These Highlights Do Not Include All The Information Needed To Use Ramipril Capsules Safely And Effectively. See Full Prescribing Information For Ramipril Capsules.

These Highlights Do Not Include All The Information Needed To Use Ramipril Capsules Safely And Effectively. See Full Prescribing Information For Ramipril Capsules.
SPL v10
SPL
SPL Set ID 7e9e84f7-ff47-463d-bf47-7a9745960aae
Route
ORAL
Published
Effective Date 2021-11-01
Document Type 34391-3 HUMAN PRESCRIPTION DRUG LABEL

Drug Facts

Composition & Product

Active Ingredients
Ramiprilat (1.25 mg)
Inactive Ingredients
Starch, Corn Gelatin, Unspecified Titanium Dioxide Ferrosoferric Oxide Fd&c Blue No. 2 Fd&c Red No. 40 Fd&c Yellow No. 6 Propylene Glycol Shellac D&c Yellow No. 10 D&c Red No. 28 Fd&c Blue No. 1

Identifiers & Packaging

Pill Appearance
Imprint: 54;602 Shape: capsule Color: yellow Color: orange Color: red Color: blue Size: 12 mm Score: 1
Marketing Status
ANDA Active Since 2008-06-18

Description

• When pregnancy is detected, discontinue ramipril as soon as possible ( 5.6 ). • Drugs that act directly on the renin-angiotensin system can cause injury and death to the developing fetus ( 5.6 ).

Indications and Usage

Ramipril is an angiotensin converting enzyme (ACE) inhibitor indicated for the treatment of hypertension, to lower blood pressure. Lowering blood pressure reduces the risk of fatal and nonfatal cardiovascular events, primarily strokes and myocardial infarctions. It may be used alone or in combination with thiazide diuretics ( 1.1 ). In patients 55 years or older at high risk of developing a major cardiovascular event, ramipril is indicated to reduce the risk of myocardial infarction, stroke, or death from cardiovascular causes ( 1.2 ). Ramipril is indicated in stable patients who have demonstrated clinical signs of congestive heart failure post-myocardial infarction ( 1.3 ).

Dosage and Administration

Hypertension: Initial dose is 2.5 mg to 20 mg once daily. Adjust dosage according to blood pressure response after 2 to 4 weeks of treatment. The usual maintenance dose following titration is 2.5 mg to 20 mg daily as a single dose or equally divided dose ( 2.1 ). Reduction in the risk of myocardial infarction, stroke, or death from cardiovascular causes: 2.5 mg once daily for 1 week, 5 mg once daily for 3 weeks, and increased as tolerated to a maintenance dose of 10 mg once daily ( 2.2 ). Heart Failure Post-Myocardial Infarction: Starting dose of 2.5 mg twice daily. If patient becomes hypotensive at this dose, decrease dosage to 1.25 mg twice daily. Increase dose as tolerated toward a target dose of 5 mg twice daily, with dosage increases about 3 weeks apart ( 2.3 ). Dosage Adjustment: See respective sections pertaining to dosage adjustment in special situations. ( 2.5 ).

Warnings and Precautions

Angioedema: increased risk in patients with a prior history ( 5.1 ) Hypotension and hyperkalemia ( 5.5 , 5.8 ) Renal impairment: monitor renal function during therapy ( 5.3 ) Avoid concomitant use of an ACE inhibitor and angiotensin blocker ( 5.7 ) Rare cholestatic jaundice and hepatic failure ( 5.2 ) Rare neutropenia and agranulocytosis ( 5.4 )

Contraindications

Ramipril is contraindicated in patients who are hypersensitive to this product or any other ACE inhibitor (e.g., a patient who has experienced angioedema during therapy with any other ACE inhibitor). Ramipril is contraindicated in combination with a neprilysin inhibitor (e.g., sacubitril). Do not administer ramipril within 36 hours of switching to or from sacubitril/valsartan, a neprilysin inhibitor [see Warnings and Precautions ( 5.1 )] . Do not co-administer ramipril with aliskiren: • in patients with diabetes.

Adverse Reactions

The most common adverse reactions in patients with hypertension included headache, dizziness, fatigue, and cough ( 6.1 ). To report SUSPECTED ADVERSE REACTIONS, contact Hikma Pharmaceuticals USA Inc. at 1-800-962-8364 or the FDA at 1-800-FDA-1088 or www.fda.gov/medwatch .

Drug Interactions

Diuretics: Possibility of excessive hypotension ( 7.1 ). Lithium: Use with caution ( 7.4 ). Gold: Nitritoid reactions have been reported ( 7.5 ). NSAIDS use may lead to increased risk of renal impairment and loss of antihypertensive effect ( 7.6 ). mTOR inhibitor or neprilysin inhibitor use may increase angioedema risk ( 7.7 )

Storage and Handling

Ramipril Capsules, USP 1.25 mg capsules are supplied as yellow, opaque capsules with “54 328” printed in black ink on the cap and body, containing a white to off-white powder. NDC 0054-0106-25: Bottle of 100 Capsules 2.5 mg capsules are supplied as orange, opaque capsules with “54 794” printed in black ink on the cap and body, containing a white to off-white powder. NDC 0054-0107-25: Bottle of 100 Capsules NDC 0054-0107-29: Bottle of 500 Capsules NDC 0054-0107-20: 10x10 Unit-Dose 5 mg capsules are supplied as red, opaque capsules with “54 145” printed in black ink on the cap and body, containing a white to off-white powder. NDC 0054-0108-25: Bottle of 100 Capsules NDC 0054-0108-29: Bottle of 500 Capsules NDC 0054-0108-20: 10x10 Unit-Dose 10 mg capsules are supplied as blue, opaque capsules with “54 602” printed in black ink on the cap and body, containing a white to off-white powder. NDC 0054-0109-25: Bottle of 100 Capsules NDC 0054-0109-29: Bottle of 500 Capsules Storage Store at 20° to 25°C (68° to 77°F). [See USP Controlled Room Temperature.] Dispense in a tight, light-resistant, child-resistant container as defined in the USP/NF.

How Supplied

Ramipril Capsules, USP 1.25 mg capsules are supplied as yellow, opaque capsules with “54 328” printed in black ink on the cap and body, containing a white to off-white powder. NDC 0054-0106-25: Bottle of 100 Capsules 2.5 mg capsules are supplied as orange, opaque capsules with “54 794” printed in black ink on the cap and body, containing a white to off-white powder. NDC 0054-0107-25: Bottle of 100 Capsules NDC 0054-0107-29: Bottle of 500 Capsules NDC 0054-0107-20: 10x10 Unit-Dose 5 mg capsules are supplied as red, opaque capsules with “54 145” printed in black ink on the cap and body, containing a white to off-white powder. NDC 0054-0108-25: Bottle of 100 Capsules NDC 0054-0108-29: Bottle of 500 Capsules NDC 0054-0108-20: 10x10 Unit-Dose 10 mg capsules are supplied as blue, opaque capsules with “54 602” printed in black ink on the cap and body, containing a white to off-white powder. NDC 0054-0109-25: Bottle of 100 Capsules NDC 0054-0109-29: Bottle of 500 Capsules Storage Store at 20° to 25°C (68° to 77°F). [See USP Controlled Room Temperature.] Dispense in a tight, light-resistant, child-resistant container as defined in the USP/NF.


Medication Information

Warnings and Precautions

Angioedema: increased risk in patients with a prior history ( 5.1 ) Hypotension and hyperkalemia ( 5.5 , 5.8 ) Renal impairment: monitor renal function during therapy ( 5.3 ) Avoid concomitant use of an ACE inhibitor and angiotensin blocker ( 5.7 ) Rare cholestatic jaundice and hepatic failure ( 5.2 ) Rare neutropenia and agranulocytosis ( 5.4 )

Indications and Usage

Ramipril is an angiotensin converting enzyme (ACE) inhibitor indicated for the treatment of hypertension, to lower blood pressure. Lowering blood pressure reduces the risk of fatal and nonfatal cardiovascular events, primarily strokes and myocardial infarctions. It may be used alone or in combination with thiazide diuretics ( 1.1 ). In patients 55 years or older at high risk of developing a major cardiovascular event, ramipril is indicated to reduce the risk of myocardial infarction, stroke, or death from cardiovascular causes ( 1.2 ). Ramipril is indicated in stable patients who have demonstrated clinical signs of congestive heart failure post-myocardial infarction ( 1.3 ).

Dosage and Administration

Hypertension: Initial dose is 2.5 mg to 20 mg once daily. Adjust dosage according to blood pressure response after 2 to 4 weeks of treatment. The usual maintenance dose following titration is 2.5 mg to 20 mg daily as a single dose or equally divided dose ( 2.1 ). Reduction in the risk of myocardial infarction, stroke, or death from cardiovascular causes: 2.5 mg once daily for 1 week, 5 mg once daily for 3 weeks, and increased as tolerated to a maintenance dose of 10 mg once daily ( 2.2 ). Heart Failure Post-Myocardial Infarction: Starting dose of 2.5 mg twice daily. If patient becomes hypotensive at this dose, decrease dosage to 1.25 mg twice daily. Increase dose as tolerated toward a target dose of 5 mg twice daily, with dosage increases about 3 weeks apart ( 2.3 ). Dosage Adjustment: See respective sections pertaining to dosage adjustment in special situations. ( 2.5 ).

Contraindications

Ramipril is contraindicated in patients who are hypersensitive to this product or any other ACE inhibitor (e.g., a patient who has experienced angioedema during therapy with any other ACE inhibitor). Ramipril is contraindicated in combination with a neprilysin inhibitor (e.g., sacubitril). Do not administer ramipril within 36 hours of switching to or from sacubitril/valsartan, a neprilysin inhibitor [see Warnings and Precautions ( 5.1 )] . Do not co-administer ramipril with aliskiren: • in patients with diabetes.

Adverse Reactions

The most common adverse reactions in patients with hypertension included headache, dizziness, fatigue, and cough ( 6.1 ). To report SUSPECTED ADVERSE REACTIONS, contact Hikma Pharmaceuticals USA Inc. at 1-800-962-8364 or the FDA at 1-800-FDA-1088 or www.fda.gov/medwatch .

Drug Interactions

Diuretics: Possibility of excessive hypotension ( 7.1 ). Lithium: Use with caution ( 7.4 ). Gold: Nitritoid reactions have been reported ( 7.5 ). NSAIDS use may lead to increased risk of renal impairment and loss of antihypertensive effect ( 7.6 ). mTOR inhibitor or neprilysin inhibitor use may increase angioedema risk ( 7.7 )

Storage and Handling

Ramipril Capsules, USP 1.25 mg capsules are supplied as yellow, opaque capsules with “54 328” printed in black ink on the cap and body, containing a white to off-white powder. NDC 0054-0106-25: Bottle of 100 Capsules 2.5 mg capsules are supplied as orange, opaque capsules with “54 794” printed in black ink on the cap and body, containing a white to off-white powder. NDC 0054-0107-25: Bottle of 100 Capsules NDC 0054-0107-29: Bottle of 500 Capsules NDC 0054-0107-20: 10x10 Unit-Dose 5 mg capsules are supplied as red, opaque capsules with “54 145” printed in black ink on the cap and body, containing a white to off-white powder. NDC 0054-0108-25: Bottle of 100 Capsules NDC 0054-0108-29: Bottle of 500 Capsules NDC 0054-0108-20: 10x10 Unit-Dose 10 mg capsules are supplied as blue, opaque capsules with “54 602” printed in black ink on the cap and body, containing a white to off-white powder. NDC 0054-0109-25: Bottle of 100 Capsules NDC 0054-0109-29: Bottle of 500 Capsules Storage Store at 20° to 25°C (68° to 77°F). [See USP Controlled Room Temperature.] Dispense in a tight, light-resistant, child-resistant container as defined in the USP/NF.

How Supplied

Ramipril Capsules, USP 1.25 mg capsules are supplied as yellow, opaque capsules with “54 328” printed in black ink on the cap and body, containing a white to off-white powder. NDC 0054-0106-25: Bottle of 100 Capsules 2.5 mg capsules are supplied as orange, opaque capsules with “54 794” printed in black ink on the cap and body, containing a white to off-white powder. NDC 0054-0107-25: Bottle of 100 Capsules NDC 0054-0107-29: Bottle of 500 Capsules NDC 0054-0107-20: 10x10 Unit-Dose 5 mg capsules are supplied as red, opaque capsules with “54 145” printed in black ink on the cap and body, containing a white to off-white powder. NDC 0054-0108-25: Bottle of 100 Capsules NDC 0054-0108-29: Bottle of 500 Capsules NDC 0054-0108-20: 10x10 Unit-Dose 10 mg capsules are supplied as blue, opaque capsules with “54 602” printed in black ink on the cap and body, containing a white to off-white powder. NDC 0054-0109-25: Bottle of 100 Capsules NDC 0054-0109-29: Bottle of 500 Capsules Storage Store at 20° to 25°C (68° to 77°F). [See USP Controlled Room Temperature.] Dispense in a tight, light-resistant, child-resistant container as defined in the USP/NF.

Description

• When pregnancy is detected, discontinue ramipril as soon as possible ( 5.6 ). • Drugs that act directly on the renin-angiotensin system can cause injury and death to the developing fetus ( 5.6 ).

7.5 Gold

Nitritoid reactions (symptoms include facial flushing, nausea, vomiting and hypotension) have been reported rarely in patients on therapy with injectable gold (sodium aurothiomalate) and concomitant ACE inhibitor therapy including ramipril.

5.9 Cough

Presumably caused by inhibition of the degradation of endogenous bradykinin, persistent nonproductive cough has been reported with all ACE inhibitors, always resolving after discontinuation of therapy. Consider the possibility of angiotensin converting enzyme inhibitor induced-cough in the differential diagnosis of cough.

7.4 Lithium

Increased serum lithium levels and symptoms of lithium toxicity have been reported in patients receiving ACE inhibitors during therapy with lithium; therefore, frequent monitoring of serum lithium levels is recommended. If a diuretic is also used, the risk of lithium toxicity may be increased.

10 Overdosage

Single oral doses of ramipril in rats and mice of 10 g/kg to 11 g/kg resulted in significant lethality. In dogs, oral doses as high as 1 g/kg induced only mild gastrointestinal distress. Limited data on human overdosage are available. The most likely clinical manifestations would be symptoms attributable to hypotension.

Laboratory determinations of serum levels of ramipril and its metabolites are not widely available, and such determinations have, in any event, no established role in the management of ramipril overdose.

No data are available to suggest physiological maneuvers (e.g., maneuvers to change the pH of the urine) that might accelerate elimination of ramipril and its metabolites. Similarly, it is not known which, if any, of these substances can be effectively removed from the body by hemodialysis.

Angiotensin II could presumably serve as a specific antagonist‑antidote in the setting of ramipril overdose, but angiotensin II is essentially unavailable outside of scattered research facilities. Because the hypotensive effect of ramipril is achieved through vasodilation and effective hypovolemia, it is reasonable to treat ramipril overdose by infusion of normal saline solution.

7.1 Diuretics

Patients on diuretics, especially those in whom diuretic therapy was recently instituted, may occasionally experience an excessive reduction of blood pressure after initiation of therapy with ramipril. The possibility of hypotensive effects with ramipril can be minimized by either decreasing or discontinuing the diuretic or increasing the salt intake prior to initiation of treatment with ramipril. If this is not possible, reduce the starting dose [see Dosage and Administration (2)].

