Dexamethasone Elixir, Usp

Dexamethasone Elixir, Usp
SPL v11
SPL
SPL Set ID 7cf5c17c-a80b-4547-83b2-0d53e2b933f7
Route
ORAL
Published
Effective Date 2025-09-17
Document Type 34391-3 Human Prescription Drug Label

Drug Facts

Composition & Product

Active Ingredients
Dexamethasone (0.5 mg)
Inactive Ingredients
Benzoic Acid Alcohol Anhydrous Citric Acid Fd&c Red No. 40 Sucrose Propylene Glycol Water Trisodium Citrate Dihydrate

Identifiers & Packaging

Pill Appearance
Color: red
Marketing Status
ANDA Active Since 2011-08-01

Description

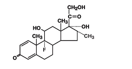
Each 5 mL (teaspoonful) contains: Dexamethasone, USP . . . . . . . . . . . . . . . . . . . . . . . . . . . . . 0.5 mg Also contains: Benzoic Acid, USP . . . . . . . . . . . . . . . . . . . . . . . . . . . . . . . . . 0.1%   (as preservative) Alcohol (% v/v) . . . . . . . . . . . . . . . . . . . . . . . . . . . . . . . . . . . 5.1% Inactive Ingredients: artificial raspberry flavor; citric acid; FD&C red no. 40; sucrose; propylene glycol and purified water. It may also contain sodium citrate dihydrate. Glucocorticoids are adrenocortical steroids, both naturally occurring and synthetic, which are readily absorbed from the gastrointestinal tract. Dexamethasone, a synthetic adrenocortical steroid, is a white to practically white, odorless, crystalline powder. It is stable in air. It is practically insoluble in water. The molecular weight is 392.47. It is designated chemically as 9-fluoro-11β,17,21-trihydroxy-16α-methylpregna-1,4-diene-3,20-dione. The molecular formula is C 22 H 29 FO 5 and the structural formula is:

Indications and Usage

Endocrine Disorders: Primary or secondary adrenocortical insufficiency (hydrocortisone or cortisone is the first choice; synthetic analogs may be used in conjunction with mineralocorticoids where applicable; in infancy mineralocorticoid supplementation is of particular importance). Congenital adrenal hyperplasia Nonsuppurative thyroiditis Hypercalcemia associated with cancer Rheumatic Disorders: As adjunctive therapy for short-term administration (to tide the patient over an acute episode or exacerbation) in: Psoriatic arthritis Rheumatoid arthritis, including juvenile rheumatoid arthritis (selected cases may require low-dose maintenance therapy) Ankylosing spondylitis Acute and subacute bursitis Acute nonspecific tenosynovitis Acute gouty arthritis Post-traumatic osteoarthritis Synovitis of osteoarthritis Epicondylitis Collagen Diseases: During an exacerbation or as maintenance therapy in selected cases of: Systemic lupus erythematosus Acute rheumatic carditis Dermatologic Diseases: Pemphigus Bullous dermatitis herpetiformis Severe erythema multiforme (Stevens-Johnson syndrome) Exfoliative dermatitis Mycosis fungoides Severe psoriasis Severe seborrheic dermatitis Allergic States: Control of severe or incapacitating allergic conditions intractable to adequate trials of conventional treatment: Seasonal or perennial allergic rhinitis Bronchial asthma Contact dermatitis Atopic dermatitis Serum sickness Drug hypersensitivity reactions Ophthalmic Diseases: Severe acute and chronic allergic and inflammatory processes involving the eye and its adnexa, such as: Allergic conjunctivitis Keratitis Allergic corneal marginal ulcers Herpes zoster ophthalmicus Iritis and iridocyclitis Chorioretinitis Anterior segment inflammation Diffuse posterior uveitis and choroiditis Optic neuritis Sympathetic ophthalmia Respiratory Diseases: Symptomatic sarcoidosis Loeffler's syndrome not manageable by other means Berylliosis Fulminating or disseminated pulmonary tuberculosis when used concurrently with appropriate antituberculous chemotherapy Aspiration pneumonitis Hematologic Disorders: Idiopathic thrombocytopenic purpura in adults Secondary thrombocytopenia in adults Acquired (autoimmune) hemolytic anemia Erythroblastopenia (RBC anemia) Congenital (erythroid) hypoplastic anemia Neoplastic Diseases : For palliative management of: Leukemia and lymphomas in adults Acute leukemia of childhood Edematous States: To induce a diuresis or remission of proteinuria in the nephrotic syndrome, without uremia, of the idiopathic type or that due to lupus erythematosus Gastrointestinal Diseases: To tide the patient over a critical period of the disease in: Ulcerative colitis Regional enteritis Miscellaneous: Tuberculous meningitis with subarachnoid block or impending block when used concurrently with appropriate antituberculous chemotherapy Trichinosis with neurologic or myocardial involvement Diagnostic testing of adrenocortical hyperfunction.

