Albuterol Tablets, Usp

Albuterol Tablets, Usp
SPL v1
SPL
SPL Set ID 81cdae6f-99d7-468b-9ab8-fecb1d42298d
Route
ORAL
Published
Effective Date 2023-06-16
Document Type 34391-3 HUMAN PRESCRIPTION DRUG LABEL

Drug Facts

Composition & Product

Active Ingredients
Albuterol (2 mg)
Inactive Ingredients
Lactose Monohydrate Starch, Corn Magnesium Stearate

Identifiers & Packaging

Pill Appearance
Imprint: CE;85 Shape: round Color: white Size: 6 mm Size: 9 mm Score: 2
Marketing Status
ANDA Active Since 1989-12-05

Description

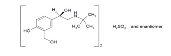
Albuterol tablets contain albuterol sulfate USP, the racemic form of albuterol and a relatively selective beta 2 -adrenergic bronchodilator. Albuterol sulfate has the chemical name α 1 -[( tert -butylamino)methyl]-4-hydroxy- m -xylene- α,α-diol sulfate (2:1) (salt) and the following structural formula: Albuterol sulfate has a molecular weight of 576.7, and the molecular formula is (C 13 H 21 NO 3 ) 2 H 2 SO 4 . Albuterol sulfate, USP is a white or almost white crystalline powder, freely soluble in water, practically insoluble or very slightly soluble in Methylene chloride and alcohol, slightly soluble in Chloroform and Ether. The World Health Organization recommended name for albuterol base is salbutamol. Each albuterol tablet for oral administration contains 2 mg or 4 mg of albuterol as 2.4 mg or 4.8 mg of albuterol sulfate USP, respectively. Each tablet also contains the following inactive ingredients: lactose monohydrate, pregelatinized starch, corn starch, and magnesium stearate.

Indications and Usage

Albuterol tablets are indicated for the relief of bronchospasm in adults and children 6 years of age and older with reversible obstructive airway disease.

Dosage and Administration

The following dosages of albuterol tablets are expressed in terms of albuterol base. Usual Dosage Adults and Children Over 12 Years of Age The usual starting dosage for adults and children 12 years and older is 2 or 4 mg three or four times a day. Children 6 to 12 Years of Age The usual starting dosage for children 6 to 12 years of age is 2 mg three or four times a day. Dosage Adjustment Adults and Children Over 12 Years of Age For adults and children 12 years and older, a dosage above 4 mg four times a day should be used only when the patient fails to respond. If a favorable response does not occur with the 4 mg initial dosage, it should be cautiously increased stepwise up to a maximum of 8 mg four times a day as tolerated. Children 6 to 12 Years of Age Who Fail to Respond to the Initial Starting Dosage of 2 mg Four Times a Day For children from 6 to 12 years of age who fail to respond to the initial starting dosage of 2 mg four times a day, the dosage may be cautiously increased stepwise, but not to exceed 24 mg/day (given in divided doses). Elderly Patients and Those Sensitive to Beta-adrenergic Stimulators An initial dosage of 2 mg three or four times a day is recommended for elderly patients and for those with a history of unusual sensitivity to beta-adrenergic stimulators. If adequate bronchodilation is not obtained, dosage may be increased gradually to as much as 8 mg three or four times a day. The total daily dose should not exceed 32 mg in adults and children 12 years and older.

Contraindications

Albuterol tablets are contraindicated in patients with a history of hypersensitivity to albuterol, or any of its components.

Adverse Reactions

In clinical trials, the most frequent adverse reactions to albuterol tablets were: Percent Incidence of Adverse Reactions Reaction Percent Incidence Central nervous system    Nervousness 20%    Tremor 20%    Headache 7%    Sleeplessness 2%    Weakness 2%    Dizziness 2%    Drowsiness <1%    Restlessness <1%    Irritability <1% Cardiovascular    Tachycardia 5%    Palpitations 5%    Chest discomfort <1%    Flushing <1% Musculoskeletal    Muscle cramps 3% Gastrointestinal    Nausea 2% Genitourinary    Difficulty in micturition <1% Rare cases of urticaria, angioedema, rash, bronchospasm, and oropharyngeal edema have been reported after the use of albuterol. In addition, albuterol, like other sympathomimetic agents, can cause adverse reactions such as hypertension, angina, vomiting, vertigo, central nervous system stimulation, unusual taste, and drying or irritation of the oropharynx. The reactions are generally transient in nature, and it is usually not necessary to discontinue treatment with albuterol tablets. In selected cases, however, dosage may be reduced temporarily; after the reaction has subsided, dosage should be increased in small increments to the optimal dosage.

How Supplied

Albuterol Tablets, USP are available containing albuterol sulfate, USP 2.4 mg equivalent to albuterol 2 mg or albuterol sulfate, USP 4.8 mg equivalent to albuterol 4 mg. The 2 mg tablets are white to off white round flat face beveled edge tablets, debossed with “CE” over “84” on one side and score on the other side. They are available as follows: Bottles of 90 tablets                    NDC 62135-671-90 The 4 mg tablets are white to off white round flat face beveled edge tablets, debossed with “CE” over “85” on one side and score on the other side. They are available as follows: Bottles of 90 tablets                    NDC 62135-672-90 Store at 20° to 25°C (68° to 77°F). [See USP Controlled Room Temperature]. Protect from light. Dispense in a tight, light-resistant container as defined in the USP using a child-resistant closure. Manufactured for: Chartwell RX, LLC. Congers, NY 10920 L71378 Revised: 06/2023


Medication Information

Indications and Usage

Albuterol tablets are indicated for the relief of bronchospasm in adults and children 6 years of age and older with reversible obstructive airway disease.

Dosage and Administration

The following dosages of albuterol tablets are expressed in terms of albuterol base.

