These Highlights Do Not Include All The Information Needed To Use Rosuvastatin Tablets Safely And Effectively. See Full Prescribing Information For Rosuvastatin Tablets. 

These Highlights Do Not Include All The Information Needed To Use Rosuvastatin Tablets Safely And Effectively. See Full Prescribing Information For Rosuvastatin Tablets. 
SPL v6
SPL
SPL Set ID 7ec15f53-a7ec-4be5-9f26-d1078117b18b
Route
ORAL
Published
Effective Date 2023-12-28
Document Type 34391-3 Human Prescription Drug Label

Drug Facts

Composition & Product

Active Ingredients
Rosuvastatin (5 mg)
Inactive Ingredients
Crospovidone (15 Mpa.s At 5%) Magnesium Stearate Mannitol Meglumine Microcrystalline Cellulose Hypromellose, Unspecified Titanium Dioxide Triacetin Starch, Corn Lactose Monohydrate

Identifiers & Packaging

Pill Appearance
Imprint: R5 Shape: round Color: white Size: 7 mm Score: 1
Marketing Status
ANDA Active Since 2017-11-22

Description

Dosage and Administration Modifications Due to Drug Interactions (2.6)                       07/2023 Contraindications, Pregnancy and Lactation ( 4 )                                            Removed 01/2023 Warnings and Precautions ( 5.2 )                                                                                     01/2023 Warnings and Precautions, Concomitant Coumarin Anticoagulants ( 5.4 )     Removed 01/2023

Indications and Usage

Rosuvastatin tablets are indicated: To reduce the risk of stroke, myocardial infarction, and arterial revascularization procedures in adults without established coronary heart disease who are at increased risk of cardiovascular (CV) disease based on age, hsCRP ≥2 mg/L, and at least one additional CV risk factor. As an adjunct to diet to: o Reduce LDL-C in adults with primary hyperlipidemia. o Reduce low-density lipoprotein cholesterol (LDL-C) and slow the progression of atherosclerosis in adults. o Reduce LDL-C in adults and pediatric patients aged 8 years and older with heterozygous familial hypercholesterolemia (HeFH). As an adjunct to other LDL-C-lowering therapies, or alone if such treatments are unavailable, to reduce LDL-C in adults and pediatric patients aged 7 years and older with homozygous familial hypercholesterolemia (HoFH). As an adjunct to diet for the treatment of adults with: o Primary dysbetalipoproteinemia. o Hypertriglyceridemia.

Dosage and Administration

Rosuvastatin Calcium Dosage Modifications Due to Drug Interactions Table 1 displays dosage modifications for rosuvastatin calcium due to drug interactions [ see Warnings and Precautions (5.1) and Drug Interactions (7.1) ]. Table 1: Rosuvastatin calcium Dosage Modifications Due to Drug Interactions                                                         Concomitantly Used Drug     Rosuvastatin calcium Dosage Modifications    Cyclosporine    Do not exceed 5 mg once daily.    Teriflunomide    Do not exceed 10 mg once daily.    Enasidenib  Do not exceed 10 mg once daily.  Capmatinib    Do not exceed 10 mg once daily.    Fostamatinib    Do not exceed 20 mg once daily.    Febuxostat    Do not exceed 20 mg once daily.    Gemfibrozil    Avoid concomitant use. If used concomitantly, initiate at 5 mg once daily and do not exceed 10 mg once daily.    Tafamidis    Avoid concomitant use. If used concomitantly, initiate at 5 mg once daily and do not exceed 20 mg once daily.    Antiviral Medications     Sofbuvir/velpatasvir/voxilaprevir   Ledipasvir/sofosbuvir    Concomitant use not recommended.     Simeprevir   Dasabuvir/ombitasvir/paritaprevir/ritonavir   Elbasvir/Grazoprevir   Sofosbuvir/Velpatasvir   Glecaprevir/Pibrentasvir   Atazanavir/Ritonavir   Lopinavir/Ritonavir    Initiate at 5 mg once daily. Do not exceed 10 mg once daily.    Darolutamide    Do not exceed 5 mg once daily.    Regorafenib    Do not exceed 10 mg once daily.   Rosuvastatin Calcium Administration Modifications Due to Drug Interactions When taking rosuvastatin calcium with an aluminum and magnesium hydroxide combination antacid, administer rosuvastatin calcium at least 2 hours before the antacid [ see Drug Interactions (7.2) ].

Warnings and Precautions

Myopathy and Rhabdomyolysis: Risk factors include age 65 years or greater, uncontrolled hypothyroidism, renal impairment, concomitant use with certain other drugs, and higher rosuvastatin calcium dosage. Asian patients may be at higher risk for myopathy. Discontinue rosuvastatin calcium if markedly elevated CK levels occur or myopathy is diagnosed or suspected. Temporarily discontinue rosuvastatin calcium in patients experiencing an acute or serious condition at high risk of developing renal failure secondary to rhabdomyolysis. Inform patients of the risk of myopathy and rhabdomyolysis when starting or increasing rosuvastatin calcium dosage. Instruct patients to promptly report unexplained muscle pain, tenderness, or weakness, particularly if accompanied by malaise or fever. ( 5.1 , 7.1 , 8.5 , 8.6 , 8.8 ) Immune-Mediated Necrotizing Myopathy (IMNM): Rare reports of IMNM, an autoimmune myopathy, have been reported with statin use. Discontinue rosuvastatin calcium if IMNM is suspected. ( 5.2 ) Hepatic Dysfunction: Increases in serum transaminases have occurred, some persistent. Rare reports of fatal and non-fatal hepatic failure have occurred. Consider testing liver enzymes before initiating therapy and as clinically indicated thereafter. If serious hepatic injury with clinical symptoms and/or hyperbilirubinemia or jaundice occurs, promptly discontinue rosuvastatin calcium. ( 4 , 5.3 , 8.7 )

Contraindications

Rosuvastatin calcium is contraindicated in the following conditions: Acute liver failure or  decompensated cirrhosis [ see Warnings and Precautions (5.3) ]. Hypersensitivity to  rosuvastatin or any excipients in rosuvastatin calcium. Hypersensitivity reactions including rash, pruritus, urticaria, and angioedema have been reported with rosuvastatin calcium [ see Adverse Reactions (6.1) ].

Adverse Reactions

The following important adverse reactions are described below and elsewhere in the labeling: Myopathy and Rhabdomyolysis [ see Warnings and Precautions (5.1) ] Immune-Mediated Necrotizing Myopathy [ see Warnings and Precautions (5.2) ] Hepatic Dysfunction [ see Warnings and Precautions (5.3) ] Proteinuria and Hematuria [ see Warnings and Precautions (5.4) ] Increases in HbA1c and Fasting Serum Glucose Levels [ see Warnings and Precautions (5.5) ]

Drug Interactions

Rosuvastatin Calcium Dosage Modifications Due to Drug Interactions Table 1 displays dosage modifications for rosuvastatin calcium due to drug interactions [ see Warnings and Precautions (5.1) and Drug Interactions (7.1) ]. Table 1: Rosuvastatin calcium Dosage Modifications Due to Drug Interactions                                                         Concomitantly Used Drug     Rosuvastatin calcium Dosage Modifications    Cyclosporine    Do not exceed 5 mg once daily.    Teriflunomide    Do not exceed 10 mg once daily.    Enasidenib  Do not exceed 10 mg once daily.  Capmatinib    Do not exceed 10 mg once daily.    Fostamatinib    Do not exceed 20 mg once daily.    Febuxostat    Do not exceed 20 mg once daily.    Gemfibrozil    Avoid concomitant use. If used concomitantly, initiate at 5 mg once daily and do not exceed 10 mg once daily.    Tafamidis    Avoid concomitant use. If used concomitantly, initiate at 5 mg once daily and do not exceed 20 mg once daily.    Antiviral Medications     Sofbuvir/velpatasvir/voxilaprevir   Ledipasvir/sofosbuvir    Concomitant use not recommended.     Simeprevir   Dasabuvir/ombitasvir/paritaprevir/ritonavir   Elbasvir/Grazoprevir   Sofosbuvir/Velpatasvir   Glecaprevir/Pibrentasvir   Atazanavir/Ritonavir   Lopinavir/Ritonavir    Initiate at 5 mg once daily. Do not exceed 10 mg once daily.    Darolutamide    Do not exceed 5 mg once daily.    Regorafenib    Do not exceed 10 mg once daily.   Rosuvastatin Calcium Administration Modifications Due to Drug Interactions When taking rosuvastatin calcium with an aluminum and magnesium hydroxide combination antacid, administer rosuvastatin calcium at least 2 hours before the antacid [ see Drug Interactions (7.2) ].

Storage and Handling

Product: 50090-6989 NDC: 50090-6989-0 90 TABLET, FILM COATED in a BOTTLE

How Supplied

Product: 50090-6989 NDC: 50090-6989-0 90 TABLET, FILM COATED in a BOTTLE

Patient Information

 Rosuvastatin Tablets, USP (roe soo” va stat’ in)  Read this Patient Information carefully before you start taking rosuvastatin tablets and each time you get a refill. If you have any questions about rosuvastatin tablets, ask your doctor. Only your doctor can determine if rosuvastatin tablets is right for you. What are Rosuvastatin tablets?   Rosuvastatin tablets are a prescription medicine that contains a cholesterol-lowering medicine called rosuvastatin.   Rosuvastatin tablets are used to:   reduce the risk of stroke, heart attack, and the need for procedures to improve blood flow to the heart called arterial revascularization in adults who do not have known heart disease but do have certain additional risk factors.   Rosuvastatin tablets are used along with diet to:   lower the level of low-density lipoprotein (LDL) cholesterol or “bad” cholesterol in adults with primary hyperlipidemia. slow the buildup of fatty deposits (plaque) in the walls of blood vessels. treat adults and children 8 years of age and older with high blood cholesterol due to heterozygous familial hypercholesterolemia (an inherited condition that causes high levels of LDL). along with other cholesterol lowering treatments or alone if such treatments are unavailable in adults and children 7 years of age and older with homozygous familial hypercholesterolemia (an inherited condition that causes high levels of LDL). treat adults with a type of high cholesterol called primary dysbetalipoproteinemia (type III hyperlipoproteinemia). lower the level of fat in your blood (triglycerides) in adults with hypertriglyceridemia.  The safety and effectiveness of rosuvastatin tablets has not been established in children younger than 8 years of age with heterozygous familial hypercholesterolemia or children younger than 7 years of age with homozygous familial hypercholesterolemia or in children with other types of hyperlipidemias (other than HeFH or HoFH).              Who should not take rosuvastatin tablets?    Do not take rosuvastatin tablets if you:   have liver problems. are allergic to rosuvastatin calcium or any of the ingredients in rosuvastatin tablets. See the end of this leaflet for a complete list of ingredients in rosuvastatin tablets. Symptoms of allergic reactions include rash, itching, hives, and swelling.     What should I tell my doctor before and while taking rosuvastatin tablets?    Tell your doctor if you:   have unexplained muscle aches or weakness. have or have had kidney problems. have or have had liver problems. drink more than 2 glasses of alcohol daily. have thyroid problems. are 65 years of age or older. are of Asian descent. are pregnant or think you may be pregnant, or are planning to become pregnant. If you become pregnant while taking rosuvastatin tablets, call your healthcare provider right away to discuss your rosuvastatin tablets treatment. are breastfeeding. Rosuvastatin can pass into your breast milk. Breastfeeding is not recommended while taking rosuvastatin tablets.   Tell your doctor about all the medicines you take, including prescription and over-the-counter medicines, vitamins, and herbal supplements.  Taking rosuvastatin tablets with certain other medicines may affect each other causing side effects. Rosuvastatin tablets may affect the way other medicines work, and other medicines may affect how rosuvastatin tablets works.  Especially tell your doctor if you take:   cyclosporine (a medicine for your immune system) gemfibrozil (a fibric acid medicine for lowering cholesterol) fostamatinib (a medicine used to treat low platelet counts) febuxostat (a medicine used to treat and prevent high blood levels of uric acid) teriflunomide (a medicine used to treat relapsing remitting multiple sclerosis) capmatinib (a medicine for the treatment of non-small cell lung cancer) tafamidis (used to treat cardiomyopathy [enlarged and thickened heart muscle]) darolutamide (a medicine for the treatment of prostate cancer) regorafenib (a medicine used to treat cancer of the colon and rectum) enasidenib (a medicine used to treat acute myeloid leukemia) anti-viral medicines including certain HIV or hepatitis C virus drugs such as:   lopinavir, ritonavir, fosamprenavir, tipranavir, atazanavir, simeprevir combination of   sofosbuvir/velpatasvir/voxilaprevir dasabuvir/ombitasvir/paritaprevir/ritonavir elbasvir/grazoprevir sofosbuvir/velpatasvir glecaprevir/pibrentasvir and   all other combinations with ledipasvir including ledipasvir/sofosbuvir   certain anti-fungal medicines (such as itraconazole, ketoconazole and fluconazole) coumarin anticoagulants (medicines that prevent blood clots, such as warfarin) niacin or nicotinic acid fibric acid derivatives (such as fenofibrate) colchicine (a medicine used to treat gout)  Ask your doctor or pharmacist for a list of these medicines if you are not sure. Know the medicines you take. Keep a list of them to show your doctor and pharmacist when you get new medicine.           How should I take rosuvastatin tablets?    Take rosuvastatin tablets exactly as your doctor tells you to take it. Take rosuvastatin tablets, by mouth, 1 time each day. Swallow the tablet whole. Rosuvastatin tablets can be taken at any time of day, with or without food. Do not change your dose or stop rosuvastatin tablets without talking to your doctor, even if you are feeling well. Your doctor may do blood tests to check your cholesterol levels before and during your treatment with rosuvastatin tablets Your doctor may change your dose of rosuvastatin tablets if needed. Your doctor may start you on a cholesterol lowering diet before giving you rosuvastatin tablets. Stay on this diet when you take rosuvastatin tablets. Wait at least 2 hours after taking rosuvastatin tablets to take an antacid that contains a combination of aluminum and magnesium hydroxide. If you miss a dose of rosuvastatin tablets, take your next dose at your normal scheduled time. Do not take an extra dose of rosuvastatin tablets.  If you take too much rosuvastatin tablets or overdose, call your doctor or go to the nearest hospital emergency room right away. What are the possible side effects of rosuvastatin tablets?    Rosuvastatin tablets may cause serious side effects, including:   Muscle pain, tenderness and weakness (myopathy). Muscle problems, including muscle breakdown, can be serious in some people and rarely cause kidney damage that can lead to death. Tell your doctor right away if:   you have unexplained muscle pain, tenderness, or weakness, especially if you have a fever or feel more tired than usual, while you take rosuvastatin tablets. you have muscle problems that do not go away even after your doctor has told you to stop taking rosuvastatin tablets. Your doctor may do further tests to diagnose the cause of your muscle problems. Your chances of getting muscle problems are higher if you: are taking certain other medicines while you take rosuvastatin tablets are 65 years of age or older have thyroid problems (hypothyroidism) that are not controlled have kidney problems are taking higher doses of rosuvastatin tablets   Liver problems. Your doctor should do blood tests to check your liver before you start taking rosuvastatin tablets and if you have symptoms of liver problems while you take rosuvastatin tablets. Call your doctor right away if you have any of the following symptoms of liver problems:   feel unusually tired or weak loss of appetite upper belly pain dark urine yellowing of your skin or the whites of your eyes   Protein and blood in the urine. Rosuvastatin tablets may cause you to have protein and blood in your urine. If you develop protein or blood in your urine, your doctor may decrease your dose of rosuvastatin tablets. Increase in blood sugar (glucose) levels . Rosuvastatin tablets may cause an increase in your blood sugar levels. The most common side effects may include headache, muscle aches and pains, abdominal pain, weakness, and nausea. Tell your doctor if you have any side effect that bothers you or that does not go away. For more information, ask your doctor or pharmacist.  Call your doctor for medical advice about side effects. You may report side effects to FDA at 1-800-FDA-1088.                How should I store rosuvastatin tablets?    Store rosuvastatin tablets at room temperature, between 68°F to 77°F (20°C to 25°C) and in a dry place. Safely throw away medicine that is out of date or no longer needed.   Keep rosuvastatin tablets and all medicines out of the reach of children.              General Information about the safe and effective use of rosuvastatin tablets  Medicines are sometimes prescribed for purposes other than those listed in a Patient Information leaflet. Do not use rosuvastatin tablets for a condition for which it was not prescribed. Do not give rosuvastatin tablets to other people, even if they have the same medical condition you have. It may harm them.  You can ask your pharmacist or doctor for information about rosuvastatin tablets that is written for health professionals. What are the Ingredients in rosuvastatin tablets?   Active Ingredient: rosuvastatin as rosuvastatin calcium   Inactive Ingredients: crospovidone, hypromellose, lactose monohydrate, magnesium stearate, mannitol, meglumine, microcrystalline cellulose, pregelatinized starch, titanium dioxide and triacetin. Additionally, 10 mg, 20 mg and 40 mg tablets contain FD&C red No. 40/allura red AC aluminum lake, FD&C blue No. 2/indigo carmine aluminum lake and FD&C yellow No.6/sunset yellow FCF aluminum lake.  For more information, go to www.novadozpharma.com or call 1-855-668-2369.  This Patient Information has been approved by the U.S. Food and Drug Administration   Manufactured by: MSN Laboratories Private Limited Telangana – 509 228, INDIA Distributed by: Novadoz Pharmaceuticals LLC Piscataway, NJ 08854-3714 Issued on: September 2023  


Medication Information

Warnings and Precautions

Myopathy and Rhabdomyolysis: Risk factors include age 65 years or greater, uncontrolled hypothyroidism, renal impairment, concomitant use with certain other drugs, and higher rosuvastatin calcium dosage. Asian patients may be at higher risk for myopathy. Discontinue rosuvastatin calcium if markedly elevated CK levels occur or myopathy is diagnosed or suspected. Temporarily discontinue rosuvastatin calcium in patients experiencing an acute or serious condition at high risk of developing renal failure secondary to rhabdomyolysis. Inform patients of the risk of myopathy and rhabdomyolysis when starting or increasing rosuvastatin calcium dosage. Instruct patients to promptly report unexplained muscle pain, tenderness, or weakness, particularly if accompanied by malaise or fever. ( 5.1 , 7.1 , 8.5 , 8.6 , 8.8 ) Immune-Mediated Necrotizing Myopathy (IMNM): Rare reports of IMNM, an autoimmune myopathy, have been reported with statin use. Discontinue rosuvastatin calcium if IMNM is suspected. ( 5.2 ) Hepatic Dysfunction: Increases in serum transaminases have occurred, some persistent. Rare reports of fatal and non-fatal hepatic failure have occurred. Consider testing liver enzymes before initiating therapy and as clinically indicated thereafter. If serious hepatic injury with clinical symptoms and/or hyperbilirubinemia or jaundice occurs, promptly discontinue rosuvastatin calcium. ( 4 , 5.3 , 8.7 )

Indications and Usage

Rosuvastatin tablets are indicated: To reduce the risk of stroke, myocardial infarction, and arterial revascularization procedures in adults without established coronary heart disease who are at increased risk of cardiovascular (CV) disease based on age, hsCRP ≥2 mg/L, and at least one additional CV risk factor. As an adjunct to diet to: o Reduce LDL-C in adults with primary hyperlipidemia. o Reduce low-density lipoprotein cholesterol (LDL-C) and slow the progression of atherosclerosis in adults. o Reduce LDL-C in adults and pediatric patients aged 8 years and older with heterozygous familial hypercholesterolemia (HeFH). As an adjunct to other LDL-C-lowering therapies, or alone if such treatments are unavailable, to reduce LDL-C in adults and pediatric patients aged 7 years and older with homozygous familial hypercholesterolemia (HoFH). As an adjunct to diet for the treatment of adults with: o Primary dysbetalipoproteinemia. o Hypertriglyceridemia.

Dosage and Administration

Rosuvastatin Calcium Dosage Modifications Due to Drug Interactions Table 1 displays dosage modifications for rosuvastatin calcium due to drug interactions [ see Warnings and Precautions (5.1) and Drug Interactions (7.1) ]. Table 1: Rosuvastatin calcium Dosage Modifications Due to Drug Interactions                                                         Concomitantly Used Drug     Rosuvastatin calcium Dosage Modifications    Cyclosporine    Do not exceed 5 mg once daily.    Teriflunomide    Do not exceed 10 mg once daily.    Enasidenib  Do not exceed 10 mg once daily.  Capmatinib    Do not exceed 10 mg once daily.    Fostamatinib    Do not exceed 20 mg once daily.    Febuxostat    Do not exceed 20 mg once daily.    Gemfibrozil    Avoid concomitant use. If used concomitantly, initiate at 5 mg once daily and do not exceed 10 mg once daily.    Tafamidis    Avoid concomitant use. If used concomitantly, initiate at 5 mg once daily and do not exceed 20 mg once daily.    Antiviral Medications     Sofbuvir/velpatasvir/voxilaprevir   Ledipasvir/sofosbuvir    Concomitant use not recommended.     Simeprevir   Dasabuvir/ombitasvir/paritaprevir/ritonavir   Elbasvir/Grazoprevir   Sofosbuvir/Velpatasvir   Glecaprevir/Pibrentasvir   Atazanavir/Ritonavir   Lopinavir/Ritonavir    Initiate at 5 mg once daily. Do not exceed 10 mg once daily.    Darolutamide    Do not exceed 5 mg once daily.    Regorafenib    Do not exceed 10 mg once daily.   Rosuvastatin Calcium Administration Modifications Due to Drug Interactions When taking rosuvastatin calcium with an aluminum and magnesium hydroxide combination antacid, administer rosuvastatin calcium at least 2 hours before the antacid [ see Drug Interactions (7.2) ].

