These Highlights Do Not Include All The Information Needed To Use Sovaldi Safely And Effectively. See Full Prescribing Information For Sovaldi.

These Highlights Do Not Include All The Information Needed To Use Sovaldi Safely And Effectively. See Full Prescribing Information For Sovaldi.
SPL v16
SPL
SPL Set ID 80beab2c-396e-4a37-a4dc-40fdb62859cf
Route
ORAL
Published
Effective Date 2024-12-26
Document Type 34391-3 HUMAN PRESCRIPTION DRUG LABEL

Drug Facts

Composition & Product

Active Ingredients
Sofosbuvir (400 mg)
Inactive Ingredients
Mannitol Microcrystalline Cellulose Croscarmellose Sodium Silicon Dioxide Magnesium Stearate Polyvinyl Alcohol, Unspecified Titanium Dioxide Polyethylene Glycol, Unspecified Talc Ferric Oxide Yellow Water Lactose Monohydrate Hydroxypropyl Cellulose, Unspecified Sodium Stearyl Fumarate Hypromellose, Unspecified Dimethylaminoethyl Methacrylate - Butyl Methacrylate - Methyl Methacrylate Copolymer Stearic Acid Sodium Lauryl Sulfate

Identifiers & Packaging

Pill Appearance
Imprint: GSI;200 Shape: oval Shape: round Color: yellow Color: white Size: 20 mm Size: 15 mm Size: 2 mm Score: 1
Marketing Status
NDA Active Since 2019-08-28

Description

Test all patients for evidence of current or prior hepatitis B virus (HBV) infection before initiating treatment with SOVALDI. HBV reactivation has been reported in HCV/HBV coinfected patients who were undergoing or had completed treatment with HCV direct acting antivirals and were not receiving HBV antiviral therapy. Some cases have resulted in fulminant hepatitis, hepatic failure, and death. Monitor HCV/HBV coinfected patients for hepatitis flare or HBV reactivation during HCV treatment and post-treatment follow-up. Initiate appropriate patient management for HBV infection as clinically indicated [see Warnings and Precautions (5.1) ] .

Indications and Usage

SOVALDI is a hepatitis C virus (HCV) nucleotide analog NS5B polymerase inhibitor indicated for the treatment of: Adult patients with genotype 1, 2, 3 or 4 chronic HCV infection without cirrhosis or with compensated cirrhosis as a component of a combination antiviral treatment regimen. ( 1 ) Pediatric patients 3 years of age and older with genotype 2 or 3 chronic HCV infection without cirrhosis or with compensated cirrhosis in combination with ribavirin. ( 1 )

Dosage and Administration

Testing Prior to the Initiation of Therapy: Test all patients for HBV infection by measuring HBsAg and anti-HBc. ( 2.1 ) Recommended dosage in adults: One 400 mg tablet taken once daily with or without food. ( 2.2 ) Recommended dosage in pediatric patients 3 years of age and older: Recommended dosage of SOVALDI in pediatric patients 3 years of age and older with genotype 2 or 3 HCV using SOVALDI tablets or oral pellets is based on weight. Refer to Table 3 of the full prescribing information for specific dosing guidelines based on body weight. ( 2.3 ) HCV/HIV-1 coinfection: For adult and pediatric patients with HCV/HIV-1 coinfection, follow the dosage recommendations in the tables below, respectively. ( 2.2 , 2.3 ) Recommended adult treatment regimen and duration: ( 2.2 ) Adult Patient Population Regimen and Duration Genotype 1 or 4 Treatment-naïve without cirrhosis or with compensated cirrhosis (Child-Pugh A) SOVALDI + peginterferon alfa + ribavirin 12 weeks Genotype 2 Treatment-naïve and treatment-experienced without cirrhosis or with compensated cirrhosis (Child-Pugh A) SOVALDI + ribavirin 12 weeks Genotype 3 Treatment-naïve and treatment-experienced without cirrhosis or with compensated cirrhosis (Child-Pugh A) SOVALDI + ribavirin 24 weeks SOVALDI in combination with ribavirin for 24 weeks can be considered for adult patients with genotype 1 infection who are interferon ineligible. ( 2.2 ) Should be used in combination with ribavirin for treatment of HCV in adult patients with hepatocellular carcinoma awaiting liver transplantation for up to 48 weeks or until liver transplantation, whichever occurs first. ( 2.2 ) Recommended treatment regimen and duration for pediatric patients 3 years of age and older: ( 2.3 , 2.4 ) Pediatric Patient Population 3 Years of Age and Older Regimen and Duration Genotype 2 Treatment-naïve and treatment-experienced without cirrhosis or with compensated cirrhosis (Child-Pugh A) SOVALDI + ribavirin 12 weeks Genotype 3 Treatment-naïve and treatment-experienced without cirrhosis or with compensated cirrhosis (Child-Pugh A) SOVALDI + ribavirin 24 weeks A dosage recommendation cannot be made for patients with severe renal impairment or end stage renal disease. ( 2.7 , 8.6 ) Instructions for Use should be followed for preparation and administration of SOVALDI oral pellets. ( 2.4 )

Warnings and Precautions

Risk of Hepatitis B Virus Reactivation: Test all patients for evidence of current or prior HBV infection before initiation of HCV treatment. Monitor HCV/HBV coinfected patients for HBV reactivation and hepatitis flare during HCV treatment and post-treatment follow-up. Initiate appropriate patient management for HBV infection as clinically indicated. ( 5.1 ) Bradycardia with amiodarone coadministration: Serious symptomatic bradycardia may occur in patients taking amiodarone with a sofosbuvir-containing regimen, particularly in patients also receiving beta blockers, or those with underlying cardiac comorbidities and/or advanced liver disease. Coadministration of amiodarone with SOVALDI is not recommended. In patients without alternative, viable treatment options, cardiac monitoring is recommended. ( 5.2 , 6.2 , 7.1 )

Contraindications

When SOVALDI is used in combination with ribavirin or peginterferon alfa/ribavirin, the contraindications applicable to those agents are applicable to combination therapies. Refer to the prescribing information of peginterferon alfa and ribavirin for a list of their contraindications.

Adverse Reactions

The following serious adverse reactions are described below and elsewhere in the labeling: Serious Symptomatic Bradycardia When Coadministered with Amiodarone [see Warnings and Precautions (5.2) ] .

Drug Interactions

Coadministration of amiodarone with a sofosbuvir-containing regimen may result in serious symptomatic bradycardia. ( 5.2 , 6.2 , 7.1 ) Drugs that are intestinal P-gp inducers (e.g., rifampin, St. John's wort) may alter the concentrations of sofosbuvir. ( 5.3 , 7 , 12.3 ) Consult the full prescribing information prior to use for potential drug-drug interactions. ( 5.2 , 5.3 , 7 , 12.3 ) Clearance of HCV infection with direct acting antivirals may lead to changes in hepatic function, which may impact safe and effective use of concomitant medications. Frequent monitoring of relevant laboratory parameters (INR or blood glucose) and dose adjustments of certain concomitant medications may be necessary. ( 7.1 )


Medication Information

Warnings and Precautions

Risk of Hepatitis B Virus Reactivation: Test all patients for evidence of current or prior HBV infection before initiation of HCV treatment. Monitor HCV/HBV coinfected patients for HBV reactivation and hepatitis flare during HCV treatment and post-treatment follow-up. Initiate appropriate patient management for HBV infection as clinically indicated. ( 5.1 ) Bradycardia with amiodarone coadministration: Serious symptomatic bradycardia may occur in patients taking amiodarone with a sofosbuvir-containing regimen, particularly in patients also receiving beta blockers, or those with underlying cardiac comorbidities and/or advanced liver disease. Coadministration of amiodarone with SOVALDI is not recommended. In patients without alternative, viable treatment options, cardiac monitoring is recommended. ( 5.2 , 6.2 , 7.1 )

Indications and Usage

SOVALDI is a hepatitis C virus (HCV) nucleotide analog NS5B polymerase inhibitor indicated for the treatment of: Adult patients with genotype 1, 2, 3 or 4 chronic HCV infection without cirrhosis or with compensated cirrhosis as a component of a combination antiviral treatment regimen. ( 1 ) Pediatric patients 3 years of age and older with genotype 2 or 3 chronic HCV infection without cirrhosis or with compensated cirrhosis in combination with ribavirin. ( 1 )

Dosage and Administration

Testing Prior to the Initiation of Therapy: Test all patients for HBV infection by measuring HBsAg and anti-HBc. ( 2.1 ) Recommended dosage in adults: One 400 mg tablet taken once daily with or without food. ( 2.2 ) Recommended dosage in pediatric patients 3 years of age and older: Recommended dosage of SOVALDI in pediatric patients 3 years of age and older with genotype 2 or 3 HCV using SOVALDI tablets or oral pellets is based on weight. Refer to Table 3 of the full prescribing information for specific dosing guidelines based on body weight. ( 2.3 ) HCV/HIV-1 coinfection: For adult and pediatric patients with HCV/HIV-1 coinfection, follow the dosage recommendations in the tables below, respectively. ( 2.2 , 2.3 ) Recommended adult treatment regimen and duration: ( 2.2 ) Adult Patient Population Regimen and Duration Genotype 1 or 4 Treatment-naïve without cirrhosis or with compensated cirrhosis (Child-Pugh A) SOVALDI + peginterferon alfa + ribavirin 12 weeks Genotype 2 Treatment-naïve and treatment-experienced without cirrhosis or with compensated cirrhosis (Child-Pugh A) SOVALDI + ribavirin 12 weeks Genotype 3 Treatment-naïve and treatment-experienced without cirrhosis or with compensated cirrhosis (Child-Pugh A) SOVALDI + ribavirin 24 weeks SOVALDI in combination with ribavirin for 24 weeks can be considered for adult patients with genotype 1 infection who are interferon ineligible. ( 2.2 ) Should be used in combination with ribavirin for treatment of HCV in adult patients with hepatocellular carcinoma awaiting liver transplantation for up to 48 weeks or until liver transplantation, whichever occurs first. ( 2.2 ) Recommended treatment regimen and duration for pediatric patients 3 years of age and older: ( 2.3 , 2.4 ) Pediatric Patient Population 3 Years of Age and Older Regimen and Duration Genotype 2 Treatment-naïve and treatment-experienced without cirrhosis or with compensated cirrhosis (Child-Pugh A) SOVALDI + ribavirin 12 weeks Genotype 3 Treatment-naïve and treatment-experienced without cirrhosis or with compensated cirrhosis (Child-Pugh A) SOVALDI + ribavirin 24 weeks A dosage recommendation cannot be made for patients with severe renal impairment or end stage renal disease. ( 2.7 , 8.6 ) Instructions for Use should be followed for preparation and administration of SOVALDI oral pellets. ( 2.4 )

Contraindications

When SOVALDI is used in combination with ribavirin or peginterferon alfa/ribavirin, the contraindications applicable to those agents are applicable to combination therapies. Refer to the prescribing information of peginterferon alfa and ribavirin for a list of their contraindications.

Adverse Reactions

The following serious adverse reactions are described below and elsewhere in the labeling: Serious Symptomatic Bradycardia When Coadministered with Amiodarone [see Warnings and Precautions (5.2) ] .

Drug Interactions

Coadministration of amiodarone with a sofosbuvir-containing regimen may result in serious symptomatic bradycardia. ( 5.2 , 6.2 , 7.1 ) Drugs that are intestinal P-gp inducers (e.g., rifampin, St. John's wort) may alter the concentrations of sofosbuvir. ( 5.3 , 7 , 12.3 ) Consult the full prescribing information prior to use for potential drug-drug interactions. ( 5.2 , 5.3 , 7 , 12.3 ) Clearance of HCV infection with direct acting antivirals may lead to changes in hepatic function, which may impact safe and effective use of concomitant medications. Frequent monitoring of relevant laboratory parameters (INR or blood glucose) and dose adjustments of certain concomitant medications may be necessary. ( 7.1 )

Description

Test all patients for evidence of current or prior hepatitis B virus (HBV) infection before initiating treatment with SOVALDI. HBV reactivation has been reported in HCV/HBV coinfected patients who were undergoing or had completed treatment with HCV direct acting antivirals and were not receiving HBV antiviral therapy. Some cases have resulted in fulminant hepatitis, hepatic failure, and death. Monitor HCV/HBV coinfected patients for hepatitis flare or HBV reactivation during HCV treatment and post-treatment follow-up. Initiate appropriate patient management for HBV infection as clinically indicated [see Warnings and Precautions (5.1) ] .

Section 42229-5

Adult Patients:

SOVALDI is indicated for the treatment of adult patients with chronic hepatitis C virus (HCV) infection as a component of a combination antiviral treatment regimen [see Dosage and Administration (2.2), and Clinical Studies (14)]:

  • genotype 1 or 4 infection without cirrhosis or with compensated cirrhosis for use in combination with pegylated interferon and ribavirin
  • genotype 2 or 3 infection without cirrhosis or with compensated cirrhosis for use in combination with ribavirin.
Section 42230-3
This Patient Information has been approved by the U.S. Food and Drug Administration. Revised: 03/2020    
Patient Information
SOVALDI® (soh-VAHL-dee)

(sofosbuvir)

tablets
SOVALDI® (soh-VAHL-dee)

(sofosbuvir)

oral pellets
Important: SOVALDI is used in combination with other antiviral medicines. When taking SOVALDI with ribavirin or in combination with peginterferon alfa and ribavirin you should also read those Medication Guides. The information in this Patient Information Leaflet talks about SOVALDI when it is used with ribavirin and in combination with peginterferon alfa and ribavirin.
What is the most important information I should know about SOVALDI?

SOVALDI can cause serious side effects, including:
  • Hepatitis B virus reactivation: Before starting treatment with SOVALDI, your healthcare provider will do blood tests to check for hepatitis B virus infection. If you have ever had hepatitis B virus infection, the hepatitis B virus could become active again during or after treatment of hepatitis C virus with SOVALDI. Hepatitis B virus becoming active again (called reactivation) may cause serious liver problems including liver failure and death. Your healthcare provider will monitor you if you are at risk for hepatitis B virus reactivation during treatment and after you stop taking SOVALDI.
For more information about side effects, see the section "What are the possible side effects of SOVALDI?"
What is SOVALDI?

