These Highlights Do Not Include All The Information Needed To Use Nucynta®

These Highlights Do Not Include All The Information Needed To Use Nucynta®
SPL v7
SPL
SPL Set ID 80938c30-9fe3-4c7d-9d9c-5476638cfb2d
Route
ORAL
Published
Effective Date 2025-12-30
Document Type 34391-3 HUMAN PRESCRIPTION DRUG LABEL

Drug Facts

Composition & Product

Active Ingredients
Tapentadol (50 mg)
Inactive Ingredients
Microcrystalline Cellulose Lactose Monohydrate Croscarmellose Sodium Povidone, Unspecified Magnesium Stearate Polyvinyl Alcohol, Unspecified Titanium Dioxide Polyethylene Glycol, Unspecified Talc Aluminum Oxide

Identifiers & Packaging

Pill Appearance
Imprint: O;M;100 Shape: round Color: yellow Color: orange Size: 7 mm Size: 8 mm Size: 9 mm Score: 1
Marketing Status
NDA Active Since 2019-04-01

Description

WARNING: SERIOUS AND LIFE-THREATENING RISKS FROM USE OF NUCYNTA TABLETS See full prescribing information for complete boxed warning . NUCYNTA tablets expose users to risks of addiction, abuse, and misuse, which can lead to overdose and death. Assess patient's risk before prescribing and reassess regularly for these behaviors and conditions. ( 5.1 ) Serious, life-threatening, or fatal respiratory depression may occur, especially upon initiation or following a dosage increase. To reduce the risk of respiratory depression, proper dosing and titration of NUCYNTA tablets are essential. ( 5.2 ) Concomitant use of opioids with benzodiazepines or other central nervous system (CNS) depressants, including alcohol, may result in profound sedation, respiratory depression, coma, and death. Reserve concomitant prescribing for use in patients for whom alternative treatment options are inadequate. ( 5.3 , 7 ) Accidental ingestion of NUCYNTA tablets, especially by children, can result in a fatal overdose of tapentadol. ( 5.2 ) Advise pregnant women using opioids for an extended period of time of the risk of Neonatal Opioid Withdrawal Syndrome, which may be life-threatening if not recognized and treated. Ensure that management by neonatology experts will be available at delivery. ( 5.4 ) Healthcare providers are strongly encouraged to complete a REMS-compliant education program and to counsel patients and caregivers on serious risks, safe use, and the importance of reading the Medication Guide with each prescription. ( 5.5 )

Indications and Usage

NUCYNTA (tapentadol) tablets are indicated for the management of acute pain severe enough to require an opioid analgesic and for which alternative treatments are inadequate in adults and pediatric patients aged 6 years and older with a body weight of at least 40kg.

Dosage and Administration

NUCYNTA tablets should be prescribed only by healthcare professionals who are knowledgeable about the use of opioids and how to mitigate the associated risks. ( 2.1 ) Use the lowest effective dosage for the shortest duration consistent with individual patient treatment goals. Reserve titration to higher doses of NUCYNTA tablets for patients in whom lower doses are insufficiently effective and in whom the expected benefits of using a higher dose opioid clearly outweigh the substantial risks. ( 2.1 , 5 ) Many acute pain conditions (e.g., the pain that occurs with a number of surgical procedures or acute musculoskeletal injuries) require no more than a few days of an opioid analgesic. Clinical guidelines on opioid prescribing for some acute pain conditions are available. ( 2.1 ) Initiate the dosing regimen for each patient individually, taking into account the patient's underlying cause and severity of pain, prior analgesic treatment and response, and risk factors for addiction, abuse, and misuse. ( 2.1 , 5.1 ) Respiratory depression can occur at any time during opioid therapy, especially when initiating and following dosage increases with NUCYNTA tablets. Consider this risk when selecting an initial dose and when making dose adjustments. ( 2.1 , 5.2 ) NUCYNTA tablets can be taken with or without food ( 2.1 ). Discuss opioid overdose reversal agents and options for acquiring them with the patient and/or caregiver, both when initiating andrenewing treatment with NUCYNTA tablets, especially if the patient has additional risk factors for overdose, or close contacts at risk for exposure and overdose. ( 2.2 , 5.1 , 5.2 , 5.3 ) Dosing in adults: See full prescribing information for detailed dosing instructions. ( 2.3 ) Dosing in Pediatric Patients aged 6 years and older with a body weight of at least 40 kg and who are able to swallow tablets: See full prescribing information for detailed dosing instructions. ( 2.4 ) Moderate Hepatic Impairment in Adult Patients: Initiate treatment with 50 mg no more than once every 8 hours (maximum of three doses in 24 hours). Regularly evaluate for respiratory and central nervous system depression. ( 2.4 ) Periodically reassess patients receiving NUCYNTA tablets to evaluate the continued need for opioid analgesics to maintain pain control, for the signs or symptoms of adverse reactions, and for the development of addiction, abuse, or misuse. ( 2.6 ) Do not rapidly reduce or abruptly discontinue NUCYNTA tablets in a physically dependent patient because rapid reduction or abrupt discontinuation of opioid analgesics has resulted in serious withdrawal symptoms, uncontrolled pain, and suicide. ( 2.6 , 5.14 )

Warnings and Precautions

Opioid-Induced Hyperalgesia and Allodynia : Opioid-Induced Hyperalgesia (OIH) occurs when an opioid analgesic paradoxically causes an increase in pain, or an increase in sensitivity to pain. If OIH is suspected, carefully consider appropriately decreasing the dose of the current opioid analgesic, or opioid rotation. ( 5.6 ) Serotonin Syndrome with Concomitant Use of Serotonergic Drugs : Potentially life-threatening condition could result from concomitant serotonergic drug administration. Discontinue NUCYNTA tablets if serotonin syndrome is suspected. ( 5.7 ) Life-Threatening Respiratory Depression in Patients with Chronic Pulmonary Disease or in Elderly, Cachectic, or Debilitated Patients : Regularly evaluate, particularly during initiation and titration. ( 5.8 ) Adrenal Insufficiency : If diagnosed, treat with physiologic replacement of corticosteroids, and wean patient off of the opioid. ( 5.8 ) Severe Hypotension : Regularly evaluate during dosage initiation and titration. Avoid use of NUCYNTA tablets in patients with circulatory shock. ( 5.10 ) Risks of Use in Patients with Increased Intracranial Pressure, Brain Tumors, Head Injury, or Impaired Consciousness : Monitor for sedation and respiratory depression. Avoid use of NUCYNTA tablets in patients with impaired consciousness or coma. ( 5.11 )

Contraindications

NUCYNTA tablets are contraindicated in patients with: Significant respiratory depression [see Warnings and Precautions (5.2) ] Acute or severe bronchial asthma in an unmonitored setting or in the absence of resuscitative equipment [see Warnings and Precautions (5.8) ] Known or suspected gastrointestinal obstruction, including suspected paralytic ileus [see Warnings and Precautions (5.12) ] Hypersensitivity to tapentadol (e.g., anaphylaxis, angioedema) or to any other ingredients of the product [see Adverse Reactions (6.2) ] Concurrent use of monoamine oxidase inhibitors (MAOIs) or use of MAOIs within the last 14 days [see Drug Interactions (7) ]

Adverse Reactions

The following adverse reactions are discussed, or described in greater detail, in other sections: Addiction, Abuse, and Misuse [see Warnings and Precautions (5.1) ] Life-Threatening Respiratory Depression [see Warnings and Precautions (5.2) ] Interactions with Benzodiazepine or Other CNS Depressants [see Warnings and Precautions (5.3) ] Neonatal Opioid Withdrawal Syndrome [see Warnings and Precautions (5.4) ] Opioid-Induced Hyperalgesia and Allodynia [see Warnings and Precautions (5.6) Serotonin Syndrome [see Warnings and Precautions (5.7) ] Adrenal Insufficiency [see Warnings and Precautions (5.9) ] Severe Hypotension [see Warnings and Precautions (5.10) ] Gastrointestinal Adverse Reactions [ see Warnings and Precautions (5.12) ] Seizures [see Warnings and Precautions (5.13) ] Withdrawal [see Warnings and Precautions (5.14) ]

Drug Interactions

Table 2 includes clinically significant drug interactions with NUCYNTA tablets. Table 2. Clinically Significant Drug Interactions with NUCYNTA Tablets Benzodiazepines and other Central Nervous System (CNS) Depressants Clinical Impact: Due to additive pharmacologic effect, the concomitant use of benzodiazepines or other CNS depressants including alcohol, increases the risk of respiratory depression, profound sedation, coma, and death [Warnings and Precautions (5.3)] . Intervention: Reserve concomitant prescribing of these drugs for use in patients for whom alternative treatment options are inadequate. Limit dosages and durations to the minimum required. Inform patients and caregivers of this potential interaction and educate them on the signs and symptoms of respiratory depression (including sedation). If concomitant use is warranted, consider recommending or prescribing an opioid overdose reversal agent [see Dosage and Administration (2.2) , Warnings and Precautions (5.1 , 5.2 , 5.3) ]. Examples: Benzodiazepines and other sedatives/hypnotics, anxiolytics, tranquilizers, muscle relaxants, general anesthetics, antipsychotics, gabapentinoids (gabapentin or pregabalin), other opioids, alcohol. Serotonergic Drugs Clinical Impact: The concomitant use of opioids with other drugs that affect the serotonergic neurotransmitter system has resulted in serotonin syndrome [see Warnings and Precautions (5.7) ]. Intervention: If concomitant use is warranted, frequently evaluate the patient, particularly during treatment initiation and dose adjustment. Discontinue NUCYNTA tablets if serotonin syndrome is suspected. Examples: Selective serotonin reuptake inhibitors (SSRIs), serotonin and norepinephrine reuptake inhibitors (SNRIs), tricyclic antidepressants (TCAs), triptans, 5-HT3 receptor antagonists, drugs that affect the serotonin neurotransmitter system (e.g., mirtazapine, trazodone, tramadol), certain muscle relaxants (i.e., cyclobenzaprine, metaxalone), monoamine oxidase inhibitors (those intended to treat psychiatric disorders and also others, such as linezolid and intravenous methylene blue). Monoamine Oxidase Inhibitors (MAOIs) Clinical Impact: MAOI interactions with opioids may manifest as serotonin syndrome or opioid toxicity (e.g., respiratory depression, coma) [see Warnings and Precautions (5.3) ] Intervention: Do not use NUCYNTA tablets in patients taking MAOIs or within 14 days of stopping such treatment. If urgent use of an opioid is necessary, use test doses and frequent titration of small doses of other opioids (such as oxycodone, hydrocodone, oxymorphone, hydrocodone, or buprenorphine) to treat pain while closely monitoring blood pressure and signs and symptoms of CNS and respiratory depression. Examples: phenelzine, tranylcypromine, linezolid Mixed Agonist/Antagonist and Partial Agonist Opioid Analgesics Clinical Impact: May reduce the analgesic effect of NUCYNTA tablets and/or precipitate withdrawal symptoms. Intervention: Avoid concomitant use. Examples: butorphanol, nalbuphine, pentazocine, buprenorphine Muscle Relaxants Clinical Impact: Tapentadol may enhance the neuromuscular blocking action of skeletal muscle relaxants and produce an increased degree of respiratory depression. Intervention: Because respiratory depression may be greater than otherwise expected, decrease the dosage of NUCYNTA tablets and/or the muscle relaxant as necessary. Due to the risk of respiratory depression with concomitant use of skeletal muscle relaxants and opioids, consider recommending or prescribing an opioid overdose reversal agent [see Dosage and Administration (2.2) , Warnings and Precautions (5.2 , 5.3) ] Examples: cyclobenzaprine, metaxalone Diuretics Clinical Impact: Opioids can reduce the efficacy of diuretics by inducing the release of antidiuretic hormone. Intervention: Evaluate patients for signs of diminished diuresis and/or effects on blood pressure and increase the dosage of the diuretic as needed. Anticholinergic Drugs Clinical Impact: The concomitant use of anticholinergic drugs may increase risk of urinary retention and/or severe constipation, which may lead to paralytic ileus. Intervention: Evaluate patients for signs of urinary retention or reduced gastric motility when NUCYNTA tablets is used concomitantly with anticholinergic drugs. Alcohol, Other Opioids, and Drugs of Abuse Clinical Impact: Due to its mu-opioid agonist activity, NUCYNTA tablets may be expected to have additive effects when used in conjunction with alcohol, other opioids, or illicit drugs that cause central nervous system depression, respiratory depression, hypotension, and profound sedation, coma or death [see Warnings and Precautions (5.16) ] . Intervention: Instruct patients not to consume alcoholic beverages or use prescription or non- prescription products containing alcohol, other opioids, or drugs of abuse while on NUCYNTA tablets therapy. Examples: Alcohol, other opioids, illicit drugs

Storage and Handling

NUCYNTA Tablets are available in the following strengths and packages. All tablets are round and biconvex-shaped. 50 mg tablets are yellow and debossed with "O-M" on one side and "50" on the other side, and are available in bottles of 100 (NDC 24510-050-10) and hospital unit dose blister packs of 10 (NDC 24510-050-01). 75 mg tablets are yellow-orange and debossed with "O-M" on one side and "75" on the other side, and are available in bottles of 100 (NDC 24510-075-10) and hospital unit dose blister packs of 10 (NDC 24510-075-01). 100 mg tablets are orange and debossed with "O-M" on one side and "100" on the other side, and are available in bottles of 100 (NDC 24510-100-10) and hospital unit dose blister packs of 10 (NDC 24510-100-01).

How Supplied

NUCYNTA Tablets are available in the following strengths and packages. All tablets are round and biconvex-shaped. 50 mg tablets are yellow and debossed with "O-M" on one side and "50" on the other side, and are available in bottles of 100 (NDC 24510-050-10) and hospital unit dose blister packs of 10 (NDC 24510-050-01). 75 mg tablets are yellow-orange and debossed with "O-M" on one side and "75" on the other side, and are available in bottles of 100 (NDC 24510-075-10) and hospital unit dose blister packs of 10 (NDC 24510-075-01). 100 mg tablets are orange and debossed with "O-M" on one side and "100" on the other side, and are available in bottles of 100 (NDC 24510-100-10) and hospital unit dose blister packs of 10 (NDC 24510-100-01).


Medication Information

Warnings and Precautions

Opioid-Induced Hyperalgesia and Allodynia : Opioid-Induced Hyperalgesia (OIH) occurs when an opioid analgesic paradoxically causes an increase in pain, or an increase in sensitivity to pain. If OIH is suspected, carefully consider appropriately decreasing the dose of the current opioid analgesic, or opioid rotation. ( 5.6 ) Serotonin Syndrome with Concomitant Use of Serotonergic Drugs : Potentially life-threatening condition could result from concomitant serotonergic drug administration. Discontinue NUCYNTA tablets if serotonin syndrome is suspected. ( 5.7 ) Life-Threatening Respiratory Depression in Patients with Chronic Pulmonary Disease or in Elderly, Cachectic, or Debilitated Patients : Regularly evaluate, particularly during initiation and titration. ( 5.8 ) Adrenal Insufficiency : If diagnosed, treat with physiologic replacement of corticosteroids, and wean patient off of the opioid. ( 5.8 ) Severe Hypotension : Regularly evaluate during dosage initiation and titration. Avoid use of NUCYNTA tablets in patients with circulatory shock. ( 5.10 ) Risks of Use in Patients with Increased Intracranial Pressure, Brain Tumors, Head Injury, or Impaired Consciousness : Monitor for sedation and respiratory depression. Avoid use of NUCYNTA tablets in patients with impaired consciousness or coma. ( 5.11 )

Indications and Usage

NUCYNTA (tapentadol) tablets are indicated for the management of acute pain severe enough to require an opioid analgesic and for which alternative treatments are inadequate in adults and pediatric patients aged 6 years and older with a body weight of at least 40kg.

Dosage and Administration

NUCYNTA tablets should be prescribed only by healthcare professionals who are knowledgeable about the use of opioids and how to mitigate the associated risks. ( 2.1 ) Use the lowest effective dosage for the shortest duration consistent with individual patient treatment goals. Reserve titration to higher doses of NUCYNTA tablets for patients in whom lower doses are insufficiently effective and in whom the expected benefits of using a higher dose opioid clearly outweigh the substantial risks. ( 2.1 , 5 ) Many acute pain conditions (e.g., the pain that occurs with a number of surgical procedures or acute musculoskeletal injuries) require no more than a few days of an opioid analgesic. Clinical guidelines on opioid prescribing for some acute pain conditions are available. ( 2.1 ) Initiate the dosing regimen for each patient individually, taking into account the patient's underlying cause and severity of pain, prior analgesic treatment and response, and risk factors for addiction, abuse, and misuse. ( 2.1 , 5.1 ) Respiratory depression can occur at any time during opioid therapy, especially when initiating and following dosage increases with NUCYNTA tablets. Consider this risk when selecting an initial dose and when making dose adjustments. ( 2.1 , 5.2 ) NUCYNTA tablets can be taken with or without food ( 2.1 ). Discuss opioid overdose reversal agents and options for acquiring them with the patient and/or caregiver, both when initiating andrenewing treatment with NUCYNTA tablets, especially if the patient has additional risk factors for overdose, or close contacts at risk for exposure and overdose. ( 2.2 , 5.1 , 5.2 , 5.3 ) Dosing in adults: See full prescribing information for detailed dosing instructions. ( 2.3 ) Dosing in Pediatric Patients aged 6 years and older with a body weight of at least 40 kg and who are able to swallow tablets: See full prescribing information for detailed dosing instructions. ( 2.4 ) Moderate Hepatic Impairment in Adult Patients: Initiate treatment with 50 mg no more than once every 8 hours (maximum of three doses in 24 hours). Regularly evaluate for respiratory and central nervous system depression. ( 2.4 ) Periodically reassess patients receiving NUCYNTA tablets to evaluate the continued need for opioid analgesics to maintain pain control, for the signs or symptoms of adverse reactions, and for the development of addiction, abuse, or misuse. ( 2.6 ) Do not rapidly reduce or abruptly discontinue NUCYNTA tablets in a physically dependent patient because rapid reduction or abrupt discontinuation of opioid analgesics has resulted in serious withdrawal symptoms, uncontrolled pain, and suicide. ( 2.6 , 5.14 )

Contraindications

NUCYNTA tablets are contraindicated in patients with: Significant respiratory depression [see Warnings and Precautions (5.2) ] Acute or severe bronchial asthma in an unmonitored setting or in the absence of resuscitative equipment [see Warnings and Precautions (5.8) ] Known or suspected gastrointestinal obstruction, including suspected paralytic ileus [see Warnings and Precautions (5.12) ] Hypersensitivity to tapentadol (e.g., anaphylaxis, angioedema) or to any other ingredients of the product [see Adverse Reactions (6.2) ] Concurrent use of monoamine oxidase inhibitors (MAOIs) or use of MAOIs within the last 14 days [see Drug Interactions (7) ]