Contraindications

Rosuvastatin calcium is contraindicated in the following conditions: Acute liver failure or  decompensated cirrhosis [ see Warnings and Precautions (5.3) ]. Hypersensitivity to  rosuvastatin or any excipients in rosuvastatin calcium. Hypersensitivity reactions including rash, pruritus, urticaria, and angioedema have been reported with rosuvastatin calcium [ see Adverse Reactions (6.1) ].

Adverse Reactions

The following important adverse reactions are described below and elsewhere in the labeling: Myopathy and Rhabdomyolysis [ see Warnings and Precautions (5.1) ] Immune-Mediated Necrotizing Myopathy [ see Warnings and Precautions (5.2) ] Hepatic Dysfunction [ see Warnings and Precautions (5.3) ] Proteinuria and Hematuria [ see Warnings and Precautions (5.4) ] Increases in HbA1c and Fasting Serum Glucose Levels [ see Warnings and Precautions (5.5) ]

Drug Interactions

Rosuvastatin Calcium Dosage Modifications Due to Drug Interactions Table 1 displays dosage modifications for rosuvastatin calcium due to drug interactions [ see Warnings and Precautions (5.1) and Drug Interactions (7.1) ]. Table 1: Rosuvastatin calcium Dosage Modifications Due to Drug Interactions                                                         Concomitantly Used Drug     Rosuvastatin calcium Dosage Modifications    Cyclosporine    Do not exceed 5 mg once daily.    Teriflunomide    Do not exceed 10 mg once daily.    Enasidenib  Do not exceed 10 mg once daily.  Capmatinib    Do not exceed 10 mg once daily.    Fostamatinib    Do not exceed 20 mg once daily.    Febuxostat    Do not exceed 20 mg once daily.    Gemfibrozil    Avoid concomitant use. If used concomitantly, initiate at 5 mg once daily and do not exceed 10 mg once daily.    Tafamidis    Avoid concomitant use. If used concomitantly, initiate at 5 mg once daily and do not exceed 20 mg once daily.    Antiviral Medications     Sofbuvir/velpatasvir/voxilaprevir   Ledipasvir/sofosbuvir    Concomitant use not recommended.     Simeprevir   Dasabuvir/ombitasvir/paritaprevir/ritonavir   Elbasvir/Grazoprevir   Sofosbuvir/Velpatasvir   Glecaprevir/Pibrentasvir   Atazanavir/Ritonavir   Lopinavir/Ritonavir    Initiate at 5 mg once daily. Do not exceed 10 mg once daily.    Darolutamide    Do not exceed 5 mg once daily.    Regorafenib    Do not exceed 10 mg once daily.   Rosuvastatin Calcium Administration Modifications Due to Drug Interactions When taking rosuvastatin calcium with an aluminum and magnesium hydroxide combination antacid, administer rosuvastatin calcium at least 2 hours before the antacid [ see Drug Interactions (7.2) ].

Storage and Handling

Product: 50090-6989 NDC: 50090-6989-0 90 TABLET, FILM COATED in a BOTTLE

How Supplied

Product: 50090-6989 NDC: 50090-6989-0 90 TABLET, FILM COATED in a BOTTLE

Patient Information


 Rosuvastatin Tablets, USP

(roe soo” va stat’ in) 
Read this Patient Information carefully before you start taking rosuvastatin tablets and each time you get a refill. If you have any questions about rosuvastatin tablets, ask your doctor. Only your doctor can determine if rosuvastatin tablets is right for you.
What are Rosuvastatin tablets?  Rosuvastatin tablets are a prescription medicine that contains a cholesterol-lowering medicine called rosuvastatin.

 
  • Rosuvastatin tablets are used to:

 
  • reduce the risk of stroke, heart attack, and the need for procedures to improve blood flow to the heart called arterial revascularization in adults who do not have known heart disease but do have certain additional risk factors.

 
  • Rosuvastatin tablets are used along with diet to:

 
  • lower the level of low-density lipoprotein (LDL) cholesterol or “bad” cholesterol in adults with primary hyperlipidemia.

  • slow the buildup of fatty deposits (plaque) in the walls of blood vessels.

  • treat adults and children 8 years of age and older with high blood cholesterol due to heterozygous familial hypercholesterolemia (an inherited condition that causes high levels of LDL).

  • along with other cholesterol lowering treatments or alone if such treatments are unavailable in adults and children 7 years of age and older with homozygous familial hypercholesterolemia (an inherited condition that causes high levels of LDL).

  • treat adults with a type of high cholesterol called primary dysbetalipoproteinemia (type III hyperlipoproteinemia).

  • lower the level of fat in your blood (triglycerides) in adults with hypertriglyceridemia.

 The safety and effectiveness of rosuvastatin tablets has not been established in children younger than 8 years of age with heterozygous familial hypercholesterolemia or children younger than 7 years of age with homozygous familial hypercholesterolemia or in children with other types of hyperlipidemias (other than HeFH or HoFH).             
Who should not take rosuvastatin tablets?  Do not take rosuvastatin tablets if you:

 
  • have liver problems.

  • are allergic to rosuvastatin calcium or any of the ingredients in rosuvastatin tablets. See the end of this leaflet for a complete list of ingredients in rosuvastatin tablets. Symptoms of allergic reactions include rash, itching, hives, and swelling.  
 What should I tell my doctor before and while taking rosuvastatin tablets?  Tell your doctor if you:

 
  • have unexplained muscle aches or weakness.

  • have or have had kidney problems.

  • have or have had liver problems.

  • drink more than 2 glasses of alcohol daily.

  • have thyroid problems.

  • are 65 years of age or older.

  • are of Asian descent.

  • are pregnant or think you may be pregnant, or are planning to become pregnant. If you become pregnant while taking rosuvastatin tablets, call your healthcare provider right away to discuss your rosuvastatin tablets treatment.

  • are breastfeeding. Rosuvastatin can pass into your breast milk. Breastfeeding is not recommended while taking rosuvastatin tablets.

 Tell your doctor about all the medicines you take, including prescription and over-the-counter medicines, vitamins, and herbal supplements.  Taking rosuvastatin tablets with certain other medicines may affect each other causing side effects. Rosuvastatin tablets may affect the way other medicines work, and other medicines may affect how rosuvastatin tablets works.

 Especially tell your doctor if you take:

 
  • cyclosporine (a medicine for your immune system)

  • gemfibrozil (a fibric acid medicine for lowering cholesterol)

  • fostamatinib (a medicine used to treat low platelet counts)

  • febuxostat (a medicine used to treat and prevent high blood levels of uric acid)

  • teriflunomide (a medicine used to treat relapsing remitting multiple sclerosis)

  • capmatinib (a medicine for the treatment of non-small cell lung cancer)

  • tafamidis (used to treat cardiomyopathy [enlarged and thickened heart muscle])

  • darolutamide (a medicine for the treatment of prostate cancer)

  • regorafenib (a medicine used to treat cancer of the colon and rectum)

  • enasidenib (a medicine used to treat acute myeloid leukemia)

  • anti-viral medicines including certain HIV or hepatitis C virus drugs such as:

 
  • lopinavir, ritonavir, fosamprenavir, tipranavir, atazanavir, simeprevir

  • combination of

 
  • sofosbuvir/velpatasvir/voxilaprevir

  • dasabuvir/ombitasvir/paritaprevir/ritonavir

  • elbasvir/grazoprevir

  • sofosbuvir/velpatasvir

  • glecaprevir/pibrentasvir and

 
  • all other combinations with ledipasvir including ledipasvir/sofosbuvir

 
  • certain anti-fungal medicines (such as itraconazole, ketoconazole and fluconazole)

  • coumarin anticoagulants (medicines that prevent blood clots, such as warfarin)

  • niacin or nicotinic acid

  • fibric acid derivatives (such as fenofibrate)

  • colchicine (a medicine used to treat gout)

 Ask your doctor or pharmacist for a list of these medicines if you are not sure. Know the medicines you take. Keep a list of them to show your doctor and pharmacist when you get new medicine.          
How should I take rosuvastatin tablets?  
  • Take rosuvastatin tablets exactly as your doctor tells you to take it.

  • Take rosuvastatin tablets, by mouth, 1 time each day. Swallow the tablet whole.

  • Rosuvastatin tablets can be taken at any time of day, with or without food.

  • Do not change your dose or stop rosuvastatin tablets without talking to your doctor, even if you are feeling well.

  • Your doctor may do blood tests to check your cholesterol levels before and during your treatment with rosuvastatin tablets Your doctor may change your dose of rosuvastatin tablets if needed.

  • Your doctor may start you on a cholesterol lowering diet before giving you rosuvastatin tablets. Stay on this diet when you take rosuvastatin tablets.

  • Wait at least 2 hours after taking rosuvastatin tablets to take an antacid that contains a combination of aluminum and magnesium hydroxide.

  • If you miss a dose of rosuvastatin tablets, take your next dose at your normal scheduled time. Do not take an extra dose of rosuvastatin tablets.

 If you take too much rosuvastatin tablets or overdose, call your doctor or go to the nearest hospital emergency room right away.
What are the possible side effects of rosuvastatin tablets?  Rosuvastatin tablets may cause serious side effects, including:

 
  • Muscle pain, tenderness and weakness (myopathy). Muscle problems, including muscle breakdown, can be serious in some people and rarely cause kidney damage that can lead to death. Tell your doctor right away if:

 
  • you have unexplained muscle pain, tenderness, or weakness, especially if you have a fever or feel more tired than usual, while you take rosuvastatin tablets.

  • you have muscle problems that do not go away even after your doctor has told you to stop taking rosuvastatin tablets. Your doctor may do further tests to diagnose the cause of your muscle problems.

    Your chances of getting muscle problems are higher if you:

  • are taking certain other medicines while you take rosuvastatin tablets

  • are 65 years of age or older

  • have thyroid problems (hypothyroidism) that are not controlled

  • have kidney problems

  • are taking higher doses of rosuvastatin tablets

 
  • Liver problems. Your doctor should do blood tests to check your liver before you start taking rosuvastatin tablets and if you have symptoms of liver problems while you take rosuvastatin tablets. Call your doctor right away if you have any of the following symptoms of liver problems:

 
  • feel unusually tired or weak

  • loss of appetite

  • upper belly pain

  • dark urine

  • yellowing of your skin or the whites of your eyes

 
  • Protein and blood in the urine. Rosuvastatin tablets may cause you to have protein and blood in your urine. If you develop protein or blood in your urine, your doctor may decrease your dose of rosuvastatin tablets.

  • Increase in blood sugar (glucose) levels. Rosuvastatin tablets may cause an increase in your blood sugar levels. The most common side effects may include headache, muscle aches and pains, abdominal pain, weakness, and nausea.

    Tell your doctor if you have any side effect that bothers you or that does not go away.

    For more information, ask your doctor or pharmacist.

 Call your doctor for medical advice about side effects. You may report side effects to FDA at 1-800-FDA-1088.             
 How should I store rosuvastatin tablets?  
  • Store rosuvastatin tablets at room temperature, between 68°F to 77°F (20°C to 25°C) and in a dry place.

  • Safely throw away medicine that is out of date or no longer needed.

 Keep rosuvastatin tablets and all medicines out of the reach of children.             
General Information about the safe and effective use of rosuvastatin tablets Medicines are sometimes prescribed for purposes other than those listed in a Patient Information leaflet. Do not use rosuvastatin tablets for a condition for which it was not prescribed. Do not give rosuvastatin tablets to other people, even if they have the same medical condition you have. It may harm them.

 You can ask your pharmacist or doctor for information about rosuvastatin tablets that is written for health professionals.

What are the Ingredients in rosuvastatin tablets? Active Ingredient: rosuvastatin as rosuvastatin calcium

 Inactive Ingredients: crospovidone, hypromellose, lactose monohydrate, magnesium stearate, mannitol, meglumine, microcrystalline cellulose, pregelatinized starch, titanium dioxide and triacetin. Additionally, 10 mg, 20 mg and 40 mg tablets contain FD&C red No. 40/allura red AC aluminum lake, FD&C blue No. 2/indigo carmine aluminum lake and FD&C yellow No.6/sunset yellow FCF aluminum lake.

 For more information, go to www.novadozpharma.com or call 1-855-668-2369.

 This Patient Information has been approved by the U.S. Food and Drug Administration

 

Manufactured by:

MSN Laboratories Private Limited


Telangana – 509 228,

INDIA

Distributed by:

Novadoz Pharmaceuticals LLC


Piscataway, NJ 08854-3714

Issued on:

September 2023

 


Description

Dosage and Administration Modifications Due to Drug Interactions (2.6)                       07/2023 Contraindications, Pregnancy and Lactation ( 4 )                                            Removed 01/2023 Warnings and Precautions ( 5.2 )                                                                                     01/2023 Warnings and Precautions, Concomitant Coumarin Anticoagulants ( 5.4 )     Removed 01/2023

Section 42229-5

Table 8: Effect of Coadministered Drugs on Rosuvastatin Systemic Exposure



                                                                                                                                                                                                     

 Coadministered drug and dosing regimen

 
 Rosuvastatin

 
  

 
  

 
 Mean Ratio

 (ratio with/without coadministered drug)

 No Effect=1.0

 
  

 
 Dose (mg) 1

 
 Change in AUC

 
 Change in Cmax

 
 Sofosbuvir/velpatasvir/voxilaprevir (400 mg-100 mg-100 mg) + Voxilaprevir (100 mg) once daily for 15 days

 
 10 mg, single dose

 
 7.39 2

 (6.68-8.18) 3

 
 18.88 2

  (16.23-21.96) 3

 
 Cyclosporine – stable dose required (75 mg – 200 mg BID)

 
 10 mg, QD for 10 days

 
 7.1 2

 
 11 2

 
 Darolutamide 600 mg BID, 5 days

 
 5 mg, single dose

 
 5.2 2

 
 ~5 2

 
 Regorafenib 160 mg QD, 14 days

 
 5 mg, single dose

 
 3.8 2

 
 4.6 2

 
 Atazanavir/ritonavir combination 300 mg/100 mg QD for 8 days

 
 10 mg

 
 3.1 2

 
 7 2

 
 Simeprevir 150 mg QD, 7 days

 
 10 mg, single dose

 
 2.8 2

 (2.3-3.4) 3

 
 3.2 2

 (2.6-3.9) 3

 
 Velpatasvir 100 mg once daily

 
 10 mg, single dose

 
 2.69 2

 (2.46-2.94) 3

 
 2.61 2

 (2.32-2.92) 3

 
 Ombitasvir 25 mg/paritaprevir 150 mg/ ritonavir 100 mg + dasabuvir 400 mg BID

 
 5 mg, single dose

 
 2.59 2

 (2.09-3.21) 3

 
 7.13 2

 (5.11-9.96) 3

 
 Teriflunomide

 
 Not available

 
 2.51 2

 
 2.65 2

 
 Enasidenib 100 mg QD, 28 days  10 mg, single dose  2.44  3.66
 Elbasvir 50 mg/grazoprevir 200 mg once daily

 
 10 mg, single dose

 
 2.26 2

 (1.89-2.69) 3

 
 5.49 2

 (4.29-7.04) 3

 
 Glecaprevir 400 mg/pibrentasvir 120 mg once daily

 
 5 mg, once daily

 
 2.15 2

 (1.88-2.46) 3

 
 5.62 2

 (4.80-6.59) 3

 
 Lopinavir/ritonavir combination 400 mg/100 mg BID for 17 days

 
 20 mg, QD for 7 days

 
 2.12

 (1.7-2.6)3

 
 52

 (3.4-6.4)3

 
 Capmatinib 400 mg BID

 
 10 mg, single dose

 
 2.08 2

 (1.56-2.76) 3

 
 3.04 2

 (2.36-3.92) 3

 
 Fostamatinib 100 mg BID

 
 20 mg, single dose

 
 1.96 2

 (1.77-2.15) 3

 
 1.88 2

 (1.69-2.09) 3

 
 Febuxostat 120 mg OD for 4 days

 
 10 mg, single dose

 
 1.9 2

 (1.5-2.5) 3

 
 2.1 2

 (1.8-2.6) 3

 
 Gemfibrozil 600 mg BID for 7 days

 
 80 mg

 
 1.9 2

 (1.6-2.2) 3

 
 2.2 2

 (1.8-2.7) 3

 
 Tafamidis 61 mg QD, 7 days

 
 10 mg

 
 1.972

 (1.68-2.31) 3

 
 1.862

 (1.59-2.16) 3

 
 Eltrombopag 75 mg QD, 5 days

 
 10 mg

 
 1.6

 (1.4-1.7) 3

 
 2

 (1.8-2.3) 3

 
 Darunavir 600 mg/ritonavir 100 mg BID, 7 days

 
 10 mg, QD for 7 days

 
 1.5

 (1.0-2.1) 3

 
 2.4

 (1.6-3.6) 3

 
 Tipranavir/ritonavir combination 500 mg/200 mg BID for 11 days

 
 10 mg

 
 1.4

 (1.2-1.6) 3

 
 2.2

 (1.8-2.7) 3

 
 Dronedarone 400 mg BID

 
 10 mg

 
 1.4

 
  

 
 Itraconazole 200 mg QD, 5 days

 
 10 mg or 80 mg

 
 1.4

 (1.2-1.6) 3

 1.3

 (1.1-1.4) 3

 
 1.4

 (1.2-1.5) 3

 1.2

 (0.9-1.4) 3

 
 Ezetimibe 10 mg QD, 14 days

 
 10 mg, QD for 14 days

 
 1.2

 (0.9-1.6) 3

 
 1.2

 (0.8-1.6) 3

 
 Fosamprenavir/ritonavir 700 mg/100 mg BID for 7 days

 
 10 mg

 
 1.1

 
 1.5

 
 Fenofibrate 67 mg TID for 7 days

 
 10 mg

 
 ↔

 
 1.2

 (1.1-1.3) 3

 
 Rifampicin 450 mg QD, 7 days

 
 20 mg

 
 ↔

 
  

 
 Aluminum & magnesium hydroxide combination antacid

 Administered simultaneously Administered 2 hours apart

 
 40 mg

 40 mg

 
 0.5 2

 (0.4-0.5) 3

 0.8

 (0.7-0.9) 3

 
 0.5 2

 (0.4-0.6) 3

 0.8

 (0.7-1.0) 3

 
 Ketoconazole 200 mg BID for 7 days

 
 80 mg

 
 1.0

 (0.8-1.2) 3

 
 1.0

 (0.7-1.3) 3

 
 Fluconazole 200 mg QD for 11 days

 
 80 mg

 
 1.1

 (1.0-1.3) 3

 
 1.1

 (0.9-1.4) 3

 
 Erythromycin 500 mg QID for 7 days

 
 80 mg

 
 0.8

 (0.7-0.9) 3

 
 0.7

 (0.5-0.9) 3

 

QD= Once daily, BID= Twice daily, TID= Three times daily, QID= Four times daily

1Single dose unless otherwise noted.