SOVALDI is a prescription medicine used with other antiviral medicines to treat adults with chronic (lasting a long time) hepatitis C virus (HCV):
  • genotype 1 or 4 infection without cirrhosis or with compensated cirrhosis in combination with peginterferon alfa and ribavirin
  • genotype 2 or 3 infection without cirrhosis or with compensated cirrhosis in combination with ribavirin
SOVALDI is used to treat children 3 years of age and older with chronic HCV genotype 2 or 3 infection without cirrhosis or with compensated cirrhosis in combination with ribavirin.

It is not known if SOVALDI is safe and effective in children under 3 years of age with HCV genotype 2 or 3 infection, or with HCV genotype 1 or 4 infection.

It is not known if SOVALDI is safe and effective in people who have had a liver transplant.
Before taking SOVALDI, tell your healthcare provider about all of your medical conditions, including if you:
  • have ever had hepatitis B virus infection
  • have liver problems other than hepatitis C infection
  • have had a liver transplant
  • have severe kidney problems or you are on dialysis
  • have HIV infection
  • are pregnant or plan to become pregnant. It is not known if SOVALDI will harm your unborn baby.
    • Males and females who take SOVALDI in combination with ribavirin should also read the ribavirin Medication Guide for important pregnancy, contraception, and infertility information.
  • are breastfeeding or plan to breastfeed. It is not known if SOVALDI passes into your breast milk. Talk to your healthcare provider about the best way to feed your baby during treatment with SOVALDI.
Tell your healthcare provider about all the medicines you take, including prescription and over-the-counter medicines, vitamins, and herbal supplements. SOVALDI and other medicines may affect each other. This can cause you to have too much or not enough SOVALDI or other medicines in your body. This may affect the way SOVALDI or your other medicines work, or may cause side effects.

Keep a list of your medicines to show your healthcare provider and pharmacist.
  • You can ask your healthcare provider or pharmacist for a list of medicines that interact with SOVALDI.
  • Do not start taking a new medicine without telling your healthcare provider. Your healthcare provider can tell you if it is safe to take SOVALDI with other medicines.
How should I take SOVALDI?
  • Take SOVALDI exactly as your healthcare provider tells you to take it. Do not change your dose unless your healthcare provider tells you to.
  • Do not stop taking SOVALDI without first talking with your healthcare provider.
  • Take SOVALDI tablets or oral pellets by mouth, with or without food.
  • For adults the usual dose of SOVALDI is one 400 mg tablet each day.
  • For children 3 years of age and older, your healthcare provider will prescribe the right dose of SOVALDI tablets or oral pellets based on your child's body weight.
  • Do not miss a dose of SOVALDI. Missing a dose lowers the amount of medicine in your blood. Refill your SOVALDI prescription before you run out of medicine.
  • If you take too much SOVALDI, call your healthcare provider or go to the nearest hospital emergency room right away.
How should I give SOVALDI oral pellets to my child?

See the detailed Instructions for Use for information about how to give or take a dose of SOVALDI oral pellets.
  • Administer SOVALDI oral pellets exactly as instructed by your healthcare provider.
  • Do not open the packet until ready to use.
  • Hold the SOVALDI pellets packet with the cut line on top.
  • Shake the SOVALDI pellets packet gently to settle the pellets.
  • Tear or cut the SOVALDI packet along the cut line.
  • SOVALDI pellets can be taken right in the mouth without chewing, or with food.
  • If SOVALDI pellets are taken with food, sprinkle the pellets on one or more spoonfuls of non-acidic soft food at or below room temperature. Examples of non-acidic foods include pudding, chocolate syrup, mashed potato, and ice cream. Take SOVALDI pellets within 30 minutes of gently mixing with food and swallow the entire contents without chewing to avoid a bitter taste.
  • Do not store any leftover SOVALDI mixture (oral pellets mixed with food) for use at a later time. Throw away any unused portion.
What are the possible side effects of SOVALDI?

SOVALDI can cause serious side effects, including:
  • Hepatitis B virus reactivation. See "What is the most important information I should know about SOVALDI?"
  • Slow heart rate (bradycardia). SOVALDI treatment may result in slowing of the heart rate along with other symptoms when taken with amiodarone (Cordarone®, Nexterone®, Pacerone®), a medicine used to treat certain heart problems. In some cases bradycardia has led to death or the need for a heart pacemaker when amiodarone is taken with SOVALDI. Get medical help right away if you take amiodarone with SOVALDI and get any of the following symptoms:
  • fainting or near-fainting
  • dizziness or lightheadedness
  • not feeling well
  • weakness
  • extreme tiredness
  • shortness of breath
  • chest pain
  • confusion
  • memory problems
The most common side effects of SOVALDI when used in combination with ribavirin include:
  • tiredness
  • headache
The most common side effects of SOVALDI when used in combination with peginterferon alfa and ribavirin include:
  • tiredness
  • headache
  • nausea
  • difficulty sleeping
  • low red blood cell count
These are not all the possible side effects of SOVALDI. For more information, ask your healthcare provider or pharmacist.

Call your doctor for medical advice about side effects. You may report side effects to FDA at 1-800-FDA-1088.
How should I store SOVALDI?
  • Store SOVALDI tablets or pellets below 86°F (30°C).
  • Keep SOVALDI tablets in the original container.
  • Do not use SOVALDI tablets if the seal over the bottle opening is broken or missing.
  • Do not use SOVALDI pellets if the carton tamper-evident seal, or the pellets packet seal, is broken or damaged.
Keep SOVALDI and all medicines out of the reach of children.
General information about the safe and effective use of SOVALDI.

Medicines are sometimes prescribed for purposes other than those listed in a Patient Information leaflet. Do not use SOVALDI for a condition for which it was not prescribed. Do not give SOVALDI to other people, even if they have the same symptoms you have. It may harm them. You can ask your healthcare provider or pharmacist for information about SOVALDI that is written for health professionals. For more information, call 1-800-445-3235 or go to www.SOVALDI.com.
What are the ingredients in SOVALDI?

Active ingredient:
sofosbuvir

Inactive ingredients, Tablets: colloidal silicon dioxide, croscarmellose sodium, magnesium stearate, mannitol, and microcrystalline cellulose. The tablet film-coat contains polyethylene glycol, polyvinyl alcohol, talc, titanium dioxide, and yellow iron oxide.

Inactive ingredients, Oral Pellets: amino methacrylate copolymer, colloidal silicon dioxide, croscarmellose sodium, hydroxypropyl cellulose, hypromellose, lactose monohydrate, microcrystalline cellulose, polyethylene glycol, silicon dioxide, sodium lauryl sulfate, sodium stearyl fumarate, stearic acid, and talc.

Gilead Sciences, Inc., Foster City, CA 94404

For more information, call 1-800-445-3235 or go to www.SOVALDI.com.

SOVALDI is a trademark of Gilead Sciences, Inc., or its related companies. All other trademarks referenced herein are the property of their respective owners.

©2024 Gilead Sciences, Inc. All rights reserved.

204671-GS-011
Section 44425-7

Store below 30 °C (86 °F).

  • Dispense only in original container
  • Do not use if seal over bottle opening is broken or missing
10 Overdosage

The highest documented dosage of sofosbuvir was a single dose of sofosbuvir 1200 mg (three times the recommended dosage) administered to 59 healthy subjects. In that trial, there were no untoward effects observed at this dosage level, and adverse events were similar in frequency and severity to those reported in the placebo and sofosbuvir 400 mg treatment groups. The effects of higher dosages are not known.

No specific antidote is available for overdose with SOVALDI. If overdose occurs, the patient must be monitored for evidence of toxicity. Treatment of overdose with SOVALDI consists of general supportive measures including monitoring of vital signs as well as observation of the clinical status of the patient. A 4-hour hemodialysis session removed 18% of the administered dose.

11 Description

SOVALDI (sofosbuvir) is a nucleotide analog inhibitor of HCV NS5B polymerase.

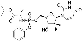
The IUPAC name for sofosbuvir is (S)-isopropyl 2-((S)-(((2R,3R,4R,5R)-5-(2,4-dioxo-3,4-dihydropyrimidin-1(2H)-yl)-4-fluoro-3-hydroxy-4-methyltetrahydrofuran-2-yl)methoxy)-(phenoxy)phosphorylamino)propanoate. It has a molecular formula of C22H29FN3O9P and a molecular weight of 529.45. It has the following structural formula:

Sofosbuvir is a white to off-white crystalline solid with a solubility of ≥ 2 mg/mL across the pH range of 2–7.7 at 37 °C and is slightly soluble in water.

SOVALDI tablets, 200 mg or 400 mg, are for oral administration. Each tablet contains 200 mg or 400 mg of sofosbuvir. The tablets include the following inactive ingredients: colloidal silicon dioxide, croscarmellose sodium, magnesium stearate, mannitol, and microcrystalline cellulose. The tablets are film-coated with a coating material containing the following inactive ingredients: polyethylene glycol, polyvinyl alcohol, talc, titanium dioxide, and yellow iron oxide.

SOVALDI pellets, 150 mg or 200 mg, are for oral administration, supplied as white to off-white pellets in unit-dose packets. Each unit-dose packet contains 150 mg or 200 mg of sofosbuvir. The pellets include the following inactive ingredients: amino methacrylate copolymer, colloidal silicon dioxide, croscarmellose sodium, hydroxypropyl cellulose, hypromellose, lactose monohydrate, microcrystalline cellulose, polyethylene glycol, silicon dioxide, sodium lauryl sulfate, sodium stearyl fumarate, stearic acid, and talc.

8.4 Pediatric Use

The safety, pharmacokinetics, and efficacy of SOVALDI in pediatric patients 3 years of age and older with genotype 2 and 3 infection have been established. SOVALDI was evaluated in an open-label clinical trial (Study 1112), which included 106 subjects (31 genotype 2; 75 genotype 3) 3 years of age and older. The safety, pharmacokinetics, and efficacy were comparable to that observed in adults [see Dosage and Administration (2.3), Adverse Reactions (6.1), Clinical Pharmacology (12.3), and Clinical Studies (14.5)].

The safety and efficacy of SOVALDI in pediatric patients 3 years of age and older with compensated cirrhosis is supported by comparable sofosbuvir and GS-331007 exposures between: 1) adults and pediatric patients without cirrhosis and 2) adults without cirrhosis and adults with compensated cirrhosis. Thus, similar efficacy would be expected for pediatric patients with compensated cirrhosis as adults with compensated cirrhosis.

The safety and efficacy of SOVALDI have not been established in pediatric patients less than 3 years of age with HCV genotype 2 or 3. The safety and efficacy of SOVALDI have not been established in pediatric patients with HCV genotype 1 or 4.

In a 5-year follow-up study, the long-term effects of SOVALDI on pediatric growth were assessed in 88 pediatric subjects 3 years of age and older treated with SOVALDI in Study 1112. No notable effects on growth from baseline through end of study were observed [see Adverse Reactions (6.1)]. All subjects who had achieved SVR12 maintained SVR through end of study.

8.5 Geriatric Use

SOVALDI was administered to 90 subjects aged 65 and over. The response rates observed for subjects over 65 years of age were similar to that of younger subjects across treatment groups. No dosage adjustment of SOVALDI is warranted in geriatric patients [see Clinical Pharmacology (12.3)].

4 Contraindications

When SOVALDI is used in combination with ribavirin or peginterferon alfa/ribavirin, the contraindications applicable to those agents are applicable to combination therapies. Refer to the prescribing information of peginterferon alfa and ribavirin for a list of their contraindications.

6 Adverse Reactions

The following serious adverse reactions are described below and elsewhere in the labeling:

7 Drug Interactions
  • Coadministration of amiodarone with a sofosbuvir-containing regimen may result in serious symptomatic bradycardia. (5.2, 6.2, 7.1)
  • Drugs that are intestinal P-gp inducers (e.g., rifampin, St. John's wort) may alter the concentrations of sofosbuvir. (5.3, 7, 12.3)
  • Consult the full prescribing information prior to use for potential drug-drug interactions. (5.2, 5.3, 7, 12.3)
  • Clearance of HCV infection with direct acting antivirals may lead to changes in hepatic function, which may impact safe and effective use of concomitant medications. Frequent monitoring of relevant laboratory parameters (INR or blood glucose) and dose adjustments of certain concomitant medications may be necessary. (7.1)
8.6 Renal Impairment

No dosage adjustment of SOVALDI is required for patients with mild or moderate renal impairment. The safety and efficacy of SOVALDI have not been established in patients with severe renal impairment (eGFR less than 30 mL/min/1.73m2) or ESRD requiring hemodialysis. No dosage recommendation can be given for patients with severe renal impairment or ESRD [see Dosage and Administration (2.7) and Clinical Pharmacology (12.3)]. Refer also to ribavirin and peginterferon alfa prescribing information for patients with CrCl less than 50 mL/min.

Instructions for Use

SOVALDI® (soh-VAHL-dee)

(sofosbuvir)

pellets, for oral use

Read the Patient Information that comes with SOVALDI oral pellets for important information about SOVALDI.

This Instructions for Use contains information on how to take SOVALDI oral pellets. Be sure you understand and follow the instructions. If you have any questions, ask your healthcare provider or pharmacist.

Important Information You Need to Know Before Taking SOVALDI oral pellets

  • For oral use only (take by mouth with or without food).
  • Do not open the SOVALDI oral pellet packet(s) until ready to use.
  • SOVALDI oral pellets are white to off-white pellets supplied as single-use packets in cartons. Each carton contains 28 packets.
  • Do not use SOVALDI oral pellets if the carton tamper-evident seal, or the pellets packet seal, is broken or damaged.
Preparing a dose of SOVALDI oral pellets to be taken with food:

Before you prepare a dose of SOVALDI oral pellets to be taken with food, gather the following supplies:

  • Daily SOVALDI oral pellet packet(s), as prescribed by your healthcare provider
  • One or more spoonfuls of non-acidic soft food such as pudding, chocolate syrup, mashed potato, or ice cream
  • Bowl
  • Spoon
  • Scissors (optional)

Step 1: Add one or more spoonfuls of non-acidic soft food to the bowl first.

Step 2: Hold the SOVALDI oral pellets packet with the cut line on top (see Figure A ). Step 3: Shake the packet gently to settle the pellets to the bottom of the packet (see Figure B ).

Figure A Figure B

Step 4: Cut the packet along the cut line with scissors (see Figure C ), or fold the packet back at the tear line (see Figure D ) and tear open (see Figure E ).