Contraindications

Systemic fungal infections Hypersensitivity to this product

Adverse Reactions

Fluid and Electrolyte Disturbances: Sodium retention Fluid retention Congestive heart failure in susceptible patients Potassium loss Hypokalemic alkalosis Hypertension Musculoskeletal: Muscle weakness Steroid myopathy Osteoporosis Aseptic necrosis of femoral and humeral heads Vertebral compression fractures Loss of muscle mass Pathologic fracture of long bones Tendon rupture Gastrointestinal: Pancreatitis Abdominal distention Peptic ulcer with possible perforation and hemorrhage Ulcerative esophagitis Perforation of the small and large bowel, particularly in patients with inflammatory bowel disease Dermatologic: Impaired wound healing Thin fragile skin Erythema May suppress reactions to skin tests Petechiae and ecchymoses Increased sweating Other cutaneous reactions, such as allergic dermatitis, urticaria, angioneurotic edema Neurologic: Convulsions Vertigo Headache Psychic Disturbances Increased intracranial pressure with papilledema (pseudotumor cerebri) usually after treatment Endocrine: Menstrual irregularities Development of cushingoid state Manifestations of latent diabetes mellitus Secondary adrenocortical and pituitary unresponsiveness, particularly in times of stress, as in trauma, surgery, or illness Decreased carbohydrate tolerance Suppression of growth in children Increased requirements for insulin or oral hypoglycemic agents in diabetes Hirsutism Ophthalmic: Posterior subcapsular cataracts Increased intraocular pressure Glaucoma Exophthalmos Metabolic: Negative nitrogen balance due to protein catabolism Cardiovascular: Myocardial rupture following recent myocardial infarction (See WARNINGS) Other: Hypersensitivity Thromboembolism Weight gain Increased appetite Nausea Malaise Hiccups

How Supplied

Dexamethasone Elixir, USP 0.5 mg/5 mL is supplied as a clear, red, raspberry-flavored liquid in the following size:    8 fl oz (237 mL) bottle (NDC 64980-509-24) RECOMMENDED STORAGE Store at 20˚-25˚C (68˚-77˚F) [See USP Controlled Room Temperature]. KEEP TIGHTLY CLOSED AVOID FREEZING Dispense in a tight container as defined in the USP. Rx Only Manufactured for: Rising Pharma Holdings, Inc. East Brunswick, NJ 08816 Manufactured by: Lyne Laboratories, Inc. Brockton, MA 02301 Revised : 08/2025 PIR50924-00 Each 5 mL (teaspoonful) contains: Dexamethaosne, USP....................................................................................................0.5 mg Also contains:  Benzoic Acid, USP (as preservative)................................................................................0.1% Alcohol (%v/v)............................................................................................................5.1% USUAL ADULT DOSAGE: See accompanying package insert. WARNINGS: KEEP THIS AND ALL DRUGS OUT OF THE REACH OF CHILDREN. In case of accidental overdose, seek professional assistance or contact a Poison Control Center immediately. Store at 20º – 25ºC (68º – 77ºF) [see USP Controlled Room Temperature]. KEEP TIGHTLY CLOSED AVOID FREEZING Dispense in a tight container as defined in the USP. Manufactured for: Rising Pharma Holdings, Inc. East Brunswick, NJ 08816 Manufactured by: Lyne Laboratories, Inc.  Brockton, MA 02301 Revised: 08/2025 LR50924-00


Medication Information

Indications and Usage
  • Endocrine Disorders: Primary or secondary adrenocortical insufficiency (hydrocortisone or cortisone is the first choice; synthetic analogs may be used in conjunction with mineralocorticoids where applicable; in infancy mineralocorticoid supplementation is of particular importance).

