These Highlights Do Not Include All The Information Needed To Use Mycophenolic Acid Delayed-release Tablets Safely And Effectively. See Full Prescribing Information For Mycophenolic Acid Delayed-release Tablets.

These Highlights Do Not Include All The Information Needed To Use Mycophenolic Acid Delayed-release Tablets Safely And Effectively. See Full Prescribing Information For Mycophenolic Acid Delayed-release Tablets.
SPL v1
SPL
SPL Set ID 7f8d259a-9880-bb8b-2738-b3c6c1edf152
Route
ORAL
Published
Effective Date 2023-07-06
Document Type 34391-3 HUMAN PRESCRIPTION DRUG LABEL

Drug Facts

Composition & Product

Active Ingredients
Mycophenolic Acid (180 mg)
Inactive Ingredients
Anhydrous Lactose Silicon Dioxide Croscarmellose Sodium Starch, Corn Crospovidone Povidone K30 Magnesium Stearate Hypromellose Phthalate (24% Phthalate, 55 Cst) Ferric Oxide Yellow Titanium Dioxide Fd&c Blue No. 2 Ferrosoferric Oxide Propylene Glycol Ammonia Shellac Ferric Oxide Red

Identifiers & Packaging

Marketing Status
ANDA Active Since 2024-09-30

Description

Use during pregnancy is associated with increased risks of pregnancy loss and congenital malformations. Avoid if safer treatment options are available. Females of reproductive potential must be counseled regarding pregnancy prevention and planning [see Warnings and Precautions (5.1) , Use in Specific Populations ( 8.1 , 8.3 )]. Only physicians experienced in immunosuppressive therapy and management of organ transplant patients should prescribe mycophenolic acid delayed-release tablets. Patients receiving mycophenolic acid delayed-release tablets should be managed in facilities equipped and staffed with adequate laboratory and supportive medical resources. The physician responsible for maintenance therapy should have complete information requisite for the follow-up of the patient [see Warnings and Precautions (5.2) ]. Increased risk of development of lymphoma and other malignancies, particularly of the skin, due to immunosuppression [see Warnings and Precautions (5.3) ]. Increased susceptibility to bacterial, viral, fungal, and protozoal infections, including opportunistic infections [see Warnings and Precautions ( 5.4 , 5.5 )].

Indications and Usage

Mycophenolic acid is an antimetabolite immunosuppressant indicated for prophylaxis of organ rejection in adult patients receiving kidney transplants and in pediatric patients at least 5 years of age and older who are at least 6 months post kidney transplant. ( 1.1 ) Use in combination with cyclosporine and corticosteroids. ( 1.1 ) Limitations of Use: Mycophenolic acid delayed-release tablets and mycophenolate mofetil tablets and capsules should not be used interchangeably. ( 1.2 )

Dosage and Administration

In adults: 720 mg by mouth, twice daily (1,440 mg total daily dose) on an empty stomach, 1 hour before or 2 hours after food intake. ( 2.1 ) In children: 5 years of age and older (who are at least 6 months post kidney transplant), 400 mg/m 2 by mouth, twice daily (up to a maximum of 720 mg twice daily). ( 2.2 ) Do not crush, chew, or cut tablet prior to ingestion. ( 2.3 )

Warnings and Precautions

New or Reactivated Viral Infections: Consider reducing immunosuppression. ( 5.5 ) Blood Dyscrasias, including Pure Red Cell Aplasia (PRCA): Monitor for neutropenia or anemia; consider treatment interruption or dose reduction. ( 5.6 ) Serious GI Tract Complications (gastrointestinal bleeding, perforations and ulcers): Administer with caution to patients with active digestive system disease. ( 5.7 ) Immunizations: Avoid live attenuated vaccines. ( 5.9 ) Patients with Hereditary Deficiency of Hypoxanthine-guanine Phosphoribosyl‑transferase (HGPRT): May cause exacerbation of disease symptoms; avoid use. ( 5.10 ) Blood Donation: Avoid during therapy and for 6 weeks thereafter. ( 5.11 ) Semen Donation: Avoid during therapy and for 90 days thereafter. ( 5.12 )

Contraindications

Known hypersensitivity to mycophenolate sodium, mycophenolic acid (MPA), mycophenolate mofetil, or to any of its excipients. ( 4.1 )

Adverse Reactions

The following adverse reactions are discussed in greater detail in other sections of the label. Embryo-Fetal Toxicity [see Boxed Warning , Warnings and Precautions (5.1) ] Lymphomas and Other Malignancies [see Boxed Warning , Warnings and Precautions (5.3) ] Serious Infections [see Boxed Warning , Warnings and Precautions (5.4) ] New or Reactivated Viral Infections [see Warnings and Precautions (5.5) ] Blood Dyscrasias, Including Pure Red Cell Aplasia [see Warnings and Precautions (5.6) ] Serious GI Tract Complications [see Warnings and Precautions (5.7) ] Acute Inflammatory Syndrome Associated with Mycophenolate Products [see Warnings and Precautions (5.8) ] Rare Hereditary Deficiencies [see Warnings and Precautions (5.10) ]

Drug Interactions

Antacids with Magnesium and Aluminum Hydroxides: Decreases concentrations of MPA; concomitant use is not recommended. ( 7.1 ) Azathioprine: Competition for purine metabolism; concomitant administration is not recommended. ( 7.2 ) Cholestyramine, Bile Acid Sequestrates, Oral Activated Charcoal, and Other Drugs that Interfere with Enterohepatic Recirculation: May decrease MPA concentrations; concomitant use is not recommended. ( 7.3 ) Sevelamer: May decrease MPA concentrations; concomitant use is not recommended. ( 7.4 ) Cyclosporine: May decrease MPA concentrations; exercise caution when switching from cyclosporine to other drugs or from other drugs to cyclosporine. ( 7.5 ) Norfloxacin and Metronidazole: May decrease MPA concentrations; concomitant use with both drugs is not recommended. ( 7.6 ) Rifampin: May decrease MPA concentrations; concomitant use is not recommended unless the benefit outweighs the risk. ( 7.7 ) Hormonal Contraceptives: May reduce the effectiveness of oral contraceptives. Additional barrier contraceptive methods must be used. ( 5.2 , 7.8 ) Acyclovir, Valacyclovir, Ganciclovir, Valganciclovir, and Other Drugs that Undergo Renal Tubular Secretion: May increase concentrations of mycophenolic acid glucuronide (MPAG) and co-administered drug; monitor blood cell counts. ( 7.9 )

Storage and Handling

Mycophenolic acid delayed-release tablets, USP are available in the strengths and packages listed below: 360 mg tablet: Light-pink, film-coated, ovaloid, biconvex tablets, imprinted with “ aP36 ” on one side and plain on the other side, containing 360 mg mycophenolic acid (MPA) as mycophenolate sodium, USP. Bottles of 120............................................................................................ NDC 70377-127-11 180 mg tablet: Light-green, film-coated, round, beveled edged, biconvex tablets, imprinted with “ aP18 ” on one side and plain on the other side, containing 180 mg mycophenolic acid (MPA) as mycophenolate sodium, USP. Bottles of 120............................................................................................ NDC 70377-126-11 Storage Store at 20°C to 25°C (68°F to 77°F); excursions permitted between 15°C and 30°C (59°F and 86°F) [see USP Controlled Room Temperature]. Protect from moisture. Dispense in a tight container (USP). Handling Keep out of reach and sight of children. Mycophenolic acid delayed-release tablets should not be crushed or cut in order to maintain the integrity of the enteric coating [see Dosage and Administration (2.3) ]. Teratogenic effects have been observed with mycophenolate sodium [see Warnings and Precautions (5.1) ] . If for any reason the mycophenolic acid delayedrelease tablets must be crushed, avoid inhalation of the powder, or direct contact of the powder, with skin or mucous membranes.

How Supplied

Mycophenolic acid delayed-release tablets, USP are available in the strengths and packages listed below: 360 mg tablet: Light-pink, film-coated, ovaloid, biconvex tablets, imprinted with “ aP36 ” on one side and plain on the other side, containing 360 mg mycophenolic acid (MPA) as mycophenolate sodium, USP. Bottles of 120............................................................................................ NDC 70377-127-11 180 mg tablet: Light-green, film-coated, round, beveled edged, biconvex tablets, imprinted with “ aP18 ” on one side and plain on the other side, containing 180 mg mycophenolic acid (MPA) as mycophenolate sodium, USP. Bottles of 120............................................................................................ NDC 70377-126-11 Storage Store at 20°C to 25°C (68°F to 77°F); excursions permitted between 15°C and 30°C (59°F and 86°F) [see USP Controlled Room Temperature]. Protect from moisture. Dispense in a tight container (USP). Handling Keep out of reach and sight of children. Mycophenolic acid delayed-release tablets should not be crushed or cut in order to maintain the integrity of the enteric coating [see Dosage and Administration (2.3) ]. Teratogenic effects have been observed with mycophenolate sodium [see Warnings and Precautions (5.1) ] . If for any reason the mycophenolic acid delayedrelease tablets must be crushed, avoid inhalation of the powder, or direct contact of the powder, with skin or mucous membranes.


Medication Information

Warnings and Precautions

New or Reactivated Viral Infections: Consider reducing immunosuppression. ( 5.5 ) Blood Dyscrasias, including Pure Red Cell Aplasia (PRCA): Monitor for neutropenia or anemia; consider treatment interruption or dose reduction. ( 5.6 ) Serious GI Tract Complications (gastrointestinal bleeding, perforations and ulcers): Administer with caution to patients with active digestive system disease. ( 5.7 ) Immunizations: Avoid live attenuated vaccines. ( 5.9 ) Patients with Hereditary Deficiency of Hypoxanthine-guanine Phosphoribosyl‑transferase (HGPRT): May cause exacerbation of disease symptoms; avoid use. ( 5.10 ) Blood Donation: Avoid during therapy and for 6 weeks thereafter. ( 5.11 ) Semen Donation: Avoid during therapy and for 90 days thereafter. ( 5.12 )

Indications and Usage

Mycophenolic acid is an antimetabolite immunosuppressant indicated for prophylaxis of organ rejection in adult patients receiving kidney transplants and in pediatric patients at least 5 years of age and older who are at least 6 months post kidney transplant. ( 1.1 ) Use in combination with cyclosporine and corticosteroids. ( 1.1 ) Limitations of Use: Mycophenolic acid delayed-release tablets and mycophenolate mofetil tablets and capsules should not be used interchangeably. ( 1.2 )

Dosage and Administration

In adults: 720 mg by mouth, twice daily (1,440 mg total daily dose) on an empty stomach, 1 hour before or 2 hours after food intake. ( 2.1 ) In children: 5 years of age and older (who are at least 6 months post kidney transplant), 400 mg/m 2 by mouth, twice daily (up to a maximum of 720 mg twice daily). ( 2.2 ) Do not crush, chew, or cut tablet prior to ingestion. ( 2.3 )

Contraindications

Known hypersensitivity to mycophenolate sodium, mycophenolic acid (MPA), mycophenolate mofetil, or to any of its excipients. ( 4.1 )

Adverse Reactions

The following adverse reactions are discussed in greater detail in other sections of the label. Embryo-Fetal Toxicity [see Boxed Warning , Warnings and Precautions (5.1) ] Lymphomas and Other Malignancies [see Boxed Warning , Warnings and Precautions (5.3) ] Serious Infections [see Boxed Warning , Warnings and Precautions (5.4) ] New or Reactivated Viral Infections [see Warnings and Precautions (5.5) ] Blood Dyscrasias, Including Pure Red Cell Aplasia [see Warnings and Precautions (5.6) ] Serious GI Tract Complications [see Warnings and Precautions (5.7) ] Acute Inflammatory Syndrome Associated with Mycophenolate Products [see Warnings and Precautions (5.8) ] Rare Hereditary Deficiencies [see Warnings and Precautions (5.10) ]

Drug Interactions

Antacids with Magnesium and Aluminum Hydroxides: Decreases concentrations of MPA; concomitant use is not recommended. ( 7.1 ) Azathioprine: Competition for purine metabolism; concomitant administration is not recommended. ( 7.2 ) Cholestyramine, Bile Acid Sequestrates, Oral Activated Charcoal, and Other Drugs that Interfere with Enterohepatic Recirculation: May decrease MPA concentrations; concomitant use is not recommended. ( 7.3 ) Sevelamer: May decrease MPA concentrations; concomitant use is not recommended. ( 7.4 ) Cyclosporine: May decrease MPA concentrations; exercise caution when switching from cyclosporine to other drugs or from other drugs to cyclosporine. ( 7.5 ) Norfloxacin and Metronidazole: May decrease MPA concentrations; concomitant use with both drugs is not recommended. ( 7.6 ) Rifampin: May decrease MPA concentrations; concomitant use is not recommended unless the benefit outweighs the risk. ( 7.7 ) Hormonal Contraceptives: May reduce the effectiveness of oral contraceptives. Additional barrier contraceptive methods must be used. ( 5.2 , 7.8 ) Acyclovir, Valacyclovir, Ganciclovir, Valganciclovir, and Other Drugs that Undergo Renal Tubular Secretion: May increase concentrations of mycophenolic acid glucuronide (MPAG) and co-administered drug; monitor blood cell counts. ( 7.9 )

Storage and Handling

Mycophenolic acid delayed-release tablets, USP are available in the strengths and packages listed below: 360 mg tablet: Light-pink, film-coated, ovaloid, biconvex tablets, imprinted with “ aP36 ” on one side and plain on the other side, containing 360 mg mycophenolic acid (MPA) as mycophenolate sodium, USP. Bottles of 120............................................................................................ NDC 70377-127-11 180 mg tablet: Light-green, film-coated, round, beveled edged, biconvex tablets, imprinted with “ aP18 ” on one side and plain on the other side, containing 180 mg mycophenolic acid (MPA) as mycophenolate sodium, USP. Bottles of 120............................................................................................ NDC 70377-126-11 Storage Store at 20°C to 25°C (68°F to 77°F); excursions permitted between 15°C and 30°C (59°F and 86°F) [see USP Controlled Room Temperature]. Protect from moisture. Dispense in a tight container (USP). Handling Keep out of reach and sight of children. Mycophenolic acid delayed-release tablets should not be crushed or cut in order to maintain the integrity of the enteric coating [see Dosage and Administration (2.3) ]. Teratogenic effects have been observed with mycophenolate sodium [see Warnings and Precautions (5.1) ] . If for any reason the mycophenolic acid delayedrelease tablets must be crushed, avoid inhalation of the powder, or direct contact of the powder, with skin or mucous membranes.

How Supplied

Mycophenolic acid delayed-release tablets, USP are available in the strengths and packages listed below: 360 mg tablet: Light-pink, film-coated, ovaloid, biconvex tablets, imprinted with “ aP36 ” on one side and plain on the other side, containing 360 mg mycophenolic acid (MPA) as mycophenolate sodium, USP. Bottles of 120............................................................................................ NDC 70377-127-11 180 mg tablet: Light-green, film-coated, round, beveled edged, biconvex tablets, imprinted with “ aP18 ” on one side and plain on the other side, containing 180 mg mycophenolic acid (MPA) as mycophenolate sodium, USP. Bottles of 120............................................................................................ NDC 70377-126-11 Storage Store at 20°C to 25°C (68°F to 77°F); excursions permitted between 15°C and 30°C (59°F and 86°F) [see USP Controlled Room Temperature]. Protect from moisture. Dispense in a tight container (USP). Handling Keep out of reach and sight of children. Mycophenolic acid delayed-release tablets should not be crushed or cut in order to maintain the integrity of the enteric coating [see Dosage and Administration (2.3) ]. Teratogenic effects have been observed with mycophenolate sodium [see Warnings and Precautions (5.1) ] . If for any reason the mycophenolic acid delayedrelease tablets must be crushed, avoid inhalation of the powder, or direct contact of the powder, with skin or mucous membranes.

Description

Use during pregnancy is associated with increased risks of pregnancy loss and congenital malformations. Avoid if safer treatment options are available. Females of reproductive potential must be counseled regarding pregnancy prevention and planning [see Warnings and Precautions (5.1) , Use in Specific Populations ( 8.1 , 8.3 )]. Only physicians experienced in immunosuppressive therapy and management of organ transplant patients should prescribe mycophenolic acid delayed-release tablets. Patients receiving mycophenolic acid delayed-release tablets should be managed in facilities equipped and staffed with adequate laboratory and supportive medical resources. The physician responsible for maintenance therapy should have complete information requisite for the follow-up of the patient [see Warnings and Precautions (5.2) ]. Increased risk of development of lymphoma and other malignancies, particularly of the skin, due to immunosuppression [see Warnings and Precautions (5.3) ]. Increased susceptibility to bacterial, viral, fungal, and protozoal infections, including opportunistic infections [see Warnings and Precautions ( 5.4 , 5.5 )].

Section 42229-5

Signs and Symptoms

There have been anecdotal reports of deliberate or accidental overdoses with mycophenolic acid delayed‑release tablets, whereas not all patients experienced related adverse reactions.

In those overdose cases in which adverse reactions were reported, the reactions fall within the known safety profile of the class. Accordingly, an overdose of mycophenolic acid delayed‑release tablets could possibly result in oversuppression of the immune system and may increase the susceptibility to infection, including opportunistic infections, fatal infections and sepsis. If blood dyscrasias occur (e.g., neutropenia with absolute neutrophil count < 1.5 x 103/mcL or anemia), it may be appropriate to interrupt or discontinue mycophenolic acid delayed‑release tablets.

Possible signs and symptoms of acute overdose could include the following: hematological abnormalities, such as leukopenia and neutropenia, and gastrointestinal symptoms, such as abdominal pain, diarrhea, nausea and vomiting, and dyspepsia.

Section 42231-1
 This Medication Guide has been approved by the U.S. Food and Drug Administration.  Revised: 8/2024 

MEDICATION GUIDE

Mycophenolic Acid

(mye” koe fe nole’ ik as’ id)

Delayed-Release Tablets

Read the Medication Guide that comes with mycophenolic acid delayed-release tablets before you start taking it and each time you get a refill. There may be new information. This Medication Guide does not take the place of talking with your healthcare provider about your medical condition or treatment. If you have any questions about mycophenolic acid delayed-release tablets, ask your doctor.



What is the most important information I should know about mycophenolic acid delayed-release tablets?

Mycophenolic acid delayed-release tablets can cause serious side effects, including:

  • Increased risk of loss of pregnancy (miscarriage) and higher risk of birth defects. Females who take mycophenolic acid delayed-release tablets during pregnancy, have a higher risk of miscarriage during the first 3 months (first trimester), and a higher risk that their baby will be born with birth defects.
    • If you are a female who can become pregnant:
      • your doctor must talk with you about acceptable birth control methods (contraceptive counseling) while taking mycophenolic acid delayed-release tablets.
      • you should have a pregnancy test immediately before starting mycophenolic acid delayed-release tablets and another pregnancy test 8 days to 10 days later. Pregnancy tests should be repeated during routine follow-up visits with your doctor. Talk to your doctor about the results of all of your pregnancy tests.
      • you must use acceptable birth control during your entire mycophenolic acid delayed-release tablets therapy and for 6 weeks after stopping mycophenolic acid delayed-release tablets, unless at any time you choose to avoid sexual intercourse (abstinence) with a man completely. Mycophenolic acid delayed-release tablets decrease blood levels of the hormones in birth control pills that you take by mouth. Birth control pills may not work as well while you take mycophenolic acid delayed-release tablets and you could become pregnant. If you decide to take birth control pills while using mycophenolic acid delayed-release tablets, you must also use another form of birth control. Talk to your doctor about other birth control methods that can be used while taking mycophenolic acid delayed-release tablets.
    • If you are a sexually active male whose female partner can become pregnant use effective contraception while you are taking mycophenolic acid delayed-release tablets, and for at least 90 days after stopping mycophenolic acid delayed-release tablets.
  • If you plan to become pregnant, talk with your doctor. Your doctor will decide if other medicines to prevent rejection may be right for you.
  • If you become pregnant while taking mycophenolic acid delayed-release tablets, do not stop taking mycophenolic acid delayed-release tablets. Call your doctor right away. You and your doctor may decide that other medicines to prevent rejection may be right for you. You and your doctor should report your pregnancy to

    Mycophenolate Pregnancy Registry (1-800-617-8191)
    The purpose of this registry is to gather information about the health of your baby.