Figure C Figure D Figure E

Step 5: Carefully pour the entire contents of the prescribed number of SOVALDI oral pellet packet(s) onto the food in the bowl and gently mix with a spoon (see Figure F ). Make sure that no SOVALDI oral pellets remain in the packet(s).

Figure F

Step 6: Take the SOVALDI oral pellets and food mixture within 30 minutes without chewing to avoid a bitter taste. Ensure all of the SOVALDI oral pellets are taken.

Preparing a dose of SOVALDI oral pellets to be taken without food:

Before you prepare a dose of SOVALDI oral pellets to be taken without food, gather the following supplies:

  • Daily SOVALDI oral pellet packet(s), as prescribed by your healthcare provider
  • Scissors (optional)
  • Water (optional)
Step 1: Hold the SOVALDI oral pellets packet with the cut line on top (see Figure G ). Step 2: Shake the packet gently to settle the pellets to the bottom of the packet (see Figure H ).

Figure G Figure H

Step 3: Cut the packet along the cut line with scissors (see Figure I ), or fold the packet back at the tear line (see Figure J ) and tear open (see Figure K ).

Figure I Figure J Figure K

Step 4: Pour the entire contents of the SOVALDI oral pellets packet directly in the mouth and swallow without chewing to avoid a bitter taste (see Figure L ). Water may be taken after swallowing the pellets, if needed. Make sure that no SOVALDI oral pellets remain in the packet. If your healthcare provider prescribed more than one SOVALDI oral pellets packet, repeat Steps 1 through 4.

Figure L

Storing SOVALDI oral pellets

  • Store SOVALDI pellets below 86°F (30°C).
    • Keep SOVALDI oral pellets and all medicines out of the reach of children.

Disposing of SOVALDI oral pellets

  • Throw away any unused portion. Do not store and reuse any leftover SOVALDI mixture (pellets mixed with food).

For more information, call 1-800-445-3235 or go to www.SOVALDI.com.

Manufactured for and distributed by: Gilead Sciences, Inc., Foster City, CA 94404

SOVALDI is a trademark of Gilead Sciences, Inc., or its related companies.

© 2024 Gilead Sciences, Inc. All rights reserved.

204671-GS-011

This Instructions for Use has been approved by the U.S. Food and Drug Administration.

Issued: March 2020

8.7 Hepatic Impairment

No dosage adjustment of SOVALDI is required for patients with mild, moderate or severe hepatic impairment (Child-Pugh Class A, B or C) [see Clinical Pharmacology (12.3)]. Safety and efficacy of SOVALDI have not been established in patients with decompensated cirrhosis. See peginterferon alfa prescribing information for contraindication in hepatic decompensation.

1 Indications and Usage

SOVALDI is a hepatitis C virus (HCV) nucleotide analog NS5B polymerase inhibitor indicated for the treatment of:

  • Adult patients with genotype 1, 2, 3 or 4 chronic HCV infection without cirrhosis or with compensated cirrhosis as a component of a combination antiviral treatment regimen. (1)
  • Pediatric patients 3 years of age and older with genotype 2 or 3 chronic HCV infection without cirrhosis or with compensated cirrhosis in combination with ribavirin. (1)
2.5 Dosage Modification

Dosage reduction of SOVALDI is not recommended.

If a patient has a serious adverse reaction potentially related to peginterferon alfa and/or ribavirin, the peginterferon alfa and/or ribavirin dosage should be reduced or discontinued, if appropriate, until the adverse reaction abates or decreases in severity. Refer to the peginterferon alfa and ribavirin prescribing information for additional information about how to reduce and/or discontinue the peginterferon alfa and/or ribavirin dosage.

12.1 Mechanism of Action

Sofosbuvir is a direct-acting antiviral agent against the hepatitis C virus [see Microbiology (12.4)].

5 Warnings and Precautions
  • Risk of Hepatitis B Virus Reactivation: Test all patients for evidence of current or prior HBV infection before initiation of HCV treatment. Monitor HCV/HBV coinfected patients for HBV reactivation and hepatitis flare during HCV treatment and post-treatment follow-up. Initiate appropriate patient management for HBV infection as clinically indicated. (5.1)
  • Bradycardia with amiodarone coadministration: Serious symptomatic bradycardia may occur in patients taking amiodarone with a sofosbuvir-containing regimen, particularly in patients also receiving beta blockers, or those with underlying cardiac comorbidities and/or advanced liver disease. Coadministration of amiodarone with SOVALDI is not recommended. In patients without alternative, viable treatment options, cardiac monitoring is recommended. (5.2, 6.2, 7.1)
2 Dosage and Administration
  • Testing Prior to the Initiation of Therapy: Test all patients for HBV infection by measuring HBsAg and anti-HBc. (2.1)
  • Recommended dosage in adults: One 400 mg tablet taken once daily with or without food. (2.2)
  • Recommended dosage in pediatric patients 3 years of age and older: Recommended dosage of SOVALDI in pediatric patients 3 years of age and older with genotype 2 or 3 HCV using SOVALDI tablets or oral pellets is based on weight. Refer to Table 3 of the full prescribing information for specific dosing guidelines based on body weight. (2.3)
  • HCV/HIV-1 coinfection: For adult and pediatric patients with HCV/HIV-1 coinfection, follow the dosage recommendations in the tables below, respectively. (2.2, 2.3)
  • Recommended adult treatment regimen and duration: (2.2)
Adult Patient Population Regimen and Duration
Genotype 1 or 4 Treatment-naïve without cirrhosis or with compensated cirrhosis

(Child-Pugh A)
SOVALDI + peginterferon alfa + ribavirin

12 weeks
Genotype 2 Treatment-naïve and treatment-experienced without cirrhosis or with compensated cirrhosis

(Child-Pugh A)
SOVALDI + ribavirin

12 weeks
Genotype 3 Treatment-naïve and treatment-experienced without cirrhosis or with compensated cirrhosis

(Child-Pugh A)
SOVALDI + ribavirin

24 weeks
  • SOVALDI in combination with ribavirin for 24 weeks can be considered for adult patients with genotype 1 infection who are interferon ineligible. (2.2)
  • Should be used in combination with ribavirin for treatment of HCV in adult patients with hepatocellular carcinoma awaiting liver transplantation for up to 48 weeks or until liver transplantation, whichever occurs first. (2.2)
  • Recommended treatment regimen and duration for pediatric patients 3 years of age and older: (2.3, 2.4)
Pediatric Patient Population 3 Years of Age and Older Regimen and Duration
Genotype 2 Treatment-naïve and treatment-experienced without cirrhosis or with compensated cirrhosis

(Child-Pugh A)
SOVALDI + ribavirin

12 weeks
Genotype 3 Treatment-naïve and treatment-experienced without cirrhosis or with compensated cirrhosis

(Child-Pugh A)
SOVALDI + ribavirin

24 weeks
  • A dosage recommendation cannot be made for patients with severe renal impairment or end stage renal disease. (2.7, 8.6)
  • Instructions for Use should be followed for preparation and administration of SOVALDI oral pellets. (2.4)
3 Dosage Forms and Strengths

SOVALDI is available as tablets or pellets for oral use. Each dosage form is available in two dose strengths.

  • 400 mg Tablets: 400 mg sofosbuvir: yellow, capsule-shaped, film-coated tablet debossed with "GSI" on one side and "7977" on the other side.
  • 200 mg Tablets: 200 mg sofosbuvir: yellow, oval-shaped, film-coated tablet debossed with "GSI" on one side and "200" on the other side.
  • 200 mg Pellets: 200 mg sofosbuvir: white to off-white pellets in unit-dose packets.
  • 150 mg Pellets: 150 mg sofosbuvir: white to off-white pellets in unit-dose packets.
6.2 Postmarketing Experience

The following adverse reactions have been identified during post approval use of SOVALDI. Because postmarketing reactions are reported voluntarily from a population of uncertain size, it is not always possible to reliably estimate their frequency or establish a causal relationship to drug exposure.

2.6 Discontinuation of Dosing

If the other agents used in combination with SOVALDI are permanently discontinued, SOVALDI should also be discontinued.

8 Use in Specific Populations
  • Patients with HCV/HIV-1 coinfection: Safety and efficacy have been studied. (14.4)
  • Patients with hepatocellular carcinoma awaiting liver transplantation: Safety and efficacy have been studied. (8.8)
6.1 Clinical Trials Experience

Because clinical trials are conducted under widely varying conditions, adverse reaction rates observed in the clinical trials of a drug cannot be directly compared to rates in the clinical trials of another drug and may not reflect the rates observed in practice.

When SOVALDI is administered with ribavirin or peginterferon alfa/ribavirin, refer to the respective prescribing information for a description of adverse reactions associated with their use.

2.2 Recommended Dosage in Adults

The recommended dosage of SOVALDI is one 400 mg tablet, taken orally, once daily with or without food [see Clinical Pharmacology (12.3)].

Administer SOVALDI in combination with ribavirin or in combination with pegylated interferon and ribavirin for the treatment of HCV. The recommended treatment regimen and duration for SOVALDI combination therapy is provided in Table 1.

For patients with HCV/HIV-1 coinfection, follow the dosage recommendations in Table 1. Refer to Drug Interactions (7) for dosage recommendations for concomitant HIV-1 antiviral drugs.

Table 1 Recommended Treatment Regimen and Duration in Adult Patients with Genotype 1, 2, 3, or 4 HCV
Patient Population Treatment Regimen and Duration
Genotype 1 or 4 Treatment-naïve without cirrhosis or with compensated cirrhosis (Child-Pugh A) SOVALDI + peginterferon alfa
See peginterferon alfa prescribing information for dosage recommendation for patients with genotype 1 or 4 HCV.
+ ribavirin
Dosage of ribavirin is weight-based (<75 kg = 1000 mg and ≥75 kg = 1200 mg). The daily dosage of ribavirin is administered orally in two divided doses with food. Patients with renal impairment (CrCl ≤50 mL/min) require ribavirin dosage reduction; refer to ribavirin tablet prescribing information.
12 weeks
Genotype 2 Treatment-naïve and treatment-experienced
Treatment-experienced patients have failed an interferon-based regimen with or without ribavirin.
without cirrhosis or with compensated cirrhosis

(Child-Pugh A)
SOVALDI + ribavirin
12 weeks
Genotype 3 Treatment-naïve and treatment-experienced
without cirrhosis or with compensated cirrhosis

(Child-Pugh A)
SOVALDI + ribavirin
24 weeks
17 Patient Counseling Information

Advise the patient to read the FDA-approved patient labeling (Patient Information and Instructions for Use).

8.9 Post Liver Transplant Patients

The safety and efficacy of SOVALDI have not been established in post-liver transplant patients.

14.1 Description of Clinical Trials

The safety and efficacy of SOVALDI was evaluated in five Phase 3 trials in a total of 1724 HCV mono-infected subjects with genotypes 1 to 6 chronic hepatitis C virus, one Phase 3 trial in 223 HCV/HIV-1 coinfected subjects with genotype 1, 2 or 3 HCV, and one trial in 106 pediatric subjects 3 years of age and older with genotype 2 or 3 HCV, as summarized in Table 11 [see Clinical Studies (14.2, 14.3, 14.4, and 14.5)].

Table 11 Trials Conducted with SOVALDI with Peginterferon Alfa and/or Ribavirin in Subjects with Chronic HCV Genotype 1, 2, 3, or 4 Infection
Trial Population Study Arms (Number of Subjects Treated)
NEUTRINO
Open label.


(NCT01641640)
Treatment naïve (TN) (GT1, 4, 5 or 6) SOVALDI+Peg-IFN alfa+RBV 12 weeks (327)
FISSION


(NCT01497366)
TN (GT2 or 3) SOVALDI+RBV 12 Weeks (256)

Peg-IFN alfa+RBV 24 weeks (243)
POSITRON
Double-blind, placebo-controlled.


(NCT01542788)
Interferon intolerant, ineligible or unwilling subjects (GT2 or 3) SOVALDI+RBV 12 Weeks (207)

Placebo 12 weeks (71)
FUSION


(NCT01604850)
Previous interferon relapsers or nonresponders (GT2 or 3) SOVALDI+RBV 12 Weeks (103)

SOVALDI+RBV 16 Weeks (98)
VALENCE


(NCT01682720)
TN or previous interferon relapsers or nonresponders (GT2 or 3) SOVALDI+RBV 12 Weeks for GT2 (73)

SOVALDI+RBV 12 Weeks for GT3 (11)

SOVALDI+RBV 24 Weeks for GT3 (250)

Placebo for 12 weeks (85)
PHOTON-1


(NCT01667731)
  • HCV/HIV-1 coinfected TN (GT1)
  • HCV/HIV-1 coinfected TN or previous interferon relapsers or nonresponders (GT2 or 3)
SOVALDI+RBV 24 Weeks for GT1 (114)

SOVALDI+RBV 12 Weeks for GT2 or 3 TN (68)

SOVALDI+RBV 24 Weeks for GT2 or 3 previous interferon relapsers or nonresponders (41)
1112

(NCT02175758)
GT2 or GT3 pediatric subjects 3 years of age and older SOVALDI+RBV 12 Weeks for GT2 (31)

SOVALDI+RBV 24 Weeks for GT3 (75)

Subjects in the adult trials did not have cirrhosis or had compensated cirrhosis. SOVALDI was administered at a dose of 400 mg once daily. The ribavirin (RBV) dosage for adult subjects was weight-based at 1000–1200 mg daily administered in two divided doses when used in combination with SOVALDI, and the peginterferon alfa 2a dosage, where applicable, was 180 micrograms per week. Treatment duration was fixed in each trial and was not guided by subjects' HCV RNA levels (no response guided algorithm). Plasma HCV RNA values were measured during the clinical trials using the COBAS TaqMan HCV test (version 2.0), for use with the High Pure System. The assay had a lower limit of quantification (LLOQ) of 25 IU per mL. Sustained virologic response (SVR12) was the primary endpoint which was defined as HCV RNA less than LLOQ at 12 weeks after the end of treatment.

7.1 Potentially Significant Drug Interactions

Sofosbuvir is a substrate of drug transporter P-gp and breast cancer resistance protein (BCRP) while the predominant circulating metabolite GS-331007 is not. Drugs that are P-gp inducers in the intestine (e.g., rifampin or St. John's wort) may decrease sofosbuvir plasma concentration, leading to reduced therapeutic effect of SOVALDI, and thus concomitant use with SOVALDI is not recommended [see Warnings and Precautions (5.3)].

