Ciclopirox Olamine

Ciclopirox Olamine
SPL v9
SPL
SPL Set ID 7fa4032e-a819-4574-b484-c57aaf1c5b01
Route
TOPICAL
Published
Effective Date 2019-11-20
Document Type 34391-3 HUMAN PRESCRIPTION DRUG LABEL

Drug Facts

Composition & Product

Active Ingredients
Ciclopirox (7.7 mg)
Inactive Ingredients
Lactic Acid, Unspecified Form Mineral Oil Myristyl Alcohol Octyldodecanol Polysorbate 60 Water Sorbitan Monostearate Stearyl Alcohol Benzyl Alcohol Cetyl Alcohol Coco Diethanolamide

Identifiers & Packaging

Pill Appearance
Color: white
Marketing Status
ANDA Active Since 2005-04-12

Description

Rx Only FOR DERMATOLOGIC USE ONLY NOT FOR OPHTHALMIC USE

Indications and Usage

Ciclopirox olamine cream is indicated for the topical treatment of the following dermal infections: tinea pedis, tinea cruris, and tinea corporis due to Trichophyton rubrum , Trichophyton mentagrophytes , Epidermophyton floccosum , and Microsporum canis ; candidiasis (moniliasis) due to Candida albicans ; and tinea (pityriasis) versicolor due to Malassezia furfur .

Dosage and Administration

Gently massage ciclopirox olamine cream into the affected and surrounding skin areas twice daily, in the morning and evening. Clinical improvement with relief of pruritus and other symptoms usually occurs within the first week of treatment. If a patient shows no clinical improvement after four weeks of treatment with ciclopirox olamine cream, the diagnosis should be redetermined. Patients with tinea versicolor usually exhibit clinical and mycological clearing after two weeks of treatment.

Contraindications

Ciclopirox olamine cream is contraindicated in individuals who have shown hypersensitivity to any of its components.

Adverse Reactions

In all controlled clinical studies with 514 patients using ciclopirox olamine cream and in 296 patients using the vehicle cream, the incidence of adverse reactions was low. This included pruritus at the site of application in one patient and worsening of the clinical signs and symptoms in another patient using ciclopirox cream and burning in one patient and worsening of the clinical signs and symptoms in another patient using the vehicle cream. To report SUSPECTED ADVERSE REACTIONS, contact Sun Pharmaceutical Industries, Inc., at 1-866-923-4914 or FDA at 1-800-FDA-1088 or www.fda.gov/medwatch.

How Supplied

Ciclopirox Olamine Cream USP, 1.0% is supplied in 15 g (NDC 51672-1318-1), 30 g (NDC 51672-1318-2) and 90 g (NDC 51672-1318-8) tubes.


Medication Information

Indications and Usage

Ciclopirox olamine cream is indicated for the topical treatment of the following dermal infections: tinea pedis, tinea cruris, and tinea corporis due to Trichophyton rubrum, Trichophyton mentagrophytes, Epidermophyton floccosum, and Microsporum canis; candidiasis (moniliasis) due to Candida albicans; and tinea (pityriasis) versicolor due to Malassezia furfur.

Dosage and Administration

Gently massage ciclopirox olamine cream into the affected and surrounding skin areas twice daily, in the morning and evening. Clinical improvement with relief of pruritus and other symptoms usually occurs within the first week of treatment. If a patient shows no clinical improvement after four weeks of treatment with ciclopirox olamine cream, the diagnosis should be redetermined. Patients with tinea versicolor usually exhibit clinical and mycological clearing after two weeks of treatment.

Contraindications

Ciclopirox olamine cream is contraindicated in individuals who have shown hypersensitivity to any of its components.

Adverse Reactions

In all controlled clinical studies with 514 patients using ciclopirox olamine cream and in 296 patients using the vehicle cream, the incidence of adverse reactions was low. This included pruritus at the site of application in one patient and worsening of the clinical signs and symptoms in another patient using ciclopirox cream and burning in one patient and worsening of the clinical signs and symptoms in another patient using the vehicle cream.