  • Increased risk of getting serious infections. Mycophenolic acid delayed-release tablets weaken the body’s immune system and affects your ability to fight infections. Serious infections can happen with mycophenolic acid delayed-release tablets and can lead to death. These serious infections can include:
    • Viral infections. Certain viruses can live in your body and cause active infections when your immune system is weak. Viral infections that can happen with mycophenolic acid delayed-release tablets include:
      • Shingles, other herpes infections, and cytomegalovirus (CMV). CMV can cause serious tissue and blood infections.
      • BK virus. BK virus can affect how your kidney works and cause your transplanted kidney to fail.
      • Hepatitis B and C viruses. Hepatitis viruses can affect how your liver works. Talk to your doctor about how hepatitis viruses may affect you.
      • COVID-19
  • A brain infection called Progressive Multifocal Leukoencephalopathy (PML). In some patients mycophenolic acid delayed-release tablets may cause an infection of the brain that may cause death. You are at risk for this brain infection because you have a weakened immune system. You should tell your healthcare provider right away if you have any of the following symptoms:
    • Weakness on one side of the body
    • You do not care about things that you usually care about (apathy)
    • You are confused or have problems thinking
    • You cannot control your muscles
  • Fungal infections. Yeast and other types of fungal infections can happen with mycophenolic acid delayed-release tablets and cause serious tissue and blood infections. See “What are the possible side effects of mycophenolic acid delayed-release tablets?”
Call your doctor right away if you have any of these signs and symptoms of infection:
  • Temperature of 100.5°F or greater
  • Cold symptoms, such as a runny nose or sore throat
  • Flu symptoms, such as an upset stomach, stomach pain, vomiting, or diarrhea
  • Earache or headache
  • Pain during urination or you need to urinate often
  • White patches in the mouth or throat
  • Unexpected bruising or bleeding
  • Cuts, scrapes, or incisions that are red, warm, and oozing pus
  • Increased risk of getting certain cancers. People who take mycophenolic acid delayed-release tablets have a higher risk of getting lymphoma, and other cancers, especially skin cancer. Tell your doctor if you have:
    • unexplained fever, tiredness that does not go away, weight loss, or lymph node swelling
    • a brown or black skin lesion with uneven borders, or one part of the lesion does not look like other parts
    • a change in the size or color of a mole
    • a new skin lesion or bump
    • any other changes to your health
See the section “What are the possible side effects of mycophenolic acid delayed-release tablets?” for other serious side effects.

What are mycophenolic acid delayed-release tablets?



Mycophenolic acid delayed-release tablets are a prescription medicine given to prevent rejection (antirejection medicine) in people who have received a kidney transplant. Rejection is when the body’s immune system senses the new organ as “foreign” and attacks it.

Mycophenolic acid delayed-release tablets are used with other medicines containing cyclosporine (Sandimmune ®, Gengraf ®, and Neoral ®) and corticosteroids.

Mycophenolic acid delayed-release tablets can be used to prevent rejection in children who are 5 years or older and are stable after having a kidney transplant. It is not known if mycophenolic acid delayed-release tablets are safe and work in children younger than 5 years. It is not known how mycophenolic acid delayed-release tablets work in children who have just received a new kidney transplant.

Who should not take mycophenolic acid delayed-release tablets?



Do not take mycophenolic acid delayed-release tablets if you are allergic to mycophenolic acid (MPA), mycophenolate sodium, mycophenolate mofetil, or any of the ingredients in mycophenolic acid delayed-release tablets. See the end of this Medication Guide for a complete list of ingredients in mycophenolic acid delayed-release tablets.

What should I tell my doctor before I start taking mycophenolic acid delayed-release tablets?

Tell your healthcare provider about all of your medical conditions, including if you:

  • have any digestive problems, such as ulcers
  • plan to receive any vaccines. You should not receive live vaccines while you take mycophenolic acid delayed-release tablets. Some vaccines may not work as well during treatment with mycophenolic acid delayed-release tablets.
  • have Lesch-Nyhan or Kelley-Seegmiller syndrome or another rare inherited deficiency of hypoxanthine-guanine phosphoribosyl-transferase (HGPRT). You should not take mycophenolic acid delayed-release tablets if you have one of these disorders.
  • are pregnant or planning to become pregnant. See “What is the most important information I should know about mycophenolic acid delayed-release tablets?”
  • are breastfeeding or plan to breastfeed. It is not known if mycophenolic acid passes into breast milk. You and your doctor will decide if you will breastfeed while taking mycophenolic acid delayed-release tablets.

Tell your doctor about all the medicines you take, including prescription and nonprescription medicines, vitamins, and herbal supplements.

Some medicines may affect the way mycophenolic acid delayed-release tablets work and mycophenolic acid delayed-release tablets may affect how some medicines work. Especially tell your doctor if you take:

  • birth control pills (oral contraceptives). See “What is the most important information I should know about mycophenolic acid delayed-release tablets?”
  • antacids that contain aluminum or magnesium. Mycophenolic acid delayed-release tablets and antacids should not be taken at the same time.
  • acyclovir (Zovirax ®), Ganciclovir (Cytovene ® IV, Valcyte ®)
  • azathioprine (Azasan ®, Imuran ®)
  • cholestyramine (Questran ® Light, Questranâ, Locholest Light, Prevaliteâ)

Know the medicines you take. Keep a list of your medicines with you to show your healthcare provider and pharmacist when you get a new medicine. Do not take any new medicine without talking to your doctor.

How should I take mycophenolic acid delayed-release tablets?

  • Take mycophenolic acid delayed-release tablets exactly as prescribed. Your healthcare provider will tell you how much mycophenolic acid delayed-release tablets to take.
  • Do not stop taking or change your dose of mycophenolic acid delayed-release tablets without talking to your healthcare provider.
  • Take mycophenolic acid delayed-release tablets on an empty stomach, either 1 hour before or 2 hours after a meal.
  • Swallow mycophenolic acid delayed-release tablets whole. Do not crush, chew, or cut mycophenolic acid delayed-release tablets. The mycophenolic acid delayed-release tablets have a coating so that the medicine will pass through your stomach and dissolve in your intestine.
    • If you forget to take mycophenolic acid delayed-release tablets, take it as soon as you remember and then take your next dose at its regular time. If it is almost time for your next dose, skip the missed dose. Do not take two doses at the same time. Call your doctor or pharmacist if you are not sure what to do.
    • If you take more than the prescribed dose of mycophenolic acid delayed-release tablets, call your doctor right away.
    • Do not change (substitute) between using mycophenolic acid delayed-release tablets and mycophenolate mofetil tablets, capsules, or oral suspension for one another unless your healthcare provider tells you to. These medicines are absorbed differently. This may affect the amount of medicine in your blood.
    • Be sure to keep all appointments at your transplant clinic. During these visits, your doctor may perform regular blood tests.

What should I avoid while taking mycophenolic acid delayed-release tablets?

  • Avoid pregnancy. See “What is the most important information I should know about mycophenolic acid delayed-release tablets?”
  • Limit the amount of time you spend in sunlight. Avoid using tanning beds and sunlamps. People who take mycophenolic acid delayed-release tablets have a higher risk of getting skin cancer. See “What is the most important information I should know about mycophenolic acid delayed-release tablets?” Wear protective clothing when you are in the sun and use a broad-spectrum sunscreen with a high sun protection factor (SPF 30 and above). This is especially important if your skin is fair (light colored) or you have a family history of skin cancer.
  • You should not donate blood while taking mycophenolic acid delayed-release tablets and for at least 6 weeks after stopping mycophenolic acid delayed-release tablets.
  • You should not donate sperm while taking mycophenolic acid delayed-release tablets and for 90 days after stopping mycophenolic acid delayed-release tablets.
  • Elderly patients 65 years of age or older may have more side effects with mycophenolic acid delayed-release tablets because of a weaker immune system.

What are the possible side effects of mycophenolic acid delayed-release tablets?



Mycophenolic acid delayed-release tablets can cause serious side effects.



See "What is the most important information I should know about mycophenolic acid delayed-release tablets?"



Stomach and intestinal bleeding can happen in people who take mycophenolic acid delayed-release tablets. Bleeding can be severe and you may have to be hospitalized for treatment.

Some people taking mycophenolic acid delayed-release tablets may have an inflammatory reaction with fever, joint stiffness, joint pain, and muscle pain. Some of these reactions may require hospitalization. This reaction could happen within weeks to months after you start treatment with mycophenolic acid delayed-release tablets or if your dose is increased. Call your doctor right away if you experience these symptoms.

The most common side effects of taking mycophenolic acid delayed-release tablets include:

In people with a new transplant:

  • low blood cell counts
    • red blood cells
    • white blood cells
    • platelets
  • constipation
  • nausea
  • diarrhea
  • vomiting
  • urinary tract infections
  • stomach upset

In people who take mycophenolic acid delayed-release tablets for a long time (long-term) after transplant:

  • low blood cell counts
    • red blood cells
    • white blood cells
  • nausea
  • diarrhea
  • sore throat

Your healthcare provider will do blood tests before you start taking mycophenolic acid delayed-release tablets and during treatment with mycophenolic acid delayed-release tablets to check your blood cell counts. Tell your healthcare provider right away if you have any signs of infection (see “What is the most important information I should know about mycophenolic acid delayed-release tablets?”), or any unexpected bruising or bleeding. Also, tell your healthcare provider if you have unusual tiredness, dizziness, or fainting.

These are not all the possible side effects of mycophenolic acid delayed-release tablets. Your healthcare provider may be able to help you manage these side effects.

Call your doctor for medical advice about side effects.

You may report side effects to

  • FDA MedWatch at 1-800-FDA-1088 or
  • Biocon Pharma Inc., at 1-866-924-6266.

How should I store mycophenolic acid delayed-release tablets?

  • Store mycophenolic acid delayed-release tablets at room temperature, 59°F to 86°F (15°C to 30°C). Mycophenolic acid delayed-release tablets do not need to be refrigerated.

  • Keep the container tightly closed. Store mycophenolic acid delayed-release tablets in a dry place.

  • Keep mycophenolic acid delayed-release tablets and all medicines out of the reach of children.

General information about mycophenolic acid delayed-release tablets.

Medicines are sometimes prescribed for purposes other than those listed in a Medication Guide. Do not use mycophenolic acid delayed-release tablets for a condition for which it was not prescribed. Do not give mycophenolic acid delayed-release tablets to other people, even if they have the same symptoms you have. It may harm them.

This Medication Guide summarizes the most important information about mycophenolic acid delayed‑release tablets. If you would like more information, talk with your doctor. You can ask your doctor or pharmacist for information about mycophenolic acid delayed-release tablets that is written for healthcare professionals. You can also call 1-866-924-6266.

What are the ingredients in mycophenolic acid delayed-release tablets?

Active ingredient: mycophenolic acid (as mycophenolate sodium, USP)

Inactive ingredients: anhydrous lactose, colloidal silicon dioxide, croscarmellose sodium, crospovidone, magnesium stearate, povidone (K-30), and pregelatinized starch. The enteric coating of the tablet consists of ferric oxide yellow, hypromellose phthalate, titanium dioxide, and FD&C blue no. 2 (180 mg) or ferric oxide red (360 mg). The imprinting ink consist of ammonium hydroxide, ferrosoferric oxide, propylene glycol, and shellac glaze.

All the trademarks in this document are the property of their respective owners.

Manufactured by:

Acme Generics Private Limited

Solan, Himachal Pradesh 174101, India

Manufactured for:

Biocon Pharma Inc.,

Iselin, New Jersey, 08830-3009

United States of America                                                        

Section 43683-2

RECENT MAJOR CHANGES

Section 51945-4

NDC 70377-126-11

Mycophenolic Acid Delayed-Release Tablets, USP

180 mg

PHARMACIST: Dispense the accompanying Medication Guide to each patient.

Rx Only

120 Tablets

7.7 Rifampin

The concomitant administration of MMF and rifampin may decrease MPA plasma concentrations. Therefore, mycophenolic acid delayed‑release tablets are not recommended to be given with rifampin concomitantly unless the benefit outweighs the risk [see Clinical Pharmacology (12.3)].

7.4 Sevelamer

Concomitant administration of sevelamer and MMF may decrease MPA plasma concentrations. Sevelamer and other calcium-free phosphate binders should not be administered simultaneously with mycophenolic acid delayed‑release tablets [see Clinical Pharmacology (12.3)].

8.1 Pregnancy

Pregnancy Exposure Registry

There is a pregnancy exposure registry that monitors pregnancy outcomes in women exposed to mycophenolate during pregnancy and those becoming pregnant within 6 weeks of discontinuing mycophenolic acid delayed‑release tablets treatment. To report a pregnancy or obtain information about the registry, visit www.mycophenolateREMS.com or call 1‑800‑617‑8191.

Risk Summary

Following oral or intravenous (IV) administration, MMF is metabolized to mycophenolic acid (MPA), the active ingredient in mycophenolic acid delayed-release tablets and the active form of the drug. Use of MMF during pregnancy is associated with an increased risk of first trimester pregnancy loss and an increased risk of multiple congenital malformations in multiple organ systems (see Human Data). Oral administration of mycophenolate to rats and rabbits during the period of organogenesis produced congenital malformations and pregnancy loss at doses less than the recommended clinical dose (0.05 and 1.1 times exposure at the recommended clinical doses in kidney transplant patients for rats and rabbits, respectively) (see Animal Data).

Risks and benefits of mycophenolic acid delayed‑release tablets should be discussed with the patient. When appropriate, consider alternative immunosuppressants with less potential for embryo-fetal toxicity.

The estimated background risk of pregnancy loss and congenital malformations in organ transplant populations is not clear. In the U.S. general population, the estimated background risk of major birth defects and miscarriage in clinically recognized pregnancies is 2% to 4% and 15% to 20%, respectively.

Data

Human Data

A spectrum of congenital malformations (including multiple malformations in individual newborns) has been reported in 23% to 27% of live births in MMF exposed pregnancies, based on published data from pregnancy registries. Malformations that have been documented include external ear, eye, and other facial abnormalities, including cleft lip and palate, and anomalies of the distal limbs, heart, esophagus, kidney, and nervous system. Based on published data from pregnancy registries, the risk of first trimester pregnancy loss has been reported at 45% to 49% following MMF exposure.

Animal Data

In animal reproductive toxicology studies, congenital malformations and pregnancy loss occurred when pregnant rats and rabbits received mycophenolate at dose multiples equivalent to and less than the recommended human dose. Oral administration of mycophenolate sodium to pregnant rats from Gestational Day 7 to Day 16 at a dose as low as 1 mg per kg resulted in malformations including anophthalmia, exencephaly, and umbilical hernia. The systemic exposure at this dose represents 0.05 times the clinical exposure at the human dose of 1,440 mg per day of mycophenolic acid delayed‑release tablets. Oral administration of mycophenolate to pregnant rabbits from Gestational Day 7 to Day 19 resulted in embryofetal lethality and malformations, including ectopia cordis, ectopic kidneys, diaphragmatic hernia, and umbilical hernia at doses equal to or greater than 80 mg per kg per day, in the absence of maternal toxicity. This corresponds to about 1.1 times the recommended clinical dose based on BSA.

8.2 Lactation

Risk Summary

There are no data on the presence of mycophenolate in human milk, or the effects on milk production. There are limited data in the National Transplantation Pregnancy Registry on the effects of mycophenolate on a breastfed child (see Data). Studies in rats treated with MMF have shown mycophenolic acid to be present in milk. Because available data are limited, it is not possible to exclude potential risks to a breastfeeding infant.

The developmental and health benefits of breastfeeding should be considered along with the mother’s clinical need for mycophenolic acid delayed‑release tablets and any potential adverse effects on the breastfed infant from mycophenolic acid delayed‑release tablets or from the underlying maternal condition. Because available data are limited, it is not possible to exclude potential risks to a breastfeeding infant.

Data

Limited information is available from the National Transplantation Pregnancy Registry. Of seven infants reported by the National Transplantation Pregnancy Registry to have been breastfed while the mother was taking mycophenolate, all were born at 34 weeks to 40 weeks gestation and breastfed for up to 14 months. No adverse events were reported.

11 Description

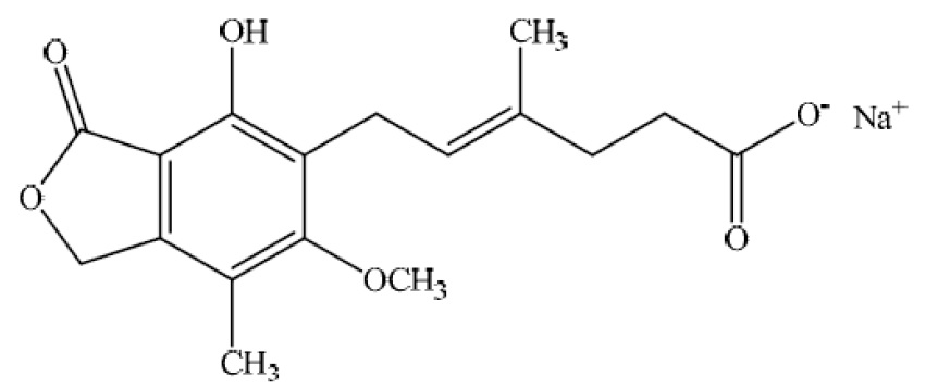
Mycophenolic acid delayed-release tablets, USP are an enteric formulation of mycophenolate sodium, USP that delivers the active moiety mycophenolic acid (MPA). Mycophenolic acid is an immunosuppressive agent. As the sodium salt, MPA is chemically designated as (E)-6-(4‑hydroxy‑6-methoxy-7-methyl-3- oxo-1,3-dihydroisobenzofuran-5-yl)-4-methylhex-4-enoic acid sodium salt.

Its molecular formula is C17H19O6Na. The molecular weight is 342.32 g/mol and the structural formula is:

Mycophenolic acid, as the sodium salt, is a white to off-white, crystalline powder and is slightly soluble in water and practically insoluble in 0.1N hydrochloric acid.

Mycophenolic acid is available for oral use as delayed-release tablets containing either 180 mg or 360 mg of mycophenolic acid.

Inactive ingredients include anhydrous lactose, colloidal silicon dioxide, croscarmellose sodium, crospovidone, magnesium stearate, povidone (K-30), and pregelatinized starch. The enteric coating of the tablet consists of ferric oxide yellow, hypromellose phthalate, titanium dioxide, and FD&C blue no. 2 (180 mg) or ferric oxide red (360 mg). The imprinting ink consist of ammonium hydroxide, ferrosoferric oxide, propylene glycol, and shellac glaze.

7.2 Azathioprine

Given that azathioprine and MMF inhibit purine metabolism, it is recommended that mycophenolic acid delayed‑release tablets not be administered concomitantly with azathioprine or MMF.

7.5 Cyclosporine

Cyclosporine inhibits the enterohepatic recirculation of MPA, and therefore, MPA plasma concentrations may be decreased when mycophenolic acid delayed‑release tablets are co‑administered with cyclosporine. Clinicians should be aware that there is also a potential change of MPA plasma concentrations after switching from cyclosporine to other immunosuppressive drugs or from other immunosuppressive drugs to cyclosporine in patients concomitantly receiving mycophenolic acid delayed‑release tablets [see Clinical Pharmacology (12.3)].

