Cyproheptadine Hydrochloride Oral Solution, Usp 2 Mg/ 5 Ml

Cyproheptadine Hydrochloride Oral Solution, Usp 2 Mg/ 5 Ml
SPL v1
SPL
SPL Set ID 81d9523f-f945-4410-8b71-8b5fea48a3da
Route
ORAL
Published
Effective Date 2022-02-24
Document Type 34391-3 HUMAN PRESCRIPTION DRUG LABEL

Drug Facts

Composition & Product

Active Ingredients
Cyproheptadine (2 mg)
Inactive Ingredients
Alcohol Anhydrous Citric Acid D&c Yellow No. 10 Peppermint Water Trisodium Citrate Dihydrate Sorbic Acid Sucrose

Identifiers & Packaging

Pill Appearance
Color: yellow
Marketing Status
ANDA Active Since 2022-02-15

Description

Rx only

Indications and Usage

Perennial and seasonal allergic rhinitis Vasomotor rhinitis Allergic conjunctivitis due to inhalant allergens and foods Mild, uncomplicated allergic skin manifestations of urticaria and angioedema Amelioration of allergic reactions to blood or plasma Cold urticaria Dermatographism As therapy for anaphylactic reactions adjunctive to epinephrine and other standard measures after the acute manifestations have been controlled.

Dosage and Administration

DOSAGE SHOULD BE INDIVIDUALIZED ACCORDING TO THE NEEDS AND THE RESPONSE OF THE PATIENT. Each 5 mL of Cyproheptadine Hydrochloride Oral Solution contains 2 mg of Cyproheptadine hydrochloride. Although intended primarily for administration to children, the oral solution is also used for administration to adults who cannot swallow tablets.

Adverse Reactions

Adverse reactions which have been reported with the use of antihistamines are as follows: Central Nervous System: Sedation and sleepiness (often transient), dizziness, disturbed coordination, confusion, restlessness, excitation, nervousness, tremor, irritability, insomnia, paresthesias, neuritis, convulsions, euphoria, hallucinations, hysteria, faintness. Integumentary: Allergic manifestation of rash and edema, excessive perspiration, urticaria, photosensitivity. Special Senses: Acute labyrinthitis, blurred vision, diplopia, vertigo, tinnitus. Cardiovascular: Hypotension, palpitation, tachycardia, extrasystoles, anaphylactic shock. Hematologic: Hemolytic anemia, leukopenia, agranulocytosis, thrombocytopenia. Digestive System: Dryness of mouth, epigastric distress, anorexia, nausea, vomiting, diarrhea, constipation, jaundice. Genitourinary: Urinary frequency, difficult urination, urinary retention, early menses. Respiratory: Dryness of nose and throat, thickening of bronchial secretions, tightness of chest and wheezing, nasal stuffiness. Miscellaneous: Fatigue, chills, headache, increased appetite/weight gain. To report SUSPECTED ADVERSE REACTIONS, contact Patrin Pharma at 1-800-936-3088 or FDA at 1-800-FDA-1088.

Drug Interactions

MAO inhibitors prolong and intensify the anticholinergic effects of antihistamines. Antihistamines may have additive effects with alcohol and other CNS depressants, e.g., hypnotics, sedatives, tranquilizers, antianxiety agents.

How Supplied

Cyproheptadine Hydrochloride Oral Solution, USP, 2 mg/5 mL in a yellow, peppermint-flavored vehicle, is supplied in a 473 mL (16 FL. OZ.) bottle.


Medication Information

Indications and Usage

Perennial and seasonal allergic rhinitis

Vasomotor rhinitis

Allergic conjunctivitis due to inhalant allergens and foods

Mild, uncomplicated allergic skin manifestations of urticaria and angioedema

Amelioration of allergic reactions to blood or plasma

Cold urticaria

Dermatographism

As therapy for anaphylactic reactions adjunctive to epinephrine and other standard measures after the acute manifestations have been controlled.