To report SUSPECTED ADVERSE REACTIONS, contact Sun Pharmaceutical Industries, Inc., at 1-866-923-4914 or FDA at 1-800-FDA-1088 or www.fda.gov/medwatch.

How Supplied

Ciclopirox Olamine Cream USP, 1.0% is supplied in 15 g (NDC 51672-1318-1), 30 g (NDC 51672-1318-2) and 90 g (NDC 51672-1318-8) tubes.

Description

Ciclopirox Olamine Cream USP, 1.0% is for topical use.

Each gram of ciclopirox olamine cream USP contains 10 mg of ciclopirox olamine equivalent to 7.70 mg of ciclopirox in a water miscible vanishing cream base consisting of benzyl alcohol, cetyl alcohol, cocamide DEA, lactic acid, mineral oil, myristyl alcohol, octyldodecanol, polysorbate 60, purified water, sorbitan monostearate, and stearyl alcohol.

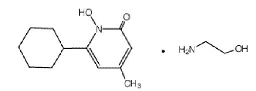
Ciclopirox olamine cream contains a synthetic, broad-spectrum, antifungal agent ciclopirox (as ciclopirox olamine). The chemical name is 6-cyclohexyl-1-hydroxy-4-methyl-2(1 H)-pyridone, 2-aminoethanol salt.

The CAS Registry Number is 41621-49-2. The chemical structure is:

Section 42229-5

Rx Only

FOR DERMATOLOGIC USE ONLY

NOT FOR OPHTHALMIC USE

Section 44425-7

Store at 20°-25°C (68°-77°F)[see USP Controlled Room Temperature].

Warnings

Ciclopirox olamine cream is not for ophthalmic use.

Keep out of reach of children.

Precautions

If a reaction suggesting sensitivity or chemical irritation should occur with the use of ciclopirox olamine cream, treatment should be discontinued and appropriate therapy instituted.

Pediatric Use

Safety and effectiveness in pediatric patients below the age of 10 years have not been established.

Nursing Mothers

It is not known whether this drug is excreted in human milk. Because many drugs are excreted in human milk, caution should be exercised when ciclopirox olamine cream is administered to a nursing woman.

Pharmacokinetics

Pharmacokinetic studies in men with tagged ciclopirox solution in polyethylene glycol 400 showed an average of 1.3% absorption of the dose when it was applied topically to 750 cm 2on the back followed by occlusion for 6 hours. The biological half-life was 1.7 hours and excretion occurred via the kidney. Two days after application only 0.01% of the dose applied could be found in the urine. Fecal excretion was negligible.

Penetration studies in human cadaverous skin from the back, with ciclopirox olamine cream with tagged ciclopirox showed the presence of 0.8 to 1.6% of the dose in the stratum corneum 1.5 to 6 hours after application. The levels in the dermis were still 10 to 15 times above the minimum inhibitory concentrations.

Autoradiographic studies with human cadaverous skin showed that ciclopirox penetrates into the hair and through the epidermis and hair follicles into the sebaceous glands and dermis, while a portion of the drug remains in the stratum corneum.

Draize Human Sensitization Assay, 21-Day Cumulative Irritancy study, Phototoxicity study, and Photo-Draize study conducted in a total of 142 healthy male subjects showed no contact sensitization of the delayed hypersensitivity type, no irritation, no phototoxicity, and no photo-contact sensitization due to Ciclopirox Olamine Cream USP, 1.0%.

Mechanism of Action

Ciclopirox is a hydroxypyridone antifungal agent that acts by chelation of polyvalent cations (Fe 3+or Al 3+), resulting in the inhibition of the metal-dependent enzymes that are responsible for the degradation of peroxides within the fungal cell.