Clearance of HCV infection with direct acting antivirals may lead to changes in hepatic function, which may impact the safe and effective use of concomitant medications. For example, altered blood glucose control resulting in serious symptomatic hypoglycemia has been reported in diabetic patients in postmarketing case reports and published epidemiological studies. Management of hypoglycemia in these cases required either discontinuation or dose modification of concomitant medications used for diabetes treatment.

Frequent monitoring of relevant laboratory parameters (e.g. International Normalized Ratio [INR] in patients taking warfarin, blood glucose levels in diabetic patients) or drug concentrations of concomitant medications such as cytochrome P450 substrates with a narrow therapeutic index (e.g. certain immunosuppressants) is recommended to ensure safe and effective use. Dose adjustments of concomitant medications may be necessary.

Information on potential drug interactions with SOVALDI is summarized in Table 7. The table is not all-inclusive [see Warnings and Precautions (5.2, 5.3) and Clinical Pharmacology (12.3)].

Table 7 Potentially Significant Drug Interactions: Alteration in Dosage or Regimen May Be Recommended Based on Drug Interaction Studies or Predicted Interaction
This table is not all-inclusive.
Concomitant Drug Class: Drug Name Effect on Concentration
↓ = decrease.
Clinical Comment
Antiarrhythmics:

amiodarone
Effect on amiodarone and sofosbuvir concentrations unknown Coadministration of amiodarone with a sofosbuvir-containing regimen may result in serious symptomatic bradycardia. The mechanism of this effect is unknown. Coadministration of amiodarone with SOVALDI is not recommended; if coadministration is required, cardiac monitoring is recommended [see Warnings and Precautions (5.2), Adverse Reactions (6.2)].
Anticonvulsants:

Carbamazepine

phenytoin

phenobarbital

oxcarbazepine
↓ sofosbuvir

↓ GS-331007
Coadministration of SOVALDI with carbamazepine, phenytoin, phenobarbital or oxcarbazepine is expected to decrease the concentration of sofosbuvir, leading to reduced therapeutic effect of SOVALDI. Coadministration is not recommended.
Antimycobacterials:

Rifabutin

rifampin

rifapentine
↓ sofosbuvir

↓ GS-331007
Coadministration of SOVALDI with rifabutin or rifapentine is expected to decrease the concentration of sofosbuvir, leading to reduced therapeutic effect of SOVALDI. Coadministration is not recommended.

Coadministration of SOVALDI with rifampin, an intestinal P-gp inducer, is not recommended [see Warnings and Precautions (5.3)].
Herbal Supplements:

St. John's wort

(Hypericum perforatum)
↓ sofosbuvir

↓ GS-331007
Coadministration of SOVALDI with St. John's wort, an intestinal P-gp inducer, is not recommended [see Warnings and Precautions (5.3)].
HIV Protease Inhibitors:

tipranavir/ritonavir
↓ sofosbuvir

↓ GS-331007
Coadministration of SOVALDI with tipranavir/ritonavir is expected to decrease the concentration of sofosbuvir, leading to reduced therapeutic effect of SOVALDI. Coadministration is not recommended.
14.5 Clinical Trial in Pediatrics (study 1112)

The efficacy of SOVALDI in HCV-infected pediatric subjects 3 years of age and older was evaluated in 106 subjects with HCV genotype 2 (N = 31) or genotype 3 (N = 75) in a Phase 2, open label clinical trial. Subjects with HCV genotype 2 or 3 infection in the trial were treated with SOVALDI and weight-based ribavirin for 12 or 24 weeks, respectively [see Dosage and Administration (2.3)].

2.1 Testing Prior to the Initiation of Therapy

Test all patients for evidence of current or prior HBV infection by measuring hepatitis B surface antigen (HBsAg) and hepatitis B core antibody (anti-HBc) before initiating HCV treatment with SOVALDI [see Warnings and Precautions (5.1)] .

5.4 Risks Associated With Combination Treatment

Because SOVALDI is used in combination with other antiviral drugs for treatment of HCV infection, consult the prescribing information for these drugs used in combination with SOVALDI. Warnings and Precautions related to these drugs also apply to their use in SOVALDI combination treatment.

8.3 Females and Males of Reproductive Potential

If SOVALDI is administered with ribavirin or peginterferon and ribavirin, the information for ribavirin and peginterferon with regard to pregnancy testing, contraception, and infertility also applies to these combination regimens. Refer to ribavirin and/or peginterferon prescribing information for additional information.

8.10 Patients With Genotype 5 Or 6 Hcv Infection

Available data on subjects with genotype 5 or 6 HCV infection are insufficient for dosing recommendations.

2.4 Preparation and Administration of Oral Pellets

See the SOVALDI oral pellets full Instructions for Use for details on the preparation and administration of SOVALDI pellets.

Do not chew SOVALDI pellets. If SOVALDI pellets are administered with food, sprinkle the pellets on one or more spoonfuls of non-acidic soft food at or below room temperature. Examples of non-acidic foods include pudding, chocolate syrup, mashed potato, and ice cream. Take SOVALDI pellets within 30 minutes of gently mixing with food and swallow the entire contents without chewing to avoid a bitter aftertaste.

Principal Display Panel 200 Mg Tablet Bottle Label

NDC 61958-1503-1

28 tablets

Sovaldi®

(sofosbuvir) tablets

200 mg

Take 1 tablet once daily

Note to pharmacist:

Do not cover ALERT box with pharmacy label.

ALERT: Find out about medicines that

should NOT be taken with Sovaldi

Principal Display Panel 400 Mg Tablet Bottle Label

NDC 61958-1501-1

28 tablets

Sovaldi®

(sofosbuvir) tablets

400 mg

Take 1 tablet once daily

Note to pharmacist:

Do not cover ALERT box with pharmacy label.

ALERT: Find out about medicines that

should NOT be taken with Sovaldi

2.7 Severe Renal Impairment and End Stage Renal Disease

No dosage recommendation can be given for patients with severe renal impairment (estimated Glomerular Filtration Rate [eGFR] less than 30 mL/min/1.73m2) or with end stage renal disease (ESRD) due to higher exposures (up to 20-fold) of the predominant sofosbuvir metabolite [see Use in Specific Populations (8.6) and Clinical Pharmacology (12.3)].

Principal Display Panel 150 Mg Pellet Packet Carton Label

NDC 61958-1504-1

28 packets

Sovaldi®

(sofosbuvir) oral pellets

150 mg per packet

Rx only

Note to pharmacist: Do not cover ALERT box with pharmacy label.

ALERT: Find out about medicines that should NOT be taken with Sovaldi

Principal Display Panel 200 Mg Pellet Packet Carton Label

NDC 61958-1505-1

28 packets

Sovaldi®

(sofosbuvir) oral pellets

200 mg per packet

Rx only

Note to pharmacist: Do not cover ALERT box with pharmacy label.

ALERT: Find out about medicines that should NOT be taken with Sovaldi

7.2 Drugs Without Clinically Significant Interactions With Sovaldi

Based on drug interaction studies conducted with SOVALDI, no clinically significant drug interactions have been either observed or are expected when SOVALDI is combined with the following drugs [see Clinical Pharmacology (12.3) ]: cyclosporine, darunavir/ritonavir, efavirenz, emtricitabine, methadone, oral contraceptives, raltegravir, rilpivirine, tacrolimus, or tenofovir disoproxil fumarate.

5.3 Risk of Reduced Therapeutic Effect Due to Use With P Gp Inducers

Drugs that are P-gp inducers in the intestine (e.g., rifampin, St. John's wort) may significantly decrease sofosbuvir plasma concentrations and may lead to a reduced therapeutic effect of SOVALDI. The use of rifampin and St. John's wort with SOVALDI is not recommended [see Drug Interactions (7.1)].

5.2 Serious Symptomatic Bradycardia When Coadministered With Amiodarone

Postmarketing cases of symptomatic bradycardia and cases requiring pacemaker intervention have been reported when amiodarone is coadministered with a sofosbuvir-containing regimen. A fatal cardiac arrest was reported in a patient taking amiodarone who was coadministered a sofosbuvir-containing regimen (HARVONI [ledipasvir/sofosbuvir]). Bradycardia has generally occurred within hours to days, but cases have been observed up to 2 weeks after initiating HCV treatment. Patients also taking beta blockers, or those with underlying cardiac comorbidities and/or advanced liver disease may be at increased risk for symptomatic bradycardia with coadministration of amiodarone. Bradycardia generally resolved after discontinuation of HCV treatment. The mechanism for this effect is unknown.

Coadministration of amiodarone with SOVALDI is not recommended. For patients taking amiodarone who have no other alternative, viable treatment options and who will be coadministered SOVALDI:

  • Counsel patients about the risk of serious symptomatic bradycardia
  • Cardiac monitoring in an in-patient setting for the first 48 hours of coadministration is recommended, after which outpatient or self-monitoring of the heart rate should occur on a daily basis through at least the first 2 weeks of treatment.

Patients who are taking SOVALDI who need to start amiodarone therapy due to no other alternative, viable treatment options should undergo similar cardiac monitoring as outlined above.

Due to amiodarone's long half-life, patients discontinuing amiodarone just prior to starting SOVALDI should also undergo similar cardiac monitoring as outlined above.

Patients who develop signs or symptoms of bradycardia should seek medical evaluation immediately. Symptoms may include near-fainting or fainting, dizziness or lightheadedness, malaise, weakness, excessive tiredness, shortness of breath, chest pains, confusion or memory problems [see Adverse Reactions (6.2), Drug Interactions (7.1)].

8.8 Patients With Hepatocellular Carcinoma Awaiting Liver Transplantation

SOVALDI was studied in HCV-infected adult subjects with hepatocellular carcinoma prior to undergoing liver transplantation in an open-label clinical trial evaluating the safety and efficacy of SOVALDI and ribavirin administered pre-transplant to prevent post-transplant HCV reinfection. The primary endpoint of the trial was post-transplant virologic response (pTVR) defined as HCV RNA less than lower limit of quantification (LLOQ) at 12 weeks post-transplant. HCV-infected subjects, regardless of genotype, with hepatocellular carcinoma (HCC) meeting the MILAN criteria (defined as the presence of a tumor 5 cm or less in diameter in patients with single hepatocellular carcinomas and no more than three tumor nodules, each 3 cm or less in diameter in patients with multiple tumors and no extrahepatic manifestations of the cancer or evidence of vascular invasion of tumor) received 400 mg SOVALDI and weight-based 1000–1200 mg ribavirin daily for 24–48 weeks or until the time of liver transplantation, whichever occurred first. An interim analysis was conducted on 61 subjects who received SOVALDI and ribavirin; 45 subjects had HCV genotype 1; 44 subjects had a baseline CPT score less than 7 and all subjects had a baseline unadjusted MELD score up to 14. Of these 61 subjects, 41 subjects underwent liver transplantation following up to 48 weeks of treatment with SOVALDI and ribavirin; 37 had HCV RNA less than LLOQ at the time of transplantation. Of the 37 subjects, the post-transplant virologic response (pTVR) rate is 64% (23/36) in the 36 evaluable subjects who have reached the 12 week post-transplant time point. The safety profile of SOVALDI and ribavirin in HCV-infected subjects prior to liver transplantation was comparable to that observed in subjects treated with SOVALDI and ribavirin in Phase 3 clinical trials.

5.1 Risk of Hepatitis B Virus Reactivation in Patients Coinfected With Hcv and Hbv

Hepatitis B virus (HBV) reactivation has been reported in HCV/HBV coinfected patients who were undergoing or had completed treatment with HCV direct acting antivirals, and who were not receiving HBV antiviral therapy. Some cases have resulted in fulminant hepatitis, hepatic failure, and death. Cases have been reported in patients who are HBsAg positive and also in patients with serologic evidence of resolved HBV infection (i.e., HBsAg negative and anti-HBc positive). HBV reactivation has also been reported in patients receiving certain immunosuppressant or chemotherapeutic agents; the risk of HBV reactivation associated with treatment with HCV direct-acting antivirals may be increased in these patients.

HBV reactivation is characterized as an abrupt increase in HBV replication manifesting as a rapid increase in serum HBV DNA level. In patients with resolved HBV infection, reappearance of HBsAg can occur. Reactivation of HBV replication may be accompanied by hepatitis, i.e., increases in aminotransferase levels and, in severe cases, increases in bilirubin levels, liver failure, and death can occur.

Test all patients for evidence of current or prior HBV infection by measuring HBsAg and anti-HBc before initiating HCV treatment with SOVALDI. In patients with serologic evidence of HBV infection, monitor for clinical and laboratory signs of hepatitis flare or HBV reactivation during HCV treatment with SOVALDI and during post-treatment follow-up. Initiate appropriate patient management for HBV infection as clinically indicated.

Warning: Risk of Hepatitis B Virus Reactivation in Patients Coinfected With Hcv and Hbv

Test all patients for evidence of current or prior hepatitis B virus (HBV) infection before initiating treatment with SOVALDI. HBV reactivation has been reported in HCV/HBV coinfected patients who were undergoing or had completed treatment with HCV direct acting antivirals and were not receiving HBV antiviral therapy. Some cases have resulted in fulminant hepatitis, hepatic failure, and death. Monitor HCV/HBV coinfected patients for hepatitis flare or HBV reactivation during HCV treatment and post-treatment follow-up. Initiate appropriate patient management for HBV infection as clinically indicated [see Warnings and Precautions (5.1)].

14.4 Clinical Trials in Adult Subjects Coinfected With Hcv and Hiv 1 ─ Photon 1 (study 0123)

SOVALDI was studied in an open-label clinical trial (Study PHOTON-1) evaluating the safety and efficacy of 12 or 24 weeks of treatment with SOVALDI and ribavirin in adult subjects with genotype 1, 2 or 3 chronic hepatitis C coinfected with HIV-1. Genotype 2 and 3 subjects were either HCV treatment-naïve or experienced, whereas genotype 1 subjects were all treatment-naïve. Subjects received 400 mg SOVALDI and weight-based ribavirin (1000 mg for subjects weighing less than 75 kg or 1200 mg for subjects weighing at least 75 kg) daily for 12 or 24 weeks based on genotype and prior treatment history. Subjects were either not on antiretroviral therapy with a CD4+ cell count greater than 500 cells/mm3 or had virologically suppressed HIV-1 with a CD4+ cell count greater than 200 cells/mm3. Efficacy data 12 weeks post treatment are available for 210 subjects (see Table 22).