5.9 Immunizations

During treatment with mycophenolic acid delayed‑release tablets, the use of live attenuated vaccines should be avoided and patients should be advised that vaccinations may be less effective. Advise patients to discuss with the physician before seeking any immunizations.

7.11 Pantoprazole

Administration of pantoprazole at a dose of 40 mg twice daily for 4 days to healthy volunteers did not alter the pharmacokinetics of a single dose of mycophenolic acid delayed‑release tablets [see Clinical Pharmacology (12.3)].

8.4 Pediatric Use

The safety and effectiveness of mycophenolic acid delayed‑release tablets have been established in pediatric kidney transplant patients 5 years to 16 years of age who were initiated on mycophenolic acid delayed‑release tablets at least 6 months post-transplant. Use of mycophenolic acid delayed‑release tablets in this age group is supported by evidence from adequate and well‑controlled studies of mycophenolic acid delayed‑release tablets in a similar population of adult kidney transplant patients with additional pharmacokinetic data in pediatric kidney transplant patients [see Dosage and Administration (2.2, 2.3), Clinical Pharmacology (12.3)]. Pediatric doses for patients with BSA < 1.19 m2 cannot be accurately administered using currently available formulations of mycophenolic acid delayed-release tablets.

The safety and effectiveness of mycophenolic acid delayed‑release tablets in de novo pediatric kidney transplant patients and in pediatric kidney transplant patients below the age of 5 years have not been established.

8.5 Geriatric Use

Clinical studies of mycophenolic acid delayed‑release tablets did not include sufficient numbers of subjects aged 65 and over to determine whether they respond differently from younger subjects. Of the 372 patients treated with mycophenolic acid delayed‑release tablets in the clinical trials, 6% (N = 21) were 65 years of age and older and 0.3% (N = 1) were 75 years of age and older. Other reported clinical experience has not identified differences in responses between the elderly and younger patients. In general, dose selection for an elderly patient should be cautious, reflecting the greater frequency of decreased hepatic, renal, or cardiac function, and of concomitant disease or other drug therapy.

2.3 Administration

Mycophenolic acid delayed-release tablets should be taken on an empty stomach, 1 hour before or 2 hours after food intake [see Clinical Pharmacology (12.3)].

Mycophenolic acid delayed-release tablets should not be crushed, chewed, or cut prior to ingesting. The tablets should be swallowed whole in order to maintain the integrity of the enteric coating.

Pediatric patients with a BSA of 1.19 m2 to 1.58 m2 may be dosed either with three mycophenolic acid delayed‑release 180 mg tablets, or one 180 mg tablet plus one 360 mg tablet twice daily (1,080 mg daily dose). Patients with a BSA of > 1.58 m2 may be dosed either with four mycophenolic acid delayed‑release 180 mg tablets, or two mycophenolic acid delayed‑release 360 mg tablets twice daily (1,440 mg daily dose). Pediatric doses for patients with BSA < 1.19 m2 cannot be accurately administered using currently available formulations of mycophenolic acid delayed-release tablets.

4 Contraindications

Known hypersensitivity to mycophenolate sodium, mycophenolic acid (MPA), mycophenolate mofetil, or to any of its excipients. (4.1)

5.11 Blood Donation

Patients should not donate blood during therapy and for at least 6 weeks following discontinuation of mycophenolic acid delayed‑release tablets because their blood or blood products might be administered to a female of reproductive potential or a pregnant woman.

5.12 Semen Donation

Based on animal data, men should not donate semen during therapy and for 90 days following discontinuation of mycophenolic acid delayed‑release tablets [see Use in Specific Populations (8.3)].

6 Adverse Reactions

The following adverse reactions are discussed in greater detail in other sections of the label.

7 Drug Interactions
  • Antacids with Magnesium and Aluminum Hydroxides: Decreases concentrations of MPA; concomitant use is not recommended. (7.1)

  • Azathioprine: Competition for purine metabolism; concomitant administration is not recommended. (7.2)

  • Cholestyramine, Bile Acid Sequestrates, Oral Activated Charcoal, and Other Drugs that Interfere with Enterohepatic Recirculation: May decrease MPA concentrations; concomitant use is not recommended. (7.3)

  • Sevelamer: May decrease MPA concentrations; concomitant use is not recommended. (7.4)

  • Cyclosporine: May decrease MPA concentrations; exercise caution when switching from cyclosporine to other drugs or from other drugs to cyclosporine. (7.5)

  • Norfloxacin and Metronidazole: May decrease MPA concentrations; concomitant use with both drugs is not recommended. (7.6)

  • Rifampin: May decrease MPA concentrations; concomitant use is not recommended unless the benefit outweighs the risk. (7.7)

  • Hormonal Contraceptives: May reduce the effectiveness of oral contraceptives. Additional barrier contraceptive methods must be used. (5.2, 7.8)

  • Acyclovir, Valacyclovir, Ganciclovir, Valganciclovir, and Other Drugs that Undergo Renal Tubular Secretion: May increase concentrations of mycophenolic acid glucuronide (MPAG) and co-administered drug; monitor blood cell counts. (7.9)

12.3 Pharmacokinetics

Mycophenolic acid delayed‑release tablets exhibit linear and dose-proportional pharmacokinetics over the dose-range (360 mg to 2,160 mg) evaluated. The absolute bioavailability of mycophenolic acid delayed‑release tablets in stable renal transplant patients on cyclosporine was 72%. MPA is highly protein bound (> 98% bound to albumin). The predominant metabolite of MPA is the phenolic glucuronide (MPAG) which is pharmacologically inactive. A minor metabolite AcMPAG which is an acyl glucuronide of MPAG is also formed and has pharmacological activity comparable to MPA. MPAG undergoes renal elimination. A fraction of MPAG also undergoes biliary excretion, followed by deconjugation by gut flora and subsequent reabsorption as MPA. The mean elimination half‑lives of MPA and MPAG ranged between 8 hours and 16 hours, and 13 hours and 17 hours, respectively.

1.2 Limitations of Use

Mycophenolic acid delayed-release tablets and mycophenolate mofetil (MMF) tablets and capsules should not be used interchangeably without physician supervision because the rate of absorption following the administration of these two products is not equivalent.

5.4 Serious Infections

Patients receiving immunosuppressants, including mycophenolic acid delayed‑release tablets, are at increased risk of developing bacterial, viral, fungal, and protozoal infections, and new or reactivated viral infections, including opportunistic infections [see Warnings and Precautions (5.5)]. These infections may lead to serious, including fatal outcomes. Because of the danger of oversuppression of the immune system which can increase susceptibility to infection, combination immunosuppressant therapy should be used with caution.

1 Indications and Usage
  • Mycophenolic acid is an antimetabolite immunosuppressant indicated for prophylaxis of organ rejection in adult patients receiving kidney transplants and in pediatric patients at least 5 years of age and older who are at least 6 months post kidney transplant. (1.1)

  • Use in combination with cyclosporine and corticosteroids. (1.1)

Limitations of Use:

  • Mycophenolic acid delayed-release tablets and mycophenolate mofetil tablets and capsules should not be used interchangeably. (1.2)

12.1 Mechanism of Action

Mycophenolic acid (MPA), an immunosuppressant, is an uncompetitive and reversible inhibitor of inosine monophosphate dehydrogenase (IMPDH), and therefore inhibits the de novo pathway of guanosine nucleotide synthesis without incorporation to DNA. T- and B‑lymphocytes are critically dependent for their proliferation on de novo synthesis of purines, whereas other cell types can utilize salvage pathways. MPA has cytostatic effects on lymphocytes.

Mycophenolate sodium has been shown to prevent the occurrence of acute rejection in rat models of kidney and heart allotransplantation. Mycophenolate sodium also decreases antibody production in mice.

5.1 Embryo Fetal Toxicity

Use of mycophenolic acid delayed‑release tablets during pregnancy is associated with an increased risk of first trimester pregnancy loss and an increased risk of congenital malformations, especially external ear and other facial abnormalities, including cleft lip and palate, and anomalies of the distal limbs, heart, esophagus, kidney, and nervous system. Females of reproductive potential must be aware of these risks and must be counseled regarding pregnancy prevention and planning. Avoid use of mycophenolic acid delayed‑release tablets during pregnancy if safer treatment options are available [see Use in Specific Populations (8.1, 8.3)].

5 Warnings and Precautions
  • New or Reactivated Viral Infections: Consider reducing immunosuppression. (5.5)

  • Blood Dyscrasias, including Pure Red Cell Aplasia (PRCA): Monitor for neutropenia or anemia; consider treatment interruption or dose reduction. (5.6)

  • Serious GI Tract Complications (gastrointestinal bleeding, perforations and ulcers): Administer with caution to patients with active digestive system disease. (5.7)

  • Immunizations: Avoid live attenuated vaccines. (5.9)

  • Patients with Hereditary Deficiency of Hypoxanthine-guanine Phosphoribosyl‑transferase (HGPRT): May cause exacerbation of disease symptoms; avoid use. (5.10)

  • Blood Donation: Avoid during therapy and for 6 weeks thereafter. (5.11)

  • Semen Donation: Avoid during therapy and for 90 days thereafter. (5.12)

2 Dosage and Administration
  • In adults: 720 mg by mouth, twice daily (1,440 mg total daily dose) on an empty stomach, 1 hour before or 2 hours after food intake. (2.1)

  • In children: 5 years of age and older (who are at least 6 months post kidney transplant), 400 mg/m2 by mouth, twice daily (up to a maximum of 720 mg twice daily). (2.2)

  • Do not crush, chew, or cut tablet prior to ingestion. (2.3)

7.8 Hormonal Contraceptives

In a drug interaction study, mean levonorgestrel AUC was decreased by 15% when co‑administered with MMF. Although mycophenolic acid delayed‑release tablets may not have any influence on the ovulation‑suppressing action of oral contraceptives, additional barrier contraceptive methods must be used when mycophenolic acid delayed‑release tablets are co‑administered with hormonal contraceptives (e.g., birth control pill, transdermal patch, vaginal ring, injection, and implant) [see Warnings and Precautions (5.1), Use in Specific Populations (8.3), Clinical Pharmacology (12.3)].

3 Dosage Forms and Strengths

Mycophenolic acid is available as 360 mg and 180 mg delayed-release tablets.

 Table 1: Description of Mycophenolic Acid Delayed-Release Tablets, USP
Dosage Strength  360 mg tablet  180 mg tablet
 Active ingredient  mycophenolic acid as mycophenolate sodium, USP  mycophenolic acid as mycophenolate sodium, USP
 Appearance  Light-pink, film-coated, ovaloid, biconvex tablets  Light-green, film-coated, round, beveled edged, biconvex tablets
 Imprint  “aP36” on one side and plain on the other side.  “aP18” on one side and plain on the other side.
6.2 Postmarketing Experience

The following adverse reactions have been identified during post-approval use of mycophenolic acid delayed‑release tablets or other MPA derivatives. Because these reactions are reported voluntarily from a population of uncertain size, it is not always possible to reliably estimate their frequency or establish a causal relationship to drug exposure:

  • Congenital malformations, including ear, facial, cardiac and nervous system malformations and an increased incidence of first trimester pregnancy loss have been reported following exposure to MMF during pregnancy [see Boxed Warning, Warnings and Precautions (5.1)].
  • Infections [see Warnings and Precautions (5.4, 5.5)]
    • Cases of progressive multifocal leukoencephalopathy (PML), sometimes fatal.
    • Polyomavirus associated nephropathy (PVAN), especially due to BK virus infection, associated with serious outcomes, including deteriorating renal function and renal graft loss.
    • Viral reactivation in patients infected with HBV or HCV.
  • Cases of pure red cell aplasia (PRCA) have been reported in patients treated with MPA derivatives in combination with other immunosuppressive agents [see Warnings and Precautions (5.6)].

The following additional adverse reactions have been identified during post-approval use of mycophenolic acid delayed‑release tablets: agranulocytosis, asthenia, osteomyelitis, lymphadenopathy, lymphopenia, wheezing, dry mouth, gastritis, peritonitis, anorexia, alopecia, pulmonary edema, Kaposi’s sarcoma, de novo purine synthesis inhibitors-associated acute inflammatory syndrome.

8 Use in Specific Populations
  • Male Patients: Sexually active male patients and/or their female partners are recommended to use effective contraception during treatment of the male patient and for at least 90 days after cessation of treatment. (8.3)
4.1 Hypersensitivity Reactions

Mycophenolic acid delayed-release tablets are contraindicated in patients with a hypersensitivity to mycophenolate sodium, mycophenolic acid (MPA), mycophenolate mofetil, or to any of its excipients. Reactions like rash, pruritus, hypotension, and chest pain have been observed in clinical trials and post marketing reports [see Adverse Reactions (6)].

6.1 Clinical Studies Experience

Because clinical trials are conducted under widely varying conditions, adverse reaction rates observed in the clinical trials of a drug cannot be directly compared to rates in the clinical trials of another drug and may not reflect the rates observed in practice.

The data described below derive from two randomized, comparative, active-controlled, double‑blind, double‑dummy trials in prevention of acute rejection in de novo and converted stable kidney transplant patients.

In the de novo trial, patients were administered either mycophenolic acid delayed‑release tablets 1.44 grams per day (N = 213) or MMF 2 grams per day (N = 210) within 48 hours post‑transplant for 12 months in combination with cyclosporine, USP MODIFIED and corticosteroids. Forty-one percent of patients also received antibody therapy as induction treatment. In the conversion trial, renal transplant patients who were at least 6 months post‑transplant and receiving 2 grams per day MMF in combination with cyclosporine USP MODIFIED, with or without corticosteroids for at least two weeks prior to entry in the trial were randomized to mycophenolic acid delayed‑release tablets 1.44 grams per day (N = 159) or MMF 2 grams per day (N = 163) for 12 months.

The average age of patients in both studies was 47 years and 48 years (de novo study and conversion study, respectively), ranging from 22 years to 75 years. Approximately 66% of patients were male; 82% were white, 12% were black, and 6% other races. About 40% of patients were from the United States and 60% from other countries.

In the de novo trial, the overall incidence of discontinuation due to adverse reactions was 18% (39/213) and 17% (35/210) in the mycophenolic acid delayed‑release tablets and MMF arms, respectively. The most common adverse reactions leading to discontinuation in the mycophenolic acid delayed‑release tablets arm were graft loss (2%), diarrhea (2%), vomiting (1%), renal impairment (1%), CMV infection (1%), and leukopenia (1%). The overall incidence of patients reporting dose reduction at least once during the 0-month to 12-month study period was 59% and 60% in the mycophenolic acid delayed‑release tablets and MMF arms, respectively. The most frequent reasons for dose reduction in the mycophenolic acid delayed‑release tablets arm were adverse reactions (44%), dose reductions according to protocol guidelines (17%), dosing errors (11%) and missing data (2%).

The most common adverse reactions (≥ 20%) associated with the administration of mycophenolic acid delayed‑release tablets were anemia, leukopenia, constipation, nausea, diarrhea, vomiting, dyspepsia, urinary tract infection, CMV infection, insomnia, and postoperative pain.

The adverse reactions reported in ≥ 10% of patients in the de novo trial are presented in Table 2 below.

Table 2: Adverse Reactions (%) Reported in ≥ 10% of de novo Kidney Transplant Patients in Either Treatment Group

de novo Renal Trial
The trial was not designed to support comparative claims for mycophenolic acid delayed-release tablets for the adverse reactions reported in this table.
 System Organ Class

Adverse drug reactions
 Mycophenolic Acid Delayed-Release Tablets

1.44 grams per day

(n = 213)

(%)

Mycophenolate Mofetil

(MMF)

2 grams per day

(n = 210)

(%) 

 Blood and Lymphatic System Disorders
   Anemia  22  22
   Leukopenia  19  21
 Gastrointestinal System Disorders
   Constipation  38  40
   Nausea  29  27
   Diarrhea  24  25
   Vomiting  23  20
   Dyspepsia  23 19
   Abdominal pain upper 14  14
   Flatulence 10  13
 General and Administrative Site Disorders  
   Edema  17  18
   Edema lower limb  16  17
   Pyrexia  13  19
 Investigations 
   Increased blood creatinine  15  10
 Infections and Infestations
   Urinary tract infection  29  33
   CMV infection  20  18
 Metabolism and Nutrition Disorders
   Hypocalcemia  11  15
   Hyperuricemia  13  13
   Hyperlipidemia  12  10
   Hypokalemia  13  9
   Hypophosphatemia  11  9
 Musculoskeletal, Connective Tissue and Bone Disorders
   Back pain  12  6
   Arthralgia  7  11
 Nervous System Disorder
  Insomnia  24  24
  Tremor  12  14
  Headache  13  11
 Vascular Disorders
  Hypertension  18  18

Table 3 summarizes the incidence of opportunistic infections in de novo transplant patients.

 Table 3: Viral and Fungal Infections (%) Reported Over 0 Month to 12 Months
de novo Renal Trial
 Mycophenolic Acid Delayed-Release Tablets

1.44 grams per day

(n = 213)

(%)

 Mycophenolate Mofetil

(MMF)

2 grams per day

(n = 210)

(%)

 Any Cytomegalovirus  22  21
 - Cytomegalovirus Disease  5  4
 Herpes Simplex   8   6
 Herpes Zoster  5  4
 Any Fungal Infection 11   12
 - Candida NOS  6  6
 - Candida albicans  2  4

Lymphoma developed in 2 de novo patients (1%), (1 diagnosed 9 days after treatment initiation) and in 2 conversion patients (1%) receiving mycophenolic acid delayed‑release tablets with other immunosuppressive agents in the 12-month controlled clinical trials.

Nonmelanoma skin carcinoma occurred in 1% de novo and 12% conversion patients. Other types of malignancy occurred in 1% de novo and 1% conversion patients [see Warnings and Precautions (5.3)].

The adverse reactions reported in less than 10% of de novo or conversion patients treated with mycophenolic acid delayed-release tablets in combination with cyclosporine and corticosteroids are listed in Table 4.

 Table 4: Adverse Reactions Reported in < 10% of Patients Treated with Mycophenolic Acid Delayed-Release Tablets in Combination with Cyclosporine
USP MODIFIED.
 and Corticosteroids
 Blood and Lymphatic Disorders  Lymphocele, thrombocytopenia
 Cardiac Disorder  Tachycardia
 Eye Disorder  Vision blurred
 Gastrointestinal Disorders Abdominal pain, abdominal distension, gastroesophageal reflux disease, gingival hyperplasia
General Disorders and Administration‑Site Conditions Fatigue, peripheral edema
Infections and Infestations Nasopharyngitis, herpes simplex, upper respiratory infection, oral candidiasis, herpes zoster, sinusitis, influenza, wound infection, implant infection, pneumonia, sepsis
 Investigations Hemoglobin decrease, liver function tests abnormal
 Metabolism and Nutrition Disorders Hypercholesterolemia, hyperkalemia, hypomagnesemia, diabetes mellitus, hyperglycemia
Musculoskeletal and Connective Tissue Disorders  Arthralgia, pain in limb, peripheral swelling, muscle cramps, myalgia
Nervous System Disorders  Dizziness (excluding vertigo)
Psychiatric Disorders  Anxiety
 Renal and Urinary Disorders Renal tubular necrosis, renal impairment, hematuria, urinary retention
Respiratory, Thoracic and Mediastinal Disorders Cough, dyspnea, dyspnea exertional
Skin and Subcutaneous Tissue Disorders  Acne, pruritus, rash
Vascular Disorders Hypertension aggravated, hypotension

The following additional adverse reactions have been associated with the exposure to MPA when administered as a sodium salt or as mofetil ester:

Gastrointestinal: Intestinal perforation, gastrointestinal hemorrhage, gastric ulcers, duodenal ulcers [see Warnings and Precautions (5.7)], colitis (including CMV colitis), pancreatitis, esophagitis, and ileus.