Pregnancy Category B

There are no adequate or well-controlled studies in pregnant women. Therefore, ciclopirox olamine cream should be used during pregnancy only if the potential benefit justifies the potential risk to the fetus. Oral embryofetal developmental studies were conducted in mice, rats, rabbits and monkeys. Ciclopirox or ciclopirox olamine was orally administered during the period of organogenesis. No maternal toxicity, embryotoxicity or teratogenicity were noted at the highest doses of 77, 125, 80 and 38.5 mg/kg/day ciclopirox in mice, rats, rabbits and monkeys, respectively (approximately 11, 37, 51 and 24 times the maximum recommended human dose based on body surface area comparisons, respectively).

Dermal embryofetal developmental studies were conducted in rats and rabbits with ciclopirox olamine dissolved in PEG 400. Ciclopirox olamine was topically administered during the period of organogenesis. No maternal toxicity, embryotoxicity or teratogenicity were noted at the highest doses of 92 mg/kg/day and 77 mg/kg/day ciclopirox in rats and rabbits, respectively (approximately 27 and 49 times the maximum recommended human dose based on body surface area comparisons, respectively).

Information for Patients

The patient should be told to:

  • Use the medication for the full treatment time even though symptoms may have improved and notify the physician if there is no improvement after four weeks.
  • Inform the physician if the area of application shows signs of increased irritation (redness, itching, burning, blistering, swelling, or oozing) indicative of possible sensitization.
  • Avoid the use of occlusive wrappings or dressings.
Principal Display Panel 90 G Tube Carton

NDC 51672-1318-8

Ciclopirox Olamine Cream USP

FOR DERMATOLOGIC USE ONLY.

NOT FOR OPHTHALMIC USE.

Keep this and all medications out of the reach of children.

Carcinogenesis, Mutagenesis, and Impairment of Fertility

A 104-week dermal carcinogenicity study in mice was conducted with ciclopirox cream applied at doses up to 1.93% (100 mg/kg/day or 300 mg/m 2/day). No increase in drug related neoplasms was noted when compared to control.

The following in vitrogenotoxicity tests have been conducted with ciclopirox: evaluation of gene mutation in the Ames Salmonella and E. coli assays (negative); chromosome aberration assays in V79 Chinese hamster lung fibroblast cells, with and without metabolic activation (positive); chromosome aberration assays in V79 Chinese hamster lung fibroblast cells in the presence of supplemental Fe 3+, with and without metabolic activation (negative); gene mutation assays in the HGPRT-test with V79 Chinese hamster lung fibroblast cells (negative); and a primary DNA damage assay (i.e., unscheduled DNA synthesis assay in A549 human cells) (negative). An in vitrocell transformation assay in BALB/c 3T3 cells was negative for cell transformation. In an in vivoChinese hamster bone marrow cytogenetic assay, ciclopirox was negative for chromosome aberrations at a dosage of 5000 mg/kg body weight.

A combined oral fertility and embryofetal developmental study was conducted in rats with ciclopirox olamine. No effect on fertility or reproductive performance was noted at the highest dose tested of 3.85 mg/kg/day ciclopirox (approximately 1.2 times the maximum recommended human dose based on body surface area comparisons).


Structured Label Content

Section 42229-5 (42229-5)

Rx Only

FOR DERMATOLOGIC USE ONLY

NOT FOR OPHTHALMIC USE

Section 44425-7 (44425-7)

Store at 20°-25°C (68°-77°F)[see USP Controlled Room Temperature].

Warnings (WARNINGS)

Ciclopirox olamine cream is not for ophthalmic use.

Keep out of reach of children.

Description (DESCRIPTION)

Ciclopirox Olamine Cream USP, 1.0% is for topical use.

Each gram of ciclopirox olamine cream USP contains 10 mg of ciclopirox olamine equivalent to 7.70 mg of ciclopirox in a water miscible vanishing cream base consisting of benzyl alcohol, cetyl alcohol, cocamide DEA, lactic acid, mineral oil, myristyl alcohol, octyldodecanol, polysorbate 60, purified water, sorbitan monostearate, and stearyl alcohol.