Dosage and Administration

DOSAGE SHOULD BE INDIVIDUALIZED ACCORDING TO THE NEEDS AND THE RESPONSE OF THE PATIENT.

Each 5 mL of Cyproheptadine Hydrochloride Oral Solution contains 2 mg of Cyproheptadine hydrochloride.

Although intended primarily for administration to children, the oral solution is also used for administration to adults who cannot swallow tablets.

Adverse Reactions

Adverse reactions which have been reported with the use of antihistamines are as follows:

Central Nervous System: Sedation and sleepiness (often transient), dizziness, disturbed coordination, confusion, restlessness, excitation, nervousness, tremor, irritability, insomnia, paresthesias, neuritis, convulsions, euphoria, hallucinations, hysteria, faintness.

Integumentary: Allergic manifestation of rash and edema, excessive perspiration, urticaria, photosensitivity.

Special Senses: Acute labyrinthitis, blurred vision, diplopia, vertigo, tinnitus.

Cardiovascular: Hypotension, palpitation, tachycardia, extrasystoles, anaphylactic shock.

Hematologic: Hemolytic anemia, leukopenia, agranulocytosis, thrombocytopenia.

Digestive System: Dryness of mouth, epigastric distress, anorexia, nausea, vomiting, diarrhea, constipation, jaundice.

Genitourinary: Urinary frequency, difficult urination, urinary retention, early menses.

Respiratory: Dryness of nose and throat, thickening of bronchial secretions, tightness of chest and wheezing, nasal stuffiness.

Miscellaneous: Fatigue, chills, headache, increased appetite/weight gain.

To report SUSPECTED ADVERSE REACTIONS, contact Patrin Pharma at 1-800-936-3088 or FDA at 1-800-FDA-1088.

Drug Interactions

MAO inhibitors prolong and intensify the anticholinergic effects of antihistamines. Antihistamines may have additive effects with alcohol and other CNS depressants, e.g., hypnotics, sedatives, tranquilizers, antianxiety agents.

How Supplied

Cyproheptadine Hydrochloride Oral Solution, USP, 2 mg/5 mL in a yellow, peppermint-flavored vehicle, is supplied in a 473 mL (16 FL. OZ.) bottle.

Description

Each 5 mL (one teaspoonful) contains: Cyproheptadine Hydrochloride 2 mg

Inactive Ingredients: Alcohol 5%, citric acid, D&C Yellow #10, flavors, purified water, sodium citrate, sorbic acid (0.1% as preservative) and sucrose.

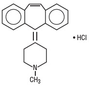
Cyproheptadine HCl is an antihistaminic and antiserotonergic agent. Cyproheptadine hydrochloride is a white to slightly yellowish, crystalline solid, with a molecular weight of 350.89, which is slightly soluble in water, freely soluble in methanol, sparingly soluble in ethanol, soluble in chloroform and practically insoluble in ether. It is the sesquihydrate of 4-(5H-dibenzo [a,d] cyclohepten-5-ylidene)-1-methylpiperidine hydrochloride. The molecular formula of the anhydrous salt is C21H21N∙HCl and the structural formula of the anhydrous salt is:

Adults

The total daily dose for adults should not exceed 0.5 mg/kg/day (0.23 mg/lb/day). The therapeutic range is 4 to 20 mg a day, with the majority of patients requiring 12 to 16 mg a day. An occasional patient may require as much as 32 mg a day for adequate relief. It is suggested that dosage be initiated with 4 mg (two teaspoonsful) three times a day and adjusted according to the size and response of the patient.

Section 42229-5

Rx only

Section 44425-7

Store at 20-25°C (68-77°F). Excursion permitted 15-30°C (59-86°F) [see USP Controlled Room Temperature].

Dispense in a tight, light-resistant container as defined in the USP.

NDC#39328-544-16 473 mL (16 FL. OZ.)
General

Cyproheptadine has an atropine-like action and, therefore, should be used with caution in patients with:

  • History of bronchial asthma
  • Increased intraocular pressure
  • Hyperthyroidism
  • Cardiovascular disease
  • Hypertension
Children

Overdosage of antihistamines, particularly in infants and children, may produce hallucinations, central nervous system depression, convulsions and death.