Usual Dosage

Adults and Children Over 12 Years of Age

The usual starting dosage for adults and children 12 years and older is 2 or 4 mg three or four times a day.

Children 6 to 12 Years of Age

The usual starting dosage for children 6 to 12 years of age is 2 mg three or four times a day.

Dosage Adjustment

Adults and Children Over 12 Years of Age

For adults and children 12 years and older, a dosage above 4 mg four times a day should be used onlywhen the patient fails to respond. If a favorable response does not occur with the 4 mg initial dosage, it should be cautiously increased stepwise up to a maximum of 8 mg four times a day as tolerated.

Children 6 to 12 Years of Age Who Fail to Respond to the Initial Starting Dosage of 2 mg Four Times a Day

For children from 6 to 12 years of age who fail to respond to the initial starting dosage of 2 mg four times a day, the dosage may be cautiously increased stepwise, but not to exceed 24 mg/day (given in divided doses).

Elderly Patients and Those Sensitive to Beta-adrenergic Stimulators

An initial dosage of 2 mg three or four times a day is recommended for elderly patients and for those with a history of unusual sensitivity to beta-adrenergic stimulators. If adequate bronchodilation is not obtained, dosage may be increased gradually to as much as 8 mg three or four times a day.

The total daily dose should not exceed 32 mg in adults and children 12 years and older.

Contraindications

Albuterol tablets are contraindicated in patients with a history of hypersensitivity to albuterol, or any of its components.

Adverse Reactions

In clinical trials, the most frequent adverse reactions to albuterol tablets were:

Percent Incidence of Adverse Reactions

Reaction

Percent Incidence

Central nervous system

   Nervousness

20%

   Tremor

20%

   Headache

7%

   Sleeplessness

2%

   Weakness

2%

   Dizziness

2%

   Drowsiness

<1%

   Restlessness

<1%

   Irritability

<1%

Cardiovascular

   Tachycardia

5%

   Palpitations

5%

   Chest discomfort

<1%

   Flushing

<1%

Musculoskeletal

   Muscle cramps

3%

Gastrointestinal

   Nausea

2%

Genitourinary

   Difficulty in micturition

<1%

Rare cases of urticaria, angioedema, rash, bronchospasm, and oropharyngeal edema have been reported after the use of albuterol.

In addition, albuterol, like other sympathomimetic agents, can cause adverse reactions such as hypertension, angina, vomiting, vertigo, central nervous system stimulation, unusual taste, and drying or irritation of the oropharynx.

The reactions are generally transient in nature, and it is usually not necessary to discontinue treatment with albuterol tablets. In selected cases, however, dosage may be reduced temporarily; after the reaction has subsided, dosage should be increased in small increments to the optimal dosage.

How Supplied

Albuterol Tablets, USP are available containing albuterol sulfate, USP 2.4 mg equivalent to albuterol 2 mg or albuterol sulfate, USP 4.8 mg equivalent to albuterol 4 mg.

The 2 mg tablets are white to off white round flat face beveled edge tablets, debossed with “CE” over “84” on one side and score on the other side. They are available as follows:

Bottles of 90 tablets                    NDC 62135-671-90

The 4 mg tablets are white to off white round flat face beveled edge tablets, debossed with “CE” over “85” on one side and score on the other side. They are available as follows:

Bottles of 90 tablets                    NDC 62135-672-90

Store at 20° to 25°C (68° to 77°F). [See USP Controlled Room Temperature].

Protect from light.

Dispense in a tight, light-resistant container as defined in the USP using a child-resistant closure.

Manufactured for:

Chartwell RX, LLC.

Congers, NY 10920



L71378

Revised: 06/2023

Description

Albuterol tablets contain albuterol sulfate USP, the racemic form of albuterol and a relatively selective beta 2-adrenergic bronchodilator. Albuterol sulfate has the chemical name α 1-[( tert-butylamino)methyl]-4-hydroxy- m-xylene- α,α-diol sulfate (2:1) (salt) and the following structural formula:

Albuterol sulfate has a molecular weight of 576.7, and the molecular formula is (C 13H 21NO 3) 2H 2SO 4. Albuterol sulfate, USP is a white or almost white crystalline powder, freely soluble in water, practically insoluble or very slightly soluble in Methylene chloride and alcohol, slightly soluble in Chloroform and Ether.

The World Health Organization recommended name for albuterol base is salbutamol.

Each albuterol tablet for oral administration contains 2 mg or 4 mg of albuterol as 2.4 mg or 4.8 mg of albuterol sulfate USP, respectively. Each tablet also contains the following inactive ingredients: lactose monohydrate, pregelatinized starch, corn starch, and magnesium stearate.

Warnings

Paradoxical Bronchospasm

Albuterol tablets can produce paradoxical bronchospasm, which may be life threatening. If paradoxical bronchospasm occurs, albuterol should be discontinued immediately and alternative therapy instituted.

Cardiovascular Effects

Albuterol, like all other beta-adrenergic agonists, can produce a clinically significant cardiovascular effect in some patients as measured by pulse rate, blood pressure, and/or symptoms. Although such effects are uncommon after administration of albuterol tablets at recommended doses, if they occur, the drug may need to be discontinued. In addition, beta-agonists have been reported to produce electrocardiogram (ECG) changes, such as flattening of the T wave, prolongation of the QTc interval, and ST segment depression. The clinical significance of these findings is unknown. Therefore, albuterol, like all sympathomimetic amines, should be used with caution in patients with cardiovascular disorders, especially coronary insufficiency, cardiac arrhythmias, and hypertension.

Deterioration of Asthma

Asthma may deteriorate acutely over a period of hours or chronically over several days or longer. If the patient needs more doses of albuterol than usual, this may be a marker of destabilization of asthma and requires reevaluation of the patient and treatment regimen, giving special consideration to the possible need for anti-inflammatory treatment, e.g., corticosteroids.