2Clinically significant [see Dosage and Administration (2) and Warnings and Precautions (5)]

3Mean ratio with 90% CI (with/without coadministered drug, e.g., 1= no change, 0.7 = 30% decrease, 11=11-fold increase   in exposure)

Table 9: Effect of Rosuvastatin Coadministration on Systemic Exposure to Other Drugs



                                   

 Rosuvastatin Dosage Regimen

   
 Coadministered Drug

   
         Mean Ratio (ratio with/without coadministered drug)

 No Effect=1.0

  

 
                                        Name and Dose

   
 Change in AUC

  

 
 Change in Cmax

  

 
 40 mg QD for 10 days

 
 Warfarin 1

 25 mg single dose

 
 R-Warfarin

 1.0

 (1.0-1.1) 2

 S-Warfarin

 1.1

 (1.0-1.1) 2

 
 R-Warfarin 1.0

 (0.9-1.0) 2

 S-Warfarin

 1.0

 (0.9-1.1) 2

 
 40 mg QD for 12 days

 
 Digoxin 0.5 mg

 single dose

 
 1.0

 (0.9-1.2) 2

 
 1.0

 (0.9-1.2)2

 
 40 mg QD for 28 days

 
 Oral Contraceptive

 (ethinyl estradiol 0.035 mg & norgestrel 0.180, 0.215 and 0.250 mg) QD for 21 Days

 
  

 EE 1.3

 (1.2-1.3) 2

 NG 1.3

 (1.3-1.4) 2

 
 EE 1.3

 (1.2-1.3) 2

 NG 1.2

 (1.1-1.3) 2

 

EE = ethinyl estradiol, NG = norgestrel, QD= Once daily

1Clinically significant pharmacodynamic effects [see Drug Interactions (7.3)]

2Mean ratio with 90% CI (with/without coadministered drug, e.g., 1= no change, 0.7=30% decrease, 11=11-fold increase in exposure)

Section 43683-2

Dosage and Administration Modifications Due to Drug Interactions (2.6)                       07/2023

Contraindications, Pregnancy and Lactation (4)                                            Removed 01/2023

Warnings and Precautions (5.2)                                                                                     01/2023

Warnings and Precautions, Concomitant Coumarin Anticoagulants (5.4)     Removed 01/2023

10 Overdosage


No specific antidotes for rosuvastatin calcium are known. Hemodialysis does not significantly enhance clearance of rosuvastatin. Contact Poison Control (1-800-222-1222) for latest recommendations.

8.1 Pregnancy


Risk Summary

Discontinue rosuvastatin calcium when pregnancy is recognized. Alternatively, consider the ongoing therapeutic needs of the individual patient.

Rosuvastatin calcium decreases synthesis of cholesterol and possibly other biologically active substances derived from cholesterol; therefore, rosuvastatin calcium may cause fetal harm when administered to pregnant patients based on the mechanism of action [see Clinical Pharmacology (12.1)]. In addition, treatment of hyperlipidemia is not generally necessary during pregnancy. Atherosclerosis is a chronic process and the discontinuation of lipid-lowering drugs during pregnancy should have little impact on the outcome of long-term therapy of primary hyperlipidemia for most patients.

Available data from case series and prospective and retrospective observational cohort studies over decades of use with statins in pregnant women have not identified a drug-associated risk of major congenital malformations. Published data from prospective and retrospective observational cohort studies with rosuvastatin calcium use in pregnant women are insufficient to determine if there is a drug-associated risk of miscarriage (see Data).

In animal reproduction studies, no adverse developmental effects were observed in pregnant rats or rabbits orally administered rosuvastatin during the period of organogenesis at doses that resulted in systemic exposures equivalent to human exposures at the maximum recommended human dose (MRHD) of 40 mg/day, based on AUC and body surface area (mg/m2), respectively (see Data).

The estimated background risk of major birth defects and miscarriage for the indicated population is unknown. In the U.S. general population, the estimated background risk of major birth defects and miscarriage in clinically recognized pregnancies is 2 to 4% and 15 to 20%, respectively.

Data

Human Data

A Medicaid cohort linkage study of 1152 statin-exposed pregnant women compared to 886,996 controls did not find a significant teratogenic effect from maternal use of statins in the first trimester of pregnancy, after adjusting for potential confounders – including maternal age, diabetes mellitus, hypertension, obesity, and alcohol and tobacco use – using propensity score-based methods. The relative risk of congenital malformations between the group with statin use and the group with no statin use in the first trimester was 1.07 (95% confidence interval 0.85 to 1.37) after controlling for confounders, particularly pre-existing diabetes mellitus. There were also no statistically significant increases in any of the organ-specific malformations assessed after accounting for confounders. In the majority of pregnancies, statin treatment was initiated prior to pregnancy and was discontinued at some point in the first trimester when pregnancy was identified. Study limitations include reliance on physician coding to define the presence of a malformation, lack of control for certain confounders such as body mass index, use of prescription dispensing as verification for the use of a statin, and lack of information on non-live births.

Animal Data

In female rats given 5, 15 and 50 mg/kg/day before mating and continuing through to gestation day 7 resulted in decreased fetal body weight (female pups) and delayed ossification at 50 mg/kg/day (10 times the human exposure at the MRHD dose of 40 mg/day based on AUC).

In pregnant rats given 2, 10 and 50 mg/kg/day of rosuvastatin from gestation day 7 through lactation day 21 (weaning), decreased pup survival occurred at 50 mg/kg/day (dose equivalent to 12 times the MRHD of 40 mg/day based body surface area).

In pregnant rabbits given 0.3, 1, and 3 mg/kg/day of rosuvastatin from gestation day 6 to day 18, decreased fetal viability and maternal mortality was observed at 3 mg/kg/day (dose equivalent to the MRHD of 40 mg/day based on body surface area).

Rosuvastatin crosses the placenta in rats and rabbits and is found in fetal tissue and amniotic fluid at 3% and 20%, respectively, of the maternal plasma concentration following a single 25 mg/kg oral gavage dose on gestation day 16 in rats. In rabbits, fetal tissue distribution was 25% of maternal plasma concentration after a single oral gavage dose of 1 mg/kg on gestation day 18.

8.2 Lactation


Risk Summary

Limited data from case reports in published literature indicate that rosuvastatin calcium is present in human milk. There is no available information on the effects of the drug on the breastfed infant or the effects of the drug on milk production. Statins, including rosuvastatin calcium, decrease cholesterol synthesis and possibly the synthesis of other biologically active substances derived from cholesterol and may cause harm to the breastfed infant.

Because of the potential for serious adverse reactions in a breastfed infant, based on the mechanism of action, advise patients that breastfeeding is not recommended during treatment with rosuvastatin calcium [see Use in Specific Populations (8.1) and Clinical Pharmacology (12.1)].

11 Description

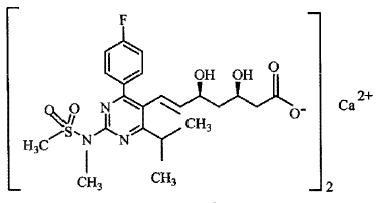
Rosuvastatin calcium, USP is a 3-hydroxy-3-methylglutaryl coenzyme A (HMG CoA)-reductase inhibitor.

The chemical name for rosuvastatin calcium is bis [(E)-7-[4-(4-fluorophenyl)-6-isopropyl-2- [methyl (methylsulfonyl) amino] pyrimidin-5-yl] (3R, 5S)-3, 5-dihydroxyhept-6-enoic acid] calcium salt with the following structural formula:





The molecular formula for rosuvastatin calcium, USP is (C22H27FN3O6S)2 Ca and the molecular weight is 1001.14. Rosuvastatin calcium is a white amorphous powder that is sparingly soluble in water and methanol, and slightly soluble in ethanol. Rosuvastatin calcium is a hydrophilic compound with a partition coefficient (octanol/water) of 0.13 at pH of 7.0.



Rosuvastatin tablets, USP for oral use contain rosuvastatin 5 mg, 10 mg, 20 mg, or 40 mg (equivalent to 5.2 mg, 10.4 mg, 20.8 mg, and 41.6 mg rosuvastatin calcium) and the following inactive ingredients: crospovidone, hypromellose, lactose monohydrate, magnesium stearate, mannitol, meglumine, microcrystalline cellulose, pregelatinized starch, titanium dioxide and triacetin. Additionally, 10 mg, 20 mg and 40 mg tablets contain FD&C red No. 40/allura red AC aluminum lake, FD&C blue No. 2/indigo carmine aluminum lake and FD&C yellow No.6/sunset yellow FCF aluminum lake.

Meets USP Dissolution Test 2.





8.4 Pediatric Use


The safety and effectiveness of rosuvastatin calcium as an adjunct to diet to reduce LDL-C have been established in pediatric patients 8 years of age and older with HeFH. Use of rosuvastatin calcium for this indication is based on one 12-week controlled trial with a 40-week open-label extension period in 176 pediatric patients 10 years of age and older with HeFH and one 2-year open-label, uncontrolled trial in 175 pediatric patients 8 years of age and older with HeFH [see Clinical Studies (14)]. In the 1-year trial with a 12-week controlled phase, there was no detectable effect of rosuvastatin calcium on growth, weight, BMI (body mass index), or sexual maturation in patients aged 10 to 17 years.

The safety and effectiveness of rosuvastatin calcium as an adjunct to other LDL-C-lowering therapies to reduce LDL-C have been established pediatric patients 7 years of age and older with HoFH. Use of rosuvastatin calcium for this indication is based on a randomized, placebo-controlled, cross-over study in 14 pediatric patients 7 years of age and older with HoFH [see Clinical Studies (14)].

The safety and effectiveness of rosuvastatin calcium have not been established in pediatric patients younger than 8 years of age with HeFH, younger than 7 years of age with HoFH, or in pediatric patients with other types of hyperlipidemia (other than HeFH or HoFH).

8.5 Geriatric Use


Of the total number of rosuvastatin calcium-treated patients in clinical studies, 3159 (31%) were 65 years and older, and 698 (6.8%) were 75 years and older. No overall differences in safety or effectiveness were observed between these subjects and younger subjects.

Advanced age (≥65 years) is a risk factor for rosuvastatin calcium-associated myopathy and rhabdomyolysis. Dose selection for an elderly patient should be cautious, recognizing the greater frequency of decreased hepatic, renal, or cardiac function, and of concomitant disease or other drug therapy and the higher risk of myopathy. Monitor geriatric patients receiving rosuvastatin calcium for the increased risk of myopathy [see Warnings and Precautions (5.1)].

8.8 Asian Patients


Pharmacokinetic studies have demonstrated an approximate 2-fold increase in median exposure to rosuvastatin in Asian subjects when compared with White controls. Adjust the rosuvastatin calcium dosage in Asian patients [see Dosage and Administration (2.4) and Clinical Pharmacology (12.3)].

14 Clinical Studies


Primary Prevention of Cardiovascular Disease

In the Justification for the Use of Statins in Primary Prevention: An Intervention Trial Evaluating Rosuvastatin (JUPITER) study, the effect of rosuvastatin calcium on the occurrence of major cardiovascular (CV) disease events was assessed in 17,802 men (≥50 years) and women (≥60 years) who had no clinically evident cardiovascular disease, LDL-C levels <130 mg/dL and hsCRP levels ≥2 mg/L. The study population had an estimated baseline coronary heart disease risk of 11.6% over 10 years based on the Framingham risk criteria and included a high percentage of patients with additional risk factors such as hypertension (58%), low HDL-C levels (23%), cigarette smoking (16%), or a family history of premature CHD (12%). Patients had a median baseline LDL-C of 108 mg/dL and hsCRP of 4.3 mg/L. Patients were randomly assigned to placebo (n=8901) or rosuvastatin calcium 20 mg once daily (n=8901) and were followed for a mean duration of 2 years. The JUPITER study was stopped early by the Data Safety Monitoring Board due to meeting predefined stopping rules for efficacy in rosuvastatin calcium-treated subjects.

The primary end point was a composite end point consisting of the time-to-first occurrence of any of the following major CV events: CV death, nonfatal myocardial infarction, nonfatal stroke, hospitalization for unstable angina or an arterial revascularization procedure.

Rosuvastatin calcium significantly reduced the risk of major CV events (252 events in the placebo group vs. 142 events in the rosuvastatin group) with a statistically significant (p<0.001) relative risk reduction of 44% and absolute risk reduction of 1.2% (see Figure 1). The risk reduction for the primary end point was consistent across the following predefined subgroups: age, sex, race, smoking status, family history of premature CHD, body mass index, LDL-C, HDL-C, and hsCRP levels.

Figure 1. Time to First Occurrence of Major Cardiovascular Events in JUPITER

The individual components of the primary end point are presented in Figure 3. Rosuvastatin calcium significantly reduced the risk of nonfatal myocardial infarction, nonfatal stroke, and arterial revascularization procedures. There were no significant treatment differences between the rosuvastatin calcium and placebo groups for death due to cardiovascular causes or hospitalizations for unstable angina.

Rosuvastatin calcium significantly reduced the risk of myocardial infarction (6 fatal events and 62 nonfatal events in placebo-treated subjects vs. 9 fatal events and 22 nonfatal events in rosuvastatin calcium-treated subjects) and the risk of stroke (6 fatal events and 58 nonfatal events in placebo-treated subjects vs. 3 fatal events and 30 nonfatal events in rosuvastatin calcium -treated subjects).

In a post-hoc subgroup analysis of JUPITER subjects (rosuvastatin=725, placebo=680) with a hsCRP ≥2 mg/L and no other traditional risk factors (smoking, BP ≥140/90 or taking antihypertensives, low HDL-C) other than age, after adjustment for high HDL-C, there was no significant treatment benefit with rosuvastatin calcium treatment.

Figure 2. Major CV Events by Treatment Group in JUPITER

At one year, rosuvastatin calcium increased HDL-C and reduced LDL-C, hsCRP, total cholesterol and serum triglyceride levels (p<0.001 for all versus placebo).

Primary Hyperlipidemia in Adults

Rosuvastatin calcium reduces Total-C, LDL-C, ApoB, non-HDL-C, and TG, and increases HDL-C, in adult patients with hyperlipidemia and mixed dyslipidemia.

In a multicenter, double-blind, placebo-controlled study in patients with hyperlipidemia, rosuvastatin calcium given as a single daily dose (5 to 40 mg) for 6 weeks significantly reduced Total-C, LDL-C, non-HDL-C, and ApoB, across the dose range (Table 10).

Table 10: Lipid-modifying Effect of Rosuvastatin calcium in Adult Patients with Hyperlipidemia (Adjusted Mean % Change from Baseline at Week 6)



                                                              

 Dose

 
 N

 
 Total-C

 
 LDL-C

 
 Non-HDL-C

 
 ApoB

 
 TG

 
 HDL-C

 
 Placebo

 
 13

 
 -5

 
 -7

 
 -7

 
 -3

 
 -3

 
 3

 
 Rosuvastatin calcium

 5 mg

 
 17

 
 -33

 
 -45

 
 -44

 
 -38

 
 -35

 
 13

 
 Rosuvastatin calcium

 10 mg

 
 17

 
 -36

 
 -52

 
 -48

 
 -42

 
 -10

 
 14

 
 Rosuvastatin calcium

 20 mg

 
 17

 
 -40

 
 -55

 
 -51

 
 -46

 
 -23

 
 8

 
 Rosuvastatin calcium

 40 mg

 
 18

 
 -46

 
 -63

 
 -60

 
 -54

 
 -28

 
 10

 

Rosuvastatin calcium was compared with the statins (atorvastatin, simvastatin, and pravastatin) in a multicenter, open-label, dose-ranging study of 2240 patients with hyperlipidemia or mixed dyslipidemia. After randomization, patients were treated for 6 weeks with a single daily dose of either rosuvastatin calcium, atorvastatin, simvastatin, or pravastatin (Figure 3 and Table 11).

4 Contraindications

Rosuvastatin calcium is contraindicated in the following conditions:

  • Acute liver failure or decompensated cirrhosis [see Warnings and Precautions (5.3)].
  • Hypersensitivity to rosuvastatin or any excipients in rosuvastatin calcium. Hypersensitivity reactions including rash, pruritus, urticaria, and angioedema have been reported with rosuvastatin calcium [see Adverse Reactions (6.1)].


6 Adverse Reactions

The following important adverse reactions are described below and elsewhere in the labeling:

Myopathy and Rhabdomyolysis [see Warnings and Precautions (5.1)]

Immune-Mediated Necrotizing Myopathy [see Warnings and Precautions (5.2)]

Hepatic Dysfunction [see Warnings and Precautions (5.3)]

Proteinuria and Hematuria [see Warnings and Precautions (5.4)]

Increases in HbA1c and Fasting Serum Glucose Levels [see Warnings and Precautions (5.5)]



7 Drug Interactions


See full prescribing information for details regarding concomitant use of rosuvastatin calcium with other drugs that increase the risk of myopathy and rhabdomyolysis. (2.6, 7.1)

Aluminum and Magnesium Hydroxide Combination Antacids: Administer rosuvastatin calcium at least 2 hours after the antacid. (2.6, 7.2)

Wafarin: Obtain INR prior to starting rosuvastatin calcium. Monitor INR frequently until stable upon initiation, dose titration or discontinuation. (7.3)

8.6 Renal Impairment


Rosuvastatin exposure is not influenced by mild to moderate renal impairment (CLcr ≥30 mL/min/1.73 m2). Exposure to rosuvastatin is increased to a clinically significant extent in patients with severe renal impairment (CLcr <30 mL/min/1.73 m2) who are not receiving hemodialysis [see Clinical Pharmacology (12.3)].

Renal impairment is a risk factor for myopathy and rhabdomyolysis. Monitor all patients with renal impairment for development of myopathy. In patients with severe renal impairment not on hemodialysis, the recommended starting dosage is 5 mg daily and should not exceed 10 mg daily [see Dosage and Administration (2.5) and Warnings and Precautions (5.1)].

Rosuvastatin Calcium
12.2 Pharmacodynamics


Inhibition of HMG-CoA reductase by rosuvastatin accelerates the expression of LDL-receptors, followed by the uptake of LDL-C from blood to the liver, leading to a decrease in plasma LDL-C and total cholesterol. Sustained inhibition of cholesterol synthesis in the liver also decreases levels of very-low-density lipoproteins. The maximum LDL-C reduction of rosuvastatin calcium is usually achieved by 4 weeks and is maintained after that.

12.3 Pharmacokinetics


Absorption

In clinical pharmacology studies in man, peak plasma concentrations of rosuvastatin were reached 3 to 5 hours following oral dosing. Both Cmax and AUC increased in approximate proportion to rosuvastatin calcium dose. The absolute bioavailability of rosuvastatin is approximately 20%. The AUC of rosuvastatin does not differ following evening or morning drug administration.

Effect of food

Administration of rosuvastatin calcium with food did not affect the AUC of rosuvastatin.

Distribution

Mean volume of distribution at steady-state of rosuvastatin is approximately 134 liters.

Rosuvastatin is 88% bound to plasma proteins, mostly albumin. This binding is reversible and independent of plasma concentrations.

Elimination

Metabolism

Rosuvastatin is not extensively metabolized; approximately 10% of a radiolabeled dose is recovered as metabolite. The major metabolite is N-desmethyl rosuvastatin, which is formed principally by cytochrome P450 \ 2C9, and in vitro studies have demonstrated that N-desmethyl rosuvastatin has approximately one-sixth to one-half the HMG-CoA reductase inhibitory activity of the parent compound. Overall, greater than 90% of active plasma HMG-CoA reductase inhibitory activity is accounted for by the parent compound.

Excretion

Following oral administration, rosuvastatin and its metabolites are primarily excreted in the feces (90%). After an intravenous dose, approximately 28% of total body clearance was via the renal route, and 72% by the hepatic route. The elimination half-life of rosuvastatin is approximately 19 hours.

Specific Populations

Geriatric Patients

There were no differences in plasma concentrations of rosuvastatin between the nonelderly and elderly populations (age ≥65 years).

Pediatric Patients

In a population pharmacokinetic analysis of two pediatric trials involving patients with heterozygous familial hypercholesterolemia 10 to 17 years of age and 8 to 17 years of age, respectively, rosuvastatin exposure appeared comparable to or lower than rosuvastatin exposure in adult patients.

Male and Female Patients

There were no differences in plasma concentrations of rosuvastatin between men and women.

Racial or Ethnic Groups

A population pharmacokinetic analysis revealed no clinically relevant differences in pharmacokinetics among Caucasian, Hispanic, and Black or Afro-Caribbean groups. However, pharmacokinetic studies, including one conducted in the US, have demonstrated an approximate 2-fold elevation in median exposure (AUC and Cmax) in Asian subjects when compared with a Caucasian control group.

Patients with Renal Impairment

Mild to moderate renal impairment (CLcr ≥30 mL/min/1.73 m2) had no influence on plasma concentrations of rosuvastatin. However, plasma concentrations of rosuvastatin increased to a clinically significant extent (about 3-fold) in patients with severe renal impairment (CLcr <30 mL/min/1.73 m2) not receiving hemodialysis compared with healthy subjects (CLcr >80 mL/min/1.73 m2).

Steady-state plasma concentrations of rosuvastatin in patients on chronic hemodialysis were approximately 50% greater compared with healthy volunteer subjects with normal renal function.

Patients with Hepatic Impairment

In patients with chronic alcohol liver disease, plasma concentrations of rosuvastatin were modestly increased.

In patients with Child-Pugh A disease, Cmax and AUC were increased by 60% and 5%, respectively, as compared with patients with normal liver function. In patients with Child-Pugh B disease, Cmax and AUC were increased 100% and 21%, respectively, compared with patients with normal liver function.

Drug Interactions Studies

Rosuvastatin clearance is not dependent on metabolism by cytochrome P450 3A4 to a clinically significant extent.