Table 22 Study PHOTON-1
Subjects with genotype 2 HCV treated with SOVALDI + RBV for 24 weeks (N=15) and subjects with genotype 3 HCV treated with SOVALDI + RBV for 12 weeks (N=42) are not included in the table.
: SVR12 in Treatment-Naïve or Treatment-Experienced Subjects with Genotype 1, 2, or 3 HCV
HCV genotype 1 HCV genotype 2 HCV genotype 3
SOVALDI + RBV

24 weeks

TN (N=114)
SOVALDI + RBV

12 weeks

TN (N=26)
SOVALDI + RBV

24 weeks

TE (N=13)
TN = Treatment-naïve; TE = Treatment-experienced
Overall 76% (87/114) 88% (23/26) 92% (12/13)
Outcome for subjects without SVR12
  On-treatment virologic failure 1% (1/114) 4% (1/26) 0/13
  Relapse
The denominator for relapse is the number of subjects with HCV RNA <LLOQ at their last on-treatment assessment.
22% (25/113) 0/25 8% (1/13)
  Other
Other includes subjects who did not achieve SVR12 and did not meet virologic failure criteria (e.g., lost to follow-up).
1% (1/114) 8% (2/26) 0/13

In subjects with HCV genotype 1 infection, the SVR12 rate was 82% (74/90) in subjects with genotype 1a infection and 54% (13/24) in subjects with genotype 1b infection, with relapse accounting for the majority of treatment failures. SVR12 rates in subjects with HCV genotype 1 infection were 80% (24/30) in subjects with baseline IL28B C/C allele and 75% (62/83) in subjects with baseline IL28B non-C/C alleles.

In the 223 HCV subjects with HIV-1 coinfection, the percentage of CD4+ cells did not change during treatment. Median CD4+ cell count decreases of 85 cells/mm3 and 84 cells/mm3 were observed at the end of treatment with SOVALDI + ribavirin for 12 or 24 weeks, respectively. HIV-1 rebound during SOVALDI + ribavirin treatment occurred in 2 subjects (0.9%) on antiretroviral therapy.

2.3 Recommended Dosage in Pediatric Patients 3 Years of Age and Older With Genotype 2 Or 3 Hcv

The recommended treatment regimen, duration, and recommended dosage for SOVALDI combination therapy is provided in Table 2 and Table 3. Table 4 provides the weight-based dosage of ribavirin when used in combination with SOVALDI for pediatric patients. For patients with HCV/HIV-1 coinfection, follow the dosage recommendations in Table 3 and Table 4. Refer to Drug Interactions (7) for dosage recommendations for concomitant HIV-1 antiviral drugs. In pediatric patients with hepatocellular carcinoma awaiting liver transplantation, administer SOVALDI in combination with ribavirin for up to 48 weeks or until the time of liver transplantation, whichever occurs first, to prevent post-transplant HCV reinfection [see Use in Specific Populations (8.8)].

Table 2 Recommended Treatment Regimen and Duration in Pediatric Patients 3 Years and Older with Genotype 2 or 3 HCV
  Patient Population Treatment Regimen and Duration
Genotype 2 Treatment-naïve and treatment-experienced
Treatment-experienced patients have failed an interferon based regimen with or without ribavirin.
without cirrhosis or with compensated cirrhosis

(Child-Pugh A)
SOVALDI + ribavirin
See Table 4 for weight-based ribavirin dosing recommendations.
12 weeks
Genotype 3 Treatment-naïve and treatment-experienced
without cirrhosis or with compensated cirrhosis

(Child-Pugh A)
SOVALDI + ribavirin
24 weeks

The recommended dosage of SOVALDI in pediatric patients 3 years and older with genotype 2 or 3 HCV using SOVALDI tablets or oral pellets (with or without food) is based on weight (Table 3), and is to be taken orally once daily in combination with ribavirin [see Dosage and Administration (2.4), Use in Specific Populations (8.4), Clinical Pharmacology (12.3), and Clinical Studies (14.5)]. SOVALDI pellets can be taken by pediatric patients who cannot swallow the tablet formulation [see Dosage and Administration (2.4)].

Table 3 Dosing for Pediatric Patients 3 Years and Older Using SOVALDI Tablets or Oral Pellets
Body Weight (kg) Dosing of SOVALDI Tablets or Oral Pellets SOVALDI Daily Dose
at least 35 one 400 mg tablet once daily

or

two 200 mg tablets once daily

or

two 200 mg packets of pellets once daily
400 mg per day
17 to less than 35 one 200 mg tablet once daily

or

one 200 mg packet of pellets once daily
200 mg per day
less than 17 one 150 mg packet of pellets once daily 150 mg per day
Table 4 Recommended Dosing for Ribavirin in Combination Therapy with SOVALDI for Pediatric Patients 3 Years and Older
Body Weight (kg) Oral Ribavirin Daily Dosage
The daily dosage of ribavirin is weight-based and is administered orally in two divided doses with food.
less than 47 15 mg per kg per day

(divided dose AM and PM)
47–49 600 mg per day

(1 × 200 mg AM, 2 × 200 mg PM)
50–65 800 mg per day

(2 × 200 mg AM, 2 × 200 mg PM)
66–80 1000 mg per day

(2 × 200 mg AM, 3 × 200 mg PM)
greater than 80 1200 mg per day

(3 × 200 mg AM, 3 × 200 mg PM)

Structured Label Content

Section 42229-5 (42229-5)

Adult Patients:

SOVALDI is indicated for the treatment of adult patients with chronic hepatitis C virus (HCV) infection as a component of a combination antiviral treatment regimen [see Dosage and Administration (2.2), and Clinical Studies (14)]:

  • genotype 1 or 4 infection without cirrhosis or with compensated cirrhosis for use in combination with pegylated interferon and ribavirin
  • genotype 2 or 3 infection without cirrhosis or with compensated cirrhosis for use in combination with ribavirin.
Section 42230-3 (42230-3)
This Patient Information has been approved by the U.S. Food and Drug Administration. Revised: 03/2020    
Patient Information
SOVALDI® (soh-VAHL-dee)

(sofosbuvir)

tablets
SOVALDI® (soh-VAHL-dee)

(sofosbuvir)

oral pellets
Important: SOVALDI is used in combination with other antiviral medicines. When taking SOVALDI with ribavirin or in combination with peginterferon alfa and ribavirin you should also read those Medication Guides. The information in this Patient Information Leaflet talks about SOVALDI when it is used with ribavirin and in combination with peginterferon alfa and ribavirin.
What is the most important information I should know about SOVALDI?

SOVALDI can cause serious side effects, including:
  • Hepatitis B virus reactivation: Before starting treatment with SOVALDI, your healthcare provider will do blood tests to check for hepatitis B virus infection. If you have ever had hepatitis B virus infection, the hepatitis B virus could become active again during or after treatment of hepatitis C virus with SOVALDI. Hepatitis B virus becoming active again (called reactivation) may cause serious liver problems including liver failure and death. Your healthcare provider will monitor you if you are at risk for hepatitis B virus reactivation during treatment and after you stop taking SOVALDI.
For more information about side effects, see the section "What are the possible side effects of SOVALDI?"
What is SOVALDI?

SOVALDI is a prescription medicine used with other antiviral medicines to treat adults with chronic (lasting a long time) hepatitis C virus (HCV):
  • genotype 1 or 4 infection without cirrhosis or with compensated cirrhosis in combination with peginterferon alfa and ribavirin
  • genotype 2 or 3 infection without cirrhosis or with compensated cirrhosis in combination with ribavirin
SOVALDI is used to treat children 3 years of age and older with chronic HCV genotype 2 or 3 infection without cirrhosis or with compensated cirrhosis in combination with ribavirin.

It is not known if SOVALDI is safe and effective in children under 3 years of age with HCV genotype 2 or 3 infection, or with HCV genotype 1 or 4 infection.

It is not known if SOVALDI is safe and effective in people who have had a liver transplant.
Before taking SOVALDI, tell your healthcare provider about all of your medical conditions, including if you:
  • have ever had hepatitis B virus infection
  • have liver problems other than hepatitis C infection
  • have had a liver transplant
  • have severe kidney problems or you are on dialysis
  • have HIV infection
  • are pregnant or plan to become pregnant. It is not known if SOVALDI will harm your unborn baby.
    • Males and females who take SOVALDI in combination with ribavirin should also read the ribavirin Medication Guide for important pregnancy, contraception, and infertility information.
  • are breastfeeding or plan to breastfeed. It is not known if SOVALDI passes into your breast milk. Talk to your healthcare provider about the best way to feed your baby during treatment with SOVALDI.
Tell your healthcare provider about all the medicines you take, including prescription and over-the-counter medicines, vitamins, and herbal supplements. SOVALDI and other medicines may affect each other. This can cause you to have too much or not enough SOVALDI or other medicines in your body. This may affect the way SOVALDI or your other medicines work, or may cause side effects.

Keep a list of your medicines to show your healthcare provider and pharmacist.
  • You can ask your healthcare provider or pharmacist for a list of medicines that interact with SOVALDI.
  • Do not start taking a new medicine without telling your healthcare provider. Your healthcare provider can tell you if it is safe to take SOVALDI with other medicines.
How should I take SOVALDI?
  • Take SOVALDI exactly as your healthcare provider tells you to take it. Do not change your dose unless your healthcare provider tells you to.
  • Do not stop taking SOVALDI without first talking with your healthcare provider.
  • Take SOVALDI tablets or oral pellets by mouth, with or without food.
  • For adults the usual dose of SOVALDI is one 400 mg tablet each day.
  • For children 3 years of age and older, your healthcare provider will prescribe the right dose of SOVALDI tablets or oral pellets based on your child's body weight.
  • Do not miss a dose of SOVALDI. Missing a dose lowers the amount of medicine in your blood. Refill your SOVALDI prescription before you run out of medicine.
  • If you take too much SOVALDI, call your healthcare provider or go to the nearest hospital emergency room right away.
How should I give SOVALDI oral pellets to my child?

See the detailed Instructions for Use for information about how to give or take a dose of SOVALDI oral pellets.
  • Administer SOVALDI oral pellets exactly as instructed by your healthcare provider.
  • Do not open the packet until ready to use.
  • Hold the SOVALDI pellets packet with the cut line on top.
  • Shake the SOVALDI pellets packet gently to settle the pellets.
  • Tear or cut the SOVALDI packet along the cut line.
  • SOVALDI pellets can be taken right in the mouth without chewing, or with food.
  • If SOVALDI pellets are taken with food, sprinkle the pellets on one or more spoonfuls of non-acidic soft food at or below room temperature. Examples of non-acidic foods include pudding, chocolate syrup, mashed potato, and ice cream. Take SOVALDI pellets within 30 minutes of gently mixing with food and swallow the entire contents without chewing to avoid a bitter taste.
  • Do not store any leftover SOVALDI mixture (oral pellets mixed with food) for use at a later time. Throw away any unused portion.
What are the possible side effects of SOVALDI?

SOVALDI can cause serious side effects, including:
  • Hepatitis B virus reactivation. See "What is the most important information I should know about SOVALDI?"
  • Slow heart rate (bradycardia). SOVALDI treatment may result in slowing of the heart rate along with other symptoms when taken with amiodarone (Cordarone®, Nexterone®, Pacerone®), a medicine used to treat certain heart problems. In some cases bradycardia has led to death or the need for a heart pacemaker when amiodarone is taken with SOVALDI. Get medical help right away if you take amiodarone with SOVALDI and get any of the following symptoms:
  • fainting or near-fainting
  • dizziness or lightheadedness
  • not feeling well
  • weakness
  • extreme tiredness
  • shortness of breath
  • chest pain
  • confusion
  • memory problems
The most common side effects of SOVALDI when used in combination with ribavirin include:
  • tiredness
  • headache
The most common side effects of SOVALDI when used in combination with peginterferon alfa and ribavirin include:
  • tiredness
  • headache
  • nausea
  • difficulty sleeping
  • low red blood cell count
These are not all the possible side effects of SOVALDI. For more information, ask your healthcare provider or pharmacist.

Call your doctor for medical advice about side effects. You may report side effects to FDA at 1-800-FDA-1088.
How should I store SOVALDI?
  • Store SOVALDI tablets or pellets below 86°F (30°C).
  • Keep SOVALDI tablets in the original container.
  • Do not use SOVALDI tablets if the seal over the bottle opening is broken or missing.
  • Do not use SOVALDI pellets if the carton tamper-evident seal, or the pellets packet seal, is broken or damaged.
Keep SOVALDI and all medicines out of the reach of children.
General information about the safe and effective use of SOVALDI.

Medicines are sometimes prescribed for purposes other than those listed in a Patient Information leaflet. Do not use SOVALDI for a condition for which it was not prescribed. Do not give SOVALDI to other people, even if they have the same symptoms you have. It may harm them. You can ask your healthcare provider or pharmacist for information about SOVALDI that is written for health professionals. For more information, call 1-800-445-3235 or go to www.SOVALDI.com.
What are the ingredients in SOVALDI?

Active ingredient:
sofosbuvir

Inactive ingredients, Tablets: colloidal silicon dioxide, croscarmellose sodium, magnesium stearate, mannitol, and microcrystalline cellulose. The tablet film-coat contains polyethylene glycol, polyvinyl alcohol, talc, titanium dioxide, and yellow iron oxide.

Inactive ingredients, Oral Pellets: amino methacrylate copolymer, colloidal silicon dioxide, croscarmellose sodium, hydroxypropyl cellulose, hypromellose, lactose monohydrate, microcrystalline cellulose, polyethylene glycol, silicon dioxide, sodium lauryl sulfate, sodium stearyl fumarate, stearic acid, and talc.

Gilead Sciences, Inc., Foster City, CA 94404

For more information, call 1-800-445-3235 or go to www.SOVALDI.com.

SOVALDI is a trademark of Gilead Sciences, Inc., or its related companies. All other trademarks referenced herein are the property of their respective owners.

©2024 Gilead Sciences, Inc. All rights reserved.

204671-GS-011
Section 44425-7 (44425-7)

Store below 30 °C (86 °F).

  • Dispense only in original container
  • Do not use if seal over bottle opening is broken or missing
10 Overdosage (10 OVERDOSAGE)

The highest documented dosage of sofosbuvir was a single dose of sofosbuvir 1200 mg (three times the recommended dosage) administered to 59 healthy subjects. In that trial, there were no untoward effects observed at this dosage level, and adverse events were similar in frequency and severity to those reported in the placebo and sofosbuvir 400 mg treatment groups. The effects of higher dosages are not known.