Antihistamines may diminish mental alertness; conversely, particularly in the young child, they may occasionally produce excitation.

Overdosage

Antihistamine overdosage reactions may vary from central nervous system depression to stimulation especially in children. Also, atropine-like signs and symptoms (dry mouth; fixed, dilated pupils; flushing, etc.) as well as gastrointestinal symptoms may occur.

If vomiting has not occurred spontaneously, the patient should be induced to vomit with syrup of ipecac.

If the patient is unable to vomit, perform gastric lavage followed by activated charcoal. Isotonic or 1/2 isotonic saline is the lavage of choice. Precautions against aspiration must be taken especially in infants and children. When life-threatening CNS signs and symptoms are present, intravenous physostigmine salicylate may be considered. Dosage and frequency of administration are dependent on age, clinical response and recurrence after response. (See package circulars for physostigmine products.)

Saline cathartics, as milk of magnesia, by osmosis draw water into the bowel and, therefore, are valuable for their action in rapid dilution of bowel content.

Stimulants should not be used. Vasopressors may be used to treat hypotension.

The oral LD50 of cyproheptadine is 123 mg/kg, and 295 mg/kg in the mouse and rat, respectively.

Pediatric Use

Safety and effectiveness in pediatric patients below the age of two years have not been established. (See CONTRAINDICATIONS, Newborn or Premature Infants, and WARNINGS, Children.)

Cns Depressants

Antihistamines may have additive effects with alcohol and other CNS depressants, e.g., hypnotics, sedatives, tranquilizers, antianxiety agents.

Nursing Mothers

Because of the higher risk of antihistamines for infants generally and for newborns and prematures in particular, antihistamine therapy is contraindicated in nursing mothers.

Age 2 to 6 Years

The usual dose is 2 mg (one teaspoonful) two or three times a day, adjusted as necessary to the size and response of the patient. The dose is not to exceed 12 mg a day.

Other Conditions

Hypersensitivity to cyproheptadine and other drugs of similar chemical structure

Monoamine oxidase inhibitor therapy (see Drug Interactions)

Angle-closure glaucoma

Stenosing peptic ulcer

Symptomatic prostatic hypertrophy

Bladder neck obstruction

Pyloroduodenal obstruction

Elderly, debilitated patients

Age 7 to 14 Years

The usual dose is 4 mg (two teaspoonsful) two or three times a day, adjusted as necessary to the size and response of the patient. The dose is not to exceed 16 mg a day.

Pregnancy Category B

Reproduction studies have been performed in rabbits, mice and rats at oral or subcutaneous doses up to 32 times the maximum recommended human oral dose and have revealed no evidence of impaired fertility or harm to the fetus due to cyproheptadine. Cyproheptadine has been shown to be fetotoxic in rats when given by intraperitoneal injection in doses four times the maximum recommended human oral dose. Two studies in pregnant women, however, have not shown that cyproheptadine increases the risk of abnormalities when administered during the first, second and third trimesters of pregnancy. No teratogenic effects were observed in any of the newborns. Nevertheless, because the studies in humans cannot rule out the possibility of harm, cyproheptadine should be used during pregnancy only if clearly needed.

Clinical Pharmacology

Cyproheptadine is a serotonin and histamine antagonist with anticholinergic and sedative effects. Antiserotonin and antihistamine drugs appear to compete with serotonin and histamine, respectively, for receptor sites.

Information for Patients

Antihistamines may diminish mental alertness; conversely, particularly in the young child, they may occasionally produce excitation. Patients should be warned about engaging in activities requiring mental alertness and motor coordination, such as driving a car or operating machinery.

Newborn Or Premature Infants

This drug should not be used in newborn or premature infants.