    Congenital adrenal hyperplasia

    Nonsuppurative thyroiditis

    Hypercalcemia associated with cancer
  • Rheumatic Disorders: As adjunctive therapy for short-term administration (to tide the patient over an acute episode or exacerbation) in:

    Psoriatic arthritis

    Rheumatoid arthritis, including juvenile rheumatoid arthritis (selected cases may require low-dose maintenance therapy)

    Ankylosing spondylitis

    Acute and subacute bursitis

    Acute nonspecific tenosynovitis

    Acute gouty arthritis

    Post-traumatic osteoarthritis

    Synovitis of osteoarthritis

    Epicondylitis
  • Collagen Diseases: During an exacerbation or as maintenance therapy in selected cases of:

    Systemic lupus erythematosus

    Acute rheumatic carditis
  • Dermatologic Diseases:

    Pemphigus

    Bullous dermatitis herpetiformis

    Severe erythema multiforme (Stevens-Johnson syndrome)

    Exfoliative dermatitis

    Mycosis fungoides

    Severe psoriasis

    Severe seborrheic dermatitis
  • Allergic States: Control of severe or incapacitating allergic conditions intractable to adequate trials of conventional treatment:

    Seasonal or perennial allergic rhinitis

    Bronchial asthma

    Contact dermatitis

    Atopic dermatitis

    Serum sickness

    Drug hypersensitivity reactions
  • Ophthalmic Diseases: Severe acute and chronic allergic and inflammatory processes involving the eye and its adnexa, such as:

    Allergic conjunctivitis

    Keratitis

    Allergic corneal marginal ulcers

    Herpes zoster ophthalmicus

    Iritis and iridocyclitis

    Chorioretinitis

    Anterior segment inflammation

    Diffuse posterior uveitis and choroiditis

    Optic neuritis

    Sympathetic ophthalmia
  • Respiratory Diseases:

    Symptomatic sarcoidosis

    Loeffler's syndrome not manageable by other means

    Berylliosis

    Fulminating or disseminated pulmonary tuberculosis when used concurrently with appropriate antituberculous chemotherapy

    Aspiration pneumonitis
  • Hematologic Disorders:

    Idiopathic thrombocytopenic purpura in adults

    Secondary thrombocytopenia in adults

    Acquired (autoimmune) hemolytic anemia

    Erythroblastopenia (RBC anemia)

    Congenital (erythroid) hypoplastic anemia
  • Neoplastic Diseases: For palliative management of:

    Leukemia and lymphomas in adults

    Acute leukemia of childhood
  • Edematous States: To induce a diuresis or remission of proteinuria in the nephrotic syndrome, without uremia, of the idiopathic type or that due to lupus erythematosus
  • Gastrointestinal Diseases: To tide the patient over a critical period of the disease in:

    Ulcerative colitis

    Regional enteritis
  • Miscellaneous:

    Tuberculous meningitis with subarachnoid block or impending block when used concurrently with appropriate antituberculous chemotherapy

    Trichinosis with neurologic or myocardial involvement
  • Diagnostic testing of adrenocortical hyperfunction.
Contraindications

Systemic fungal infections

Hypersensitivity to this product

Adverse Reactions
Fluid and Electrolyte Disturbances:
Sodium retention

Fluid retention

Congestive heart failure in susceptible patients
Potassium loss

Hypokalemic alkalosis

Hypertension
Musculoskeletal:
Muscle weakness

Steroid myopathy

Osteoporosis

Aseptic necrosis of femoral and humeral heads
Vertebral compression fractures

Loss of muscle mass

Pathologic fracture of long bones

Tendon rupture
Gastrointestinal:
Pancreatitis

Abdominal distention

Peptic ulcer with possible perforation and hemorrhage
Ulcerative esophagitis

Perforation of the small and large bowel, particularly in patients with inflammatory bowel disease
Dermatologic:
Impaired wound healing

Thin fragile skin

Erythema

May suppress reactions to skin tests
Petechiae and ecchymoses

Increased sweating

Other cutaneous reactions, such as allergic dermatitis, urticaria, angioneurotic edema
Neurologic:
Convulsions