Use of Anti-Inflammatory Agents

The use of beta-adrenergic agonist bronchodilators alone may not be adequate to control asthma in many patients. Early consideration should be given to adding anti-inflammatory agents, e.g., corticosteroids.

Immediate Hypersensitivity Reactions

Immediate hypersensitivity reactions may occur after administration of albuterol, as demonstrated by rare cases of urticaria, angioedema, rash, bronchospasm, and oropharyngeal edema. Albuterol, like other beta-adrenergic agonists, can produce a significant cardiovascular effect in some patients, as measured by pulse rate, blood pressure, symptoms, and/or electrocardiographic changes.

Rarely, erythema multiforme and Stevens-Johnson syndrome have been associated with the administration of oral albuterol sulfate in children.

To report SUSPECTED ADVERSE REACTIONS, contact Chartwell RX, LLC. at 1-845-232-1683 or FDA at 1-800-FDA-1088 or www.fda.gov/medwatch.

Overdosage

The expected symptoms with overdosage are those of excessive beta-adrenergic stimulation and/or occurrence or exaggeration of any of the symptoms listed under ADVERSE REACTIONS, e.g., seizures, angina, hypertension or hypotension, tachycardia with rates up to 200 beats/min, arrhythmias, nervousness, headache, tremor, dry mouth, palpitation, nausea, dizziness, fatigue, malaise, and sleeplessness. Hypokalemia may also occur. As with all sympathomimetic medications, cardiac arrest and even death may be associated with abuse of albuterol tablets. Treatment consists of discontinuation of albuterol together with appropriate symptomatic therapy. The judicious use of a cardioselective beta-receptor blocker may be considered, bearing in mind that such medication can produce bronchospasm. There is insufficient evidence to determine if dialysis is beneficial for overdosage of albuterol. The oral median lethal dose of albuterol sulfate in mice is greater than 2000 mg/kg (approximately 250 times the maximum recommended daily oral dose for adults on a mg/m 2basis, or, approximately 200 times the maximum recommended daily oral dose for children on a mg/m 2basis). In mature rats, the subcutaneous (sc) median lethal dose of albuterol sulfate is approximately 450 mg/kg (approximately 110 times the maximum recommended daily oral dose for adults on a mg/m 2basis, or, approximately 90 times the maximum recommended daily oral dose for children on a mg/m 2basis). In small young rats, the subcutaneous median lethal dose is approximately 2000 mg/kg (approximately 500 times the maximum recommended daily oral dose for adults on a mg/m 2basis, or, approximately 400 times the maximum recommended daily oral dose for children on a mg/m 2basis).

Precautions

General

Albuterol, as with all sympathomimetic amines, should be used with caution in patients with cardiovascular disorders, especially coronary insufficiency, cardiac arrhythmias, and hypertension; in patients with convulsive disorders, hyperthyroidism, or diabetes mellitus; and in patients who are unusually responsive to sympathomimetic amines. Clinically significant changes in systolic and diastolic blood pressure have been seen in individual patients and could be expected to occur in some patients after use of any beta-adrenergic bronchodilator.

Large doses of intravenous albuterol have been reported to aggravate preexisting diabetes mellitus and ketoacidosis. As with other beta-agonists, albuterol may produce significant hypokalemia in some patients, possibly through intracellular shunting, which has the potential to produce adverse cardiovascular effects. The decrease is usually transient, not requiring supplementation.

Information for Patients

The action of albuterol tablets may last up to 8 hours or longer. Albuterol tablets should not be taken more frequently than recommended. Do not increase the dose or frequency of albuterol tablets without consulting your physician. If you find that treatment with albuterol tablets becomes less effective for symptomatic relief, your symptoms get worse, and/or you need to take the product more frequently than usual, you should seek medical attention immediately. While you are taking albuterol tablets, other asthma medications and inhaled drugs should be taken only as directed by your physician. Common adverse effects include palpitations, chest pain, rapid heart rate, and tremor or nervousness. If you are pregnant or nursing, contact your physician about use of albuterol tablets. Effective and safe use of albuterol tablets includes an understanding of the way that it should be administered.

Drug Interactions

The concomitant use of albuterol and other oral sympathomimetic agents is not recommended since such combined use may lead to deleterious cardiovascular effects. This recommendation does not preclude the judicious use of an aerosol bronchodilator of the adrenergic stimulant type in patients receiving albuterol. Such concomitant use, however, should be individualized and not given on a routine basis. If regular coadministration is required, then alternative therapy should be considered.

Monamine Oxidase Inhibitors or Tricyclic Antidepressants

Albuterol should be administered with extreme caution to patients being treated with monoamine oxidase inhibitors or tricyclic antidepressants, or within 2 weeks of discontinuation of such agents, because the action of albuterol on the vascular system may be potentiated.

Beta-Blockers

Beta-adrenergic receptor blocking agents not only block the pulmonary effect of beta-agonists, such as albuterol, but may produce severe bronchospasm in asthmatic patients. Therefore, patients with asthma should not normally be treated with beta-blockers. However, under certain circumstances, e.g., as prophylaxis after myocardial infarction, there may be no acceptable alternatives to the use of beta-adrenergic blocking agents in patients with asthma. In this setting, cardioselective beta-blockers could be considered, although they should be administered with caution.

Diuretics

The ECG changes and/or hypokalemia that may result from the administration of nonpotassium-sparing diuretics (such as loop or thiazide diuretics) can be acutely worsened by beta-agonists, especially when the recommended dose of the beta-agonist is exceeded. Although the clinical significance of these effects is not known, caution is advised in the coadministration of beta-agonists with nonpotassium-sparing diuretics.