Pharmacokinetics and Metabolism

After a single 4 mg oral dose of 14C-labeled cyproheptadine HCl in normal subjects, given as tablets or oral solution, 2-20% of the radioactivity was excreted in the stools. Only about 34% of the stool radioactivity was unchanged drug, corresponding to less than 5.7% of the dose. At least 40% of the administered radioactivity was excreted in the urine. No detectable amounts of unchanged drug were present in the urine of patients on chronic 12-20 mg daily doses of cyproheptadine oral solution. The principal metabolite found in human urine has been identified as a quaternary ammonium glucuronide conjugate of cyproheptadine. Elimination is diminished in renal insufficiency.

Activities Requiring Mental Alertness

Patients should be warned about engaging in activities requiring mental alertness and motor coordination, such as driving a car or operating machinery.

Antihistamines are more likely to cause dizziness, sedation and hypotension in elderly patients.

Principal Display Panel 473 Ml Bottle Label

Rx Only

NDC

39328-544-16

Cyproheptadine

Hydrochloride

Oral Solution,

USP

2 mg/5 mL

473 mL (16 FL. OZ.)

PATRIN

PHARMA

Carcinogenesis, Mutagenesis, Impairment of Fertility

Long-term carcinogenic studies have not been done with cyproheptadine. Cyproheptadine had no effect on fertility in a two-litter study in rats or a two-generation study in mice at about 10 times the human dose. Cyproheptadine did not produce chromosome damage in human lymphocytes or fibroblasts in vitro; high doses (10-4M) were cytotoxic. Cyproheptadine did not have any mutagenic effect in the Ames microbial mutagen test; concentrations of above 500 mcg/plate inhibited bacterial growth.


Structured Label Content

Adults

The total daily dose for adults should not exceed 0.5 mg/kg/day (0.23 mg/lb/day). The therapeutic range is 4 to 20 mg a day, with the majority of patients requiring 12 to 16 mg a day. An occasional patient may require as much as 32 mg a day for adequate relief. It is suggested that dosage be initiated with 4 mg (two teaspoonsful) three times a day and adjusted according to the size and response of the patient.

Section 42229-5 (42229-5)

Rx only

Section 44425-7 (44425-7)

Store at 20-25°C (68-77°F). Excursion permitted 15-30°C (59-86°F) [see USP Controlled Room Temperature].

Dispense in a tight, light-resistant container as defined in the USP.

NDC#39328-544-16 473 mL (16 FL. OZ.)
General

Cyproheptadine has an atropine-like action and, therefore, should be used with caution in patients with:

  • History of bronchial asthma
  • Increased intraocular pressure
  • Hyperthyroidism
  • Cardiovascular disease
  • Hypertension
Children

Overdosage of antihistamines, particularly in infants and children, may produce hallucinations, central nervous system depression, convulsions and death.

Antihistamines may diminish mental alertness; conversely, particularly in the young child, they may occasionally produce excitation.

Overdosage (OVERDOSAGE)

Antihistamine overdosage reactions may vary from central nervous system depression to stimulation especially in children. Also, atropine-like signs and symptoms (dry mouth; fixed, dilated pupils; flushing, etc.) as well as gastrointestinal symptoms may occur.

If vomiting has not occurred spontaneously, the patient should be induced to vomit with syrup of ipecac.

If the patient is unable to vomit, perform gastric lavage followed by activated charcoal. Isotonic or 1/2 isotonic saline is the lavage of choice. Precautions against aspiration must be taken especially in infants and children. When life-threatening CNS signs and symptoms are present, intravenous physostigmine salicylate may be considered. Dosage and frequency of administration are dependent on age, clinical response and recurrence after response. (See package circulars for physostigmine products.)

Saline cathartics, as milk of magnesia, by osmosis draw water into the bowel and, therefore, are valuable for their action in rapid dilution of bowel content.

Stimulants should not be used. Vasopressors may be used to treat hypotension.

The oral LD50 of cyproheptadine is 123 mg/kg, and 295 mg/kg in the mouse and rat, respectively.

Description (DESCRIPTION)

Each 5 mL (one teaspoonful) contains: Cyproheptadine Hydrochloride 2 mg

Inactive Ingredients: Alcohol 5%, citric acid, D&C Yellow #10, flavors, purified water, sodium citrate, sorbic acid (0.1% as preservative) and sucrose.