No specific antidote is available for overdose with SOVALDI. If overdose occurs, the patient must be monitored for evidence of toxicity. Treatment of overdose with SOVALDI consists of general supportive measures including monitoring of vital signs as well as observation of the clinical status of the patient. A 4-hour hemodialysis session removed 18% of the administered dose.

11 Description (11 DESCRIPTION)

SOVALDI (sofosbuvir) is a nucleotide analog inhibitor of HCV NS5B polymerase.

The IUPAC name for sofosbuvir is (S)-isopropyl 2-((S)-(((2R,3R,4R,5R)-5-(2,4-dioxo-3,4-dihydropyrimidin-1(2H)-yl)-4-fluoro-3-hydroxy-4-methyltetrahydrofuran-2-yl)methoxy)-(phenoxy)phosphorylamino)propanoate. It has a molecular formula of C22H29FN3O9P and a molecular weight of 529.45. It has the following structural formula:

Sofosbuvir is a white to off-white crystalline solid with a solubility of ≥ 2 mg/mL across the pH range of 2–7.7 at 37 °C and is slightly soluble in water.

SOVALDI tablets, 200 mg or 400 mg, are for oral administration. Each tablet contains 200 mg or 400 mg of sofosbuvir. The tablets include the following inactive ingredients: colloidal silicon dioxide, croscarmellose sodium, magnesium stearate, mannitol, and microcrystalline cellulose. The tablets are film-coated with a coating material containing the following inactive ingredients: polyethylene glycol, polyvinyl alcohol, talc, titanium dioxide, and yellow iron oxide.

SOVALDI pellets, 150 mg or 200 mg, are for oral administration, supplied as white to off-white pellets in unit-dose packets. Each unit-dose packet contains 150 mg or 200 mg of sofosbuvir. The pellets include the following inactive ingredients: amino methacrylate copolymer, colloidal silicon dioxide, croscarmellose sodium, hydroxypropyl cellulose, hypromellose, lactose monohydrate, microcrystalline cellulose, polyethylene glycol, silicon dioxide, sodium lauryl sulfate, sodium stearyl fumarate, stearic acid, and talc.

8.4 Pediatric Use

The safety, pharmacokinetics, and efficacy of SOVALDI in pediatric patients 3 years of age and older with genotype 2 and 3 infection have been established. SOVALDI was evaluated in an open-label clinical trial (Study 1112), which included 106 subjects (31 genotype 2; 75 genotype 3) 3 years of age and older. The safety, pharmacokinetics, and efficacy were comparable to that observed in adults [see Dosage and Administration (2.3), Adverse Reactions (6.1), Clinical Pharmacology (12.3), and Clinical Studies (14.5)].

The safety and efficacy of SOVALDI in pediatric patients 3 years of age and older with compensated cirrhosis is supported by comparable sofosbuvir and GS-331007 exposures between: 1) adults and pediatric patients without cirrhosis and 2) adults without cirrhosis and adults with compensated cirrhosis. Thus, similar efficacy would be expected for pediatric patients with compensated cirrhosis as adults with compensated cirrhosis.

The safety and efficacy of SOVALDI have not been established in pediatric patients less than 3 years of age with HCV genotype 2 or 3. The safety and efficacy of SOVALDI have not been established in pediatric patients with HCV genotype 1 or 4.

In a 5-year follow-up study, the long-term effects of SOVALDI on pediatric growth were assessed in 88 pediatric subjects 3 years of age and older treated with SOVALDI in Study 1112. No notable effects on growth from baseline through end of study were observed [see Adverse Reactions (6.1)]. All subjects who had achieved SVR12 maintained SVR through end of study.

8.5 Geriatric Use

SOVALDI was administered to 90 subjects aged 65 and over. The response rates observed for subjects over 65 years of age were similar to that of younger subjects across treatment groups. No dosage adjustment of SOVALDI is warranted in geriatric patients [see Clinical Pharmacology (12.3)].

4 Contraindications (4 CONTRAINDICATIONS)

When SOVALDI is used in combination with ribavirin or peginterferon alfa/ribavirin, the contraindications applicable to those agents are applicable to combination therapies. Refer to the prescribing information of peginterferon alfa and ribavirin for a list of their contraindications.

6 Adverse Reactions (6 ADVERSE REACTIONS)

The following serious adverse reactions are described below and elsewhere in the labeling:

7 Drug Interactions (7 DRUG INTERACTIONS)
  • Coadministration of amiodarone with a sofosbuvir-containing regimen may result in serious symptomatic bradycardia. (5.2, 6.2, 7.1)
  • Drugs that are intestinal P-gp inducers (e.g., rifampin, St. John's wort) may alter the concentrations of sofosbuvir. (5.3, 7, 12.3)
  • Consult the full prescribing information prior to use for potential drug-drug interactions. (5.2, 5.3, 7, 12.3)
  • Clearance of HCV infection with direct acting antivirals may lead to changes in hepatic function, which may impact safe and effective use of concomitant medications. Frequent monitoring of relevant laboratory parameters (INR or blood glucose) and dose adjustments of certain concomitant medications may be necessary. (7.1)
8.6 Renal Impairment

No dosage adjustment of SOVALDI is required for patients with mild or moderate renal impairment. The safety and efficacy of SOVALDI have not been established in patients with severe renal impairment (eGFR less than 30 mL/min/1.73m2) or ESRD requiring hemodialysis. No dosage recommendation can be given for patients with severe renal impairment or ESRD [see Dosage and Administration (2.7) and Clinical Pharmacology (12.3)]. Refer also to ribavirin and peginterferon alfa prescribing information for patients with CrCl less than 50 mL/min.

Instructions for Use (INSTRUCTIONS FOR USE)

SOVALDI® (soh-VAHL-dee)

(sofosbuvir)

pellets, for oral use

Read the Patient Information that comes with SOVALDI oral pellets for important information about SOVALDI.

This Instructions for Use contains information on how to take SOVALDI oral pellets. Be sure you understand and follow the instructions. If you have any questions, ask your healthcare provider or pharmacist.

Important Information You Need to Know Before Taking SOVALDI oral pellets

  • For oral use only (take by mouth with or without food).
  • Do not open the SOVALDI oral pellet packet(s) until ready to use.
  • SOVALDI oral pellets are white to off-white pellets supplied as single-use packets in cartons. Each carton contains 28 packets.
  • Do not use SOVALDI oral pellets if the carton tamper-evident seal, or the pellets packet seal, is broken or damaged.
Preparing a dose of SOVALDI oral pellets to be taken with food:

Before you prepare a dose of SOVALDI oral pellets to be taken with food, gather the following supplies:

  • Daily SOVALDI oral pellet packet(s), as prescribed by your healthcare provider
  • One or more spoonfuls of non-acidic soft food such as pudding, chocolate syrup, mashed potato, or ice cream
  • Bowl
  • Spoon
  • Scissors (optional)

Step 1: Add one or more spoonfuls of non-acidic soft food to the bowl first.

Step 2: Hold the SOVALDI oral pellets packet with the cut line on top (see Figure A ). Step 3: Shake the packet gently to settle the pellets to the bottom of the packet (see Figure B ).

Figure A Figure B

Step 4: Cut the packet along the cut line with scissors (see Figure C ), or fold the packet back at the tear line (see Figure D ) and tear open (see Figure E ).

Figure C Figure D Figure E

Step 5: Carefully pour the entire contents of the prescribed number of SOVALDI oral pellet packet(s) onto the food in the bowl and gently mix with a spoon (see Figure F ). Make sure that no SOVALDI oral pellets remain in the packet(s).

Figure F

Step 6: Take the SOVALDI oral pellets and food mixture within 30 minutes without chewing to avoid a bitter taste. Ensure all of the SOVALDI oral pellets are taken.

Preparing a dose of SOVALDI oral pellets to be taken without food:

Before you prepare a dose of SOVALDI oral pellets to be taken without food, gather the following supplies:

  • Daily SOVALDI oral pellet packet(s), as prescribed by your healthcare provider
  • Scissors (optional)
  • Water (optional)
Step 1: Hold the SOVALDI oral pellets packet with the cut line on top (see Figure G ). Step 2: Shake the packet gently to settle the pellets to the bottom of the packet (see Figure H ).

Figure G Figure H

Step 3: Cut the packet along the cut line with scissors (see Figure I ), or fold the packet back at the tear line (see Figure J ) and tear open (see Figure K ).

Figure I Figure J Figure K

Step 4: Pour the entire contents of the SOVALDI oral pellets packet directly in the mouth and swallow without chewing to avoid a bitter taste (see Figure L ). Water may be taken after swallowing the pellets, if needed. Make sure that no SOVALDI oral pellets remain in the packet. If your healthcare provider prescribed more than one SOVALDI oral pellets packet, repeat Steps 1 through 4.

Figure L

Storing SOVALDI oral pellets

  • Store SOVALDI pellets below 86°F (30°C).
    • Keep SOVALDI oral pellets and all medicines out of the reach of children.

Disposing of SOVALDI oral pellets

  • Throw away any unused portion. Do not store and reuse any leftover SOVALDI mixture (pellets mixed with food).

For more information, call 1-800-445-3235 or go to www.SOVALDI.com.

Manufactured for and distributed by: Gilead Sciences, Inc., Foster City, CA 94404

SOVALDI is a trademark of Gilead Sciences, Inc., or its related companies.

© 2024 Gilead Sciences, Inc. All rights reserved.

204671-GS-011

This Instructions for Use has been approved by the U.S. Food and Drug Administration.

Issued: March 2020

8.7 Hepatic Impairment

No dosage adjustment of SOVALDI is required for patients with mild, moderate or severe hepatic impairment (Child-Pugh Class A, B or C) [see Clinical Pharmacology (12.3)]. Safety and efficacy of SOVALDI have not been established in patients with decompensated cirrhosis. See peginterferon alfa prescribing information for contraindication in hepatic decompensation.

1 Indications and Usage (1 INDICATIONS AND USAGE)

SOVALDI is a hepatitis C virus (HCV) nucleotide analog NS5B polymerase inhibitor indicated for the treatment of:

  • Adult patients with genotype 1, 2, 3 or 4 chronic HCV infection without cirrhosis or with compensated cirrhosis as a component of a combination antiviral treatment regimen. (1)
  • Pediatric patients 3 years of age and older with genotype 2 or 3 chronic HCV infection without cirrhosis or with compensated cirrhosis in combination with ribavirin. (1)
2.5 Dosage Modification

Dosage reduction of SOVALDI is not recommended.

If a patient has a serious adverse reaction potentially related to peginterferon alfa and/or ribavirin, the peginterferon alfa and/or ribavirin dosage should be reduced or discontinued, if appropriate, until the adverse reaction abates or decreases in severity. Refer to the peginterferon alfa and ribavirin prescribing information for additional information about how to reduce and/or discontinue the peginterferon alfa and/or ribavirin dosage.

12.1 Mechanism of Action

Sofosbuvir is a direct-acting antiviral agent against the hepatitis C virus [see Microbiology (12.4)].

5 Warnings and Precautions (5 WARNINGS AND PRECAUTIONS)
  • Risk of Hepatitis B Virus Reactivation: Test all patients for evidence of current or prior HBV infection before initiation of HCV treatment. Monitor HCV/HBV coinfected patients for HBV reactivation and hepatitis flare during HCV treatment and post-treatment follow-up. Initiate appropriate patient management for HBV infection as clinically indicated. (5.1)
  • Bradycardia with amiodarone coadministration: Serious symptomatic bradycardia may occur in patients taking amiodarone with a sofosbuvir-containing regimen, particularly in patients also receiving beta blockers, or those with underlying cardiac comorbidities and/or advanced liver disease. Coadministration of amiodarone with SOVALDI is not recommended. In patients without alternative, viable treatment options, cardiac monitoring is recommended. (5.2, 6.2, 7.1)
2 Dosage and Administration (2 DOSAGE AND ADMINISTRATION)
  • Testing Prior to the Initiation of Therapy: Test all patients for HBV infection by measuring HBsAg and anti-HBc. (2.1)
  • Recommended dosage in adults: One 400 mg tablet taken once daily with or without food. (2.2)
  • Recommended dosage in pediatric patients 3 years of age and older: Recommended dosage of SOVALDI in pediatric patients 3 years of age and older with genotype 2 or 3 HCV using SOVALDI tablets or oral pellets is based on weight. Refer to Table 3 of the full prescribing information for specific dosing guidelines based on body weight. (2.3)
  • HCV/HIV-1 coinfection: For adult and pediatric patients with HCV/HIV-1 coinfection, follow the dosage recommendations in the tables below, respectively. (2.2, 2.3)
  • Recommended adult treatment regimen and duration: (2.2)
Adult Patient Population Regimen and Duration
Genotype 1 or 4 Treatment-naïve without cirrhosis or with compensated cirrhosis

(Child-Pugh A)
SOVALDI + peginterferon alfa + ribavirin

12 weeks
Genotype 2 Treatment-naïve and treatment-experienced without cirrhosis or with compensated cirrhosis

(Child-Pugh A)
SOVALDI + ribavirin

12 weeks
Genotype 3 Treatment-naïve and treatment-experienced without cirrhosis or with compensated cirrhosis

(Child-Pugh A)
SOVALDI + ribavirin

24 weeks
  • SOVALDI in combination with ribavirin for 24 weeks can be considered for adult patients with genotype 1 infection who are interferon ineligible. (2.2)
  • Should be used in combination with ribavirin for treatment of HCV in adult patients with hepatocellular carcinoma awaiting liver transplantation for up to 48 weeks or until liver transplantation, whichever occurs first. (2.2)
  • Recommended treatment regimen and duration for pediatric patients 3 years of age and older: (2.3, 2.4)
Pediatric Patient Population 3 Years of Age and Older Regimen and Duration
Genotype 2 Treatment-naïve and treatment-experienced without cirrhosis or with compensated cirrhosis

(Child-Pugh A)
SOVALDI + ribavirin

12 weeks
Genotype 3 Treatment-naïve and treatment-experienced without cirrhosis or with compensated cirrhosis

(Child-Pugh A)
SOVALDI + ribavirin

24 weeks
  • A dosage recommendation cannot be made for patients with severe renal impairment or end stage renal disease. (2.7, 8.6)
  • Instructions for Use should be followed for preparation and administration of SOVALDI oral pellets. (2.4)
3 Dosage Forms and Strengths (3 DOSAGE FORMS AND STRENGTHS)

SOVALDI is available as tablets or pellets for oral use. Each dosage form is available in two dose strengths.