Digoxin

Mean decreases of 16% to 22% in serum digoxin levels were demonstrated after single-dose intravenous and oral administration of albuterol, respectively, to normal volunteers who had received digoxin for 10 days. The clinical significance of these findings for patients with obstructive airway disease who are receiving albuterol and digoxin on a chronic basis is unclear. Nevertheless, it would be prudent to carefully evaluate the serum digoxin levels in patients who are currently receiving digoxin and albuterol.

Carcinogenesis, Mutagenesis, Impairment of Fertility

In a 2- year study in Sprague-Dawley rats, albuterol sulfate caused a significant dose-related increase in the incidence of benign leiomyomas of the mesovarium at dietary doses of 2, 10, and 50 mg/kg (approximately ½, 3, and 15 times, respectively, the maximum recommended daily oral dose for adults on a mg/m 2basis, or, 2/ 5, 2 and 10 times, respectively, the maximum recommended daily oral dose for children on a mg/m 2basis). In another study this effect was blocked by the coadministration of propranolol, a non-selective beta-adrenergic antagonist.

In an 18-month study in CD-1 mice albuterol sulfate showed no evidence of tumorigenicity at dietary doses of up to 500 mg/kg, (approximately 65 times the maximum recommended daily oral dose for adults on a mg/m 2basis, or, approximately 50 times the maximum recommended daily oral dose for children on a mg/m 2basis). In a 22-month study in the Golden hamster, albuterol sulfate showed no evidence of tumorigenicity at dietary doses of up to 50 mg/kg, (approximately 8 times the maximum recommended daily oral dose for adults on a mg/m 2basis, or, approximately 7 times the maximum recommended daily oral dose for children on a mg/m 2basis).

Albuterol sulfate was not mutagenic in the Ames test with or without metabolic activation using tester strains S. typhimuriumTA1537, TA1538, and TA98 or E. ColiWP2, WP2uvrA, and WP67. No forward mutation was seen in yeast strain S. cerevisiaeS9 nor any mitotic gene conversion in yeast strain S. cerevisiaeJD1 with or without metabolic activation. Fluctuation assays in S. typhimuriumTA98 and E. ColiWP2, both with metabolic activation, were negative. Albuterol sulfate was not clastogenic in a human peripheral lymphocyte assay or in an AH1 strain mouse micronucleus assay at intraperitoneal doses of up to 200 mg/kg.

Reproduction studies in rats demonstrated no evidence of impaired fertility at oral doses up to 50 mg/kg (approximately 15 times the maximum recommended daily oral dose for adults on a mg/m 2basis).

Pregnancy

Teratogenic Effects. Pregnancy Category C

Albuterol has been shown to be teratogenic in mice. A study in CD-1 mice at subcutaneous (sc) doses of 0.025, 0.25, and 2.5 mg/kg (approximately 3/1000, 3/100, and 3/10 times, respectively, the maximum recommended daily oral dose for adults on a mg/m 2basis), showed cleft palate formation in 5 of 111 (4.5%) fetuses at 0.25 mg/kg and in 10 of 108 (9.3%) fetuses at 2.5 mg/kg. The drug did not induce cleft palate formation at the lowest dose, 0.025 mg/kg. Cleft palate also occurred in 22 of 72 (30.5%) fetuses from females treated with 2.5 mg/kg of isoproterenol (positive control) subcutaneously (approximately 3/10 times the maximum recommended daily oral dose for adults on a mg/m 2basis).

A reproduction study in Stride Dutch rabbits revealed cranioschisis in 7 of 19 (37%) fetuses when albuterol was administered orally at a 50 mg/kg dose (approximately 25 times the maximum recommended daily oral dose for adults on a mg/m 2basis).

There are no adequate and well-controlled studies in pregnant women. Albuterol should be used during pregnancy only if the potential benefit justifies the potential risk to the fetus.

During worldwide marketing experience, various congenital anomalies, including cleft palate and limb defects, have been rarely reported in the offspring of patients being treated with albuterol. Some of the mothers were taking multiple medications during their pregnancies. No consistent pattern of defects can be discerned, and a relationship between albuterol use and congenital anomalies has not been established.

Use in Labor and Delivery

Because of the potential for beta-agonist interference with uterine contractility, use of albuterol for relief of bronchospasm during labor should be restricted to those patients in whom the benefits clearly outweigh the risk.

Tocolysis

Albuterol has not been approved for the management of preterm labor. The benefit/risk ratio when albuterol is administered for tocolysis has not been established. Serious adverse reactions, including maternal pulmonary edema, have been reported during or following treatment of premature labor with beta 2-agonists, including albuterol tablets.

Nursing Mothers

It is not known whether this drug is excreted in human milk. Because of the potential for tumorigenicity shown for albuterol in some animal studies, a decision should be made whether to discontinue nursing or to discontinue the drug, taking into account the importance of the drug to the mother.

Pediatric Use

Safety and effectiveness in children below 6 years of age have not been established.

Clinical Pharmacology

In vitrostudies and in vivopharmacologic studies have demonstrated that albuterol has a preferential effect on beta 2-adrenergic receptors compared with isoproterenol. While it is recognized that beta 2-adrenergic receptors are the predominant receptors in bronchial smooth muscle, data indicate that there is a population of beta 2-receptors in the human heart existing in a concentration between 10% and 50%. The precise function of these receptors has not been established (see WARNINGS).

The pharmacologic effects of beta-adrenergic agonist drugs, including albuterol, are at least in part attributable to stimulation through beta-adrenergic receptors of intracellular adenyl cyclase, the enzyme that catalyzes the conversion of adenosine triphosphate (ATP) to cyclic-3',5'-adenosine monophosphate (cyclic AMP). Increased cyclic AMP levels are associated with relaxation of bronchial smooth muscle and inhibition of release of mediators of immediate hypersensitivity from cells, especially from mast cells.