Infections: Serious life-threatening infections, such as meningitis and infectious endocarditis, tuberculosis, and atypical mycobacterial infection [see Warnings and Precautions (5.4)].

Respiratory: Interstitial lung disorders, including fatal pulmonary fibrosis.

17 Patient Counseling Information

Advise the patient to read the FDA-approved patient labeling (Medication Guide).

Embryo-Fetal Toxicity

Pregnancy loss and malformations

  • Inform pregnant women and females of reproductive potential that use of mycophenolic acid delayed‑release tablets in pregnancy is associated with an increased risk of first trimester pregnancy loss and an increased risk of congenital malformations. Advise patients that they must use an acceptable form of contraception [see Warnings and Precautions (5.1), Use in Specific Populations (8.1, 8.3)].

  • Encourage pregnant women to enroll in the Mycophenolate Pregnancy Registry (1‑800‑617-8191). This registry monitors pregnancy outcomes in women exposed to mycophenolate [see Use in Specific Populations (8.1)].

Contraception

  • Discuss pregnancy testing, pregnancy prevention and planning with females of reproductive potential [see Use in Specific Populations (8.3)].

  • Females of reproductive potential must use acceptable form of birth control during the entire mycophenolic acid delayed-release tablets therapy and for 6 weeks after stopping mycophenolic acid delayed-release tablets, unless the patient chooses to avoid heterosexual sexual intercourse completely (abstinence). Mycophenolic acid delayed-release tablets may reduce effectiveness of oral contraceptives. Use of additional barrier contraceptive methods is recommended [see Use in Specific Populations (8.3)].

  • For patients who are considering pregnancy, discuss appropriate alternative immunosuppressants with less potential for embryo-fetal toxicity. Risks and benefits of mycophenolic acid delayed-release tablets should be discussed with the patient [seeUse in Specific Populations (8.3)].

  • Advise sexually active male patients and/or their partners to use effective contraception during the treatment of the male patient and for at least 90 days after cessation of treatment. This recommendation is based on findings of animal studies.

Development of Lymphoma and Other Malignancies

  • Inform patients they are at increased risk of developing lymphomas and other malignancies, particularly of the skin, due to immunosuppression [see Warnings and Precautions (5.3)].

  • Advise patients to limit exposure to sunlight and ultraviolet (UV) light by wearing protective clothing and use a broad-spectrum sunscreen with a high protection factor [see Warnings and Precautions (5.3)].

Increased Risk of Infection

Inform patients they are at increased risk of developing a variety of infections, including opportunistic infections, due to immunosuppression and to contact their physician if they develop any symptoms of infection as explained in the Medication Guide [see Warnings and Precautions (5.4, 5.5)].

Blood Dyscrasias

Inform patients they are at increased risk for developing blood dyscrasias (e.g., neutropenia or anemia) and to immediately contact their healthcare provider if they experience any evidence of infection, unexpected bruising, bleeding, or any other manifestation of bone marrow suppression [see Warnings and Precautions (5.6)].

Gastrointestinal Tract Complications

Inform patients that mycophenolic acid delayed-release tablets can cause gastrointestinal tract complications, including bleeding, intestinal perforations, and gastric or duodenal ulcers. Advise the patient to contact their healthcare provider if they have symptoms of gastrointestinal bleeding or sudden onset or persistent abdominal pain [see Warnings and Precautions (5.7)].

Acute Inflammatory Syndrome

Inform patients that acute inflammatory reactions have been reported in some patients who received mycophenolate products. Some reactions were severe, requiring hospitalization. Advise patients to contact their physician if they develop fever, joint stiffness, joint pain or muscle pains [see Warnings and Precautions (5.8)].

Immunizations

Inform patients that mycophenolic acid delayed-release tablets can interfere with the usual response to immunizations and that they should avoid live vaccines. Before seeking vaccines on their own, advise patients to discuss first with their physician [see Warnings and Precautions (5.9)].

Administration Instructions

Advise patients to swallow mycophenolic acid delayed-release tablets whole, and not to crush, chew, or cut the tablets. Inform patients to take mycophenolic acid delayed-release tablets on an empty stomach, 1 hour before or 2 hours after food intake.

Blood Donation

Advise patients not to donate blood during therapy and for at least 6 weeks following discontinuation of mycophenolic acid delayed-release tablets [see Warnings and Precautions (5.10)].

Semen Donation

Advise males of childbearing potential not to donate semen during therapy and for 90 days following discontinuation of mycophenolic acid delayed-release tablets [see Warnings and Precautions (5.11)].

Drug Interactions

Patients should be advised to report to their doctor the use of any other medications while taking mycophenolic acid delayed-release tablets. The simultaneous administration of any of the following drugs with mycophenolic acid delayed-release tablets may result in clinically significant adverse reactions:

Manufactured by:

Acme Generics Private Limited

Solan, Himachal Pradesh 174101,

India

Manufactured for:

Biocon Pharma Inc.,

Iselin, New Jersey, 08830-3009

United States of America

Revised: 8/2024

5.10 Rare Hereditary Deficiencies

Mycophenolic acid is an inosine monophosphate dehydrogenase inhibitor (IMPDH inhibitor). Mycophenolic acid delayed‑release tablets should be avoided in patients with rare hereditary deficiency of hypoxanthine‑guanine phosphoribosyl‑transferase (HGPRT), such as Lesch‑Nyhan and Kelley‑Seegmiller syndromes because it may cause an exacerbation of disease symptoms characterized by the overproduction and accumulation of uric acid leading to symptoms associated with gout, such as acute arthritis, tophi, nephrolithiasis or urolithiasis, and renal disease, including renal failure.

7.6 Norfloxacin and Metronidazole

MPA plasma concentrations may be decreased when MMF is administrated with norfloxacin and metronidazole. Therefore, mycophenolic acid delayed‑release tablets are not recommended to be given with the combination of norfloxacin and metronidazole. Although there will be no effect on MPA plasma concentrations when mycophenolic acid delayed‑release tablets are concomitantly administered with norfloxacin or metronidazole when given separately [see Clinical Pharmacology (12.3)].

5.7 Serious Gi Tract Complications

Gastrointestinal bleeding (requiring hospitalization), intestinal perforations, gastric ulcers, and duodenal ulcers have been reported in patients treated with mycophenolic acid delayed‑release tablets. Mycophenolic acid delayed‑release tablets should be administered with caution in patients with active serious digestive system disease.

5.2 Management of Immunosuppression

Only physicians experienced in immunosuppressive therapy and management of organ transplant patients should prescribe mycophenolic acid delayed-release tablets. Patients receiving the drug should be managed in facilities equipped and staffed with adequate laboratory and supportive medical resources. The physicians responsible for maintenance therapy should have complete information requisite for the follow-up of the patient [see Boxed Warning].

5.3 Lymphoma and Other Malignancies

Patients receiving immunosuppressants, including mycophenolic acid delayed‑release tablets, are at increased risk of developing lymphomas and other malignancies, particularly of the skin [see Adverse Reactions (6)]. The risk appears to be related to the intensity and duration of immunosuppression rather than to the use of any specific agent.

As usual for patients with increased risk for skin cancer, exposure to sunlight and UV light should be limited by wearing protective clothing and using a broad-spectrum sunscreen with a high protection factor.

Post-transplant lymphoproliferative disorder (PTLD) has been reported in immunosuppressed organ transplant recipients. The majority of PTLD events appear related to Epstein-Barr Virus (EBV) infection. The risk of PTLD appears greatest in those individuals who are EBV seronegative, a population which includes many young children.

16 How Supplied/storage and Handling

Mycophenolic acid delayed-release tablets, USP are available in the strengths and packages listed below:

360 mg tablet: Light-pink, film-coated, ovaloid, biconvex tablets, imprinted with “aP36” on one side and plain on the other side, containing 360 mg mycophenolic acid (MPA) as mycophenolate sodium, USP.

Bottles of 120............................................................................................ NDC 70377-127-11

180 mg tablet: Light-green, film-coated, round, beveled edged, biconvex tablets, imprinted with “aP18” on one side and plain on the other side, containing 180 mg mycophenolic acid (MPA) as mycophenolate sodium, USP.

Bottles of 120............................................................................................ NDC 70377-126-11

Storage

Store at 20°C to 25°C (68°F to 77°F); excursions permitted between 15°C and 30°C (59°F and 86°F) [see USP Controlled Room Temperature]. Protect from moisture. Dispense in a tight container (USP).

Handling

Keep out of reach and sight of children. Mycophenolic acid delayed-release tablets should not be crushed or cut in order to maintain the integrity of the enteric coating [see Dosage and Administration (2.3)].

Teratogenic effects have been observed with mycophenolate sodium [see Warnings and Precautions (5.1)]. If for any reason the mycophenolic acid delayedrelease tablets must be crushed, avoid inhalation of the powder, or direct contact of the powder, with skin or mucous membranes.

5.5 New Or Reactivated Viral Infections

Polyomavirus associated nephropathy (PVAN), JC virus-associated progressive multifocal leukoencephalopathy (PML), cytomegalovirus (CMV) infections, reactivation of hepatitis B (HBV) or hepatitis C (HCV), SARS- CoV-2 infection, have been reported in patients treated with immunosuppressants, including MPA derivatives mycophenolate sodium and MMF. Reduction in immunosuppression should be considered for patients who develop evidence of new or reactivated viral infections. Physicians should also consider the risk that reduced immunosuppression represents to the functioning allograft.

PVAN, especially due to BK virus infection, is associated with serious outcomes, including deteriorating renal function and renal graft loss. Patient monitoring may help detect patients at risk for PVAN.

PML, which is sometimes fatal, commonly presents with hemiparesis, apathy, confusion, cognitive deficiencies, and ataxia. Risk factors for PML include treatment with immunosuppressant therapies and impairment of immune function. In immunosuppressed patients, physicians should consider PML in the differential diagnosis in patients reporting neurological symptoms and consultation with a neurologist should be considered as clinically indicated.

The risk of CMV viremia and CMV disease is highest among transplant recipients seronegative for CMV at time of transplant who receive a graft from a CMV seropositive donor. Therapeutic approaches to limiting CMV disease exist and should be routinely provided. Patient monitoring may help detect patients at risk for CMV disease [see Adverse Reactions (6.1)].

Viral reactivation has been reported in patients infected with HBV or HCV. Monitoring infected patients for clinical and laboratory signs of active HBV or HCV infection is recommended.

2.1 Dosage in Adult Kidney Transplant Patients

The recommended dose of mycophenolic acid delayed-release tablets is 720 mg administered twice daily (1,440 mg total daily dose).

8.3 Females and Males of Reproductive Potential

Females of reproductive potential must be made aware of the increased risk of first trimester pregnancy loss and congenital malformations and must be counseled regarding pregnancy prevention and planning.

Pregnancy Planning

For female patients taking mycophenolic acid delayed‑release tablets who are considering pregnancy, consider alternative immunosuppressants with less potential for embryo-fetal toxicity. Risks and benefits of mycophenolic acid delayed‑release tablets should be discussed with the patient.

Pregnancy Testing

To prevent unplanned exposure during pregnancy, females of reproductive potential should have a serum or urine pregnancy test with a sensitivity of at least 25 mIU/mL immediately before starting mycophenolic acid delayed‑release tablets. Another pregnancy test with the same sensitivity should be done 8 days to 10 days later. Repeat pregnancy tests should be performed during routine follow-up visits. Results of all pregnancy tests should be discussed with the patient. In the event of a positive pregnancy test, consider alternative immunosuppressants with less potential for embryo-fetal toxicity whenever possible.

Contraception

Female Patients

Females of reproductive potential taking mycophenolic acid delayed‑release tablets must receive contraceptive counseling and use acceptable contraception (see Table 5 for Acceptable Contraception Methods). Patients must use acceptable birth control during entire mycophenolic acid delayed‑release tablets therapy, and for 6 weeks after stopping mycophenolic acid delayed‑release tablets, unless the patient chooses abstinence (she chooses to avoid heterosexual intercourse completely).

Patients should be aware that mycophenolic acid delayed‑release tablets reduce blood levels of the hormones in the oral contraceptive pill and could theoretically reduce its effectiveness [seePatient Counseling Information (17), Drug Interactions (7.8)].

Table 5: Acceptable Contraception Methods for Females of Reproductive Potential
Pick from the following birth control options:
Option 1
Methods to Use Alone Intrauterine devices (IUDs)

Tubal sterilization

Patient’s partner had a vasectomy

OR

Option 2 Hormone Methods

choose 1
Barrier Methods

choose 1
Choose One Hormone Method

AND

One Barrier Method
Estrogen and Progesterone

Oral Contraceptive Pill

Transdermal patch

Vaginal ring

Progesterone-only

Injection

Implant
AND Diaphragm with spermicide

Cervical cap with spermicide

Contraceptive sponge

Male condom

Female condom

OR

Option 3 Barrier Methods

choose 1
Barrier Methods

choose 1
Choose One Barrier Method

from each column
(must choose

two methods)
Diaphragm with spermicide

Cervical cap with spermicide

Contraceptive sponge
AND Male condom

Female condom

Male Patients

Genotoxic effects have been observed in animal studies at exposures exceeding the human therapeutic exposures by approximately 2.5 times. Thus, the risk of genotoxic effects on sperm cells cannot be excluded. Based on this potential risk, sexually active male patients and/or their female partners are recommended to use effective contraception during treatment of the male patient and for at least 90 days after cessation of treatment. Also, based on the potential risk of genotoxic effects, male patients should not donate sperm during treatment with mycophenolic acid delayed‑release tablets and for at least 90 days after cessation of treatment [see Use in Specific Populations (8.1), Nonclinical Toxicology (13.1), Patient Counseling Information (17)].

2.2 Dosage in Pediatric Kidney Transplant Patients

The recommended dose of mycophenolic acid delayed-release tablets in conversion (at least 6 months post‑transplant) pediatric patients aged 5 years and older is 400 mg/m2 body surface area (BSA) administered twice daily (up to a maximum dose of 720 mg administered twice daily).

7.1 Antacids With Magnesium and Aluminum Hydroxides

Concomitant use of mycophenolic acid delayed‑release tablets and antacids decreased plasma concentrations of mycophenolic acid (MPA). It is recommended that mycophenolic acid delayed‑release tablets and antacids not be administered simultaneously [see Clinical Pharmacology (12.3)].

5.6 Blood Dyscrasias, Including Pure Red Cell Aplasia

Cases of pure red cell aplasia (PRCA) have been reported in patients treated with MPA derivatives in combination with other immunosuppressive agents. The mechanism for MPA derivatives induced PRCA is unknown; the relative contribution of other immunosuppressants and their combinations in an immunosuppressive regimen is also unknown. In some cases, PRCA was found to be reversible with dose reduction or cessation of therapy with MPA derivatives. In transplant patients, however, reduced immunosuppression may place the graft at risk. Changes to mycophenolic acid delayed‑release tablets therapy should only be undertaken under appropriate supervision in transplant recipients in order to minimize the risk of graft rejection.

Patients receiving mycophenolic acid delayed‑release tablets should be monitored for blood dyscrasias (e.g., neutropenia or anemia). The development of neutropenia may be related to mycophenolic acid delayed‑release tablets itself, concomitant medications, viral infections, or some combination of these reactions. Complete blood count should be performed weekly during the first month, twice monthly for the second and the third month of treatment, then monthly through the first year. If blood dyscrasias occur [neutropenia develops (ANC < 1.3 × 103/mcL) or anemia], dosing with mycophenolic acid delayed‑release tablets should be interrupted or the dose reduced, appropriate tests performed, and the patient managed accordingly.

1.1 Prophylaxis of Organ Rejection in Kidney Transplant

Mycophenolic acid delayed-release tablets are indicated for the prophylaxis of organ rejection in adult patients receiving a kidney transplant.

Mycophenolic acid delayed-release tablets are indicated for the prophylaxis of organ rejection in pediatric patients 5 years of age and older who are at least 6 months post kidney transplant.

Mycophenolic acid delayed-release tablets are to be used in combination with cyclosporine and corticosteroids.

13.1 Carcinogenesis, Mutagenesis, Impairment of Fertility

In a 104-week oral carcinogenicity study in rats, mycophenolate sodium was not tumorigenic at daily doses up to 9 mg per kg, the highest dose tested. This dose resulted in approximately 0.6 times to 1.2 times the systemic exposure (based on plasma AUC) observed in renal transplant patients at the recommended dose of 1,440 mg per day. Similar results were observed in a parallel study in rats performed with MMF. In a 104‑week oral carcinogenicity study in mice, MMF was not tumorigenic at a daily dose level as high as 180 mg per kg (which corresponds to 0.6 times the recommended mycophenolate sodium therapeutic dose, based on body surface area).

The genotoxic potential of mycophenolate sodium was determined in five assays. Mycophenolate sodium was genotoxic in the mouse lymphoma/thymidine kinase assay, the micronucleus test in V79 Chinese hamster cells, and the in vivo mouse micronucleus assay. Mycophenolate sodium was not genotoxic in the bacterial mutation assay (Salmonella typhimurium TA 1535, 97a, 98, 100, and 102) or the chromosomal aberration assay in human lymphocytes.

Mycophenolate mofetil generated similar genotoxic activity. The genotoxic activity of mycophenolic acid (MPA) is probably due to the depletion of the nucleotide pool required for DNA synthesis as a result of the pharmacodynamic mode of action of MPA (inhibition of nucleotide synthesis).

Mycophenolate sodium had no effect on male rat fertility at daily oral doses as high as 18 mg per kg and exhibited no testicular or spermatogenic effects at daily oral doses of 20 mg per kg for 13 weeks (approximately 2 times the systemic exposure of MPA at the recommended therapeutic dose). No effects on female fertility were seen up to a daily dose of 20 mg per kg (approximately 3 times the systemic exposure of MPA at the recommended therapeutic dose).

Warning: Embryo Fetal Toxicity, Malignancies, and Serious Infections
  • Use during pregnancy is associated with increased risks of pregnancy loss and congenital malformations. Avoid if safer treatment options are available. Females of reproductive potential must be counseled regarding pregnancy prevention and planning [see Warnings and Precautions (5.1), Use in Specific Populations (8.1, 8.3)].

  • Only physicians experienced in immunosuppressive therapy and management of organ transplant patients should prescribe mycophenolic acid delayed-release tablets. Patients receiving mycophenolic acid delayed-release tablets should be managed in facilities equipped and staffed with adequate laboratory and supportive medical resources. The physician responsible for maintenance therapy should have complete information requisite for the follow-up of the patient [see Warnings and Precautions (5.2)].

  • Increased risk of development of lymphoma and other malignancies, particularly of the skin, due to immunosuppression [seeWarnings and Precautions (5.3)].

  • Increased susceptibility to bacterial, viral, fungal, and protozoal infections, including opportunistic infections [see Warnings and Precautions (5.4, 5.5)].

5.8 Acute Inflammatory Syndrome Associated With Mycophenolate Products

Acute inflammatory syndrome (AIS) has been reported with the use of mycophenolate products, and some cases have resulted in hospitalization. AIS is a paradoxical pro-inflammatory reaction characterized by fever, arthralgias, arthritis, muscle pain and elevated inflammatory markers including, C-reactive protein and erythrocyte sedimentation rate, without evidence of infection or underlying disease recurrence. Symptoms occur within weeks to months of initiation of treatment or a dose increase. After discontinuation, improvement of symptoms and inflammatory markers are usually observed within 24 hours to 48 hours.

Monitor patients for symptoms and laboratory parameters of AIS when starting treatment with mycophenolate products or when increasing the dosage. Discontinue treatment and consider other treatment alternatives based on the risk and benefit for the patient.

14.1 Prophylaxis of Organ Rejection in Patients Receiving Allogeneic Renal Transplants

The safety and efficacy of mycophenolic acid delayed-release tablets in combination with cyclosporine, USP MODIFIED and corticosteroids for the prevention of organ rejection was assessed in two multicenter, randomized, double‑blind, active‑controlled trials in de novo and conversion renal transplant patients compared to MMF.