8.1 Pregnancy

Pregnancy Categories D:

Use of drugs that act on the renin-angiotensin system during the second and third trimesters of pregnancy reduces fetal renal function and increases fetal and neonatal morbidity and death. Resulting oligohydramnios can be associated with fetal lung hypoplasia and skeletal deformations. Potential neonatal adverse effects include skull hypoplasia, anuria, hypotension, renal failure, and death. When pregnancy is detected, discontinue ramipril as soon as possible. These adverse outcomes are usually associated with use of these drugs in the second and third trimester of pregnancy. Most epidemiologic studies examining fetal abnormalities after exposure to antihypertensive use in the first trimester have not distinguished drugs affecting the renin-angiotensin system from other antihypertensive agents. Appropriate management of maternal hypertension during pregnancy is important to optimize outcomes for both mother and fetus.

In the unusual case that there is no appropriate alternative to therapy with drugs affecting the renin-angiotensin system for a particular patient, apprise the mother of the potential risk to the fetus. Perform serial ultrasound examinations to assess the intra-amniotic environment. If oligohydramnios is observed, discontinue ramipril unless it is considered life-saving for the mother. Fetal testing may be appropriate, based on the week of pregnancy. Patients and physicians should be aware, however, that oligohydramnios may not appear until after the fetus has sustained irreversible injury. Closely observe infants with histories of in utero exposure to ramipril for hypotension, oliguria, and hyperkalemia [see Use in Specific Populations (8.4)].

11 Description

Ramipril, USP is a 2‑aza‑bicyclo [3.3.0]‑octane‑3‑carboxylic acid derivative. It is a white to almost white, crystalline powder freely soluble in methanol. Ramipril melts between 105°C to 112°C.

The CAS Registry Number is 87333-19-5. Ramipril's chemical name is (2S,3aS,6aS)‑1-[(S)‑N‑[(S)‑1-Carboxy‑3‑phenylpropyl]alanyl]octahydrocyclopenta[b]pyrrole‑2‑carboxylic acid, 1‑ethyl ester.

Ramipril Capsules, USP are available for oral administration containing either 1.25 mg, 2.5 mg, 5 mg or 10 mg ramipril, USP and the following inactive ingredient: pregelatinized starch. Each capsule shell contains black monogramming ink, gelatin and titanium dioxide. The black monogramming ink contains: black iron oxide, FD&C blue #2, FD&C red #40, FD&C yellow #6, propylene glycol and shellac glaze. The 1.25 mg capsule shell contains D&C yellow #10 and FD&C yellow #6. The 2.5 mg capsule shell contains FD&C yellow #6. The 5 mg capsule shell contains D&C red #28, FD&C blue #1 and FD&C yellow #6. The 10 mg capsule shell contains D&C red #28 and FD&C blue #1.

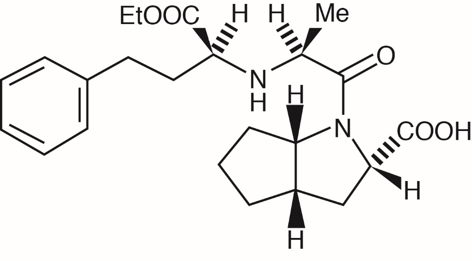
The structural formula for ramipril is:

Its molecular formula is C23H32N2O5, and its molecular weight is 416.51.

Ramiprilat, the diacid metabolite of ramipril, is a non‑sulfhydryl ACE inhibitor. Ramipril is converted to ramiprilat by hepatic cleavage of the ester group.

5.5 Hypotension

General Considerations:

Ramipril can cause symptomatic hypotension, after either the initial dose or a later dose when the dosage has been increased. Like other ACE inhibitors, ramipril, has been only rarely associated with hypotension in uncomplicated hypertensive patients. Symptomatic hypotension is most likely to occur in patients who have been volume‑ and/or salt‑depleted as a result of prolonged diuretic therapy, dietary salt restriction, dialysis, diarrhea, or vomiting. Correct volume- and salt-depletion before initiating therapy with ramipril.

If excessive hypotension occurs, place the patient in a supine position and, if necessary, treat with intravenous infusion of physiological saline. Ramipril treatment usually can be continued following restoration of blood pressure and volume.

Heart Failure Post-Myocardial Infarction:

In patients with heart failure post-myocardial infarction who are currently being treated with a diuretic, symptomatic hypotension occasionally can occur following the initial dose of ramipril. If the initial dose of 2.5 mg ramipril cannot be tolerated, use an initial dose of 1.25 mg ramipril to avoid excessive hypotension. Consider reducing the dose of concomitant diuretic to decrease the incidence of hypotension.

Congestive Heart Failure:

In patients with congestive heart failure, with or without associated renal insufficiency, ACE inhibitor therapy may cause excessive hypotension, which may be associated with oliguria or azotemia and rarely, with acute renal failure and death. In such patients, initiate ramipril therapy under close medical supervision and follow patients closely for the first 2 weeks of treatment and whenever the dose of ramipril or diuretic is increased.

Surgery and Anesthesia:

In patients undergoing surgery or during anesthesia with agents that produce hypotension, ramipril may block angiotensin II formation that would otherwise occur secondary to compensatory renin release. Hypotension that occurs as a result of this mechanism can be corrected by volume expansion.

1.1 Hypertension

Ramipril is indicated for the treatment of hypertension, to lower blood pressure. Lowering blood pressure reduces the risk of fatal and nonfatal cardiovascular events, primarily strokes and myocardial infarctions. These benefits have been seen in controlled trials of antihypertensive drugs from a wide variety of pharmacologic classes including this drug.

Control of high blood pressure should be part of comprehensive cardiovascular risk management, including, as appropriate, lipid control, diabetes management, antithrombotic therapy, smoking cessation, exercise, and limited sodium intake. Many patients will require more than one drug to achieve blood pressure goals. For specific advice on goals and management, see published guidelines, such as those of the National High Blood Pressure Education Program’s Joint National Committee on Prevention, Detection, Evaluation, and Treatment of High Blood Pressure (JNC).

Numerous antihypertensive drugs, from a variety of pharmacologic classes and with different mechanisms of action, have been shown in randomized controlled trials to reduce cardiovascular morbidity and mortality, and it can be concluded that it is blood pressure reduction, and not some other pharmacologic property of the drugs, that is largely responsible for those benefits. The largest and most consistent cardiovascular outcome benefit has been a reduction in the risk of stroke, but reductions in myocardial infarction and cardiovascular mortality also have been seen regularly.

Elevated systolic or diastolic pressure causes increased cardiovascular risk, and the absolute risk increase per mmHg is greater at higher blood pressures, so that even modest reductions of severe hypertension can provide substantial benefit. Relative risk reduction from blood pressure reduction is similar across populations with varying absolute risk, so the absolute benefit is greater in patients who are at higher risk independent of their hypertension (for example, patients with diabetes or hyperlipidemia), and such patients would be expected to benefit from more aggressive treatment to a lower blood pressure goal.

Some antihypertensive drugs have smaller blood pressure effects (as monotherapy) in black patients, and many antihypertensive drugs have additional approved indications and effects (e.g., on angina, heart failure, or diabetic kidney disease). These considerations may guide selection of therapy.

Ramipril may be used alone or in combination with thiazide diuretics.

2.1 Hypertension

The recommended initial dose for patients not receiving a diuretic is 2.5 mg once a day. Adjust dose according to blood pressure response. The usual maintenance dosage range is 2.5 mg to 20 mg per day administered as a single dose or in two equally divided doses. In some patients treated once daily, the antihypertensive effect may diminish toward the end of the dosing interval. In such patients, consider an increase in dosage or twice daily administration. If blood pressure is not controlled with ramipril alone, a diuretic can be added.

5.8 Hyperkalemia

In clinical trials with ramipril, hyperkalemia (serum potassium >5.7 mEq/L) occurred in approximately 1% of hypertensive patients receiving ramipril. In most cases, these were isolated values, which resolved despite continued therapy. None of these patients were discontinued from the trials because of hyperkalemia. Risk factors for the development of hyperkalemia include renal insufficiency, diabetes mellitus, and the concomitant use of other drugs that raise serum potassium levels. Monitor serum potassium in such patients [see Drug Interactions (7.2)].

14.1 Hypertension

Ramipril has been compared with other ACE inhibitors, beta-blockers, and thiazide diuretics as monotherapy for hypertension. It was approximately as effective as other ACE inhibitors and as atenolol.

Administration of ramipril to patients with mild to moderate hypertension results in a reduction of both supine and standing blood pressure to about the same extent with no compensatory tachycardia. Symptomatic postural hypotension is infrequent, although it can occur in patients who are salt- and/or volume-depleted [see Warnings and Precautions (5.5)]. Use of ramipril in combination with thiazide diuretics gives a blood pressure lowering effect greater than that seen with either agent alone.

In single-dose studies, doses of 5 mg to 20 mg of ramipril lowered blood pressure within 1 to 2 hours, with peak reductions achieved 3 to 6 hours after dosing. The antihypertensive effect of a single dose persisted for 24 hours. In longer term (4 to 12 weeks) controlled studies, once-daily doses of 2.5 mg to 10 mg were similar in their effect, lowering supine or standing systolic and diastolic blood pressures 24 hours after dosing by about 6/4 mmHg more than placebo. In comparisons of peak vs. trough effect, the trough effect represented about 50 to 60% of the peak response. In a titration study comparing divided (bid) vs. qd treatment, the divided regimen was superior, indicating that for some patients, the antihypertensive effect with once-daily dosing is not adequately maintained.

In most trials, the antihypertensive effect of ramipril increased during the first several weeks of repeated measurements. The antihypertensive effect of ramipril has been shown to continue during long-term therapy for at least 2 years. Abrupt withdrawal of ramipril has not resulted in a rapid increase in blood pressure. Ramipril has been compared with other ACE inhibitors, beta-blockers, and thiazide diuretics. Ramipril was approximately as effective as other ACE inhibitors and as atenolol. In both Caucasians and Blacks, hydrochlorothiazide (25 or 50 mg) was significantly more effective than ramipril.

Ramipril was less effective in blacks than in Caucasians. The effectiveness of ramipril was not influenced by age, sex, or weight.

In a baseline controlled study of 10 patients with mild essential hypertension, blood pressure reduction was accompanied by a 15% increase in renal blood flow. In healthy volunteers, glomerular filtration rate was unchanged.

8.4 Pediatric Use

Neonates With a History of In Utero Exposure to Ramipril:

If oliguria or hypotension occurs, direct attention toward support of blood pressure and renal perfusion. Exchange transfusions or dialysis may be required as a means of reversing hypotension and/or substituting for disordered renal function. Ramipril, which crosses the placenta, can be removed from the neonatal circulation by these means, but limited experience has not shown that such removal is central to the treatment of these infants.

Safety and effectiveness in pediatric patients have not been established. Irreversible kidney damage has been observed in very young rats given a single dose of ramipril.

8.5 Geriatric Use

Of the total number of patients who received ramipril in U.S. clinical studies of ramipril 11.0% were ≥65 years of age while 0.2% were ≥75 years of age. No overall differences in effectiveness or safety were observed between these patients and younger patients, and other reported clinical experience has not identified differences in responses between the elderly and younger patients, but greater sensitivity of some older individuals cannot be ruled out.

One pharmacokinetic study conducted in hospitalized elderly patients indicated that peak ramiprilat levels and area under the plasma concentration-time curve (AUC) for ramiprilat are higher in older patients.

5.6 Fetal Toxicity

Pregnancy Category D:

Use of drugs that act on the renin-angiotensin system during the second and third trimesters of pregnancy reduces fetal renal function and increases fetal and neonatal morbidity and death. Resulting oligohydramnios can be associated with fetal lung hypoplasia and skeletal deformations. Potential neonatal adverse effects include skull hypoplasia, anuria, hypotension, renal failure, and death. When pregnancy is detected, discontinue ramipril as soon as possible [see Use in Specific Populations (8.1)].

4 Contraindications

Ramipril is contraindicated in patients who are hypersensitive to this product or any other ACE inhibitor (e.g., a patient who has experienced angioedema during therapy with any other ACE inhibitor).

Ramipril is contraindicated in combination with a neprilysin inhibitor (e.g., sacubitril). Do not administer ramipril within 36 hours of switching to or from sacubitril/valsartan, a neprilysin inhibitor [see Warnings and Precautions (5.1)].

Do not co-administer ramipril with aliskiren:

  • in patients with diabetes.
6 Adverse Reactions

The most common adverse reactions in patients with hypertension included headache, dizziness, fatigue, and cough (6.1).

To report SUSPECTED ADVERSE REACTIONS, contact Hikma Pharmaceuticals USA Inc. at 1-800-962-8364 or the FDA at 1-800-FDA-1088 or www.fda.gov/medwatch.

7 Drug Interactions

Diuretics: Possibility of excessive hypotension (7.1).

Lithium: Use with caution (7.4).

Gold: Nitritoid reactions have been reported (7.5).

NSAIDS use may lead to increased risk of renal impairment and loss of antihypertensive effect (7.6).

mTOR inhibitor or neprilysin inhibitor use may increase angioedema risk (7.7)

8.3 Nursing Mothers

Ingestion of a single 10 mg oral dose of ramipril resulted in undetectable amounts of ramipril and its metabolites in breast milk. However, because multiple doses may produce low milk concentrations that are not predictable from a single dose, do not use ramipril in nursing mothers.

5.3 Renal Impairment

As a consequence of inhibiting the renin-angiotensin-aldosterone system, changes in renal function may be anticipated in susceptible individuals. In patients with severe congestive heart failure whose renal function may depend on the activity of the renin-angiotensin-aldosterone system, treatment with ACE inhibitors, including ramipril, may be associated with oliguria or progressive azotemia and rarely with acute renal failure or death.

In hypertensive patients with unilateral or bilateral renal artery stenosis, increases in blood urea nitrogen and serum creatinine may occur. Experience with another ACE inhibitor suggests that these increases would be reversible upon discontinuation of ramipril and/or diuretic therapy. In such patients, monitor renal function during the first few weeks of therapy. Some hypertensive patients with no apparent pre-existing renal vascular disease have developed increases in blood urea nitrogen and serum creatinine, usually minor and transient, especially when ramipril has been given concomitantly with a diuretic. This is more likely to occur in patients with pre-existing renal impairment. Dosage reduction of ramipril and/or discontinuation of the diuretic may be required.

8.6 Renal Impairment

A single-dose pharmacokinetic study was conducted in hypertensive patients with varying degrees of renal impairment who received a single 10 mg dose of ramipril. Patients were stratified into four groups based on initial estimates of creatinine clearance: normal (>80 mL/min), mild impairment (40 to 80 mL/min), moderate impairment (15 to 40 mL/min), and severe impairment (<15 mL/min). On average, the AUC0-24h for ramiprilat was approximately 1.7-fold higher, 3.0-fold higher, and 3.2-fold higher in the groups with mild, moderate, and severe renal impairment, respectively, compared to the group with normal renal function. Overall, the results suggest that the starting dose of ramipril should be adjusted downward in patients with moderate-to-severe renal impairment.