Cyproheptadine HCl is an antihistaminic and antiserotonergic agent. Cyproheptadine hydrochloride is a white to slightly yellowish, crystalline solid, with a molecular weight of 350.89, which is slightly soluble in water, freely soluble in methanol, sparingly soluble in ethanol, soluble in chloroform and practically insoluble in ether. It is the sesquihydrate of 4-(5H-dibenzo [a,d] cyclohepten-5-ylidene)-1-methylpiperidine hydrochloride. The molecular formula of the anhydrous salt is C21H21N∙HCl and the structural formula of the anhydrous salt is:

How Supplied (HOW SUPPLIED)

Cyproheptadine Hydrochloride Oral Solution, USP, 2 mg/5 mL in a yellow, peppermint-flavored vehicle, is supplied in a 473 mL (16 FL. OZ.) bottle.

Pediatric Use

Safety and effectiveness in pediatric patients below the age of two years have not been established. (See CONTRAINDICATIONS, Newborn or Premature Infants, and WARNINGS, Children.)

Cns Depressants (CNS Depressants)

Antihistamines may have additive effects with alcohol and other CNS depressants, e.g., hypnotics, sedatives, tranquilizers, antianxiety agents.

Nursing Mothers

Because of the higher risk of antihistamines for infants generally and for newborns and prematures in particular, antihistamine therapy is contraindicated in nursing mothers.

Age 2 to 6 Years (Age 2 to 6 years)

The usual dose is 2 mg (one teaspoonful) two or three times a day, adjusted as necessary to the size and response of the patient. The dose is not to exceed 12 mg a day.

Other Conditions

Hypersensitivity to cyproheptadine and other drugs of similar chemical structure

Monoamine oxidase inhibitor therapy (see Drug Interactions)

Angle-closure glaucoma

Stenosing peptic ulcer

Symptomatic prostatic hypertrophy

Bladder neck obstruction

Pyloroduodenal obstruction

Elderly, debilitated patients

Adverse Reactions (ADVERSE REACTIONS)

Adverse reactions which have been reported with the use of antihistamines are as follows:

Central Nervous System: Sedation and sleepiness (often transient), dizziness, disturbed coordination, confusion, restlessness, excitation, nervousness, tremor, irritability, insomnia, paresthesias, neuritis, convulsions, euphoria, hallucinations, hysteria, faintness.

Integumentary: Allergic manifestation of rash and edema, excessive perspiration, urticaria, photosensitivity.

Special Senses: Acute labyrinthitis, blurred vision, diplopia, vertigo, tinnitus.

Cardiovascular: Hypotension, palpitation, tachycardia, extrasystoles, anaphylactic shock.

Hematologic: Hemolytic anemia, leukopenia, agranulocytosis, thrombocytopenia.

Digestive System: Dryness of mouth, epigastric distress, anorexia, nausea, vomiting, diarrhea, constipation, jaundice.

Genitourinary: Urinary frequency, difficult urination, urinary retention, early menses.

Respiratory: Dryness of nose and throat, thickening of bronchial secretions, tightness of chest and wheezing, nasal stuffiness.

Miscellaneous: Fatigue, chills, headache, increased appetite/weight gain.

To report SUSPECTED ADVERSE REACTIONS, contact Patrin Pharma at 1-800-936-3088 or FDA at 1-800-FDA-1088.

Age 7 to 14 Years (Age 7 to 14 years)

The usual dose is 4 mg (two teaspoonsful) two or three times a day, adjusted as necessary to the size and response of the patient. The dose is not to exceed 16 mg a day.

Drug Interactions

MAO inhibitors prolong and intensify the anticholinergic effects of antihistamines. Antihistamines may have additive effects with alcohol and other CNS depressants, e.g., hypnotics, sedatives, tranquilizers, antianxiety agents.