The de novo trial was conducted in 423 renal transplant patients (ages 18 years to 75 years) in Austria, Canada, Germany, Hungary, Italy, Norway, Spain, UK, and USA. Eighty-four percent of randomized patients received kidneys from deceased donors. Patients were excluded if they had second or multiorgan (e.g., kidney and pancreas) transplants, or previous transplant with any other organs; kidneys from non-heart beating donors; panel reactive antibodies (PRA) of > 50% at last assessment prior to transplantation, and presence of severe diarrhea, active peptic ulcer disease, or uncontrolled diabetes mellitus. Patients were administered either mycophenolic acid delayed‑release tablets 1.44 grams per day or MMF 2 grams per day within 48 hours post‑transplant for 12 months in combination with cyclosporine, USP MODIFIED and corticosteroids. Forty‑one percent of patients received antibody therapy as induction treatment. Treatment failure was defined as the first occurrence of biopsy-proven acute rejection, graft loss, death or lost to follow-up at 6 months.

The incidence of treatment failure was similar in mycophenolic acid delayed-release tablets and MMF-treated patients at 6 months and 12 months (Table 7). The cumulative incidence of graft loss, death and lost to follow‑up at 12 months is also shown in Table 7.

 Table 7: Treatment Failure in de novo Renal Transplant Patients (Percentage of Patients) at 6 Months and 12 Months of Treatment when Administered in Combination with Cyclosporine* and Corticosteroids

 Mycophenolic Acid Delayed-Release Tablets

1.44 grams per day

(n = 213)

Mycophenolate Mofetil (MMF)

2 grams per day

(n = 210) 
6 Months   n (%) n (%) 
 Treatment failure#  55 (25.8)  55 (26.2)
 Biopsy-proven acute rejection  46 (21.6)  48 (22.9)
 Graft loss  7 (3.3)  9 (4.3)
 Death  1 (0.5)  2 (1.0)
 Lost to follow-up**  3 (1.4)  0
 12 Months  n (%)  n (%)
 Graft loss or death or lost to follow-up***  20 (9.4)  18 (8.6)
 Treatment failure##  61 (28.6)  59 (28.1)
 Biopsy-proven acute rejection  48 (22.5)  51 (24.3)
 Graft loss  9 (4.2)  9 (4.3)
 Death  2 (0.9)  5 (2.4)
 Lost to follow-up**  5 (2.3)  0

*USP MODIFIED.

**Lost to follow-up indicates patients who were lost to follow-up without prior biopsy-proven acute rejection, graft loss or death.

***Lost to follow-up indicates patients who were lost to follow-up without prior graft loss or death (9 mycophenolic acid delayed-release tablets patients and 4 MMF patients).

#95% confidence interval of the difference in treatment failure at 6 months (mycophenolic acid delayed-release tablets‑MMF) is (‑8.7%, 8.0%).

##95% confidence interval of the difference in treatment failure at 12 months (mycophenolic acid delayed-release tablets‑MMF) is (-8.0%, 9.1%).

The conversion trial was conducted in 322 renal transplant patients (ages 18 years to 75 years), who were at least 6 months post-transplant and had undergone primary or secondary, deceased donor, living related, or unrelated donor kidney transplant, stable graft function (serum creatinine < 2.3 mg/mL), no change in immunosuppressive regimen due to graft malfunction, and no known clinically significant physical and/or laboratory changes for at least 2 months prior to enrollment. Patients were excluded if they had 3 or more kidney transplants, multiorgan transplants (e.g., kidney and pancreas), previous organ transplants, evidence of graft rejection or who had been treated for acute rejection within 2 months prior to screening, clinically significant infections requiring continued therapy, presence of severe diarrhea, active peptic ulcer disease, or uncontrolled diabetes mellitus.

Patients received 2 grams per day MMF in combination with cyclosporine USP MODIFIED, with or without corticosteroids for at least two weeks prior to entry in the trial. Patients were randomized to mycophenolic acid delayed-release tablets 1.44 grams per day or MMF 2 grams per day for 12 months. The trial was conducted in Austria, Belgium, Canada, Germany, Italy, Spain, and USA. Treatment failure was defined as the first occurrence of biopsy‑proven acute rejection, graft loss, death, or lost to follow-up at 6 months and 12 months.

The incidences of treatment failure at 6 months and 12 months were similar between mycophenolic acid delayed-release tablets and MMF-treated patients (Table 8). The cumulative incidence of graft loss, death and lost to follow-up at 12 months is also shown in Table 8.

Table 8: Treatment Failure in Conversion Transplant Patients (Percentage of Patients) at 6 Months and 12 Months of Treatment when Administered in Combination with Cyclosporine* and with or without Corticosteroids 
 Mycophenolic Acid Delayed-Release Tablets

1.44 grams per day

(n = 159)
 Mycophenolate Mofetil (MMF)

2 grams per day

(n = 163)
 6 Months  n (%)  n (%)
 Treatment failure#  7 (4.4)  11 (6.7)
 Biopsy-proven acute rejection  2 (1.3)  2 (1.2)
 Graft loss  0  1 (0.6)
 Death  0  1 (0.6)
 Lost to follow-up**  5 (3.1)  7 (4.3)
12 Months n (%)  n (%)
 Graft loss or death or lost to follow-up***  10 (6.3)  17 (10.4)
 Treatment failure##  12 (7.5)  20 (12.3)
 Biopsy-proven acute rejection  2 (1.3)  5 (3.1)
 Graft loss  0  1 (0.6)
 Death  2 (1.3)  4 (2.5)
Lost to follow-up** 8 (5.0) 10 (6.1)

*USP MODIFIED.

**Lost to follow-up indicates patients who were lost to follow-up without prior biopsy-proven acute rejection, graft loss, or death.

***Lost to follow-up indicates patients who were lost to follow-up without prior graft loss or death (8 mycophenolic acid delayed‑release tablets patients and 12 MMF patients).

#95% confidence interval of the difference in treatment failure at 6 months (mycophenolic acid delayed-release tablets‑MMF) is (‑7.3%, 2.7%).

##95% confidence interval of the difference in treatment failure at 12 months (mycophenolic acid delayed-release tablets‑MMF) is (-11.2%, 1.8%).

7.10 Ciprofloxacin, Amoxicillin Plus Clavulanic Acid and Other Drugs That Alter the Gastrointestinal Flora

Drugs that alter the gastrointestinal flora, such as ciprofloxacin or amoxicillin plus clavulanic acid may interact with MMF by disrupting enterohepatic recirculation. Interference of MPAG hydrolysis may lead to less MPA available for absorption when mycophenolic acid delayed‑release tablets is concomitantly administered with ciprofloxacin or amoxicillin plus clavulanic acid. The clinical relevance of this interaction is unclear; however, no dose adjustment of mycophenolic acid delayed‑release tablets is needed when co-administered with these drugs [see Clinical Pharmacology (12.3)].

7.9 Acyclovir (valacyclovir), Ganciclovir (valganciclovir), and Other Drugs That Undergo Renal Tubular Secretion

The coadministration of MMF and acyclovir or ganciclovir may increase plasma concentrations of mycophenolic acid glucuronide (MPAG) and acyclovir/ valacyclovir /ganciclovir/valganciclovir as their coexistence competes for tubular secretion. Both acyclovir/valacyclovir/ganciclovir/ valganciclovir and MPAG concentrations will be also increased in the presence of renal impairment.

Acyclovir/valacyclovir/ganciclovir/valganciclovir may be taken with mycophenolic acid delayed‑release tablets; however, during the period of treatment, physicians should monitor blood cell counts [see Clinical Pharmacology (12.3)].

7.3 Cholestyramine, Bile Acid Sequestrates, Oral Activated Charcoal and Other Drugs That Interfere With Enterohepatic Recirculation

Drugs that interrupt enterohepatic recirculation may decrease MPA plasma concentrations when co‑administered with MMF. Therefore, do not administer mycophenolic acid delayed‑release tablets with cholestyramine or other agents that may interfere with enterohepatic recirculation or drugs that may bind bile acids, e.g., bile acid sequestrates or oral activated charcoal, because of the potential to reduce the efficacy of mycophenolic acid delayed‑release tablets [see Clinical Pharmacology (12.3)].


Structured Label Content

Section 42229-5 (42229-5)

Signs and Symptoms

There have been anecdotal reports of deliberate or accidental overdoses with mycophenolic acid delayed‑release tablets, whereas not all patients experienced related adverse reactions.

In those overdose cases in which adverse reactions were reported, the reactions fall within the known safety profile of the class. Accordingly, an overdose of mycophenolic acid delayed‑release tablets could possibly result in oversuppression of the immune system and may increase the susceptibility to infection, including opportunistic infections, fatal infections and sepsis. If blood dyscrasias occur (e.g., neutropenia with absolute neutrophil count < 1.5 x 103/mcL or anemia), it may be appropriate to interrupt or discontinue mycophenolic acid delayed‑release tablets.

Possible signs and symptoms of acute overdose could include the following: hematological abnormalities, such as leukopenia and neutropenia, and gastrointestinal symptoms, such as abdominal pain, diarrhea, nausea and vomiting, and dyspepsia.

Section 42231-1 (42231-1)
 This Medication Guide has been approved by the U.S. Food and Drug Administration.  Revised: 8/2024 

MEDICATION GUIDE

Mycophenolic Acid

(mye” koe fe nole’ ik as’ id)

Delayed-Release Tablets

Read the Medication Guide that comes with mycophenolic acid delayed-release tablets before you start taking it and each time you get a refill. There may be new information. This Medication Guide does not take the place of talking with your healthcare provider about your medical condition or treatment. If you have any questions about mycophenolic acid delayed-release tablets, ask your doctor.



What is the most important information I should know about mycophenolic acid delayed-release tablets?

Mycophenolic acid delayed-release tablets can cause serious side effects, including:

  • Increased risk of loss of pregnancy (miscarriage) and higher risk of birth defects. Females who take mycophenolic acid delayed-release tablets during pregnancy, have a higher risk of miscarriage during the first 3 months (first trimester), and a higher risk that their baby will be born with birth defects.
    • If you are a female who can become pregnant:
      • your doctor must talk with you about acceptable birth control methods (contraceptive counseling) while taking mycophenolic acid delayed-release tablets.
      • you should have a pregnancy test immediately before starting mycophenolic acid delayed-release tablets and another pregnancy test 8 days to 10 days later. Pregnancy tests should be repeated during routine follow-up visits with your doctor. Talk to your doctor about the results of all of your pregnancy tests.
      • you must use acceptable birth control during your entire mycophenolic acid delayed-release tablets therapy and for 6 weeks after stopping mycophenolic acid delayed-release tablets, unless at any time you choose to avoid sexual intercourse (abstinence) with a man completely. Mycophenolic acid delayed-release tablets decrease blood levels of the hormones in birth control pills that you take by mouth. Birth control pills may not work as well while you take mycophenolic acid delayed-release tablets and you could become pregnant. If you decide to take birth control pills while using mycophenolic acid delayed-release tablets, you must also use another form of birth control. Talk to your doctor about other birth control methods that can be used while taking mycophenolic acid delayed-release tablets.
    • If you are a sexually active male whose female partner can become pregnant use effective contraception while you are taking mycophenolic acid delayed-release tablets, and for at least 90 days after stopping mycophenolic acid delayed-release tablets.
  • If you plan to become pregnant, talk with your doctor. Your doctor will decide if other medicines to prevent rejection may be right for you.
  • If you become pregnant while taking mycophenolic acid delayed-release tablets, do not stop taking mycophenolic acid delayed-release tablets. Call your doctor right away. You and your doctor may decide that other medicines to prevent rejection may be right for you. You and your doctor should report your pregnancy to

    Mycophenolate Pregnancy Registry (1-800-617-8191)
    The purpose of this registry is to gather information about the health of your baby.

  • Increased risk of getting serious infections. Mycophenolic acid delayed-release tablets weaken the body’s immune system and affects your ability to fight infections. Serious infections can happen with mycophenolic acid delayed-release tablets and can lead to death. These serious infections can include:
    • Viral infections. Certain viruses can live in your body and cause active infections when your immune system is weak. Viral infections that can happen with mycophenolic acid delayed-release tablets include:
      • Shingles, other herpes infections, and cytomegalovirus (CMV). CMV can cause serious tissue and blood infections.
      • BK virus. BK virus can affect how your kidney works and cause your transplanted kidney to fail.
      • Hepatitis B and C viruses. Hepatitis viruses can affect how your liver works. Talk to your doctor about how hepatitis viruses may affect you.
      • COVID-19
  • A brain infection called Progressive Multifocal Leukoencephalopathy (PML). In some patients mycophenolic acid delayed-release tablets may cause an infection of the brain that may cause death. You are at risk for this brain infection because you have a weakened immune system. You should tell your healthcare provider right away if you have any of the following symptoms:
    • Weakness on one side of the body
    • You do not care about things that you usually care about (apathy)
    • You are confused or have problems thinking
    • You cannot control your muscles
  • Fungal infections. Yeast and other types of fungal infections can happen with mycophenolic acid delayed-release tablets and cause serious tissue and blood infections. See “What are the possible side effects of mycophenolic acid delayed-release tablets?”
Call your doctor right away if you have any of these signs and symptoms of infection:
  • Temperature of 100.5°F or greater
  • Cold symptoms, such as a runny nose or sore throat
  • Flu symptoms, such as an upset stomach, stomach pain, vomiting, or diarrhea
  • Earache or headache
  • Pain during urination or you need to urinate often
  • White patches in the mouth or throat
  • Unexpected bruising or bleeding
  • Cuts, scrapes, or incisions that are red, warm, and oozing pus
  • Increased risk of getting certain cancers. People who take mycophenolic acid delayed-release tablets have a higher risk of getting lymphoma, and other cancers, especially skin cancer. Tell your doctor if you have:
    • unexplained fever, tiredness that does not go away, weight loss, or lymph node swelling
    • a brown or black skin lesion with uneven borders, or one part of the lesion does not look like other parts
    • a change in the size or color of a mole
    • a new skin lesion or bump
    • any other changes to your health
See the section “What are the possible side effects of mycophenolic acid delayed-release tablets?” for other serious side effects.

What are mycophenolic acid delayed-release tablets?



Mycophenolic acid delayed-release tablets are a prescription medicine given to prevent rejection (antirejection medicine) in people who have received a kidney transplant. Rejection is when the body’s immune system senses the new organ as “foreign” and attacks it.

Mycophenolic acid delayed-release tablets are used with other medicines containing cyclosporine (Sandimmune ®, Gengraf ®, and Neoral ®) and corticosteroids.

Mycophenolic acid delayed-release tablets can be used to prevent rejection in children who are 5 years or older and are stable after having a kidney transplant. It is not known if mycophenolic acid delayed-release tablets are safe and work in children younger than 5 years. It is not known how mycophenolic acid delayed-release tablets work in children who have just received a new kidney transplant.

Who should not take mycophenolic acid delayed-release tablets?



Do not take mycophenolic acid delayed-release tablets if you are allergic to mycophenolic acid (MPA), mycophenolate sodium, mycophenolate mofetil, or any of the ingredients in mycophenolic acid delayed-release tablets. See the end of this Medication Guide for a complete list of ingredients in mycophenolic acid delayed-release tablets.

What should I tell my doctor before I start taking mycophenolic acid delayed-release tablets?

Tell your healthcare provider about all of your medical conditions, including if you:

  • have any digestive problems, such as ulcers
  • plan to receive any vaccines. You should not receive live vaccines while you take mycophenolic acid delayed-release tablets. Some vaccines may not work as well during treatment with mycophenolic acid delayed-release tablets.
  • have Lesch-Nyhan or Kelley-Seegmiller syndrome or another rare inherited deficiency of hypoxanthine-guanine phosphoribosyl-transferase (HGPRT). You should not take mycophenolic acid delayed-release tablets if you have one of these disorders.
  • are pregnant or planning to become pregnant. See “What is the most important information I should know about mycophenolic acid delayed-release tablets?”
  • are breastfeeding or plan to breastfeed. It is not known if mycophenolic acid passes into breast milk. You and your doctor will decide if you will breastfeed while taking mycophenolic acid delayed-release tablets.

Tell your doctor about all the medicines you take, including prescription and nonprescription medicines, vitamins, and herbal supplements.

Some medicines may affect the way mycophenolic acid delayed-release tablets work and mycophenolic acid delayed-release tablets may affect how some medicines work. Especially tell your doctor if you take:

  • birth control pills (oral contraceptives). See “What is the most important information I should know about mycophenolic acid delayed-release tablets?”
  • antacids that contain aluminum or magnesium. Mycophenolic acid delayed-release tablets and antacids should not be taken at the same time.
  • acyclovir (Zovirax ®), Ganciclovir (Cytovene ® IV, Valcyte ®)
  • azathioprine (Azasan ®, Imuran ®)
  • cholestyramine (Questran ® Light, Questranâ, Locholest Light, Prevaliteâ)

Know the medicines you take. Keep a list of your medicines with you to show your healthcare provider and pharmacist when you get a new medicine. Do not take any new medicine without talking to your doctor.

How should I take mycophenolic acid delayed-release tablets?

  • Take mycophenolic acid delayed-release tablets exactly as prescribed. Your healthcare provider will tell you how much mycophenolic acid delayed-release tablets to take.
  • Do not stop taking or change your dose of mycophenolic acid delayed-release tablets without talking to your healthcare provider.
  • Take mycophenolic acid delayed-release tablets on an empty stomach, either 1 hour before or 2 hours after a meal.
  • Swallow mycophenolic acid delayed-release tablets whole. Do not crush, chew, or cut mycophenolic acid delayed-release tablets. The mycophenolic acid delayed-release tablets have a coating so that the medicine will pass through your stomach and dissolve in your intestine.
    • If you forget to take mycophenolic acid delayed-release tablets, take it as soon as you remember and then take your next dose at its regular time. If it is almost time for your next dose, skip the missed dose. Do not take two doses at the same time. Call your doctor or pharmacist if you are not sure what to do.
    • If you take more than the prescribed dose of mycophenolic acid delayed-release tablets, call your doctor right away.
    • Do not change (substitute) between using mycophenolic acid delayed-release tablets and mycophenolate mofetil tablets, capsules, or oral suspension for one another unless your healthcare provider tells you to. These medicines are absorbed differently. This may affect the amount of medicine in your blood.
    • Be sure to keep all appointments at your transplant clinic. During these visits, your doctor may perform regular blood tests.

What should I avoid while taking mycophenolic acid delayed-release tablets?

  • Avoid pregnancy. See “What is the most important information I should know about mycophenolic acid delayed-release tablets?”
  • Limit the amount of time you spend in sunlight. Avoid using tanning beds and sunlamps. People who take mycophenolic acid delayed-release tablets have a higher risk of getting skin cancer. See “What is the most important information I should know about mycophenolic acid delayed-release tablets?” Wear protective clothing when you are in the sun and use a broad-spectrum sunscreen with a high sun protection factor (SPF 30 and above). This is especially important if your skin is fair (light colored) or you have a family history of skin cancer.
  • You should not donate blood while taking mycophenolic acid delayed-release tablets and for at least 6 weeks after stopping mycophenolic acid delayed-release tablets.
  • You should not donate sperm while taking mycophenolic acid delayed-release tablets and for 90 days after stopping mycophenolic acid delayed-release tablets.
  • Elderly patients 65 years of age or older may have more side effects with mycophenolic acid delayed-release tablets because of a weaker immune system.

What are the possible side effects of mycophenolic acid delayed-release tablets?



Mycophenolic acid delayed-release tablets can cause serious side effects.



See "What is the most important information I should know about mycophenolic acid delayed-release tablets?"