Adverse Reactions

The following adverse reactions are discussed, or described in greater detail, in other sections: Addiction, Abuse, and Misuse [see Warnings and Precautions (5.1) ] Life-Threatening Respiratory Depression [see Warnings and Precautions (5.2) ] Interactions with Benzodiazepine or Other CNS Depressants [see Warnings and Precautions (5.3) ] Neonatal Opioid Withdrawal Syndrome [see Warnings and Precautions (5.4) ] Opioid-Induced Hyperalgesia and Allodynia [see Warnings and Precautions (5.6) Serotonin Syndrome [see Warnings and Precautions (5.7) ] Adrenal Insufficiency [see Warnings and Precautions (5.9) ] Severe Hypotension [see Warnings and Precautions (5.10) ] Gastrointestinal Adverse Reactions [ see Warnings and Precautions (5.12) ] Seizures [see Warnings and Precautions (5.13) ] Withdrawal [see Warnings and Precautions (5.14) ]

Drug Interactions

Table 2 includes clinically significant drug interactions with NUCYNTA tablets. Table 2. Clinically Significant Drug Interactions with NUCYNTA Tablets Benzodiazepines and other Central Nervous System (CNS) Depressants Clinical Impact: Due to additive pharmacologic effect, the concomitant use of benzodiazepines or other CNS depressants including alcohol, increases the risk of respiratory depression, profound sedation, coma, and death [Warnings and Precautions (5.3)] . Intervention: Reserve concomitant prescribing of these drugs for use in patients for whom alternative treatment options are inadequate. Limit dosages and durations to the minimum required. Inform patients and caregivers of this potential interaction and educate them on the signs and symptoms of respiratory depression (including sedation). If concomitant use is warranted, consider recommending or prescribing an opioid overdose reversal agent [see Dosage and Administration (2.2) , Warnings and Precautions (5.1 , 5.2 , 5.3) ]. Examples: Benzodiazepines and other sedatives/hypnotics, anxiolytics, tranquilizers, muscle relaxants, general anesthetics, antipsychotics, gabapentinoids (gabapentin or pregabalin), other opioids, alcohol. Serotonergic Drugs Clinical Impact: The concomitant use of opioids with other drugs that affect the serotonergic neurotransmitter system has resulted in serotonin syndrome [see Warnings and Precautions (5.7) ]. Intervention: If concomitant use is warranted, frequently evaluate the patient, particularly during treatment initiation and dose adjustment. Discontinue NUCYNTA tablets if serotonin syndrome is suspected. Examples: Selective serotonin reuptake inhibitors (SSRIs), serotonin and norepinephrine reuptake inhibitors (SNRIs), tricyclic antidepressants (TCAs), triptans, 5-HT3 receptor antagonists, drugs that affect the serotonin neurotransmitter system (e.g., mirtazapine, trazodone, tramadol), certain muscle relaxants (i.e., cyclobenzaprine, metaxalone), monoamine oxidase inhibitors (those intended to treat psychiatric disorders and also others, such as linezolid and intravenous methylene blue). Monoamine Oxidase Inhibitors (MAOIs) Clinical Impact: MAOI interactions with opioids may manifest as serotonin syndrome or opioid toxicity (e.g., respiratory depression, coma) [see Warnings and Precautions (5.3) ] Intervention: Do not use NUCYNTA tablets in patients taking MAOIs or within 14 days of stopping such treatment. If urgent use of an opioid is necessary, use test doses and frequent titration of small doses of other opioids (such as oxycodone, hydrocodone, oxymorphone, hydrocodone, or buprenorphine) to treat pain while closely monitoring blood pressure and signs and symptoms of CNS and respiratory depression. Examples: phenelzine, tranylcypromine, linezolid Mixed Agonist/Antagonist and Partial Agonist Opioid Analgesics Clinical Impact: May reduce the analgesic effect of NUCYNTA tablets and/or precipitate withdrawal symptoms. Intervention: Avoid concomitant use. Examples: butorphanol, nalbuphine, pentazocine, buprenorphine Muscle Relaxants Clinical Impact: Tapentadol may enhance the neuromuscular blocking action of skeletal muscle relaxants and produce an increased degree of respiratory depression. Intervention: Because respiratory depression may be greater than otherwise expected, decrease the dosage of NUCYNTA tablets and/or the muscle relaxant as necessary. Due to the risk of respiratory depression with concomitant use of skeletal muscle relaxants and opioids, consider recommending or prescribing an opioid overdose reversal agent [see Dosage and Administration (2.2) , Warnings and Precautions (5.2 , 5.3) ] Examples: cyclobenzaprine, metaxalone Diuretics Clinical Impact: Opioids can reduce the efficacy of diuretics by inducing the release of antidiuretic hormone. Intervention: Evaluate patients for signs of diminished diuresis and/or effects on blood pressure and increase the dosage of the diuretic as needed. Anticholinergic Drugs Clinical Impact: The concomitant use of anticholinergic drugs may increase risk of urinary retention and/or severe constipation, which may lead to paralytic ileus. Intervention: Evaluate patients for signs of urinary retention or reduced gastric motility when NUCYNTA tablets is used concomitantly with anticholinergic drugs. Alcohol, Other Opioids, and Drugs of Abuse Clinical Impact: Due to its mu-opioid agonist activity, NUCYNTA tablets may be expected to have additive effects when used in conjunction with alcohol, other opioids, or illicit drugs that cause central nervous system depression, respiratory depression, hypotension, and profound sedation, coma or death [see Warnings and Precautions (5.16) ] . Intervention: Instruct patients not to consume alcoholic beverages or use prescription or non- prescription products containing alcohol, other opioids, or drugs of abuse while on NUCYNTA tablets therapy. Examples: Alcohol, other opioids, illicit drugs

Storage and Handling

NUCYNTA Tablets are available in the following strengths and packages. All tablets are round and biconvex-shaped. 50 mg tablets are yellow and debossed with "O-M" on one side and "50" on the other side, and are available in bottles of 100 (NDC 24510-050-10) and hospital unit dose blister packs of 10 (NDC 24510-050-01). 75 mg tablets are yellow-orange and debossed with "O-M" on one side and "75" on the other side, and are available in bottles of 100 (NDC 24510-075-10) and hospital unit dose blister packs of 10 (NDC 24510-075-01). 100 mg tablets are orange and debossed with "O-M" on one side and "100" on the other side, and are available in bottles of 100 (NDC 24510-100-10) and hospital unit dose blister packs of 10 (NDC 24510-100-01).

How Supplied

NUCYNTA Tablets are available in the following strengths and packages. All tablets are round and biconvex-shaped. 50 mg tablets are yellow and debossed with "O-M" on one side and "50" on the other side, and are available in bottles of 100 (NDC 24510-050-10) and hospital unit dose blister packs of 10 (NDC 24510-050-01). 75 mg tablets are yellow-orange and debossed with "O-M" on one side and "75" on the other side, and are available in bottles of 100 (NDC 24510-075-10) and hospital unit dose blister packs of 10 (NDC 24510-075-01). 100 mg tablets are orange and debossed with "O-M" on one side and "100" on the other side, and are available in bottles of 100 (NDC 24510-100-10) and hospital unit dose blister packs of 10 (NDC 24510-100-01).

Description

WARNING: SERIOUS AND LIFE-THREATENING RISKS FROM USE OF NUCYNTA TABLETS See full prescribing information for complete boxed warning . NUCYNTA tablets expose users to risks of addiction, abuse, and misuse, which can lead to overdose and death. Assess patient's risk before prescribing and reassess regularly for these behaviors and conditions. ( 5.1 ) Serious, life-threatening, or fatal respiratory depression may occur, especially upon initiation or following a dosage increase. To reduce the risk of respiratory depression, proper dosing and titration of NUCYNTA tablets are essential. ( 5.2 ) Concomitant use of opioids with benzodiazepines or other central nervous system (CNS) depressants, including alcohol, may result in profound sedation, respiratory depression, coma, and death. Reserve concomitant prescribing for use in patients for whom alternative treatment options are inadequate. ( 5.3 , 7 ) Accidental ingestion of NUCYNTA tablets, especially by children, can result in a fatal overdose of tapentadol. ( 5.2 ) Advise pregnant women using opioids for an extended period of time of the risk of Neonatal Opioid Withdrawal Syndrome, which may be life-threatening if not recognized and treated. Ensure that management by neonatology experts will be available at delivery. ( 5.4 ) Healthcare providers are strongly encouraged to complete a REMS-compliant education program and to counsel patients and caregivers on serious risks, safe use, and the importance of reading the Medication Guide with each prescription. ( 5.5 )

Section 42229-5

Addiction, Abuse, and Misuse

Because the use of NUCYNTA tablets exposes patients and other users to the risks of opioid addiction, abuse, and misuse, which can lead to overdose and death, assess each patient's risk prior to prescribing and reassess all patients regularly for the development of these behaviors and conditions [see Warnings and Precautions (5.1)].

Section 42231-1
Medication Guide

NUCYNTA (new-SINN-tah)

(tapentadol) tablets , CII
This Medication Guide has been approved by the U.S. Food and Drug Administration NUC-022-C.6 Issued: 12/2025
NUCYNTA tablets are:
  • A strong prescription pain medicine that contains an opioid (narcotic) that is used to manage short term (acute) pain in adults and children 6 years of age and older who weigh at least 88 pounds (40 kg), when other pain treatments such as non-opioid pain medicines do not treat your pain well enough or you cannot tolerate them.
  • An opioid pain medicine that can put you at risk for overdose and death. Even if you take your dose correctly as prescribed you are at risk for opioid addiction, abuse, and misuse that can lead to death.
Important information about NUCYNTA tablets:
  • Get emergency help or call 911 right away if you take too much NUCYNTA (overdose) tablets. When you first start taking NUCYNTA tablets, when your dose is changed, or if you take too much (overdose), serious or life- threatening breathing problems that can lead to death may occur. Ask your healthcare provider about medicines like naloxone or nalmefene that can be used in an emergency to reverse an opioid overdose.
  • Taking NUCYNTA tablets with other opioid medicines, benzodiazepines, gabapentinoids (gabapentin or pregabalin), alcohol, or other central nervous system depressants (including street drugs) can cause severe drowsiness, decreased awareness, breathing problems, coma, and death.
  • Never give anyone else your NUCYNTA tablets. They could die from taking it. Selling or giving away NUCYNTA tablets is against the law.
  • Store NUCYNTA tablets securely, out of sight and reach of children, and in a location not accessible by others, including visitors to the home.
Do not take NUCYNTA tablets if you have:
  • severe asthma, trouble breathing, or other lung problems.
  • a bowel blockage or have narrowing of the stomach or intestines.
Before taking NUCYNTA tablets, tell your healthcare provider if you have a history of:
  • head injury, seizures
  • problems urinating
  • liver, kidney, thyroid problems
  • pancreas or gallbladder problems
  • abuse of street or prescription drugs, alcohol addiction, opioid overdose or mental health problems.
Tell your healthcare provider if you are:
  • noticing your pain getting worse. If your pain gets worse after you take NUCYNTA tablets, do not take more NUCYNTA tablets without first talking to your healthcare provider. Tell your healthcare provider if the pain that you have increases, if you feel more sensitive to pain, or if you have new pain after taking NUCYNTA tablets.
  • pregnant or planning to become pregnant. Prolonged use of NUCYNTA tablets during pregnancy can cause withdrawal symptoms in your newborn baby that could be life-threatening if not recognized and treated.
  • breastfeeding. NUCYNTA tablets pass into breast milk and may harm your baby. Carefully observe infants for increased sleepiness (more than usual), breathing difficulties, or limpness. Seek immediate medical care if you notice these signs.
  • living in a household where there are small children or someone who has abused street or prescription drugs.
  • taking prescription or over-the-counter medicines, vitamins, or herbal supplements. Taking NUCYNTA tablets with certain other medicines can cause serious side effects that could lead to death.
When taking NUCYNTA tablets:
  • Do not change your dose. Take NUCYNTA tablets exactly as prescribed by your healthcare provider. Use the lowest dose possible for the shortest time needed.
  • For acute (short-term) pain, you may only need to take NUCYNTA tablets for a few days. You may have some NUCYNTA tablets left over that you did not use. See disposal information at the bottom of this section for directions on how to safely throw away (dispose of) your unused NUCYNTA tablets.
  • Take your prescribed dose every 4-6 hours as needed for pain, at the same time every day. Do not take more than your prescribed dose. If you miss a dose, take your next dose at your usual time.
  • Call your healthcare provider if the dose you are taking does not control your pain.
  • If you have been taking NUCYNTA tablets regularly, do not stop taking NUCYNTA tablets without talking to your healthcare provider.
  • Dispose of expired, unwanted, or unused NUCYNTA Tablets by promptly flushing down the toilet, if a drug take-back option is not readily available. Visit www.fda.gov/drugdisposal for additional information on disposal of unused medicines.
While taking NUCYNTA tablets DO NOT:
  • Drive or operate heavy machinery, until you know how NUCYNTA tablets affect you. NUCYNTA tablets can make you sleepy, dizzy, or lightheaded.
  • Drink alcohol or use prescription or over-the-counter medicines that contain alcohol. Using products containing alcohol during treatment with NUCYNTA tablets may cause you to overdose and die.
The possible side effects of NUCYNTA tablets:
  • constipation, nausea, sleepiness, vomiting, tiredness, headache, dizziness, abdominal pain. Call your healthcare provider if you have any of these symptoms and they are severe.
Get emergency medical help or call 911 right away if you have:
  • trouble breathing, shortness of breath, fast heartbeat, chest pain, swelling of your face, tongue, or throat, extreme drowsiness, light-headedness when changing positions, feeling faint, agitation, high body temperature, trouble walking, stiff muscles, or mental changes such as confusion.
These are not all the possible side effects of NUCYNTA tablets. Call your healthcare provider for medical advice about side effects. You may report side effects to FDA at 1-800-FDA-1088. For more information go to dailymed.nlm.nih.gov

Distributed by: Collegium Pharmaceutical, Inc., 100 Technology Center Drive Suite 300, Stoughton, MA, 02072, www.collegiumpharma.com or call 1-855-331-5615.
Section 43683-2
Boxed Warning 12/2025
Indications and Usage (1) 12/2025
Dosage and Administration (2.2, 2.7) 12/2025
Warnings and Precautions (5.1, 5.2, 5.3, 5.12, 5.14) 12/2025
Section 44425-7

Storage and Handling

Store at 20°C-25°C (68°F-77°F); excursions permitted to 15° - 30°C (59° - 86°F) [see USP Controlled Room Temperature]. Protect from moisture.

Keep NUCYNTA tablets in a secure place out of reach of children.

NUCYNTA tablets that are no longer needed should be destroyed by flushing down the toilet.

Store NUCYNTA Tablets securely and dispose of properly [see Patient Counseling Information (17)].

9.2 Abuse

NUCYNTA tablets contain tapentadol, a substance with high potential for misuse and abuse, which can lead to the development of substance use disorder, including addiction [see Warnings and Precautions (5.1)].

Misuse is the intentional use, for therapeutic purposes, of a drug by an individual in a way other than prescribed by a healthcare provider or for whom it was not prescribed.

Abuse is the intentional, non-therapeutic use of a drug, even once, for its desirable psychological or physiological effects.

Drug addiction is a cluster of behavioral, cognitive, and physiological phenomena that may include a strong desire to take the drug, difficulties in controlling drug use (e.g., continuing drug use despite harmful consequences, giving a higher priority to drug use than other activities and obligations), and possible tolerance or physical dependence.

Misuse and abuse of NUCYNTA tablets increase risk of overdose, which may lead to central nervous system and respiratory depression, hypotension, seizures, and death. The risk is increased with concurrent abuse of NUCYNTA tablets with alcohol and/or other CNS depressants. Abuse of and addiction to opioids in some individuals may not be accompanied by concurrent tolerance and symptoms of physical dependence. In addition, abuse of opioids can occur in the absence of addiction.

All patients treated with opioids require careful and frequent reevaluation for signs of misuse, abuse, and addiction, because use of opioid analgesic products carries the risk of addiction even under appropriate medical use. Patients at high risk of NUCYNTA tablet abuse include those with a history of prolonged use of any opioid, including products containing tapentadol, those with a history of drug or alcohol abuse, or those who use NUCYNTA tablets in combination with other abused drugs.

"Drug-seeking" behavior is very common in persons with substance use disorders. Drug-seeking tactics include emergency calls or visits near the end of office hours, refusal to undergo appropriate examination, testing, or referral, repeated "loss" of prescriptions, tampering with prescriptions, and reluctance to provide prior medical records or contact information for other treating healthcare provider(s). "Doctor shopping" (visiting multiple prescribers to obtain additional prescriptions) is common among people who abuse drugs and people with substance use disorder. Preoccupation with achieving adequate pain relief can be appropriate behavior in a patient with inadequate pain control.

NUCYNTA tablets, like other opioids, can be diverted for nonmedical use into illicit channels of distribution. Careful record-keeping of prescribing information, including quantity, frequency, and renewal requests, as required by state and federal law, is strongly advised.

Proper assessment of the patient, proper prescribing practices, periodic reevaluation of therapy, and proper dispensing and storage are appropriate measures that help to limit abuse of opioid drugs.

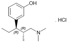
11 Description

NUCYNTA (tapentadol) tablets are a mu-opioid receptor agonist, available in immediate-release film-coated tablets for oral administration, containing 58.24, 87.36 and 116.48 mg of tapentadol hydrochloride in each tablet strength, equivalent to 50, 75, and 100 mg of tapentadol free-base, respectively. The chemical name is 3-[(1R,2R)-3-(dimethylamino)-1-ethyl-2-methylpropyl]phenol monohydrochloride, and it has the following chemical structure:

The molecular weight of tapentadol HCl is 257.80, and the molecular formula is C14H23NO∙HCl. The n-octanol:water partition coefficient log P value is 2.87. The pKa values are 9.34 and 10.45.

The inactive ingredients in NUCYNTA tablets include: croscarmellose sodium, lactose monohydrate, magnesium stearate, microcrystalline cellulose, povidone. The film coatings for all tablet strengths contain polyvinyl alcohol, titanium dioxide, polyethylene glycol, talc, and the colorant FD&C Yellow #6 aluminum lake; the film coatings for the 50 mg and 75 mg tablets also contain the additional colorant D&C Yellow #10 aluminum lake.

9.3 Dependence

Both tolerance and physical dependence can develop during use of opioid therapy.

Tolerance is a physiological state characterized by a reduced response to a drug after repeated administration (i.e., a higher dose of a drug is required to produce the same effect that was once obtained at a lower dose).

