussed above. (See WARNINGS).

Renal Toxicity: Rise in BUN has been reported and is apparently dose related. (See WARNINGS .)

Hypersensitivity Reactions: Urticaria, angioneurotic edema, anaphylaxis, anaphylactoid purpura, serum sickness, pericarditis, and exacerbation of systemic lupus erythematosus.

Blood: Hemolytic anemia, thrombocytopenia, neutropenia, and eosinophilia have been reported with tetracyclines.

Other: Intracranial hypertension (IH, pseudotumor cerebri) has been associated with the use of tetracyclines. (See PRECAUTIONS-General).

When given over prolonged periods, tetracyclines have been reported to produce brown-black microscopic discoloration of the thyroid gland. No abnormalities of thyroid function are known to occur.

Contraindications (CONTRAINDICATIONS)

This drug is contraindicated in persons who have shown hypersensitivity to any of the tetracyclines.

Clinical Pharmacology (CLINICAL PHARMACOLOGY)

Tetracyclines are readily absorbed and are bound to plasma proteins in varying degrees. They are concentrated by the liver in the bile and excreted in the urine and feces at high concentrations in a biologically active form. Doxycycline is virtually completely absorbed after oral administration.

Following a 200 mg dose of doxycycline monohydrate, 24 normal adult volunteers averaged the following serum concentration values:

Time (hr):

0.5

1

1.5

2

3

4

8

12

24

48

72

Conc:

(mcg/mL):

1.02

2.26

2.67

3.01

3.16

3.03

2.03

1.62

0.95

0.37

0.15

Average Observed Values

Maximum Concentration

3.61 mcg/mL (± 0.9 sd)

Time of Maximum Concentration

2.60 hr (± 1.10 sd)

Elimination Rate Constant

0.049 per hr (± 0.030 sd)

Half-Life

16.33 hr (± 4.53 sd)

Excretion of doxycycline by the kidney is about 40%/72 hours in individuals with normal function (creatinine clearance about 75 mL/min). This percentage excretion may fall as low as 1 to 5%/72 hours in individuals with severe renal insufficiency (creatinine clearance below 10 mL/min). Studies have shown no significant difference in serum half-life of doxycycline (range 18to22 hours) in individuals with normal and severely impaired renal function.

Hemodialysis does not alter serum half-life.

Microbiology:

Mechanism of Action

Doxycycline inhibits bacterial protein synthesis by binding to the 30S ribosomal subunit. Doxycycline has bacteriostatic activity against a broad range of Gram-positive and Gram-negative bacteria.

Resistance

Cross resistance with other tetracyclines is common.

Antimicrobial Activity

Doxycycline has been shown to be active against most isolates of the following microorganisms, both in vitro and in clinical infections (see INDICATIONS AND USAGE ).

GramNegative Bacteria

  •  
    Acinetobacter species
  •  
    Bartonella bacilliformis
  •  
    Brucella species
  •  
    Campylobacter fetus
  •  
    Enterobacter aerogenes
  •  
    Escherichia coli
  •  
    Francisella tularensis
  •  
    Haemophilus ducreyi
  •  
    Haemophilus influenzae
  •  
    Klebsiella granulomatis
  •  
    Klebsiella species
  •  
    Neisseria gonorrhoeae
  •  
    Shigella species
  •  
    Vibrio cholerae
  •  
    Yersinia pestis

GramPositive Bacteria

Bacillus anthracis

Listeria monocytogenes

Streptococcus pneumoniae

Anaerobic Bacteria

  •  
    Clostridium species
  •  
    Fusobacterium fusiforme
  •  
    Propionibacterium acnes

Other Bacteria

Nocardiae and other Actinomyces species

Borrelia recurrentis

Chlamydophila psittaci

Chlamydia trachomatis

Mycoplasma pneumoniae

Rickettsiae

Treponema pallidum

Treponema pallidum subspecies pertenue

Ureaplasma urealyticum

Parasites

Balantidium coli

Entamoeba species

Susceptibility Testing Methods

When available, the clinical microbiology laboratory should provide cumulative reports of in vitro susceptibility test results for antimicrobial drugs used in local hospitals and practice areas as periodic reports that describe the susceptibility profile of nosocomial and community-acquired pathogens. These reports should aid the physician in selecting the most effective antimicrobial.