Stomach and intestinal bleeding can happen in people who take mycophenolic acid delayed-release tablets. Bleeding can be severe and you may have to be hospitalized for treatment.

Some people taking mycophenolic acid delayed-release tablets may have an inflammatory reaction with fever, joint stiffness, joint pain, and muscle pain. Some of these reactions may require hospitalization. This reaction could happen within weeks to months after you start treatment with mycophenolic acid delayed-release tablets or if your dose is increased. Call your doctor right away if you experience these symptoms.

The most common side effects of taking mycophenolic acid delayed-release tablets include:

In people with a new transplant:

  • low blood cell counts
    • red blood cells
    • white blood cells
    • platelets
  • constipation
  • nausea
  • diarrhea
  • vomiting
  • urinary tract infections
  • stomach upset

In people who take mycophenolic acid delayed-release tablets for a long time (long-term) after transplant:

  • low blood cell counts
    • red blood cells
    • white blood cells
  • nausea
  • diarrhea
  • sore throat

Your healthcare provider will do blood tests before you start taking mycophenolic acid delayed-release tablets and during treatment with mycophenolic acid delayed-release tablets to check your blood cell counts. Tell your healthcare provider right away if you have any signs of infection (see “What is the most important information I should know about mycophenolic acid delayed-release tablets?”), or any unexpected bruising or bleeding. Also, tell your healthcare provider if you have unusual tiredness, dizziness, or fainting.

These are not all the possible side effects of mycophenolic acid delayed-release tablets. Your healthcare provider may be able to help you manage these side effects.

Call your doctor for medical advice about side effects.

You may report side effects to

  • FDA MedWatch at 1-800-FDA-1088 or
  • Biocon Pharma Inc., at 1-866-924-6266.

How should I store mycophenolic acid delayed-release tablets?

  • Store mycophenolic acid delayed-release tablets at room temperature, 59°F to 86°F (15°C to 30°C). Mycophenolic acid delayed-release tablets do not need to be refrigerated.

  • Keep the container tightly closed. Store mycophenolic acid delayed-release tablets in a dry place.

  • Keep mycophenolic acid delayed-release tablets and all medicines out of the reach of children.

General information about mycophenolic acid delayed-release tablets.

Medicines are sometimes prescribed for purposes other than those listed in a Medication Guide. Do not use mycophenolic acid delayed-release tablets for a condition for which it was not prescribed. Do not give mycophenolic acid delayed-release tablets to other people, even if they have the same symptoms you have. It may harm them.

This Medication Guide summarizes the most important information about mycophenolic acid delayed‑release tablets. If you would like more information, talk with your doctor. You can ask your doctor or pharmacist for information about mycophenolic acid delayed-release tablets that is written for healthcare professionals. You can also call 1-866-924-6266.

What are the ingredients in mycophenolic acid delayed-release tablets?

Active ingredient: mycophenolic acid (as mycophenolate sodium, USP)

Inactive ingredients: anhydrous lactose, colloidal silicon dioxide, croscarmellose sodium, crospovidone, magnesium stearate, povidone (K-30), and pregelatinized starch. The enteric coating of the tablet consists of ferric oxide yellow, hypromellose phthalate, titanium dioxide, and FD&C blue no. 2 (180 mg) or ferric oxide red (360 mg). The imprinting ink consist of ammonium hydroxide, ferrosoferric oxide, propylene glycol, and shellac glaze.

All the trademarks in this document are the property of their respective owners.

Manufactured by:

Acme Generics Private Limited

Solan, Himachal Pradesh 174101, India

Manufactured for:

Biocon Pharma Inc.,

Iselin, New Jersey, 08830-3009

United States of America                                                        

Section 43683-2 (43683-2)

RECENT MAJOR CHANGES

Section 51945-4 (51945-4)

NDC 70377-126-11

Mycophenolic Acid Delayed-Release Tablets, USP

180 mg

PHARMACIST: Dispense the accompanying Medication Guide to each patient.

Rx Only

120 Tablets

7.7 Rifampin

The concomitant administration of MMF and rifampin may decrease MPA plasma concentrations. Therefore, mycophenolic acid delayed‑release tablets are not recommended to be given with rifampin concomitantly unless the benefit outweighs the risk [see Clinical Pharmacology (12.3)].

7.4 Sevelamer

Concomitant administration of sevelamer and MMF may decrease MPA plasma concentrations. Sevelamer and other calcium-free phosphate binders should not be administered simultaneously with mycophenolic acid delayed‑release tablets [see Clinical Pharmacology (12.3)].

8.1 Pregnancy

Pregnancy Exposure Registry

There is a pregnancy exposure registry that monitors pregnancy outcomes in women exposed to mycophenolate during pregnancy and those becoming pregnant within 6 weeks of discontinuing mycophenolic acid delayed‑release tablets treatment. To report a pregnancy or obtain information about the registry, visit www.mycophenolateREMS.com or call 1‑800‑617‑8191.

Risk Summary

Following oral or intravenous (IV) administration, MMF is metabolized to mycophenolic acid (MPA), the active ingredient in mycophenolic acid delayed-release tablets and the active form of the drug. Use of MMF during pregnancy is associated with an increased risk of first trimester pregnancy loss and an increased risk of multiple congenital malformations in multiple organ systems (see Human Data). Oral administration of mycophenolate to rats and rabbits during the period of organogenesis produced congenital malformations and pregnancy loss at doses less than the recommended clinical dose (0.05 and 1.1 times exposure at the recommended clinical doses in kidney transplant patients for rats and rabbits, respectively) (see Animal Data).

Risks and benefits of mycophenolic acid delayed‑release tablets should be discussed with the patient. When appropriate, consider alternative immunosuppressants with less potential for embryo-fetal toxicity.

The estimated background risk of pregnancy loss and congenital malformations in organ transplant populations is not clear. In the U.S. general population, the estimated background risk of major birth defects and miscarriage in clinically recognized pregnancies is 2% to 4% and 15% to 20%, respectively.

Data

Human Data

A spectrum of congenital malformations (including multiple malformations in individual newborns) has been reported in 23% to 27% of live births in MMF exposed pregnancies, based on published data from pregnancy registries. Malformations that have been documented include external ear, eye, and other facial abnormalities, including cleft lip and palate, and anomalies of the distal limbs, heart, esophagus, kidney, and nervous system. Based on published data from pregnancy registries, the risk of first trimester pregnancy loss has been reported at 45% to 49% following MMF exposure.

Animal Data

In animal reproductive toxicology studies, congenital malformations and pregnancy loss occurred when pregnant rats and rabbits received mycophenolate at dose multiples equivalent to and less than the recommended human dose. Oral administration of mycophenolate sodium to pregnant rats from Gestational Day 7 to Day 16 at a dose as low as 1 mg per kg resulted in malformations including anophthalmia, exencephaly, and umbilical hernia. The systemic exposure at this dose represents 0.05 times the clinical exposure at the human dose of 1,440 mg per day of mycophenolic acid delayed‑release tablets. Oral administration of mycophenolate to pregnant rabbits from Gestational Day 7 to Day 19 resulted in embryofetal lethality and malformations, including ectopia cordis, ectopic kidneys, diaphragmatic hernia, and umbilical hernia at doses equal to or greater than 80 mg per kg per day, in the absence of maternal toxicity. This corresponds to about 1.1 times the recommended clinical dose based on BSA.

8.2 Lactation

Risk Summary

There are no data on the presence of mycophenolate in human milk, or the effects on milk production. There are limited data in the National Transplantation Pregnancy Registry on the effects of mycophenolate on a breastfed child (see Data). Studies in rats treated with MMF have shown mycophenolic acid to be present in milk. Because available data are limited, it is not possible to exclude potential risks to a breastfeeding infant.

The developmental and health benefits of breastfeeding should be considered along with the mother’s clinical need for mycophenolic acid delayed‑release tablets and any potential adverse effects on the breastfed infant from mycophenolic acid delayed‑release tablets or from the underlying maternal condition. Because available data are limited, it is not possible to exclude potential risks to a breastfeeding infant.

Data

Limited information is available from the National Transplantation Pregnancy Registry. Of seven infants reported by the National Transplantation Pregnancy Registry to have been breastfed while the mother was taking mycophenolate, all were born at 34 weeks to 40 weeks gestation and breastfed for up to 14 months. No adverse events were reported.

11 Description (11 DESCRIPTION)

Mycophenolic acid delayed-release tablets, USP are an enteric formulation of mycophenolate sodium, USP that delivers the active moiety mycophenolic acid (MPA). Mycophenolic acid is an immunosuppressive agent. As the sodium salt, MPA is chemically designated as (E)-6-(4‑hydroxy‑6-methoxy-7-methyl-3- oxo-1,3-dihydroisobenzofuran-5-yl)-4-methylhex-4-enoic acid sodium salt.

Its molecular formula is C17H19O6Na. The molecular weight is 342.32 g/mol and the structural formula is:

Mycophenolic acid, as the sodium salt, is a white to off-white, crystalline powder and is slightly soluble in water and practically insoluble in 0.1N hydrochloric acid.

Mycophenolic acid is available for oral use as delayed-release tablets containing either 180 mg or 360 mg of mycophenolic acid.

Inactive ingredients include anhydrous lactose, colloidal silicon dioxide, croscarmellose sodium, crospovidone, magnesium stearate, povidone (K-30), and pregelatinized starch. The enteric coating of the tablet consists of ferric oxide yellow, hypromellose phthalate, titanium dioxide, and FD&C blue no. 2 (180 mg) or ferric oxide red (360 mg). The imprinting ink consist of ammonium hydroxide, ferrosoferric oxide, propylene glycol, and shellac glaze.

7.2 Azathioprine

Given that azathioprine and MMF inhibit purine metabolism, it is recommended that mycophenolic acid delayed‑release tablets not be administered concomitantly with azathioprine or MMF.

7.5 Cyclosporine

Cyclosporine inhibits the enterohepatic recirculation of MPA, and therefore, MPA plasma concentrations may be decreased when mycophenolic acid delayed‑release tablets are co‑administered with cyclosporine. Clinicians should be aware that there is also a potential change of MPA plasma concentrations after switching from cyclosporine to other immunosuppressive drugs or from other immunosuppressive drugs to cyclosporine in patients concomitantly receiving mycophenolic acid delayed‑release tablets [see Clinical Pharmacology (12.3)].

5.9 Immunizations

During treatment with mycophenolic acid delayed‑release tablets, the use of live attenuated vaccines should be avoided and patients should be advised that vaccinations may be less effective. Advise patients to discuss with the physician before seeking any immunizations.

7.11 Pantoprazole

Administration of pantoprazole at a dose of 40 mg twice daily for 4 days to healthy volunteers did not alter the pharmacokinetics of a single dose of mycophenolic acid delayed‑release tablets [see Clinical Pharmacology (12.3)].

8.4 Pediatric Use

The safety and effectiveness of mycophenolic acid delayed‑release tablets have been established in pediatric kidney transplant patients 5 years to 16 years of age who were initiated on mycophenolic acid delayed‑release tablets at least 6 months post-transplant. Use of mycophenolic acid delayed‑release tablets in this age group is supported by evidence from adequate and well‑controlled studies of mycophenolic acid delayed‑release tablets in a similar population of adult kidney transplant patients with additional pharmacokinetic data in pediatric kidney transplant patients [see Dosage and Administration (2.2, 2.3), Clinical Pharmacology (12.3)]. Pediatric doses for patients with BSA < 1.19 m2 cannot be accurately administered using currently available formulations of mycophenolic acid delayed-release tablets.

The safety and effectiveness of mycophenolic acid delayed‑release tablets in de novo pediatric kidney transplant patients and in pediatric kidney transplant patients below the age of 5 years have not been established.

8.5 Geriatric Use

Clinical studies of mycophenolic acid delayed‑release tablets did not include sufficient numbers of subjects aged 65 and over to determine whether they respond differently from younger subjects. Of the 372 patients treated with mycophenolic acid delayed‑release tablets in the clinical trials, 6% (N = 21) were 65 years of age and older and 0.3% (N = 1) were 75 years of age and older. Other reported clinical experience has not identified differences in responses between the elderly and younger patients. In general, dose selection for an elderly patient should be cautious, reflecting the greater frequency of decreased hepatic, renal, or cardiac function, and of concomitant disease or other drug therapy.

2.3 Administration

Mycophenolic acid delayed-release tablets should be taken on an empty stomach, 1 hour before or 2 hours after food intake [see Clinical Pharmacology (12.3)].

Mycophenolic acid delayed-release tablets should not be crushed, chewed, or cut prior to ingesting. The tablets should be swallowed whole in order to maintain the integrity of the enteric coating.

Pediatric patients with a BSA of 1.19 m2 to 1.58 m2 may be dosed either with three mycophenolic acid delayed‑release 180 mg tablets, or one 180 mg tablet plus one 360 mg tablet twice daily (1,080 mg daily dose). Patients with a BSA of > 1.58 m2 may be dosed either with four mycophenolic acid delayed‑release 180 mg tablets, or two mycophenolic acid delayed‑release 360 mg tablets twice daily (1,440 mg daily dose). Pediatric doses for patients with BSA < 1.19 m2 cannot be accurately administered using currently available formulations of mycophenolic acid delayed-release tablets.

4 Contraindications (4 CONTRAINDICATIONS)

Known hypersensitivity to mycophenolate sodium, mycophenolic acid (MPA), mycophenolate mofetil, or to any of its excipients. (4.1)

5.11 Blood Donation

Patients should not donate blood during therapy and for at least 6 weeks following discontinuation of mycophenolic acid delayed‑release tablets because their blood or blood products might be administered to a female of reproductive potential or a pregnant woman.

5.12 Semen Donation

Based on animal data, men should not donate semen during therapy and for 90 days following discontinuation of mycophenolic acid delayed‑release tablets [see Use in Specific Populations (8.3)].

6 Adverse Reactions (6 ADVERSE REACTIONS)

The following adverse reactions are discussed in greater detail in other sections of the label.

7 Drug Interactions (7 DRUG INTERACTIONS)
  • Antacids with Magnesium and Aluminum Hydroxides: Decreases concentrations of MPA; concomitant use is not recommended. (7.1)

  • Azathioprine: Competition for purine metabolism; concomitant administration is not recommended. (7.2)

  • Cholestyramine, Bile Acid Sequestrates, Oral Activated Charcoal, and Other Drugs that Interfere with Enterohepatic Recirculation: May decrease MPA concentrations; concomitant use is not recommended. (7.3)

  • Sevelamer: May decrease MPA concentrations; concomitant use is not recommended. (7.4)

  • Cyclosporine: May decrease MPA concentrations; exercise caution when switching from cyclosporine to other drugs or from other drugs to cyclosporine. (7.5)

  • Norfloxacin and Metronidazole: May decrease MPA concentrations; concomitant use with both drugs is not recommended. (7.6)

  • Rifampin: May decrease MPA concentrations; concomitant use is not recommended unless the benefit outweighs the risk. (7.7)

  • Hormonal Contraceptives: May reduce the effectiveness of oral contraceptives. Additional barrier contraceptive methods must be used. (5.2, 7.8)

  • Acyclovir, Valacyclovir, Ganciclovir, Valganciclovir, and Other Drugs that Undergo Renal Tubular Secretion: May increase concentrations of mycophenolic acid glucuronide (MPAG) and co-administered drug; monitor blood cell counts. (7.9)

12.3 Pharmacokinetics

Mycophenolic acid delayed‑release tablets exhibit linear and dose-proportional pharmacokinetics over the dose-range (360 mg to 2,160 mg) evaluated. The absolute bioavailability of mycophenolic acid delayed‑release tablets in stable renal transplant patients on cyclosporine was 72%. MPA is highly protein bound (> 98% bound to albumin). The predominant metabolite of MPA is the phenolic glucuronide (MPAG) which is pharmacologically inactive. A minor metabolite AcMPAG which is an acyl glucuronide of MPAG is also formed and has pharmacological activity comparable to MPA. MPAG undergoes renal elimination. A fraction of MPAG also undergoes biliary excretion, followed by deconjugation by gut flora and subsequent reabsorption as MPA. The mean elimination half‑lives of MPA and MPAG ranged between 8 hours and 16 hours, and 13 hours and 17 hours, respectively.

1.2 Limitations of Use

Mycophenolic acid delayed-release tablets and mycophenolate mofetil (MMF) tablets and capsules should not be used interchangeably without physician supervision because the rate of absorption following the administration of these two products is not equivalent.

5.4 Serious Infections

Patients receiving immunosuppressants, including mycophenolic acid delayed‑release tablets, are at increased risk of developing bacterial, viral, fungal, and protozoal infections, and new or reactivated viral infections, including opportunistic infections [see Warnings and Precautions (5.5)]. These infections may lead to serious, including fatal outcomes. Because of the danger of oversuppression of the immune system which can increase susceptibility to infection, combination immunosuppressant therapy should be used with caution.

1 Indications and Usage (1 INDICATIONS AND USAGE)
  • Mycophenolic acid is an antimetabolite immunosuppressant indicated for prophylaxis of organ rejection in adult patients receiving kidney transplants and in pediatric patients at least 5 years of age and older who are at least 6 months post kidney transplant. (1.1)

  • Use in combination with cyclosporine and corticosteroids. (1.1)

Limitations of Use:

  • Mycophenolic acid delayed-release tablets and mycophenolate mofetil tablets and capsules should not be used interchangeably. (1.2)

12.1 Mechanism of Action

Mycophenolic acid (MPA), an immunosuppressant, is an uncompetitive and reversible inhibitor of inosine monophosphate dehydrogenase (IMPDH), and therefore inhibits the de novo pathway of guanosine nucleotide synthesis without incorporation to DNA. T- and B‑lymphocytes are critically dependent for their proliferation on de novo synthesis of purines, whereas other cell types can utilize salvage pathways. MPA has cytostatic effects on lymphocytes.

Mycophenolate sodium has been shown to prevent the occurrence of acute rejection in rat models of kidney and heart allotransplantation. Mycophenolate sodium also decreases antibody production in mice.

5.1 Embryo Fetal Toxicity (5.1 Embryo-Fetal Toxicity)

Use of mycophenolic acid delayed‑release tablets during pregnancy is associated with an increased risk of first trimester pregnancy loss and an increased risk of congenital malformations, especially external ear and other facial abnormalities, including cleft lip and palate, and anomalies of the distal limbs, heart, esophagus, kidney, and nervous system. Females of reproductive potential must be aware of these risks and must be counseled regarding pregnancy prevention and planning. Avoid use of mycophenolic acid delayed‑release tablets during pregnancy if safer treatment options are available [see Use in Specific Populations (8.1, 8.3)].

5 Warnings and Precautions (5 WARNINGS AND PRECAUTIONS)
  • New or Reactivated Viral Infections: Consider reducing immunosuppression. (5.5)

  • Blood Dyscrasias, including Pure Red Cell Aplasia (PRCA): Monitor for neutropenia or anemia; consider treatment interruption or dose reduction. (5.6)

  • Serious GI Tract Complications (gastrointestinal bleeding, perforations and ulcers): Administer with caution to patients with active digestive system disease. (5.7)

  • Immunizations: Avoid live attenuated vaccines. (5.9)

  • Patients with Hereditary Deficiency of Hypoxanthine-guanine Phosphoribosyl‑transferase (HGPRT): May cause exacerbation of disease symptoms; avoid use. (5.10)

  • Blood Donation: Avoid during therapy and for 6 weeks thereafter. (5.11)

  • Semen Donation: Avoid during therapy and for 90 days thereafter. (5.12)

2 Dosage and Administration (2 DOSAGE AND ADMINISTRATION)
  • In adults: 720 mg by mouth, twice daily (1,440 mg total daily dose) on an empty stomach, 1 hour before or 2 hours after food intake. (2.1)

  • In children: 5 years of age and older (who are at least 6 months post kidney transplant), 400 mg/m2 by mouth, twice daily (up to a maximum of 720 mg twice daily). (2.2)

  • Do not crush, chew, or cut tablet prior to ingestion. (2.3)

7.8 Hormonal Contraceptives

In a drug interaction study, mean levonorgestrel AUC was decreased by 15% when co‑administered with MMF. Although mycophenolic acid delayed‑release tablets may not have any influence on the ovulation‑suppressing action of oral contraceptives, additional barrier contraceptive methods must be used when mycophenolic acid delayed‑release tablets are co‑administered with hormonal contraceptives (e.g., birth control pill, transdermal patch, vaginal ring, injection, and implant) [see Warnings and Precautions (5.1), Use in Specific Populations (8.3), Clinical Pharmacology (12.3)].