Physical dependence is a state that develops as a result of a physiological adaptation in response to repeated drug use, manifested by withdrawal signs and symptoms after abrupt discontinuation or a significant dose reduction of a drug.

Withdrawal may be precipitated through the administration of drugs with opioid antagonist activity (e.g., naloxone, nalmefene), mixed agonist/antagonist analgesics (e.g., pentazocine, butorphanol, nalbuphine), or partial agonists (e.g., buprenorphine). Physical dependence may not occur to a clinically significant degree until after several days to weeks of continued use.

Do not rapidly reduce or abruptly discontinue NUCYNTA tablets in a patient physically dependent on opioids. Rapid reduction or abruptly discontinuation of NUCYNTA tablets in a patient physically dependent on opioids may lead to serious withdrawal symptoms, uncontrolled pain, and suicide. Rapid discontinuation has also been associated with attempts to find other sources of opioid analgesics, which may be confused with drug-seeking for abuse.

When discontinuing NUCYNTA tablets, gradually taper the dosage using a patient-specific plan that considers the following: the dose of NUCYNTA tablets the patient has been taking, the duration of treatment, and the physical and psychological attributes of the patient. To improve the likelihood of a successful taper and minimize withdrawal symptoms, it is important that the opioid tapering schedule is agreed upon by the patient. In patients taking opioids for an extended period of time at high doses, ensure that a multimodal approach to pain management, including mental health support (if needed), is in place prior to initiating an opioid analgesic taper [see Dosage and Administration (2.7), and Warnings and Precautions (5.13)].

Infants born to mothers physically dependent on opioids will also be physically dependent and may exhibit respiratory difficulties and withdrawal signs [see Use in Specific Populations (8.1)].

5.14 Withdrawal

Do not rapidly reduce or abruptly discontinue NUCYNTA tablets in a patient physically dependent on opioids. When discontinuing NUCYNTA tablets in a physically dependent patient, gradually taper the dosage. Rapid tapering of tapentadol in a patient physically dependent on opioids may lead to a withdrawal syndrome and return of pain [see Dosage and Administration (2.7), Drug Abuse and Dependence (9.3)].

Additionally, avoid the use of mixed agonist/antagonist (e.g., pentazocine, nalbuphine, and butorphanol) or partial agonist (e.g., buprenorphine) analgesics in patients who are receiving a full opioid agonist analgesic, including NUCYNTA tablets. In these patients, mixed agonist/antagonist and partial agonist analgesics may reduce the analgesic effect and/or precipitate withdrawal symptoms [see Drug Interactions (7)].

8.4 Pediatric Use

The safety and effectiveness of NUCYNTA (tapentadol) tablets in pediatric patients ages 6 years and older who weigh at least 40 kg have been established. Use of NUCYNTA (tapentadol) tablets in pediatric patients ages 6 years and older who weigh at least 40 kg is based on one randomized, double-blind, placebo-controlled, multiple-dose efficacy and safety study of NUCYNTA (tapentadol) oral solution in 175 pediatric patients from birth to 17 years of age who had undergone surgery that would reliably produce moderate to severe pain and supported by pharmacokinetic and safety data from three open-label, single-dose studies of NUCYNTA (tapentadol) oral solution in 129 patients from birth to 17 years of age with moderate to severe acute pain from a surgical procedure [see Clinical Studies (14.2)].

The safety and effectiveness of NUCYNTA (tapentadol) tablets in pediatric patients less than 6 years of age have not been established. In pediatric patients less than 6 years of age, NUCYNTA (tapentadol) oral solution did not demonstrate efficacy compared to placebo when evaluated in one randomized, double-blind, placebo-controlled, multiple-dose study in 175 pediatric patients from birth to 17 years of age who had undergone surgery that would reliably produce moderate to severe pain [see Clinical Studies (14.2)].

The safety and effectiveness of NUCYNTA (tapentadol) tablets in pediatric patients who weigh less than 40 kg have not been established because the recommended dosage cannot be achieved with available tablet strengths. Consider use of another NUCYNTA product, such as NUCYNTA (tapentadol) oral solution, in patients who cannot swallow oral tablets or who weigh less than 40 kg [see Dosage and Administration (2.3)].

NUCYNTA (tapentadol) tablets have not been studied in pediatric patients with hepatic or renal impairment; therefore, use in these populations is not recommended [see Dosage and Administration (2.4)].

8.5 Geriatric Use

Of the total number of patients in Phase 2/3 double-blind, multiple-dose clinical studies of NUCYNTA tablets, 19% were 65 and over, while 5% were 75 and over. No overall differences in effectiveness were observed between these patients and younger patients. The rate of constipation was higher in subjects greater than or equal to 65 years than those less than 65 years (12% vs. 7%).

Elderly patients (aged 65 years or older) may have increased sensitivity to tapentadol. In general, use caution when selecting a dosage for an elderly patient, usually starting at the low end of the dosing range, reflecting the greater frequency of decreased hepatic, renal, or cardiac function and of concomitant disease or other drug therapy.

Respiratory depression is the chief risk for elderly patients treated with opioids, and has occurred after large initial doses were administered to patients who were not opioid-tolerant or when opioids were co-administered with other agents that depress respiration. Titrate the dosage of NUCYNTA tablets slowly in geriatric patients and frequently reevaluate the patient for signs of central nervous system and respiratory depression [see Warnings and Precautions (5.2)].

Tapentadol is known to be substantially excreted by the kidney, and the risk of adverse reactions to this drug may be greater in patients with impaired renal function. Because elderly patients are more likely to have decreased renal function, care should be taken in dose selection, and it may be useful to regularly evaluate renal function.

4 Contraindications

NUCYNTA tablets are contraindicated in patients with:

6 Adverse Reactions

The following adverse reactions are discussed, or described in greater detail, in other sections:

7 Drug Interactions

Table 2 includes clinically significant drug interactions with NUCYNTA tablets.

Table 2. Clinically Significant Drug Interactions with NUCYNTA Tablets
Benzodiazepines and other Central Nervous System (CNS) Depressants
Clinical Impact: Due to additive pharmacologic effect, the concomitant use of benzodiazepines or other CNS depressants including alcohol, increases the risk of respiratory depression, profound sedation, coma, and death [Warnings and Precautions (5.3)].
Intervention: Reserve concomitant prescribing of these drugs for use in patients for whom alternative treatment options are inadequate. Limit dosages and durations to the minimum required. Inform patients and caregivers of this potential interaction and educate them on the signs and symptoms of respiratory depression (including sedation). If concomitant use is warranted, consider recommending or prescribing an opioid overdose reversal agent [see Dosage and Administration (2.2), Warnings and Precautions (5.1, 5.2, 5.3)].
Examples: Benzodiazepines and other sedatives/hypnotics, anxiolytics, tranquilizers, muscle relaxants, general anesthetics, antipsychotics, gabapentinoids (gabapentin or pregabalin), other opioids, alcohol.
Serotonergic Drugs
Clinical Impact: The concomitant use of opioids with other drugs that affect the serotonergic neurotransmitter system has resulted in serotonin syndrome [see Warnings and Precautions (5.7)].
Intervention: If concomitant use is warranted, frequently evaluate the patient, particularly during treatment initiation and dose adjustment. Discontinue NUCYNTA tablets if serotonin syndrome is suspected.
Examples: Selective serotonin reuptake inhibitors (SSRIs), serotonin and norepinephrine reuptake inhibitors (SNRIs), tricyclic antidepressants (TCAs), triptans, 5-HT3 receptor antagonists, drugs that affect the serotonin neurotransmitter system (e.g., mirtazapine, trazodone, tramadol), certain muscle relaxants (i.e., cyclobenzaprine, metaxalone), monoamine oxidase inhibitors (those intended to treat psychiatric disorders and also others, such as linezolid and intravenous methylene blue).
Monoamine Oxidase Inhibitors (MAOIs)
Clinical Impact: MAOI interactions with opioids may manifest as serotonin syndrome or opioid toxicity (e.g., respiratory depression, coma) [see Warnings and Precautions (5.3)]
Intervention: Do not use NUCYNTA tablets in patients taking MAOIs or within 14 days of stopping such treatment.

If urgent use of an opioid is necessary, use test doses and frequent titration of small doses of other opioids (such as oxycodone, hydrocodone, oxymorphone, hydrocodone, or buprenorphine) to treat pain while closely monitoring blood pressure and signs and symptoms of CNS and respiratory depression.
Examples: phenelzine, tranylcypromine, linezolid
Mixed Agonist/Antagonist and Partial Agonist Opioid Analgesics
Clinical Impact: May reduce the analgesic effect of NUCYNTA tablets and/or precipitate withdrawal symptoms.
Intervention: Avoid concomitant use.
Examples: butorphanol, nalbuphine, pentazocine, buprenorphine
Muscle Relaxants
Clinical Impact: Tapentadol may enhance the neuromuscular blocking action of skeletal muscle relaxants and produce an increased degree of respiratory depression.
Intervention: Because respiratory depression may be greater than otherwise expected, decrease the dosage of NUCYNTA tablets and/or the muscle relaxant as necessary. Due to the risk of respiratory depression with concomitant use of skeletal muscle relaxants and opioids, consider recommending or prescribing an opioid overdose reversal agent [see Dosage and Administration (2.2), Warnings and Precautions (5.2, 5.3)]
Examples: cyclobenzaprine, metaxalone
Diuretics
Clinical Impact: Opioids can reduce the efficacy of diuretics by inducing the release of antidiuretic hormone.
Intervention: Evaluate patients for signs of diminished diuresis and/or effects on blood pressure and increase the dosage of the diuretic as needed.
Anticholinergic Drugs
Clinical Impact: The concomitant use of anticholinergic drugs may increase risk of urinary retention and/or severe constipation, which may lead to paralytic ileus.
Intervention: Evaluate patients for signs of urinary retention or reduced gastric motility when NUCYNTA tablets is used concomitantly with anticholinergic drugs.
Alcohol, Other Opioids, and Drugs of Abuse
Clinical Impact: Due to its mu-opioid agonist activity, NUCYNTA tablets may be expected to have additive effects when used in conjunction with alcohol, other opioids, or illicit drugs that cause central nervous system depression, respiratory depression, hypotension, and profound sedation, coma or death [see Warnings and Precautions (5.16)].
Intervention: Instruct patients not to consume alcoholic beverages or use prescription or non- prescription products containing alcohol, other opioids, or drugs of abuse while on NUCYNTA tablets therapy.
Examples: Alcohol, other opioids, illicit drugs
8.7 Renal Impairment

Use of NUCYNTA tablets in patients with severe renal impairment (creatinine clearance less than 30 mL/minute) is not recommended. No dosage adjustment is recommended in patients with mild or moderate renal impairment (creatinine clearance 30-90 mL/minute) [see Warnings and Precautions (5.18), Clinical Pharmacology (12.1)].

8.6 Hepatic Impairment

Administration of tapentadol resulted in higher exposures and serum levels of tapentadol in subjects with impaired hepatic function compared to subjects with normal hepatic function [see Clinical Pharmacology (12.3)]. Use of NUCYNTA tablets are not recommended in patients with severe hepatic impairment (Child-Pugh Score 10 to 15) [see Warnings and Precautions (5.17)]. The dose of NUCYNTA tablets should be reduced in patients with moderate hepatic impairment (Child-Pugh Score 7 to 9) [see Dosage and Administration (2.5)]. No dosage adjustment is recommended in patients with mild hepatic impairment (Child-Pugh Score 5 to 6) [see Warnings and Precautions (5.17), Clinical Pharmacology (12.3)].

1 Indications and Usage

NUCYNTA (tapentadol) tablets are indicated for the management of acute pain severe enough to require an opioid analgesic and for which alternative treatments are inadequate in adults and pediatric patients aged 6 years and older with a body weight of at least 40kg.

5.10 Severe Hypotension

NUCYNTA tablets may cause severe hypotension including orthostatic hypotension and syncope in ambulatory patients. There is increased risk in patients whose ability to maintain blood pressure has already been compromised by a reduced blood volume or concurrent administration of certain CNS depressant drugs (e.g., phenothiazines or general anesthetics) [see Drug Interactions (7)]. Regularly evaluate these patients for signs of hypotension after initiating or titrating the dosage of NUCYNTA tablets. In patients with circulatory shock, NUCYNTA tablets may cause vasodilation that can further reduce cardiac output and blood pressure. Avoid the use of NUCYNTA tablets in patients with circulatory shock.

12.1 Mechanism of Action

Tapentadol is a centrally-acting synthetic analgesic. The exact mechanism of action is unknown. Although the clinical relevance is unclear, preclinical studies have shown that tapentadol is a mu-opioid receptor (MOR) agonist and a norepinephrine reuptake inhibitor (NRI). Analgesia in animal models is derived from both of these properties.

9.1 Controlled Substance

NUCYNTA tablets contain tapentadol, a Schedule II controlled substance.

5.9 Adrenal Insufficiency

Cases of adrenal insufficiency have been reported with opioid use, more often following greater than one month of use. Presentation of adrenal insufficiency may include non-specific symptoms and signs including nausea, vomiting, anorexia, fatigue, weakness, dizziness, and low blood pressure. If adrenal insufficiency is suspected, confirm the diagnosis with diagnostic testing as soon as possible. If adrenal insufficiency is diagnosed, treat with physiologic replacement doses of corticosteroids. Wean the patient off of the opioid to allow adrenal function to recover and continue corticosteroid treatment until adrenal function recovers. Other opioids may be tried as some cases reported use of a different opioid without recurrence of adrenal insufficiency. The information available does not identify any particular opioids as being more likely to be associated with adrenal insufficiency.

5 Warnings and Precautions
  • Opioid-Induced Hyperalgesia and Allodynia: Opioid-Induced Hyperalgesia (OIH) occurs when an opioid analgesic paradoxically causes an increase in pain, or an increase in sensitivity to pain. If OIH is suspected, carefully consider appropriately decreasing the dose of the current opioid analgesic, or opioid rotation. (5.6)
  • Serotonin Syndrome with Concomitant Use of Serotonergic Drugs: Potentially life-threatening condition could result from concomitant serotonergic drug administration. Discontinue NUCYNTA tablets if serotonin syndrome is suspected. (5.7)
  • Life-Threatening Respiratory Depression in Patients with Chronic Pulmonary Disease or in Elderly, Cachectic, or Debilitated Patients: Regularly evaluate, particularly during initiation and titration. (5.8)
  • Adrenal Insufficiency: If diagnosed, treat with physiologic replacement of corticosteroids, and wean patient off of the opioid. (5.8)
  • Severe Hypotension: Regularly evaluate during dosage initiation and titration. Avoid use of NUCYNTA tablets in patients with circulatory shock. (5.10)
  • Risks of Use in Patients with Increased Intracranial Pressure, Brain Tumors, Head Injury, or Impaired Consciousness: Monitor for sedation and respiratory depression. Avoid use of NUCYNTA tablets in patients with impaired consciousness or coma. (5.11)
2 Dosage and Administration
  • NUCYNTA tablets should be prescribed only by healthcare professionals who are knowledgeable about the use of opioids and how to mitigate the associated risks. (2.1)
  • Use the lowest effective dosage for the shortest duration consistent with individual patient treatment goals. Reserve titration to higher doses of NUCYNTA tablets for patients in whom lower doses are insufficiently effective and in whom the expected benefits of using a higher dose opioid clearly outweigh the substantial risks. (2.1, 5)
  • Many acute pain conditions (e.g., the pain that occurs with a number of surgical procedures or acute musculoskeletal injuries) require no more than a few days of an opioid analgesic. Clinical guidelines on opioid prescribing for some acute pain conditions are available. (2.1)
  • Initiate the dosing regimen for each patient individually, taking into account the patient's underlying cause and severity of pain, prior analgesic treatment and response, and risk factors for addiction, abuse, and misuse. (2.1, 5.1)
  • Respiratory depression can occur at any time during opioid therapy, especially when initiating and following dosage increases with NUCYNTA tablets. Consider this risk when selecting an initial dose and when making dose adjustments. (2.1, 5.2)
  • NUCYNTA tablets can be taken with or without food (2.1).
  • Discuss opioid overdose reversal agents and options for acquiring them with the patient and/or caregiver, both when initiating andrenewing treatment with NUCYNTA tablets, especially if the patient has additional risk factors for overdose, or close contacts at risk for exposure and overdose. (2.2, 5.1, 5.2, 5.3)
  • Dosing in adults: See full prescribing information for detailed dosing instructions. (2.3)
  • Dosing in Pediatric Patients aged 6 years and older with a body weight of at least 40 kg and who are able to swallow tablets: See full prescribing information for detailed dosing instructions. (2.4)
  • Moderate Hepatic Impairment in Adult Patients: Initiate treatment with 50 mg no more than once every 8 hours (maximum of three doses in 24 hours). Regularly evaluate for respiratory and central nervous system depression. (2.4)
  • Periodically reassess patients receiving NUCYNTA tablets to evaluate the continued need for opioid analgesics to maintain pain control, for the signs or symptoms of adverse reactions, and for the development of addiction, abuse, or misuse. (2.6)
  • Do not rapidly reduce or abruptly discontinue NUCYNTA tablets in a physically dependent patient because rapid reduction or abrupt discontinuation of opioid analgesics has resulted in serious withdrawal symptoms, uncontrolled pain, and suicide. (2.6, 5.14)
3 Dosage Forms and Strengths

Tablets: 50 mg, 75 mg, 100 mg.

50 mg: round, biconvex and film-coated yellow tablets with "O-M" on one side and "50" on the other side.

75 mg: round, biconvex and film-coated yellow-orange tablets with "O-M" on one side and "75" on the other side.

100 mg: round, biconvex and film-coated orange tablets with "O-M" on one side and "100" on the other side.

6.2 Post Marketing Experience

The following additional adverse reactions have been identified during post approval use of tapentadol. Because these reactions are reported voluntarily from a population of uncertain size, it is not always possible to reliably estimate their frequency or establish a causal relationship to drug exposure.

Gastrointestinal disorders: diarrhea

Nervous system disorders: headache

Psychiatric disorders: hallucination, suicidal ideation, panic attack

Cardiac disorders: palpitations

Serotonin syndrome: Cases of serotonin syndrome, a potentially life-threatening condition, have been reported during concomitant use of opioids with serotonergic drugs.

Adrenal insufficiency: Cases of adrenal insufficiency have been reported with opioid use, more often following greater than one month of use.

Anaphylaxis: Anaphylaxis has been reported with ingredients contained in NUCYNTA tablets.

Androgen deficiency: Cases of androgen deficiency have occurred with chronic use of opioids for an extended period of time [see Clinical Pharmacology (12.2)].