Rosuvastatin is a substrate for certain transporter proteins including the hepatic uptake transporter organic anion-transporting polyprotein 1B1 (OATP1B1) and efflux transporter breast cancer resistance protein (BCRP). Concomitant administration of rosuvastatin calcium with medications that are inhibitors of these transporter proteins (e.g. cyclosporine, certain HIV protease inhibitors) may result in increased rosuvastatin plasma concentrations [see Dosage and Administration (2.6) and Drug Interactions (7.1)].

12.5 Pharmacogenomics


Disposition of rosuvastatin, involves OATP1B1 and other transporter proteins. Higher plasma concentrations of rosuvastatin have been reported in very small groups of patients (n=3 to 5) who have two reduced function alleles of the gene that encodes OATP1B1 (SLCO1B1 521T > C). The frequency of this genotype (i.e., SLCO1B1 521 C/C) is generally lower than 5% in most racial/ethnic groups. The impact of this polymorphism on efficacy and/or safety of rosuvastatin calcium has not been clearly established.

8.7 Hepatic Impairment


Rosuvastatin calcium is contraindicated in patients with acute liver failure or decompensated cirrhosis. Chronic alcohol liver disease is known to increase rosuvastatin exposure. Patients who consume substantial quantities of alcohol and/or have a history of liver disease may be at increased risk for hepatic injury [see Contraindications (4), Warning and Precautions (5.3) and Clinical Pharmacology (12.3)].

1 Indications and Usage

Rosuvastatin tablets are indicated:

  • To reduce the risk of stroke, myocardial infarction, and arterial revascularization procedures in adults without established coronary heart disease who are at increased risk of cardiovascular (CV) disease based on age, hsCRP ≥2 mg/L, and at least one additional CV risk factor.
  • As an adjunct to diet to:

    o Reduce LDL-C in adults with primary hyperlipidemia.

    o Reduce low-density lipoprotein cholesterol (LDL-C) and slow the progression of atherosclerosis in adults.

    o Reduce LDL-C in adults and pediatric patients aged 8 years and older with heterozygous familial hypercholesterolemia (HeFH).
  • As an adjunct to other LDL-C-lowering therapies, or alone if such treatments are unavailable, to reduce LDL-C in adults and pediatric patients aged 7 years and older with homozygous familial hypercholesterolemia (HoFH).
  • As an adjunct to diet for the treatment of adults with:

    o Primary dysbetalipoproteinemia.

    o Hypertriglyceridemia.


5.3 Hepatic Dysfunction


Increases in serum transaminases have been reported with use of rosuvastatin calcium [see Adverse Reactions (6.1)]. In most cases, these changes appeared soon after initiation, were transient, were not accompanied by symptoms, and resolved or improved on continued therapy or after a brief interruption in therapy. In a pooled analysis of placebo-controlled trials, increases in serum transaminases to more than three times the ULN occurred in 1.1% of patients taking rosuvastatin calcium versus 0.5% of patients treated with placebo. Marked persistent increases of hepatic transaminases have also occurred with rosuvastatin calcium. There have been rare postmarketing reports of fatal and non-fatal hepatic failure in patients taking statins, including rosuvastatin calcium.

Patients who consume substantial quantities of alcohol and/or have a history of liver disease may be at increased risk for hepatic injury [see Use in Specific Populations (8.7)].

Consider liver enzyme testing before rosuvastatin calcium initiation and when clinically indicated thereafter. Rosuvastatin calcium is contraindicated in patients with acute liver failure or decompensated cirrhosis [see Contraindications (4)]. If serious hepatic injury with clinical symptoms and/or hyperbilirubinemia or jaundice occurs, promptly discontinue rosuvastatin calcium.

12.1 Mechanism of Action


Rosuvastatin calcium is an inhibitor of HMG-CoA reductase, the rate-limiting enzyme that converts 3-hydroxy-3-methylglutaryl coenzyme A to mevalonate, a precursor of cholesterol.

5 Warnings and Precautions
  • Myopathy and Rhabdomyolysis: Risk factors include age 65 years or greater, uncontrolled hypothyroidism, renal impairment, concomitant use with certain other drugs, and higher rosuvastatin calcium dosage. Asian patients may be at higher risk for myopathy. Discontinue rosuvastatin calcium if markedly elevated CK levels occur or myopathy is diagnosed or suspected. Temporarily discontinue rosuvastatin calcium in patients experiencing an acute or serious condition at high risk of developing renal failure secondary to rhabdomyolysis. Inform patients of the risk of myopathy and rhabdomyolysis when starting or increasing rosuvastatin calcium dosage. Instruct patients to promptly report unexplained muscle pain, tenderness, or weakness, particularly if accompanied by malaise or fever. (5.1, 7.1, 8.5, 8.6, 8.8)
  • Immune-Mediated Necrotizing Myopathy (IMNM): Rare reports of IMNM, an autoimmune myopathy, have been reported with statin use. Discontinue rosuvastatin calcium if IMNM is suspected. (5.2)
  • Hepatic Dysfunction: Increases in serum transaminases have occurred, some persistent. Rare reports of fatal and non-fatal hepatic failure have occurred. Consider testing liver enzymes before initiating therapy and as clinically indicated thereafter. If serious hepatic injury with clinical symptoms and/or hyperbilirubinemia or jaundice occurs, promptly discontinue rosuvastatin calcium. (4, 5.3, 8.7)
2 Dosage and Administration

Take orally with or without food, at any time of day. (2.1)

Assess LDL-C when clinically appropriate, as early as 4 weeks after initiating rosuvastatin calcium, and adjust dosage if necessary. (2.1)

Adults: Recommended dosage range is 5 to 40 mg once daily. (2.1)

Pediatric Patients with HeFH: Recommended dosage range is 5 to 10 mg once daily for patients aged 8 to less than 10 years of age, and 5 to 20 mg once daily for patients aged 10 years and older. (2.2)

Pediatric Patients with HoFH: Recommended dosage is 20 mg once daily for patients aged 7 years and older. (2.2)

Asian Patients: Initiate at 5 mg once daily. Consider risks and benefits of treatment if not adequately controlled at doses up to 20 mg once daily. (2.4)

Patients with Severe Renal Impairment (not on hemodialysis): Initiate at 5 mg once daily; do not exceed 10 mg once daily. (2.5, 5.1, 8.6)

See full prescribing information for rosuvastatin calcium dosage and administration modifications due to drug interactions. (2.6)



2.4 Dosing in Asian Patients


Initiate rosuvastatin calcium at 5 mg once daily due to increased rosuvastatin plasma concentrations. Consider the risks and benefits of rosuvastatin calcium when treating Asian patients not adequately controlled at doses up to 20 mg once daily [see Warnings and Precautions (5.1), Use in Specific Populations (8.8), and Clinical Pharmacology (12.3)].

6.2 Postmarketing Experience


The following adverse reactions have been identified during postapproval use of rosuvastatin calcium. Because these reactions are reported voluntarily from a population of uncertain size, it is not always possible to reliably estimate their frequency or establish a causal relationship to drug exposure.

Blood Disorders: thrombocytopenia

Hepatobiliary Disorders: hepatitis, jaundice, fatal and non-fatal hepatic failure

Musculoskeletal Disorders: arthralgia, rare reports of immune-mediated necrotizing myopathy associated with statin use

Nervous System Disorders: peripheral neuropathy, rare postmarketing reports of cognitive impairment (e.g., memory loss, forgetfulness, amnesia, memory impairment, and confusion) associated with the use of all statins. The reports are generally nonserious, and reversible upon statin discontinuation, with variable times to symptom onset (1 day to years) and symptom resolution (median of 3 weeks). There have been rare reports of new-onset or exacerbation of myasthenia gravis, including ocular myasthenia, and reports of recurrence when the same or a different statin was administered.

Psychiatric Disorders: depression, sleep disorders (including insomnia and nightmares)

Reproductive System and Breast Disorders: gynecomastia

Respiratory Disorders: interstitial lung disease

Skin and Subcutaneous Tissue Disorders: drug reaction with eosinophilia and systemic symptoms (DRESS), lichenoid drug eruption

3 Dosage Forms and Strengths

Rosuvastatin tablets, USP:

  • 5 mg: White, round shaped, biconvex film coated tablets debossed with "R5" on one side and plain on other side.
  • 10 mg: Pink, round shaped, biconvex, film coated tablets debossed with "R10" on one side and plain on other side.
  • 20 mg: Pink, round shaped, biconvex, film coated tablets debossed with "R20" on one side and plain on other side.
  • 40 mg: Pink, oval shaped, biconvex, film coated tablets debossed with "R" on one side and "40" on other side.




5.4 Proteinuria and Hematuria


In the rosuvastatin calcium clinical trial program, dipstick-positive proteinuria and microscopic hematuria were observed among rosuvastatin calcium treated patients. These findings were more frequent in patients taking rosuvastatin calcium 40 mg, when compared to lower doses of rosuvastatin calcium or comparator statins, though it was generally transient and was not associated with worsening renal function. Although the clinical significance of this finding is unknown, consider a dose reduction for patients on rosuvastatin calcium therapy with unexplained persistent proteinuria and/or hematuria during routine urinalysis testing.

8 Use in Specific Populations
  • Pregnancy: May cause fetal harm. (8.1)

  • Lactation: Breastfeeding not recommended during treatment with rosuvastatin calcium. (8.2)
6.1 Clinical Trials Experience


Because clinical trials are conducted under widely varying conditions, adverse reaction rates observed in the clinical trials of a drug cannot be directly compared to rates in the clinical trials of another drug and may not reflect the rates observed in clinical practice.

Adverse reactions reported in ≥2% of patients in placebo-controlled clinical studies and at a rate greater than placebo are shown in Table 2. These studies had a treatment duration of up to 12 weeks.

Table 2: Adverse Reactions Reported in ≥2% of Patients Treated with Rosuvastatin calcium and > Placebo in Placebo-Controlled Trials



                                                        

 Adverse Reactions

 
 Placebo N=382

 %

 
 Rosuvastatin calcium  

 5 mg

 N=291 %

 
 Rosuvastatin calcium  

  10 mg N=283

 %

 
 Rosuvastatin calcium  

  20 mg

 N=64

 %

 
 Rosuvastatin calcium  

  40 mg N=106

 %

 
 Total Rosuvastatin calcium  

 5 mg-40 mg N=744

 %

 
 Headache

 
 5.0

 
 5.5

 
 4.9

 
 3.1

 
 8.5

 
 5.5

 
 Nausea

 
 3.1

 
 3.8

 
 3.5

 
 6.3

 
 0

 
 3.4

 
 Myalgia

 
 1.3

 
 3.1

 
 2.1

 
 6.3

 
 1.9

 
 2.8

 
 Asthenia

 
 2.6

 
 2.4

 
 3.2

 
 4.7

 
 0.9

 
 2.7

 
 Constipation

 
 2.4

 
 2.1

 
 2.1

 
 4.7

 
 2.8

 
 2.4

 

 



Other adverse reactions reported in clinical studies were abdominal pain, dizziness, hypersensitivity (including rash, pruritus, urticaria, and angioedema) and pancreatitis. The following laboratory abnormalities have also been reported: dipstick-positive proteinuria and microscopic hematuria; elevated creatine phosphokinase, transaminases, glucose, glutamyl transpeptidase, alkaline phosphatase, and bilirubin; and thyroid function abnormalities.

In the METEOR study, patients were treated with rosuvastatin calcium 40 mg (n=700) or placebo (n=281) with a mean treatment duration of 1.7 years. Adverse reactions reported in ≥2% of patients and at a rate greater than placebo are shown in Table 3.

Table 3: Adverse Reactions Reported in ≥2% of Patients Treated with Rosuvastatin calcium and > Placebo in the METEOR Trial

                                          

 Adverse Reactions

 
 Placebo

 N=281

 %

 
 Rosuvastatin calcium  

 40 mg

 N=700

 %

 
 Myalgia

 
 12.1

 
 12.7

 
 Arthralgia

 
 7.1

 
 10.1

 
 Headache

 
 5.3

 
 6.4

 
 Dizziness

 
 2.8

 
 4.0

 
 Increased CPK

 
 0.7

 
 2.6

 
 Abdominal pain

 
 1.8

 
 2.4

 
 ALT greater than 3x ULN 1

 
 0.7

 
 2.2

 

 



1 Frequency recorded as abnormal laboratory value.

In the JUPITER study, patients were treated with rosuvastatin calcium 20 mg (n=8901) or placebo (n=8901) for a mean duration of 2 years. In JUPITER, there was a significantly higher frequency of diabetes mellitus reported in patients taking rosuvastatin calcium (2.8%) versus patients taking placebo (2.3%). Mean HbA1c was significantly increased by 0.1% in rosuvastatin calcium-treated patients compared to placebo-treated patients. The number of patients with a HbA1c >6.5% at the end of the trial was significantly higher in rosuvastatin calcium-treated versus placebo-treated patients [see  Clinical Studies (14)].

Adverse reactions reported in ≥2% of patients and at a rate greater than placebo are shown in Table 4.

Table 4: Adverse Reactions Reported in ≥2% of Patients Treated with Rosuvastatin calcium and > Placebo in the JUPITER Trial

                                

 Adverse Reactions

 
 Placebo

 N=8901

 %

 
 Rosuvastatin calcium

  20 mg

 N=8901

 %

 
 Myalgia

 
 6.6

 
 7.6

 
 Arthralgia

 
 3.2

 
 3.8

 
 Constipation

 
 3.0

 
 3.3

 
 Diabetes mellitus

 
 2.3

 
 2.8

 
 Nausea

 
 2.3

 
 2.4

 


Pediatric Patients with HeFH



In a 12-week controlled study in pediatric patients 10 to 17 years of age with HeFH with rosuvastatin calcium 5 to 20 mg daily [see Use in Specific Populations (8.4) and Clinical Studies (14)], elevations in serum CK greater than 10 x ULN were observed more frequently in rosuvastatin calcium-treated patients compared with patients receiving placebo. Four of 130 (3%) patients treated with rosuvastatin calcium (2 treated with 10 mg and 2 treated with 20 mg) had increased CK greater than 10 x ULN, compared to 0 of 46 patients on placebo.

5.1 Myopathy and Rhabdomyolysis


Rosuvastatin calcium may cause myopathy [muscle pain, tenderness, or weakness associated with elevated creatine kinase (CK)] and rhabdomyolysis. Acute kidney injury secondary to myoglobinuria and rare fatalities have occurred as a result of rhabdomyolysis with statins, including rosuvastatin calcium.

Risk Factors for Myopathy

Risk factors for myopathy include age 65 years or greater, uncontrolled hypothyroidism, renal impairment, concomitant use with certain other drugs (including other lipid-lowering therapies), and higher rosuvastatin calcium dosage. Asian patients on rosuvastatin calcium may be at higher risk for myopathy [see Drug Interactions (7.1) and Use in Specific Populations (8.8)]. The myopathy risk is greater in patients taking rosuvastatin calcium 40 mg daily compared with lower rosuvastatin calcium dosages.

Steps to Prevent or Reduce the Risk of Myopathy and Rhabdomyolysis

The concomitant use of rosuvastatin calcium with cyclosporine or gemfibrozil is not recommended. Rosuvastatin calcium dosage modifications are recommended for patients taking certain antiviral medications, darolutamide, and regorafenib [see Dosage and Administration (2.6)]. Niacin, fibrates, and colchicine may also increase the risk of myopathy and rhabdomyolysis [see Drug Interactions (7.1)].

Discontinue rosuvastatin calcium if markedly elevated CK levels occur or if myopathy is either diagnosed or suspected. Muscle symptoms and CK elevations may resolve if rosuvastatin calcium is discontinued. Temporarily discontinue rosuvastatin calcium in patients experiencing an acute or serious condition at high risk of developing renal failure secondary to rhabdomyolysis (e.g., sepsis; shock; severe hypovolemia; major surgery; trauma; severe metabolic, endocrine, or electrolyte disorders; or uncontrolled epilepsy).

Inform patients of the risk of myopathy and rhabdomyolysis when starting or increasing the rosuvastatin calcium dosage. Instruct patients to promptly report any unexplained muscle pain, tenderness or weakness, particularly if accompanied by malaise or fever.

17 Patient Counseling Information

Advise the patient to read the FDA-approved patient labeling (Patient Information).

Myopathy and Rhabdomyolysis

Advise patients that rosuvastatin calcium may cause myopathy and rhabdomyolysis. Inform patients that the risk is also increased when taking certain types of medication and they should discuss all medication, both prescription and over the counter, with their healthcare provider. Instruct patients to promptly report any unexplained muscle pain, tenderness or weakness particularly if accompanied by malaise or fever [see Warnings and Precautions (5.1), and Drug Interactions (7.1)].

Hepatic Dysfunction

Inform patients that rosuvastatin calcium may cause liver enzyme elevations and possibly liver failure. Advise patients to promptly report fatigue, anorexia, right upper abdominal discomfort, dark urine or jaundice [see Warnings and Precautions (5.3)].

Increases in HbA1c and Fasting Serum Glucose Levels

Inform patients that increases in HbA1c and fasting serum glucose levels may occur with rosuvastatin calcium. Encourage patients to optimize lifestyle measures, including regular exercise, maintaining a healthy body weight, and making healthy food choices [see Warnings and Precautions (5.5)].

Pregnancy

Advise pregnant patients and patients who can become pregnant of the potential risk to a fetus. Advise patients to inform their healthcare provider of a known or suspected pregnancy to discuss if rosuvastatin calcium should be discontinued [see Use in Specific Populations (8.1)].

Lactation

Advise patients that breastfeeding during treatment with rosuvastatin calcium is not recommended [see Use in Specific Populations (8.2)].

Concomitant Use of Antacids

When taking rosuvastatin calcium with an aluminum and magnesium hydroxide combination antacid, the antacid should be taken at least 2 hours after rosuvastatin calcium administration [seeDrug Interactions (7.2)].

Missed Doses

If a dose is missed, advise patients not take an extra dose. Just resume the usual schedule [see General Dosage and Administration Information (2.1)].



Manufactured by:

MSN Laboratories Private Limited


Telangana – 509 228, INDIA

Distributed by:

Novadoz Pharmaceuticals LLC


Piscataway, NJ 08854-3714

Issued on:

September 2023



16 How Supplied/storage and Handling

Product: 50090-6989

NDC: 50090-6989-0 90 TABLET, FILM COATED in a BOTTLE

2.2 Recommended Dosage in Adult Patients
  • The dosage range for rosuvastatin calcium is 5 to 40 mg orally once daily.
  • The recommended dose of rosuvastatin calcium depends on a patient’s indication for usage, LDL-C, and individual risk for cardiovascular events.
5.2 Immune Mediated Necrotizing Myopathy


There have been rare reports of immune-mediated necrotizing myopathy (IMNM), an autoimmune myopathy, associated with statin use, including reports of recurrence when the same or a different statin was administered. IMNM is characterized by proximal muscle weakness and elevated serum creatine kinase that persist despite discontinuation of statin treatment; positive anti-HMG CoA reductase antibody; muscle biopsy showing necrotizing myopathy; and improvement with immunosuppressive agents. Additional neuromuscular and serologic testing may be necessary. Treatment with immunosuppressive agents may be required. Discontinue rosuvastatin calcium if IMNM is suspected.

2.3 Recommended Dosage in Pediatric Patients

Dosage in Pediatric Patients 8 Years of Age and Older with HeFH

The recommended dosage range is 5 mg to 10 mg orally once daily in patients aged 8 years to less than 10 years and 5 mg to 20 mg orally once daily in patients aged 10 years and older.

Dosage in Pediatric Patients 7 Years of Age and Older with HoFH

The recommended dosage is 20 mg orally once daily.



7.3 Rosuvastatin Calcium Effects On Other Drugs

Table 7 presents rosuvastatin calcium effect on other drugs and instructions for preventing or managing them.

Table 7: Rosuvastatin calcium Effects on Other Drugs

 Warfarin

 
 Clinical Impact:

 
 Rosuvastatin significantly increased the INR in patients receiving warfarin [see Clinical Pharmacology (12.3)].

 
 Intervention:

 
 In patients taking warfarin, obtain an INR before starting rosuvastatin calcium and frequently enough after initiation, dose titration or discontinuation to ensure that no significant alteration in INR occurs. Once the INR is stable, monitor INR at regularly recommended intervals.

 


2.1 General Dosage and Administration Information
  • Administer rosuvastatin calcium orally as a single dose at any time of day, with or without food. The tablet should be swallowed whole. 
  • Assess LDL-C when clinically appropriate, as early as 4 weeks after initiating rosuvastatin calcium, and adjust the dosage if necessary.
  • If a dose is missed, advise patients not take an extra dose. Resume treatment with the next dose.
5.5 Increases in Hba1c and Fasting Serum Glucose Levels


Increases in HbA1c and fasting serum glucose levels have been reported with statins, including rosuvastatin calcium. Based on clinical trial data with rosuvastatin calcium, in some instances these increases may exceed the threshold for the diagnosis of diabetes mellitus [see Adverse Reactions (6.1)]. Optimize lifestyle measures, including regular exercise, maintaining a healthy body weight, and making healthy food choices.