Vertigo

Headache

Psychic Disturbances
Increased intracranial pressure with papilledema (pseudotumor cerebri) usually after treatment
Endocrine:
Menstrual irregularities

Development of cushingoid state

Manifestations of latent diabetes mellitus

Secondary adrenocortical and pituitary unresponsiveness, particularly in times of stress, as in trauma, surgery, or illness
Decreased carbohydrate tolerance

Suppression of growth in children

Increased requirements for insulin or oral hypoglycemic agents in diabetes

Hirsutism
Ophthalmic:
Posterior subcapsular cataracts

Increased intraocular pressure
Glaucoma

Exophthalmos
Metabolic:
Negative nitrogen balance due to protein catabolism
Cardiovascular:
Myocardial rupture following recent myocardial infarction (See WARNINGS)
Other:
Hypersensitivity

Thromboembolism

Weight gain

Increased appetite
Nausea

Malaise

Hiccups
How Supplied

Dexamethasone Elixir, USP 0.5 mg/5 mL is supplied as a clear, red, raspberry-flavored liquid in the following size:

   8 fl oz (237 mL) bottle (NDC 64980-509-24)

RECOMMENDED STORAGE

Store at 20˚-25˚C (68˚-77˚F) [See USP Controlled Room Temperature].

KEEP TIGHTLY CLOSED

AVOID FREEZING

Dispense in a tight container as defined in the USP.

Rx Only

Manufactured for:

Rising Pharma Holdings, Inc.

East Brunswick, NJ 08816

Manufactured by:

Lyne Laboratories, Inc.

Brockton, MA 02301

Revised: 08/2025

PIR50924-00

Each 5 mL (teaspoonful) contains:

Dexamethaosne, USP....................................................................................................0.5 mg

Also contains: 

Benzoic Acid, USP (as preservative)................................................................................0.1%

Alcohol (%v/v)............................................................................................................5.1%

USUAL ADULT DOSAGE: See accompanying package insert.

WARNINGS: KEEP THIS AND ALL DRUGS OUT OF THE REACH OF CHILDREN.

In case of accidental overdose, seek professional assistance or contact a Poison Control Center immediately.

Store at 20º – 25ºC (68º – 77ºF)

[see USP Controlled Room Temperature].

KEEP TIGHTLY CLOSED

AVOID FREEZING

Dispense in a tight container as defined in the USP.

Manufactured for:

Rising Pharma Holdings, Inc.

East Brunswick, NJ 08816

Manufactured by:

Lyne Laboratories, Inc. 

Brockton, MA 02301

Revised: 08/2025

LR50924-00

Description

Each 5 mL (teaspoonful) contains:

Dexamethasone, USP . . . . . . . . . . . . . . . . . . . . . . . . . . . . . 0.5 mg

Also contains:

Benzoic Acid, USP . . . . . . . . . . . . . . . . . . . . . . . . . . . . . . . . . 0.1%

  (as preservative)

Alcohol (% v/v) . . . . . . . . . . . . . . . . . . . . . . . . . . . . . . . . . . . 5.1%

Inactive Ingredients: artificial raspberry flavor; citric acid; FD&C red no. 40; sucrose; propylene glycol and purified water. It may also contain sodium citrate dihydrate.

Glucocorticoids are adrenocortical steroids, both naturally occurring and synthetic, which are readily absorbed from the gastrointestinal tract.

Dexamethasone, a synthetic adrenocortical steroid, is a white to practically white, odorless, crystalline powder. It is stable in air. It is practically insoluble in water. The molecular weight is 392.47. It is designated chemically as 9-fluoro-11β,17,21-trihydroxy-16α-methylpregna-1,4-diene-3,20-dione. The molecular formula is C22H29FO5 and the structural formula is:

Section 42229-5

To report SUSPECTED ADVERSE REACTIONS, contact Rising Pharma Holdings, Inc. at 1-844-874-7464 or FDA at 1-800-FDA-1088 or www.FDA.gov/medwatch

Section 51945-4

Rising®       NDC 64980-509-24

Dexamethasone

Elixir, USP

0.5 mg/5 mL

Contains 5.1% Alcohol (% v/v)

NET: 8 fl oz (237 mL)       Rx only

Warnings

In patients on corticosteroid therapy subjected to unusual stress, increased dosage of rapidly acting corticosteroids before, during, and after the stressful situation is indicated.