Hyperalgesia and Allodynia: Cases of hyperalgesia and allodynia have been reported with opioid therapy of any duration [see Warnings and Precautions (5.5)]

Hypoglycemia: Cases of hypoglycemia have been reported in patients taking opioids. Most reports were in patients with at least one predisposing risk factor (e.g., diabetes).

Opioid-induced esophageal dysfunction (OIED): Cases of OIED have been reported in patients taking opioids and may occur more frequently in patients taking higher doses of opioidsopioid, and/or in patients taking opioids longer term [see Warnings and Precautions (5.12) ].

8 Use in Specific Populations
  • Pregnancy: May cause fetal harm. (8.1)
  • Lactation: Closely monitor infants of nursing women receiving NUCYNTA tablets. (8.2)
  • Severe Renal or Hepatic Impairment: Not recommended. (8.6, 8.7)
  • Pediatric Patients with Hepatic or Renal Impairment: Use not recommended. (2.4, 8.4)
5.1 Addiction, Abuse, and Misuse

NUCYNTA tablets contain tapentadol, a Schedule II controlled substance. As an opioid, NUCYNTA tablets exposes users to the risks of addiction, abuse, and misuse [see Drug Abuse and Dependence (9)].

Although the risk of addiction in any individual is unknown, it can occur in patients appropriately prescribed NUCYNTA tablets. Addiction can occur at recommended dosages and if the drug is misused or abused. The risk of opioid-related overdose or overdose-related death is increased with higher opioid doses, and this risk persists over the course of therapy. In postmarketing studies, addiction, abuse, misuse, and fatal and non-fatal opioid overdose were observed in patients with long-term opioid use [see Adverse Reactions (6.2) ].

Assess each patient's risk for opioid addiction, abuse, or misuse prior to prescribing NUCYNTA tablets and reassess all patients receiving NUCYNTA tablets for the development of these behaviors and conditions. Risks are increased in patients with a personal or family history of substance abuse (including drug or alcohol abuse or addiction) or mental illness (e.g., major depression). The potential for these risks should not, however, prevent the proper management of pain in any given patient. Patients at increased risk may be prescribed opioids such as NUCYNTA tablets but use in such patients necessitates intensive counseling about the risks and proper use of NUCYNTA tablets along with frequent reevaluation for signs of addiction, abuse, and misuse. Consider recommending or prescribingan opioid overdose reversal agent[see Dosage and Administration (2.2), Warnings and Precautions (5.2)].

Opioids are sought for nonmedical use and are subject to diversion from legitimate prescribed use. Consider these risks when prescribing or dispensing NUCYNTA tablets. Strategies to reduce these risks include prescribing the drug in the smallest appropriate quantity and advising the patient on careful storage of the drug during the course of treatment and on the proper disposal of unused drug. Contact local state professional licensing board or state-controlled substances authority for information on how to prevent and detect abuse or diversion of this product.

17 Patient Counseling Information

Advise the patient to read the FDA-approved patient labeling (Medication Guide).

16 How Supplied/storage and Handling

NUCYNTA Tablets are available in the following strengths and packages. All tablets are round and biconvex-shaped.

50 mg tablets are yellow and debossed with "O-M" on one side and "50" on the other side, and are available in bottles of 100 (NDC 24510-050-10) and hospital unit dose blister packs of 10 (NDC 24510-050-01).

75 mg tablets are yellow-orange and debossed with "O-M" on one side and "75" on the other side, and are available in bottles of 100 (NDC 24510-075-10) and hospital unit dose blister packs of 10 (NDC 24510-075-01).

100 mg tablets are orange and debossed with "O-M" on one side and "100" on the other side, and are available in bottles of 100 (NDC 24510-100-10) and hospital unit dose blister packs of 10 (NDC 24510-100-01).

14.1 Clinical Studies in Adult Patients

The efficacy and safety of NUCYNTA tablets in the treatment of acute pain has been established in two randomized, double-blind, placebo- and active-controlled studies of moderate to severe pain from first metatarsal bunionectomy and end-stage degenerative joint disease.

5.4 Neonatal Opioid Withdrawal Syndrome

Use of NUCYNTA tablets for an extended period of time during pregnancy can result in withdrawal in the neonate. Neonatal opioid withdrawal syndrome, unlike opioid withdrawal syndrome in adults, may be life-threatening if not recognized and treated, and requiresmanagement according to protocols developed by neonatology experts. Observe newborns for signs of neonatal opioid withdrawal syndrome and manage accordingly. Advise pregnant women using opioids for an extended period of time of the risk of neonatal opioid withdrawal syndrome and ensure that appropriate treatment will be available [see Use in Specific Populations (8.1)].

2.6 Titration and Maintenance of Therapy

Individually titrate NUCYNTA tablets to a dose that provides adequate analgesia and minimizes adverse reactions. Continually reevaluate patients receiving NUCYNTA tablets to assess the maintenance of pain control, signs and symptoms of opioid withdrawal, and other adverse reactions, as well as reassess for the development of addiction, abuse, or misuse [see Warnings and Precautions (5.1, 5.14)]. Frequent communication is important among the prescriber, other members of the healthcare team, the patient, and the caregiver/family during periods of changing analgesic requirements, including initial titration.

If the level of pain increases after dosage stabilization, attempt to identify the source of increased pain before increasing the NUCYNTA tablets dosage. If after increase the dosage, unacceptable opioid-related adverse reactions are observed (including an increase in pain after a dosage increase), consider reducing the dosage. Adjust the dosage to obtain an appropriate balance between management of pain and opioid-related adverse reactions.

14.2 Clinical Study in Pediatric Patients

The efficacy and safety of NUCYNTA (tapentadol) tablets for the management of acute pain severe enough to require an opioid analgesic and for which alternative treatments are inadequate in pediatric patients who are 6 years and older and weigh at least 40 kg have been established based on one randomized, double-blind, placebo-controlled, multiple-dose study of NUCYNTA (tapentadol) oral solution in pediatric patients ages birth to 17 years who had undergone surgery that would reliably produce moderate to severe acute post-operative pain.

Patients who had undergone surgery that would reliably produce moderate to severe acute pain requiring opioid treatment via nurse-controlled analgesia (NCA) or patient-controlled analgesia (PCA), had received postoperative morphine or hydromorphone by NCA or PCA, and were able to tolerate liquids were randomized to either NUCYNTA (tapentadol) oral solution or placebo (2:1 allocation). Patients from 6 months to 17 years of age were administered NUCYNTA (tapentadol) oral solution 1.25 mg/kg body weight (maximum single dose 100 mg) or the same volume of placebo every four hours for the first 24 hours with dose reduction to 1.0 mg/kg body weight after 24 hours if there was a reduced need for analgesia at the investigator's discretion.

The study was statistically powered to evaluate the efficacy of NUCYNTA (tapentadol) oral solution across the pediatric age range from 2 to 17 years of age. Efficacy was evaluated by comparing the total amount of supplemental opioid analgesic medication (morphine equivalents in mg/kg body weight) used within 12 hours and 24 hours following initiation of study drug between the NUCYNTA (tapentadol) oral solution and placebo groups. Overall, statistically significantly more supplemental opioid analgesic medication was used in the placebo group than in the NUCYNTA (tapentadol) oral solution group during the first 12 and 24 hours after first dose of study drug. However, a descriptive analysis of supplemental opioid analgesic medication used by age subgroup demonstrated lack of efficacy of NUCYNTA (tapentadol) oral solution in pediatric patients 2 to less than 6 years of age [see Pediatric Use (8.4)].

The descriptive analysis of supplemental opioid analgesic medication use showed the following results (see Table 4):

  • Numerically more supplemental opioid analgesic medication used in the placebo group than in the NUCYNTA (tapentadol) oral solution group at 12 hours and 24 hours for both the 6 to less than 12 years age group and the 12 to less than 18 years age group indicating that NUCYNTA (tapentadol) oral solution is effective in pediatric patients 6 years of age and older.
  • No numerical difference in supplemental opioid analgesic medication used between the NUCYNTA (tapentadol) oral solution and placebo groups at 12 hours and numerically more supplemental opioid analgesic medication used in the NUCYNTA (tapentadol) oral solution group than in the placebo group at 24 hours for the 2 to less than 6 years age group indicating that NUCYNTA (tapentadol) oral solution is not effective in pediatric patients less than 6 years of age.

NUCYNTA (tapentadol) tablets are not approved for use in pediatric patients less than 6 years of age or who weigh less than 40 kg [see Pediatric Use (8.4)].

The efficacy and safety of NUCYNTA (tapentadol) tablets at doses higher than 1.25 mg/kg body weight (maximum single dose of 100 mg) have not been studied; therefore, the use of NUCYNTA (tapentadol) tablets at doses higher than 1.25 mg/kg body weight is not recommended [see Dosage and Administration (2.4)].

Table 4. Descriptive Analysis of the Amount of Supplemental Opioid Analgesic Medication Used Within the First 12 and 24 Hours by Age Subgroup in Pediatric Patients from 2 to Less Than 18 Years of Age
Placebo NUCYNTA (tapentadol) oral solution Difference (95% CI)
n LS Mean n LS Mean
12 hours
Overall

(2 to <18 years)
52 0.129 108 0.082 -0.047 (-0.091, -0.002)
p-value = 0.0404;
12 to <18 years 25 0.212 53 0.142 -0.070 (-0.155, 0.014)
6 to < 12 years 15 0.111 32 0.064 -0.047 (-0.105, 0.012)
2 to < 6 years 12 0.044 23 0.046 0.002 (-0.038, 0.042)
24 hours
Overall

(2 to <18 years)
52 0.237 108 0.139 -0.097 (-0.176, -0.019)
p-value = 0.0154
12 to <18 years 25 0.406 53 0.239 -0.167 (-0.311, -0.022)
6 to < 12 years 15 0.196 32 0.122 -0.074 (-0.185, 0.037)
2 to < 6 years 12 0.066 23 0.082 0.016 (-0.049, 0.080)
13.2 Animal Toxicology And/or Pharmacology

In toxicological studies with tapentadol, the most common systemic effects of tapentadol were related to the mu-opioid receptor agonist and norepinephrine reuptake inhibition pharmacodynamic properties of the compound. Transient, dose-dependent and predominantly CNS-related findings were observed, including impaired respiratory function and convulsions, the latter occurring in the dog at plasma levels (Cmax) which are in the range associated with the maximum recommended human dose (MRHD).

5.2 Life Threatening Respiratory Depression

Serious, life-threatening, or fatal respiratory depression has been reported with the use of opioids, even when used as recommended. Respiratory depression, if not immediately recognized and treated, may lead to respiratory arrest and death. Management of respiratory depression may include close observation, supportive measures, and use of opioid overdose reversal agents, depending on the patient's clinical status [see Overdosage (10)]. Carbon dioxide (CO2) retention from opioid-induced respiratory depression can exacerbate the sedating effects of opioids.

While serious, life-threatening, or fatal respiratory depression can occur at any time during the use of NUCYNTA tablets, the risk is greatest during the initiation of therapy or following a dosage increase.

To reduce the risk of respiratory depression, proper dosing and titration of NUCYNTA tablets are essential [see Dosage and Administration (2.3)]. Overestimating the NUCYNTA tablets dosage when converting patients from another opioid product can result in a fatal overdose with the first dose.

Accidental ingestion of even one dose of NUCYNTA tablets, especially by children, can result in respiratory depression and death due to an overdose of tapentadol.

Educate patients and caregivers on how to recognize respiratory depression and emphasize the importance of calling 911 or getting emergency medical help right away in the event of a known or suspected overdose.

Opioids can cause sleep-related breathing disorders including central sleep apnea (CSA) and sleep-related hypoxemia. Opioid use increases the risk of CSA in a dose-dependent fashion. In patients who present with CSA, consider decreasing the opioid dosage using best practices for opioid taper [see Dosage and Administration (2.6)].

5.12 Risks of Gastrointestinal Complications

NUCYNTA tablets are contraindicated in patients with known or suspected gastrointestinal obstruction, including paralytic ileus.

The tapentadol in NUCYNTA tablets may cause spasm of the sphincter of Oddi. Opioids may cause increases in serum amylase. Regularly evaluate patients with biliary tract disease, including acute pancreatitis for worsening symptoms.

Cases of opioid-induced esophageal dysfunction (OIED) have been reported in patients taking opioids. The risk of OIED may increase as the dose and/or duration of opioids increases.

Regularly evaluate patients for signs and symptoms of OIED (e.g., dysphagia, regurgitation, non-cardiac chest pain) and, if necessary, adjust opioid therapy as clinically appropriate [see Clinical Pharmacology (12.2)].

5.15 Risks of Driving and Operating Machinery

NUCYNTA tablets may impair the mental or physical abilities needed to perform potentially hazardous activities such as driving a car or operating machinery. Warn patients not to drive or operate dangerous machinery unless they are tolerant to the effects of NUCYNTA tablets and know how they will react to the medication.

5.6 Opioid Induced Hyperalgesia and Allodynia

Opioid-Induced Hyperalgesia (OIH) occurs when an opioid analgesic paradoxically causes an increase in pain, or an increase in sensitivity to pain. This condition differs from tolerance, which is the need for increasing doses of opioids to maintain a defined effect [see Dependence (9.3)]. Symptoms of OIH include (but may not be limited to) increased levels of pain upon opioid dosage increase, decreased levels of pain upon opioid dosage decrease, or pain from ordinarily non-painful stimuli (allodynia). These symptoms may suggest OIH only if there is no evidence of underlying disease progression, opioid tolerance, opioid withdrawal, or addictive behavior.

Cases of OIH have been reported, both with short-term and longer-term use of opioid analgesics. Though the mechanism of OIH is not fully understood, multiple biochemical pathways have been implicated. Medical literature suggests a strong biologic plausibility between opioid analgesics and OIH and allodynia. If a patient is suspected to be experiencing OIH, carefully consider appropriately decreasing the dose of the current opioid analgesic or opioid rotation (safely switching the patient to a different opioid moiety) [see Dosage and Administration (2.7); Warnings and Precautions (5.13)].

Principal Display Panel 50 Mg Tablet Bottle Label

NDC 24510-050-10

100 Tablets

NUCYNTA®

(tapentadol) Tablets

50 mg

CII

Each tablet contains:

tapentadol 50 mg

Caution: Federal law prohibits the transfer

of this drug to any person other than the patient

for whom it was prescribed.

Dispense the accompanying Medication Guide

to each patient.

Rev Dec 2018

NUC-003-C.4

Principal Display Panel 75 Mg Tablet Bottle Label

NDC 24510-075-10

100 Tablets

NUCYNTA®

(tapentadol) Tablets

75 mg

CII

Each tablet contains:

tapentadol 75 mg

Caution: Federal law prohibits the transfer

of this drug to any person other than the patient

for whom it was prescribed.

Dispense the accompanying Medication Guide

to each patient.

Rev Dec 2018

NUC-006-C.4

2.1 Important Dosage and Administration Instructions
  • NUCYNTA tablets should be prescribed only by healthcare professionals who are knowledgeable about the use of opioids and how to mitigate the associated risks.
  • Use the lowest effective dosage for the shortest duration of time consistent with individual patient treatment goals [see Warnings and Precautions (5)]. Because the risk of overdose increases as opioid doses increase, reserve titration to higher doses of NUCYNTA tablets for patients in whom lower doses are insufficiently effective and in whom the expected benefits of using a higher dose opioid clearly outweigh the substantial risks.
  • Many acute pain conditions (e.g., the pain that occurs with a number of surgical procedures or acute musculoskeletal injuries) require no more than a few days of an opioid analgesic. Clinical guidelines on opioid prescribing for some acute pain conditions are available.
  • There is variability in the opioid analgesic dose and duration needed to adequately manage pain due both to the cause of pain and to individual patient factors. Initiate the dosing regimen for each patient individually, taking into account the patient's underlying cause and severity of pain, prior analgesic treatment and response, and risk factors for addiction, abuse, and misuse [see Warnings and Precautions (5.1)].
  • Respiratory depression can occur at any time during opioid therapy, especially when initiating and following dosage increases with NUCYNTA tablets. Consider this risk when selecting an initial dose and when making dose adjustments [see Warnings and Precautions (5)].
  • NUCYNTA tablets can be taken with or without food [see Clinical Pharmacology (12.3)].
Principal Display Panel 100 Mg Tablet Bottle Label

NDC 24510-100-10

100 Tablets

NUCYNTA®

(tapentadol) Tablets

100 mg

CII

Each tablet contains:

tapentadol 100 mg

Caution: Federal law prohibits the transfer

of this drug to any person other than the patient

for whom it was prescribed.

Dispense the accompanying Medication Guide

to each patient.

Rev Dec 2018

NUC-009-C.4

5.18 Risk of Toxicity in Patients With Renal Impairment

Use of NUCYNTA tablets in patients with severe renal impairment is not recommended due to accumulation of a metabolite formed by glucuronidation of tapentadol. The clinical relevance of the elevated metabolite is not known [see Clinical Pharmacology (12.3)].

2.7 Safe Reduction Or Discontinuation of Nucynta Tablets

Do not rapidly reduce or abruptly discontinue NUCYNTA tablets in patients who may be physically dependent on opioids. Rapid reduction or abrupt discontinuation of opioid analgesics in patients who are physically dependent on opioids has resulted in serious withdrawal symptoms, uncontrolled pain, and suicide. Rapid reduction or abrupt discontinuation has also been associated with attempts to find other sources of opioid analgesics, which may be confused with drug-seeking for abuse. Patients may also attempt to treat their pain or withdrawal symptoms with illicit opioids, such as heroin, and other substances.

When a decision has been made to decrease the dose or discontinue therapy in an opioid-dependent patient taking NUCYNTA tablets, there are a variety of factors that should be considered, including the total daily dose of opioid (including NUCYNTA tablets) the patient has been taking, the duration of treatment, the type of pain being treated, and the physical and psychological attributes of the patient. It is important to ensure ongoing care of the patient and to agree on an appropriate tapering schedule and follow-up plan so that patient and provider goals and expectations are clear and realistic. When opioid analgesics are being discontinued due to a suspected substance use disorder, evaluate and treat the patient, or refer for evaluation and treatment of the substance use disorder. Treatment should include evidence-based approaches, such as medication assisted treatment of opioid use disorder. Complex patients with co-morbid pain and substance use disorders may benefit from referral to a specialist.

There are no standard opioid tapering schedules that are suitable for all patients. Good clinical practice dictates a patient-specific plan to taper the dose of the opioid gradually. For patients on NUCYNTA tablets who are physically opioid-dependent, initiate the taper by a small enough increment (e.g., no greater than 10% to 25% of the total daily dose) to avoid withdrawal symptoms, and proceed with dose-lowering at an interval of every 2 to 4 weeks. Patients who have been taking opioids for briefer periods of time may tolerate a more rapid taper.