Albuterol has been shown in most controlled clinical trials to have more effect on the respiratory tract, in the form of bronchial smooth muscle relaxation, than isoproterenol at comparable doses while producing fewer cardiovascular effects.

Albuterol is longer acting than isoproterenol in most patients by any route of administration because it is not a substrate for the cellular uptake processes for catecholamines nor for catechol- O-methyl transferase.

Preclinical

Intravenous studies in rats with albuterol sulfate have demonstrated that albuterol crosses the blood brain barrier and reaches brain concentrations amounting to approximately 5% of the plasma concentrations. In structures outside the brain barrier (pineal and pituitary glands), albuterol concentrations were found to be 100 times those in the whole brain.

Studies in laboratory animals (minipigs, rodents, and dogs) have demonstrated the occurrence of cardiac arrhythmias and sudden death (with histologic evidence of myocardial necrosis) when beta-agonists and methylxanthines are administered concurrently. The clinical significance of these findings is unknown.

Pharmacokinetics

Albuterol is rapidly absorbed after oral administration of one 4 mg albuterol tablet in normal volunteers. Maximum plasma concentrations of about 18 ng/mL of albuterol are achieved within 2 hours, and the drug is eliminated with a half-life of about 5 hours.

In other studies, the analysis of urine samples of patients given 8 mg of tritiated albuterol orally showed that 76% of the dose was excreted over 3 days, with the majority of the dose being excreted within the first 24 hours. Sixty percent of this radioactivity was shown to be the metabolite. Feces collected over this period contained 4% of the administered dose.

Clinical Trials

In controlled clinical trials in patients with asthma, the onset of improvement in pulmonary function, as measured by maximum midexpiratory flow rate (MMEF), was within 30 minutes after a dose of albuterol, with peak improvement occurring between 2 and 3 hours. In controlled clinical trials in which measurements were conducted for 6 hours, clinically significant improvement (defined as maintaining a 15% or more increase in forced expiratory volume in 1 second [FEV 1] and a 20% or more increase in MMEF over baseline values) was observed in 60% of patients at 4 hours and in 40% at 6 hours. In other single-dose, controlled clinical trials, clinically significant improvement was observed in at least 40% of the patients at 8 hours. No decrease in the effectiveness of albuterol was reported in patients who received long-term treatment with the drug in uncontrolled studies for periods up to 6 months.

Prinicipal Display Panel

Albuterol Tablets, USP- 2mg- NDC 62135-671-90- 90's Bottle Label

Albuterol Tablets, USP- 4mg- NDC 62135-672-90- 90's Bottle Label


Structured Label Content

Warnings (WARNINGS)

Paradoxical Bronchospasm

Albuterol tablets can produce paradoxical bronchospasm, which may be life threatening. If paradoxical bronchospasm occurs, albuterol should be discontinued immediately and alternative therapy instituted.

Cardiovascular Effects

Albuterol, like all other beta-adrenergic agonists, can produce a clinically significant cardiovascular effect in some patients as measured by pulse rate, blood pressure, and/or symptoms. Although such effects are uncommon after administration of albuterol tablets at recommended doses, if they occur, the drug may need to be discontinued. In addition, beta-agonists have been reported to produce electrocardiogram (ECG) changes, such as flattening of the T wave, prolongation of the QTc interval, and ST segment depression. The clinical significance of these findings is unknown. Therefore, albuterol, like all sympathomimetic amines, should be used with caution in patients with cardiovascular disorders, especially coronary insufficiency, cardiac arrhythmias, and hypertension.

Deterioration of Asthma

Asthma may deteriorate acutely over a period of hours or chronically over several days or longer. If the patient needs more doses of albuterol than usual, this may be a marker of destabilization of asthma and requires reevaluation of the patient and treatment regimen, giving special consideration to the possible need for anti-inflammatory treatment, e.g., corticosteroids.

Use of Anti-Inflammatory Agents

The use of beta-adrenergic agonist bronchodilators alone may not be adequate to control asthma in many patients. Early consideration should be given to adding anti-inflammatory agents, e.g., corticosteroids.

Immediate Hypersensitivity Reactions

Immediate hypersensitivity reactions may occur after administration of albuterol, as demonstrated by rare cases of urticaria, angioedema, rash, bronchospasm, and oropharyngeal edema. Albuterol, like other beta-adrenergic agonists, can produce a significant cardiovascular effect in some patients, as measured by pulse rate, blood pressure, symptoms, and/or electrocardiographic changes.

Rarely, erythema multiforme and Stevens-Johnson syndrome have been associated with the administration of oral albuterol sulfate in children.

To report SUSPECTED ADVERSE REACTIONS, contact Chartwell RX, LLC. at 1-845-232-1683 or FDA at 1-800-FDA-1088 or www.fda.gov/medwatch.

Overdosage (OVERDOSAGE)

The expected symptoms with overdosage are those of excessive beta-adrenergic stimulation and/or occurrence or exaggeration of any of the symptoms listed under ADVERSE REACTIONS, e.g., seizures, angina, hypertension or hypotension, tachycardia with rates up to 200 beats/min, arrhythmias, nervousness, headache, tremor, dry mouth, palpitation, nausea, dizziness, fatigue, malaise, and sleeplessness. Hypokalemia may also occur. As with all sympathomimetic medications, cardiac arrest and even death may be associated with abuse of albuterol tablets. Treatment consists of discontinuation of albuterol together with appropriate symptomatic therapy. The judicious use of a cardioselective beta-receptor blocker may be considered, bearing in mind that such medication can produce bronchospasm. There is insufficient evidence to determine if dialysis is beneficial for overdosage of albuterol. The oral median lethal dose of albuterol sulfate in mice is greater than 2000 mg/kg (approximately 250 times the maximum recommended daily oral dose for adults on a mg/m 2basis, or, approximately 200 times the maximum recommended daily oral dose for children on a mg/m 2basis). In mature rats, the subcutaneous (sc) median lethal dose of albuterol sulfate is approximately 450 mg/kg (approximately 110 times the maximum recommended daily oral dose for adults on a mg/m 2basis, or, approximately 90 times the maximum recommended daily oral dose for children on a mg/m 2basis). In small young rats, the subcutaneous median lethal dose is approximately 2000 mg/kg (approximately 500 times the maximum recommended daily oral dose for adults on a mg/m 2basis, or, approximately 400 times the maximum recommended daily oral dose for children on a mg/m 2basis).