12.2 Pharmacodynamics

Single doses of ramipril of 2.5 mg to 20 mg produce approximately 60% to 80% inhibition of ACE activity 4 hours after dosing with approximately 40% to 60% inhibition after 24 hours. Multiple oral doses of ramipril of 2.0 mg or more cause plasma ACE activity to fall by more than 90% 4 hours after dosing, with over 80% inhibition of ACE activity remaining 24 hours after dosing. The more prolonged effect of even small multiple doses presumably reflects saturation of ACE binding sites by ramiprilat and relatively slow release from those sites.

12.3 Pharmacokinetics

Absorption:

Following oral administration of ramipril, peak plasma concentrations (Cmax) of ramipril are reached within 1 hour. The extent of absorption is at least 50% to 60% and is not significantly influenced by the presence of food in the gastrointestinal tract, although the rate of absorption is reduced.

In a trial in which subjects received ramipril capsules or the contents of identical capsules dissolved in water, dissolved in apple juice, or suspended in applesauce, serum ramiprilat levels were essentially unrelated to the use or non-use of the concomitant liquid or food.

Distribution:

Cleavage of the ester group (primarily in the liver) converts ramipril to its active diacid metabolite, ramiprilat. Peak plasma concentrations of ramiprilat are reached 2 to 4 hours after drug intake. The serum protein binding of ramipril is about 73% and that of ramiprilat about 56%; in vitro, these percentages are independent of concentration over the range of 0.01 mcg/mL to 10 mcg/mL.

Metabolism:

Ramipril is almost completely metabolized to ramiprilat, which has about 6 times the ACE inhibitory activity of ramipril, and to the diketopiperazine ester, the diketopiperazine acid, and the glucuronides of ramipril and ramiprilat, all of which are inactive.

Plasma concentrations of ramipril and ramiprilat increase with increased dose, but are not strictly dose-proportional. The 24-hour AUC for ramiprilat, however, is dose-proportional over the 2.5 mg to 20 mg dose range. The absolute bioavailabilities of ramipril and ramiprilat were 28% and 44%, respectively, when 5 mg of oral ramipril was compared with the same dose of ramipril given intravenously.

After once-daily dosing, steady-state plasma concentrations of ramiprilat are reached by the fourth dose. Steady-state concentrations of ramiprilat are somewhat higher than those seen after the first dose of ramipril, especially at low doses (2.5 mg), but the difference is clinically insignificant.

Plasma concentrations of ramiprilat decline in a triphasic manner (initial rapid decline, apparent elimination phase, terminal elimination phase). The initial rapid decline, which represents distribution of the drug into a large peripheral compartment and subsequent binding to both plasma and tissue ACE, has a half‑life of 2 to 4 hours. Because of its potent binding to ACE and slow dissociation from the enzyme, ramiprilat shows two elimination phases. The apparent elimination phase corresponds to the clearance of free ramiprilat and has a half‑life of 9 to 18 hours. The terminal elimination phase has a prolonged half‑life (>50 hours) and probably represents the binding/dissociation kinetics of the ramiprilat/ACE complex. It does not contribute to the accumulation of the drug. After multiple daily doses of ramipril 5 mg to 10 mg, the half‑life of ramiprilat concentrations within the therapeutic range was 13 to 17 hours.

In patients with creatinine clearance less than < 40 mL/min/1.73 m2, peak levels of ramiprilat are approximately doubled, and trough levels may be as much as quintupled. In multiple‑dose regimens, the total exposure to ramiprilat (AUC) in these patients is 3 to 4 times as large as it is in patients with normal renal function who receive similar doses.

In patients with impaired liver function, the metabolism of ramipril to ramiprilat appears to be slowed, possibly because of diminished activity of hepatic esterases, and plasma ramipril levels in these patients are increased about 3‑fold. Peak concentrations of ramiprilat in these patients, however, are not different from those seen in subjects with normal hepatic function, and the effect of a given dose on plasma ACE activity does not vary with hepatic function.

Excretion:

After oral administration of ramipril, about 60% of the parent drug and its metabolites are eliminated in the urine, and about 40% is found in the feces. Drug recovered in the feces may represent both biliary excretion of metabolites and/or unabsorbed drug, however the proportion of a dose eliminated by the bile has not been determined. Less than 2% of the administered dose is recovered in urine as unchanged ramipril.

The urinary excretion of ramipril, ramiprilat, and their metabolites is reduced in patients with impaired renal function. Compared to normal subjects, patients with creatinine clearance <40 mL/min/1.73 m2 had higher peak and trough ramiprilat levels and slightly longer times to peak concentrations.

2.5 Dosage Adjustment

Renal Impairment:

Establish baseline renal function in patients initiating ramipril. Usual regimens of therapy with ramipril may be followed in patients with estimated creatinine clearance >40 mL/min. However, in patients with worse impairment, 25% of the usual dose of ramipril is expected to produce full therapeutic levels of ramiprilat [see Use in Specific Populations (8.6)].

Hypertension:

For patients with hypertension and renal impairment, the recommended initial dose is 1.25 mg ramipril once daily. Dosage may be titrated upward until blood pressure is controlled or to a maximum total daily dose of 5 mg.

Heart Failure Post-Myocardial Infarction:

For patients with heart failure and renal impairment, the recommended initial dose is 1.25 mg ramipril once daily. The dose may be increased to 1.25 mg twice daily, and up to a maximum dose of 2.5 mg twice daily depending on clinical response and tolerability.

Volume Depletion or Renal Artery Stenosis:

Blood pressure decreases associated with any dose of ramipril depend, in part, on the presence or absence of volume depletion (e.g., past and current diuretic use) or the presence or absence of renal artery stenosis. If such circumstances are suspected to be present, initiate dosing at 1.25 mg once daily. Adjust dosage according to blood pressure response.

1 Indications and Usage

Ramipril is an angiotensin converting enzyme (ACE) inhibitor indicated for the treatment of hypertension, to lower blood pressure. Lowering blood pressure reduces the risk of fatal and nonfatal cardiovascular events, primarily strokes and myocardial infarctions. It may be used alone or in combination with thiazide diuretics (1.1).

In patients 55 years or older at high risk of developing a major cardiovascular event, ramipril is indicated to reduce the risk of myocardial infarction, stroke, or death from cardiovascular causes (1.2).

Ramipril is indicated in stable patients who have demonstrated clinical signs of congestive heart failure post-myocardial infarction (1.3).

Principal Display Panel

Ramipril Capsules, USP, 1.25 mg

NDC 0054-0106-25

Rx only

Warning: Fetal Toxicity
  • When pregnancy is detected, discontinue ramipril as soon as possible (5.6).
  • Drugs that act directly on the renin-angiotensin system can cause injury and death to the developing fetus (5.6).
12.1 Mechanism of Action

Ramipril and ramiprilat inhibit ACE in human subjects and animals. Angiotensin converting enzyme is a peptidyl dipeptidase that catalyzes the conversion of angiotensin I to the vasoconstrictor substance, angiotensin II. Angiotensin II also stimulates aldosterone secretion by the adrenal cortex. Inhibition of ACE results in decreased plasma angiotensin II, which leads to decreased vasopressor activity and to decreased aldosterone secretion. The latter decrease may result in a small increase of serum potassium. In hypertensive patients with normal renal function treated with ramipril alone for up to 56 weeks, approximately 4% of patients during the trial had an abnormally high serum potassium and an increase from baseline greater than 0.75 mEq/L, and none of the patients had an abnormally low potassium and a decrease from baseline greater than 0.75 mEq/L. In the same study, approximately 2% of patients treated with ramipril and hydrochlorothiazide for up to 56 weeks had abnormally high potassium values and an increase from baseline of 0.75 mEq/L or greater; and approximately 2% had abnormally low values and decreases from baseline of 0.75 mEq/L or greater [see Warnings and Precautions (5.8)]. Removal of angiotensin II negative feedback on renin secretion leads to increased plasma renin activity.

The effect of ramipril on hypertension appears to result at least in part from inhibition of both tissue and circulating ACE activity, thereby reducing angiotensin II formation in tissue and plasma.

Angiotensin converting enzyme is identical to kininase, an enzyme that degrades bradykinin. Whether increased levels of bradykinin, a potent vasopressor peptide, play a role in the therapeutic effects of ramipril remains to be elucidated.

While the mechanism through which ramipril lowers blood pressure is believed to be primarily suppression of the renin‑angiotensin‑aldosterone system, ramipril has an antihypertensive effect even in patients with low‑renin hypertension. Although ramipril was antihypertensive in all races studied, Black hypertensive patients (usually a low‑renin hypertensive population) had a blood pressure lowering response to monotherapy, albeit a smaller average response, than non‑Black patients.

5 Warnings and Precautions

Angioedema: increased risk in patients with a prior history (5.1)

Hypotension and hyperkalemia (5.5, 5.8)

Renal impairment: monitor renal function during therapy (5.3)

Avoid concomitant use of an ACE inhibitor and angiotensin blocker (5.7)

Rare cholestatic jaundice and hepatic failure (5.2)

Rare neutropenia and agranulocytosis (5.4)

2 Dosage and Administration

Hypertension: Initial dose is 2.5 mg to 20 mg once daily. Adjust dosage according to blood pressure response after 2 to 4 weeks of treatment. The usual maintenance dose following titration is 2.5 mg to 20 mg daily as a single dose or equally divided dose (2.1).

Reduction in the risk of myocardial infarction, stroke, or death from cardiovascular causes: 2.5 mg once daily for 1 week, 5 mg once daily for 3 weeks, and increased as tolerated to a maintenance dose of 10 mg once daily (2.2).

Heart Failure Post-Myocardial Infarction: Starting dose of 2.5 mg twice daily. If patient becomes hypotensive at this dose, decrease dosage to 1.25 mg twice daily. Increase dose as tolerated toward a target dose of 5 mg twice daily, with dosage increases about 3 weeks apart (2.3).

Dosage Adjustment: See respective sections pertaining to dosage adjustment in special situations. (2.5).

3 Dosage Forms and Strengths

Ramipril Capsules, USP are supplied as hard gelatin capsules containing 1.25 mg, 2.5 mg, 5 mg and 10 mg of ramipril, USP.

6.2 Post Marketing Experience

In addition to adverse reactions reported from clinical trials, there have been rare reports of hypoglycemia reported during ramipril therapy when given to patients concomitantly taking oral hypoglycemic agents or insulin. The causal relationship is unknown.

8 Use in Specific Populations

Pregnancy: Discontinue drug if pregnancy is detected (5.6, 8.1).

Nursing Mothers: Ramipril use is not recommended in nursing mothers (8.3).

2.4 General Dosing Information

Generally, swallow ramipril capsules whole. The ramipril capsule can also be opened and the contents sprinkled on a small amount (about 4 oz.) of applesauce or mixed in 4 oz. (120 mL) of water or apple juice. To be sure that ramipril is not lost when such a mixture is used, consume the mixture in its entirety. The described mixtures can be pre-prepared and stored for up to 24 hours at room temperature or up to 48 hours under refrigeration.

Concomitant administration of ramipril with potassium supplements, potassium salt substitutes, or potassium‑sparing diuretics can lead to increases of serum potassium [see Warnings and Precautions (5.8)].

6.1 Clinical Trials Experience

Because clinical trials are conducted under widely varying conditions, the adverse reaction rates observed in the clinical trials of a drug cannot be directly compared to rates in the clinical trials of another drug and may not reflect the rates observed in practice.

Hypertension:

Ramipril has been evaluated for safety in over 4000 patients with hypertension; of these, 1230 patients were studied in U.S. controlled trials, and 1107 were studied in foreign controlled trials. Almost 700 of these patients were treated for at least one year. The overall incidence of reported adverse events was similar in ramipril and placebo patients. The most frequent clinical side effects (possibly or probably related to study drug) reported by patients receiving ramipril in placebo‑controlled trials were: headache (5.4%), dizziness (2.2%) and fatigue or asthenia (2.0%), but only the last one was more common in ramipril patients than in patients given placebo. Generally the side effects were mild and transient, and there was no relation to total dosage within the range of 1.25 mg to 20 mg. Discontinuation of therapy because of a side effect was required in approximately 3% of US patients treated with ramipril. The most common reasons for discontinuation were: cough (1.0%), dizziness (0.5%), and impotence (0.4%).

Of observed side effects considered possibly or probably related to study drug that occurred in U.S. placebo‑controlled trials in more than 1% of patients treated with ramipril, only asthenia (fatigue) was more common on ramipril than placebo (2% [n=13/651] vs. 1% [n=2/286], respectively).

In placebo‑controlled trials, there was also an excess of upper respiratory infection and flu syndrome in the ramipril group, not attributed at that time to ramipril. As these studies were carried out before the relationship of cough to ACE inhibitors was recognized, some of these events may represent ramipril‑induced cough. In a later 1‑year study, increased cough was seen in almost 12% of ramipril patients, with about 4% of patients requiring discontinuation of treatment.

Reduction in the Risk of Myocardial Infarction, Stroke, and Death from Cardiovascular Causes:

HOPE Study:

Safety data in the Heart Outcomes Prevention Evaluation (HOPE) study were collected as reasons for discontinuation or temporary interruption of treatment. The incidence of cough was similar to that seen in the Acute Infarction Ramipril Efficacy (AIRE) trial. The rate of angioedema was the same as in previous clinical trials [see Warnings and Precautions (5.1)].

Table 1. Reasons for Discontinuation or Temporary Interruption of Treatment―HOPE Study

Placebo

(N=4652)

Ramipril

(N=4645)

Discontinuation at Any Time

32%

34%

Permanent Discontinuation

28%

29%

Reasons for Stopping

Cough

2%

7%

Hypotension or Dizziness

1.5%

1.9%

Angioedema

0.1%

0.3%

Heart Failure Post-Myocardial Infarction:

AIRE Study:

Adverse reactions (except laboratory abnormalities) considered possibly/probably related to study drug that occurred in more than 1% of patients and more frequently on ramipril are shown below. The incidences are from the AIRE study. The follow-up time was between 6 and 46 months for this study.

Table 2. Percentage of Patients with Adverse Events Possibly/Probably Related to Study Drug―Placebo-Controlled (AIRE) Mortality Study

 

Adverse Event

 Placebo

(N=982)

Ramipril

(N=1004)

Hypotension

5%

11%

Cough Increased

4%

8%

Dizziness

3%

4%

Angina Pectoris

2%

3%

Nausea

1%

2%

Postural Hypotension

1%

2%

Syncope

1%

2%

Vomiting

0.5%

2%

Vertigo

0.7%

2%

Abnormal Kidney Function

0.5%

1%

Diarrhea

0.4%

1%

Other Adverse Reactions:

Other adverse reactions reported in controlled clinical trials (in less than 1% of ramipril patients), or rarer events seen in post-marketing experience, include the following (in some, a causal relationship to drug is uncertain):

Body as a Whole: Anaphylactoid reactions [see Warnings and Precautions (5.1)].

Cardiovascular: Symptomatic hypotension (reported in 0.5% of patients in U.S. trials) [see Warnings and Precautions (5.5)], syncope and palpitations.

Hematologic: Pancytopenia, hemolytic anemia, and thrombocytopenia.

Decreases in hemoglobin or hematocrit (a low value and a decrease of 5 g/dL or 5%, respectively) were rare, occurring in 0.4% of patients receiving ramipril alone and in 1.5% of patients receiving ramipril plus a diuretic.

Renal: Acute renal failure. Some hypertensive patients with no apparent pre‑existing renal disease have developed minor, usually transient, increases in blood urea nitrogen and serum creatinine when taking ramipril, particularly when ramipril was given concomitantly with a diuretic [see Warnings and Precautions (5.3)].