It may be necessary to provide the patient with lower dosage strengths to accomplish a successful taper. Reassess the patient frequently to manage pain and withdrawal symptoms, should they emerge. Common withdrawal symptoms include restlessness, lacrimation, rhinorrhea, yawning, perspiration, chills, myalgia, and mydriasis. Other signs and symptoms also may develop, including irritability, anxiety, backache, joint pain, weakness, abdominal cramps, insomnia, nausea, anorexia, vomiting, diarrhea, or increased blood pressure, respiratory rate, or heart rate. If withdrawal symptoms arise, it may be necessary to pause the taper for a period of time or raise the dose of the opioid analgesic to the previous dose, and then proceed with a slower taper. In addition, evaluate patients for any changes in mood, emergence of suicidal thoughts, or use of other substances.

When managing patients taking opioid analgesics, particularly those who have been treated for an extended period of time and/or with high doses for chronic pain, ensure that a multimodal approach to pain management, including mental health support (if needed), is in place prior to initiating an opioid analgesic taper. A multimodal approach to pain management may optimize the treatment of chronic pain, as well as assist with the successful tapering of the opioid analgesic [see Warnings and Precautions (5.14), Drug Abuse and Dependence (9.3)].

5.17 Risk of Toxicity in Patients With Hepatic Impairment

A study with NUCYNTA tablets in subjects with hepatic impairment showed higher serum concentrations of tapentadol than in those with normal hepatic function. Avoid use of NUCYNTA tablets in patients with severe hepatic impairment. Reduce the dose of NUCYNTA tablets in patients with moderate hepatic impairment [see Dosage and Administration (2.4) and Clinical Pharmacology (12.3)]. Regularly evaluate patients with moderate hepatic impairment for respiratory and central nervous system depression when receiving NUCYNTA tablets.

5.16 Interactions With Alcohol, Other Opioids, and Drugs of Abuse

Due to its mu-opioid agonist activity, NUCYNTA tablets may be expected to have additive effects when used in conjunction with alcohol, other opioids, or illicit drugs that cause central nervous system depression, respiratory depression, hypotension, and profound sedation, coma or death [see Drug Interactions (7)]. Instruct patients not to consume alcoholic beverages or use prescription or non-prescription products containing alcohol, other opioids, or drugs of abuse while on NUCYNTA tablets therapy [see Drug Interactions (7)].

5.7 Serotonin Syndrome With Concomitant Use of Serotonergic Drugs

Cases of serotonin syndrome, a potentially life-threatening condition, have been reported during concomitant use of tapentadol with serotonergic drugs. Serotonergic drugs include selective serotonin reuptake inhibitors (SSRIs), serotonin and norepinephrine reuptake inhibitors (SNRIs), tricyclic antidepressants (TCAs), triptans, 5-HT3 receptor antagonists, drugs that affect the serotonergic neurotransmitter system (e.g., mirtazapine, trazodone, tramadol), certain muscle relaxants (i.e., cyclobenzaprine, metaxalone), and drugs that impair metabolism of serotonin (including monoamine oxidase inhibitors, both those intended to treat psychiatric disorders and also others, such as linezolid and intravenous methylene blue) [see Drug Interactions (7)]. This may occur within the recommended dosage range.

Serotonin syndrome symptoms may include mental-status changes (e.g., agitation, hallucinations, coma), autonomic instability (e.g., tachycardia, labile blood pressure, hyperthermia), neuromuscular aberrations (e.g., hyperreflexia, incoordination) and/or gastrointestinal symptoms (e.g., nausea, vomiting, diarrhea) and can be fatal. The onset of symptoms generally occurs within several hours to a few days of concomitant use but may occur later than that. Discontinue NUCYNTA tablets if serotonin syndrome is suspected.

2.5 Dosage Modifications in Adult Patients With Hepatic Impairment

The safety and efficacy of NUCYNTA tablets have not been studied in patients with severe hepatic impairment (Child-Pugh Score 10-15) and use in this population is not recommended [see Warnings and Precautions (5.17)].

Initiate treatment of patients with moderate hepatic impairment (Child-Pugh Score 7 to 9) with 50 mg no more frequently than once every 8 hours (maximum of three doses in 24 hours).

Further treatment should reflect maintenance of analgesia with acceptable tolerability, to be achieved by either shortening or lengthening the dosing interval. Regularly evaluate patients for respiratory and central nervous system depression [see Clinical Pharmacology (12.3)].

No dosage adjustment is recommended in patients with mild hepatic impairment (Child-Pugh Score 5 to 6) [see Clinical Pharmacology (12.3)].

5.13 Increased Risk of Seizures in Patients With Seizure Disorders

The tapentadol in NUCYNTA tablets may increase the frequency of seizures in patients with seizure disorders, and may increase the risk of seizures occurring in other clinical settings associated with seizures. Regularly evaluate patients with a history of seizure disorders for worsened seizure control during NUCYNTA tablets therapy.

5.5 Opioid Analgesic Risk Evaluation and Mitigation Strategy (rems)

To ensure that the benefits of opioid analgesics outweigh the risks of addiction, abuse, and misuse, the Food and Drug Administration (FDA) has required a Risk Evaluation and Mitigation Strategy (REMS) for these products. Under the requirements of the REMS, drug companies with approved opioid analgesic products must make REMS-compliant education programs available to healthcare providers. Healthcare providers are strongly encouraged to do all of the following:

  • Complete a REMS-compliant education program offered by an accredited provider of continuing education (CE) or another education program that includes all the elements of the FDA Education Blueprint for Health Care Providers Involved in the Management or Support of Patients with Pain.
  • Discuss the safe use, serious risks, and proper storage and disposal of opioid analgesics with patients and/or their caregivers every time these medicines are prescribed. The Patient Counseling Guide (PCG) can be obtained at this link: www.fda.gov/OpioidAnalgesicREMSPCG.
  • Emphasize to patients and their caregivers the importance of reading the Medication Guide that they will receive from their pharmacist every time an opioid analgesic is dispensed to them.
  • Consider using other tools to improve patient, household, and community safety, such as patient-prescriber agreements that reinforce patient-prescriber responsibilities.

To obtain further information on the opioid analgesic REMS and for a list of accredited REMS CME/CE, call 1-800-503-0784, or log on to www.opioidanalgesicrems.com. The FDA Blueprint can be found at www.fda.gov/OpioidAnalgesicREMSBlueprint.

Warning: Serious and Life Threatening Risks From Use of Nucynta Tablets

WARNING: SERIOUS AND LIFE-THREATENING RISKS FROM USE OF NUCYNTA TABLETS

See full prescribing information for complete boxed warning.

  • NUCYNTA tablets expose users to risks of addiction, abuse, and misuse, which can lead to overdose and death. Assess patient's risk before prescribing and reassess regularly for these behaviors and conditions. (5.1)
  • Serious, life-threatening, or fatal respiratory depression may occur, especially upon initiation or following a dosage increase. To reduce the risk of respiratory depression, proper dosing and titration of NUCYNTA tablets are essential. (5.2)
  • Concomitant use of opioids with benzodiazepines or other central nervous system (CNS) depressants, including alcohol, may result in profound sedation, respiratory depression, coma, and death. Reserve concomitant prescribing for use in patients for whom alternative treatment options are inadequate. (5.3, 7 )
  • Accidental ingestion of NUCYNTA tablets, especially by children, can result in a fatal overdose of tapentadol. (5.2)
  • Advise pregnant women using opioids for an extended period of time of the risk of Neonatal Opioid Withdrawal Syndrome, which may be life-threatening if not recognized and treated. Ensure that management by neonatology experts will be available at delivery. (5.4)
  • Healthcare providers are strongly encouraged to complete a REMS-compliant education program and to counsel patients and caregivers on serious risks, safe use, and the importance of reading the Medication Guide with each prescription. (5.5)
5.3 Risks From Concomitant Use With Benzodiazepines Or Other Cns Depressants

Profound sedation, respiratory depression, coma, and death may result from the concomitant use of NUCYNTA tablets with benzodiazepines and/or other CNS depressants, including alcohol (e.g., non-benzodiazepine sedatives/hypnotics, anxiolytics, tranquilizers, muscle relaxants, general anesthetics, antipsychotics, gabapentinoids [gabapentin or pregabalin], and other opioids). Because of these risks, reserve concomitant prescribing of these drugs for use in patients for whom alternative treatment options are inadequate.

Observational studies have demonstrated that concomitant use of opioid analgesics and benzodiazepines increases the risk of drug-related mortality compared to use of opioid analgesics alone. Because of similar pharmacological properties, it is reasonable to expect similar risk with the concomitant use of other CNS depressant drugs with opioid analgesics [see Drug Interactions (7)].

If the decision is made to prescribe a benzodiazepine or other CNS depressant concomitantly with an opioid analgesic, prescribe the lowest effective dosages and minimum durations of concomitant use. In patients already receiving an opioid analgesic, prescribe a lower initial dose of the benzodiazepine or other CNS depressant than indicated in the absence of an opioid, and titrate based on clinical response. If an opioid analgesic is initiated in a patient already taking a benzodiazepine or other CNS depressant, prescribe a lower initial dose of the opioid analgesic, and titrate based on clinical response. Inform patients and caregivers of this potential interaction and educate them on the signs and symptoms of respiratory depression (including sedation).

If concomitant use is warranted, consider recommending or prescribing an opioid overdose reveral agent [see Dosage and Administration (2.2), Warnings and Precautions (5.2), Overdosage (10)].

Advise both patients and caregivers about the risks of respiratory depression and sedation when NUCYNTA tablets are used with benzodiazepines or other CNS depressants (including alcohol and illicit drugs). Advise patients not to drive or operate heavy machinery until the effects of concomitant use of the benzodiazepine or other CNS depressant have been determined. Screen patients for risk of substance use disorders, including opioid abuse and misuse, and warn them of the risk for overdose and death associated with the use of additional CNS depressants including alcohol and illicit drugs [see Drug Interactions (7)].

2.2 Patient Access to An Opioid Overdose Reversal Agentagent for the Emergency Treatment of Opioid Overdose

Inform patients and caregivers about opioid overdose reversal agents (e.g., naloxone, nalmefene). Discuss the importance of having access to an opioid overdose reversal agent, especially if the patient has risk factors for overdose (e.g., concomitant use of CNS depressants, a history of opioid use disorder, or prior opioid overdose) or if there are household members (including children) or other close contacts at risk for accidental ingestion or opioid overdose. The presence of risk factors for overdose should not prevent the management of pain in any patient [see Warnings and Precautions (5.1, 5.2, 5.3)].

Discuss the options for obtaining an opioid overdose reversal agent (e.g., prescription, over-the-counter, or as part of a community-based program) [see Warnings and Precautions (5.3)].

There are important differences among the opioid overdose reversal agents, such as route of administration, product strength, approved patient age range, and pharmacokinetics. Be familiar with these differences, as outlined in the approved labeling for those products, prior to recommending or prescribing such an agent.

5.11 Risks of Use in Patients With Increased Intracranial Pressure, Brain Tumors, Head Injury, Or Impaired Consciousness

In patients who may be susceptible to the intracranial effects of CO2 retention (e.g., those with evidence of increased intracranial pressure or brain tumors), NUCYNTA tablets may reduce respiratory drive, and the resultant CO2 retention can further increase intracranial pressure.

Monitor such patients for signs of sedation and respiratory depression, particularly when initiating therapy with NUCYNTA tablets.

Opioids may also obscure the clinical course in a patient with a head injury. Avoid the use of NUCYNTA tablets in patients with impaired consciousness or coma.

5.8 Life Threatening Respiratory Depression in Patients With Chronic Pulmonary Disease Or in Elderly, Cachectic, Or Debilitated Patients

The use of NUCYNTA tablets in patients with acute or severe bronchial asthma in an unmonitored setting or in the absence of resuscitative equipment is contraindicated.


Structured Label Content

Section 42229-5 (42229-5)

Addiction, Abuse, and Misuse

Because the use of NUCYNTA tablets exposes patients and other users to the risks of opioid addiction, abuse, and misuse, which can lead to overdose and death, assess each patient's risk prior to prescribing and reassess all patients regularly for the development of these behaviors and conditions [see Warnings and Precautions (5.1)].

Section 42231-1 (42231-1)
Medication Guide

NUCYNTA (new-SINN-tah)

(tapentadol) tablets , CII
This Medication Guide has been approved by the U.S. Food and Drug Administration NUC-022-C.6 Issued: 12/2025
NUCYNTA tablets are:
  • A strong prescription pain medicine that contains an opioid (narcotic) that is used to manage short term (acute) pain in adults and children 6 years of age and older who weigh at least 88 pounds (40 kg), when other pain treatments such as non-opioid pain medicines do not treat your pain well enough or you cannot tolerate them.
  • An opioid pain medicine that can put you at risk for overdose and death. Even if you take your dose correctly as prescribed you are at risk for opioid addiction, abuse, and misuse that can lead to death.
Important information about NUCYNTA tablets:
  • Get emergency help or call 911 right away if you take too much NUCYNTA (overdose) tablets. When you first start taking NUCYNTA tablets, when your dose is changed, or if you take too much (overdose), serious or life- threatening breathing problems that can lead to death may occur. Ask your healthcare provider about medicines like naloxone or nalmefene that can be used in an emergency to reverse an opioid overdose.
  • Taking NUCYNTA tablets with other opioid medicines, benzodiazepines, gabapentinoids (gabapentin or pregabalin), alcohol, or other central nervous system depressants (including street drugs) can cause severe drowsiness, decreased awareness, breathing problems, coma, and death.
  • Never give anyone else your NUCYNTA tablets. They could die from taking it. Selling or giving away NUCYNTA tablets is against the law.
  • Store NUCYNTA tablets securely, out of sight and reach of children, and in a location not accessible by others, including visitors to the home.
Do not take NUCYNTA tablets if you have:
  • severe asthma, trouble breathing, or other lung problems.
  • a bowel blockage or have narrowing of the stomach or intestines.
Before taking NUCYNTA tablets, tell your healthcare provider if you have a history of:
  • head injury, seizures
  • problems urinating
  • liver, kidney, thyroid problems
  • pancreas or gallbladder problems
  • abuse of street or prescription drugs, alcohol addiction, opioid overdose or mental health problems.
Tell your healthcare provider if you are:
  • noticing your pain getting worse. If your pain gets worse after you take NUCYNTA tablets, do not take more NUCYNTA tablets without first talking to your healthcare provider. Tell your healthcare provider if the pain that you have increases, if you feel more sensitive to pain, or if you have new pain after taking NUCYNTA tablets.
  • pregnant or planning to become pregnant. Prolonged use of NUCYNTA tablets during pregnancy can cause withdrawal symptoms in your newborn baby that could be life-threatening if not recognized and treated.
  • breastfeeding. NUCYNTA tablets pass into breast milk and may harm your baby. Carefully observe infants for increased sleepiness (more than usual), breathing difficulties, or limpness. Seek immediate medical care if you notice these signs.
  • living in a household where there are small children or someone who has abused street or prescription drugs.
  • taking prescription or over-the-counter medicines, vitamins, or herbal supplements. Taking NUCYNTA tablets with certain other medicines can cause serious side effects that could lead to death.
When taking NUCYNTA tablets:
  • Do not change your dose. Take NUCYNTA tablets exactly as prescribed by your healthcare provider. Use the lowest dose possible for the shortest time needed.
  • For acute (short-term) pain, you may only need to take NUCYNTA tablets for a few days. You may have some NUCYNTA tablets left over that you did not use. See disposal information at the bottom of this section for directions on how to safely throw away (dispose of) your unused NUCYNTA tablets.
  • Take your prescribed dose every 4-6 hours as needed for pain, at the same time every day. Do not take more than your prescribed dose. If you miss a dose, take your next dose at your usual time.
  • Call your healthcare provider if the dose you are taking does not control your pain.
  • If you have been taking NUCYNTA tablets regularly, do not stop taking NUCYNTA tablets without talking to your healthcare provider.
  • Dispose of expired, unwanted, or unused NUCYNTA Tablets by promptly flushing down the toilet, if a drug take-back option is not readily available. Visit www.fda.gov/drugdisposal for additional information on disposal of unused medicines.
While taking NUCYNTA tablets DO NOT:
  • Drive or operate heavy machinery, until you know how NUCYNTA tablets affect you. NUCYNTA tablets can make you sleepy, dizzy, or lightheaded.
  • Drink alcohol or use prescription or over-the-counter medicines that contain alcohol. Using products containing alcohol during treatment with NUCYNTA tablets may cause you to overdose and die.
The possible side effects of NUCYNTA tablets:
  • constipation, nausea, sleepiness, vomiting, tiredness, headache, dizziness, abdominal pain. Call your healthcare provider if you have any of these symptoms and they are severe.
Get emergency medical help or call 911 right away if you have:
  • trouble breathing, shortness of breath, fast heartbeat, chest pain, swelling of your face, tongue, or throat, extreme drowsiness, light-headedness when changing positions, feeling faint, agitation, high body temperature, trouble walking, stiff muscles, or mental changes such as confusion.
These are not all the possible side effects of NUCYNTA tablets. Call your healthcare provider for medical advice about side effects. You may report side effects to FDA at 1-800-FDA-1088. For more information go to dailymed.nlm.nih.gov

Distributed by: Collegium Pharmaceutical, Inc., 100 Technology Center Drive Suite 300, Stoughton, MA, 02072, www.collegiumpharma.com or call 1-855-331-5615.
Section 43683-2 (43683-2)
Boxed Warning 12/2025
Indications and Usage (1) 12/2025
Dosage and Administration (2.2, 2.7) 12/2025
Warnings and Precautions (5.1, 5.2, 5.3, 5.12, 5.14) 12/2025
Section 44425-7 (44425-7)

Storage and Handling

Store at 20°C-25°C (68°F-77°F); excursions permitted to 15° - 30°C (59° - 86°F) [see USP Controlled Room Temperature]. Protect from moisture.

Keep NUCYNTA tablets in a secure place out of reach of children.

NUCYNTA tablets that are no longer needed should be destroyed by flushing down the toilet.

Store NUCYNTA Tablets securely and dispose of properly [see Patient Counseling Information (17)].

9.2 Abuse (9.2 ABUSE)

NUCYNTA tablets contain tapentadol, a substance with high potential for misuse and abuse, which can lead to the development of substance use disorder, including addiction [see Warnings and Precautions (5.1)].

Misuse is the intentional use, for therapeutic purposes, of a drug by an individual in a way other than prescribed by a healthcare provider or for whom it was not prescribed.

Abuse is the intentional, non-therapeutic use of a drug, even once, for its desirable psychological or physiological effects.

Drug addiction is a cluster of behavioral, cognitive, and physiological phenomena that may include a strong desire to take the drug, difficulties in controlling drug use (e.g., continuing drug use despite harmful consequences, giving a higher priority to drug use than other activities and obligations), and possible tolerance or physical dependence.