Dilution Techniques

Quantitative methods are used to determine antimicrobial minimum inhibitory concentrations (MICs). These MICs provide estimates of the susceptibility of bacteria to antimicrobial compounds. The MICs should be determined using a standardized test method (broth and/or agar).1,2,4,6,7 The MIC values should be interpreted according to criteria provided in Table 1.

Diffusion Techniques

Quantitative methods that require measurement of zone diameters can also provide reproducible estimates of the susceptibility of bacteria to antimicrobial compounds. The zone size should be determined using a standardized test method .1,3,4 This procedure uses paper disks impregnated with 30 mcg doxycycline to test the susceptibility of microorganisms to doxycycline. The disk diffusion interpretive criteria are provided in Table 1.

Anaerobic Techniques

For anaerobic bacteria, the susceptibility to doxycycline can be determined by a standardized test method.1,5 The MIC values obtained should be interpreted according to the criteria provided in Table 1

Table 1: Susceptibility Test Interpretive Criteria for Doxycycline and Tetracycline

Bacteria*

Minimal Inhibitory Concentration (mcg per mL)

Zone Diameter (mm)

Agar Dilution (mcg per mL)

S

I

R

S

I

R

S

I

R

Acinetobacter spp.

  •  
    Doxycycline

≤ 4

8

≥ 16

≥ 13

10 to 12

≤ 9

-

-

-

  •  
    Tetracycline

≤ 4

8

≥ 16

≥ 15

12 to 14

≤ 11

-

-

-

Anaerobes

  •  
    Tetracycline

-

-

-

-

-

-

≤ 4

8

16

Bacillus anthracis

  •  
    Doxycycline

≤ 1

-

-

-

-

-

-

-

-

  •  
    Tetracycline

≤ 1

-

-

-

-

-

-

-

-

Brucella species†

  •  
    Doxycycline

≤ 1

-

-

-

-

-

-

-

-

  •  
    Tetracycline

≤ 1

-

-

-

-

-

-

-

-

Enterobacteriaceae

  •  
    Doxycycline

≤ 4

8

≥ 16

≥ 14

11 to 13

≤ 10

-

-

-

  •  
    Tetracycline

≤ 4

8

≥ 16

≥ 15

12 to 14

≤ 11

-

-

-

Franciscella tularensis

  •  
    Doxycycline

≤ 4

-

-

-

-

-

-

-

-

  •  
    Tetracycline

≤ 4

-

-

-

-

-

-

-

-

Haemophilus influenzae

-

-

-

  •  
    Tetracycline

≤ 2

4

≥ 8

≥ 29

26 to 28

≤ 25

-

-

-

Mycoplasma pneumoniae

  •  
    Tetracycline

-

-

-

-

-

-

≤ 2

-

-

Neisseria gonorrhoeae

  •  
    Tetracycline

-

-

-

≥ 38

31 to 37

≤ 30

≤ 0.25

0.5 to 1

≥ 2

Norcardiae and other aerobic Actinomyces species†

  •  
    Doxycycline

≤ 1

2 to 4

≥ 8

-

-

-

-

-

-

Streptococcus pneumoniae

  •  
    Doxycycline
  •  
    Tetracycline

< 0.25

≤ 1

0.5

2

≥ 1

≥ 4

≥ 28

≥ 28

25 to 27

25 to 27

< 24 ≤ 24

-

-

-

Vibrio cholerae

  •  
    Doxycycline

≤ 4

8

≥ 16

-

-

-

-

-

-

  •  
    Tetracycline

≤ 4

8

≥ 16

-

-

-

-

-

-

Yersinia pestis

  •  
    Doxycycline

≤ 4

8

≥ 16

-

-

-

-

-

-

  •  
    Tetracycline

≤ 4

8

≥ 16

-

-

-

-

-

-

Ureaplasma urealyticum

  •  
    Tetracycline

-

-

-

-

-

-

≤ 1

-

≥ 2

  •  
    * Organisms susceptible to tetracycline are also considered susceptible to doxycycline. However, some organisms that are intermediate or resistant to tetracycline may be susceptible to doxycycline.
  •  
    † The current absence of resistance isolates precludes defining any results other than "Susceptible". If isolates yielding MIC results other than susceptible, they should be submitted to a reference laboratory for further testing.
  •  
    ‡ Gonococci with 30 mcg tetracycline disk zone diameters of less than 19 mm usually indicate a plasmid-mediated tetracycline resistant Neisseria gonorrhoeae isolate. Resistance in these strains should be confirmed by a dilution test (MIC ≥ 16 mcg per mL).