2.5 Recommended Dosage in Patients With Renal Impairment


In patients with severe renal impairment (CLcr less than 30 mL/min/1.73 m2) not on hemodialysis, the recommended starting dosage is 5 mg once daily and should not exceed 10 mg once daily [see Warnings and Precautions (5.1) and Use in Specific Populations (8.6)].

There are no dosage adjustment recommendations for patients with mild and moderate renal impairment.

13.1 Carcinogenesis, Mutagenesis, Impairment of Fertility


In a 104-week carcinogenicity study in rats at dose levels of 2, 20, 60, or 80 mg/kg/day by oral gavage, the incidence of uterine stromal polyps was significantly increased in females at 80 mg/kg/day at systemic exposure 20 times the human exposure at 40 mg/day based on AUC. Increased incidence of polyps was not seen at lower doses.

In a 107-week carcinogenicity study in mice given 10, 60, or 200 mg/kg/day by oral gavage, an increased incidence of hepatocellular adenoma/carcinoma was observed at 200 mg/kg/day at systemic exposures 20 times the human exposure at 40 mg/day based on AUC. An increased incidence of hepatocellular tumors was not seen at lower doses.

Rosuvastatin was not mutagenic or clastogenic with or without metabolic activation in the Ames test with Salmonella typhimurium and Escherichia coli, the mouse lymphoma assay, and the chromosomal aberration assay in Chinese hamster lung cells. Rosuvastatin was negative in the in vivo mouse micronucleus test.

In rat fertility studies with oral gavage doses of 5, 15, 50 mg/kg/day, males were treated for 9 weeks prior to and throughout mating and females were treated 2 weeks prior to mating and throughout mating until gestation day 7. No adverse effect on fertility was observed at 50 mg/kg/day (systemic exposures up to 10 times the human exposure at 40 mg/day based on AUC). In testicles of dogs treated with rosuvastatin at 30 mg/kg/day for one month, spermatidic giant cells were seen. Spermatidic giant cells were observed in monkeys after 6-month treatment at 30 mg/kg/day in addition to vacuolation of seminiferous tubular epithelium. Exposures in the dog were 20 times and in the monkey 10 times the human exposure at 40 mg/day based on body surface area. Similar findings have been seen with other drugs in this class.

2.6 Dosage and Administration Modifications Due to Drug Interactions


Rosuvastatin Calcium Dosage Modifications Due to Drug Interactions

Table 1 displays dosage modifications for rosuvastatin calcium due to drug interactions [see Warnings and Precautions (5.1) and Drug Interactions (7.1)].

Table 1: Rosuvastatin calcium Dosage Modifications Due to Drug Interactions

                                                     

 Concomitantly Used Drug

 
 Rosuvastatin calcium Dosage Modifications

 
 Cyclosporine

 
 Do not exceed 5 mg once daily.

 
 Teriflunomide

 
 Do not exceed 10 mg once daily.

 
 Enasidenib  Do not exceed 10 mg once daily.
 Capmatinib

 
 Do not exceed 10 mg once daily.

 
 Fostamatinib

 
 Do not exceed 20 mg once daily.

 
 Febuxostat

 
 Do not exceed 20 mg once daily.

 
 Gemfibrozil

 
 Avoid concomitant use. If used concomitantly, initiate at 5 mg once daily and do not exceed 10 mg once daily.

 
 Tafamidis

 
 Avoid concomitant use. If used concomitantly, initiate at 5 mg once daily and do not exceed 20 mg once daily.

 
 Antiviral Medications

 
 
  • Sofbuvir/velpatasvir/voxilaprevir  

  • Ledipasvir/sofosbuvir
 
 Concomitant use not recommended.

 
 
  • Simeprevir  

  • Dasabuvir/ombitasvir/paritaprevir/ritonavir  

  • Elbasvir/Grazoprevir  

  • Sofosbuvir/Velpatasvir  

  • Glecaprevir/Pibrentasvir  

  • Atazanavir/Ritonavir  

  • Lopinavir/Ritonavir
 
 Initiate at 5 mg once daily. Do not exceed 10 mg once daily.

 
 Darolutamide

 
 Do not exceed 5 mg once daily.

 
 Regorafenib

 
 Do not exceed 10 mg once daily.

 


Rosuvastatin Calcium Administration Modifications Due to Drug Interactions

When taking rosuvastatin calcium with an aluminum and magnesium hydroxide combination antacid, administer rosuvastatin calcium at least 2 hours before the antacid [see Drug Interactions (7.2)].

7.2 Drug Interactions That Decrease the Efficacy of Rosuvastatin Calcium

Table 6 presents drug interactions that may decrease the efficacy of rosuvastatin calcium and instructions for preventing or managing them.

Table 6: Drug Interactions that Decrease the Efficacy of Rosuvastatin calcium

 Antacids

 
 Clinical Impact:

 
 Concomitant aluminum and magnesium hydroxide combination antacid administration decreased the mean exposure of rosuvastatin 50% [see Clinical Pharmacology (12.3)].

 
 Intervention:

 
 In patients taking antacid, administer rosuvastatin calcium at least 2 hours after the antacid .

 


7.1 Drug Interactions That Increase the Risk of Myopathy and Rhabdomyolysis With Rosuvastatin Calcium

Rosuvastatin is a substrate of CYP2C9 and transporters (such as OATP1B1, BCRP). Rosuvastatin plasma levels can be significantly increased with concomitant administration of inhibitors of CYP2C9 and transporters. Table 5 includes a list of drugs that increase the risk of myopathy and rhabdomyolysis when used concomitantly with rosuvastatin calcium and instructions for preventing or managing them [see Warnings and Precautions (5.1) and Clinical Pharmacology (12.3)].

 

 

Table 5: Drug Interactions that Increase the Risk of Myopathy and Rhabdomyolysis with Rosuvastatin calcium

 

                                                                                                                                                                  

 Cyclosporine

 
 Clinical Impact:

 
 Cyclosporine increased rosuvastatin exposure 7-fold. The risk of myopathy and rhabdomyolysis is increased with concomitant use of cyclosporine or gemfibrozil with rosuvastatin calcium.

 
 Intervention:

 
 If used concomitantly, do not exceed a dose of rosuvastatin calcium 5 mg once daily.

 
 Teriflunomide

 
 Clinical Impact:

 
 Teriflunomide increased rosuvastatin exposure more than 2.5-fold. The risk of myopathy and rhabdomyolysis is increased with concomitant use.

 
 Intervention:

 
 In patients taking teriflunomide, do not exceed a dose of rosuvastatin calcium 10 mg once daily.

 
 Enasidenib

 
 Clinical Impact:

 
 Enasidenib increased rosuvastatin exposure more than 2.4-fold. The risk of myopathy and rhabdomyolysis is increased with concomitant use.

 
 Intervention:

 
 In patients taking enasidenib, do not exceed a dose of rosuvastatin 10 mg once daily.

 
 Capmatinib

 
 Clinical Impact:

 
 Capmatinib increased rosuvastatin exposure more than 2.1-fold. The risk of myopathy and rhabdomyolysis is increased with concomitant use.

 
 Intervention:

 
 In patients taking capmatinib, do not exceed a dose of rosuvastatin calcium 10 mg once daily.

 
 Fostamatinib

 
 Clinical Impact:

 
 Fostamatinib increased rosuvastatin exposure more than 2.0-fold. The risk of myopathy and rhabdomyolysis is increased with concomitant use.

 
 Intervention:

 
 In patients taking fostamatinib, do not exceed a dose of rosuvastatin calcium 20 mg once daily.

 
 Febuxostat

 
 Clinical Impact:

 
 Febuxostat increased rosuvastatin exposure more than 1.9-fold. The risk of myopathy and rhabdomyolysis is increased with concomitant use.

 
 Intervention:

 
 In patients taking febuxostat, do not exceed a dose of rosuvastatin calcium 20 mg once daily.

 
 Gemfibrozil

 
 Clinical Impact:

 
 Gemfibrozil significantly increased rosuvastatin exposure and gemfibrozil may cause myopathy when given alone. The risk of myopathy and rhabdomyolysis is increased with concomitant use of gemfibrozil with rosuvastatin calcium.

 
 Intervention:

 
 Avoid concomitant use of gemfibrozil with rosuvastatin calcium. If used concomitantly, initiate rosuvastatin calcium at 5 mg once daily and do not exceed a dose of rosuvastatin calcium 10 mg once daily.

 
 Tafamidis

 
 Clinical Impact:

 
 Tafamidis significantly increased rosuvastatin exposure and tafamidis may cause myopathy when given alone. The risk of myopathy and rhabdomyolysis is increased with concomitant use of tafamidis with rosuvastatin calcium.

 
 Intervention:

 
 Avoid concomitant use of tafamidis with rosuvastatin calcium. If used concomitantly, initiate rosuvastatin calcium at 5 mg once daily and do not exceed a dose of rosuvastatin calcium 20 mg once daily. Monitor for signs of myopathy and rhabdomyolysis if used concomitantly with rosuvastatin calcium.

 
 Anti-Viral Medications

 
 Clinical Impact:

 
 Rosuvastatin plasma levels were significantly increased with concomitant administration of many anti-viral drugs, which increases the risk of myopathy and rhabdomyolysis.

 
 Intervention:

 
 
  • Sofosbuvir/velpatasvir/voxilaprevir 

  • Ledipasvir/sofosbuvir
 
 Avoid concomitant use with rosuvastatin calcium.

 
  

 
 
  • Simeprevir  

  • Dasabuvir/ombitasvir/paritaprevir/ritonavir  

  • Elbasvir/grazoprevir  

  • Sofosbuvir/velpatasvir  

  • Glecaprevir/pibrentasvir  

  • Atazanavir/ritonavir  

  • Lopinavir/ritonavir
 
 Initiate with rosuvastatin calcium 5 mg once daily, and do not exceed a dose of rosuvastatin calcium 10 mg once daily.

 
 Darolutamide

 
 Clinical Impact:

 
 Darolutamide increased rosuvastatin exposure more than 5-fold. The risk of myopathy and rhabdomyolysis is increased with concomitant use.

 
 Intervention:

 
 In patients taking darolutamide, do not exceed a dose of rosuvastatin calcium 5 mg once daily.

 
 Regorafenib

 
 Clinical Impact:

 
 Regorafenib increased rosuvastatin exposure and may increase the risk of myopathy.

 
 Intervention:

 
 In patients taking regorafenib, do not exceed a dose of rosuvastatin calcium 10 mg once daily.

 
 Fenofibrates (e.g., fenofibrate and fenofibric acid)

 
 Clinical Impact:

 
 Fibrates may cause myopathy when given alone. The risk of myopathy and rhabdomyolysis is increased with concomitant use of fibrates with rosuvastatin calcium.

 
 Intervention:

 
 Consider if the benefit of using fibrates concomitantly with rosuvastatin calcium outweighs the increased risk of myopathy and rhabdomyolysis. If concomitant use is decided, monitor patients for signs and symptoms of myopathy, particularly during initiation of therapy and during upward dose titration of either drug.

 
 Niacin

 
 Clinical Impact:

 
 Cases of myopathy and rhabdomyolysis have occurred with concomitant use of lipid-modifying doses (≥1 g/day) of niacin with rosuvastatin calcium.

 
 Intervention:

 
 Consider if the benefit of using lipid-modifying doses (≥1 g/day) of niacin concomitantly with rosuvastatin calcium outweighs the increased risk of myopathy and rhabdomyolysis. If concomitant use is decided, monitor patients for signs and symptoms of myopathy, particularly during initiation of therapy and during upward dose titration of either drug.

 
 Colchicine

 
 Clinical Impact:

 
 Cases of myopathy and rhabdomyolysis have been reported with concomitant use of colchicine with rosuvastatin calcium.

 
 Intervention:

 
 Consider if the benefit of using colchicine concomitantly with rosuvastatin calcium outweighs the increased risk of myopathy and rhabdomyolysis. If concomitant use is decided, monitor patients for signs and symptoms of myopathy, particularly during initiation of therapy and during upward dose titration of either drug.

 

Structured Label Content

Section 42229-5 (42229-5)

Table 8: Effect of Coadministered Drugs on Rosuvastatin Systemic Exposure



                                                                                                                                                                                                     

 Coadministered drug and dosing regimen

 
 Rosuvastatin

 
  

 
  

 
 Mean Ratio

 (ratio with/without coadministered drug)

 No Effect=1.0

 
  

 
 Dose (mg) 1

 
 Change in AUC

 
 Change in Cmax

 
 Sofosbuvir/velpatasvir/voxilaprevir (400 mg-100 mg-100 mg) + Voxilaprevir (100 mg) once daily for 15 days

 
 10 mg, single dose

 
 7.39 2

 (6.68-8.18) 3

 
 18.88 2

  (16.23-21.96) 3

 
 Cyclosporine – stable dose required (75 mg – 200 mg BID)

 
 10 mg, QD for 10 days

 
 7.1 2

 
 11 2

 
 Darolutamide 600 mg BID, 5 days

 
 5 mg, single dose

 
 5.2 2

 
 ~5 2

 
 Regorafenib 160 mg QD, 14 days

 
 5 mg, single dose

 
 3.8 2

 
 4.6 2

 
 Atazanavir/ritonavir combination 300 mg/100 mg QD for 8 days

 
 10 mg

 
 3.1 2

 
 7 2

 
 Simeprevir 150 mg QD, 7 days

 
 10 mg, single dose

 
 2.8 2

 (2.3-3.4) 3

 
 3.2 2

 (2.6-3.9) 3

 
 Velpatasvir 100 mg once daily

 
 10 mg, single dose

 
 2.69 2

 (2.46-2.94) 3

 
 2.61 2

 (2.32-2.92) 3

 
 Ombitasvir 25 mg/paritaprevir 150 mg/ ritonavir 100 mg + dasabuvir 400 mg BID

 
 5 mg, single dose

 
 2.59 2

 (2.09-3.21) 3

 
 7.13 2

 (5.11-9.96) 3

 
 Teriflunomide

 
 Not available

 
 2.51 2

 
 2.65 2

 
 Enasidenib 100 mg QD, 28 days  10 mg, single dose  2.44  3.66
 Elbasvir 50 mg/grazoprevir 200 mg once daily

 
 10 mg, single dose

 
 2.26 2

 (1.89-2.69) 3

 
 5.49 2

 (4.29-7.04) 3

 
 Glecaprevir 400 mg/pibrentasvir 120 mg once daily

 
 5 mg, once daily

 
 2.15 2

 (1.88-2.46) 3

 
 5.62 2

 (4.80-6.59) 3

 
 Lopinavir/ritonavir combination 400 mg/100 mg BID for 17 days

 
 20 mg, QD for 7 days

 
 2.12

 (1.7-2.6)3

 
 52

 (3.4-6.4)3

 
 Capmatinib 400 mg BID

 
 10 mg, single dose

 
 2.08 2

 (1.56-2.76) 3

 
 3.04 2

 (2.36-3.92) 3

 
 Fostamatinib 100 mg BID

 
 20 mg, single dose

 
 1.96 2

 (1.77-2.15) 3

 
 1.88 2

 (1.69-2.09) 3

 
 Febuxostat 120 mg OD for 4 days

 
 10 mg, single dose

 
 1.9 2

 (1.5-2.5) 3

 
 2.1 2

 (1.8-2.6) 3

 
 Gemfibrozil 600 mg BID for 7 days

 
 80 mg

 
 1.9 2

 (1.6-2.2) 3

 
 2.2 2

 (1.8-2.7) 3

 
 Tafamidis 61 mg QD, 7 days

 
 10 mg

 
 1.972

 (1.68-2.31) 3

 
 1.862

 (1.59-2.16) 3

 
 Eltrombopag 75 mg QD, 5 days

 
 10 mg

 
 1.6

 (1.4-1.7) 3

 
 2

 (1.8-2.3) 3

 
 Darunavir 600 mg/ritonavir 100 mg BID, 7 days

 
 10 mg, QD for 7 days

 
 1.5

 (1.0-2.1) 3

 
 2.4

 (1.6-3.6) 3

 
 Tipranavir/ritonavir combination 500 mg/200 mg BID for 11 days

 
 10 mg

 
 1.4

 (1.2-1.6) 3

 
 2.2

 (1.8-2.7) 3

 
 Dronedarone 400 mg BID

 
 10 mg

 
 1.4

 
  

 
 Itraconazole 200 mg QD, 5 days

 
 10 mg or 80 mg

 
 1.4

 (1.2-1.6) 3

 1.3

 (1.1-1.4) 3

 
 1.4

 (1.2-1.5) 3

 1.2

 (0.9-1.4) 3

 
 Ezetimibe 10 mg QD, 14 days

 
 10 mg, QD for 14 days

 
 1.2

 (0.9-1.6) 3

 
 1.2

 (0.8-1.6) 3

 
 Fosamprenavir/ritonavir 700 mg/100 mg BID for 7 days

 
 10 mg

 
 1.1

 
 1.5

 
 Fenofibrate 67 mg TID for 7 days

 
 10 mg

 
 ↔

 
 1.2

 (1.1-1.3) 3

 
 Rifampicin 450 mg QD, 7 days

 
 20 mg

 
 ↔

 
  

 
 Aluminum & magnesium hydroxide combination antacid

 Administered simultaneously Administered 2 hours apart

 
 40 mg

 40 mg

 
 0.5 2

 (0.4-0.5) 3

 0.8

 (0.7-0.9) 3

 
 0.5 2

 (0.4-0.6) 3

 0.8

 (0.7-1.0) 3

 
 Ketoconazole 200 mg BID for 7 days

 
 80 mg

 
 1.0

 (0.8-1.2) 3

 
 1.0

 (0.7-1.3) 3

 
 Fluconazole 200 mg QD for 11 days

 
 80 mg

 
 1.1

 (1.0-1.3) 3

 
 1.1

 (0.9-1.4) 3

 
 Erythromycin 500 mg QID for 7 days

 
 80 mg

 
 0.8

 (0.7-0.9) 3

 
 0.7

 (0.5-0.9) 3

 

QD= Once daily, BID= Twice daily, TID= Three times daily, QID= Four times daily

1Single dose unless otherwise noted.

2Clinically significant [see Dosage and Administration (2) and Warnings and Precautions (5)]

3Mean ratio with 90% CI (with/without coadministered drug, e.g., 1= no change, 0.7 = 30% decrease, 11=11-fold increase   in exposure)

Table 9: Effect of Rosuvastatin Coadministration on Systemic Exposure to Other Drugs



                                   

 Rosuvastatin Dosage Regimen

   
 Coadministered Drug

   
         Mean Ratio (ratio with/without coadministered drug)

 No Effect=1.0

  

 
                                        Name and Dose

   
 Change in AUC

  

 
 Change in Cmax

  

 
 40 mg QD for 10 days

 
 Warfarin 1

 25 mg single dose

 
 R-Warfarin

 1.0

 (1.0-1.1) 2

 S-Warfarin

 1.1

 (1.0-1.1) 2

 
 R-Warfarin 1.0

 (0.9-1.0) 2

 S-Warfarin

 1.0

 (0.9-1.1) 2

 
 40 mg QD for 12 days

 
 Digoxin 0.5 mg

 single dose

 
 1.0

 (0.9-1.2) 2

 
 1.0

 (0.9-1.2)2

 
 40 mg QD for 28 days

 
 Oral Contraceptive

 (ethinyl estradiol 0.035 mg & norgestrel 0.180, 0.215 and 0.250 mg) QD for 21 Days

 
  

 EE 1.3

 (1.2-1.3) 2

 NG 1.3

 (1.3-1.4) 2

 
 EE 1.3

 (1.2-1.3) 2

 NG 1.2

 (1.1-1.3) 2

 

EE = ethinyl estradiol, NG = norgestrel, QD= Once daily

1Clinically significant pharmacodynamic effects [see Drug Interactions (7.3)]

2Mean ratio with 90% CI (with/without coadministered drug, e.g., 1= no change, 0.7=30% decrease, 11=11-fold increase in exposure)

Section 43683-2 (43683-2)

Dosage and Administration Modifications Due to Drug Interactions (2.6)                       07/2023

Contraindications, Pregnancy and Lactation (4)                                            Removed 01/2023

Warnings and Precautions (5.2)                                                                                     01/2023

Warnings and Precautions, Concomitant Coumarin Anticoagulants (5.4)     Removed 01/2023

10 Overdosage (10 OVERDOSAGE)


No specific antidotes for rosuvastatin calcium are known. Hemodialysis does not significantly enhance clearance of rosuvastatin. Contact Poison Control (1-800-222-1222) for latest recommendations.

8.1 Pregnancy


Risk Summary

Discontinue rosuvastatin calcium when pregnancy is recognized. Alternatively, consider the ongoing therapeutic needs of the individual patient.