Immunosuppression and Increased Risk of Infection 

Corticosteroids, including Dexamethasone Elixir, suppress the immune system and increase the risk of infection with any pathogen, including viral, bacterial, fungal, protozoan, or helminthic pathogens.

Corticosteriods can:

  • Reduce resistance to new infections
  • Exacerbate existing infections
  • Increase the risk of disseminated infections
  • Incease the risk of reactivation or exacerbation of latent infections
  • Mask some signs of infection

Corticosteriod-associated infections can be mild but can be severe and at times fatal. The rate of infectious complications increases with increasing corticosteriod dosages.

Monitor for the development of infection and consider Dexamethasone Elixir withdrawal or dosage reduction as needed.

Tuberculosis

If Dexamethasone Elixir is used to treat a condition in patients with latent tuberculosis or tuberculin reactivity, reactivation of tuberculosis may occur. Closely monitor such patients for reactivation. During prolonged Dexamethasone Elixir therapy, patients with latent tuberculosis or tuberculin reactivity should receive chemoprophylaxis.

Varicella Zoster and Measles Viral Infections

Varicella and measles can have a serious or even fatal course in non-immune patients taking corticosteriods, including Dexamethasone Elixir. In corticosteriod-treated patients who have not had these diseases or are non-immune, particular care should be taken to avoid exposure to varicella and measles:

  • If a Dexamethasone Elixir-treated patient is exposed to varicella, prophylaxis with varicella zoster immune globulin may be indicated. If varicella develops, treatment with antiviral agents may be considered.
  • If a Dexamethasone Elixir-treated patient is exposed to measles, prophylaxis with immunoglobulin may be indicated.

Hepatitis B Virus Reactivation

Hepatitis B Virus reactivation can occur in patients who are hepatitis B carriers treated with immunosuppressive dosages of corticosteriods, including Dexamethasone Elixir. Reactivation can also occur infrequently in corticosteriod-treated patients who appear to have resolved hepatitis B infection.

Screen patients for hepatitis B infection before intiating immunosuppressive (e.g., prolonged) treatment with Dexamethasone Elixir. For patients who show evidence of hepatitis B infection, recommend consultation with physcians with expertise in managing hepatitis B regarding monitoring and consideration for hepatitis B antiviral therapy.

Fungal Infections

Corticosteriods, including Dexamethasone Elixir, may exacerbate systemic fungal infections; therefore, avoid Dexamethasone Elixir use in the presence of such infections unless Dexamethasone Elixir is needed to control drug reactions. For patients on chronic Dexamethasone Elixir therapy who develop systemic fungal infections, Dexamethasone Elixir withdrawal or dosage reduction is recommended.

Amebiasis

Corticosteriods, including Dexamethasone Elixir, may activate latent amebiasis. Therefore, it is recommended that latent amebiasis or active amebiasis be ruled out before intiating Dexamethasone Elixir in patients who have spent time in the tropics or patients with unexplained diarrhea.

Strongyloides Infestation

Corticosteriods, including Dexamethasone Elixir, should be used with great care in patients with known or suspected Strongyloides (threadworm) infestation. In such patients, cortcosteriod-induced immunosupression may lead to Strongyloides hyperinfection and dissemination with widespread larval migration, often accompanied by severe enterocolitis and potentially fatal gram-negative septicemia.

Cerebral Malaria

Avoid corticosteriods, including Dexamethasone Elixir, in patients with cerebral malaria.

Kaposi's Sarcoma

Kaposi's Sarcoma has been reported to occur in patients receiving corticosteriod therapy, most often for chronic conditions.

Discontinuation of corticosteriods may result in clinical improvement of Kaposi's Sarcoma.

Drug-Induced secondary adrenocortical insufficiency may result from too rapid withdrawal of corticosteroids and may be minimized by gradual reduction of dosage. This type of relative insufficiency may persist for months after discontinuation of therapy; therefore, in any situation of stress occurring during that period, hormone therapy should be reinstituted, if the patient is receiving steroids already, dosage may have to be increased. Since mineralocorticoid secretion may be impaired, salt and/or a mineralocorticoid should be administered concurrently.