A report of Susceptible (S) indicates that the antimicrobial is likely to inhibit growth of the microorganism if the antimicrobial drug reaches the concentration usually achievable at the site of infection. A report of Intermediate (I) indicates that the result should be considered equivocal, and, if the microorganism is not fully susceptible to alternative, clinically feasible drugs, the test should be repeated. This category implies possible clinical applicability in body sites where the drug product is physiologically concentrated or in situations where high dosage of drug can be used. This category also provides a buffer zone that prevents small uncontrolled technical factors from causing major discrepancies in interpretation. A report of Resistant (R) indicates that the antimicrobial drug is not likely to inhibit growth of the microorganism if the antimicrobial drug reaches the concentrations usually achievable at the infection site; other therapy should be selected.

Quality Control

Standardized susceptibility test procedures require the use of laboratory controls to monitor and ensure the accuracy and precision of the supplies and reagents used in the assay, and the techniques of the individuals performing the test.1,2,3,4,5,6,7 Standard doxycycline and tetracycline powders should provide the following range of MIC values noted in Table 2. For the diffusion technique using the 30 mcg doxycycline disk or 30 mcg tetracycline disk, the criteria noted in Table 2 should be achieved.

Table 2: Acceptable Quality Control Ranges for Susceptibility Testing for Doxycycline and Tetracycline

QC Strain

Minimal Inhibitory Concentration (mcg per mL)

Zone Diameter (mm)

Agar Dilution (mcg per mL)

Enterococcus faecalis ATCC 29212

  •  
    Doxycycline

2 to 8

-

-

  •  
    Tetracycline

8 to 32

-

-

Escherichia coli ATCC 25922

  •  
    Doxycycline

0.5 to 2

18 to 24

-

  •  
    Tetracycline

0.5 to 2

18 to 25

-

  •  
    Eggerthella lenta ATCC 43055 Doxycycline

2 to 16

Haemophilus influenzae ATCC 49247

Tetracycline

4 to 32

14 to 22

-

Neisseria gonorrhoeae ATCC 49226

Tetracycline

-

30 to 42

0.25 to 1

Staphylococcus aureus ATCC 25923

  •  
    Doxycycline

-

23 to 29

-

  •  
    Tetracycline

-

24 to 30

-

Staphylococcus aureus ATCC 29213

  •  
    Doxycycline

0.12 to 0.5

-

-

  •  
    Tetracycline

0.12 to 1

-

-

Streptococcus pneumoniae ATCC 49619

  •  
    Doxycycline

0.015 to 0.12

25 to 34

-

  •  
    Tetracycline

0.06 to 0.5

27 to 31

-

Bacteroides fragilis ATCC 25285

  •  
    Tetracycline

-

-

0.125 to 0.5

Bacteroides thetaiotaomicron ATCC 29741

  •  
    Doxycycline
  •  
    Tetracycline

2 to 8

-

-

8 to 32

Mycoplasma pneumoniae ATCC 29342

  •  
    Tetracycline

0.06 to 0.5

-

0.06 to 0.5

Ureaplasma urealyticum ATCC 33175

  •  
    Tetracycline

-

-

≥ 8

*ATCC is the American Type Culture Collection

Indications and Usage (INDICATIONS AND USAGE)

To reduce the development of drug-resistant bacteria and maintain effectiveness of doxycycline tablets and other antibacterial drugs, doxycycline tablets should be used only to treat or prevent infections that are proven or strongly suspected to be caused by susceptible bacteria. When culture and susceptibility information are available, they should be considered in selecting or modifying antibacterial therapy. In the absence of such data, local epidemiology and susceptibility patterns may contribute to the empiric selection of therapy.