Rosuvastatin calcium decreases synthesis of cholesterol and possibly other biologically active substances derived from cholesterol; therefore, rosuvastatin calcium may cause fetal harm when administered to pregnant patients based on the mechanism of action [see Clinical Pharmacology (12.1)]. In addition, treatment of hyperlipidemia is not generally necessary during pregnancy. Atherosclerosis is a chronic process and the discontinuation of lipid-lowering drugs during pregnancy should have little impact on the outcome of long-term therapy of primary hyperlipidemia for most patients.

Available data from case series and prospective and retrospective observational cohort studies over decades of use with statins in pregnant women have not identified a drug-associated risk of major congenital malformations. Published data from prospective and retrospective observational cohort studies with rosuvastatin calcium use in pregnant women are insufficient to determine if there is a drug-associated risk of miscarriage (see Data).

In animal reproduction studies, no adverse developmental effects were observed in pregnant rats or rabbits orally administered rosuvastatin during the period of organogenesis at doses that resulted in systemic exposures equivalent to human exposures at the maximum recommended human dose (MRHD) of 40 mg/day, based on AUC and body surface area (mg/m2), respectively (see Data).

The estimated background risk of major birth defects and miscarriage for the indicated population is unknown. In the U.S. general population, the estimated background risk of major birth defects and miscarriage in clinically recognized pregnancies is 2 to 4% and 15 to 20%, respectively.

Data

Human Data

A Medicaid cohort linkage study of 1152 statin-exposed pregnant women compared to 886,996 controls did not find a significant teratogenic effect from maternal use of statins in the first trimester of pregnancy, after adjusting for potential confounders – including maternal age, diabetes mellitus, hypertension, obesity, and alcohol and tobacco use – using propensity score-based methods. The relative risk of congenital malformations between the group with statin use and the group with no statin use in the first trimester was 1.07 (95% confidence interval 0.85 to 1.37) after controlling for confounders, particularly pre-existing diabetes mellitus. There were also no statistically significant increases in any of the organ-specific malformations assessed after accounting for confounders. In the majority of pregnancies, statin treatment was initiated prior to pregnancy and was discontinued at some point in the first trimester when pregnancy was identified. Study limitations include reliance on physician coding to define the presence of a malformation, lack of control for certain confounders such as body mass index, use of prescription dispensing as verification for the use of a statin, and lack of information on non-live births.

Animal Data

In female rats given 5, 15 and 50 mg/kg/day before mating and continuing through to gestation day 7 resulted in decreased fetal body weight (female pups) and delayed ossification at 50 mg/kg/day (10 times the human exposure at the MRHD dose of 40 mg/day based on AUC).

In pregnant rats given 2, 10 and 50 mg/kg/day of rosuvastatin from gestation day 7 through lactation day 21 (weaning), decreased pup survival occurred at 50 mg/kg/day (dose equivalent to 12 times the MRHD of 40 mg/day based body surface area).

In pregnant rabbits given 0.3, 1, and 3 mg/kg/day of rosuvastatin from gestation day 6 to day 18, decreased fetal viability and maternal mortality was observed at 3 mg/kg/day (dose equivalent to the MRHD of 40 mg/day based on body surface area).

Rosuvastatin crosses the placenta in rats and rabbits and is found in fetal tissue and amniotic fluid at 3% and 20%, respectively, of the maternal plasma concentration following a single 25 mg/kg oral gavage dose on gestation day 16 in rats. In rabbits, fetal tissue distribution was 25% of maternal plasma concentration after a single oral gavage dose of 1 mg/kg on gestation day 18.

8.2 Lactation


Risk Summary

Limited data from case reports in published literature indicate that rosuvastatin calcium is present in human milk. There is no available information on the effects of the drug on the breastfed infant or the effects of the drug on milk production. Statins, including rosuvastatin calcium, decrease cholesterol synthesis and possibly the synthesis of other biologically active substances derived from cholesterol and may cause harm to the breastfed infant.

Because of the potential for serious adverse reactions in a breastfed infant, based on the mechanism of action, advise patients that breastfeeding is not recommended during treatment with rosuvastatin calcium [see Use in Specific Populations (8.1) and Clinical Pharmacology (12.1)].

11 Description (11 DESCRIPTION)

Rosuvastatin calcium, USP is a 3-hydroxy-3-methylglutaryl coenzyme A (HMG CoA)-reductase inhibitor.

The chemical name for rosuvastatin calcium is bis [(E)-7-[4-(4-fluorophenyl)-6-isopropyl-2- [methyl (methylsulfonyl) amino] pyrimidin-5-yl] (3R, 5S)-3, 5-dihydroxyhept-6-enoic acid] calcium salt with the following structural formula:





The molecular formula for rosuvastatin calcium, USP is (C22H27FN3O6S)2 Ca and the molecular weight is 1001.14. Rosuvastatin calcium is a white amorphous powder that is sparingly soluble in water and methanol, and slightly soluble in ethanol. Rosuvastatin calcium is a hydrophilic compound with a partition coefficient (octanol/water) of 0.13 at pH of 7.0.



Rosuvastatin tablets, USP for oral use contain rosuvastatin 5 mg, 10 mg, 20 mg, or 40 mg (equivalent to 5.2 mg, 10.4 mg, 20.8 mg, and 41.6 mg rosuvastatin calcium) and the following inactive ingredients: crospovidone, hypromellose, lactose monohydrate, magnesium stearate, mannitol, meglumine, microcrystalline cellulose, pregelatinized starch, titanium dioxide and triacetin. Additionally, 10 mg, 20 mg and 40 mg tablets contain FD&C red No. 40/allura red AC aluminum lake, FD&C blue No. 2/indigo carmine aluminum lake and FD&C yellow No.6/sunset yellow FCF aluminum lake.

Meets USP Dissolution Test 2.





8.4 Pediatric Use


The safety and effectiveness of rosuvastatin calcium as an adjunct to diet to reduce LDL-C have been established in pediatric patients 8 years of age and older with HeFH. Use of rosuvastatin calcium for this indication is based on one 12-week controlled trial with a 40-week open-label extension period in 176 pediatric patients 10 years of age and older with HeFH and one 2-year open-label, uncontrolled trial in 175 pediatric patients 8 years of age and older with HeFH [see Clinical Studies (14)]. In the 1-year trial with a 12-week controlled phase, there was no detectable effect of rosuvastatin calcium on growth, weight, BMI (body mass index), or sexual maturation in patients aged 10 to 17 years.

The safety and effectiveness of rosuvastatin calcium as an adjunct to other LDL-C-lowering therapies to reduce LDL-C have been established pediatric patients 7 years of age and older with HoFH. Use of rosuvastatin calcium for this indication is based on a randomized, placebo-controlled, cross-over study in 14 pediatric patients 7 years of age and older with HoFH [see Clinical Studies (14)].

The safety and effectiveness of rosuvastatin calcium have not been established in pediatric patients younger than 8 years of age with HeFH, younger than 7 years of age with HoFH, or in pediatric patients with other types of hyperlipidemia (other than HeFH or HoFH).

8.5 Geriatric Use


Of the total number of rosuvastatin calcium-treated patients in clinical studies, 3159 (31%) were 65 years and older, and 698 (6.8%) were 75 years and older. No overall differences in safety or effectiveness were observed between these subjects and younger subjects.

Advanced age (≥65 years) is a risk factor for rosuvastatin calcium-associated myopathy and rhabdomyolysis. Dose selection for an elderly patient should be cautious, recognizing the greater frequency of decreased hepatic, renal, or cardiac function, and of concomitant disease or other drug therapy and the higher risk of myopathy. Monitor geriatric patients receiving rosuvastatin calcium for the increased risk of myopathy [see Warnings and Precautions (5.1)].

8.8 Asian Patients


Pharmacokinetic studies have demonstrated an approximate 2-fold increase in median exposure to rosuvastatin in Asian subjects when compared with White controls. Adjust the rosuvastatin calcium dosage in Asian patients [see Dosage and Administration (2.4) and Clinical Pharmacology (12.3)].

14 Clinical Studies (14 CLINICAL STUDIES)


Primary Prevention of Cardiovascular Disease

In the Justification for the Use of Statins in Primary Prevention: An Intervention Trial Evaluating Rosuvastatin (JUPITER) study, the effect of rosuvastatin calcium on the occurrence of major cardiovascular (CV) disease events was assessed in 17,802 men (≥50 years) and women (≥60 years) who had no clinically evident cardiovascular disease, LDL-C levels <130 mg/dL and hsCRP levels ≥2 mg/L. The study population had an estimated baseline coronary heart disease risk of 11.6% over 10 years based on the Framingham risk criteria and included a high percentage of patients with additional risk factors such as hypertension (58%), low HDL-C levels (23%), cigarette smoking (16%), or a family history of premature CHD (12%). Patients had a median baseline LDL-C of 108 mg/dL and hsCRP of 4.3 mg/L. Patients were randomly assigned to placebo (n=8901) or rosuvastatin calcium 20 mg once daily (n=8901) and were followed for a mean duration of 2 years. The JUPITER study was stopped early by the Data Safety Monitoring Board due to meeting predefined stopping rules for efficacy in rosuvastatin calcium-treated subjects.

The primary end point was a composite end point consisting of the time-to-first occurrence of any of the following major CV events: CV death, nonfatal myocardial infarction, nonfatal stroke, hospitalization for unstable angina or an arterial revascularization procedure.

Rosuvastatin calcium significantly reduced the risk of major CV events (252 events in the placebo group vs. 142 events in the rosuvastatin group) with a statistically significant (p<0.001) relative risk reduction of 44% and absolute risk reduction of 1.2% (see Figure 1). The risk reduction for the primary end point was consistent across the following predefined subgroups: age, sex, race, smoking status, family history of premature CHD, body mass index, LDL-C, HDL-C, and hsCRP levels.

Figure 1. Time to First Occurrence of Major Cardiovascular Events in JUPITER

The individual components of the primary end point are presented in Figure 3. Rosuvastatin calcium significantly reduced the risk of nonfatal myocardial infarction, nonfatal stroke, and arterial revascularization procedures. There were no significant treatment differences between the rosuvastatin calcium and placebo groups for death due to cardiovascular causes or hospitalizations for unstable angina.

Rosuvastatin calcium significantly reduced the risk of myocardial infarction (6 fatal events and 62 nonfatal events in placebo-treated subjects vs. 9 fatal events and 22 nonfatal events in rosuvastatin calcium-treated subjects) and the risk of stroke (6 fatal events and 58 nonfatal events in placebo-treated subjects vs. 3 fatal events and 30 nonfatal events in rosuvastatin calcium -treated subjects).

In a post-hoc subgroup analysis of JUPITER subjects (rosuvastatin=725, placebo=680) with a hsCRP ≥2 mg/L and no other traditional risk factors (smoking, BP ≥140/90 or taking antihypertensives, low HDL-C) other than age, after adjustment for high HDL-C, there was no significant treatment benefit with rosuvastatin calcium treatment.

Figure 2. Major CV Events by Treatment Group in JUPITER

At one year, rosuvastatin calcium increased HDL-C and reduced LDL-C, hsCRP, total cholesterol and serum triglyceride levels (p<0.001 for all versus placebo).

Primary Hyperlipidemia in Adults

Rosuvastatin calcium reduces Total-C, LDL-C, ApoB, non-HDL-C, and TG, and increases HDL-C, in adult patients with hyperlipidemia and mixed dyslipidemia.

In a multicenter, double-blind, placebo-controlled study in patients with hyperlipidemia, rosuvastatin calcium given as a single daily dose (5 to 40 mg) for 6 weeks significantly reduced Total-C, LDL-C, non-HDL-C, and ApoB, across the dose range (Table 10).

Table 10: Lipid-modifying Effect of Rosuvastatin calcium in Adult Patients with Hyperlipidemia (Adjusted Mean % Change from Baseline at Week 6)



                                                              

 Dose

 
 N

 
 Total-C

 
 LDL-C

 
 Non-HDL-C

 
 ApoB

 
 TG

 
 HDL-C

 
 Placebo

 
 13

 
 -5

 
 -7

 
 -7

 
 -3

 
 -3

 
 3

 
 Rosuvastatin calcium

 5 mg

 
 17

 
 -33

 
 -45

 
 -44

 
 -38

 
 -35

 
 13

 
 Rosuvastatin calcium

 10 mg

 
 17

 
 -36

 
 -52

 
 -48

 
 -42

 
 -10

 
 14

 
 Rosuvastatin calcium

 20 mg

 
 17

 
 -40

 
 -55

 
 -51

 
 -46

 
 -23

 
 8

 
 Rosuvastatin calcium

 40 mg

 
 18

 
 -46

 
 -63

 
 -60

 
 -54

 
 -28

 
 10

 

Rosuvastatin calcium was compared with the statins (atorvastatin, simvastatin, and pravastatin) in a multicenter, open-label, dose-ranging study of 2240 patients with hyperlipidemia or mixed dyslipidemia. After randomization, patients were treated for 6 weeks with a single daily dose of either rosuvastatin calcium, atorvastatin, simvastatin, or pravastatin (Figure 3 and Table 11).

4 Contraindications (4 CONTRAINDICATIONS)

Rosuvastatin calcium is contraindicated in the following conditions:

  • Acute liver failure or decompensated cirrhosis [see Warnings and Precautions (5.3)].
  • Hypersensitivity to rosuvastatin or any excipients in rosuvastatin calcium. Hypersensitivity reactions including rash, pruritus, urticaria, and angioedema have been reported with rosuvastatin calcium [see Adverse Reactions (6.1)].


6 Adverse Reactions (6 ADVERSE REACTIONS)

The following important adverse reactions are described below and elsewhere in the labeling:

Myopathy and Rhabdomyolysis [see Warnings and Precautions (5.1)]

Immune-Mediated Necrotizing Myopathy [see Warnings and Precautions (5.2)]

Hepatic Dysfunction [see Warnings and Precautions (5.3)]

Proteinuria and Hematuria [see Warnings and Precautions (5.4)]

Increases in HbA1c and Fasting Serum Glucose Levels [see Warnings and Precautions (5.5)]



7 Drug Interactions (7 DRUG INTERACTIONS)


See full prescribing information for details regarding concomitant use of rosuvastatin calcium with other drugs that increase the risk of myopathy and rhabdomyolysis. (2.6, 7.1)

Aluminum and Magnesium Hydroxide Combination Antacids: Administer rosuvastatin calcium at least 2 hours after the antacid. (2.6, 7.2)

Wafarin: Obtain INR prior to starting rosuvastatin calcium. Monitor INR frequently until stable upon initiation, dose titration or discontinuation. (7.3)

Patient Information (PATIENT INFORMATION)


 Rosuvastatin Tablets, USP

(roe soo” va stat’ in) 
Read this Patient Information carefully before you start taking rosuvastatin tablets and each time you get a refill. If you have any questions about rosuvastatin tablets, ask your doctor. Only your doctor can determine if rosuvastatin tablets is right for you.
What are Rosuvastatin tablets?  Rosuvastatin tablets are a prescription medicine that contains a cholesterol-lowering medicine called rosuvastatin.

 
  • Rosuvastatin tablets are used to:

 
  • reduce the risk of stroke, heart attack, and the need for procedures to improve blood flow to the heart called arterial revascularization in adults who do not have known heart disease but do have certain additional risk factors.

 
  • Rosuvastatin tablets are used along with diet to:

 
  • lower the level of low-density lipoprotein (LDL) cholesterol or “bad” cholesterol in adults with primary hyperlipidemia.

  • slow the buildup of fatty deposits (plaque) in the walls of blood vessels.

  • treat adults and children 8 years of age and older with high blood cholesterol due to heterozygous familial hypercholesterolemia (an inherited condition that causes high levels of LDL).

  • along with other cholesterol lowering treatments or alone if such treatments are unavailable in adults and children 7 years of age and older with homozygous familial hypercholesterolemia (an inherited condition that causes high levels of LDL).

  • treat adults with a type of high cholesterol called primary dysbetalipoproteinemia (type III hyperlipoproteinemia).

  • lower the level of fat in your blood (triglycerides) in adults with hypertriglyceridemia.

 The safety and effectiveness of rosuvastatin tablets has not been established in children younger than 8 years of age with heterozygous familial hypercholesterolemia or children younger than 7 years of age with homozygous familial hypercholesterolemia or in children with other types of hyperlipidemias (other than HeFH or HoFH).             
Who should not take rosuvastatin tablets?  Do not take rosuvastatin tablets if you:

 
  • have liver problems.

  • are allergic to rosuvastatin calcium or any of the ingredients in rosuvastatin tablets. See the end of this leaflet for a complete list of ingredients in rosuvastatin tablets. Symptoms of allergic reactions include rash, itching, hives, and swelling.  
 What should I tell my doctor before and while taking rosuvastatin tablets?  Tell your doctor if you:

 
  • have unexplained muscle aches or weakness.

  • have or have had kidney problems.

  • have or have had liver problems.

  • drink more than 2 glasses of alcohol daily.

  • have thyroid problems.

  • are 65 years of age or older.

  • are of Asian descent.

  • are pregnant or think you may be pregnant, or are planning to become pregnant. If you become pregnant while taking rosuvastatin tablets, call your healthcare provider right away to discuss your rosuvastatin tablets treatment.

  • are breastfeeding. Rosuvastatin can pass into your breast milk. Breastfeeding is not recommended while taking rosuvastatin tablets.

 Tell your doctor about all the medicines you take, including prescription and over-the-counter medicines, vitamins, and herbal supplements.  Taking rosuvastatin tablets with certain other medicines may affect each other causing side effects. Rosuvastatin tablets may affect the way other medicines work, and other medicines may affect how rosuvastatin tablets works.

 Especially tell your doctor if you take:

 
  • cyclosporine (a medicine for your immune system)

  • gemfibrozil (a fibric acid medicine for lowering cholesterol)

  • fostamatinib (a medicine used to treat low platelet counts)

  • febuxostat (a medicine used to treat and prevent high blood levels of uric acid)

  • teriflunomide (a medicine used to treat relapsing remitting multiple sclerosis)

  • capmatinib (a medicine for the treatment of non-small cell lung cancer)

  • tafamidis (used to treat cardiomyopathy [enlarged and thickened heart muscle])

  • darolutamide (a medicine for the treatment of prostate cancer)

  • regorafenib (a medicine used to treat cancer of the colon and rectum)

  • enasidenib (a medicine used to treat acute myeloid leukemia)

  • anti-viral medicines including certain HIV or hepatitis C virus drugs such as:

 
  • lopinavir, ritonavir, fosamprenavir, tipranavir, atazanavir, simeprevir

  • combination of

 
  • sofosbuvir/velpatasvir/voxilaprevir

  • dasabuvir/ombitasvir/paritaprevir/ritonavir

  • elbasvir/grazoprevir

  • sofosbuvir/velpatasvir

  • glecaprevir/pibrentasvir and

 
  • all other combinations with ledipasvir including ledipasvir/sofosbuvir

 
  • certain anti-fungal medicines (such as itraconazole, ketoconazole and fluconazole)

  • coumarin anticoagulants (medicines that prevent blood clots, such as warfarin)

  • niacin or nicotinic acid

  • fibric acid derivatives (such as fenofibrate)

  • colchicine (a medicine used to treat gout)

 Ask your doctor or pharmacist for a list of these medicines if you are not sure. Know the medicines you take. Keep a list of them to show your doctor and pharmacist when you get new medicine.          
How should I take rosuvastatin tablets?  
  • Take rosuvastatin tablets exactly as your doctor tells you to take it.

  • Take rosuvastatin tablets, by mouth, 1 time each day. Swallow the tablet whole.

  • Rosuvastatin tablets can be taken at any time of day, with or without food.

  • Do not change your dose or stop rosuvastatin tablets without talking to your doctor, even if you are feeling well.

  • Your doctor may do blood tests to check your cholesterol levels before and during your treatment with rosuvastatin tablets Your doctor may change your dose of rosuvastatin tablets if needed.

  • Your doctor may start you on a cholesterol lowering diet before giving you rosuvastatin tablets. Stay on this diet when you take rosuvastatin tablets.

  • Wait at least 2 hours after taking rosuvastatin tablets to take an antacid that contains a combination of aluminum and magnesium hydroxide.

  • If you miss a dose of rosuvastatin tablets, take your next dose at your normal scheduled time. Do not take an extra dose of rosuvastatin tablets.

 If you take too much rosuvastatin tablets or overdose, call your doctor or go to the nearest hospital emergency room right away.
What are the possible side effects of rosuvastatin tablets?  Rosuvastatin tablets may cause serious side effects, including:

 
  • Muscle pain, tenderness and weakness (myopathy). Muscle problems, including muscle breakdown, can be serious in some people and rarely cause kidney damage that can lead to death. Tell your doctor right away if:

 
  • you have unexplained muscle pain, tenderness, or weakness, especially if you have a fever or feel more tired than usual, while you take rosuvastatin tablets.