Pregnancy Category B

Reproduction studies have been performed in rabbits, mice and rats at oral or subcutaneous doses up to 32 times the maximum recommended human oral dose and have revealed no evidence of impaired fertility or harm to the fetus due to cyproheptadine. Cyproheptadine has been shown to be fetotoxic in rats when given by intraperitoneal injection in doses four times the maximum recommended human oral dose. Two studies in pregnant women, however, have not shown that cyproheptadine increases the risk of abnormalities when administered during the first, second and third trimesters of pregnancy. No teratogenic effects were observed in any of the newborns. Nevertheless, because the studies in humans cannot rule out the possibility of harm, cyproheptadine should be used during pregnancy only if clearly needed.

Clinical Pharmacology (CLINICAL PHARMACOLOGY)

Cyproheptadine is a serotonin and histamine antagonist with anticholinergic and sedative effects. Antiserotonin and antihistamine drugs appear to compete with serotonin and histamine, respectively, for receptor sites.

Indications and Usage (INDICATIONS AND USAGE)

Perennial and seasonal allergic rhinitis

Vasomotor rhinitis

Allergic conjunctivitis due to inhalant allergens and foods

Mild, uncomplicated allergic skin manifestations of urticaria and angioedema

Amelioration of allergic reactions to blood or plasma

Cold urticaria

Dermatographism

As therapy for anaphylactic reactions adjunctive to epinephrine and other standard measures after the acute manifestations have been controlled.

Information for Patients

Antihistamines may diminish mental alertness; conversely, particularly in the young child, they may occasionally produce excitation. Patients should be warned about engaging in activities requiring mental alertness and motor coordination, such as driving a car or operating machinery.

Dosage and Administration (DOSAGE AND ADMINISTRATION)

DOSAGE SHOULD BE INDIVIDUALIZED ACCORDING TO THE NEEDS AND THE RESPONSE OF THE PATIENT.

Each 5 mL of Cyproheptadine Hydrochloride Oral Solution contains 2 mg of Cyproheptadine hydrochloride.

Although intended primarily for administration to children, the oral solution is also used for administration to adults who cannot swallow tablets.

Newborn Or Premature Infants (Newborn or Premature Infants)

This drug should not be used in newborn or premature infants.

Pharmacokinetics and Metabolism

After a single 4 mg oral dose of 14C-labeled cyproheptadine HCl in normal subjects, given as tablets or oral solution, 2-20% of the radioactivity was excreted in the stools. Only about 34% of the stool radioactivity was unchanged drug, corresponding to less than 5.7% of the dose. At least 40% of the administered radioactivity was excreted in the urine. No detectable amounts of unchanged drug were present in the urine of patients on chronic 12-20 mg daily doses of cyproheptadine oral solution. The principal metabolite found in human urine has been identified as a quaternary ammonium glucuronide conjugate of cyproheptadine. Elimination is diminished in renal insufficiency.

Activities Requiring Mental Alertness

Patients should be warned about engaging in activities requiring mental alertness and motor coordination, such as driving a car or operating machinery.

Antihistamines are more likely to cause dizziness, sedation and hypotension in elderly patients.

Principal Display Panel 473 Ml Bottle Label (PRINCIPAL DISPLAY PANEL - 473 mL Bottle Label)

Rx Only

NDC

39328-544-16

Cyproheptadine

Hydrochloride

Oral Solution,

USP

2 mg/5 mL

473 mL (16 FL. OZ.)

PATRIN

PHARMA

Carcinogenesis, Mutagenesis, Impairment of Fertility

Long-term carcinogenic studies have not been done with cyproheptadine. Cyproheptadine had no effect on fertility in a two-litter study in rats or a two-generation study in mice at about 10 times the human dose. Cyproheptadine did not produce chromosome damage in human lymphocytes or fibroblasts in vitro; high doses (10-4M) were cytotoxic. Cyproheptadine did not have any mutagenic effect in the Ames microbial mutagen test; concentrations of above 500 mcg/plate inhibited bacterial growth.


Advanced Ingredient Data


Raw Label Data

All Sections (JSON)