Doxycycline tablets are indicated for the treatment of the following infections:

Rocky Mountain spotted fever, typhus fever and the typhus group, Q fever, rickettsialpox, and tick fevers caused by Rickettsiae.

Respiratory tract infections caused by Mycoplasma pneumoniae.

Lymphogranuloma venereum caused by Chlamydia trachomatis.

Psittacosis (ornithosis) caused by Chlamydophila psittaci.

Trachoma caused by Chlamydia trachomatis, although the infectious agent is not always eliminated as judged by immunofluorescence.

Inclusion conjunctivitis caused by Chlamydia trachomatis.

Uncomplicated urethral, endocervical or rectal infections in adults caused by Chlamydia trachomatis.

Nongonococcal urethritis caused by Ureaplasma urealyticum.

Relapsing fever due to Borrelia recurrentis.

Doxycycline tablets are also indicated for the treatment of infections caused by the following gram-negative microorganisms:

Chancroid caused by Haemophilus ducreyi.

Plague due to Yersinia pestis.

Tularemia due to Francisella tularensis.

Cholera caused by Vibrio cholerae.

Campylobacter fetus infections caused by Campylobacter fetus.

Brucellosis due to Brucella species (in conjunction with streptomycin).

Bartonellosis due to Bartonella bacilliformis.

Granuloma inguinale caused by Klebsiella granulomatis.

Because many strains of the following groups of microorganisms have been shown to be resistant to doxycycline, culture and susceptibility testing are recommended.

Doxycycline tablets are indicated for treatment of infections caused by the following gram-negative microorganisms, when bacteriologic testing indicates appropriate susceptibility to the drug:

Escherichia coli

Enterobacter aerogenes

Shigella species

Acinetobacter species

Respiratory tract infections caused by Haemophilus influenzae.

Respiratory tract and urinary tract infections caused by Klebsiella species

Doxycycline tablets are indicated for treatment of infections caused by the following gram-positive microorganisms when bacteriologic testing indicates appropriate susceptibility to the drug:

Upper respiratory infections caused by Streptococcus pneumoniae.

Anthrax due to Bacillus anthracis, including inhalational anthrax (post-exposure): to reduce the incidence or progression of disease following exposure to aerosolized Bacillus anthracis.

When penicillin is contraindicated, doxycycline tablets are an alternative drug in the treatment of the following infections:

Uncomplicated gonorrhea caused by Neisseria gonorrhoeae.

Syphilis caused by Treponema pallidum.

Yaws caused by Treponema pallidum subspecies pertenue.

Listeriosis due to Listeria monocytogenes.

Vincent’s infection caused by Fusobacterium fusiforme.

Actinomycosis caused by Actinomyces israelii.

Infections caused by Clostridium species.

In acute intestinal amebiasis, doxycycline tablets may be a useful adjunct to amebicides.

In severe acne, doxycycline tablets may be useful adjunctive therapy.

Dosage and Administration (DOSAGE AND ADMINISTRATION)

THE USUAL DOSAGE AND FREQUENCY OF ADMINISTRATION OF DOXYCYCLINE TABLETS DIFFERS FROM THAT OF THE OTHER TETRACYCLINES. EXCEEDING THE RECOMMENDED DOSAGE MAY RESULT IN AN INCREASED INCIDENCE OF SIDE EFFECTS.

Adults: The usual dose of oral doxycycline tablets is 200 mg on the first day of treatment (administered 100 mg every 12 hours or 50 mg every 6 hours) followed by a maintenance dose of 100 mg/day. The maintenance dose may be administered as a single dose or as 50 mg every 12 hours. In the management of more severe infections (particularly chronic infections of the urinary tract), 100 mg every 12 hours is recommended.

Pediatric Patients:

For all pediatric patients weighing less than 45 kg with severe or life-threatening infections (e.g. anthrax, Rocky Mountain spotted fever), the recommended dosage is 2.2 mg/kg of body weight administered every 12 hours. Children weighing 45 kg or more should receive the adult dose (see WARNINGS and PRECAUTIONS).