  • 400 mg Tablets: 400 mg sofosbuvir: yellow, capsule-shaped, film-coated tablet debossed with "GSI" on one side and "7977" on the other side.
  • 200 mg Tablets: 200 mg sofosbuvir: yellow, oval-shaped, film-coated tablet debossed with "GSI" on one side and "200" on the other side.
  • 200 mg Pellets: 200 mg sofosbuvir: white to off-white pellets in unit-dose packets.
  • 150 mg Pellets: 150 mg sofosbuvir: white to off-white pellets in unit-dose packets.
6.2 Postmarketing Experience

The following adverse reactions have been identified during post approval use of SOVALDI. Because postmarketing reactions are reported voluntarily from a population of uncertain size, it is not always possible to reliably estimate their frequency or establish a causal relationship to drug exposure.

2.6 Discontinuation of Dosing

If the other agents used in combination with SOVALDI are permanently discontinued, SOVALDI should also be discontinued.

8 Use in Specific Populations (8 USE IN SPECIFIC POPULATIONS)
  • Patients with HCV/HIV-1 coinfection: Safety and efficacy have been studied. (14.4)
  • Patients with hepatocellular carcinoma awaiting liver transplantation: Safety and efficacy have been studied. (8.8)
6.1 Clinical Trials Experience

Because clinical trials are conducted under widely varying conditions, adverse reaction rates observed in the clinical trials of a drug cannot be directly compared to rates in the clinical trials of another drug and may not reflect the rates observed in practice.

When SOVALDI is administered with ribavirin or peginterferon alfa/ribavirin, refer to the respective prescribing information for a description of adverse reactions associated with their use.

2.2 Recommended Dosage in Adults

The recommended dosage of SOVALDI is one 400 mg tablet, taken orally, once daily with or without food [see Clinical Pharmacology (12.3)].

Administer SOVALDI in combination with ribavirin or in combination with pegylated interferon and ribavirin for the treatment of HCV. The recommended treatment regimen and duration for SOVALDI combination therapy is provided in Table 1.

For patients with HCV/HIV-1 coinfection, follow the dosage recommendations in Table 1. Refer to Drug Interactions (7) for dosage recommendations for concomitant HIV-1 antiviral drugs.

Table 1 Recommended Treatment Regimen and Duration in Adult Patients with Genotype 1, 2, 3, or 4 HCV
Patient Population Treatment Regimen and Duration
Genotype 1 or 4 Treatment-naïve without cirrhosis or with compensated cirrhosis (Child-Pugh A) SOVALDI + peginterferon alfa
See peginterferon alfa prescribing information for dosage recommendation for patients with genotype 1 or 4 HCV.
+ ribavirin
Dosage of ribavirin is weight-based (<75 kg = 1000 mg and ≥75 kg = 1200 mg). The daily dosage of ribavirin is administered orally in two divided doses with food. Patients with renal impairment (CrCl ≤50 mL/min) require ribavirin dosage reduction; refer to ribavirin tablet prescribing information.
12 weeks
Genotype 2 Treatment-naïve and treatment-experienced
Treatment-experienced patients have failed an interferon-based regimen with or without ribavirin.
without cirrhosis or with compensated cirrhosis

(Child-Pugh A)
SOVALDI + ribavirin
12 weeks
Genotype 3 Treatment-naïve and treatment-experienced
without cirrhosis or with compensated cirrhosis

(Child-Pugh A)
SOVALDI + ribavirin
24 weeks
17 Patient Counseling Information (17 PATIENT COUNSELING INFORMATION)

Advise the patient to read the FDA-approved patient labeling (Patient Information and Instructions for Use).

8.9 Post Liver Transplant Patients (8.9 Post-Liver Transplant Patients)

The safety and efficacy of SOVALDI have not been established in post-liver transplant patients.

14.1 Description of Clinical Trials

The safety and efficacy of SOVALDI was evaluated in five Phase 3 trials in a total of 1724 HCV mono-infected subjects with genotypes 1 to 6 chronic hepatitis C virus, one Phase 3 trial in 223 HCV/HIV-1 coinfected subjects with genotype 1, 2 or 3 HCV, and one trial in 106 pediatric subjects 3 years of age and older with genotype 2 or 3 HCV, as summarized in Table 11 [see Clinical Studies (14.2, 14.3, 14.4, and 14.5)].

Table 11 Trials Conducted with SOVALDI with Peginterferon Alfa and/or Ribavirin in Subjects with Chronic HCV Genotype 1, 2, 3, or 4 Infection
Trial Population Study Arms (Number of Subjects Treated)
NEUTRINO
Open label.


(NCT01641640)
Treatment naïve (TN) (GT1, 4, 5 or 6) SOVALDI+Peg-IFN alfa+RBV 12 weeks (327)
FISSION


(NCT01497366)
TN (GT2 or 3) SOVALDI+RBV 12 Weeks (256)

Peg-IFN alfa+RBV 24 weeks (243)
POSITRON
Double-blind, placebo-controlled.


(NCT01542788)
Interferon intolerant, ineligible or unwilling subjects (GT2 or 3) SOVALDI+RBV 12 Weeks (207)

Placebo 12 weeks (71)
FUSION


(NCT01604850)
Previous interferon relapsers or nonresponders (GT2 or 3) SOVALDI+RBV 12 Weeks (103)

SOVALDI+RBV 16 Weeks (98)
VALENCE


(NCT01682720)
TN or previous interferon relapsers or nonresponders (GT2 or 3) SOVALDI+RBV 12 Weeks for GT2 (73)

SOVALDI+RBV 12 Weeks for GT3 (11)

SOVALDI+RBV 24 Weeks for GT3 (250)

Placebo for 12 weeks (85)
PHOTON-1


(NCT01667731)
  • HCV/HIV-1 coinfected TN (GT1)
  • HCV/HIV-1 coinfected TN or previous interferon relapsers or nonresponders (GT2 or 3)
SOVALDI+RBV 24 Weeks for GT1 (114)

SOVALDI+RBV 12 Weeks for GT2 or 3 TN (68)

SOVALDI+RBV 24 Weeks for GT2 or 3 previous interferon relapsers or nonresponders (41)
1112

(NCT02175758)
GT2 or GT3 pediatric subjects 3 years of age and older SOVALDI+RBV 12 Weeks for GT2 (31)

SOVALDI+RBV 24 Weeks for GT3 (75)

Subjects in the adult trials did not have cirrhosis or had compensated cirrhosis. SOVALDI was administered at a dose of 400 mg once daily. The ribavirin (RBV) dosage for adult subjects was weight-based at 1000–1200 mg daily administered in two divided doses when used in combination with SOVALDI, and the peginterferon alfa 2a dosage, where applicable, was 180 micrograms per week. Treatment duration was fixed in each trial and was not guided by subjects' HCV RNA levels (no response guided algorithm). Plasma HCV RNA values were measured during the clinical trials using the COBAS TaqMan HCV test (version 2.0), for use with the High Pure System. The assay had a lower limit of quantification (LLOQ) of 25 IU per mL. Sustained virologic response (SVR12) was the primary endpoint which was defined as HCV RNA less than LLOQ at 12 weeks after the end of treatment.

7.1 Potentially Significant Drug Interactions

Sofosbuvir is a substrate of drug transporter P-gp and breast cancer resistance protein (BCRP) while the predominant circulating metabolite GS-331007 is not. Drugs that are P-gp inducers in the intestine (e.g., rifampin or St. John's wort) may decrease sofosbuvir plasma concentration, leading to reduced therapeutic effect of SOVALDI, and thus concomitant use with SOVALDI is not recommended [see Warnings and Precautions (5.3)].

Clearance of HCV infection with direct acting antivirals may lead to changes in hepatic function, which may impact the safe and effective use of concomitant medications. For example, altered blood glucose control resulting in serious symptomatic hypoglycemia has been reported in diabetic patients in postmarketing case reports and published epidemiological studies. Management of hypoglycemia in these cases required either discontinuation or dose modification of concomitant medications used for diabetes treatment.

Frequent monitoring of relevant laboratory parameters (e.g. International Normalized Ratio [INR] in patients taking warfarin, blood glucose levels in diabetic patients) or drug concentrations of concomitant medications such as cytochrome P450 substrates with a narrow therapeutic index (e.g. certain immunosuppressants) is recommended to ensure safe and effective use. Dose adjustments of concomitant medications may be necessary.

Information on potential drug interactions with SOVALDI is summarized in Table 7. The table is not all-inclusive [see Warnings and Precautions (5.2, 5.3) and Clinical Pharmacology (12.3)].

Table 7 Potentially Significant Drug Interactions: Alteration in Dosage or Regimen May Be Recommended Based on Drug Interaction Studies or Predicted Interaction
This table is not all-inclusive.
Concomitant Drug Class: Drug Name Effect on Concentration
↓ = decrease.
Clinical Comment
Antiarrhythmics:

amiodarone
Effect on amiodarone and sofosbuvir concentrations unknown Coadministration of amiodarone with a sofosbuvir-containing regimen may result in serious symptomatic bradycardia. The mechanism of this effect is unknown. Coadministration of amiodarone with SOVALDI is not recommended; if coadministration is required, cardiac monitoring is recommended [see Warnings and Precautions (5.2), Adverse Reactions (6.2)].
Anticonvulsants:

Carbamazepine

phenytoin

phenobarbital

oxcarbazepine
↓ sofosbuvir

↓ GS-331007
Coadministration of SOVALDI with carbamazepine, phenytoin, phenobarbital or oxcarbazepine is expected to decrease the concentration of sofosbuvir, leading to reduced therapeutic effect of SOVALDI. Coadministration is not recommended.
Antimycobacterials:

Rifabutin

rifampin

rifapentine
↓ sofosbuvir

↓ GS-331007
Coadministration of SOVALDI with rifabutin or rifapentine is expected to decrease the concentration of sofosbuvir, leading to reduced therapeutic effect of SOVALDI. Coadministration is not recommended.

Coadministration of SOVALDI with rifampin, an intestinal P-gp inducer, is not recommended [see Warnings and Precautions (5.3)].
Herbal Supplements:

St. John's wort

(Hypericum perforatum)
↓ sofosbuvir

↓ GS-331007
Coadministration of SOVALDI with St. John's wort, an intestinal P-gp inducer, is not recommended [see Warnings and Precautions (5.3)].
HIV Protease Inhibitors:

tipranavir/ritonavir
↓ sofosbuvir

↓ GS-331007
Coadministration of SOVALDI with tipranavir/ritonavir is expected to decrease the concentration of sofosbuvir, leading to reduced therapeutic effect of SOVALDI. Coadministration is not recommended.
14.5 Clinical Trial in Pediatrics (study 1112) (14.5 Clinical Trial in Pediatrics (Study 1112))

The efficacy of SOVALDI in HCV-infected pediatric subjects 3 years of age and older was evaluated in 106 subjects with HCV genotype 2 (N = 31) or genotype 3 (N = 75) in a Phase 2, open label clinical trial. Subjects with HCV genotype 2 or 3 infection in the trial were treated with SOVALDI and weight-based ribavirin for 12 or 24 weeks, respectively [see Dosage and Administration (2.3)].

2.1 Testing Prior to the Initiation of Therapy

Test all patients for evidence of current or prior HBV infection by measuring hepatitis B surface antigen (HBsAg) and hepatitis B core antibody (anti-HBc) before initiating HCV treatment with SOVALDI [see Warnings and Precautions (5.1)] .

5.4 Risks Associated With Combination Treatment (5.4 Risks Associated with Combination Treatment)

Because SOVALDI is used in combination with other antiviral drugs for treatment of HCV infection, consult the prescribing information for these drugs used in combination with SOVALDI. Warnings and Precautions related to these drugs also apply to their use in SOVALDI combination treatment.

8.3 Females and Males of Reproductive Potential

If SOVALDI is administered with ribavirin or peginterferon and ribavirin, the information for ribavirin and peginterferon with regard to pregnancy testing, contraception, and infertility also applies to these combination regimens. Refer to ribavirin and/or peginterferon prescribing information for additional information.

8.10 Patients With Genotype 5 Or 6 Hcv Infection (8.10 Patients with Genotype 5 or 6 HCV Infection)

Available data on subjects with genotype 5 or 6 HCV infection are insufficient for dosing recommendations.

2.4 Preparation and Administration of Oral Pellets

See the SOVALDI oral pellets full Instructions for Use for details on the preparation and administration of SOVALDI pellets.

Do not chew SOVALDI pellets. If SOVALDI pellets are administered with food, sprinkle the pellets on one or more spoonfuls of non-acidic soft food at or below room temperature. Examples of non-acidic foods include pudding, chocolate syrup, mashed potato, and ice cream. Take SOVALDI pellets within 30 minutes of gently mixing with food and swallow the entire contents without chewing to avoid a bitter aftertaste.

Principal Display Panel 200 Mg Tablet Bottle Label (PRINCIPAL DISPLAY PANEL - 200 mg Tablet Bottle Label)

NDC 61958-1503-1

28 tablets

Sovaldi®

(sofosbuvir) tablets

200 mg

Take 1 tablet once daily

Note to pharmacist:

Do not cover ALERT box with pharmacy label.

ALERT: Find out about medicines that

should NOT be taken with Sovaldi

Principal Display Panel 400 Mg Tablet Bottle Label (PRINCIPAL DISPLAY PANEL - 400 mg Tablet Bottle Label)

NDC 61958-1501-1

28 tablets

Sovaldi®

(sofosbuvir) tablets

400 mg

Take 1 tablet once daily

Note to pharmacist:

Do not cover ALERT box with pharmacy label.

ALERT: Find out about medicines that

should NOT be taken with Sovaldi

2.7 Severe Renal Impairment and End Stage Renal Disease

No dosage recommendation can be given for patients with severe renal impairment (estimated Glomerular Filtration Rate [eGFR] less than 30 mL/min/1.73m2) or with end stage renal disease (ESRD) due to higher exposures (up to 20-fold) of the predominant sofosbuvir metabolite [see Use in Specific Populations (8.6) and Clinical Pharmacology (12.3)].

Principal Display Panel 150 Mg Pellet Packet Carton Label (PRINCIPAL DISPLAY PANEL - 150 mg Pellet Packet Carton Label)

NDC 61958-1504-1

28 packets

Sovaldi®

(sofosbuvir) oral pellets

150 mg per packet

Rx only

Note to pharmacist: Do not cover ALERT box with pharmacy label.