Misuse and abuse of NUCYNTA tablets increase risk of overdose, which may lead to central nervous system and respiratory depression, hypotension, seizures, and death. The risk is increased with concurrent abuse of NUCYNTA tablets with alcohol and/or other CNS depressants. Abuse of and addiction to opioids in some individuals may not be accompanied by concurrent tolerance and symptoms of physical dependence. In addition, abuse of opioids can occur in the absence of addiction.

All patients treated with opioids require careful and frequent reevaluation for signs of misuse, abuse, and addiction, because use of opioid analgesic products carries the risk of addiction even under appropriate medical use. Patients at high risk of NUCYNTA tablet abuse include those with a history of prolonged use of any opioid, including products containing tapentadol, those with a history of drug or alcohol abuse, or those who use NUCYNTA tablets in combination with other abused drugs.

"Drug-seeking" behavior is very common in persons with substance use disorders. Drug-seeking tactics include emergency calls or visits near the end of office hours, refusal to undergo appropriate examination, testing, or referral, repeated "loss" of prescriptions, tampering with prescriptions, and reluctance to provide prior medical records or contact information for other treating healthcare provider(s). "Doctor shopping" (visiting multiple prescribers to obtain additional prescriptions) is common among people who abuse drugs and people with substance use disorder. Preoccupation with achieving adequate pain relief can be appropriate behavior in a patient with inadequate pain control.

NUCYNTA tablets, like other opioids, can be diverted for nonmedical use into illicit channels of distribution. Careful record-keeping of prescribing information, including quantity, frequency, and renewal requests, as required by state and federal law, is strongly advised.

Proper assessment of the patient, proper prescribing practices, periodic reevaluation of therapy, and proper dispensing and storage are appropriate measures that help to limit abuse of opioid drugs.

11 Description (11 DESCRIPTION)

NUCYNTA (tapentadol) tablets are a mu-opioid receptor agonist, available in immediate-release film-coated tablets for oral administration, containing 58.24, 87.36 and 116.48 mg of tapentadol hydrochloride in each tablet strength, equivalent to 50, 75, and 100 mg of tapentadol free-base, respectively. The chemical name is 3-[(1R,2R)-3-(dimethylamino)-1-ethyl-2-methylpropyl]phenol monohydrochloride, and it has the following chemical structure:

The molecular weight of tapentadol HCl is 257.80, and the molecular formula is C14H23NO∙HCl. The n-octanol:water partition coefficient log P value is 2.87. The pKa values are 9.34 and 10.45.

The inactive ingredients in NUCYNTA tablets include: croscarmellose sodium, lactose monohydrate, magnesium stearate, microcrystalline cellulose, povidone. The film coatings for all tablet strengths contain polyvinyl alcohol, titanium dioxide, polyethylene glycol, talc, and the colorant FD&C Yellow #6 aluminum lake; the film coatings for the 50 mg and 75 mg tablets also contain the additional colorant D&C Yellow #10 aluminum lake.

9.3 Dependence (9.3 DEPENDENCE)

Both tolerance and physical dependence can develop during use of opioid therapy.

Tolerance is a physiological state characterized by a reduced response to a drug after repeated administration (i.e., a higher dose of a drug is required to produce the same effect that was once obtained at a lower dose).

Physical dependence is a state that develops as a result of a physiological adaptation in response to repeated drug use, manifested by withdrawal signs and symptoms after abrupt discontinuation or a significant dose reduction of a drug.

Withdrawal may be precipitated through the administration of drugs with opioid antagonist activity (e.g., naloxone, nalmefene), mixed agonist/antagonist analgesics (e.g., pentazocine, butorphanol, nalbuphine), or partial agonists (e.g., buprenorphine). Physical dependence may not occur to a clinically significant degree until after several days to weeks of continued use.

Do not rapidly reduce or abruptly discontinue NUCYNTA tablets in a patient physically dependent on opioids. Rapid reduction or abruptly discontinuation of NUCYNTA tablets in a patient physically dependent on opioids may lead to serious withdrawal symptoms, uncontrolled pain, and suicide. Rapid discontinuation has also been associated with attempts to find other sources of opioid analgesics, which may be confused with drug-seeking for abuse.

When discontinuing NUCYNTA tablets, gradually taper the dosage using a patient-specific plan that considers the following: the dose of NUCYNTA tablets the patient has been taking, the duration of treatment, and the physical and psychological attributes of the patient. To improve the likelihood of a successful taper and minimize withdrawal symptoms, it is important that the opioid tapering schedule is agreed upon by the patient. In patients taking opioids for an extended period of time at high doses, ensure that a multimodal approach to pain management, including mental health support (if needed), is in place prior to initiating an opioid analgesic taper [see Dosage and Administration (2.7), and Warnings and Precautions (5.13)].

Infants born to mothers physically dependent on opioids will also be physically dependent and may exhibit respiratory difficulties and withdrawal signs [see Use in Specific Populations (8.1)].

5.14 Withdrawal (5.14 WITHDRAWAL)

Do not rapidly reduce or abruptly discontinue NUCYNTA tablets in a patient physically dependent on opioids. When discontinuing NUCYNTA tablets in a physically dependent patient, gradually taper the dosage. Rapid tapering of tapentadol in a patient physically dependent on opioids may lead to a withdrawal syndrome and return of pain [see Dosage and Administration (2.7), Drug Abuse and Dependence (9.3)].

Additionally, avoid the use of mixed agonist/antagonist (e.g., pentazocine, nalbuphine, and butorphanol) or partial agonist (e.g., buprenorphine) analgesics in patients who are receiving a full opioid agonist analgesic, including NUCYNTA tablets. In these patients, mixed agonist/antagonist and partial agonist analgesics may reduce the analgesic effect and/or precipitate withdrawal symptoms [see Drug Interactions (7)].

8.4 Pediatric Use (8.4 Pediatric use)

The safety and effectiveness of NUCYNTA (tapentadol) tablets in pediatric patients ages 6 years and older who weigh at least 40 kg have been established. Use of NUCYNTA (tapentadol) tablets in pediatric patients ages 6 years and older who weigh at least 40 kg is based on one randomized, double-blind, placebo-controlled, multiple-dose efficacy and safety study of NUCYNTA (tapentadol) oral solution in 175 pediatric patients from birth to 17 years of age who had undergone surgery that would reliably produce moderate to severe pain and supported by pharmacokinetic and safety data from three open-label, single-dose studies of NUCYNTA (tapentadol) oral solution in 129 patients from birth to 17 years of age with moderate to severe acute pain from a surgical procedure [see Clinical Studies (14.2)].

The safety and effectiveness of NUCYNTA (tapentadol) tablets in pediatric patients less than 6 years of age have not been established. In pediatric patients less than 6 years of age, NUCYNTA (tapentadol) oral solution did not demonstrate efficacy compared to placebo when evaluated in one randomized, double-blind, placebo-controlled, multiple-dose study in 175 pediatric patients from birth to 17 years of age who had undergone surgery that would reliably produce moderate to severe pain [see Clinical Studies (14.2)].

The safety and effectiveness of NUCYNTA (tapentadol) tablets in pediatric patients who weigh less than 40 kg have not been established because the recommended dosage cannot be achieved with available tablet strengths. Consider use of another NUCYNTA product, such as NUCYNTA (tapentadol) oral solution, in patients who cannot swallow oral tablets or who weigh less than 40 kg [see Dosage and Administration (2.3)].

NUCYNTA (tapentadol) tablets have not been studied in pediatric patients with hepatic or renal impairment; therefore, use in these populations is not recommended [see Dosage and Administration (2.4)].

8.5 Geriatric Use (8.5 Geriatric use)

Of the total number of patients in Phase 2/3 double-blind, multiple-dose clinical studies of NUCYNTA tablets, 19% were 65 and over, while 5% were 75 and over. No overall differences in effectiveness were observed between these patients and younger patients. The rate of constipation was higher in subjects greater than or equal to 65 years than those less than 65 years (12% vs. 7%).

Elderly patients (aged 65 years or older) may have increased sensitivity to tapentadol. In general, use caution when selecting a dosage for an elderly patient, usually starting at the low end of the dosing range, reflecting the greater frequency of decreased hepatic, renal, or cardiac function and of concomitant disease or other drug therapy.

Respiratory depression is the chief risk for elderly patients treated with opioids, and has occurred after large initial doses were administered to patients who were not opioid-tolerant or when opioids were co-administered with other agents that depress respiration. Titrate the dosage of NUCYNTA tablets slowly in geriatric patients and frequently reevaluate the patient for signs of central nervous system and respiratory depression [see Warnings and Precautions (5.2)].

Tapentadol is known to be substantially excreted by the kidney, and the risk of adverse reactions to this drug may be greater in patients with impaired renal function. Because elderly patients are more likely to have decreased renal function, care should be taken in dose selection, and it may be useful to regularly evaluate renal function.

4 Contraindications (4 CONTRAINDICATIONS)

NUCYNTA tablets are contraindicated in patients with:

6 Adverse Reactions (6 ADVERSE REACTIONS)

The following adverse reactions are discussed, or described in greater detail, in other sections:

7 Drug Interactions (7 DRUG INTERACTIONS)

Table 2 includes clinically significant drug interactions with NUCYNTA tablets.

Table 2. Clinically Significant Drug Interactions with NUCYNTA Tablets
Benzodiazepines and other Central Nervous System (CNS) Depressants
Clinical Impact: Due to additive pharmacologic effect, the concomitant use of benzodiazepines or other CNS depressants including alcohol, increases the risk of respiratory depression, profound sedation, coma, and death [Warnings and Precautions (5.3)].
Intervention: Reserve concomitant prescribing of these drugs for use in patients for whom alternative treatment options are inadequate. Limit dosages and durations to the minimum required. Inform patients and caregivers of this potential interaction and educate them on the signs and symptoms of respiratory depression (including sedation). If concomitant use is warranted, consider recommending or prescribing an opioid overdose reversal agent [see Dosage and Administration (2.2), Warnings and Precautions (5.1, 5.2, 5.3)].
Examples: Benzodiazepines and other sedatives/hypnotics, anxiolytics, tranquilizers, muscle relaxants, general anesthetics, antipsychotics, gabapentinoids (gabapentin or pregabalin), other opioids, alcohol.
Serotonergic Drugs
Clinical Impact: The concomitant use of opioids with other drugs that affect the serotonergic neurotransmitter system has resulted in serotonin syndrome [see Warnings and Precautions (5.7)].
Intervention: If concomitant use is warranted, frequently evaluate the patient, particularly during treatment initiation and dose adjustment. Discontinue NUCYNTA tablets if serotonin syndrome is suspected.
Examples: Selective serotonin reuptake inhibitors (SSRIs), serotonin and norepinephrine reuptake inhibitors (SNRIs), tricyclic antidepressants (TCAs), triptans, 5-HT3 receptor antagonists, drugs that affect the serotonin neurotransmitter system (e.g., mirtazapine, trazodone, tramadol), certain muscle relaxants (i.e., cyclobenzaprine, metaxalone), monoamine oxidase inhibitors (those intended to treat psychiatric disorders and also others, such as linezolid and intravenous methylene blue).
Monoamine Oxidase Inhibitors (MAOIs)
Clinical Impact: MAOI interactions with opioids may manifest as serotonin syndrome or opioid toxicity (e.g., respiratory depression, coma) [see Warnings and Precautions (5.3)]
Intervention: Do not use NUCYNTA tablets in patients taking MAOIs or within 14 days of stopping such treatment.

If urgent use of an opioid is necessary, use test doses and frequent titration of small doses of other opioids (such as oxycodone, hydrocodone, oxymorphone, hydrocodone, or buprenorphine) to treat pain while closely monitoring blood pressure and signs and symptoms of CNS and respiratory depression.
Examples: phenelzine, tranylcypromine, linezolid
Mixed Agonist/Antagonist and Partial Agonist Opioid Analgesics
Clinical Impact: May reduce the analgesic effect of NUCYNTA tablets and/or precipitate withdrawal symptoms.
Intervention: Avoid concomitant use.
Examples: butorphanol, nalbuphine, pentazocine, buprenorphine
Muscle Relaxants
Clinical Impact: Tapentadol may enhance the neuromuscular blocking action of skeletal muscle relaxants and produce an increased degree of respiratory depression.
Intervention: Because respiratory depression may be greater than otherwise expected, decrease the dosage of NUCYNTA tablets and/or the muscle relaxant as necessary. Due to the risk of respiratory depression with concomitant use of skeletal muscle relaxants and opioids, consider recommending or prescribing an opioid overdose reversal agent [see Dosage and Administration (2.2), Warnings and Precautions (5.2, 5.3)]
Examples: cyclobenzaprine, metaxalone
Diuretics
Clinical Impact: Opioids can reduce the efficacy of diuretics by inducing the release of antidiuretic hormone.
Intervention: Evaluate patients for signs of diminished diuresis and/or effects on blood pressure and increase the dosage of the diuretic as needed.
Anticholinergic Drugs
Clinical Impact: The concomitant use of anticholinergic drugs may increase risk of urinary retention and/or severe constipation, which may lead to paralytic ileus.
Intervention: Evaluate patients for signs of urinary retention or reduced gastric motility when NUCYNTA tablets is used concomitantly with anticholinergic drugs.
Alcohol, Other Opioids, and Drugs of Abuse
Clinical Impact: Due to its mu-opioid agonist activity, NUCYNTA tablets may be expected to have additive effects when used in conjunction with alcohol, other opioids, or illicit drugs that cause central nervous system depression, respiratory depression, hypotension, and profound sedation, coma or death [see Warnings and Precautions (5.16)].
Intervention: Instruct patients not to consume alcoholic beverages or use prescription or non- prescription products containing alcohol, other opioids, or drugs of abuse while on NUCYNTA tablets therapy.
Examples: Alcohol, other opioids, illicit drugs
8.7 Renal Impairment (8.7 Renal impairment)

Use of NUCYNTA tablets in patients with severe renal impairment (creatinine clearance less than 30 mL/minute) is not recommended. No dosage adjustment is recommended in patients with mild or moderate renal impairment (creatinine clearance 30-90 mL/minute) [see Warnings and Precautions (5.18), Clinical Pharmacology (12.1)].

8.6 Hepatic Impairment (8.6 Hepatic impairment)

Administration of tapentadol resulted in higher exposures and serum levels of tapentadol in subjects with impaired hepatic function compared to subjects with normal hepatic function [see Clinical Pharmacology (12.3)]. Use of NUCYNTA tablets are not recommended in patients with severe hepatic impairment (Child-Pugh Score 10 to 15) [see Warnings and Precautions (5.17)]. The dose of NUCYNTA tablets should be reduced in patients with moderate hepatic impairment (Child-Pugh Score 7 to 9) [see Dosage and Administration (2.5)]. No dosage adjustment is recommended in patients with mild hepatic impairment (Child-Pugh Score 5 to 6) [see Warnings and Precautions (5.17), Clinical Pharmacology (12.3)].

1 Indications and Usage (1 INDICATIONS AND USAGE)

NUCYNTA (tapentadol) tablets are indicated for the management of acute pain severe enough to require an opioid analgesic and for which alternative treatments are inadequate in adults and pediatric patients aged 6 years and older with a body weight of at least 40kg.

5.10 Severe Hypotension (5.10 SEVERE HYPOTENSION)

NUCYNTA tablets may cause severe hypotension including orthostatic hypotension and syncope in ambulatory patients. There is increased risk in patients whose ability to maintain blood pressure has already been compromised by a reduced blood volume or concurrent administration of certain CNS depressant drugs (e.g., phenothiazines or general anesthetics) [see Drug Interactions (7)]. Regularly evaluate these patients for signs of hypotension after initiating or titrating the dosage of NUCYNTA tablets. In patients with circulatory shock, NUCYNTA tablets may cause vasodilation that can further reduce cardiac output and blood pressure. Avoid the use of NUCYNTA tablets in patients with circulatory shock.

12.1 Mechanism of Action (12.1 MECHANISM OF ACTION)

Tapentadol is a centrally-acting synthetic analgesic. The exact mechanism of action is unknown. Although the clinical relevance is unclear, preclinical studies have shown that tapentadol is a mu-opioid receptor (MOR) agonist and a norepinephrine reuptake inhibitor (NRI). Analgesia in animal models is derived from both of these properties.

9.1 Controlled Substance (9.1 CONTROLLED SUBSTANCE)

NUCYNTA tablets contain tapentadol, a Schedule II controlled substance.

5.9 Adrenal Insufficiency (5.9 ADRENAL INSUFFICIENCY)

Cases of adrenal insufficiency have been reported with opioid use, more often following greater than one month of use. Presentation of adrenal insufficiency may include non-specific symptoms and signs including nausea, vomiting, anorexia, fatigue, weakness, dizziness, and low blood pressure. If adrenal insufficiency is suspected, confirm the diagnosis with diagnostic testing as soon as possible. If adrenal insufficiency is diagnosed, treat with physiologic replacement doses of corticosteroids. Wean the patient off of the opioid to allow adrenal function to recover and continue corticosteroid treatment until adrenal function recovers. Other opioids may be tried as some cases reported use of a different opioid without recurrence of adrenal insufficiency. The information available does not identify any particular opioids as being more likely to be associated with adrenal insufficiency.