  • you have muscle problems that do not go away even after your doctor has told you to stop taking rosuvastatin tablets. Your doctor may do further tests to diagnose the cause of your muscle problems.

    Your chances of getting muscle problems are higher if you:

  • are taking certain other medicines while you take rosuvastatin tablets

  • are 65 years of age or older

  • have thyroid problems (hypothyroidism) that are not controlled

  • have kidney problems

  • are taking higher doses of rosuvastatin tablets

 
  • Liver problems. Your doctor should do blood tests to check your liver before you start taking rosuvastatin tablets and if you have symptoms of liver problems while you take rosuvastatin tablets. Call your doctor right away if you have any of the following symptoms of liver problems:

 
  • feel unusually tired or weak

  • loss of appetite

  • upper belly pain

  • dark urine

  • yellowing of your skin or the whites of your eyes

 
  • Protein and blood in the urine. Rosuvastatin tablets may cause you to have protein and blood in your urine. If you develop protein or blood in your urine, your doctor may decrease your dose of rosuvastatin tablets.

  • Increase in blood sugar (glucose) levels. Rosuvastatin tablets may cause an increase in your blood sugar levels. The most common side effects may include headache, muscle aches and pains, abdominal pain, weakness, and nausea.

    Tell your doctor if you have any side effect that bothers you or that does not go away.

    For more information, ask your doctor or pharmacist.

 Call your doctor for medical advice about side effects. You may report side effects to FDA at 1-800-FDA-1088.             
 How should I store rosuvastatin tablets?  
  • Store rosuvastatin tablets at room temperature, between 68°F to 77°F (20°C to 25°C) and in a dry place.

  • Safely throw away medicine that is out of date or no longer needed.

 Keep rosuvastatin tablets and all medicines out of the reach of children.             
General Information about the safe and effective use of rosuvastatin tablets Medicines are sometimes prescribed for purposes other than those listed in a Patient Information leaflet. Do not use rosuvastatin tablets for a condition for which it was not prescribed. Do not give rosuvastatin tablets to other people, even if they have the same medical condition you have. It may harm them.

 You can ask your pharmacist or doctor for information about rosuvastatin tablets that is written for health professionals.

What are the Ingredients in rosuvastatin tablets? Active Ingredient: rosuvastatin as rosuvastatin calcium

 Inactive Ingredients: crospovidone, hypromellose, lactose monohydrate, magnesium stearate, mannitol, meglumine, microcrystalline cellulose, pregelatinized starch, titanium dioxide and triacetin. Additionally, 10 mg, 20 mg and 40 mg tablets contain FD&C red No. 40/allura red AC aluminum lake, FD&C blue No. 2/indigo carmine aluminum lake and FD&C yellow No.6/sunset yellow FCF aluminum lake.

 For more information, go to www.novadozpharma.com or call 1-855-668-2369.

 This Patient Information has been approved by the U.S. Food and Drug Administration

 

Manufactured by:

MSN Laboratories Private Limited


Telangana – 509 228,

INDIA

Distributed by:

Novadoz Pharmaceuticals LLC


Piscataway, NJ 08854-3714

Issued on:

September 2023

 


8.6 Renal Impairment


Rosuvastatin exposure is not influenced by mild to moderate renal impairment (CLcr ≥30 mL/min/1.73 m2). Exposure to rosuvastatin is increased to a clinically significant extent in patients with severe renal impairment (CLcr <30 mL/min/1.73 m2) who are not receiving hemodialysis [see Clinical Pharmacology (12.3)].

Renal impairment is a risk factor for myopathy and rhabdomyolysis. Monitor all patients with renal impairment for development of myopathy. In patients with severe renal impairment not on hemodialysis, the recommended starting dosage is 5 mg daily and should not exceed 10 mg daily [see Dosage and Administration (2.5) and Warnings and Precautions (5.1)].

Rosuvastatin Calcium
12.2 Pharmacodynamics


Inhibition of HMG-CoA reductase by rosuvastatin accelerates the expression of LDL-receptors, followed by the uptake of LDL-C from blood to the liver, leading to a decrease in plasma LDL-C and total cholesterol. Sustained inhibition of cholesterol synthesis in the liver also decreases levels of very-low-density lipoproteins. The maximum LDL-C reduction of rosuvastatin calcium is usually achieved by 4 weeks and is maintained after that.

12.3 Pharmacokinetics


Absorption

In clinical pharmacology studies in man, peak plasma concentrations of rosuvastatin were reached 3 to 5 hours following oral dosing. Both Cmax and AUC increased in approximate proportion to rosuvastatin calcium dose. The absolute bioavailability of rosuvastatin is approximately 20%. The AUC of rosuvastatin does not differ following evening or morning drug administration.

Effect of food

Administration of rosuvastatin calcium with food did not affect the AUC of rosuvastatin.

Distribution

Mean volume of distribution at steady-state of rosuvastatin is approximately 134 liters.

Rosuvastatin is 88% bound to plasma proteins, mostly albumin. This binding is reversible and independent of plasma concentrations.

Elimination

Metabolism

Rosuvastatin is not extensively metabolized; approximately 10% of a radiolabeled dose is recovered as metabolite. The major metabolite is N-desmethyl rosuvastatin, which is formed principally by cytochrome P450 \ 2C9, and in vitro studies have demonstrated that N-desmethyl rosuvastatin has approximately one-sixth to one-half the HMG-CoA reductase inhibitory activity of the parent compound. Overall, greater than 90% of active plasma HMG-CoA reductase inhibitory activity is accounted for by the parent compound.

Excretion

Following oral administration, rosuvastatin and its metabolites are primarily excreted in the feces (90%). After an intravenous dose, approximately 28% of total body clearance was via the renal route, and 72% by the hepatic route. The elimination half-life of rosuvastatin is approximately 19 hours.

Specific Populations

Geriatric Patients

There were no differences in plasma concentrations of rosuvastatin between the nonelderly and elderly populations (age ≥65 years).

Pediatric Patients

In a population pharmacokinetic analysis of two pediatric trials involving patients with heterozygous familial hypercholesterolemia 10 to 17 years of age and 8 to 17 years of age, respectively, rosuvastatin exposure appeared comparable to or lower than rosuvastatin exposure in adult patients.

Male and Female Patients

There were no differences in plasma concentrations of rosuvastatin between men and women.

Racial or Ethnic Groups

A population pharmacokinetic analysis revealed no clinically relevant differences in pharmacokinetics among Caucasian, Hispanic, and Black or Afro-Caribbean groups. However, pharmacokinetic studies, including one conducted in the US, have demonstrated an approximate 2-fold elevation in median exposure (AUC and Cmax) in Asian subjects when compared with a Caucasian control group.

Patients with Renal Impairment

Mild to moderate renal impairment (CLcr ≥30 mL/min/1.73 m2) had no influence on plasma concentrations of rosuvastatin. However, plasma concentrations of rosuvastatin increased to a clinically significant extent (about 3-fold) in patients with severe renal impairment (CLcr <30 mL/min/1.73 m2) not receiving hemodialysis compared with healthy subjects (CLcr >80 mL/min/1.73 m2).

Steady-state plasma concentrations of rosuvastatin in patients on chronic hemodialysis were approximately 50% greater compared with healthy volunteer subjects with normal renal function.

Patients with Hepatic Impairment

In patients with chronic alcohol liver disease, plasma concentrations of rosuvastatin were modestly increased.

In patients with Child-Pugh A disease, Cmax and AUC were increased by 60% and 5%, respectively, as compared with patients with normal liver function. In patients with Child-Pugh B disease, Cmax and AUC were increased 100% and 21%, respectively, compared with patients with normal liver function.

Drug Interactions Studies

Rosuvastatin clearance is not dependent on metabolism by cytochrome P450 3A4 to a clinically significant extent.

Rosuvastatin is a substrate for certain transporter proteins including the hepatic uptake transporter organic anion-transporting polyprotein 1B1 (OATP1B1) and efflux transporter breast cancer resistance protein (BCRP). Concomitant administration of rosuvastatin calcium with medications that are inhibitors of these transporter proteins (e.g. cyclosporine, certain HIV protease inhibitors) may result in increased rosuvastatin plasma concentrations [see Dosage and Administration (2.6) and Drug Interactions (7.1)].

12.5 Pharmacogenomics


Disposition of rosuvastatin, involves OATP1B1 and other transporter proteins. Higher plasma concentrations of rosuvastatin have been reported in very small groups of patients (n=3 to 5) who have two reduced function alleles of the gene that encodes OATP1B1 (SLCO1B1 521T > C). The frequency of this genotype (i.e., SLCO1B1 521 C/C) is generally lower than 5% in most racial/ethnic groups. The impact of this polymorphism on efficacy and/or safety of rosuvastatin calcium has not been clearly established.

8.7 Hepatic Impairment


Rosuvastatin calcium is contraindicated in patients with acute liver failure or decompensated cirrhosis. Chronic alcohol liver disease is known to increase rosuvastatin exposure. Patients who consume substantial quantities of alcohol and/or have a history of liver disease may be at increased risk for hepatic injury [see Contraindications (4), Warning and Precautions (5.3) and Clinical Pharmacology (12.3)].

1 Indications and Usage (1 INDICATIONS AND USAGE)

Rosuvastatin tablets are indicated:

  • To reduce the risk of stroke, myocardial infarction, and arterial revascularization procedures in adults without established coronary heart disease who are at increased risk of cardiovascular (CV) disease based on age, hsCRP ≥2 mg/L, and at least one additional CV risk factor.
  • As an adjunct to diet to:

    o Reduce LDL-C in adults with primary hyperlipidemia.

    o Reduce low-density lipoprotein cholesterol (LDL-C) and slow the progression of atherosclerosis in adults.

    o Reduce LDL-C in adults and pediatric patients aged 8 years and older with heterozygous familial hypercholesterolemia (HeFH).
  • As an adjunct to other LDL-C-lowering therapies, or alone if such treatments are unavailable, to reduce LDL-C in adults and pediatric patients aged 7 years and older with homozygous familial hypercholesterolemia (HoFH).
  • As an adjunct to diet for the treatment of adults with:

    o Primary dysbetalipoproteinemia.

    o Hypertriglyceridemia.


5.3 Hepatic Dysfunction


Increases in serum transaminases have been reported with use of rosuvastatin calcium [see Adverse Reactions (6.1)]. In most cases, these changes appeared soon after initiation, were transient, were not accompanied by symptoms, and resolved or improved on continued therapy or after a brief interruption in therapy. In a pooled analysis of placebo-controlled trials, increases in serum transaminases to more than three times the ULN occurred in 1.1% of patients taking rosuvastatin calcium versus 0.5% of patients treated with placebo. Marked persistent increases of hepatic transaminases have also occurred with rosuvastatin calcium. There have been rare postmarketing reports of fatal and non-fatal hepatic failure in patients taking statins, including rosuvastatin calcium.

Patients who consume substantial quantities of alcohol and/or have a history of liver disease may be at increased risk for hepatic injury [see Use in Specific Populations (8.7)].

Consider liver enzyme testing before rosuvastatin calcium initiation and when clinically indicated thereafter. Rosuvastatin calcium is contraindicated in patients with acute liver failure or decompensated cirrhosis [see Contraindications (4)]. If serious hepatic injury with clinical symptoms and/or hyperbilirubinemia or jaundice occurs, promptly discontinue rosuvastatin calcium.

12.1 Mechanism of Action


Rosuvastatin calcium is an inhibitor of HMG-CoA reductase, the rate-limiting enzyme that converts 3-hydroxy-3-methylglutaryl coenzyme A to mevalonate, a precursor of cholesterol.

5 Warnings and Precautions (5 WARNINGS AND PRECAUTIONS)
  • Myopathy and Rhabdomyolysis: Risk factors include age 65 years or greater, uncontrolled hypothyroidism, renal impairment, concomitant use with certain other drugs, and higher rosuvastatin calcium dosage. Asian patients may be at higher risk for myopathy. Discontinue rosuvastatin calcium if markedly elevated CK levels occur or myopathy is diagnosed or suspected. Temporarily discontinue rosuvastatin calcium in patients experiencing an acute or serious condition at high risk of developing renal failure secondary to rhabdomyolysis. Inform patients of the risk of myopathy and rhabdomyolysis when starting or increasing rosuvastatin calcium dosage. Instruct patients to promptly report unexplained muscle pain, tenderness, or weakness, particularly if accompanied by malaise or fever. (5.1, 7.1, 8.5, 8.6, 8.8)
  • Immune-Mediated Necrotizing Myopathy (IMNM): Rare reports of IMNM, an autoimmune myopathy, have been reported with statin use. Discontinue rosuvastatin calcium if IMNM is suspected. (5.2)
  • Hepatic Dysfunction: Increases in serum transaminases have occurred, some persistent. Rare reports of fatal and non-fatal hepatic failure have occurred. Consider testing liver enzymes before initiating therapy and as clinically indicated thereafter. If serious hepatic injury with clinical symptoms and/or hyperbilirubinemia or jaundice occurs, promptly discontinue rosuvastatin calcium. (4, 5.3, 8.7)
2 Dosage and Administration (2 DOSAGE AND ADMINISTRATION)

Take orally with or without food, at any time of day. (2.1)

Assess LDL-C when clinically appropriate, as early as 4 weeks after initiating rosuvastatin calcium, and adjust dosage if necessary. (2.1)

Adults: Recommended dosage range is 5 to 40 mg once daily. (2.1)

Pediatric Patients with HeFH: Recommended dosage range is 5 to 10 mg once daily for patients aged 8 to less than 10 years of age, and 5 to 20 mg once daily for patients aged 10 years and older. (2.2)

Pediatric Patients with HoFH: Recommended dosage is 20 mg once daily for patients aged 7 years and older. (2.2)

Asian Patients: Initiate at 5 mg once daily. Consider risks and benefits of treatment if not adequately controlled at doses up to 20 mg once daily. (2.4)

Patients with Severe Renal Impairment (not on hemodialysis): Initiate at 5 mg once daily; do not exceed 10 mg once daily. (2.5, 5.1, 8.6)

See full prescribing information for rosuvastatin calcium dosage and administration modifications due to drug interactions. (2.6)



2.4 Dosing in Asian Patients


Initiate rosuvastatin calcium at 5 mg once daily due to increased rosuvastatin plasma concentrations. Consider the risks and benefits of rosuvastatin calcium when treating Asian patients not adequately controlled at doses up to 20 mg once daily [see Warnings and Precautions (5.1), Use in Specific Populations (8.8), and Clinical Pharmacology (12.3)].

6.2 Postmarketing Experience


The following adverse reactions have been identified during postapproval use of rosuvastatin calcium. Because these reactions are reported voluntarily from a population of uncertain size, it is not always possible to reliably estimate their frequency or establish a causal relationship to drug exposure.

Blood Disorders: thrombocytopenia

Hepatobiliary Disorders: hepatitis, jaundice, fatal and non-fatal hepatic failure

Musculoskeletal Disorders: arthralgia, rare reports of immune-mediated necrotizing myopathy associated with statin use

Nervous System Disorders: peripheral neuropathy, rare postmarketing reports of cognitive impairment (e.g., memory loss, forgetfulness, amnesia, memory impairment, and confusion) associated with the use of all statins. The reports are generally nonserious, and reversible upon statin discontinuation, with variable times to symptom onset (1 day to years) and symptom resolution (median of 3 weeks). There have been rare reports of new-onset or exacerbation of myasthenia gravis, including ocular myasthenia, and reports of recurrence when the same or a different statin was administered.

Psychiatric Disorders: depression, sleep disorders (including insomnia and nightmares)

Reproductive System and Breast Disorders: gynecomastia

Respiratory Disorders: interstitial lung disease

Skin and Subcutaneous Tissue Disorders: drug reaction with eosinophilia and systemic symptoms (DRESS), lichenoid drug eruption

3 Dosage Forms and Strengths (3 DOSAGE FORMS AND STRENGTHS)

Rosuvastatin tablets, USP:

  • 5 mg: White, round shaped, biconvex film coated tablets debossed with "R5" on one side and plain on other side.
  • 10 mg: Pink, round shaped, biconvex, film coated tablets debossed with "R10" on one side and plain on other side.
  • 20 mg: Pink, round shaped, biconvex, film coated tablets debossed with "R20" on one side and plain on other side.
  • 40 mg: Pink, oval shaped, biconvex, film coated tablets debossed with "R" on one side and "40" on other side.




5.4 Proteinuria and Hematuria


In the rosuvastatin calcium clinical trial program, dipstick-positive proteinuria and microscopic hematuria were observed among rosuvastatin calcium treated patients. These findings were more frequent in patients taking rosuvastatin calcium 40 mg, when compared to lower doses of rosuvastatin calcium or comparator statins, though it was generally transient and was not associated with worsening renal function. Although the clinical significance of this finding is unknown, consider a dose reduction for patients on rosuvastatin calcium therapy with unexplained persistent proteinuria and/or hematuria during routine urinalysis testing.

8 Use in Specific Populations (8 USE IN SPECIFIC POPULATIONS)
  • Pregnancy: May cause fetal harm. (8.1)

  • Lactation: Breastfeeding not recommended during treatment with rosuvastatin calcium. (8.2)
6.1 Clinical Trials Experience


Because clinical trials are conducted under widely varying conditions, adverse reaction rates observed in the clinical trials of a drug cannot be directly compared to rates in the clinical trials of another drug and may not reflect the rates observed in clinical practice.

Adverse reactions reported in ≥2% of patients in placebo-controlled clinical studies and at a rate greater than placebo are shown in Table 2. These studies had a treatment duration of up to 12 weeks.

Table 2: Adverse Reactions Reported in ≥2% of Patients Treated with Rosuvastatin calcium and > Placebo in Placebo-Controlled Trials



                                                        

 Adverse Reactions

 
 Placebo N=382

 %

 
 Rosuvastatin calcium  

 5 mg

 N=291 %

 
 Rosuvastatin calcium  

  10 mg N=283

 %

 
 Rosuvastatin calcium  

  20 mg

 N=64

 %

 
 Rosuvastatin calcium  

  40 mg N=106

 %

 
 Total Rosuvastatin calcium  

 5 mg-40 mg N=744

 %

 
 Headache

 
 5.0

 
 5.5

 
 4.9

 
 3.1

 
 8.5

 
 5.5

 
 Nausea

 
 3.1

 
 3.8

 
 3.5

 
 6.3

 
 0

 
 3.4

 
 Myalgia

 
 1.3

 
 3.1

 
 2.1

 
 6.3

 
 1.9

 
 2.8

 
 Asthenia

 
 2.6

 
 2.4

 
 3.2

 
 4.7

 
 0.9

 
 2.7

 
 Constipation

 
 2.4

 
 2.1

 
 2.1

 
 4.7

 
 2.8

 
 2.4

 

 



Other adverse reactions reported in clinical studies were abdominal pain, dizziness, hypersensitivity (including rash, pruritus, urticaria, and angioedema) and pancreatitis. The following laboratory abnormalities have also been reported: dipstick-positive proteinuria and microscopic hematuria; elevated creatine phosphokinase, transaminases, glucose, glutamyl transpeptidase, alkaline phosphatase, and bilirubin; and thyroid function abnormalities.

In the METEOR study, patients were treated with rosuvastatin calcium 40 mg (n=700) or placebo (n=281) with a mean treatment duration of 1.7 years. Adverse reactions reported in ≥2% of patients and at a rate greater than placebo are shown in Table 3.

Table 3: Adverse Reactions Reported in ≥2% of Patients Treated with Rosuvastatin calcium and > Placebo in the METEOR Trial

                                          

 Adverse Reactions

 
 Placebo

 N=281

 %

 
 Rosuvastatin calcium  

 40 mg

 N=700

 %

 
 Myalgia

 
 12.1

 
 12.7

 
 Arthralgia

 
 7.1

 
 10.1

 
 Headache

 
 5.3

 
 6.4

 
 Dizziness

 
 2.8

 
 4.0

 
 Increased CPK

 
 0.7

 
 2.6

 
 Abdominal pain

 
 1.8

 
 2.4

 
 ALT greater than 3x ULN 1

 
 0.7

 
 2.2

 

 



1 Frequency recorded as abnormal laboratory value.

In the JUPITER study, patients were treated with rosuvastatin calcium 20 mg (n=8901) or placebo (n=8901) for a mean duration of 2 years. In JUPITER, there was a significantly higher frequency of diabetes mellitus reported in patients taking rosuvastatin calcium (2.8%) versus patients taking placebo (2.3%). Mean HbA1c was significantly increased by 0.1% in rosuvastatin calcium-treated patients compared to placebo-treated patients. The number of patients with a HbA1c >6.5% at the end of the trial was significantly higher in rosuvastatin calcium-treated versus placebo-treated patients [see  Clinical Studies (14)].