Description (DESCRIPTION)

Albuterol tablets contain albuterol sulfate USP, the racemic form of albuterol and a relatively selective beta 2-adrenergic bronchodilator. Albuterol sulfate has the chemical name α 1-[( tert-butylamino)methyl]-4-hydroxy- m-xylene- α,α-diol sulfate (2:1) (salt) and the following structural formula:

Albuterol sulfate has a molecular weight of 576.7, and the molecular formula is (C 13H 21NO 3) 2H 2SO 4. Albuterol sulfate, USP is a white or almost white crystalline powder, freely soluble in water, practically insoluble or very slightly soluble in Methylene chloride and alcohol, slightly soluble in Chloroform and Ether.

The World Health Organization recommended name for albuterol base is salbutamol.

Each albuterol tablet for oral administration contains 2 mg or 4 mg of albuterol as 2.4 mg or 4.8 mg of albuterol sulfate USP, respectively. Each tablet also contains the following inactive ingredients: lactose monohydrate, pregelatinized starch, corn starch, and magnesium stearate.

Precautions (PRECAUTIONS)

General

Albuterol, as with all sympathomimetic amines, should be used with caution in patients with cardiovascular disorders, especially coronary insufficiency, cardiac arrhythmias, and hypertension; in patients with convulsive disorders, hyperthyroidism, or diabetes mellitus; and in patients who are unusually responsive to sympathomimetic amines. Clinically significant changes in systolic and diastolic blood pressure have been seen in individual patients and could be expected to occur in some patients after use of any beta-adrenergic bronchodilator.

Large doses of intravenous albuterol have been reported to aggravate preexisting diabetes mellitus and ketoacidosis. As with other beta-agonists, albuterol may produce significant hypokalemia in some patients, possibly through intracellular shunting, which has the potential to produce adverse cardiovascular effects. The decrease is usually transient, not requiring supplementation.

Information for Patients

The action of albuterol tablets may last up to 8 hours or longer. Albuterol tablets should not be taken more frequently than recommended. Do not increase the dose or frequency of albuterol tablets without consulting your physician. If you find that treatment with albuterol tablets becomes less effective for symptomatic relief, your symptoms get worse, and/or you need to take the product more frequently than usual, you should seek medical attention immediately. While you are taking albuterol tablets, other asthma medications and inhaled drugs should be taken only as directed by your physician. Common adverse effects include palpitations, chest pain, rapid heart rate, and tremor or nervousness. If you are pregnant or nursing, contact your physician about use of albuterol tablets. Effective and safe use of albuterol tablets includes an understanding of the way that it should be administered.

Drug Interactions

The concomitant use of albuterol and other oral sympathomimetic agents is not recommended since such combined use may lead to deleterious cardiovascular effects. This recommendation does not preclude the judicious use of an aerosol bronchodilator of the adrenergic stimulant type in patients receiving albuterol. Such concomitant use, however, should be individualized and not given on a routine basis. If regular coadministration is required, then alternative therapy should be considered.

Monamine Oxidase Inhibitors or Tricyclic Antidepressants

Albuterol should be administered with extreme caution to patients being treated with monoamine oxidase inhibitors or tricyclic antidepressants, or within 2 weeks of discontinuation of such agents, because the action of albuterol on the vascular system may be potentiated.

Beta-Blockers

Beta-adrenergic receptor blocking agents not only block the pulmonary effect of beta-agonists, such as albuterol, but may produce severe bronchospasm in asthmatic patients. Therefore, patients with asthma should not normally be treated with beta-blockers. However, under certain circumstances, e.g., as prophylaxis after myocardial infarction, there may be no acceptable alternatives to the use of beta-adrenergic blocking agents in patients with asthma. In this setting, cardioselective beta-blockers could be considered, although they should be administered with caution.

Diuretics

The ECG changes and/or hypokalemia that may result from the administration of nonpotassium-sparing diuretics (such as loop or thiazide diuretics) can be acutely worsened by beta-agonists, especially when the recommended dose of the beta-agonist is exceeded. Although the clinical significance of these effects is not known, caution is advised in the coadministration of beta-agonists with nonpotassium-sparing diuretics.

Digoxin

Mean decreases of 16% to 22% in serum digoxin levels were demonstrated after single-dose intravenous and oral administration of albuterol, respectively, to normal volunteers who had received digoxin for 10 days. The clinical significance of these findings for patients with obstructive airway disease who are receiving albuterol and digoxin on a chronic basis is unclear. Nevertheless, it would be prudent to carefully evaluate the serum digoxin levels in patients who are currently receiving digoxin and albuterol.

Carcinogenesis, Mutagenesis, Impairment of Fertility

In a 2- year study in Sprague-Dawley rats, albuterol sulfate caused a significant dose-related increase in the incidence of benign leiomyomas of the mesovarium at dietary doses of 2, 10, and 50 mg/kg (approximately ½, 3, and 15 times, respectively, the maximum recommended daily oral dose for adults on a mg/m 2basis, or, 2/ 5, 2 and 10 times, respectively, the maximum recommended daily oral dose for children on a mg/m 2basis). In another study this effect was blocked by the coadministration of propranolol, a non-selective beta-adrenergic antagonist.