3 Dosage Forms and Strengths (3 DOSAGE FORMS AND STRENGTHS)

Mycophenolic acid is available as 360 mg and 180 mg delayed-release tablets.

 Table 1: Description of Mycophenolic Acid Delayed-Release Tablets, USP
Dosage Strength  360 mg tablet  180 mg tablet
 Active ingredient  mycophenolic acid as mycophenolate sodium, USP  mycophenolic acid as mycophenolate sodium, USP
 Appearance  Light-pink, film-coated, ovaloid, biconvex tablets  Light-green, film-coated, round, beveled edged, biconvex tablets
 Imprint  “aP36” on one side and plain on the other side.  “aP18” on one side and plain on the other side.
6.2 Postmarketing Experience

The following adverse reactions have been identified during post-approval use of mycophenolic acid delayed‑release tablets or other MPA derivatives. Because these reactions are reported voluntarily from a population of uncertain size, it is not always possible to reliably estimate their frequency or establish a causal relationship to drug exposure:

  • Congenital malformations, including ear, facial, cardiac and nervous system malformations and an increased incidence of first trimester pregnancy loss have been reported following exposure to MMF during pregnancy [see Boxed Warning, Warnings and Precautions (5.1)].
  • Infections [see Warnings and Precautions (5.4, 5.5)]
    • Cases of progressive multifocal leukoencephalopathy (PML), sometimes fatal.
    • Polyomavirus associated nephropathy (PVAN), especially due to BK virus infection, associated with serious outcomes, including deteriorating renal function and renal graft loss.
    • Viral reactivation in patients infected with HBV or HCV.
  • Cases of pure red cell aplasia (PRCA) have been reported in patients treated with MPA derivatives in combination with other immunosuppressive agents [see Warnings and Precautions (5.6)].

The following additional adverse reactions have been identified during post-approval use of mycophenolic acid delayed‑release tablets: agranulocytosis, asthenia, osteomyelitis, lymphadenopathy, lymphopenia, wheezing, dry mouth, gastritis, peritonitis, anorexia, alopecia, pulmonary edema, Kaposi’s sarcoma, de novo purine synthesis inhibitors-associated acute inflammatory syndrome.

8 Use in Specific Populations (8 USE IN SPECIFIC POPULATIONS)
  • Male Patients: Sexually active male patients and/or their female partners are recommended to use effective contraception during treatment of the male patient and for at least 90 days after cessation of treatment. (8.3)
4.1 Hypersensitivity Reactions

Mycophenolic acid delayed-release tablets are contraindicated in patients with a hypersensitivity to mycophenolate sodium, mycophenolic acid (MPA), mycophenolate mofetil, or to any of its excipients. Reactions like rash, pruritus, hypotension, and chest pain have been observed in clinical trials and post marketing reports [see Adverse Reactions (6)].

6.1 Clinical Studies Experience

Because clinical trials are conducted under widely varying conditions, adverse reaction rates observed in the clinical trials of a drug cannot be directly compared to rates in the clinical trials of another drug and may not reflect the rates observed in practice.

The data described below derive from two randomized, comparative, active-controlled, double‑blind, double‑dummy trials in prevention of acute rejection in de novo and converted stable kidney transplant patients.

In the de novo trial, patients were administered either mycophenolic acid delayed‑release tablets 1.44 grams per day (N = 213) or MMF 2 grams per day (N = 210) within 48 hours post‑transplant for 12 months in combination with cyclosporine, USP MODIFIED and corticosteroids. Forty-one percent of patients also received antibody therapy as induction treatment. In the conversion trial, renal transplant patients who were at least 6 months post‑transplant and receiving 2 grams per day MMF in combination with cyclosporine USP MODIFIED, with or without corticosteroids for at least two weeks prior to entry in the trial were randomized to mycophenolic acid delayed‑release tablets 1.44 grams per day (N = 159) or MMF 2 grams per day (N = 163) for 12 months.

The average age of patients in both studies was 47 years and 48 years (de novo study and conversion study, respectively), ranging from 22 years to 75 years. Approximately 66% of patients were male; 82% were white, 12% were black, and 6% other races. About 40% of patients were from the United States and 60% from other countries.

In the de novo trial, the overall incidence of discontinuation due to adverse reactions was 18% (39/213) and 17% (35/210) in the mycophenolic acid delayed‑release tablets and MMF arms, respectively. The most common adverse reactions leading to discontinuation in the mycophenolic acid delayed‑release tablets arm were graft loss (2%), diarrhea (2%), vomiting (1%), renal impairment (1%), CMV infection (1%), and leukopenia (1%). The overall incidence of patients reporting dose reduction at least once during the 0-month to 12-month study period was 59% and 60% in the mycophenolic acid delayed‑release tablets and MMF arms, respectively. The most frequent reasons for dose reduction in the mycophenolic acid delayed‑release tablets arm were adverse reactions (44%), dose reductions according to protocol guidelines (17%), dosing errors (11%) and missing data (2%).

The most common adverse reactions (≥ 20%) associated with the administration of mycophenolic acid delayed‑release tablets were anemia, leukopenia, constipation, nausea, diarrhea, vomiting, dyspepsia, urinary tract infection, CMV infection, insomnia, and postoperative pain.

The adverse reactions reported in ≥ 10% of patients in the de novo trial are presented in Table 2 below.

Table 2: Adverse Reactions (%) Reported in ≥ 10% of de novo Kidney Transplant Patients in Either Treatment Group

de novo Renal Trial
The trial was not designed to support comparative claims for mycophenolic acid delayed-release tablets for the adverse reactions reported in this table.
 System Organ Class

Adverse drug reactions
 Mycophenolic Acid Delayed-Release Tablets

1.44 grams per day

(n = 213)

(%)

Mycophenolate Mofetil

(MMF)

2 grams per day

(n = 210)

(%) 

 Blood and Lymphatic System Disorders
   Anemia  22  22
   Leukopenia  19  21
 Gastrointestinal System Disorders
   Constipation  38  40
   Nausea  29  27
   Diarrhea  24  25
   Vomiting  23  20
   Dyspepsia  23 19
   Abdominal pain upper 14  14
   Flatulence 10  13
 General and Administrative Site Disorders  
   Edema  17  18
   Edema lower limb  16  17
   Pyrexia  13  19
 Investigations 
   Increased blood creatinine  15  10
 Infections and Infestations
   Urinary tract infection  29  33
   CMV infection  20  18
 Metabolism and Nutrition Disorders
   Hypocalcemia  11  15
   Hyperuricemia  13  13
   Hyperlipidemia  12  10
   Hypokalemia  13  9
   Hypophosphatemia  11  9
 Musculoskeletal, Connective Tissue and Bone Disorders
   Back pain  12  6
   Arthralgia  7  11
 Nervous System Disorder
  Insomnia  24  24
  Tremor  12  14
  Headache  13  11
 Vascular Disorders
  Hypertension  18  18

Table 3 summarizes the incidence of opportunistic infections in de novo transplant patients.

 Table 3: Viral and Fungal Infections (%) Reported Over 0 Month to 12 Months
de novo Renal Trial
 Mycophenolic Acid Delayed-Release Tablets

1.44 grams per day

(n = 213)

(%)

 Mycophenolate Mofetil

(MMF)

2 grams per day

(n = 210)

(%)

 Any Cytomegalovirus  22  21
 - Cytomegalovirus Disease  5  4
 Herpes Simplex   8   6
 Herpes Zoster  5  4
 Any Fungal Infection 11   12
 - Candida NOS  6  6
 - Candida albicans  2  4

Lymphoma developed in 2 de novo patients (1%), (1 diagnosed 9 days after treatment initiation) and in 2 conversion patients (1%) receiving mycophenolic acid delayed‑release tablets with other immunosuppressive agents in the 12-month controlled clinical trials.

Nonmelanoma skin carcinoma occurred in 1% de novo and 12% conversion patients. Other types of malignancy occurred in 1% de novo and 1% conversion patients [see Warnings and Precautions (5.3)].

The adverse reactions reported in less than 10% of de novo or conversion patients treated with mycophenolic acid delayed-release tablets in combination with cyclosporine and corticosteroids are listed in Table 4.

 Table 4: Adverse Reactions Reported in < 10% of Patients Treated with Mycophenolic Acid Delayed-Release Tablets in Combination with Cyclosporine
USP MODIFIED.
 and Corticosteroids
 Blood and Lymphatic Disorders  Lymphocele, thrombocytopenia
 Cardiac Disorder  Tachycardia
 Eye Disorder  Vision blurred
 Gastrointestinal Disorders Abdominal pain, abdominal distension, gastroesophageal reflux disease, gingival hyperplasia
General Disorders and Administration‑Site Conditions Fatigue, peripheral edema
Infections and Infestations Nasopharyngitis, herpes simplex, upper respiratory infection, oral candidiasis, herpes zoster, sinusitis, influenza, wound infection, implant infection, pneumonia, sepsis
 Investigations Hemoglobin decrease, liver function tests abnormal
 Metabolism and Nutrition Disorders Hypercholesterolemia, hyperkalemia, hypomagnesemia, diabetes mellitus, hyperglycemia
Musculoskeletal and Connective Tissue Disorders  Arthralgia, pain in limb, peripheral swelling, muscle cramps, myalgia
Nervous System Disorders  Dizziness (excluding vertigo)
Psychiatric Disorders  Anxiety
 Renal and Urinary Disorders Renal tubular necrosis, renal impairment, hematuria, urinary retention
Respiratory, Thoracic and Mediastinal Disorders Cough, dyspnea, dyspnea exertional
Skin and Subcutaneous Tissue Disorders  Acne, pruritus, rash
Vascular Disorders Hypertension aggravated, hypotension

The following additional adverse reactions have been associated with the exposure to MPA when administered as a sodium salt or as mofetil ester:

Gastrointestinal: Intestinal perforation, gastrointestinal hemorrhage, gastric ulcers, duodenal ulcers [see Warnings and Precautions (5.7)], colitis (including CMV colitis), pancreatitis, esophagitis, and ileus.

Infections: Serious life-threatening infections, such as meningitis and infectious endocarditis, tuberculosis, and atypical mycobacterial infection [see Warnings and Precautions (5.4)].

Respiratory: Interstitial lung disorders, including fatal pulmonary fibrosis.

17 Patient Counseling Information (17 PATIENT COUNSELING INFORMATION)

Advise the patient to read the FDA-approved patient labeling (Medication Guide).

Embryo-Fetal Toxicity

Pregnancy loss and malformations

  • Inform pregnant women and females of reproductive potential that use of mycophenolic acid delayed‑release tablets in pregnancy is associated with an increased risk of first trimester pregnancy loss and an increased risk of congenital malformations. Advise patients that they must use an acceptable form of contraception [see Warnings and Precautions (5.1), Use in Specific Populations (8.1, 8.3)].

  • Encourage pregnant women to enroll in the Mycophenolate Pregnancy Registry (1‑800‑617-8191). This registry monitors pregnancy outcomes in women exposed to mycophenolate [see Use in Specific Populations (8.1)].

Contraception

  • Discuss pregnancy testing, pregnancy prevention and planning with females of reproductive potential [see Use in Specific Populations (8.3)].

  • Females of reproductive potential must use acceptable form of birth control during the entire mycophenolic acid delayed-release tablets therapy and for 6 weeks after stopping mycophenolic acid delayed-release tablets, unless the patient chooses to avoid heterosexual sexual intercourse completely (abstinence). Mycophenolic acid delayed-release tablets may reduce effectiveness of oral contraceptives. Use of additional barrier contraceptive methods is recommended [see Use in Specific Populations (8.3)].

  • For patients who are considering pregnancy, discuss appropriate alternative immunosuppressants with less potential for embryo-fetal toxicity. Risks and benefits of mycophenolic acid delayed-release tablets should be discussed with the patient [seeUse in Specific Populations (8.3)].

  • Advise sexually active male patients and/or their partners to use effective contraception during the treatment of the male patient and for at least 90 days after cessation of treatment. This recommendation is based on findings of animal studies.

Development of Lymphoma and Other Malignancies

  • Inform patients they are at increased risk of developing lymphomas and other malignancies, particularly of the skin, due to immunosuppression [see Warnings and Precautions (5.3)].

  • Advise patients to limit exposure to sunlight and ultraviolet (UV) light by wearing protective clothing and use a broad-spectrum sunscreen with a high protection factor [see Warnings and Precautions (5.3)].

Increased Risk of Infection

Inform patients they are at increased risk of developing a variety of infections, including opportunistic infections, due to immunosuppression and to contact their physician if they develop any symptoms of infection as explained in the Medication Guide [see Warnings and Precautions (5.4, 5.5)].

Blood Dyscrasias

Inform patients they are at increased risk for developing blood dyscrasias (e.g., neutropenia or anemia) and to immediately contact their healthcare provider if they experience any evidence of infection, unexpected bruising, bleeding, or any other manifestation of bone marrow suppression [see Warnings and Precautions (5.6)].

Gastrointestinal Tract Complications

Inform patients that mycophenolic acid delayed-release tablets can cause gastrointestinal tract complications, including bleeding, intestinal perforations, and gastric or duodenal ulcers. Advise the patient to contact their healthcare provider if they have symptoms of gastrointestinal bleeding or sudden onset or persistent abdominal pain [see Warnings and Precautions (5.7)].

Acute Inflammatory Syndrome

Inform patients that acute inflammatory reactions have been reported in some patients who received mycophenolate products. Some reactions were severe, requiring hospitalization. Advise patients to contact their physician if they develop fever, joint stiffness, joint pain or muscle pains [see Warnings and Precautions (5.8)].

Immunizations

Inform patients that mycophenolic acid delayed-release tablets can interfere with the usual response to immunizations and that they should avoid live vaccines. Before seeking vaccines on their own, advise patients to discuss first with their physician [see Warnings and Precautions (5.9)].

Administration Instructions

Advise patients to swallow mycophenolic acid delayed-release tablets whole, and not to crush, chew, or cut the tablets. Inform patients to take mycophenolic acid delayed-release tablets on an empty stomach, 1 hour before or 2 hours after food intake.

Blood Donation

Advise patients not to donate blood during therapy and for at least 6 weeks following discontinuation of mycophenolic acid delayed-release tablets [see Warnings and Precautions (5.10)].

Semen Donation

Advise males of childbearing potential not to donate semen during therapy and for 90 days following discontinuation of mycophenolic acid delayed-release tablets [see Warnings and Precautions (5.11)].

Drug Interactions

Patients should be advised to report to their doctor the use of any other medications while taking mycophenolic acid delayed-release tablets. The simultaneous administration of any of the following drugs with mycophenolic acid delayed-release tablets may result in clinically significant adverse reactions:

Manufactured by:

Acme Generics Private Limited

Solan, Himachal Pradesh 174101,

India

Manufactured for:

Biocon Pharma Inc.,

Iselin, New Jersey, 08830-3009

United States of America

Revised: 8/2024

5.10 Rare Hereditary Deficiencies

Mycophenolic acid is an inosine monophosphate dehydrogenase inhibitor (IMPDH inhibitor). Mycophenolic acid delayed‑release tablets should be avoided in patients with rare hereditary deficiency of hypoxanthine‑guanine phosphoribosyl‑transferase (HGPRT), such as Lesch‑Nyhan and Kelley‑Seegmiller syndromes because it may cause an exacerbation of disease symptoms characterized by the overproduction and accumulation of uric acid leading to symptoms associated with gout, such as acute arthritis, tophi, nephrolithiasis or urolithiasis, and renal disease, including renal failure.

7.6 Norfloxacin and Metronidazole

MPA plasma concentrations may be decreased when MMF is administrated with norfloxacin and metronidazole. Therefore, mycophenolic acid delayed‑release tablets are not recommended to be given with the combination of norfloxacin and metronidazole. Although there will be no effect on MPA plasma concentrations when mycophenolic acid delayed‑release tablets are concomitantly administered with norfloxacin or metronidazole when given separately [see Clinical Pharmacology (12.3)].

5.7 Serious Gi Tract Complications (5.7 Serious GI Tract Complications)

Gastrointestinal bleeding (requiring hospitalization), intestinal perforations, gastric ulcers, and duodenal ulcers have been reported in patients treated with mycophenolic acid delayed‑release tablets. Mycophenolic acid delayed‑release tablets should be administered with caution in patients with active serious digestive system disease.

5.2 Management of Immunosuppression

Only physicians experienced in immunosuppressive therapy and management of organ transplant patients should prescribe mycophenolic acid delayed-release tablets. Patients receiving the drug should be managed in facilities equipped and staffed with adequate laboratory and supportive medical resources. The physicians responsible for maintenance therapy should have complete information requisite for the follow-up of the patient [see Boxed Warning].

5.3 Lymphoma and Other Malignancies

Patients receiving immunosuppressants, including mycophenolic acid delayed‑release tablets, are at increased risk of developing lymphomas and other malignancies, particularly of the skin [see Adverse Reactions (6)]. The risk appears to be related to the intensity and duration of immunosuppression rather than to the use of any specific agent.

As usual for patients with increased risk for skin cancer, exposure to sunlight and UV light should be limited by wearing protective clothing and using a broad-spectrum sunscreen with a high protection factor.

Post-transplant lymphoproliferative disorder (PTLD) has been reported in immunosuppressed organ transplant recipients. The majority of PTLD events appear related to Epstein-Barr Virus (EBV) infection. The risk of PTLD appears greatest in those individuals who are EBV seronegative, a population which includes many young children.

16 How Supplied/storage and Handling (16 HOW SUPPLIED/STORAGE AND HANDLING)

Mycophenolic acid delayed-release tablets, USP are available in the strengths and packages listed below:

360 mg tablet: Light-pink, film-coated, ovaloid, biconvex tablets, imprinted with “aP36” on one side and plain on the other side, containing 360 mg mycophenolic acid (MPA) as mycophenolate sodium, USP.

Bottles of 120............................................................................................ NDC 70377-127-11

180 mg tablet: Light-green, film-coated, round, beveled edged, biconvex tablets, imprinted with “aP18” on one side and plain on the other side, containing 180 mg mycophenolic acid (MPA) as mycophenolate sodium, USP.

Bottles of 120............................................................................................ NDC 70377-126-11

Storage

Store at 20°C to 25°C (68°F to 77°F); excursions permitted between 15°C and 30°C (59°F and 86°F) [see USP Controlled Room Temperature]. Protect from moisture. Dispense in a tight container (USP).

Handling

Keep out of reach and sight of children. Mycophenolic acid delayed-release tablets should not be crushed or cut in order to maintain the integrity of the enteric coating [see Dosage and Administration (2.3)].

Teratogenic effects have been observed with mycophenolate sodium [see Warnings and Precautions (5.1)]. If for any reason the mycophenolic acid delayedrelease tablets must be crushed, avoid inhalation of the powder, or direct contact of the powder, with skin or mucous membranes.

5.5 New Or Reactivated Viral Infections (5.5 New or Reactivated Viral Infections)

Polyomavirus associated nephropathy (PVAN), JC virus-associated progressive multifocal leukoencephalopathy (PML), cytomegalovirus (CMV) infections, reactivation of hepatitis B (HBV) or hepatitis C (HCV), SARS- CoV-2 infection, have been reported in patients treated with immunosuppressants, including MPA derivatives mycophenolate sodium and MMF. Reduction in immunosuppression should be considered for patients who develop evidence of new or reactivated viral infections. Physicians should also consider the risk that reduced immunosuppression represents to the functioning allograft.