5 Warnings and Precautions (5 WARNINGS AND PRECAUTIONS)
  • Opioid-Induced Hyperalgesia and Allodynia: Opioid-Induced Hyperalgesia (OIH) occurs when an opioid analgesic paradoxically causes an increase in pain, or an increase in sensitivity to pain. If OIH is suspected, carefully consider appropriately decreasing the dose of the current opioid analgesic, or opioid rotation. (5.6)
  • Serotonin Syndrome with Concomitant Use of Serotonergic Drugs: Potentially life-threatening condition could result from concomitant serotonergic drug administration. Discontinue NUCYNTA tablets if serotonin syndrome is suspected. (5.7)
  • Life-Threatening Respiratory Depression in Patients with Chronic Pulmonary Disease or in Elderly, Cachectic, or Debilitated Patients: Regularly evaluate, particularly during initiation and titration. (5.8)
  • Adrenal Insufficiency: If diagnosed, treat with physiologic replacement of corticosteroids, and wean patient off of the opioid. (5.8)
  • Severe Hypotension: Regularly evaluate during dosage initiation and titration. Avoid use of NUCYNTA tablets in patients with circulatory shock. (5.10)
  • Risks of Use in Patients with Increased Intracranial Pressure, Brain Tumors, Head Injury, or Impaired Consciousness: Monitor for sedation and respiratory depression. Avoid use of NUCYNTA tablets in patients with impaired consciousness or coma. (5.11)
2 Dosage and Administration (2 DOSAGE AND ADMINISTRATION)
  • NUCYNTA tablets should be prescribed only by healthcare professionals who are knowledgeable about the use of opioids and how to mitigate the associated risks. (2.1)
  • Use the lowest effective dosage for the shortest duration consistent with individual patient treatment goals. Reserve titration to higher doses of NUCYNTA tablets for patients in whom lower doses are insufficiently effective and in whom the expected benefits of using a higher dose opioid clearly outweigh the substantial risks. (2.1, 5)
  • Many acute pain conditions (e.g., the pain that occurs with a number of surgical procedures or acute musculoskeletal injuries) require no more than a few days of an opioid analgesic. Clinical guidelines on opioid prescribing for some acute pain conditions are available. (2.1)
  • Initiate the dosing regimen for each patient individually, taking into account the patient's underlying cause and severity of pain, prior analgesic treatment and response, and risk factors for addiction, abuse, and misuse. (2.1, 5.1)
  • Respiratory depression can occur at any time during opioid therapy, especially when initiating and following dosage increases with NUCYNTA tablets. Consider this risk when selecting an initial dose and when making dose adjustments. (2.1, 5.2)
  • NUCYNTA tablets can be taken with or without food (2.1).
  • Discuss opioid overdose reversal agents and options for acquiring them with the patient and/or caregiver, both when initiating andrenewing treatment with NUCYNTA tablets, especially if the patient has additional risk factors for overdose, or close contacts at risk for exposure and overdose. (2.2, 5.1, 5.2, 5.3)
  • Dosing in adults: See full prescribing information for detailed dosing instructions. (2.3)
  • Dosing in Pediatric Patients aged 6 years and older with a body weight of at least 40 kg and who are able to swallow tablets: See full prescribing information for detailed dosing instructions. (2.4)
  • Moderate Hepatic Impairment in Adult Patients: Initiate treatment with 50 mg no more than once every 8 hours (maximum of three doses in 24 hours). Regularly evaluate for respiratory and central nervous system depression. (2.4)
  • Periodically reassess patients receiving NUCYNTA tablets to evaluate the continued need for opioid analgesics to maintain pain control, for the signs or symptoms of adverse reactions, and for the development of addiction, abuse, or misuse. (2.6)
  • Do not rapidly reduce or abruptly discontinue NUCYNTA tablets in a physically dependent patient because rapid reduction or abrupt discontinuation of opioid analgesics has resulted in serious withdrawal symptoms, uncontrolled pain, and suicide. (2.6, 5.14)
3 Dosage Forms and Strengths (3 DOSAGE FORMS AND STRENGTHS)

Tablets: 50 mg, 75 mg, 100 mg.

50 mg: round, biconvex and film-coated yellow tablets with "O-M" on one side and "50" on the other side.

75 mg: round, biconvex and film-coated yellow-orange tablets with "O-M" on one side and "75" on the other side.

100 mg: round, biconvex and film-coated orange tablets with "O-M" on one side and "100" on the other side.

6.2 Post Marketing Experience (6.2 POST-MARKETING EXPERIENCE)

The following additional adverse reactions have been identified during post approval use of tapentadol. Because these reactions are reported voluntarily from a population of uncertain size, it is not always possible to reliably estimate their frequency or establish a causal relationship to drug exposure.

Gastrointestinal disorders: diarrhea

Nervous system disorders: headache

Psychiatric disorders: hallucination, suicidal ideation, panic attack

Cardiac disorders: palpitations

Serotonin syndrome: Cases of serotonin syndrome, a potentially life-threatening condition, have been reported during concomitant use of opioids with serotonergic drugs.

Adrenal insufficiency: Cases of adrenal insufficiency have been reported with opioid use, more often following greater than one month of use.

Anaphylaxis: Anaphylaxis has been reported with ingredients contained in NUCYNTA tablets.

Androgen deficiency: Cases of androgen deficiency have occurred with chronic use of opioids for an extended period of time [see Clinical Pharmacology (12.2)].

Hyperalgesia and Allodynia: Cases of hyperalgesia and allodynia have been reported with opioid therapy of any duration [see Warnings and Precautions (5.5)]

Hypoglycemia: Cases of hypoglycemia have been reported in patients taking opioids. Most reports were in patients with at least one predisposing risk factor (e.g., diabetes).

Opioid-induced esophageal dysfunction (OIED): Cases of OIED have been reported in patients taking opioids and may occur more frequently in patients taking higher doses of opioidsopioid, and/or in patients taking opioids longer term [see Warnings and Precautions (5.12) ].

8 Use in Specific Populations (8 USE IN SPECIFIC POPULATIONS)
  • Pregnancy: May cause fetal harm. (8.1)
  • Lactation: Closely monitor infants of nursing women receiving NUCYNTA tablets. (8.2)
  • Severe Renal or Hepatic Impairment: Not recommended. (8.6, 8.7)
  • Pediatric Patients with Hepatic or Renal Impairment: Use not recommended. (2.4, 8.4)
5.1 Addiction, Abuse, and Misuse (5.1 ADDICTION, ABUSE, AND MISUSE)

NUCYNTA tablets contain tapentadol, a Schedule II controlled substance. As an opioid, NUCYNTA tablets exposes users to the risks of addiction, abuse, and misuse [see Drug Abuse and Dependence (9)].

Although the risk of addiction in any individual is unknown, it can occur in patients appropriately prescribed NUCYNTA tablets. Addiction can occur at recommended dosages and if the drug is misused or abused. The risk of opioid-related overdose or overdose-related death is increased with higher opioid doses, and this risk persists over the course of therapy. In postmarketing studies, addiction, abuse, misuse, and fatal and non-fatal opioid overdose were observed in patients with long-term opioid use [see Adverse Reactions (6.2) ].

Assess each patient's risk for opioid addiction, abuse, or misuse prior to prescribing NUCYNTA tablets and reassess all patients receiving NUCYNTA tablets for the development of these behaviors and conditions. Risks are increased in patients with a personal or family history of substance abuse (including drug or alcohol abuse or addiction) or mental illness (e.g., major depression). The potential for these risks should not, however, prevent the proper management of pain in any given patient. Patients at increased risk may be prescribed opioids such as NUCYNTA tablets but use in such patients necessitates intensive counseling about the risks and proper use of NUCYNTA tablets along with frequent reevaluation for signs of addiction, abuse, and misuse. Consider recommending or prescribingan opioid overdose reversal agent[see Dosage and Administration (2.2), Warnings and Precautions (5.2)].

Opioids are sought for nonmedical use and are subject to diversion from legitimate prescribed use. Consider these risks when prescribing or dispensing NUCYNTA tablets. Strategies to reduce these risks include prescribing the drug in the smallest appropriate quantity and advising the patient on careful storage of the drug during the course of treatment and on the proper disposal of unused drug. Contact local state professional licensing board or state-controlled substances authority for information on how to prevent and detect abuse or diversion of this product.

17 Patient Counseling Information (17 PATIENT COUNSELING INFORMATION)

Advise the patient to read the FDA-approved patient labeling (Medication Guide).

16 How Supplied/storage and Handling (16 HOW SUPPLIED/STORAGE AND HANDLING)

NUCYNTA Tablets are available in the following strengths and packages. All tablets are round and biconvex-shaped.

50 mg tablets are yellow and debossed with "O-M" on one side and "50" on the other side, and are available in bottles of 100 (NDC 24510-050-10) and hospital unit dose blister packs of 10 (NDC 24510-050-01).

75 mg tablets are yellow-orange and debossed with "O-M" on one side and "75" on the other side, and are available in bottles of 100 (NDC 24510-075-10) and hospital unit dose blister packs of 10 (NDC 24510-075-01).

100 mg tablets are orange and debossed with "O-M" on one side and "100" on the other side, and are available in bottles of 100 (NDC 24510-100-10) and hospital unit dose blister packs of 10 (NDC 24510-100-01).

14.1 Clinical Studies in Adult Patients (14.1 CLINICAL STUDIES IN ADULT PATIENTS)

The efficacy and safety of NUCYNTA tablets in the treatment of acute pain has been established in two randomized, double-blind, placebo- and active-controlled studies of moderate to severe pain from first metatarsal bunionectomy and end-stage degenerative joint disease.

5.4 Neonatal Opioid Withdrawal Syndrome (5.4 NEONATAL OPIOID WITHDRAWAL SYNDROME)

Use of NUCYNTA tablets for an extended period of time during pregnancy can result in withdrawal in the neonate. Neonatal opioid withdrawal syndrome, unlike opioid withdrawal syndrome in adults, may be life-threatening if not recognized and treated, and requiresmanagement according to protocols developed by neonatology experts. Observe newborns for signs of neonatal opioid withdrawal syndrome and manage accordingly. Advise pregnant women using opioids for an extended period of time of the risk of neonatal opioid withdrawal syndrome and ensure that appropriate treatment will be available [see Use in Specific Populations (8.1)].

2.6 Titration and Maintenance of Therapy (2.6 TITRATION AND MAINTENANCE OF THERAPY)

Individually titrate NUCYNTA tablets to a dose that provides adequate analgesia and minimizes adverse reactions. Continually reevaluate patients receiving NUCYNTA tablets to assess the maintenance of pain control, signs and symptoms of opioid withdrawal, and other adverse reactions, as well as reassess for the development of addiction, abuse, or misuse [see Warnings and Precautions (5.1, 5.14)]. Frequent communication is important among the prescriber, other members of the healthcare team, the patient, and the caregiver/family during periods of changing analgesic requirements, including initial titration.

If the level of pain increases after dosage stabilization, attempt to identify the source of increased pain before increasing the NUCYNTA tablets dosage. If after increase the dosage, unacceptable opioid-related adverse reactions are observed (including an increase in pain after a dosage increase), consider reducing the dosage. Adjust the dosage to obtain an appropriate balance between management of pain and opioid-related adverse reactions.

14.2 Clinical Study in Pediatric Patients (14.2 CLINICAL STUDY IN PEDIATRIC PATIENTS)

The efficacy and safety of NUCYNTA (tapentadol) tablets for the management of acute pain severe enough to require an opioid analgesic and for which alternative treatments are inadequate in pediatric patients who are 6 years and older and weigh at least 40 kg have been established based on one randomized, double-blind, placebo-controlled, multiple-dose study of NUCYNTA (tapentadol) oral solution in pediatric patients ages birth to 17 years who had undergone surgery that would reliably produce moderate to severe acute post-operative pain.

Patients who had undergone surgery that would reliably produce moderate to severe acute pain requiring opioid treatment via nurse-controlled analgesia (NCA) or patient-controlled analgesia (PCA), had received postoperative morphine or hydromorphone by NCA or PCA, and were able to tolerate liquids were randomized to either NUCYNTA (tapentadol) oral solution or placebo (2:1 allocation). Patients from 6 months to 17 years of age were administered NUCYNTA (tapentadol) oral solution 1.25 mg/kg body weight (maximum single dose 100 mg) or the same volume of placebo every four hours for the first 24 hours with dose reduction to 1.0 mg/kg body weight after 24 hours if there was a reduced need for analgesia at the investigator's discretion.

The study was statistically powered to evaluate the efficacy of NUCYNTA (tapentadol) oral solution across the pediatric age range from 2 to 17 years of age. Efficacy was evaluated by comparing the total amount of supplemental opioid analgesic medication (morphine equivalents in mg/kg body weight) used within 12 hours and 24 hours following initiation of study drug between the NUCYNTA (tapentadol) oral solution and placebo groups. Overall, statistically significantly more supplemental opioid analgesic medication was used in the placebo group than in the NUCYNTA (tapentadol) oral solution group during the first 12 and 24 hours after first dose of study drug. However, a descriptive analysis of supplemental opioid analgesic medication used by age subgroup demonstrated lack of efficacy of NUCYNTA (tapentadol) oral solution in pediatric patients 2 to less than 6 years of age [see Pediatric Use (8.4)].

The descriptive analysis of supplemental opioid analgesic medication use showed the following results (see Table 4):

  • Numerically more supplemental opioid analgesic medication used in the placebo group than in the NUCYNTA (tapentadol) oral solution group at 12 hours and 24 hours for both the 6 to less than 12 years age group and the 12 to less than 18 years age group indicating that NUCYNTA (tapentadol) oral solution is effective in pediatric patients 6 years of age and older.
  • No numerical difference in supplemental opioid analgesic medication used between the NUCYNTA (tapentadol) oral solution and placebo groups at 12 hours and numerically more supplemental opioid analgesic medication used in the NUCYNTA (tapentadol) oral solution group than in the placebo group at 24 hours for the 2 to less than 6 years age group indicating that NUCYNTA (tapentadol) oral solution is not effective in pediatric patients less than 6 years of age.

NUCYNTA (tapentadol) tablets are not approved for use in pediatric patients less than 6 years of age or who weigh less than 40 kg [see Pediatric Use (8.4)].

The efficacy and safety of NUCYNTA (tapentadol) tablets at doses higher than 1.25 mg/kg body weight (maximum single dose of 100 mg) have not been studied; therefore, the use of NUCYNTA (tapentadol) tablets at doses higher than 1.25 mg/kg body weight is not recommended [see Dosage and Administration (2.4)].

Table 4. Descriptive Analysis of the Amount of Supplemental Opioid Analgesic Medication Used Within the First 12 and 24 Hours by Age Subgroup in Pediatric Patients from 2 to Less Than 18 Years of Age
Placebo NUCYNTA (tapentadol) oral solution Difference (95% CI)
n LS Mean n LS Mean
12 hours
Overall

(2 to <18 years)
52 0.129 108 0.082 -0.047 (-0.091, -0.002)
p-value = 0.0404;
12 to <18 years 25 0.212 53 0.142 -0.070 (-0.155, 0.014)
6 to < 12 years 15 0.111 32 0.064 -0.047 (-0.105, 0.012)
2 to < 6 years 12 0.044 23 0.046 0.002 (-0.038, 0.042)
24 hours
Overall

(2 to <18 years)
52 0.237 108 0.139 -0.097 (-0.176, -0.019)
p-value = 0.0154
12 to <18 years 25 0.406 53 0.239 -0.167 (-0.311, -0.022)
6 to < 12 years 15 0.196 32 0.122 -0.074 (-0.185, 0.037)
2 to < 6 years 12 0.066 23 0.082 0.016 (-0.049, 0.080)
13.2 Animal Toxicology And/or Pharmacology (13.2 ANIMAL TOXICOLOGY AND/OR PHARMACOLOGY)

In toxicological studies with tapentadol, the most common systemic effects of tapentadol were related to the mu-opioid receptor agonist and norepinephrine reuptake inhibition pharmacodynamic properties of the compound. Transient, dose-dependent and predominantly CNS-related findings were observed, including impaired respiratory function and convulsions, the latter occurring in the dog at plasma levels (Cmax) which are in the range associated with the maximum recommended human dose (MRHD).

5.2 Life Threatening Respiratory Depression (5.2 LIFE-THREATENING RESPIRATORY DEPRESSION)

Serious, life-threatening, or fatal respiratory depression has been reported with the use of opioids, even when used as recommended. Respiratory depression, if not immediately recognized and treated, may lead to respiratory arrest and death. Management of respiratory depression may include close observation, supportive measures, and use of opioid overdose reversal agents, depending on the patient's clinical status [see Overdosage (10)]. Carbon dioxide (CO2) retention from opioid-induced respiratory depression can exacerbate the sedating effects of opioids.

While serious, life-threatening, or fatal respiratory depression can occur at any time during the use of NUCYNTA tablets, the risk is greatest during the initiation of therapy or following a dosage increase.

To reduce the risk of respiratory depression, proper dosing and titration of NUCYNTA tablets are essential [see Dosage and Administration (2.3)]. Overestimating the NUCYNTA tablets dosage when converting patients from another opioid product can result in a fatal overdose with the first dose.

Accidental ingestion of even one dose of NUCYNTA tablets, especially by children, can result in respiratory depression and death due to an overdose of tapentadol.

Educate patients and caregivers on how to recognize respiratory depression and emphasize the importance of calling 911 or getting emergency medical help right away in the event of a known or suspected overdose.

Opioids can cause sleep-related breathing disorders including central sleep apnea (CSA) and sleep-related hypoxemia. Opioid use increases the risk of CSA in a dose-dependent fashion. In patients who present with CSA, consider decreasing the opioid dosage using best practices for opioid taper [see Dosage and Administration (2.6)].

5.12 Risks of Gastrointestinal Complications (5.12 RISKS OF GASTROINTESTINAL COMPLICATIONS)

NUCYNTA tablets are contraindicated in patients with known or suspected gastrointestinal obstruction, including paralytic ileus.

The tapentadol in NUCYNTA tablets may cause spasm of the sphincter of Oddi. Opioids may cause increases in serum amylase. Regularly evaluate patients with biliary tract disease, including acute pancreatitis for worsening symptoms.

Cases of opioid-induced esophageal dysfunction (OIED) have been reported in patients taking opioids. The risk of OIED may increase as the dose and/or duration of opioids increases.

Regularly evaluate patients for signs and symptoms of OIED (e.g., dysphagia, regurgitation, non-cardiac chest pain) and, if necessary, adjust opioid therapy as clinically appropriate [see Clinical Pharmacology (12.2)].

5.15 Risks of Driving and Operating Machinery (5.15 RISKS OF DRIVING AND OPERATING MACHINERY)

NUCYNTA tablets may impair the mental or physical abilities needed to perform potentially hazardous activities such as driving a car or operating machinery. Warn patients not to drive or operate dangerous machinery unless they are tolerant to the effects of NUCYNTA tablets and know how they will react to the medication.

5.6 Opioid Induced Hyperalgesia and Allodynia (5.6 OPIOID-INDUCED HYPERALGESIA AND ALLODYNIA)

Opioid-Induced Hyperalgesia (OIH) occurs when an opioid analgesic paradoxically causes an increase in pain, or an increase in sensitivity to pain. This condition differs from tolerance, which is the need for increasing doses of opioids to maintain a defined effect [see Dependence (9.3)]. Symptoms of OIH include (but may not be limited to) increased levels of pain upon opioid dosage increase, decreased levels of pain upon opioid dosage decrease, or pain from ordinarily non-painful stimuli (allodynia). These symptoms may suggest OIH only if there is no evidence of underlying disease progression, opioid tolerance, opioid withdrawal, or addictive behavior.

Cases of OIH have been reported, both with short-term and longer-term use of opioid analgesics. Though the mechanism of OIH is not fully understood, multiple biochemical pathways have been implicated. Medical literature suggests a strong biologic plausibility between opioid analgesics and OIH and allodynia. If a patient is suspected to be experiencing OIH, carefully consider appropriately decreasing the dose of the current opioid analgesic or opioid rotation (safely switching the patient to a different opioid moiety) [see Dosage and Administration (2.7); Warnings and Precautions (5.13)].