Angioneurotic Edema: Angioneurotic edema has been reported in 0.3% of patients in U.S. clinical trials of ramipril [see Warnings and Precautions (5.1)].

Gastrointestinal: Hepatic failure, hepatitis, jaundice, pancreatitis, abdominal pain (sometimes with enzyme changes suggesting pancreatitis), anorexia, constipation, diarrhea, dry mouth, dyspepsia, dysphagia, gastroenteritis, increased salivation and taste disturbance.

Dermatologic: Apparent hypersensitivity reactions (manifested by urticaria, pruritus, or rash, with or without fever), photosensitivity, purpura, onycholysis, pemphigus, pemphigoid, erythema multiforme, toxic epidermal necrolysis, and Stevens‑Johnson syndrome.

Neurologic and Psychiatric: Anxiety, amnesia, convulsions, depression, hearing loss, insomnia, nervousness, neuralgia, neuropathy, paresthesia, somnolence, tinnitus, tremor, vertigo, and vision disturbances.

Miscellaneous: As with other ACE inhibitors, a symptom complex has been reported which may include a positive ANA, an elevated erythrocyte sedimentation rate, arthralgia/arthritis, myalgia, fever, vasculitis, eosinophilia, photosensitivity, rash and other dermatologic manifestations. Additionally, as with other ACE inhibitors, eosinophilic pneumonitis has been reported.

Other: Arthralgia, arthritis, dyspnea, edema, epistaxis, impotence, increased sweating, malaise, myalgia, and weight gain.

7.3 Other Agents Affecting Ras

In general, avoid combined use of RAS inhibitors [see Warnings and Precautions (5.7)]. Do not co-administer aliskiren with ramipril in patients with diabetes [see Contraindications (4)].

17 Patient Counseling Information

Angioedema:

Angioedema, including laryngeal edema, can occur rarely with treatment with ACE inhibitors, especially following the first dose. Advise patients to immediately report any signs or symptoms suggesting angioedema (swelling of face, eyes, lips, or tongue, or difficulty in breathing) and to temporarily discontinue drug until they have consulted with the prescribing physician.

Neutropenia:

Advise patients to promptly report any indication of infection (e.g., sore throat, fever), which could be a sign of neutropenia.

Symptomatic Hypotension:

Inform patients that lightheadedness can occur, especially during the first days of therapy, and it should be reported. Advise patients to discontinue ramipril if syncope (fainting) occurs, and to follow up with their health care providers.

Inform patients that inadequate fluid intake or excessive perspiration, diarrhea, or vomiting while taking ramipril can lead to an excessive fall in blood pressure, with the same consequences of lightheadedness and possible syncope.

Pregnancy:

Tell female patients of childbearing age about the consequences of exposure to ramipril during pregnancy. Discuss treatment options with women planning to become pregnant. Ask patients to report pregnancies to their physicians as soon as possible.

Hyperkalemia:

Advise patients not to use salt substitutes containing potassium without consulting their physician.

Distributed by:

Hikma Pharmaceuticals USA Inc.

Berkeley Heights, NJ 07922

C50000535/01

Revised November 2021

5.4 Neutropenia and Agranulocytosis

In rare instances, treatment with ACE inhibitors may be associated with mild reductions in red blood cell count and hemoglobin content, blood cell or platelet counts. In isolated cases, agranulocytosis, pancytopenia, and bone marrow depression may occur. Hematological reactions to ACE inhibitors are more likely to occur in patients with collagen-vascular disease (e.g., systemic lupus erythematosus, scleroderma) and renal impairment. Consider monitoring white blood cell counts in patients with collagen-vascular disease, especially if the disease is associated with impaired renal function.

16 How Supplied/storage and Handling

Ramipril Capsules, USP

1.25 mg capsules are supplied as yellow, opaque capsules with “54 328” printed in black ink on the cap and body, containing a white to off-white powder.

NDC 0054-0106-25: Bottle of 100 Capsules

2.5 mg capsules are supplied as orange, opaque capsules with “54 794” printed in black ink on the cap and body, containing a white to off-white powder.

NDC 0054-0107-25: Bottle of 100 Capsules

NDC 0054-0107-29: Bottle of 500 Capsules

NDC 0054-0107-20: 10x10 Unit-Dose

5 mg capsules are supplied as red, opaque capsules with “54 145” printed in black ink on the cap and body, containing a white to off-white powder.

NDC 0054-0108-25: Bottle of 100 Capsules

NDC 0054-0108-29: Bottle of 500 Capsules

NDC 0054-0108-20: 10x10 Unit-Dose

10 mg capsules are supplied as blue, opaque capsules with “54 602” printed in black ink on the cap and body, containing a white to off-white powder.

NDC 0054-0109-25: Bottle of 100 Capsules

NDC 0054-0109-29: Bottle of 500 Capsules

Storage

Store at 20° to 25°C (68° to 77°F). [See USP Controlled Room Temperature.]

Dispense in a tight, light-resistant, child-resistant container as defined in the USP/NF.

6.3 Clinical Laboratory Test Findings

Creatinine and Blood Urea Nitrogen:

Increases in creatinine levels occurred in 1.2% of patients receiving ramipril alone, and in 1.5% of patients receiving ramipril and a diuretic. Increases in blood urea nitrogen levels occurred in 0.5% of patients receiving ramipril alone and in 3% of patients receiving ramipril with a diuretic. None of these increases required discontinuation of treatment. Increases in these laboratory values are more likely to occur in patients with renal insufficiency or those pretreated with a diuretic and, based on experience with other ACE inhibitors, would be expected to be especially likely in patients with renal artery stenosis [see Warnings and Precautions (5.3)].  As ramipril decreases aldosterone secretion, elevation of serum potassium can occur. Use potassium supplements and potassium sparing diuretics with caution, and monitor the patient’s serum potassium frequently [see Warnings and Precautions (5.8)].

Hemoglobin and Hematocrit:

Decreases in hemoglobin or hematocrit (a low value and a decrease of 5 g/dL or 5%, respectively) were rare, occurring in 0.4% of patients receiving ramipril alone and in 1.5% of patients receiving ramipril plus a diuretic. No U.S. patients discontinued treatment because of decreases in hemoglobin or hematocrit.

Other (Causal Relationships Unknown):

Clinically important changes in standard laboratory tests were rarely associated with ramipril administration. Elevations of liver enzymes, serum bilirubin, uric acid, and blood glucose have been reported, as have cases of hyponatremia and scattered incidents of leukopenia, eosinophilia, and proteinuria. In U.S. trials, less than 0.2% of patients discontinued treatment for laboratory abnormalities; all of these were cases of proteinuria or abnormal liver‑function tests.

7.2 Agents Increasing Serum Potassium

Co-administration of ramipril with other drugs that raise serum potassium levels may result in hyperkalemia. Monitor serum potassium in such patients.

1.3 Heart Failure Post Myocardial Infarction

Ramipril is indicated in stable patients who have demonstrated clinical signs of congestive heart failure within the first few days after sustaining acute myocardial infarction. Administration of ramipril to such patients has been shown to decrease the risk of death (principally cardiovascular death) and to decrease the risks of failure-related hospitalization and progression to severe/resistant heart failure [see Clinical Studies (14.3)].

2.3 Heart Failure Post Myocardial Infarction

For the treatment of post-myocardial infarction patients who have shown signs of congestive heart failure, the recommended starting dose of ramipril is 2.5 mg twice daily (5 mg per day). A patient who becomes hypotensive at this dose may be switched to 1.25 mg twice daily. After one week at the starting dose, increase dose (if tolerated) toward a target dose of 5 mg twice daily, with dosage increases being about 3 weeks apart.

After the initial dose of ramipril, observe the patient under medical supervision for at least two hours and until blood pressure has stabilized for at least an additional hour. If possible, reduce the dose of any concomitant diuretic as this may diminish the likelihood of hypotension. The appearance of hypotension after the initial dose of ramipril does not preclude subsequent careful dose titration with the drug, following effective management of the hypotension [see Warnings and Precautions (5.5), Drug Interactions (7.1)].

14.3 Heart Failure Post Myocardial Infarction

Ramipril was studied in the AIRE trial. This was a multinational (mainly European) 161-center, 2006-patient, double-blind, randomized, parallel-group study comparing ramipril to placebo in stable patients, 2 to 9 days after an acute myocardial infarction, who had shown clinical signs of congestive heart failure at any time after the myocardial infarction. Patients in severe (NYHA class IV) heart failure, patients with unstable angina, patients with heart failure of congenital or valvular etiology, and patients with contraindications to ACE inhibitors were all excluded. The majority of patients had received thrombolytic therapy at the time of the index infarction, and the average time between infarction and initiation of treatment was 5 days.

Patients randomized to ramipril treatment were given an initial dose of 2.5 mg twice daily. If the initial regimen caused undue hypotension, the dose was reduced to 1.25 mg, but in either event doses were titrated upward (as tolerated) to a target regimen (achieved in 77% of patients randomized to ramipril) of 5 mg twice daily. Patients were then followed for an average of 15 months, with the range of follow-up between 6 and 46 months.

The use of ramipril was associated with a 27% reduction (p=0.002) in the risk of death from any cause; about 90% of the deaths that occurred were cardiovascular, mainly sudden death. The risks of progression to severe heart failure and of congestive heart failure-related hospitalization were also reduced, by 23% (p=0.017) and 26% (p=0.011), respectively. The benefits of ramipril therapy were seen in both genders, and they were not affected by the exact timing of the initiation of therapy, but older patients may have had a greater benefit than those under 65. The benefits were seen in patients on (and not on) various concomitant medications. At the time of randomization these included aspirin (about 80% of patients), diuretics (about 60%), organic nitrates (about 55%), beta-blockers (about 20%), calcium channel blockers (about 15%), and digoxin (about 12%).

5.2 Hepatic Failure and Impaired Liver Function

Rarely, ACE inhibitors, including ramipril, have been associated with a syndrome that starts with cholestatic jaundice and progresses to fulminant hepatic necrosis and sometimes death. The mechanism of this syndrome is not understood. Discontinue ramipril if patient develops jaundice or marked elevations of hepatic enzymes.

As ramipril is primarily metabolized by hepatic esterases to its active moiety, ramiprilat, patients with impaired liver function could develop markedly elevated plasma levels of ramipril. No formal pharmacokinetic studies have been carried out in hypertensive patients with impaired liver function.

5.1 Anaphylactoid and Possibly Related Reactions

Presumably because drugs that act directly on the renin-angiotensin‑aldosterone system (e.g., ACE inhibitors) affect the metabolism of eicosanoids and polypeptides, including endogenous bradykinin, patients receiving these drugs (including ramipril) may be subject to a variety of adverse reactions, some of them serious.

Angioedema:

Head and Neck Angioedema:

Patients with a history of angioedema unrelated to ACE inhibitor therapy may be at increased risk of angioedema while receiving an ACE inhibitor.

Angioedema of the face, extremities, lips, tongue, glottis, and larynx has been reported in patients treated with ACE inhibitors. Angioedema associated with laryngeal edema can be fatal. If laryngeal stridor or angioedema of the face, tongue, or glottis occurs, discontinue treatment with ramipril and institute appropriate therapy immediately. Where there is involvement of the tongue, glottis, or larynx likely to cause airway obstruction, administer appropriate therapy (e.g., subcutaneous epinephrine solution 1:1000 [0.3 mL to 0.5 mL] promptly [see Adverse Reactions (6)].

In considering the use of ramipril, note that in controlled clinical trials ACE inhibitors cause a higher rate of angioedema in Black patients than in non-Black patients.

In a large U.S. post-marketing study, angioedema (defined as reports of angio, face, larynx, tongue, or throat edema) was reported in 3/1523 (0.20%) Black patients and in 8/8680 (0.09%) non-Black patients. These rates were not different statistically.

Patients taking concomitant mammalian target of rapamycin (mTOR) inhibitor (e.g. temsirolimus) therapy or a neprilysin inhibitor may be at increased risk for angioedema [see Drug Interactions (7.7)].

Intestinal Angioedema:

Intestinal angioedema has been reported in patients treated with ACE inhibitors. These patients presented with abdominal pain (with or without nausea or vomiting); in some cases there was no prior history of facial angioedema and C‑1 esterase levels were normal. The angioedema was diagnosed by procedures including abdominal CT scan or ultrasound, or at surgery, and symptoms resolved after stopping the ACE inhibitor. Include intestinal angioedema in the differential diagnosis of patients on ACE inhibitors presenting with abdominal pain.

Anaphylactoid Reactions During Desensitization:

Two patients undergoing desensitizing treatment with hymenoptera venom while receiving ACE inhibitors sustained life‑threatening anaphylactoid reactions. In the same patients, these reactions were avoided when ACE inhibitors were temporarily withheld, but they reappeared upon inadvertent rechallenge.

Anaphylactoid Reactions During Membrane Exposure:

Anaphylactoid reactions have been reported in patients dialyzed with high‑flux membranes and treated concomitantly with an ACE inhibitor. Anaphylactoid reactions have also been reported in patients undergoing low‑density lipoprotein apheresis with dextran sulfate absorption.

5.7 Dual Blockade of the Renin Angiotensin System

Dual blockade of the RAS with angiotensin receptor blockers, ACE inhibitors, or aliskiren is associated with increased risks of hypotension, hyperkalemia, and changes in renal function (including acute renal failure) compared to monotherapy. Most patients receiving the combination of two RAS inhibitors do not obtain any additional benefit compared to monotherapy. In general, avoid combined use of RAS inhibitors. Closely monitor blood pressure, renal function and electrolytes in patients on ramipril and other agents that affect the RAS.

Telmisartan:

The ONTARGET trial enrolled 25,620 patients >55 years old with atherosclerotic disease or diabetes with end-organ damage, randomized them to telmisartan only, ramipril only, or the combination, and followed them for a median of 56 months. Patients receiving the combination of telmisartan and ramipril did not obtain any benefit in the composite endpoint of cardiovascular death, MI, stroke and heart failure hospitalization compared to monotherapy, but experienced an increased incidence of clinically important renal dysfunction (death, doubling of serum creatinine, or dialysis) compared with groups receiving telmisartan alone or ramipril alone. Concomitant use of telmisartan and ramipril is not recommended.

Aliskiren:

Do not co-administer aliskiren with ramipril in patients with diabetes. Avoid concomitant use of aliskiren with ramipril in patients with renal impairment (GFR <60 mL/min/1.73 m2).

13.1 Carcinogenesis, Mutagenesis, Impairment of Fertility

No evidence of a tumorigenic effect was found when ramipril was given by gavage to rats for up to 24 months at doses of up to 500 mg/kg/day or to mice for up to 18 months at doses of up to 1000 mg/kg/day. (For either species, these doses are about 200 times the maximum recommended human dose when compared on the basis of body surface area.) No mutagenic activity was detected in the Ames test in bacteria, the micronucleus test in mice, unscheduled DNA synthesis in a human cell line, or a forward gene‑mutation assay in a Chinese hamster ovary cell line. Several metabolites and degradation products of ramipril were also negative in the Ames test. A study in rats with dosages as great as 500 mg/kg/day did not produce adverse effects on fertility.

No teratogenic effects of ramipril were seen in studies of pregnant rats, rabbits, and cynomologus monkeys. On a body surface area basis, the doses used were up to approximately 400 times (in rats and monkeys) and 2 times (in rabbits) the recommended human dose.