PVAN, especially due to BK virus infection, is associated with serious outcomes, including deteriorating renal function and renal graft loss. Patient monitoring may help detect patients at risk for PVAN.

PML, which is sometimes fatal, commonly presents with hemiparesis, apathy, confusion, cognitive deficiencies, and ataxia. Risk factors for PML include treatment with immunosuppressant therapies and impairment of immune function. In immunosuppressed patients, physicians should consider PML in the differential diagnosis in patients reporting neurological symptoms and consultation with a neurologist should be considered as clinically indicated.

The risk of CMV viremia and CMV disease is highest among transplant recipients seronegative for CMV at time of transplant who receive a graft from a CMV seropositive donor. Therapeutic approaches to limiting CMV disease exist and should be routinely provided. Patient monitoring may help detect patients at risk for CMV disease [see Adverse Reactions (6.1)].

Viral reactivation has been reported in patients infected with HBV or HCV. Monitoring infected patients for clinical and laboratory signs of active HBV or HCV infection is recommended.

2.1 Dosage in Adult Kidney Transplant Patients

The recommended dose of mycophenolic acid delayed-release tablets is 720 mg administered twice daily (1,440 mg total daily dose).

8.3 Females and Males of Reproductive Potential

Females of reproductive potential must be made aware of the increased risk of first trimester pregnancy loss and congenital malformations and must be counseled regarding pregnancy prevention and planning.

Pregnancy Planning

For female patients taking mycophenolic acid delayed‑release tablets who are considering pregnancy, consider alternative immunosuppressants with less potential for embryo-fetal toxicity. Risks and benefits of mycophenolic acid delayed‑release tablets should be discussed with the patient.

Pregnancy Testing

To prevent unplanned exposure during pregnancy, females of reproductive potential should have a serum or urine pregnancy test with a sensitivity of at least 25 mIU/mL immediately before starting mycophenolic acid delayed‑release tablets. Another pregnancy test with the same sensitivity should be done 8 days to 10 days later. Repeat pregnancy tests should be performed during routine follow-up visits. Results of all pregnancy tests should be discussed with the patient. In the event of a positive pregnancy test, consider alternative immunosuppressants with less potential for embryo-fetal toxicity whenever possible.

Contraception

Female Patients

Females of reproductive potential taking mycophenolic acid delayed‑release tablets must receive contraceptive counseling and use acceptable contraception (see Table 5 for Acceptable Contraception Methods). Patients must use acceptable birth control during entire mycophenolic acid delayed‑release tablets therapy, and for 6 weeks after stopping mycophenolic acid delayed‑release tablets, unless the patient chooses abstinence (she chooses to avoid heterosexual intercourse completely).

Patients should be aware that mycophenolic acid delayed‑release tablets reduce blood levels of the hormones in the oral contraceptive pill and could theoretically reduce its effectiveness [seePatient Counseling Information (17), Drug Interactions (7.8)].

Table 5: Acceptable Contraception Methods for Females of Reproductive Potential
Pick from the following birth control options:
Option 1
Methods to Use Alone Intrauterine devices (IUDs)

Tubal sterilization

Patient’s partner had a vasectomy

OR

Option 2 Hormone Methods

choose 1
Barrier Methods

choose 1
Choose One Hormone Method

AND

One Barrier Method
Estrogen and Progesterone

Oral Contraceptive Pill

Transdermal patch

Vaginal ring

Progesterone-only

Injection

Implant
AND Diaphragm with spermicide

Cervical cap with spermicide

Contraceptive sponge

Male condom

Female condom

OR

Option 3 Barrier Methods

choose 1
Barrier Methods

choose 1
Choose One Barrier Method

from each column
(must choose

two methods)
Diaphragm with spermicide

Cervical cap with spermicide

Contraceptive sponge
AND Male condom

Female condom

Male Patients

Genotoxic effects have been observed in animal studies at exposures exceeding the human therapeutic exposures by approximately 2.5 times. Thus, the risk of genotoxic effects on sperm cells cannot be excluded. Based on this potential risk, sexually active male patients and/or their female partners are recommended to use effective contraception during treatment of the male patient and for at least 90 days after cessation of treatment. Also, based on the potential risk of genotoxic effects, male patients should not donate sperm during treatment with mycophenolic acid delayed‑release tablets and for at least 90 days after cessation of treatment [see Use in Specific Populations (8.1), Nonclinical Toxicology (13.1), Patient Counseling Information (17)].

2.2 Dosage in Pediatric Kidney Transplant Patients

The recommended dose of mycophenolic acid delayed-release tablets in conversion (at least 6 months post‑transplant) pediatric patients aged 5 years and older is 400 mg/m2 body surface area (BSA) administered twice daily (up to a maximum dose of 720 mg administered twice daily).

7.1 Antacids With Magnesium and Aluminum Hydroxides (7.1 Antacids with Magnesium and Aluminum Hydroxides)

Concomitant use of mycophenolic acid delayed‑release tablets and antacids decreased plasma concentrations of mycophenolic acid (MPA). It is recommended that mycophenolic acid delayed‑release tablets and antacids not be administered simultaneously [see Clinical Pharmacology (12.3)].

5.6 Blood Dyscrasias, Including Pure Red Cell Aplasia

Cases of pure red cell aplasia (PRCA) have been reported in patients treated with MPA derivatives in combination with other immunosuppressive agents. The mechanism for MPA derivatives induced PRCA is unknown; the relative contribution of other immunosuppressants and their combinations in an immunosuppressive regimen is also unknown. In some cases, PRCA was found to be reversible with dose reduction or cessation of therapy with MPA derivatives. In transplant patients, however, reduced immunosuppression may place the graft at risk. Changes to mycophenolic acid delayed‑release tablets therapy should only be undertaken under appropriate supervision in transplant recipients in order to minimize the risk of graft rejection.

Patients receiving mycophenolic acid delayed‑release tablets should be monitored for blood dyscrasias (e.g., neutropenia or anemia). The development of neutropenia may be related to mycophenolic acid delayed‑release tablets itself, concomitant medications, viral infections, or some combination of these reactions. Complete blood count should be performed weekly during the first month, twice monthly for the second and the third month of treatment, then monthly through the first year. If blood dyscrasias occur [neutropenia develops (ANC < 1.3 × 103/mcL) or anemia], dosing with mycophenolic acid delayed‑release tablets should be interrupted or the dose reduced, appropriate tests performed, and the patient managed accordingly.

1.1 Prophylaxis of Organ Rejection in Kidney Transplant

Mycophenolic acid delayed-release tablets are indicated for the prophylaxis of organ rejection in adult patients receiving a kidney transplant.

Mycophenolic acid delayed-release tablets are indicated for the prophylaxis of organ rejection in pediatric patients 5 years of age and older who are at least 6 months post kidney transplant.

Mycophenolic acid delayed-release tablets are to be used in combination with cyclosporine and corticosteroids.

13.1 Carcinogenesis, Mutagenesis, Impairment of Fertility

In a 104-week oral carcinogenicity study in rats, mycophenolate sodium was not tumorigenic at daily doses up to 9 mg per kg, the highest dose tested. This dose resulted in approximately 0.6 times to 1.2 times the systemic exposure (based on plasma AUC) observed in renal transplant patients at the recommended dose of 1,440 mg per day. Similar results were observed in a parallel study in rats performed with MMF. In a 104‑week oral carcinogenicity study in mice, MMF was not tumorigenic at a daily dose level as high as 180 mg per kg (which corresponds to 0.6 times the recommended mycophenolate sodium therapeutic dose, based on body surface area).

The genotoxic potential of mycophenolate sodium was determined in five assays. Mycophenolate sodium was genotoxic in the mouse lymphoma/thymidine kinase assay, the micronucleus test in V79 Chinese hamster cells, and the in vivo mouse micronucleus assay. Mycophenolate sodium was not genotoxic in the bacterial mutation assay (Salmonella typhimurium TA 1535, 97a, 98, 100, and 102) or the chromosomal aberration assay in human lymphocytes.

Mycophenolate mofetil generated similar genotoxic activity. The genotoxic activity of mycophenolic acid (MPA) is probably due to the depletion of the nucleotide pool required for DNA synthesis as a result of the pharmacodynamic mode of action of MPA (inhibition of nucleotide synthesis).

Mycophenolate sodium had no effect on male rat fertility at daily oral doses as high as 18 mg per kg and exhibited no testicular or spermatogenic effects at daily oral doses of 20 mg per kg for 13 weeks (approximately 2 times the systemic exposure of MPA at the recommended therapeutic dose). No effects on female fertility were seen up to a daily dose of 20 mg per kg (approximately 3 times the systemic exposure of MPA at the recommended therapeutic dose).

Warning: Embryo Fetal Toxicity, Malignancies, and Serious Infections (WARNING: EMBRYO-FETAL TOXICITY, MALIGNANCIES, and SERIOUS INFECTIONS)
  • Use during pregnancy is associated with increased risks of pregnancy loss and congenital malformations. Avoid if safer treatment options are available. Females of reproductive potential must be counseled regarding pregnancy prevention and planning [see Warnings and Precautions (5.1), Use in Specific Populations (8.1, 8.3)].

  • Only physicians experienced in immunosuppressive therapy and management of organ transplant patients should prescribe mycophenolic acid delayed-release tablets. Patients receiving mycophenolic acid delayed-release tablets should be managed in facilities equipped and staffed with adequate laboratory and supportive medical resources. The physician responsible for maintenance therapy should have complete information requisite for the follow-up of the patient [see Warnings and Precautions (5.2)].

  • Increased risk of development of lymphoma and other malignancies, particularly of the skin, due to immunosuppression [seeWarnings and Precautions (5.3)].

  • Increased susceptibility to bacterial, viral, fungal, and protozoal infections, including opportunistic infections [see Warnings and Precautions (5.4, 5.5)].

5.8 Acute Inflammatory Syndrome Associated With Mycophenolate Products (5.8 Acute Inflammatory Syndrome Associated with Mycophenolate Products)

Acute inflammatory syndrome (AIS) has been reported with the use of mycophenolate products, and some cases have resulted in hospitalization. AIS is a paradoxical pro-inflammatory reaction characterized by fever, arthralgias, arthritis, muscle pain and elevated inflammatory markers including, C-reactive protein and erythrocyte sedimentation rate, without evidence of infection or underlying disease recurrence. Symptoms occur within weeks to months of initiation of treatment or a dose increase. After discontinuation, improvement of symptoms and inflammatory markers are usually observed within 24 hours to 48 hours.

Monitor patients for symptoms and laboratory parameters of AIS when starting treatment with mycophenolate products or when increasing the dosage. Discontinue treatment and consider other treatment alternatives based on the risk and benefit for the patient.

14.1 Prophylaxis of Organ Rejection in Patients Receiving Allogeneic Renal Transplants

The safety and efficacy of mycophenolic acid delayed-release tablets in combination with cyclosporine, USP MODIFIED and corticosteroids for the prevention of organ rejection was assessed in two multicenter, randomized, double‑blind, active‑controlled trials in de novo and conversion renal transplant patients compared to MMF.

The de novo trial was conducted in 423 renal transplant patients (ages 18 years to 75 years) in Austria, Canada, Germany, Hungary, Italy, Norway, Spain, UK, and USA. Eighty-four percent of randomized patients received kidneys from deceased donors. Patients were excluded if they had second or multiorgan (e.g., kidney and pancreas) transplants, or previous transplant with any other organs; kidneys from non-heart beating donors; panel reactive antibodies (PRA) of > 50% at last assessment prior to transplantation, and presence of severe diarrhea, active peptic ulcer disease, or uncontrolled diabetes mellitus. Patients were administered either mycophenolic acid delayed‑release tablets 1.44 grams per day or MMF 2 grams per day within 48 hours post‑transplant for 12 months in combination with cyclosporine, USP MODIFIED and corticosteroids. Forty‑one percent of patients received antibody therapy as induction treatment. Treatment failure was defined as the first occurrence of biopsy-proven acute rejection, graft loss, death or lost to follow-up at 6 months.

The incidence of treatment failure was similar in mycophenolic acid delayed-release tablets and MMF-treated patients at 6 months and 12 months (Table 7). The cumulative incidence of graft loss, death and lost to follow‑up at 12 months is also shown in Table 7.

 Table 7: Treatment Failure in de novo Renal Transplant Patients (Percentage of Patients) at 6 Months and 12 Months of Treatment when Administered in Combination with Cyclosporine* and Corticosteroids

 Mycophenolic Acid Delayed-Release Tablets

1.44 grams per day

(n = 213)

Mycophenolate Mofetil (MMF)

2 grams per day

(n = 210) 
6 Months   n (%) n (%) 
 Treatment failure#  55 (25.8)  55 (26.2)
 Biopsy-proven acute rejection  46 (21.6)  48 (22.9)
 Graft loss  7 (3.3)  9 (4.3)
 Death  1 (0.5)  2 (1.0)
 Lost to follow-up**  3 (1.4)  0
 12 Months  n (%)  n (%)
 Graft loss or death or lost to follow-up***  20 (9.4)  18 (8.6)
 Treatment failure##  61 (28.6)  59 (28.1)
 Biopsy-proven acute rejection  48 (22.5)  51 (24.3)
 Graft loss  9 (4.2)  9 (4.3)
 Death  2 (0.9)  5 (2.4)
 Lost to follow-up**  5 (2.3)  0

*USP MODIFIED.

**Lost to follow-up indicates patients who were lost to follow-up without prior biopsy-proven acute rejection, graft loss or death.

***Lost to follow-up indicates patients who were lost to follow-up without prior graft loss or death (9 mycophenolic acid delayed-release tablets patients and 4 MMF patients).

#95% confidence interval of the difference in treatment failure at 6 months (mycophenolic acid delayed-release tablets‑MMF) is (‑8.7%, 8.0%).

##95% confidence interval of the difference in treatment failure at 12 months (mycophenolic acid delayed-release tablets‑MMF) is (-8.0%, 9.1%).

The conversion trial was conducted in 322 renal transplant patients (ages 18 years to 75 years), who were at least 6 months post-transplant and had undergone primary or secondary, deceased donor, living related, or unrelated donor kidney transplant, stable graft function (serum creatinine < 2.3 mg/mL), no change in immunosuppressive regimen due to graft malfunction, and no known clinically significant physical and/or laboratory changes for at least 2 months prior to enrollment. Patients were excluded if they had 3 or more kidney transplants, multiorgan transplants (e.g., kidney and pancreas), previous organ transplants, evidence of graft rejection or who had been treated for acute rejection within 2 months prior to screening, clinically significant infections requiring continued therapy, presence of severe diarrhea, active peptic ulcer disease, or uncontrolled diabetes mellitus.

Patients received 2 grams per day MMF in combination with cyclosporine USP MODIFIED, with or without corticosteroids for at least two weeks prior to entry in the trial. Patients were randomized to mycophenolic acid delayed-release tablets 1.44 grams per day or MMF 2 grams per day for 12 months. The trial was conducted in Austria, Belgium, Canada, Germany, Italy, Spain, and USA. Treatment failure was defined as the first occurrence of biopsy‑proven acute rejection, graft loss, death, or lost to follow-up at 6 months and 12 months.

The incidences of treatment failure at 6 months and 12 months were similar between mycophenolic acid delayed-release tablets and MMF-treated patients (Table 8). The cumulative incidence of graft loss, death and lost to follow-up at 12 months is also shown in Table 8.

Table 8: Treatment Failure in Conversion Transplant Patients (Percentage of Patients) at 6 Months and 12 Months of Treatment when Administered in Combination with Cyclosporine* and with or without Corticosteroids 
 Mycophenolic Acid Delayed-Release Tablets

1.44 grams per day

(n = 159)
 Mycophenolate Mofetil (MMF)

2 grams per day

(n = 163)
 6 Months  n (%)  n (%)
 Treatment failure#  7 (4.4)  11 (6.7)
 Biopsy-proven acute rejection  2 (1.3)  2 (1.2)
 Graft loss  0  1 (0.6)
 Death  0  1 (0.6)
 Lost to follow-up**  5 (3.1)  7 (4.3)
12 Months n (%)  n (%)
 Graft loss or death or lost to follow-up***  10 (6.3)  17 (10.4)
 Treatment failure##  12 (7.5)  20 (12.3)
 Biopsy-proven acute rejection  2 (1.3)  5 (3.1)
 Graft loss  0  1 (0.6)
 Death  2 (1.3)  4 (2.5)
Lost to follow-up** 8 (5.0) 10 (6.1)

*USP MODIFIED.

**Lost to follow-up indicates patients who were lost to follow-up without prior biopsy-proven acute rejection, graft loss, or death.

***Lost to follow-up indicates patients who were lost to follow-up without prior graft loss or death (8 mycophenolic acid delayed‑release tablets patients and 12 MMF patients).

#95% confidence interval of the difference in treatment failure at 6 months (mycophenolic acid delayed-release tablets‑MMF) is (‑7.3%, 2.7%).

##95% confidence interval of the difference in treatment failure at 12 months (mycophenolic acid delayed-release tablets‑MMF) is (-11.2%, 1.8%).

7.10 Ciprofloxacin, Amoxicillin Plus Clavulanic Acid and Other Drugs That Alter the Gastrointestinal Flora (7.10 Ciprofloxacin, Amoxicillin Plus Clavulanic Acid and Other Drugs that Alter the Gastrointestinal Flora)

Drugs that alter the gastrointestinal flora, such as ciprofloxacin or amoxicillin plus clavulanic acid may interact with MMF by disrupting enterohepatic recirculation. Interference of MPAG hydrolysis may lead to less MPA available for absorption when mycophenolic acid delayed‑release tablets is concomitantly administered with ciprofloxacin or amoxicillin plus clavulanic acid. The clinical relevance of this interaction is unclear; however, no dose adjustment of mycophenolic acid delayed‑release tablets is needed when co-administered with these drugs [see Clinical Pharmacology (12.3)].

7.9 Acyclovir (valacyclovir), Ganciclovir (valganciclovir), and Other Drugs That Undergo Renal Tubular Secretion (7.9 Acyclovir (Valacyclovir), Ganciclovir (Valganciclovir), and Other Drugs that Undergo Renal Tubular Secretion)

The coadministration of MMF and acyclovir or ganciclovir may increase plasma concentrations of mycophenolic acid glucuronide (MPAG) and acyclovir/ valacyclovir /ganciclovir/valganciclovir as their coexistence competes for tubular secretion. Both acyclovir/valacyclovir/ganciclovir/ valganciclovir and MPAG concentrations will be also increased in the presence of renal impairment.

Acyclovir/valacyclovir/ganciclovir/valganciclovir may be taken with mycophenolic acid delayed‑release tablets; however, during the period of treatment, physicians should monitor blood cell counts [see Clinical Pharmacology (12.3)].

7.3 Cholestyramine, Bile Acid Sequestrates, Oral Activated Charcoal and Other Drugs That Interfere With Enterohepatic Recirculation (7.3 Cholestyramine, Bile Acid Sequestrates, Oral Activated Charcoal and Other Drugs that Interfere with Enterohepatic Recirculation)

Drugs that interrupt enterohepatic recirculation may decrease MPA plasma concentrations when co‑administered with MMF. Therefore, do not administer mycophenolic acid delayed‑release tablets with cholestyramine or other agents that may interfere with enterohepatic recirculation or drugs that may bind bile acids, e.g., bile acid sequestrates or oral activated charcoal, because of the potential to reduce the efficacy of mycophenolic acid delayed‑release tablets [see Clinical Pharmacology (12.3)].


Advanced Ingredient Data


Raw Label Data

All Sections (JSON)