In an 18-month study in CD-1 mice albuterol sulfate showed no evidence of tumorigenicity at dietary doses of up to 500 mg/kg, (approximately 65 times the maximum recommended daily oral dose for adults on a mg/m 2basis, or, approximately 50 times the maximum recommended daily oral dose for children on a mg/m 2basis). In a 22-month study in the Golden hamster, albuterol sulfate showed no evidence of tumorigenicity at dietary doses of up to 50 mg/kg, (approximately 8 times the maximum recommended daily oral dose for adults on a mg/m 2basis, or, approximately 7 times the maximum recommended daily oral dose for children on a mg/m 2basis).

Albuterol sulfate was not mutagenic in the Ames test with or without metabolic activation using tester strains S. typhimuriumTA1537, TA1538, and TA98 or E. ColiWP2, WP2uvrA, and WP67. No forward mutation was seen in yeast strain S. cerevisiaeS9 nor any mitotic gene conversion in yeast strain S. cerevisiaeJD1 with or without metabolic activation. Fluctuation assays in S. typhimuriumTA98 and E. ColiWP2, both with metabolic activation, were negative. Albuterol sulfate was not clastogenic in a human peripheral lymphocyte assay or in an AH1 strain mouse micronucleus assay at intraperitoneal doses of up to 200 mg/kg.

Reproduction studies in rats demonstrated no evidence of impaired fertility at oral doses up to 50 mg/kg (approximately 15 times the maximum recommended daily oral dose for adults on a mg/m 2basis).

Pregnancy

Teratogenic Effects. Pregnancy Category C

Albuterol has been shown to be teratogenic in mice. A study in CD-1 mice at subcutaneous (sc) doses of 0.025, 0.25, and 2.5 mg/kg (approximately 3/1000, 3/100, and 3/10 times, respectively, the maximum recommended daily oral dose for adults on a mg/m 2basis), showed cleft palate formation in 5 of 111 (4.5%) fetuses at 0.25 mg/kg and in 10 of 108 (9.3%) fetuses at 2.5 mg/kg. The drug did not induce cleft palate formation at the lowest dose, 0.025 mg/kg. Cleft palate also occurred in 22 of 72 (30.5%) fetuses from females treated with 2.5 mg/kg of isoproterenol (positive control) subcutaneously (approximately 3/10 times the maximum recommended daily oral dose for adults on a mg/m 2basis).

A reproduction study in Stride Dutch rabbits revealed cranioschisis in 7 of 19 (37%) fetuses when albuterol was administered orally at a 50 mg/kg dose (approximately 25 times the maximum recommended daily oral dose for adults on a mg/m 2basis).

There are no adequate and well-controlled studies in pregnant women. Albuterol should be used during pregnancy only if the potential benefit justifies the potential risk to the fetus.

During worldwide marketing experience, various congenital anomalies, including cleft palate and limb defects, have been rarely reported in the offspring of patients being treated with albuterol. Some of the mothers were taking multiple medications during their pregnancies. No consistent pattern of defects can be discerned, and a relationship between albuterol use and congenital anomalies has not been established.

Use in Labor and Delivery

Because of the potential for beta-agonist interference with uterine contractility, use of albuterol for relief of bronchospasm during labor should be restricted to those patients in whom the benefits clearly outweigh the risk.

Tocolysis

Albuterol has not been approved for the management of preterm labor. The benefit/risk ratio when albuterol is administered for tocolysis has not been established. Serious adverse reactions, including maternal pulmonary edema, have been reported during or following treatment of premature labor with beta 2-agonists, including albuterol tablets.

Nursing Mothers

It is not known whether this drug is excreted in human milk. Because of the potential for tumorigenicity shown for albuterol in some animal studies, a decision should be made whether to discontinue nursing or to discontinue the drug, taking into account the importance of the drug to the mother.

Pediatric Use

Safety and effectiveness in children below 6 years of age have not been established.

How Supplied (HOW SUPPLIED)

Albuterol Tablets, USP are available containing albuterol sulfate, USP 2.4 mg equivalent to albuterol 2 mg or albuterol sulfate, USP 4.8 mg equivalent to albuterol 4 mg.

The 2 mg tablets are white to off white round flat face beveled edge tablets, debossed with “CE” over “84” on one side and score on the other side. They are available as follows:

Bottles of 90 tablets                    NDC 62135-671-90

The 4 mg tablets are white to off white round flat face beveled edge tablets, debossed with “CE” over “85” on one side and score on the other side. They are available as follows:

Bottles of 90 tablets                    NDC 62135-672-90

Store at 20° to 25°C (68° to 77°F). [See USP Controlled Room Temperature].

Protect from light.

Dispense in a tight, light-resistant container as defined in the USP using a child-resistant closure.

Manufactured for:

Chartwell RX, LLC.

Congers, NY 10920



L71378

Revised: 06/2023

Adverse Reactions (ADVERSE REACTIONS)

In clinical trials, the most frequent adverse reactions to albuterol tablets were:

Percent Incidence of Adverse Reactions

Reaction

Percent Incidence

Central nervous system

   Nervousness

20%

   Tremor

20%

   Headache

7%

   Sleeplessness

2%

   Weakness

2%

   Dizziness

2%

   Drowsiness

<1%

   Restlessness

<1%

   Irritability

<1%

Cardiovascular

   Tachycardia

5%

   Palpitations

5%

   Chest discomfort

<1%

   Flushing

<1%

Musculoskeletal

   Muscle cramps

3%

Gastrointestinal

   Nausea

2%

Genitourinary

   Difficulty in micturition

<1%

Rare cases of urticaria, angioedema, rash, bronchospasm, and oropharyngeal edema have been reported after the use of albuterol.