7.7 Mtor Inhibitors Or Other Drugs Known to Cause Angioedema

Patients taking concomitant mTOR inhibitor (e.g. temsirolimus) therapy or a neprilysin inhibitor may be at increased risk for angioedema [see Warnings and Precautions (5.1)].

2.2 Reduction in Risk of Myocardial Infarction, Stroke, and Death From Cardiovascular Causes

Initiate dosing at 2.5 mg once daily for 1 week, 5 mg once daily for the next 3 weeks, and then increase as tolerated, to a maintenance dose of 10 mg once daily. If the patient is hypertensive or recently post-myocardial infarction, ramipril can also be given as a divided dose.

14.2 Reduction in Risk of Myocardial Infarction, Stroke, and Death From Cardiovascular Causes

The HOPE study was a large, multicenter, randomized, double-blind, placebo-controlled, 2 x 2 factorial design study conducted in 9541 patients (4645 on ramipril) who were 55 years or older and considered at high risk of developing a major cardiovascular event because of a history of coronary artery disease, stroke, peripheral vascular disease, or diabetes that was accompanied by at least one other cardiovascular risk factor (hypertension, elevated total cholesterol levels, low HDL levels, cigarette smoking, or documented microalbuminuria). Patients were either normotensive or under treatment with other antihypertensive agents. Patients were excluded if they had clinical heart failure or were known to have a low ejection fraction (<0.40). This study was designed to examine the long-term (mean of 5 years) effects of ramipril (10 mg orally once daily) on the combined endpoint of myocardial infarction, stroke, or death from cardiovascular causes.

The HOPE study results showed that ramipril (10 mg/day) significantly reduced the rate of myocardial infarction, stroke, or death from cardiovascular causes (826/4652 vs. 651/4645, relative risk 0.78), as well as the rates of the 3 components of the combined endpoint. The relative risk of the composite outcomes in the ramipril group as compared to the placebo group was 0.78% (95% confidence interval, 0.70–0.86). The effect was evident after about 1 year of treatment.

Table 3. Summary of Combined Components and Endpoints―HOPE Study

Outcome

Placebo

(N=4652)

n (%)

Ramipril

(N=4645)

n (%)

Relative Risk

(95% CI)

P-Value

Combined Endpoint

Myocardial infarction, stroke, or death from cardiovascular cause

826 (17.8%)

651 (14.0%)

0.78 (0.70–0.86)

P=0.0001

Component Endpoint

Death from cardiovascular causes

377 (8.1%)

282 (6.1%)

0.74 (0.64–0.87)

P=0.0002

Myocardial infarction

570 (12.3%)

459 (9.9%)

0.80 (0.70–0.90)

P=0.0003

Stroke

226 (4.9%)

156 (3.4%)

0.68 (0.56–0.84)

P=0.0002

Overall Mortality

Death from any cause

569 (12.2%)

482 (10.4%)

0.84 (0.75–0.95)

P=0.005

Figure 1. Kaplan-Meier Estimates of the Composite Outcome of Myocardial Infarction, Stroke, or Death from Cardiovascular Causes in the Ramipril Group and the Placebo Group

Ramipril was effective in different demographic subgroups (i.e., gender, age), subgroups defined by underlying disease (e.g., cardiovascular disease, hypertension), and subgroups defined by concomitant medication. There were insufficient data to determine whether or not ramipril was equally effective in ethnic subgroups.

This study was designed with a prespecified substudy in diabetics with at least one other cardiovascular risk factor. Effects of ramipril on the combined endpoint and its components were similar in diabetics (N=3577) to those in the overall study population.

Table 4. Summary of Combined Endpoints and Components in Diabetics―HOPE Study

Outcome

Placebo

(N=1769)

n (%)

Ramipril

(N=1808)

n (%)

Relative Risk Reduction

(95% CI)

P-Value

Combined Endpoint

Myocardial infarction, stroke, or death from cardiovascular cause

351 (19.8%)

277 (15.3%)

0.25 (0.12–0.36)

P=0.0004

Component Endpoint

Death from cardiovascular causes

172 (9.7%)

112 (6.2%)

0.37 (0.21–0.51)

P=0.0001

Myocardial infarction

229 (12.9%)

185 (10.2%)

0.22 (0.06–0.36)

P=0.01

Stroke

108 (6.1%)

76 (4.2%)

0.33 (0.10–0.50)

P=0.007

Figure 2. The Beneficial Effect of Treatment with Ramipril on the Composite Outcome of Myocardial Infarction, Stroke, or Death from Cardiovascular Causes Overall and in Various Subgroups

Cerebrovascular disease was defined as stroke or transient ischemic attacks. The size of each symbol is proportional to the number of patients in each group. The dashed line indicates overall relative risk.

The benefits of ramipril were observed among patients who were taking aspirin or other anti-platelet agents, beta-blockers, and lipid-lowering agents as well as diuretics and calcium channel blockers.

1.2 Reduction in the Risk of Myocardial Infarction, Stroke, and Death From Cardiovascular Causes

Ramipril is indicated in patients 55 years or older at high risk of developing a major cardiovascular event because of a history of coronary artery disease, stroke, peripheral vascular disease, or diabetes that is accompanied by at least one other cardiovascular risk factor (hypertension, elevated total cholesterol levels, low HDL levels, cigarette smoking, or documented microalbuminuria), to reduce the risk of myocardial infarction, stroke, or death from cardiovascular causes. Ramipril can be used in addition to other needed treatment (such as antihypertensive, antiplatelet, or lipid-lowering therapy) [see Clinical Studies (14.2)].

7.6 Non Steroidal Anti Inflammatory Agents Including Selective Cyclooxygenase 2 Inhibitors (cox 2 Inhibitors)

In patients who are elderly, volume-depleted (including those on diuretic therapy), or with compromised renal function, co-administration of NSAIDs, including selective COX-2 inhibitors, with ACE inhibitors, including ramipril, may result in deterioration of renal function, including possible acute renal failure. These effects are usually reversible. Monitor renal function periodically in patients receiving ramipril and NSAID therapy.

The antihypertensive effect of ACE inhibitors, including ramipril, may be attenuated by NSAIDs.


Structured Label Content

7.5 Gold

Nitritoid reactions (symptoms include facial flushing, nausea, vomiting and hypotension) have been reported rarely in patients on therapy with injectable gold (sodium aurothiomalate) and concomitant ACE inhibitor therapy including ramipril.

5.9 Cough

Presumably caused by inhibition of the degradation of endogenous bradykinin, persistent nonproductive cough has been reported with all ACE inhibitors, always resolving after discontinuation of therapy. Consider the possibility of angiotensin converting enzyme inhibitor induced-cough in the differential diagnosis of cough.

7.4 Lithium

Increased serum lithium levels and symptoms of lithium toxicity have been reported in patients receiving ACE inhibitors during therapy with lithium; therefore, frequent monitoring of serum lithium levels is recommended. If a diuretic is also used, the risk of lithium toxicity may be increased.

10 Overdosage (10 OVERDOSAGE)

Single oral doses of ramipril in rats and mice of 10 g/kg to 11 g/kg resulted in significant lethality. In dogs, oral doses as high as 1 g/kg induced only mild gastrointestinal distress. Limited data on human overdosage are available. The most likely clinical manifestations would be symptoms attributable to hypotension.

Laboratory determinations of serum levels of ramipril and its metabolites are not widely available, and such determinations have, in any event, no established role in the management of ramipril overdose.

No data are available to suggest physiological maneuvers (e.g., maneuvers to change the pH of the urine) that might accelerate elimination of ramipril and its metabolites. Similarly, it is not known which, if any, of these substances can be effectively removed from the body by hemodialysis.

Angiotensin II could presumably serve as a specific antagonist‑antidote in the setting of ramipril overdose, but angiotensin II is essentially unavailable outside of scattered research facilities. Because the hypotensive effect of ramipril is achieved through vasodilation and effective hypovolemia, it is reasonable to treat ramipril overdose by infusion of normal saline solution.

7.1 Diuretics

Patients on diuretics, especially those in whom diuretic therapy was recently instituted, may occasionally experience an excessive reduction of blood pressure after initiation of therapy with ramipril. The possibility of hypotensive effects with ramipril can be minimized by either decreasing or discontinuing the diuretic or increasing the salt intake prior to initiation of treatment with ramipril. If this is not possible, reduce the starting dose [see Dosage and Administration (2)].

8.1 Pregnancy

Pregnancy Categories D:

Use of drugs that act on the renin-angiotensin system during the second and third trimesters of pregnancy reduces fetal renal function and increases fetal and neonatal morbidity and death. Resulting oligohydramnios can be associated with fetal lung hypoplasia and skeletal deformations. Potential neonatal adverse effects include skull hypoplasia, anuria, hypotension, renal failure, and death. When pregnancy is detected, discontinue ramipril as soon as possible. These adverse outcomes are usually associated with use of these drugs in the second and third trimester of pregnancy. Most epidemiologic studies examining fetal abnormalities after exposure to antihypertensive use in the first trimester have not distinguished drugs affecting the renin-angiotensin system from other antihypertensive agents. Appropriate management of maternal hypertension during pregnancy is important to optimize outcomes for both mother and fetus.

In the unusual case that there is no appropriate alternative to therapy with drugs affecting the renin-angiotensin system for a particular patient, apprise the mother of the potential risk to the fetus. Perform serial ultrasound examinations to assess the intra-amniotic environment. If oligohydramnios is observed, discontinue ramipril unless it is considered life-saving for the mother. Fetal testing may be appropriate, based on the week of pregnancy. Patients and physicians should be aware, however, that oligohydramnios may not appear until after the fetus has sustained irreversible injury. Closely observe infants with histories of in utero exposure to ramipril for hypotension, oliguria, and hyperkalemia [see Use in Specific Populations (8.4)].

11 Description (11 DESCRIPTION)

Ramipril, USP is a 2‑aza‑bicyclo [3.3.0]‑octane‑3‑carboxylic acid derivative. It is a white to almost white, crystalline powder freely soluble in methanol. Ramipril melts between 105°C to 112°C.

The CAS Registry Number is 87333-19-5. Ramipril's chemical name is (2S,3aS,6aS)‑1-[(S)‑N‑[(S)‑1-Carboxy‑3‑phenylpropyl]alanyl]octahydrocyclopenta[b]pyrrole‑2‑carboxylic acid, 1‑ethyl ester.

Ramipril Capsules, USP are available for oral administration containing either 1.25 mg, 2.5 mg, 5 mg or 10 mg ramipril, USP and the following inactive ingredient: pregelatinized starch. Each capsule shell contains black monogramming ink, gelatin and titanium dioxide. The black monogramming ink contains: black iron oxide, FD&C blue #2, FD&C red #40, FD&C yellow #6, propylene glycol and shellac glaze. The 1.25 mg capsule shell contains D&C yellow #10 and FD&C yellow #6. The 2.5 mg capsule shell contains FD&C yellow #6. The 5 mg capsule shell contains D&C red #28, FD&C blue #1 and FD&C yellow #6. The 10 mg capsule shell contains D&C red #28 and FD&C blue #1.

The structural formula for ramipril is:

Its molecular formula is C23H32N2O5, and its molecular weight is 416.51.

Ramiprilat, the diacid metabolite of ramipril, is a non‑sulfhydryl ACE inhibitor. Ramipril is converted to ramiprilat by hepatic cleavage of the ester group.

5.5 Hypotension

General Considerations:

Ramipril can cause symptomatic hypotension, after either the initial dose or a later dose when the dosage has been increased. Like other ACE inhibitors, ramipril, has been only rarely associated with hypotension in uncomplicated hypertensive patients. Symptomatic hypotension is most likely to occur in patients who have been volume‑ and/or salt‑depleted as a result of prolonged diuretic therapy, dietary salt restriction, dialysis, diarrhea, or vomiting. Correct volume- and salt-depletion before initiating therapy with ramipril.

If excessive hypotension occurs, place the patient in a supine position and, if necessary, treat with intravenous infusion of physiological saline. Ramipril treatment usually can be continued following restoration of blood pressure and volume.

Heart Failure Post-Myocardial Infarction:

In patients with heart failure post-myocardial infarction who are currently being treated with a diuretic, symptomatic hypotension occasionally can occur following the initial dose of ramipril. If the initial dose of 2.5 mg ramipril cannot be tolerated, use an initial dose of 1.25 mg ramipril to avoid excessive hypotension. Consider reducing the dose of concomitant diuretic to decrease the incidence of hypotension.

Congestive Heart Failure:

In patients with congestive heart failure, with or without associated renal insufficiency, ACE inhibitor therapy may cause excessive hypotension, which may be associated with oliguria or azotemia and rarely, with acute renal failure and death. In such patients, initiate ramipril therapy under close medical supervision and follow patients closely for the first 2 weeks of treatment and whenever the dose of ramipril or diuretic is increased.

Surgery and Anesthesia:

In patients undergoing surgery or during anesthesia with agents that produce hypotension, ramipril may block angiotensin II formation that would otherwise occur secondary to compensatory renin release. Hypotension that occurs as a result of this mechanism can be corrected by volume expansion.

1.1 Hypertension

Ramipril is indicated for the treatment of hypertension, to lower blood pressure. Lowering blood pressure reduces the risk of fatal and nonfatal cardiovascular events, primarily strokes and myocardial infarctions. These benefits have been seen in controlled trials of antihypertensive drugs from a wide variety of pharmacologic classes including this drug.

Control of high blood pressure should be part of comprehensive cardiovascular risk management, including, as appropriate, lipid control, diabetes management, antithrombotic therapy, smoking cessation, exercise, and limited sodium intake. Many patients will require more than one drug to achieve blood pressure goals. For specific advice on goals and management, see published guidelines, such as those of the National High Blood Pressure Education Program’s Joint National Committee on Prevention, Detection, Evaluation, and Treatment of High Blood Pressure (JNC).

Numerous antihypertensive drugs, from a variety of pharmacologic classes and with different mechanisms of action, have been shown in randomized controlled trials to reduce cardiovascular morbidity and mortality, and it can be concluded that it is blood pressure reduction, and not some other pharmacologic property of the drugs, that is largely responsible for those benefits. The largest and most consistent cardiovascular outcome benefit has been a reduction in the risk of stroke, but reductions in myocardial infarction and cardiovascular mortality also have been seen regularly.

Elevated systolic or diastolic pressure causes increased cardiovascular risk, and the absolute risk increase per mmHg is greater at higher blood pressures, so that even modest reductions of severe hypertension can provide substantial benefit. Relative risk reduction from blood pressure reduction is similar across populations with varying absolute risk, so the absolute benefit is greater in patients who are at higher risk independent of their hypertension (for example, patients with diabetes or hyperlipidemia), and such patients would be expected to benefit from more aggressive treatment to a lower blood pressure goal.

Some antihypertensive drugs have smaller blood pressure effects (as monotherapy) in black patients, and many antihypertensive drugs have additional approved indications and effects (e.g., on angina, heart failure, or diabetic kidney disease). These considerations may guide selection of therapy.

Ramipril may be used alone or in combination with thiazide diuretics.

2.1 Hypertension

The recommended initial dose for patients not receiving a diuretic is 2.5 mg once a day. Adjust dose according to blood pressure response. The usual maintenance dosage range is 2.5 mg to 20 mg per day administered as a single dose or in two equally divided doses. In some patients treated once daily, the antihypertensive effect may diminish toward the end of the dosing interval. In such patients, consider an increase in dosage or twice daily administration. If blood pressure is not controlled with ramipril alone, a diuretic can be added.