Ciclopirox olamine cream contains a synthetic, broad-spectrum, antifungal agent ciclopirox (as ciclopirox olamine). The chemical name is 6-cyclohexyl-1-hydroxy-4-methyl-2(1 H)-pyridone, 2-aminoethanol salt.

The CAS Registry Number is 41621-49-2. The chemical structure is:

Precautions (PRECAUTIONS)

If a reaction suggesting sensitivity or chemical irritation should occur with the use of ciclopirox olamine cream, treatment should be discontinued and appropriate therapy instituted.

How Supplied (HOW SUPPLIED)

Ciclopirox Olamine Cream USP, 1.0% is supplied in 15 g (NDC 51672-1318-1), 30 g (NDC 51672-1318-2) and 90 g (NDC 51672-1318-8) tubes.

Pediatric Use

Safety and effectiveness in pediatric patients below the age of 10 years have not been established.

Nursing Mothers

It is not known whether this drug is excreted in human milk. Because many drugs are excreted in human milk, caution should be exercised when ciclopirox olamine cream is administered to a nursing woman.

Pharmacokinetics

Pharmacokinetic studies in men with tagged ciclopirox solution in polyethylene glycol 400 showed an average of 1.3% absorption of the dose when it was applied topically to 750 cm 2on the back followed by occlusion for 6 hours. The biological half-life was 1.7 hours and excretion occurred via the kidney. Two days after application only 0.01% of the dose applied could be found in the urine. Fecal excretion was negligible.

Penetration studies in human cadaverous skin from the back, with ciclopirox olamine cream with tagged ciclopirox showed the presence of 0.8 to 1.6% of the dose in the stratum corneum 1.5 to 6 hours after application. The levels in the dermis were still 10 to 15 times above the minimum inhibitory concentrations.

Autoradiographic studies with human cadaverous skin showed that ciclopirox penetrates into the hair and through the epidermis and hair follicles into the sebaceous glands and dermis, while a portion of the drug remains in the stratum corneum.

Draize Human Sensitization Assay, 21-Day Cumulative Irritancy study, Phototoxicity study, and Photo-Draize study conducted in a total of 142 healthy male subjects showed no contact sensitization of the delayed hypersensitivity type, no irritation, no phototoxicity, and no photo-contact sensitization due to Ciclopirox Olamine Cream USP, 1.0%.

Adverse Reactions (ADVERSE REACTIONS)

In all controlled clinical studies with 514 patients using ciclopirox olamine cream and in 296 patients using the vehicle cream, the incidence of adverse reactions was low. This included pruritus at the site of application in one patient and worsening of the clinical signs and symptoms in another patient using ciclopirox cream and burning in one patient and worsening of the clinical signs and symptoms in another patient using the vehicle cream.

To report SUSPECTED ADVERSE REACTIONS, contact Sun Pharmaceutical Industries, Inc., at 1-866-923-4914 or FDA at 1-800-FDA-1088 or www.fda.gov/medwatch.

Contraindications (CONTRAINDICATIONS)

Ciclopirox olamine cream is contraindicated in individuals who have shown hypersensitivity to any of its components.

Mechanism of Action

Ciclopirox is a hydroxypyridone antifungal agent that acts by chelation of polyvalent cations (Fe 3+or Al 3+), resulting in the inhibition of the metal-dependent enzymes that are responsible for the degradation of peroxides within the fungal cell.

Pregnancy Category B

There are no adequate or well-controlled studies in pregnant women. Therefore, ciclopirox olamine cream should be used during pregnancy only if the potential benefit justifies the potential risk to the fetus. Oral embryofetal developmental studies were conducted in mice, rats, rabbits and monkeys. Ciclopirox or ciclopirox olamine was orally administered during the period of organogenesis. No maternal toxicity, embryotoxicity or teratogenicity were noted at the highest doses of 77, 125, 80 and 38.5 mg/kg/day ciclopirox in mice, rats, rabbits and monkeys, respectively (approximately 11, 37, 51 and 24 times the maximum recommended human dose based on body surface area comparisons, respectively).