Adverse reactions reported in ≥2% of patients and at a rate greater than placebo are shown in Table 4.

Table 4: Adverse Reactions Reported in ≥2% of Patients Treated with Rosuvastatin calcium and > Placebo in the JUPITER Trial

                                

 Adverse Reactions

 
 Placebo

 N=8901

 %

 
 Rosuvastatin calcium

  20 mg

 N=8901

 %

 
 Myalgia

 
 6.6

 
 7.6

 
 Arthralgia

 
 3.2

 
 3.8

 
 Constipation

 
 3.0

 
 3.3

 
 Diabetes mellitus

 
 2.3

 
 2.8

 
 Nausea

 
 2.3

 
 2.4

 


Pediatric Patients with HeFH



In a 12-week controlled study in pediatric patients 10 to 17 years of age with HeFH with rosuvastatin calcium 5 to 20 mg daily [see Use in Specific Populations (8.4) and Clinical Studies (14)], elevations in serum CK greater than 10 x ULN were observed more frequently in rosuvastatin calcium-treated patients compared with patients receiving placebo. Four of 130 (3%) patients treated with rosuvastatin calcium (2 treated with 10 mg and 2 treated with 20 mg) had increased CK greater than 10 x ULN, compared to 0 of 46 patients on placebo.

5.1 Myopathy and Rhabdomyolysis


Rosuvastatin calcium may cause myopathy [muscle pain, tenderness, or weakness associated with elevated creatine kinase (CK)] and rhabdomyolysis. Acute kidney injury secondary to myoglobinuria and rare fatalities have occurred as a result of rhabdomyolysis with statins, including rosuvastatin calcium.

Risk Factors for Myopathy

Risk factors for myopathy include age 65 years or greater, uncontrolled hypothyroidism, renal impairment, concomitant use with certain other drugs (including other lipid-lowering therapies), and higher rosuvastatin calcium dosage. Asian patients on rosuvastatin calcium may be at higher risk for myopathy [see Drug Interactions (7.1) and Use in Specific Populations (8.8)]. The myopathy risk is greater in patients taking rosuvastatin calcium 40 mg daily compared with lower rosuvastatin calcium dosages.

Steps to Prevent or Reduce the Risk of Myopathy and Rhabdomyolysis

The concomitant use of rosuvastatin calcium with cyclosporine or gemfibrozil is not recommended. Rosuvastatin calcium dosage modifications are recommended for patients taking certain antiviral medications, darolutamide, and regorafenib [see Dosage and Administration (2.6)]. Niacin, fibrates, and colchicine may also increase the risk of myopathy and rhabdomyolysis [see Drug Interactions (7.1)].

Discontinue rosuvastatin calcium if markedly elevated CK levels occur or if myopathy is either diagnosed or suspected. Muscle symptoms and CK elevations may resolve if rosuvastatin calcium is discontinued. Temporarily discontinue rosuvastatin calcium in patients experiencing an acute or serious condition at high risk of developing renal failure secondary to rhabdomyolysis (e.g., sepsis; shock; severe hypovolemia; major surgery; trauma; severe metabolic, endocrine, or electrolyte disorders; or uncontrolled epilepsy).

Inform patients of the risk of myopathy and rhabdomyolysis when starting or increasing the rosuvastatin calcium dosage. Instruct patients to promptly report any unexplained muscle pain, tenderness or weakness, particularly if accompanied by malaise or fever.

17 Patient Counseling Information (17 PATIENT COUNSELING INFORMATION)

Advise the patient to read the FDA-approved patient labeling (Patient Information).

Myopathy and Rhabdomyolysis

Advise patients that rosuvastatin calcium may cause myopathy and rhabdomyolysis. Inform patients that the risk is also increased when taking certain types of medication and they should discuss all medication, both prescription and over the counter, with their healthcare provider. Instruct patients to promptly report any unexplained muscle pain, tenderness or weakness particularly if accompanied by malaise or fever [see Warnings and Precautions (5.1), and Drug Interactions (7.1)].

Hepatic Dysfunction

Inform patients that rosuvastatin calcium may cause liver enzyme elevations and possibly liver failure. Advise patients to promptly report fatigue, anorexia, right upper abdominal discomfort, dark urine or jaundice [see Warnings and Precautions (5.3)].

Increases in HbA1c and Fasting Serum Glucose Levels

Inform patients that increases in HbA1c and fasting serum glucose levels may occur with rosuvastatin calcium. Encourage patients to optimize lifestyle measures, including regular exercise, maintaining a healthy body weight, and making healthy food choices [see Warnings and Precautions (5.5)].

Pregnancy

Advise pregnant patients and patients who can become pregnant of the potential risk to a fetus. Advise patients to inform their healthcare provider of a known or suspected pregnancy to discuss if rosuvastatin calcium should be discontinued [see Use in Specific Populations (8.1)].

Lactation

Advise patients that breastfeeding during treatment with rosuvastatin calcium is not recommended [see Use in Specific Populations (8.2)].

Concomitant Use of Antacids

When taking rosuvastatin calcium with an aluminum and magnesium hydroxide combination antacid, the antacid should be taken at least 2 hours after rosuvastatin calcium administration [seeDrug Interactions (7.2)].

Missed Doses

If a dose is missed, advise patients not take an extra dose. Just resume the usual schedule [see General Dosage and Administration Information (2.1)].



Manufactured by:

MSN Laboratories Private Limited


Telangana – 509 228, INDIA

Distributed by:

Novadoz Pharmaceuticals LLC


Piscataway, NJ 08854-3714

Issued on:

September 2023



16 How Supplied/storage and Handling (16 HOW SUPPLIED/STORAGE AND HANDLING)

Product: 50090-6989

NDC: 50090-6989-0 90 TABLET, FILM COATED in a BOTTLE

2.2 Recommended Dosage in Adult Patients
  • The dosage range for rosuvastatin calcium is 5 to 40 mg orally once daily.
  • The recommended dose of rosuvastatin calcium depends on a patient’s indication for usage, LDL-C, and individual risk for cardiovascular events.
5.2 Immune Mediated Necrotizing Myopathy (5.2 Immune-Mediated Necrotizing Myopathy)


There have been rare reports of immune-mediated necrotizing myopathy (IMNM), an autoimmune myopathy, associated with statin use, including reports of recurrence when the same or a different statin was administered. IMNM is characterized by proximal muscle weakness and elevated serum creatine kinase that persist despite discontinuation of statin treatment; positive anti-HMG CoA reductase antibody; muscle biopsy showing necrotizing myopathy; and improvement with immunosuppressive agents. Additional neuromuscular and serologic testing may be necessary. Treatment with immunosuppressive agents may be required. Discontinue rosuvastatin calcium if IMNM is suspected.

2.3 Recommended Dosage in Pediatric Patients

Dosage in Pediatric Patients 8 Years of Age and Older with HeFH

The recommended dosage range is 5 mg to 10 mg orally once daily in patients aged 8 years to less than 10 years and 5 mg to 20 mg orally once daily in patients aged 10 years and older.

Dosage in Pediatric Patients 7 Years of Age and Older with HoFH

The recommended dosage is 20 mg orally once daily.



7.3 Rosuvastatin Calcium Effects On Other Drugs (7.3 Rosuvastatin calcium Effects on Other Drugs)

Table 7 presents rosuvastatin calcium effect on other drugs and instructions for preventing or managing them.

Table 7: Rosuvastatin calcium Effects on Other Drugs

 Warfarin

 
 Clinical Impact:

 
 Rosuvastatin significantly increased the INR in patients receiving warfarin [see Clinical Pharmacology (12.3)].

 
 Intervention:

 
 In patients taking warfarin, obtain an INR before starting rosuvastatin calcium and frequently enough after initiation, dose titration or discontinuation to ensure that no significant alteration in INR occurs. Once the INR is stable, monitor INR at regularly recommended intervals.

 


2.1 General Dosage and Administration Information
  • Administer rosuvastatin calcium orally as a single dose at any time of day, with or without food. The tablet should be swallowed whole. 
  • Assess LDL-C when clinically appropriate, as early as 4 weeks after initiating rosuvastatin calcium, and adjust the dosage if necessary.
  • If a dose is missed, advise patients not take an extra dose. Resume treatment with the next dose.
5.5 Increases in Hba1c and Fasting Serum Glucose Levels (5.5 Increases in HbA1c and Fasting Serum Glucose Levels)


Increases in HbA1c and fasting serum glucose levels have been reported with statins, including rosuvastatin calcium. Based on clinical trial data with rosuvastatin calcium, in some instances these increases may exceed the threshold for the diagnosis of diabetes mellitus [see Adverse Reactions (6.1)]. Optimize lifestyle measures, including regular exercise, maintaining a healthy body weight, and making healthy food choices.

2.5 Recommended Dosage in Patients With Renal Impairment (2.5 Recommended Dosage in Patients with Renal Impairment)


In patients with severe renal impairment (CLcr less than 30 mL/min/1.73 m2) not on hemodialysis, the recommended starting dosage is 5 mg once daily and should not exceed 10 mg once daily [see Warnings and Precautions (5.1) and Use in Specific Populations (8.6)].

There are no dosage adjustment recommendations for patients with mild and moderate renal impairment.

13.1 Carcinogenesis, Mutagenesis, Impairment of Fertility


In a 104-week carcinogenicity study in rats at dose levels of 2, 20, 60, or 80 mg/kg/day by oral gavage, the incidence of uterine stromal polyps was significantly increased in females at 80 mg/kg/day at systemic exposure 20 times the human exposure at 40 mg/day based on AUC. Increased incidence of polyps was not seen at lower doses.

In a 107-week carcinogenicity study in mice given 10, 60, or 200 mg/kg/day by oral gavage, an increased incidence of hepatocellular adenoma/carcinoma was observed at 200 mg/kg/day at systemic exposures 20 times the human exposure at 40 mg/day based on AUC. An increased incidence of hepatocellular tumors was not seen at lower doses.

Rosuvastatin was not mutagenic or clastogenic with or without metabolic activation in the Ames test with Salmonella typhimurium and Escherichia coli, the mouse lymphoma assay, and the chromosomal aberration assay in Chinese hamster lung cells. Rosuvastatin was negative in the in vivo mouse micronucleus test.

In rat fertility studies with oral gavage doses of 5, 15, 50 mg/kg/day, males were treated for 9 weeks prior to and throughout mating and females were treated 2 weeks prior to mating and throughout mating until gestation day 7. No adverse effect on fertility was observed at 50 mg/kg/day (systemic exposures up to 10 times the human exposure at 40 mg/day based on AUC). In testicles of dogs treated with rosuvastatin at 30 mg/kg/day for one month, spermatidic giant cells were seen. Spermatidic giant cells were observed in monkeys after 6-month treatment at 30 mg/kg/day in addition to vacuolation of seminiferous tubular epithelium. Exposures in the dog were 20 times and in the monkey 10 times the human exposure at 40 mg/day based on body surface area. Similar findings have been seen with other drugs in this class.

2.6 Dosage and Administration Modifications Due to Drug Interactions


Rosuvastatin Calcium Dosage Modifications Due to Drug Interactions

Table 1 displays dosage modifications for rosuvastatin calcium due to drug interactions [see Warnings and Precautions (5.1) and Drug Interactions (7.1)].

Table 1: Rosuvastatin calcium Dosage Modifications Due to Drug Interactions

                                                     

 Concomitantly Used Drug

 
 Rosuvastatin calcium Dosage Modifications

 
 Cyclosporine

 
 Do not exceed 5 mg once daily.

 
 Teriflunomide

 
 Do not exceed 10 mg once daily.

 
 Enasidenib  Do not exceed 10 mg once daily.
 Capmatinib

 
 Do not exceed 10 mg once daily.

 
 Fostamatinib

 
 Do not exceed 20 mg once daily.

 
 Febuxostat

 
 Do not exceed 20 mg once daily.

 
 Gemfibrozil

 
 Avoid concomitant use. If used concomitantly, initiate at 5 mg once daily and do not exceed 10 mg once daily.

 
 Tafamidis

 
 Avoid concomitant use. If used concomitantly, initiate at 5 mg once daily and do not exceed 20 mg once daily.

 
 Antiviral Medications

 
 
  • Sofbuvir/velpatasvir/voxilaprevir  

  • Ledipasvir/sofosbuvir
 
 Concomitant use not recommended.

 
 
  • Simeprevir  

  • Dasabuvir/ombitasvir/paritaprevir/ritonavir  

  • Elbasvir/Grazoprevir  

  • Sofosbuvir/Velpatasvir  

  • Glecaprevir/Pibrentasvir  

  • Atazanavir/Ritonavir  

  • Lopinavir/Ritonavir
 
 Initiate at 5 mg once daily. Do not exceed 10 mg once daily.

 
 Darolutamide

 
 Do not exceed 5 mg once daily.

 
 Regorafenib

 
 Do not exceed 10 mg once daily.

 


Rosuvastatin Calcium Administration Modifications Due to Drug Interactions

When taking rosuvastatin calcium with an aluminum and magnesium hydroxide combination antacid, administer rosuvastatin calcium at least 2 hours before the antacid [see Drug Interactions (7.2)].

7.2 Drug Interactions That Decrease the Efficacy of Rosuvastatin Calcium (7.2 Drug Interactions that Decrease the Efficacy of Rosuvastatin calcium)

Table 6 presents drug interactions that may decrease the efficacy of rosuvastatin calcium and instructions for preventing or managing them.

Table 6: Drug Interactions that Decrease the Efficacy of Rosuvastatin calcium

 Antacids

 
 Clinical Impact:

 
 Concomitant aluminum and magnesium hydroxide combination antacid administration decreased the mean exposure of rosuvastatin 50% [see Clinical Pharmacology (12.3)].

 
 Intervention:

 
 In patients taking antacid, administer rosuvastatin calcium at least 2 hours after the antacid .

 


7.1 Drug Interactions That Increase the Risk of Myopathy and Rhabdomyolysis With Rosuvastatin Calcium (7.1 Drug Interactions that Increase the Risk of Myopathy and Rhabdomyolysis with Rosuvastatin calcium)

Rosuvastatin is a substrate of CYP2C9 and transporters (such as OATP1B1, BCRP). Rosuvastatin plasma levels can be significantly increased with concomitant administration of inhibitors of CYP2C9 and transporters. Table 5 includes a list of drugs that increase the risk of myopathy and rhabdomyolysis when used concomitantly with rosuvastatin calcium and instructions for preventing or managing them [see Warnings and Precautions (5.1) and Clinical Pharmacology (12.3)].

 

 

Table 5: Drug Interactions that Increase the Risk of Myopathy and Rhabdomyolysis with Rosuvastatin calcium

 

                                                                                                                                                                  

 Cyclosporine

 
 Clinical Impact:

 
 Cyclosporine increased rosuvastatin exposure 7-fold. The risk of myopathy and rhabdomyolysis is increased with concomitant use of cyclosporine or gemfibrozil with rosuvastatin calcium.

 
 Intervention:

 
 If used concomitantly, do not exceed a dose of rosuvastatin calcium 5 mg once daily.

 
 Teriflunomide

 
 Clinical Impact:

 
 Teriflunomide increased rosuvastatin exposure more than 2.5-fold. The risk of myopathy and rhabdomyolysis is increased with concomitant use.

 
 Intervention:

 
 In patients taking teriflunomide, do not exceed a dose of rosuvastatin calcium 10 mg once daily.

 
 Enasidenib

 
 Clinical Impact:

 
 Enasidenib increased rosuvastatin exposure more than 2.4-fold. The risk of myopathy and rhabdomyolysis is increased with concomitant use.

 
 Intervention:

 
 In patients taking enasidenib, do not exceed a dose of rosuvastatin 10 mg once daily.

 
 Capmatinib

 
 Clinical Impact:

 
 Capmatinib increased rosuvastatin exposure more than 2.1-fold. The risk of myopathy and rhabdomyolysis is increased with concomitant use.

 
 Intervention:

 
 In patients taking capmatinib, do not exceed a dose of rosuvastatin calcium 10 mg once daily.

 
 Fostamatinib

 
 Clinical Impact:

 
 Fostamatinib increased rosuvastatin exposure more than 2.0-fold. The risk of myopathy and rhabdomyolysis is increased with concomitant use.

 
 Intervention:

 
 In patients taking fostamatinib, do not exceed a dose of rosuvastatin calcium 20 mg once daily.

 
 Febuxostat

 
 Clinical Impact:

 
 Febuxostat increased rosuvastatin exposure more than 1.9-fold. The risk of myopathy and rhabdomyolysis is increased with concomitant use.

 
 Intervention:

 
 In patients taking febuxostat, do not exceed a dose of rosuvastatin calcium 20 mg once daily.

 
 Gemfibrozil

 
 Clinical Impact:

 
 Gemfibrozil significantly increased rosuvastatin exposure and gemfibrozil may cause myopathy when given alone. The risk of myopathy and rhabdomyolysis is increased with concomitant use of gemfibrozil with rosuvastatin calcium.

 
 Intervention:

 
 Avoid concomitant use of gemfibrozil with rosuvastatin calcium. If used concomitantly, initiate rosuvastatin calcium at 5 mg once daily and do not exceed a dose of rosuvastatin calcium 10 mg once daily.

 
 Tafamidis

 
 Clinical Impact:

 
 Tafamidis significantly increased rosuvastatin exposure and tafamidis may cause myopathy when given alone. The risk of myopathy and rhabdomyolysis is increased with concomitant use of tafamidis with rosuvastatin calcium.

 
 Intervention:

 
 Avoid concomitant use of tafamidis with rosuvastatin calcium. If used concomitantly, initiate rosuvastatin calcium at 5 mg once daily and do not exceed a dose of rosuvastatin calcium 20 mg once daily. Monitor for signs of myopathy and rhabdomyolysis if used concomitantly with rosuvastatin calcium.

 
 Anti-Viral Medications

 
 Clinical Impact:

 
 Rosuvastatin plasma levels were significantly increased with concomitant administration of many anti-viral drugs, which increases the risk of myopathy and rhabdomyolysis.

 
 Intervention:

 
 
  • Sofosbuvir/velpatasvir/voxilaprevir 

  • Ledipasvir/sofosbuvir
 
 Avoid concomitant use with rosuvastatin calcium.

 
  

 
 
  • Simeprevir  

  • Dasabuvir/ombitasvir/paritaprevir/ritonavir  

  • Elbasvir/grazoprevir  

  • Sofosbuvir/velpatasvir  

  • Glecaprevir/pibrentasvir  

  • Atazanavir/ritonavir  

  • Lopinavir/ritonavir
 
 Initiate with rosuvastatin calcium 5 mg once daily, and do not exceed a dose of rosuvastatin calcium 10 mg once daily.

 
 Darolutamide

 
 Clinical Impact:

 
 Darolutamide increased rosuvastatin exposure more than 5-fold. The risk of myopathy and rhabdomyolysis is increased with concomitant use.

 
 Intervention:

 
 In patients taking darolutamide, do not exceed a dose of rosuvastatin calcium 5 mg once daily.

 
 Regorafenib

 
 Clinical Impact:

 
 Regorafenib increased rosuvastatin exposure and may increase the risk of myopathy.

 
 Intervention:

 
 In patients taking regorafenib, do not exceed a dose of rosuvastatin calcium 10 mg once daily.

 
 Fenofibrates (e.g., fenofibrate and fenofibric acid)

 
 Clinical Impact:

 
 Fibrates may cause myopathy when given alone. The risk of myopathy and rhabdomyolysis is increased with concomitant use of fibrates with rosuvastatin calcium.

 
 Intervention:

 
 Consider if the benefit of using fibrates concomitantly with rosuvastatin calcium outweighs the increased risk of myopathy and rhabdomyolysis. If concomitant use is decided, monitor patients for signs and symptoms of myopathy, particularly during initiation of therapy and during upward dose titration of either drug.

 
 Niacin

 
 Clinical Impact:

 
 Cases of myopathy and rhabdomyolysis have occurred with concomitant use of lipid-modifying doses (≥1 g/day) of niacin with rosuvastatin calcium.

 
 Intervention:

 
 Consider if the benefit of using lipid-modifying doses (≥1 g/day) of niacin concomitantly with rosuvastatin calcium outweighs the increased risk of myopathy and rhabdomyolysis. If concomitant use is decided, monitor patients for signs and symptoms of myopathy, particularly during initiation of therapy and during upward dose titration of either drug.

 
 Colchicine

 
 Clinical Impact:

 
 Cases of myopathy and rhabdomyolysis have been reported with concomitant use of colchicine with rosuvastatin calcium.

 
 Intervention:

 
 Consider if the benefit of using colchicine concomitantly with rosuvastatin calcium outweighs the increased risk of myopathy and rhabdomyolysis. If concomitant use is decided, monitor patients for signs and symptoms of myopathy, particularly during initiation of therapy and during upward dose titration of either drug.

 

Advanced Ingredient Data


Raw Label Data

All Sections (JSON)