5.8 Hyperkalemia

In clinical trials with ramipril, hyperkalemia (serum potassium >5.7 mEq/L) occurred in approximately 1% of hypertensive patients receiving ramipril. In most cases, these were isolated values, which resolved despite continued therapy. None of these patients were discontinued from the trials because of hyperkalemia. Risk factors for the development of hyperkalemia include renal insufficiency, diabetes mellitus, and the concomitant use of other drugs that raise serum potassium levels. Monitor serum potassium in such patients [see Drug Interactions (7.2)].

14.1 Hypertension

Ramipril has been compared with other ACE inhibitors, beta-blockers, and thiazide diuretics as monotherapy for hypertension. It was approximately as effective as other ACE inhibitors and as atenolol.

Administration of ramipril to patients with mild to moderate hypertension results in a reduction of both supine and standing blood pressure to about the same extent with no compensatory tachycardia. Symptomatic postural hypotension is infrequent, although it can occur in patients who are salt- and/or volume-depleted [see Warnings and Precautions (5.5)]. Use of ramipril in combination with thiazide diuretics gives a blood pressure lowering effect greater than that seen with either agent alone.

In single-dose studies, doses of 5 mg to 20 mg of ramipril lowered blood pressure within 1 to 2 hours, with peak reductions achieved 3 to 6 hours after dosing. The antihypertensive effect of a single dose persisted for 24 hours. In longer term (4 to 12 weeks) controlled studies, once-daily doses of 2.5 mg to 10 mg were similar in their effect, lowering supine or standing systolic and diastolic blood pressures 24 hours after dosing by about 6/4 mmHg more than placebo. In comparisons of peak vs. trough effect, the trough effect represented about 50 to 60% of the peak response. In a titration study comparing divided (bid) vs. qd treatment, the divided regimen was superior, indicating that for some patients, the antihypertensive effect with once-daily dosing is not adequately maintained.

In most trials, the antihypertensive effect of ramipril increased during the first several weeks of repeated measurements. The antihypertensive effect of ramipril has been shown to continue during long-term therapy for at least 2 years. Abrupt withdrawal of ramipril has not resulted in a rapid increase in blood pressure. Ramipril has been compared with other ACE inhibitors, beta-blockers, and thiazide diuretics. Ramipril was approximately as effective as other ACE inhibitors and as atenolol. In both Caucasians and Blacks, hydrochlorothiazide (25 or 50 mg) was significantly more effective than ramipril.

Ramipril was less effective in blacks than in Caucasians. The effectiveness of ramipril was not influenced by age, sex, or weight.

In a baseline controlled study of 10 patients with mild essential hypertension, blood pressure reduction was accompanied by a 15% increase in renal blood flow. In healthy volunteers, glomerular filtration rate was unchanged.

8.4 Pediatric Use

Neonates With a History of In Utero Exposure to Ramipril:

If oliguria or hypotension occurs, direct attention toward support of blood pressure and renal perfusion. Exchange transfusions or dialysis may be required as a means of reversing hypotension and/or substituting for disordered renal function. Ramipril, which crosses the placenta, can be removed from the neonatal circulation by these means, but limited experience has not shown that such removal is central to the treatment of these infants.

Safety and effectiveness in pediatric patients have not been established. Irreversible kidney damage has been observed in very young rats given a single dose of ramipril.

8.5 Geriatric Use

Of the total number of patients who received ramipril in U.S. clinical studies of ramipril 11.0% were ≥65 years of age while 0.2% were ≥75 years of age. No overall differences in effectiveness or safety were observed between these patients and younger patients, and other reported clinical experience has not identified differences in responses between the elderly and younger patients, but greater sensitivity of some older individuals cannot be ruled out.

One pharmacokinetic study conducted in hospitalized elderly patients indicated that peak ramiprilat levels and area under the plasma concentration-time curve (AUC) for ramiprilat are higher in older patients.

5.6 Fetal Toxicity

Pregnancy Category D:

Use of drugs that act on the renin-angiotensin system during the second and third trimesters of pregnancy reduces fetal renal function and increases fetal and neonatal morbidity and death. Resulting oligohydramnios can be associated with fetal lung hypoplasia and skeletal deformations. Potential neonatal adverse effects include skull hypoplasia, anuria, hypotension, renal failure, and death. When pregnancy is detected, discontinue ramipril as soon as possible [see Use in Specific Populations (8.1)].

4 Contraindications (4 CONTRAINDICATIONS)

Ramipril is contraindicated in patients who are hypersensitive to this product or any other ACE inhibitor (e.g., a patient who has experienced angioedema during therapy with any other ACE inhibitor).

Ramipril is contraindicated in combination with a neprilysin inhibitor (e.g., sacubitril). Do not administer ramipril within 36 hours of switching to or from sacubitril/valsartan, a neprilysin inhibitor [see Warnings and Precautions (5.1)].

Do not co-administer ramipril with aliskiren:

  • in patients with diabetes.
6 Adverse Reactions (6 ADVERSE REACTIONS)

The most common adverse reactions in patients with hypertension included headache, dizziness, fatigue, and cough (6.1).

To report SUSPECTED ADVERSE REACTIONS, contact Hikma Pharmaceuticals USA Inc. at 1-800-962-8364 or the FDA at 1-800-FDA-1088 or www.fda.gov/medwatch.

7 Drug Interactions (7 DRUG INTERACTIONS)

Diuretics: Possibility of excessive hypotension (7.1).

Lithium: Use with caution (7.4).

Gold: Nitritoid reactions have been reported (7.5).

NSAIDS use may lead to increased risk of renal impairment and loss of antihypertensive effect (7.6).

mTOR inhibitor or neprilysin inhibitor use may increase angioedema risk (7.7)

8.3 Nursing Mothers

Ingestion of a single 10 mg oral dose of ramipril resulted in undetectable amounts of ramipril and its metabolites in breast milk. However, because multiple doses may produce low milk concentrations that are not predictable from a single dose, do not use ramipril in nursing mothers.

5.3 Renal Impairment

As a consequence of inhibiting the renin-angiotensin-aldosterone system, changes in renal function may be anticipated in susceptible individuals. In patients with severe congestive heart failure whose renal function may depend on the activity of the renin-angiotensin-aldosterone system, treatment with ACE inhibitors, including ramipril, may be associated with oliguria or progressive azotemia and rarely with acute renal failure or death.

In hypertensive patients with unilateral or bilateral renal artery stenosis, increases in blood urea nitrogen and serum creatinine may occur. Experience with another ACE inhibitor suggests that these increases would be reversible upon discontinuation of ramipril and/or diuretic therapy. In such patients, monitor renal function during the first few weeks of therapy. Some hypertensive patients with no apparent pre-existing renal vascular disease have developed increases in blood urea nitrogen and serum creatinine, usually minor and transient, especially when ramipril has been given concomitantly with a diuretic. This is more likely to occur in patients with pre-existing renal impairment. Dosage reduction of ramipril and/or discontinuation of the diuretic may be required.

8.6 Renal Impairment

A single-dose pharmacokinetic study was conducted in hypertensive patients with varying degrees of renal impairment who received a single 10 mg dose of ramipril. Patients were stratified into four groups based on initial estimates of creatinine clearance: normal (>80 mL/min), mild impairment (40 to 80 mL/min), moderate impairment (15 to 40 mL/min), and severe impairment (<15 mL/min). On average, the AUC0-24h for ramiprilat was approximately 1.7-fold higher, 3.0-fold higher, and 3.2-fold higher in the groups with mild, moderate, and severe renal impairment, respectively, compared to the group with normal renal function. Overall, the results suggest that the starting dose of ramipril should be adjusted downward in patients with moderate-to-severe renal impairment.

12.2 Pharmacodynamics

Single doses of ramipril of 2.5 mg to 20 mg produce approximately 60% to 80% inhibition of ACE activity 4 hours after dosing with approximately 40% to 60% inhibition after 24 hours. Multiple oral doses of ramipril of 2.0 mg or more cause plasma ACE activity to fall by more than 90% 4 hours after dosing, with over 80% inhibition of ACE activity remaining 24 hours after dosing. The more prolonged effect of even small multiple doses presumably reflects saturation of ACE binding sites by ramiprilat and relatively slow release from those sites.

12.3 Pharmacokinetics

Absorption:

Following oral administration of ramipril, peak plasma concentrations (Cmax) of ramipril are reached within 1 hour. The extent of absorption is at least 50% to 60% and is not significantly influenced by the presence of food in the gastrointestinal tract, although the rate of absorption is reduced.

In a trial in which subjects received ramipril capsules or the contents of identical capsules dissolved in water, dissolved in apple juice, or suspended in applesauce, serum ramiprilat levels were essentially unrelated to the use or non-use of the concomitant liquid or food.

Distribution:

Cleavage of the ester group (primarily in the liver) converts ramipril to its active diacid metabolite, ramiprilat. Peak plasma concentrations of ramiprilat are reached 2 to 4 hours after drug intake. The serum protein binding of ramipril is about 73% and that of ramiprilat about 56%; in vitro, these percentages are independent of concentration over the range of 0.01 mcg/mL to 10 mcg/mL.

Metabolism:

Ramipril is almost completely metabolized to ramiprilat, which has about 6 times the ACE inhibitory activity of ramipril, and to the diketopiperazine ester, the diketopiperazine acid, and the glucuronides of ramipril and ramiprilat, all of which are inactive.

Plasma concentrations of ramipril and ramiprilat increase with increased dose, but are not strictly dose-proportional. The 24-hour AUC for ramiprilat, however, is dose-proportional over the 2.5 mg to 20 mg dose range. The absolute bioavailabilities of ramipril and ramiprilat were 28% and 44%, respectively, when 5 mg of oral ramipril was compared with the same dose of ramipril given intravenously.

After once-daily dosing, steady-state plasma concentrations of ramiprilat are reached by the fourth dose. Steady-state concentrations of ramiprilat are somewhat higher than those seen after the first dose of ramipril, especially at low doses (2.5 mg), but the difference is clinically insignificant.

Plasma concentrations of ramiprilat decline in a triphasic manner (initial rapid decline, apparent elimination phase, terminal elimination phase). The initial rapid decline, which represents distribution of the drug into a large peripheral compartment and subsequent binding to both plasma and tissue ACE, has a half‑life of 2 to 4 hours. Because of its potent binding to ACE and slow dissociation from the enzyme, ramiprilat shows two elimination phases. The apparent elimination phase corresponds to the clearance of free ramiprilat and has a half‑life of 9 to 18 hours. The terminal elimination phase has a prolonged half‑life (>50 hours) and probably represents the binding/dissociation kinetics of the ramiprilat/ACE complex. It does not contribute to the accumulation of the drug. After multiple daily doses of ramipril 5 mg to 10 mg, the half‑life of ramiprilat concentrations within the therapeutic range was 13 to 17 hours.

In patients with creatinine clearance less than < 40 mL/min/1.73 m2, peak levels of ramiprilat are approximately doubled, and trough levels may be as much as quintupled. In multiple‑dose regimens, the total exposure to ramiprilat (AUC) in these patients is 3 to 4 times as large as it is in patients with normal renal function who receive similar doses.

In patients with impaired liver function, the metabolism of ramipril to ramiprilat appears to be slowed, possibly because of diminished activity of hepatic esterases, and plasma ramipril levels in these patients are increased about 3‑fold. Peak concentrations of ramiprilat in these patients, however, are not different from those seen in subjects with normal hepatic function, and the effect of a given dose on plasma ACE activity does not vary with hepatic function.

Excretion:

After oral administration of ramipril, about 60% of the parent drug and its metabolites are eliminated in the urine, and about 40% is found in the feces. Drug recovered in the feces may represent both biliary excretion of metabolites and/or unabsorbed drug, however the proportion of a dose eliminated by the bile has not been determined. Less than 2% of the administered dose is recovered in urine as unchanged ramipril.

The urinary excretion of ramipril, ramiprilat, and their metabolites is reduced in patients with impaired renal function. Compared to normal subjects, patients with creatinine clearance <40 mL/min/1.73 m2 had higher peak and trough ramiprilat levels and slightly longer times to peak concentrations.

2.5 Dosage Adjustment

Renal Impairment:

Establish baseline renal function in patients initiating ramipril. Usual regimens of therapy with ramipril may be followed in patients with estimated creatinine clearance >40 mL/min. However, in patients with worse impairment, 25% of the usual dose of ramipril is expected to produce full therapeutic levels of ramiprilat [see Use in Specific Populations (8.6)].

Hypertension:

For patients with hypertension and renal impairment, the recommended initial dose is 1.25 mg ramipril once daily. Dosage may be titrated upward until blood pressure is controlled or to a maximum total daily dose of 5 mg.

Heart Failure Post-Myocardial Infarction:

For patients with heart failure and renal impairment, the recommended initial dose is 1.25 mg ramipril once daily. The dose may be increased to 1.25 mg twice daily, and up to a maximum dose of 2.5 mg twice daily depending on clinical response and tolerability.

Volume Depletion or Renal Artery Stenosis:

Blood pressure decreases associated with any dose of ramipril depend, in part, on the presence or absence of volume depletion (e.g., past and current diuretic use) or the presence or absence of renal artery stenosis. If such circumstances are suspected to be present, initiate dosing at 1.25 mg once daily. Adjust dosage according to blood pressure response.

1 Indications and Usage (1 INDICATIONS AND USAGE)

Ramipril is an angiotensin converting enzyme (ACE) inhibitor indicated for the treatment of hypertension, to lower blood pressure. Lowering blood pressure reduces the risk of fatal and nonfatal cardiovascular events, primarily strokes and myocardial infarctions. It may be used alone or in combination with thiazide diuretics (1.1).

In patients 55 years or older at high risk of developing a major cardiovascular event, ramipril is indicated to reduce the risk of myocardial infarction, stroke, or death from cardiovascular causes (1.2).

Ramipril is indicated in stable patients who have demonstrated clinical signs of congestive heart failure post-myocardial infarction (1.3).

Principal Display Panel (PRINCIPAL DISPLAY PANEL)

Ramipril Capsules, USP, 1.25 mg

NDC 0054-0106-25

Rx only

Warning: Fetal Toxicity (WARNING: FETAL TOXICITY)
  • When pregnancy is detected, discontinue ramipril as soon as possible (5.6).
  • Drugs that act directly on the renin-angiotensin system can cause injury and death to the developing fetus (5.6).
12.1 Mechanism of Action

Ramipril and ramiprilat inhibit ACE in human subjects and animals. Angiotensin converting enzyme is a peptidyl dipeptidase that catalyzes the conversion of angiotensin I to the vasoconstrictor substance, angiotensin II. Angiotensin II also stimulates aldosterone secretion by the adrenal cortex. Inhibition of ACE results in decreased plasma angiotensin II, which leads to decreased vasopressor activity and to decreased aldosterone secretion. The latter decrease may result in a small increase of serum potassium. In hypertensive patients with normal renal function treated with ramipril alone for up to 56 weeks, approximately 4% of patients during the trial had an abnormally high serum potassium and an increase from baseline greater than 0.75 mEq/L, and none of the patients had an abnormally low potassium and a decrease from baseline greater than 0.75 mEq/L. In the same study, approximately 2% of patients treated with ramipril and hydrochlorothiazide for up to 56 weeks had abnormally high potassium values and an increase from baseline of 0.75 mEq/L or greater; and approximately 2% had abnormally low values and decreases from baseline of 0.75 mEq/L or greater [see Warnings and Precautions (5.8)]. Removal of angiotensin II negative feedback on renin secretion leads to increased plasma renin activity.