Dermal embryofetal developmental studies were conducted in rats and rabbits with ciclopirox olamine dissolved in PEG 400. Ciclopirox olamine was topically administered during the period of organogenesis. No maternal toxicity, embryotoxicity or teratogenicity were noted at the highest doses of 92 mg/kg/day and 77 mg/kg/day ciclopirox in rats and rabbits, respectively (approximately 27 and 49 times the maximum recommended human dose based on body surface area comparisons, respectively).

Indications and Usage (INDICATIONS AND USAGE)

Ciclopirox olamine cream is indicated for the topical treatment of the following dermal infections: tinea pedis, tinea cruris, and tinea corporis due to Trichophyton rubrum, Trichophyton mentagrophytes, Epidermophyton floccosum, and Microsporum canis; candidiasis (moniliasis) due to Candida albicans; and tinea (pityriasis) versicolor due to Malassezia furfur.

Information for Patients

The patient should be told to:

  • Use the medication for the full treatment time even though symptoms may have improved and notify the physician if there is no improvement after four weeks.
  • Inform the physician if the area of application shows signs of increased irritation (redness, itching, burning, blistering, swelling, or oozing) indicative of possible sensitization.
  • Avoid the use of occlusive wrappings or dressings.
Dosage and Administration (DOSAGE AND ADMINISTRATION)

Gently massage ciclopirox olamine cream into the affected and surrounding skin areas twice daily, in the morning and evening. Clinical improvement with relief of pruritus and other symptoms usually occurs within the first week of treatment. If a patient shows no clinical improvement after four weeks of treatment with ciclopirox olamine cream, the diagnosis should be redetermined. Patients with tinea versicolor usually exhibit clinical and mycological clearing after two weeks of treatment.

Principal Display Panel 90 G Tube Carton (PRINCIPAL DISPLAY PANEL - 90 g Tube Carton)

NDC 51672-1318-8

Ciclopirox Olamine Cream USP

FOR DERMATOLOGIC USE ONLY.

NOT FOR OPHTHALMIC USE.

Keep this and all medications out of the reach of children.

Carcinogenesis, Mutagenesis, and Impairment of Fertility

A 104-week dermal carcinogenicity study in mice was conducted with ciclopirox cream applied at doses up to 1.93% (100 mg/kg/day or 300 mg/m 2/day). No increase in drug related neoplasms was noted when compared to control.

The following in vitrogenotoxicity tests have been conducted with ciclopirox: evaluation of gene mutation in the Ames Salmonella and E. coli assays (negative); chromosome aberration assays in V79 Chinese hamster lung fibroblast cells, with and without metabolic activation (positive); chromosome aberration assays in V79 Chinese hamster lung fibroblast cells in the presence of supplemental Fe 3+, with and without metabolic activation (negative); gene mutation assays in the HGPRT-test with V79 Chinese hamster lung fibroblast cells (negative); and a primary DNA damage assay (i.e., unscheduled DNA synthesis assay in A549 human cells) (negative). An in vitrocell transformation assay in BALB/c 3T3 cells was negative for cell transformation. In an in vivoChinese hamster bone marrow cytogenetic assay, ciclopirox was negative for chromosome aberrations at a dosage of 5000 mg/kg body weight.

A combined oral fertility and embryofetal developmental study was conducted in rats with ciclopirox olamine. No effect on fertility or reproductive performance was noted at the highest dose tested of 3.85 mg/kg/day ciclopirox (approximately 1.2 times the maximum recommended human dose based on body surface area comparisons).


Advanced Ingredient Data


Raw Label Data

All Sections (JSON)