Principal Display Panel 50 Mg Tablet Bottle Label (PRINCIPAL DISPLAY PANEL - 50 mg Tablet Bottle Label)

NDC 24510-050-10

100 Tablets

NUCYNTA®

(tapentadol) Tablets

50 mg

CII

Each tablet contains:

tapentadol 50 mg

Caution: Federal law prohibits the transfer

of this drug to any person other than the patient

for whom it was prescribed.

Dispense the accompanying Medication Guide

to each patient.

Rev Dec 2018

NUC-003-C.4

Principal Display Panel 75 Mg Tablet Bottle Label (PRINCIPAL DISPLAY PANEL - 75 mg Tablet Bottle Label)

NDC 24510-075-10

100 Tablets

NUCYNTA®

(tapentadol) Tablets

75 mg

CII

Each tablet contains:

tapentadol 75 mg

Caution: Federal law prohibits the transfer

of this drug to any person other than the patient

for whom it was prescribed.

Dispense the accompanying Medication Guide

to each patient.

Rev Dec 2018

NUC-006-C.4

2.1 Important Dosage and Administration Instructions (2.1 IMPORTANT DOSAGE AND ADMINISTRATION INSTRUCTIONS)
  • NUCYNTA tablets should be prescribed only by healthcare professionals who are knowledgeable about the use of opioids and how to mitigate the associated risks.
  • Use the lowest effective dosage for the shortest duration of time consistent with individual patient treatment goals [see Warnings and Precautions (5)]. Because the risk of overdose increases as opioid doses increase, reserve titration to higher doses of NUCYNTA tablets for patients in whom lower doses are insufficiently effective and in whom the expected benefits of using a higher dose opioid clearly outweigh the substantial risks.
  • Many acute pain conditions (e.g., the pain that occurs with a number of surgical procedures or acute musculoskeletal injuries) require no more than a few days of an opioid analgesic. Clinical guidelines on opioid prescribing for some acute pain conditions are available.
  • There is variability in the opioid analgesic dose and duration needed to adequately manage pain due both to the cause of pain and to individual patient factors. Initiate the dosing regimen for each patient individually, taking into account the patient's underlying cause and severity of pain, prior analgesic treatment and response, and risk factors for addiction, abuse, and misuse [see Warnings and Precautions (5.1)].
  • Respiratory depression can occur at any time during opioid therapy, especially when initiating and following dosage increases with NUCYNTA tablets. Consider this risk when selecting an initial dose and when making dose adjustments [see Warnings and Precautions (5)].
  • NUCYNTA tablets can be taken with or without food [see Clinical Pharmacology (12.3)].
Principal Display Panel 100 Mg Tablet Bottle Label (PRINCIPAL DISPLAY PANEL - 100 mg Tablet Bottle Label)

NDC 24510-100-10

100 Tablets

NUCYNTA®

(tapentadol) Tablets

100 mg

CII

Each tablet contains:

tapentadol 100 mg

Caution: Federal law prohibits the transfer

of this drug to any person other than the patient

for whom it was prescribed.

Dispense the accompanying Medication Guide

to each patient.

Rev Dec 2018

NUC-009-C.4

5.18 Risk of Toxicity in Patients With Renal Impairment (5.18 RISK OF TOXICITY IN PATIENTS WITH RENAL IMPAIRMENT)

Use of NUCYNTA tablets in patients with severe renal impairment is not recommended due to accumulation of a metabolite formed by glucuronidation of tapentadol. The clinical relevance of the elevated metabolite is not known [see Clinical Pharmacology (12.3)].

2.7 Safe Reduction Or Discontinuation of Nucynta Tablets (2.7 SAFE REDUCTION OR DISCONTINUATION OF NUCYNTA TABLETS)

Do not rapidly reduce or abruptly discontinue NUCYNTA tablets in patients who may be physically dependent on opioids. Rapid reduction or abrupt discontinuation of opioid analgesics in patients who are physically dependent on opioids has resulted in serious withdrawal symptoms, uncontrolled pain, and suicide. Rapid reduction or abrupt discontinuation has also been associated with attempts to find other sources of opioid analgesics, which may be confused with drug-seeking for abuse. Patients may also attempt to treat their pain or withdrawal symptoms with illicit opioids, such as heroin, and other substances.

When a decision has been made to decrease the dose or discontinue therapy in an opioid-dependent patient taking NUCYNTA tablets, there are a variety of factors that should be considered, including the total daily dose of opioid (including NUCYNTA tablets) the patient has been taking, the duration of treatment, the type of pain being treated, and the physical and psychological attributes of the patient. It is important to ensure ongoing care of the patient and to agree on an appropriate tapering schedule and follow-up plan so that patient and provider goals and expectations are clear and realistic. When opioid analgesics are being discontinued due to a suspected substance use disorder, evaluate and treat the patient, or refer for evaluation and treatment of the substance use disorder. Treatment should include evidence-based approaches, such as medication assisted treatment of opioid use disorder. Complex patients with co-morbid pain and substance use disorders may benefit from referral to a specialist.

There are no standard opioid tapering schedules that are suitable for all patients. Good clinical practice dictates a patient-specific plan to taper the dose of the opioid gradually. For patients on NUCYNTA tablets who are physically opioid-dependent, initiate the taper by a small enough increment (e.g., no greater than 10% to 25% of the total daily dose) to avoid withdrawal symptoms, and proceed with dose-lowering at an interval of every 2 to 4 weeks. Patients who have been taking opioids for briefer periods of time may tolerate a more rapid taper.

It may be necessary to provide the patient with lower dosage strengths to accomplish a successful taper. Reassess the patient frequently to manage pain and withdrawal symptoms, should they emerge. Common withdrawal symptoms include restlessness, lacrimation, rhinorrhea, yawning, perspiration, chills, myalgia, and mydriasis. Other signs and symptoms also may develop, including irritability, anxiety, backache, joint pain, weakness, abdominal cramps, insomnia, nausea, anorexia, vomiting, diarrhea, or increased blood pressure, respiratory rate, or heart rate. If withdrawal symptoms arise, it may be necessary to pause the taper for a period of time or raise the dose of the opioid analgesic to the previous dose, and then proceed with a slower taper. In addition, evaluate patients for any changes in mood, emergence of suicidal thoughts, or use of other substances.

When managing patients taking opioid analgesics, particularly those who have been treated for an extended period of time and/or with high doses for chronic pain, ensure that a multimodal approach to pain management, including mental health support (if needed), is in place prior to initiating an opioid analgesic taper. A multimodal approach to pain management may optimize the treatment of chronic pain, as well as assist with the successful tapering of the opioid analgesic [see Warnings and Precautions (5.14), Drug Abuse and Dependence (9.3)].

5.17 Risk of Toxicity in Patients With Hepatic Impairment (5.17 RISK OF TOXICITY IN PATIENTS WITH HEPATIC IMPAIRMENT)

A study with NUCYNTA tablets in subjects with hepatic impairment showed higher serum concentrations of tapentadol than in those with normal hepatic function. Avoid use of NUCYNTA tablets in patients with severe hepatic impairment. Reduce the dose of NUCYNTA tablets in patients with moderate hepatic impairment [see Dosage and Administration (2.4) and Clinical Pharmacology (12.3)]. Regularly evaluate patients with moderate hepatic impairment for respiratory and central nervous system depression when receiving NUCYNTA tablets.

5.16 Interactions With Alcohol, Other Opioids, and Drugs of Abuse (5.16 INTERACTIONS WITH ALCOHOL, OTHER OPIOIDS, AND DRUGS OF ABUSE)

Due to its mu-opioid agonist activity, NUCYNTA tablets may be expected to have additive effects when used in conjunction with alcohol, other opioids, or illicit drugs that cause central nervous system depression, respiratory depression, hypotension, and profound sedation, coma or death [see Drug Interactions (7)]. Instruct patients not to consume alcoholic beverages or use prescription or non-prescription products containing alcohol, other opioids, or drugs of abuse while on NUCYNTA tablets therapy [see Drug Interactions (7)].

5.7 Serotonin Syndrome With Concomitant Use of Serotonergic Drugs (5.7 SEROTONIN SYNDROME WITH CONCOMITANT USE OF SEROTONERGIC DRUGS)

Cases of serotonin syndrome, a potentially life-threatening condition, have been reported during concomitant use of tapentadol with serotonergic drugs. Serotonergic drugs include selective serotonin reuptake inhibitors (SSRIs), serotonin and norepinephrine reuptake inhibitors (SNRIs), tricyclic antidepressants (TCAs), triptans, 5-HT3 receptor antagonists, drugs that affect the serotonergic neurotransmitter system (e.g., mirtazapine, trazodone, tramadol), certain muscle relaxants (i.e., cyclobenzaprine, metaxalone), and drugs that impair metabolism of serotonin (including monoamine oxidase inhibitors, both those intended to treat psychiatric disorders and also others, such as linezolid and intravenous methylene blue) [see Drug Interactions (7)]. This may occur within the recommended dosage range.

Serotonin syndrome symptoms may include mental-status changes (e.g., agitation, hallucinations, coma), autonomic instability (e.g., tachycardia, labile blood pressure, hyperthermia), neuromuscular aberrations (e.g., hyperreflexia, incoordination) and/or gastrointestinal symptoms (e.g., nausea, vomiting, diarrhea) and can be fatal. The onset of symptoms generally occurs within several hours to a few days of concomitant use but may occur later than that. Discontinue NUCYNTA tablets if serotonin syndrome is suspected.

2.5 Dosage Modifications in Adult Patients With Hepatic Impairment (2.5 DOSAGE MODIFICATIONS IN ADULT PATIENTS WITH HEPATIC IMPAIRMENT)

The safety and efficacy of NUCYNTA tablets have not been studied in patients with severe hepatic impairment (Child-Pugh Score 10-15) and use in this population is not recommended [see Warnings and Precautions (5.17)].

Initiate treatment of patients with moderate hepatic impairment (Child-Pugh Score 7 to 9) with 50 mg no more frequently than once every 8 hours (maximum of three doses in 24 hours).

Further treatment should reflect maintenance of analgesia with acceptable tolerability, to be achieved by either shortening or lengthening the dosing interval. Regularly evaluate patients for respiratory and central nervous system depression [see Clinical Pharmacology (12.3)].

No dosage adjustment is recommended in patients with mild hepatic impairment (Child-Pugh Score 5 to 6) [see Clinical Pharmacology (12.3)].

5.13 Increased Risk of Seizures in Patients With Seizure Disorders (5.13 INCREASED RISK OF SEIZURES IN PATIENTS WITH SEIZURE DISORDERS)

The tapentadol in NUCYNTA tablets may increase the frequency of seizures in patients with seizure disorders, and may increase the risk of seizures occurring in other clinical settings associated with seizures. Regularly evaluate patients with a history of seizure disorders for worsened seizure control during NUCYNTA tablets therapy.

5.5 Opioid Analgesic Risk Evaluation and Mitigation Strategy (rems) (5.5 OPIOID ANALGESIC RISK EVALUATION AND MITIGATION STRATEGY (REMS))

To ensure that the benefits of opioid analgesics outweigh the risks of addiction, abuse, and misuse, the Food and Drug Administration (FDA) has required a Risk Evaluation and Mitigation Strategy (REMS) for these products. Under the requirements of the REMS, drug companies with approved opioid analgesic products must make REMS-compliant education programs available to healthcare providers. Healthcare providers are strongly encouraged to do all of the following:

  • Complete a REMS-compliant education program offered by an accredited provider of continuing education (CE) or another education program that includes all the elements of the FDA Education Blueprint for Health Care Providers Involved in the Management or Support of Patients with Pain.
  • Discuss the safe use, serious risks, and proper storage and disposal of opioid analgesics with patients and/or their caregivers every time these medicines are prescribed. The Patient Counseling Guide (PCG) can be obtained at this link: www.fda.gov/OpioidAnalgesicREMSPCG.
  • Emphasize to patients and their caregivers the importance of reading the Medication Guide that they will receive from their pharmacist every time an opioid analgesic is dispensed to them.
  • Consider using other tools to improve patient, household, and community safety, such as patient-prescriber agreements that reinforce patient-prescriber responsibilities.

To obtain further information on the opioid analgesic REMS and for a list of accredited REMS CME/CE, call 1-800-503-0784, or log on to www.opioidanalgesicrems.com. The FDA Blueprint can be found at www.fda.gov/OpioidAnalgesicREMSBlueprint.

Warning: Serious and Life Threatening Risks From Use of Nucynta Tablets (WARNING: SERIOUS AND LIFE-THREATENING RISKS FROM USE OF NUCYNTA TABLETS)

WARNING: SERIOUS AND LIFE-THREATENING RISKS FROM USE OF NUCYNTA TABLETS

See full prescribing information for complete boxed warning.

  • NUCYNTA tablets expose users to risks of addiction, abuse, and misuse, which can lead to overdose and death. Assess patient's risk before prescribing and reassess regularly for these behaviors and conditions. (5.1)
  • Serious, life-threatening, or fatal respiratory depression may occur, especially upon initiation or following a dosage increase. To reduce the risk of respiratory depression, proper dosing and titration of NUCYNTA tablets are essential. (5.2)
  • Concomitant use of opioids with benzodiazepines or other central nervous system (CNS) depressants, including alcohol, may result in profound sedation, respiratory depression, coma, and death. Reserve concomitant prescribing for use in patients for whom alternative treatment options are inadequate. (5.3, 7 )
  • Accidental ingestion of NUCYNTA tablets, especially by children, can result in a fatal overdose of tapentadol. (5.2)
  • Advise pregnant women using opioids for an extended period of time of the risk of Neonatal Opioid Withdrawal Syndrome, which may be life-threatening if not recognized and treated. Ensure that management by neonatology experts will be available at delivery. (5.4)
  • Healthcare providers are strongly encouraged to complete a REMS-compliant education program and to counsel patients and caregivers on serious risks, safe use, and the importance of reading the Medication Guide with each prescription. (5.5)
5.3 Risks From Concomitant Use With Benzodiazepines Or Other Cns Depressants (5.3 RISKS FROM CONCOMITANT USE WITH BENZODIAZEPINES OR OTHER CNS DEPRESSANTS)

Profound sedation, respiratory depression, coma, and death may result from the concomitant use of NUCYNTA tablets with benzodiazepines and/or other CNS depressants, including alcohol (e.g., non-benzodiazepine sedatives/hypnotics, anxiolytics, tranquilizers, muscle relaxants, general anesthetics, antipsychotics, gabapentinoids [gabapentin or pregabalin], and other opioids). Because of these risks, reserve concomitant prescribing of these drugs for use in patients for whom alternative treatment options are inadequate.

Observational studies have demonstrated that concomitant use of opioid analgesics and benzodiazepines increases the risk of drug-related mortality compared to use of opioid analgesics alone. Because of similar pharmacological properties, it is reasonable to expect similar risk with the concomitant use of other CNS depressant drugs with opioid analgesics [see Drug Interactions (7)].

If the decision is made to prescribe a benzodiazepine or other CNS depressant concomitantly with an opioid analgesic, prescribe the lowest effective dosages and minimum durations of concomitant use. In patients already receiving an opioid analgesic, prescribe a lower initial dose of the benzodiazepine or other CNS depressant than indicated in the absence of an opioid, and titrate based on clinical response. If an opioid analgesic is initiated in a patient already taking a benzodiazepine or other CNS depressant, prescribe a lower initial dose of the opioid analgesic, and titrate based on clinical response. Inform patients and caregivers of this potential interaction and educate them on the signs and symptoms of respiratory depression (including sedation).

If concomitant use is warranted, consider recommending or prescribing an opioid overdose reveral agent [see Dosage and Administration (2.2), Warnings and Precautions (5.2), Overdosage (10)].

Advise both patients and caregivers about the risks of respiratory depression and sedation when NUCYNTA tablets are used with benzodiazepines or other CNS depressants (including alcohol and illicit drugs). Advise patients not to drive or operate heavy machinery until the effects of concomitant use of the benzodiazepine or other CNS depressant have been determined. Screen patients for risk of substance use disorders, including opioid abuse and misuse, and warn them of the risk for overdose and death associated with the use of additional CNS depressants including alcohol and illicit drugs [see Drug Interactions (7)].

2.2 Patient Access to An Opioid Overdose Reversal Agentagent for the Emergency Treatment of Opioid Overdose (2.2 PATIENT ACCESS TO AN OPIOID OVERDOSE REVERSAL AGENTAGENT FOR THE EMERGENCY TREATMENT OF OPIOID OVERDOSE)

Inform patients and caregivers about opioid overdose reversal agents (e.g., naloxone, nalmefene). Discuss the importance of having access to an opioid overdose reversal agent, especially if the patient has risk factors for overdose (e.g., concomitant use of CNS depressants, a history of opioid use disorder, or prior opioid overdose) or if there are household members (including children) or other close contacts at risk for accidental ingestion or opioid overdose. The presence of risk factors for overdose should not prevent the management of pain in any patient [see Warnings and Precautions (5.1, 5.2, 5.3)].

Discuss the options for obtaining an opioid overdose reversal agent (e.g., prescription, over-the-counter, or as part of a community-based program) [see Warnings and Precautions (5.3)].

There are important differences among the opioid overdose reversal agents, such as route of administration, product strength, approved patient age range, and pharmacokinetics. Be familiar with these differences, as outlined in the approved labeling for those products, prior to recommending or prescribing such an agent.

5.11 Risks of Use in Patients With Increased Intracranial Pressure, Brain Tumors, Head Injury, Or Impaired Consciousness (5.11 RISKS OF USE IN PATIENTS WITH INCREASED INTRACRANIAL PRESSURE, BRAIN TUMORS, HEAD INJURY, OR IMPAIRED CONSCIOUSNESS)

In patients who may be susceptible to the intracranial effects of CO2 retention (e.g., those with evidence of increased intracranial pressure or brain tumors), NUCYNTA tablets may reduce respiratory drive, and the resultant CO2 retention can further increase intracranial pressure.

Monitor such patients for signs of sedation and respiratory depression, particularly when initiating therapy with NUCYNTA tablets.

Opioids may also obscure the clinical course in a patient with a head injury. Avoid the use of NUCYNTA tablets in patients with impaired consciousness or coma.

5.8 Life Threatening Respiratory Depression in Patients With Chronic Pulmonary Disease Or in Elderly, Cachectic, Or Debilitated Patients (5.8 LIFE-THREATENING RESPIRATORY DEPRESSION IN PATIENTS WITH CHRONIC PULMONARY DISEASE OR IN ELDERLY, CACHECTIC, OR DEBILITATED PATIENTS)

The use of NUCYNTA tablets in patients with acute or severe bronchial asthma in an unmonitored setting or in the absence of resuscitative equipment is contraindicated.


Advanced Ingredient Data


Raw Label Data

All Sections (JSON)