The effect of ramipril on hypertension appears to result at least in part from inhibition of both tissue and circulating ACE activity, thereby reducing angiotensin II formation in tissue and plasma.

Angiotensin converting enzyme is identical to kininase, an enzyme that degrades bradykinin. Whether increased levels of bradykinin, a potent vasopressor peptide, play a role in the therapeutic effects of ramipril remains to be elucidated.

While the mechanism through which ramipril lowers blood pressure is believed to be primarily suppression of the renin‑angiotensin‑aldosterone system, ramipril has an antihypertensive effect even in patients with low‑renin hypertension. Although ramipril was antihypertensive in all races studied, Black hypertensive patients (usually a low‑renin hypertensive population) had a blood pressure lowering response to monotherapy, albeit a smaller average response, than non‑Black patients.

5 Warnings and Precautions (5 WARNINGS AND PRECAUTIONS)

Angioedema: increased risk in patients with a prior history (5.1)

Hypotension and hyperkalemia (5.5, 5.8)

Renal impairment: monitor renal function during therapy (5.3)

Avoid concomitant use of an ACE inhibitor and angiotensin blocker (5.7)

Rare cholestatic jaundice and hepatic failure (5.2)

Rare neutropenia and agranulocytosis (5.4)

2 Dosage and Administration (2 DOSAGE AND ADMINISTRATION)

Hypertension: Initial dose is 2.5 mg to 20 mg once daily. Adjust dosage according to blood pressure response after 2 to 4 weeks of treatment. The usual maintenance dose following titration is 2.5 mg to 20 mg daily as a single dose or equally divided dose (2.1).

Reduction in the risk of myocardial infarction, stroke, or death from cardiovascular causes: 2.5 mg once daily for 1 week, 5 mg once daily for 3 weeks, and increased as tolerated to a maintenance dose of 10 mg once daily (2.2).

Heart Failure Post-Myocardial Infarction: Starting dose of 2.5 mg twice daily. If patient becomes hypotensive at this dose, decrease dosage to 1.25 mg twice daily. Increase dose as tolerated toward a target dose of 5 mg twice daily, with dosage increases about 3 weeks apart (2.3).

Dosage Adjustment: See respective sections pertaining to dosage adjustment in special situations. (2.5).

3 Dosage Forms and Strengths (3 DOSAGE FORMS AND STRENGTHS)

Ramipril Capsules, USP are supplied as hard gelatin capsules containing 1.25 mg, 2.5 mg, 5 mg and 10 mg of ramipril, USP.

6.2 Post Marketing Experience (6.2 Post-Marketing Experience)

In addition to adverse reactions reported from clinical trials, there have been rare reports of hypoglycemia reported during ramipril therapy when given to patients concomitantly taking oral hypoglycemic agents or insulin. The causal relationship is unknown.

8 Use in Specific Populations (8 USE IN SPECIFIC POPULATIONS)

Pregnancy: Discontinue drug if pregnancy is detected (5.6, 8.1).

Nursing Mothers: Ramipril use is not recommended in nursing mothers (8.3).

2.4 General Dosing Information

Generally, swallow ramipril capsules whole. The ramipril capsule can also be opened and the contents sprinkled on a small amount (about 4 oz.) of applesauce or mixed in 4 oz. (120 mL) of water or apple juice. To be sure that ramipril is not lost when such a mixture is used, consume the mixture in its entirety. The described mixtures can be pre-prepared and stored for up to 24 hours at room temperature or up to 48 hours under refrigeration.

Concomitant administration of ramipril with potassium supplements, potassium salt substitutes, or potassium‑sparing diuretics can lead to increases of serum potassium [see Warnings and Precautions (5.8)].

6.1 Clinical Trials Experience

Because clinical trials are conducted under widely varying conditions, the adverse reaction rates observed in the clinical trials of a drug cannot be directly compared to rates in the clinical trials of another drug and may not reflect the rates observed in practice.

Hypertension:

Ramipril has been evaluated for safety in over 4000 patients with hypertension; of these, 1230 patients were studied in U.S. controlled trials, and 1107 were studied in foreign controlled trials. Almost 700 of these patients were treated for at least one year. The overall incidence of reported adverse events was similar in ramipril and placebo patients. The most frequent clinical side effects (possibly or probably related to study drug) reported by patients receiving ramipril in placebo‑controlled trials were: headache (5.4%), dizziness (2.2%) and fatigue or asthenia (2.0%), but only the last one was more common in ramipril patients than in patients given placebo. Generally the side effects were mild and transient, and there was no relation to total dosage within the range of 1.25 mg to 20 mg. Discontinuation of therapy because of a side effect was required in approximately 3% of US patients treated with ramipril. The most common reasons for discontinuation were: cough (1.0%), dizziness (0.5%), and impotence (0.4%).

Of observed side effects considered possibly or probably related to study drug that occurred in U.S. placebo‑controlled trials in more than 1% of patients treated with ramipril, only asthenia (fatigue) was more common on ramipril than placebo (2% [n=13/651] vs. 1% [n=2/286], respectively).

In placebo‑controlled trials, there was also an excess of upper respiratory infection and flu syndrome in the ramipril group, not attributed at that time to ramipril. As these studies were carried out before the relationship of cough to ACE inhibitors was recognized, some of these events may represent ramipril‑induced cough. In a later 1‑year study, increased cough was seen in almost 12% of ramipril patients, with about 4% of patients requiring discontinuation of treatment.

Reduction in the Risk of Myocardial Infarction, Stroke, and Death from Cardiovascular Causes:

HOPE Study:

Safety data in the Heart Outcomes Prevention Evaluation (HOPE) study were collected as reasons for discontinuation or temporary interruption of treatment. The incidence of cough was similar to that seen in the Acute Infarction Ramipril Efficacy (AIRE) trial. The rate of angioedema was the same as in previous clinical trials [see Warnings and Precautions (5.1)].

Table 1. Reasons for Discontinuation or Temporary Interruption of Treatment―HOPE Study

Placebo

(N=4652)

Ramipril

(N=4645)

Discontinuation at Any Time

32%

34%

Permanent Discontinuation

28%

29%

Reasons for Stopping

Cough

2%

7%

Hypotension or Dizziness

1.5%

1.9%

Angioedema

0.1%

0.3%

Heart Failure Post-Myocardial Infarction:

AIRE Study:

Adverse reactions (except laboratory abnormalities) considered possibly/probably related to study drug that occurred in more than 1% of patients and more frequently on ramipril are shown below. The incidences are from the AIRE study. The follow-up time was between 6 and 46 months for this study.

Table 2. Percentage of Patients with Adverse Events Possibly/Probably Related to Study Drug―Placebo-Controlled (AIRE) Mortality Study

 

Adverse Event

 Placebo

(N=982)

Ramipril

(N=1004)

Hypotension

5%

11%

Cough Increased

4%

8%

Dizziness

3%

4%

Angina Pectoris

2%

3%

Nausea

1%

2%

Postural Hypotension

1%

2%

Syncope

1%

2%

Vomiting

0.5%

2%

Vertigo

0.7%

2%

Abnormal Kidney Function

0.5%

1%

Diarrhea

0.4%

1%

Other Adverse Reactions:

Other adverse reactions reported in controlled clinical trials (in less than 1% of ramipril patients), or rarer events seen in post-marketing experience, include the following (in some, a causal relationship to drug is uncertain):

Body as a Whole: Anaphylactoid reactions [see Warnings and Precautions (5.1)].

Cardiovascular: Symptomatic hypotension (reported in 0.5% of patients in U.S. trials) [see Warnings and Precautions (5.5)], syncope and palpitations.

Hematologic: Pancytopenia, hemolytic anemia, and thrombocytopenia.

Decreases in hemoglobin or hematocrit (a low value and a decrease of 5 g/dL or 5%, respectively) were rare, occurring in 0.4% of patients receiving ramipril alone and in 1.5% of patients receiving ramipril plus a diuretic.

Renal: Acute renal failure. Some hypertensive patients with no apparent pre‑existing renal disease have developed minor, usually transient, increases in blood urea nitrogen and serum creatinine when taking ramipril, particularly when ramipril was given concomitantly with a diuretic [see Warnings and Precautions (5.3)].

Angioneurotic Edema: Angioneurotic edema has been reported in 0.3% of patients in U.S. clinical trials of ramipril [see Warnings and Precautions (5.1)].

Gastrointestinal: Hepatic failure, hepatitis, jaundice, pancreatitis, abdominal pain (sometimes with enzyme changes suggesting pancreatitis), anorexia, constipation, diarrhea, dry mouth, dyspepsia, dysphagia, gastroenteritis, increased salivation and taste disturbance.

Dermatologic: Apparent hypersensitivity reactions (manifested by urticaria, pruritus, or rash, with or without fever), photosensitivity, purpura, onycholysis, pemphigus, pemphigoid, erythema multiforme, toxic epidermal necrolysis, and Stevens‑Johnson syndrome.

Neurologic and Psychiatric: Anxiety, amnesia, convulsions, depression, hearing loss, insomnia, nervousness, neuralgia, neuropathy, paresthesia, somnolence, tinnitus, tremor, vertigo, and vision disturbances.

Miscellaneous: As with other ACE inhibitors, a symptom complex has been reported which may include a positive ANA, an elevated erythrocyte sedimentation rate, arthralgia/arthritis, myalgia, fever, vasculitis, eosinophilia, photosensitivity, rash and other dermatologic manifestations. Additionally, as with other ACE inhibitors, eosinophilic pneumonitis has been reported.

Other: Arthralgia, arthritis, dyspnea, edema, epistaxis, impotence, increased sweating, malaise, myalgia, and weight gain.

7.3 Other Agents Affecting Ras (7.3 Other Agents Affecting RAS)

In general, avoid combined use of RAS inhibitors [see Warnings and Precautions (5.7)]. Do not co-administer aliskiren with ramipril in patients with diabetes [see Contraindications (4)].

17 Patient Counseling Information (17 PATIENT COUNSELING INFORMATION)

Angioedema:

Angioedema, including laryngeal edema, can occur rarely with treatment with ACE inhibitors, especially following the first dose. Advise patients to immediately report any signs or symptoms suggesting angioedema (swelling of face, eyes, lips, or tongue, or difficulty in breathing) and to temporarily discontinue drug until they have consulted with the prescribing physician.

Neutropenia:

Advise patients to promptly report any indication of infection (e.g., sore throat, fever), which could be a sign of neutropenia.

Symptomatic Hypotension:

Inform patients that lightheadedness can occur, especially during the first days of therapy, and it should be reported. Advise patients to discontinue ramipril if syncope (fainting) occurs, and to follow up with their health care providers.

Inform patients that inadequate fluid intake or excessive perspiration, diarrhea, or vomiting while taking ramipril can lead to an excessive fall in blood pressure, with the same consequences of lightheadedness and possible syncope.

Pregnancy:

Tell female patients of childbearing age about the consequences of exposure to ramipril during pregnancy. Discuss treatment options with women planning to become pregnant. Ask patients to report pregnancies to their physicians as soon as possible.

Hyperkalemia:

Advise patients not to use salt substitutes containing potassium without consulting their physician.

Distributed by:

Hikma Pharmaceuticals USA Inc.

Berkeley Heights, NJ 07922

C50000535/01

Revised November 2021

5.4 Neutropenia and Agranulocytosis

In rare instances, treatment with ACE inhibitors may be associated with mild reductions in red blood cell count and hemoglobin content, blood cell or platelet counts. In isolated cases, agranulocytosis, pancytopenia, and bone marrow depression may occur. Hematological reactions to ACE inhibitors are more likely to occur in patients with collagen-vascular disease (e.g., systemic lupus erythematosus, scleroderma) and renal impairment. Consider monitoring white blood cell counts in patients with collagen-vascular disease, especially if the disease is associated with impaired renal function.

16 How Supplied/storage and Handling (16 HOW SUPPLIED/STORAGE AND HANDLING)

Ramipril Capsules, USP

1.25 mg capsules are supplied as yellow, opaque capsules with “54 328” printed in black ink on the cap and body, containing a white to off-white powder.

NDC 0054-0106-25: Bottle of 100 Capsules

2.5 mg capsules are supplied as orange, opaque capsules with “54 794” printed in black ink on the cap and body, containing a white to off-white powder.

NDC 0054-0107-25: Bottle of 100 Capsules

NDC 0054-0107-29: Bottle of 500 Capsules

NDC 0054-0107-20: 10x10 Unit-Dose

5 mg capsules are supplied as red, opaque capsules with “54 145” printed in black ink on the cap and body, containing a white to off-white powder.

NDC 0054-0108-25: Bottle of 100 Capsules

NDC 0054-0108-29: Bottle of 500 Capsules

NDC 0054-0108-20: 10x10 Unit-Dose

10 mg capsules are supplied as blue, opaque capsules with “54 602” printed in black ink on the cap and body, containing a white to off-white powder.

NDC 0054-0109-25: Bottle of 100 Capsules

NDC 0054-0109-29: Bottle of 500 Capsules

Storage

Store at 20° to 25°C (68° to 77°F). [See USP Controlled Room Temperature.]

Dispense in a tight, light-resistant, child-resistant container as defined in the USP/NF.

6.3 Clinical Laboratory Test Findings

Creatinine and Blood Urea Nitrogen:

Increases in creatinine levels occurred in 1.2% of patients receiving ramipril alone, and in 1.5% of patients receiving ramipril and a diuretic. Increases in blood urea nitrogen levels occurred in 0.5% of patients receiving ramipril alone and in 3% of patients receiving ramipril with a diuretic. None of these increases required discontinuation of treatment. Increases in these laboratory values are more likely to occur in patients with renal insufficiency or those pretreated with a diuretic and, based on experience with other ACE inhibitors, would be expected to be especially likely in patients with renal artery stenosis [see Warnings and Precautions (5.3)].  As ramipril decreases aldosterone secretion, elevation of serum potassium can occur. Use potassium supplements and potassium sparing diuretics with caution, and monitor the patient’s serum potassium frequently [see Warnings and Precautions (5.8)].

Hemoglobin and Hematocrit:

Decreases in hemoglobin or hematocrit (a low value and a decrease of 5 g/dL or 5%, respectively) were rare, occurring in 0.4% of patients receiving ramipril alone and in 1.5% of patients receiving ramipril plus a diuretic. No U.S. patients discontinued treatment because of decreases in hemoglobin or hematocrit.

Other (Causal Relationships Unknown):

Clinically important changes in standard laboratory tests were rarely associated with ramipril administration. Elevations of liver enzymes, serum bilirubin, uric acid, and blood glucose have been reported, as have cases of hyponatremia and scattered incidents of leukopenia, eosinophilia, and proteinuria. In U.S. trials, less than 0.2% of patients discontinued treatment for laboratory abnormalities; all of these were cases of proteinuria or abnormal liver‑function tests.

7.2 Agents Increasing Serum Potassium

Co-administration of ramipril with other drugs that raise serum potassium levels may result in hyperkalemia. Monitor serum potassium in such patients.