For pediatric patients with less severe disease (greater than 8 years of age and weighing less than 45 kg), the recommended dosage schedule is 4.4 mg per kg of body weight divided into two doses on the first day of treatment, followed by a maintenance dose of 2.2 mg per kg of body weight (given as a single daily dose or divided into twice daily doses). For pediatric patients weighing over 45 kg, the usual adult dose should be used.

The therapeutic antibacterial serum activity will usually persist for 24 hours following recommended dosage.

When used in streptococcal infections, therapy should be continued for 10 days.

Administration of adequate amounts of fluid along with capsule and tablet forms of drugs in the tetracycline class is recommended to wash down the drugs and reduce the risk of esophageal irritation and ulceration. (See ADVERSE REACTIONS)

If gastric irritation occurs, it is recommended that doxycycline be given with food or milk. The absorption of doxycycline is not markedly influenced by simultaneous ingestion of food or milk.

Studies to date have indicated that administration of doxycycline at the usual recommended doses does not lead to excessive accumulation of doxycycline in patients with renal impairment.

Uncomplicated gonococcal infections in adults (except anorectal infections in men): 100 mg, by mouth, twice a day for 7 days. As an alternate single visit dose, administer 300 mg stat followed in one hour by a second 300 mg dose.

Acute epididymo-orchitis caused by N. gonorrhoeae: 100 mg, by mouth, twice a day for at least 10 days.

Primary and secondary syphilis: 300 mg a day in divided doses for at least 10 days.

Uncomplicated urethral, endocervical, or rectal infection in adults caused by Chlamydia trachomatis: 100 mg, by mouth, twice a day for at least 7 days.

Nongonococcal urethritis caused by C. trachomatis and U. urealyticum: 100 mg, by mouth, twice a day for at least 7 days.

Acute epididymo-orchitis caused by C. trachomatis: 100 mg, by mouth, twice a day for at least 10 days.

Inhalational anthrax (post-exposure):

ADULTS: 100 mg of doxycycline tablets, by mouth, twice a day for 60 days. CHILDREN: weighing less than 100 pounds (45 kg); 1 mg/lb (2.2 mg/kg) of body weight, by mouth, twice a day for 60 days. Children weighing 100 pounds or more should receive the adult dose.

Package/label Display Panel (Package/Label Display Panel)

RANBAXY

NDC 63304-130-10

DOXYCYCLINE TABLETS

50 mg*

(*doxycycline monohydrate, USP equivalent to 50 mg of doxycycline)

  •  
    Rx only

1000 Tablets

Package Label. Principal Display Panel (PACKAGE LABEL. PRINCIPAL DISPLAY PANEL)

RANBAXY

NDC 63304-173-30

DOXYCYCLINE TABLETS

150 mg*

(*doxycycline monohydrate, USP equivalent to 150 mg of doxycycline)

  •  
    Rx only
  •  
    30 Tablets
Animal Pharmacology and Animal Toxicology (ANIMAL PHARMACOLOGY AND ANIMAL TOXICOLOGY)

Hyperpigmentation of the thyroid has been produced by members of the tetracycline class in the following species: in rats by oxytetracycline, doxycycline, tetracycline PO4, and methacycline; in minipigs by doxycycline, minocycline, tetracycline PO4, and methacycline; in dogs by doxycycline and minocycline; in monkeys by minocycline.

Minocycline, tetracycline PO4, methacycline, doxycycline, tetracycline base, oxytetracycline HCl and tetracycline HCl were goitrogenic in rats fed a low iodine diet. This goitrogenic effect was accompanied by high radioactive iodine uptake. Administration of minocycline also produced a large goiter with high radioiodine uptake in rats fed a relatively high iodine diet.

Treatment of various animal species with this class of drugs has also resulted in the induction of thyroid hyperplasia in the following: in rats and dogs (minocycline), in chickens (chlortetracycline) and in rats and mice (oxytetracycline). Adrenal gland hyperplasia has been observed in goats and rats treated with oxytetracycline.


Advanced Ingredient Data


Raw Label Data

All Sections (JSON)