ALERT: Find out about medicines that should NOT be taken with Sovaldi

Principal Display Panel 200 Mg Pellet Packet Carton Label (PRINCIPAL DISPLAY PANEL - 200 mg Pellet Packet Carton Label)

NDC 61958-1505-1

28 packets

Sovaldi®

(sofosbuvir) oral pellets

200 mg per packet

Rx only

Note to pharmacist: Do not cover ALERT box with pharmacy label.

ALERT: Find out about medicines that should NOT be taken with Sovaldi

7.2 Drugs Without Clinically Significant Interactions With Sovaldi (7.2 Drugs without Clinically Significant Interactions with SOVALDI)

Based on drug interaction studies conducted with SOVALDI, no clinically significant drug interactions have been either observed or are expected when SOVALDI is combined with the following drugs [see Clinical Pharmacology (12.3) ]: cyclosporine, darunavir/ritonavir, efavirenz, emtricitabine, methadone, oral contraceptives, raltegravir, rilpivirine, tacrolimus, or tenofovir disoproxil fumarate.

5.3 Risk of Reduced Therapeutic Effect Due to Use With P Gp Inducers (5.3 Risk of Reduced Therapeutic Effect Due to Use with P-gp Inducers)

Drugs that are P-gp inducers in the intestine (e.g., rifampin, St. John's wort) may significantly decrease sofosbuvir plasma concentrations and may lead to a reduced therapeutic effect of SOVALDI. The use of rifampin and St. John's wort with SOVALDI is not recommended [see Drug Interactions (7.1)].

5.2 Serious Symptomatic Bradycardia When Coadministered With Amiodarone (5.2 Serious Symptomatic Bradycardia When Coadministered with Amiodarone)

Postmarketing cases of symptomatic bradycardia and cases requiring pacemaker intervention have been reported when amiodarone is coadministered with a sofosbuvir-containing regimen. A fatal cardiac arrest was reported in a patient taking amiodarone who was coadministered a sofosbuvir-containing regimen (HARVONI [ledipasvir/sofosbuvir]). Bradycardia has generally occurred within hours to days, but cases have been observed up to 2 weeks after initiating HCV treatment. Patients also taking beta blockers, or those with underlying cardiac comorbidities and/or advanced liver disease may be at increased risk for symptomatic bradycardia with coadministration of amiodarone. Bradycardia generally resolved after discontinuation of HCV treatment. The mechanism for this effect is unknown.

Coadministration of amiodarone with SOVALDI is not recommended. For patients taking amiodarone who have no other alternative, viable treatment options and who will be coadministered SOVALDI:

  • Counsel patients about the risk of serious symptomatic bradycardia
  • Cardiac monitoring in an in-patient setting for the first 48 hours of coadministration is recommended, after which outpatient or self-monitoring of the heart rate should occur on a daily basis through at least the first 2 weeks of treatment.

Patients who are taking SOVALDI who need to start amiodarone therapy due to no other alternative, viable treatment options should undergo similar cardiac monitoring as outlined above.

Due to amiodarone's long half-life, patients discontinuing amiodarone just prior to starting SOVALDI should also undergo similar cardiac monitoring as outlined above.

Patients who develop signs or symptoms of bradycardia should seek medical evaluation immediately. Symptoms may include near-fainting or fainting, dizziness or lightheadedness, malaise, weakness, excessive tiredness, shortness of breath, chest pains, confusion or memory problems [see Adverse Reactions (6.2), Drug Interactions (7.1)].

8.8 Patients With Hepatocellular Carcinoma Awaiting Liver Transplantation (8.8 Patients with Hepatocellular Carcinoma Awaiting Liver Transplantation)

SOVALDI was studied in HCV-infected adult subjects with hepatocellular carcinoma prior to undergoing liver transplantation in an open-label clinical trial evaluating the safety and efficacy of SOVALDI and ribavirin administered pre-transplant to prevent post-transplant HCV reinfection. The primary endpoint of the trial was post-transplant virologic response (pTVR) defined as HCV RNA less than lower limit of quantification (LLOQ) at 12 weeks post-transplant. HCV-infected subjects, regardless of genotype, with hepatocellular carcinoma (HCC) meeting the MILAN criteria (defined as the presence of a tumor 5 cm or less in diameter in patients with single hepatocellular carcinomas and no more than three tumor nodules, each 3 cm or less in diameter in patients with multiple tumors and no extrahepatic manifestations of the cancer or evidence of vascular invasion of tumor) received 400 mg SOVALDI and weight-based 1000–1200 mg ribavirin daily for 24–48 weeks or until the time of liver transplantation, whichever occurred first. An interim analysis was conducted on 61 subjects who received SOVALDI and ribavirin; 45 subjects had HCV genotype 1; 44 subjects had a baseline CPT score less than 7 and all subjects had a baseline unadjusted MELD score up to 14. Of these 61 subjects, 41 subjects underwent liver transplantation following up to 48 weeks of treatment with SOVALDI and ribavirin; 37 had HCV RNA less than LLOQ at the time of transplantation. Of the 37 subjects, the post-transplant virologic response (pTVR) rate is 64% (23/36) in the 36 evaluable subjects who have reached the 12 week post-transplant time point. The safety profile of SOVALDI and ribavirin in HCV-infected subjects prior to liver transplantation was comparable to that observed in subjects treated with SOVALDI and ribavirin in Phase 3 clinical trials.

5.1 Risk of Hepatitis B Virus Reactivation in Patients Coinfected With Hcv and Hbv (5.1 Risk of Hepatitis B Virus Reactivation in Patients Coinfected with HCV and HBV)

Hepatitis B virus (HBV) reactivation has been reported in HCV/HBV coinfected patients who were undergoing or had completed treatment with HCV direct acting antivirals, and who were not receiving HBV antiviral therapy. Some cases have resulted in fulminant hepatitis, hepatic failure, and death. Cases have been reported in patients who are HBsAg positive and also in patients with serologic evidence of resolved HBV infection (i.e., HBsAg negative and anti-HBc positive). HBV reactivation has also been reported in patients receiving certain immunosuppressant or chemotherapeutic agents; the risk of HBV reactivation associated with treatment with HCV direct-acting antivirals may be increased in these patients.

HBV reactivation is characterized as an abrupt increase in HBV replication manifesting as a rapid increase in serum HBV DNA level. In patients with resolved HBV infection, reappearance of HBsAg can occur. Reactivation of HBV replication may be accompanied by hepatitis, i.e., increases in aminotransferase levels and, in severe cases, increases in bilirubin levels, liver failure, and death can occur.

Test all patients for evidence of current or prior HBV infection by measuring HBsAg and anti-HBc before initiating HCV treatment with SOVALDI. In patients with serologic evidence of HBV infection, monitor for clinical and laboratory signs of hepatitis flare or HBV reactivation during HCV treatment with SOVALDI and during post-treatment follow-up. Initiate appropriate patient management for HBV infection as clinically indicated.

Warning: Risk of Hepatitis B Virus Reactivation in Patients Coinfected With Hcv and Hbv (WARNING: RISK OF HEPATITIS B VIRUS REACTIVATION IN PATIENTS COINFECTED WITH HCV AND HBV)

Test all patients for evidence of current or prior hepatitis B virus (HBV) infection before initiating treatment with SOVALDI. HBV reactivation has been reported in HCV/HBV coinfected patients who were undergoing or had completed treatment with HCV direct acting antivirals and were not receiving HBV antiviral therapy. Some cases have resulted in fulminant hepatitis, hepatic failure, and death. Monitor HCV/HBV coinfected patients for hepatitis flare or HBV reactivation during HCV treatment and post-treatment follow-up. Initiate appropriate patient management for HBV infection as clinically indicated [see Warnings and Precautions (5.1)].

14.4 Clinical Trials in Adult Subjects Coinfected With Hcv and Hiv 1 ─ Photon 1 (study 0123) (14.4 Clinical Trials in Adult Subjects Coinfected with HCV and HIV-1 ─ Photon-1 (Study 0123))

SOVALDI was studied in an open-label clinical trial (Study PHOTON-1) evaluating the safety and efficacy of 12 or 24 weeks of treatment with SOVALDI and ribavirin in adult subjects with genotype 1, 2 or 3 chronic hepatitis C coinfected with HIV-1. Genotype 2 and 3 subjects were either HCV treatment-naïve or experienced, whereas genotype 1 subjects were all treatment-naïve. Subjects received 400 mg SOVALDI and weight-based ribavirin (1000 mg for subjects weighing less than 75 kg or 1200 mg for subjects weighing at least 75 kg) daily for 12 or 24 weeks based on genotype and prior treatment history. Subjects were either not on antiretroviral therapy with a CD4+ cell count greater than 500 cells/mm3 or had virologically suppressed HIV-1 with a CD4+ cell count greater than 200 cells/mm3. Efficacy data 12 weeks post treatment are available for 210 subjects (see Table 22).

Table 22 Study PHOTON-1
Subjects with genotype 2 HCV treated with SOVALDI + RBV for 24 weeks (N=15) and subjects with genotype 3 HCV treated with SOVALDI + RBV for 12 weeks (N=42) are not included in the table.
: SVR12 in Treatment-Naïve or Treatment-Experienced Subjects with Genotype 1, 2, or 3 HCV
HCV genotype 1 HCV genotype 2 HCV genotype 3
SOVALDI + RBV

24 weeks

TN (N=114)
SOVALDI + RBV

12 weeks

TN (N=26)
SOVALDI + RBV

24 weeks

TE (N=13)
TN = Treatment-naïve; TE = Treatment-experienced
Overall 76% (87/114) 88% (23/26) 92% (12/13)
Outcome for subjects without SVR12
  On-treatment virologic failure 1% (1/114) 4% (1/26) 0/13
  Relapse
The denominator for relapse is the number of subjects with HCV RNA <LLOQ at their last on-treatment assessment.
22% (25/113) 0/25 8% (1/13)
  Other
Other includes subjects who did not achieve SVR12 and did not meet virologic failure criteria (e.g., lost to follow-up).
1% (1/114) 8% (2/26) 0/13

In subjects with HCV genotype 1 infection, the SVR12 rate was 82% (74/90) in subjects with genotype 1a infection and 54% (13/24) in subjects with genotype 1b infection, with relapse accounting for the majority of treatment failures. SVR12 rates in subjects with HCV genotype 1 infection were 80% (24/30) in subjects with baseline IL28B C/C allele and 75% (62/83) in subjects with baseline IL28B non-C/C alleles.

In the 223 HCV subjects with HIV-1 coinfection, the percentage of CD4+ cells did not change during treatment. Median CD4+ cell count decreases of 85 cells/mm3 and 84 cells/mm3 were observed at the end of treatment with SOVALDI + ribavirin for 12 or 24 weeks, respectively. HIV-1 rebound during SOVALDI + ribavirin treatment occurred in 2 subjects (0.9%) on antiretroviral therapy.

2.3 Recommended Dosage in Pediatric Patients 3 Years of Age and Older With Genotype 2 Or 3 Hcv (2.3 Recommended Dosage in Pediatric Patients 3 Years of Age and Older with Genotype 2 or 3 HCV)

The recommended treatment regimen, duration, and recommended dosage for SOVALDI combination therapy is provided in Table 2 and Table 3. Table 4 provides the weight-based dosage of ribavirin when used in combination with SOVALDI for pediatric patients. For patients with HCV/HIV-1 coinfection, follow the dosage recommendations in Table 3 and Table 4. Refer to Drug Interactions (7) for dosage recommendations for concomitant HIV-1 antiviral drugs. In pediatric patients with hepatocellular carcinoma awaiting liver transplantation, administer SOVALDI in combination with ribavirin for up to 48 weeks or until the time of liver transplantation, whichever occurs first, to prevent post-transplant HCV reinfection [see Use in Specific Populations (8.8)].

Table 2 Recommended Treatment Regimen and Duration in Pediatric Patients 3 Years and Older with Genotype 2 or 3 HCV
  Patient Population Treatment Regimen and Duration
Genotype 2 Treatment-naïve and treatment-experienced
Treatment-experienced patients have failed an interferon based regimen with or without ribavirin.
without cirrhosis or with compensated cirrhosis

(Child-Pugh A)
SOVALDI + ribavirin
See Table 4 for weight-based ribavirin dosing recommendations.
12 weeks
Genotype 3 Treatment-naïve and treatment-experienced
without cirrhosis or with compensated cirrhosis

(Child-Pugh A)
SOVALDI + ribavirin
24 weeks

The recommended dosage of SOVALDI in pediatric patients 3 years and older with genotype 2 or 3 HCV using SOVALDI tablets or oral pellets (with or without food) is based on weight (Table 3), and is to be taken orally once daily in combination with ribavirin [see Dosage and Administration (2.4), Use in Specific Populations (8.4), Clinical Pharmacology (12.3), and Clinical Studies (14.5)]. SOVALDI pellets can be taken by pediatric patients who cannot swallow the tablet formulation [see Dosage and Administration (2.4)].

Table 3 Dosing for Pediatric Patients 3 Years and Older Using SOVALDI Tablets or Oral Pellets
Body Weight (kg) Dosing of SOVALDI Tablets or Oral Pellets SOVALDI Daily Dose
at least 35 one 400 mg tablet once daily

or

two 200 mg tablets once daily

or

two 200 mg packets of pellets once daily
400 mg per day
17 to less than 35 one 200 mg tablet once daily

or

one 200 mg packet of pellets once daily
200 mg per day
less than 17 one 150 mg packet of pellets once daily 150 mg per day
Table 4 Recommended Dosing for Ribavirin in Combination Therapy with SOVALDI for Pediatric Patients 3 Years and Older
Body Weight (kg) Oral Ribavirin Daily Dosage
The daily dosage of ribavirin is weight-based and is administered orally in two divided doses with food.
less than 47 15 mg per kg per day

(divided dose AM and PM)
47–49 600 mg per day

(1 × 200 mg AM, 2 × 200 mg PM)
50–65 800 mg per day

(2 × 200 mg AM, 2 × 200 mg PM)
66–80 1000 mg per day

(2 × 200 mg AM, 3 × 200 mg PM)
greater than 80 1200 mg per day

(3 × 200 mg AM, 3 × 200 mg PM)

Advanced Ingredient Data


Raw Label Data

All Sections (JSON)