1.3 Heart Failure Post Myocardial Infarction (1.3 Heart Failure Post-Myocardial Infarction)

Ramipril is indicated in stable patients who have demonstrated clinical signs of congestive heart failure within the first few days after sustaining acute myocardial infarction. Administration of ramipril to such patients has been shown to decrease the risk of death (principally cardiovascular death) and to decrease the risks of failure-related hospitalization and progression to severe/resistant heart failure [see Clinical Studies (14.3)].

2.3 Heart Failure Post Myocardial Infarction (2.3 Heart Failure Post-Myocardial Infarction)

For the treatment of post-myocardial infarction patients who have shown signs of congestive heart failure, the recommended starting dose of ramipril is 2.5 mg twice daily (5 mg per day). A patient who becomes hypotensive at this dose may be switched to 1.25 mg twice daily. After one week at the starting dose, increase dose (if tolerated) toward a target dose of 5 mg twice daily, with dosage increases being about 3 weeks apart.

After the initial dose of ramipril, observe the patient under medical supervision for at least two hours and until blood pressure has stabilized for at least an additional hour. If possible, reduce the dose of any concomitant diuretic as this may diminish the likelihood of hypotension. The appearance of hypotension after the initial dose of ramipril does not preclude subsequent careful dose titration with the drug, following effective management of the hypotension [see Warnings and Precautions (5.5), Drug Interactions (7.1)].

14.3 Heart Failure Post Myocardial Infarction (14.3 Heart Failure Post-Myocardial Infarction)

Ramipril was studied in the AIRE trial. This was a multinational (mainly European) 161-center, 2006-patient, double-blind, randomized, parallel-group study comparing ramipril to placebo in stable patients, 2 to 9 days after an acute myocardial infarction, who had shown clinical signs of congestive heart failure at any time after the myocardial infarction. Patients in severe (NYHA class IV) heart failure, patients with unstable angina, patients with heart failure of congenital or valvular etiology, and patients with contraindications to ACE inhibitors were all excluded. The majority of patients had received thrombolytic therapy at the time of the index infarction, and the average time between infarction and initiation of treatment was 5 days.

Patients randomized to ramipril treatment were given an initial dose of 2.5 mg twice daily. If the initial regimen caused undue hypotension, the dose was reduced to 1.25 mg, but in either event doses were titrated upward (as tolerated) to a target regimen (achieved in 77% of patients randomized to ramipril) of 5 mg twice daily. Patients were then followed for an average of 15 months, with the range of follow-up between 6 and 46 months.

The use of ramipril was associated with a 27% reduction (p=0.002) in the risk of death from any cause; about 90% of the deaths that occurred were cardiovascular, mainly sudden death. The risks of progression to severe heart failure and of congestive heart failure-related hospitalization were also reduced, by 23% (p=0.017) and 26% (p=0.011), respectively. The benefits of ramipril therapy were seen in both genders, and they were not affected by the exact timing of the initiation of therapy, but older patients may have had a greater benefit than those under 65. The benefits were seen in patients on (and not on) various concomitant medications. At the time of randomization these included aspirin (about 80% of patients), diuretics (about 60%), organic nitrates (about 55%), beta-blockers (about 20%), calcium channel blockers (about 15%), and digoxin (about 12%).

5.2 Hepatic Failure and Impaired Liver Function

Rarely, ACE inhibitors, including ramipril, have been associated with a syndrome that starts with cholestatic jaundice and progresses to fulminant hepatic necrosis and sometimes death. The mechanism of this syndrome is not understood. Discontinue ramipril if patient develops jaundice or marked elevations of hepatic enzymes.

As ramipril is primarily metabolized by hepatic esterases to its active moiety, ramiprilat, patients with impaired liver function could develop markedly elevated plasma levels of ramipril. No formal pharmacokinetic studies have been carried out in hypertensive patients with impaired liver function.

5.1 Anaphylactoid and Possibly Related Reactions

Presumably because drugs that act directly on the renin-angiotensin‑aldosterone system (e.g., ACE inhibitors) affect the metabolism of eicosanoids and polypeptides, including endogenous bradykinin, patients receiving these drugs (including ramipril) may be subject to a variety of adverse reactions, some of them serious.

Angioedema:

Head and Neck Angioedema:

Patients with a history of angioedema unrelated to ACE inhibitor therapy may be at increased risk of angioedema while receiving an ACE inhibitor.

Angioedema of the face, extremities, lips, tongue, glottis, and larynx has been reported in patients treated with ACE inhibitors. Angioedema associated with laryngeal edema can be fatal. If laryngeal stridor or angioedema of the face, tongue, or glottis occurs, discontinue treatment with ramipril and institute appropriate therapy immediately. Where there is involvement of the tongue, glottis, or larynx likely to cause airway obstruction, administer appropriate therapy (e.g., subcutaneous epinephrine solution 1:1000 [0.3 mL to 0.5 mL] promptly [see Adverse Reactions (6)].

In considering the use of ramipril, note that in controlled clinical trials ACE inhibitors cause a higher rate of angioedema in Black patients than in non-Black patients.

In a large U.S. post-marketing study, angioedema (defined as reports of angio, face, larynx, tongue, or throat edema) was reported in 3/1523 (0.20%) Black patients and in 8/8680 (0.09%) non-Black patients. These rates were not different statistically.

Patients taking concomitant mammalian target of rapamycin (mTOR) inhibitor (e.g. temsirolimus) therapy or a neprilysin inhibitor may be at increased risk for angioedema [see Drug Interactions (7.7)].

Intestinal Angioedema:

Intestinal angioedema has been reported in patients treated with ACE inhibitors. These patients presented with abdominal pain (with or without nausea or vomiting); in some cases there was no prior history of facial angioedema and C‑1 esterase levels were normal. The angioedema was diagnosed by procedures including abdominal CT scan or ultrasound, or at surgery, and symptoms resolved after stopping the ACE inhibitor. Include intestinal angioedema in the differential diagnosis of patients on ACE inhibitors presenting with abdominal pain.

Anaphylactoid Reactions During Desensitization:

Two patients undergoing desensitizing treatment with hymenoptera venom while receiving ACE inhibitors sustained life‑threatening anaphylactoid reactions. In the same patients, these reactions were avoided when ACE inhibitors were temporarily withheld, but they reappeared upon inadvertent rechallenge.

Anaphylactoid Reactions During Membrane Exposure:

Anaphylactoid reactions have been reported in patients dialyzed with high‑flux membranes and treated concomitantly with an ACE inhibitor. Anaphylactoid reactions have also been reported in patients undergoing low‑density lipoprotein apheresis with dextran sulfate absorption.

5.7 Dual Blockade of the Renin Angiotensin System (5.7 Dual Blockade of the Renin-Angiotensin System)

Dual blockade of the RAS with angiotensin receptor blockers, ACE inhibitors, or aliskiren is associated with increased risks of hypotension, hyperkalemia, and changes in renal function (including acute renal failure) compared to monotherapy. Most patients receiving the combination of two RAS inhibitors do not obtain any additional benefit compared to monotherapy. In general, avoid combined use of RAS inhibitors. Closely monitor blood pressure, renal function and electrolytes in patients on ramipril and other agents that affect the RAS.

Telmisartan:

The ONTARGET trial enrolled 25,620 patients >55 years old with atherosclerotic disease or diabetes with end-organ damage, randomized them to telmisartan only, ramipril only, or the combination, and followed them for a median of 56 months. Patients receiving the combination of telmisartan and ramipril did not obtain any benefit in the composite endpoint of cardiovascular death, MI, stroke and heart failure hospitalization compared to monotherapy, but experienced an increased incidence of clinically important renal dysfunction (death, doubling of serum creatinine, or dialysis) compared with groups receiving telmisartan alone or ramipril alone. Concomitant use of telmisartan and ramipril is not recommended.

Aliskiren:

Do not co-administer aliskiren with ramipril in patients with diabetes. Avoid concomitant use of aliskiren with ramipril in patients with renal impairment (GFR <60 mL/min/1.73 m2).

13.1 Carcinogenesis, Mutagenesis, Impairment of Fertility

No evidence of a tumorigenic effect was found when ramipril was given by gavage to rats for up to 24 months at doses of up to 500 mg/kg/day or to mice for up to 18 months at doses of up to 1000 mg/kg/day. (For either species, these doses are about 200 times the maximum recommended human dose when compared on the basis of body surface area.) No mutagenic activity was detected in the Ames test in bacteria, the micronucleus test in mice, unscheduled DNA synthesis in a human cell line, or a forward gene‑mutation assay in a Chinese hamster ovary cell line. Several metabolites and degradation products of ramipril were also negative in the Ames test. A study in rats with dosages as great as 500 mg/kg/day did not produce adverse effects on fertility.

No teratogenic effects of ramipril were seen in studies of pregnant rats, rabbits, and cynomologus monkeys. On a body surface area basis, the doses used were up to approximately 400 times (in rats and monkeys) and 2 times (in rabbits) the recommended human dose.

7.7 Mtor Inhibitors Or Other Drugs Known to Cause Angioedema (7.7 mTOR Inhibitors or Other Drugs Known to Cause Angioedema)

Patients taking concomitant mTOR inhibitor (e.g. temsirolimus) therapy or a neprilysin inhibitor may be at increased risk for angioedema [see Warnings and Precautions (5.1)].

2.2 Reduction in Risk of Myocardial Infarction, Stroke, and Death From Cardiovascular Causes (2.2 Reduction in Risk of Myocardial Infarction, Stroke, and Death from Cardiovascular Causes)

Initiate dosing at 2.5 mg once daily for 1 week, 5 mg once daily for the next 3 weeks, and then increase as tolerated, to a maintenance dose of 10 mg once daily. If the patient is hypertensive or recently post-myocardial infarction, ramipril can also be given as a divided dose.

14.2 Reduction in Risk of Myocardial Infarction, Stroke, and Death From Cardiovascular Causes (14.2 Reduction in Risk of Myocardial Infarction, Stroke, and Death from Cardiovascular Causes)

The HOPE study was a large, multicenter, randomized, double-blind, placebo-controlled, 2 x 2 factorial design study conducted in 9541 patients (4645 on ramipril) who were 55 years or older and considered at high risk of developing a major cardiovascular event because of a history of coronary artery disease, stroke, peripheral vascular disease, or diabetes that was accompanied by at least one other cardiovascular risk factor (hypertension, elevated total cholesterol levels, low HDL levels, cigarette smoking, or documented microalbuminuria). Patients were either normotensive or under treatment with other antihypertensive agents. Patients were excluded if they had clinical heart failure or were known to have a low ejection fraction (<0.40). This study was designed to examine the long-term (mean of 5 years) effects of ramipril (10 mg orally once daily) on the combined endpoint of myocardial infarction, stroke, or death from cardiovascular causes.

The HOPE study results showed that ramipril (10 mg/day) significantly reduced the rate of myocardial infarction, stroke, or death from cardiovascular causes (826/4652 vs. 651/4645, relative risk 0.78), as well as the rates of the 3 components of the combined endpoint. The relative risk of the composite outcomes in the ramipril group as compared to the placebo group was 0.78% (95% confidence interval, 0.70–0.86). The effect was evident after about 1 year of treatment.

Table 3. Summary of Combined Components and Endpoints―HOPE Study

Outcome

Placebo

(N=4652)

n (%)

Ramipril

(N=4645)

n (%)

Relative Risk

(95% CI)

P-Value

Combined Endpoint

Myocardial infarction, stroke, or death from cardiovascular cause

826 (17.8%)

651 (14.0%)

0.78 (0.70–0.86)

P=0.0001

Component Endpoint

Death from cardiovascular causes

377 (8.1%)

282 (6.1%)

0.74 (0.64–0.87)

P=0.0002

Myocardial infarction

570 (12.3%)

459 (9.9%)

0.80 (0.70–0.90)

P=0.0003

Stroke

226 (4.9%)

156 (3.4%)

0.68 (0.56–0.84)

P=0.0002

Overall Mortality

Death from any cause

569 (12.2%)

482 (10.4%)

0.84 (0.75–0.95)

P=0.005

Figure 1. Kaplan-Meier Estimates of the Composite Outcome of Myocardial Infarction, Stroke, or Death from Cardiovascular Causes in the Ramipril Group and the Placebo Group

Ramipril was effective in different demographic subgroups (i.e., gender, age), subgroups defined by underlying disease (e.g., cardiovascular disease, hypertension), and subgroups defined by concomitant medication. There were insufficient data to determine whether or not ramipril was equally effective in ethnic subgroups.

This study was designed with a prespecified substudy in diabetics with at least one other cardiovascular risk factor. Effects of ramipril on the combined endpoint and its components were similar in diabetics (N=3577) to those in the overall study population.

Table 4. Summary of Combined Endpoints and Components in Diabetics―HOPE Study

Outcome

Placebo

(N=1769)

n (%)

Ramipril

(N=1808)

n (%)

Relative Risk Reduction

(95% CI)

P-Value

Combined Endpoint

Myocardial infarction, stroke, or death from cardiovascular cause

351 (19.8%)

277 (15.3%)

0.25 (0.12–0.36)

P=0.0004

Component Endpoint

Death from cardiovascular causes

172 (9.7%)

112 (6.2%)

0.37 (0.21–0.51)

P=0.0001

Myocardial infarction

229 (12.9%)

185 (10.2%)

0.22 (0.06–0.36)

P=0.01

Stroke

108 (6.1%)

76 (4.2%)

0.33 (0.10–0.50)

P=0.007

Figure 2. The Beneficial Effect of Treatment with Ramipril on the Composite Outcome of Myocardial Infarction, Stroke, or Death from Cardiovascular Causes Overall and in Various Subgroups

Cerebrovascular disease was defined as stroke or transient ischemic attacks. The size of each symbol is proportional to the number of patients in each group. The dashed line indicates overall relative risk.

The benefits of ramipril were observed among patients who were taking aspirin or other anti-platelet agents, beta-blockers, and lipid-lowering agents as well as diuretics and calcium channel blockers.

1.2 Reduction in the Risk of Myocardial Infarction, Stroke, and Death From Cardiovascular Causes (1.2 Reduction in the Risk of Myocardial Infarction, Stroke, and Death from Cardiovascular Causes)

Ramipril is indicated in patients 55 years or older at high risk of developing a major cardiovascular event because of a history of coronary artery disease, stroke, peripheral vascular disease, or diabetes that is accompanied by at least one other cardiovascular risk factor (hypertension, elevated total cholesterol levels, low HDL levels, cigarette smoking, or documented microalbuminuria), to reduce the risk of myocardial infarction, stroke, or death from cardiovascular causes. Ramipril can be used in addition to other needed treatment (such as antihypertensive, antiplatelet, or lipid-lowering therapy) [see Clinical Studies (14.2)].

7.6 Non Steroidal Anti Inflammatory Agents Including Selective Cyclooxygenase 2 Inhibitors (cox 2 Inhibitors) (7.6 Non-Steroidal Anti-Inflammatory Agents including Selective Cyclooxygenase-2 Inhibitors (COX-2 Inhibitors))

In patients who are elderly, volume-depleted (including those on diuretic therapy), or with compromised renal function, co-administration of NSAIDs, including selective COX-2 inhibitors, with ACE inhibitors, including ramipril, may result in deterioration of renal function, including possible acute renal failure. These effects are usually reversible. Monitor renal function periodically in patients receiving ramipril and NSAID therapy.

The antihypertensive effect of ACE inhibitors, including ramipril, may be attenuated by NSAIDs.


Advanced Ingredient Data


Raw Label Data

All Sections (JSON)