In addition, albuterol, like other sympathomimetic agents, can cause adverse reactions such as hypertension, angina, vomiting, vertigo, central nervous system stimulation, unusual taste, and drying or irritation of the oropharynx.

The reactions are generally transient in nature, and it is usually not necessary to discontinue treatment with albuterol tablets. In selected cases, however, dosage may be reduced temporarily; after the reaction has subsided, dosage should be increased in small increments to the optimal dosage.

Contraindications (CONTRAINDICATIONS)

Albuterol tablets are contraindicated in patients with a history of hypersensitivity to albuterol, or any of its components.

Clinical Pharmacology (CLINICAL PHARMACOLOGY)

In vitrostudies and in vivopharmacologic studies have demonstrated that albuterol has a preferential effect on beta 2-adrenergic receptors compared with isoproterenol. While it is recognized that beta 2-adrenergic receptors are the predominant receptors in bronchial smooth muscle, data indicate that there is a population of beta 2-receptors in the human heart existing in a concentration between 10% and 50%. The precise function of these receptors has not been established (see WARNINGS).

The pharmacologic effects of beta-adrenergic agonist drugs, including albuterol, are at least in part attributable to stimulation through beta-adrenergic receptors of intracellular adenyl cyclase, the enzyme that catalyzes the conversion of adenosine triphosphate (ATP) to cyclic-3',5'-adenosine monophosphate (cyclic AMP). Increased cyclic AMP levels are associated with relaxation of bronchial smooth muscle and inhibition of release of mediators of immediate hypersensitivity from cells, especially from mast cells.

Albuterol has been shown in most controlled clinical trials to have more effect on the respiratory tract, in the form of bronchial smooth muscle relaxation, than isoproterenol at comparable doses while producing fewer cardiovascular effects.

Albuterol is longer acting than isoproterenol in most patients by any route of administration because it is not a substrate for the cellular uptake processes for catecholamines nor for catechol- O-methyl transferase.

Preclinical

Intravenous studies in rats with albuterol sulfate have demonstrated that albuterol crosses the blood brain barrier and reaches brain concentrations amounting to approximately 5% of the plasma concentrations. In structures outside the brain barrier (pineal and pituitary glands), albuterol concentrations were found to be 100 times those in the whole brain.

Studies in laboratory animals (minipigs, rodents, and dogs) have demonstrated the occurrence of cardiac arrhythmias and sudden death (with histologic evidence of myocardial necrosis) when beta-agonists and methylxanthines are administered concurrently. The clinical significance of these findings is unknown.

Pharmacokinetics

Albuterol is rapidly absorbed after oral administration of one 4 mg albuterol tablet in normal volunteers. Maximum plasma concentrations of about 18 ng/mL of albuterol are achieved within 2 hours, and the drug is eliminated with a half-life of about 5 hours.

In other studies, the analysis of urine samples of patients given 8 mg of tritiated albuterol orally showed that 76% of the dose was excreted over 3 days, with the majority of the dose being excreted within the first 24 hours. Sixty percent of this radioactivity was shown to be the metabolite. Feces collected over this period contained 4% of the administered dose.

Clinical Trials

In controlled clinical trials in patients with asthma, the onset of improvement in pulmonary function, as measured by maximum midexpiratory flow rate (MMEF), was within 30 minutes after a dose of albuterol, with peak improvement occurring between 2 and 3 hours. In controlled clinical trials in which measurements were conducted for 6 hours, clinically significant improvement (defined as maintaining a 15% or more increase in forced expiratory volume in 1 second [FEV 1] and a 20% or more increase in MMEF over baseline values) was observed in 60% of patients at 4 hours and in 40% at 6 hours. In other single-dose, controlled clinical trials, clinically significant improvement was observed in at least 40% of the patients at 8 hours. No decrease in the effectiveness of albuterol was reported in patients who received long-term treatment with the drug in uncontrolled studies for periods up to 6 months.

Indications and Usage (INDICATIONS AND USAGE)

Albuterol tablets are indicated for the relief of bronchospasm in adults and children 6 years of age and older with reversible obstructive airway disease.

Prinicipal Display Panel (PRINICIPAL DISPLAY PANEL)

Albuterol Tablets, USP- 2mg- NDC 62135-671-90- 90's Bottle Label

Albuterol Tablets, USP- 4mg- NDC 62135-672-90- 90's Bottle Label

Dosage and Administration (DOSAGE AND ADMINISTRATION)

The following dosages of albuterol tablets are expressed in terms of albuterol base.

Usual Dosage

Adults and Children Over 12 Years of Age

The usual starting dosage for adults and children 12 years and older is 2 or 4 mg three or four times a day.

Children 6 to 12 Years of Age

The usual starting dosage for children 6 to 12 years of age is 2 mg three or four times a day.

Dosage Adjustment

Adults and Children Over 12 Years of Age

For adults and children 12 years and older, a dosage above 4 mg four times a day should be used onlywhen the patient fails to respond. If a favorable response does not occur with the 4 mg initial dosage, it should be cautiously increased stepwise up to a maximum of 8 mg four times a day as tolerated.

Children 6 to 12 Years of Age Who Fail to Respond to the Initial Starting Dosage of 2 mg Four Times a Day

For children from 6 to 12 years of age who fail to respond to the initial starting dosage of 2 mg four times a day, the dosage may be cautiously increased stepwise, but not to exceed 24 mg/day (given in divided doses).

Elderly Patients and Those Sensitive to Beta-adrenergic Stimulators

An initial dosage of 2 mg three or four times a day is recommended for elderly patients and for those with a history of unusual sensitivity to beta-adrenergic stimulators. If adequate bronchodilation is not obtained, dosage may be increased gradually to as much as 8 mg three or four times a day.

The total daily dose should not exceed 32 mg in adults and children 12 years and older.


Advanced Ingredient Data


Raw Label Data

All Sections (JSON)