In cerebral malaria, a double-blind trial has shown that the use of corticosteroids is associated with prolongation of coma and a higher incidence of pneumonia and gastrointestinal bleeding.

Prolonged use of corticosteroids may produce posterior subcapsular cataracts, glaucoma with possible damage to the optic nerves, and may enhance the establishment of secondary ocular infections due to fungi or viruses.

Usage in Pregnancy: Since adequate human reproduction studies have not been done with corticosteroids, use of these drugs in pregnancy or in women of childbearing potential requires that the anticipated benefits be weighed against the possible hazards to the mother and embryo or fetus. Infants born of mothers who have received substantial doses of corticosteroids during pregnancy should be carefully observed for signs of hypoadrenalism.

Corticosteroids appear in breast milk and could suppress growth, interfere with endogenous corticosteroid production, or cause other unwanted effects. Mothers taking pharmacologic doses of corticosteroids should be advised not to nurse.

Average and large doses of hydrocortisone or cortisone can cause elevation of blood pressure, salt and water retention, and increased excretion of potassium. These effects are less likely to occur with the synthetic derivatives except when used in large doses. Dietary salt restriction and potassium supplementation may be necessary. All corticosteroids increase calcium excretion.

Administration of live virus vaccines, including smallpox, is contraindicated in individuals receiving immunosuppressive doses of corticosteroids. If inactivated viral or bacterial vaccines are administered to individuals receiving immunosuppressive doses of corticosteroids, the expected serum antibody response may not be obtained. However, immunization procedures may be undertaken in patients who are receiving corticosteroids as replacement therapy, e.g., for Addison’s disease.

Literature reports suggest an apparent association between use of corticosteroids and left ventricular free wall rupture after a recent myocardial infarction; therefore, therapy with corticosteroids should be used with great caution in these patients.

Overdosage

Reports of acute toxicity and/or death following overdosage of glucocorticoids are rare. In the event of overdosage, no specific antidote is available; treatment is supportive and symptomatic.

The oral LD50 of dexamethasone in female mice was 6.5 g/kg.

Precautions

Following prolonged therapy, withdrawal of corticosteroids may result in symptoms of the corticosteroid withdrawal syndrome including fever, myalgia, arthralgia, and malaise. This may occur in patients even without evidence of adrenal insufficiency.

There is an enhanced effect of corticosteroids in patients with hypothyroidism and in those with cirrhosis.

Corticosteroids should be used cautiously in patients with ocular herpes simplex because of possible corneal perforation.

The lowest possible dose of corticosteroid should be used to control the condition under treatment, and when reduction in dosage is possible, the reduction should be gradual.

Psychic derangements may appear when corticosteroids are used,ranging from euphoria, insomnia, mood swings, personality changes, and severe depression, to frank psychotic manifestations. Also, existing emotional instability or psychotic tendencies may be aggravated by corticosteroids.

Aspirin should be used cautiously in conjunction with corticosteroids in hypoprothrombinemia.

Steroids should be used with caution in nonspecific ulcerative colitis, if there is a probability of impending perforation, abscess,or other pyogenic infection, diverticulitis, fresh intestinal anastomoses, active or latent peptic ulcer, renal insufficiency,hypertension, osteoporosis and myasthenia gravis. Signs of peritoneal irritation following gastrointestinal perforation in patients receiving large doses of corticosteroids may be minimal or absent. Fat embolism has been reported as a possible complication of hypercortisonism.

When large doses are given, some authorities advise that corticosteroids be taken with meals and antacids taken between meals to help to prevent peptic ulcer.

Growth and development of infants and children on prolonged corticosteroid therapy should be carefully observed.

Steroids may increase or decrease motility and number of spermatozoa in some patients.

Phenytoin, phenobarbital, ephedrine, and rifampin may enhance the metabolic clearance of corticosteroids, resulting in decreased blood levels and lessened physiologic activity, thus requiring adjustment in corticosteroid dosage. These interactions may interfere with dexamethasone suppression tests which should be interpreted with caution during administration of these drugs.

False-negative results in the dexamethasone suppression test (DST) in patients being treated with indomethacin have been reported.Thus, results of the DST should be interpreted with caution in these patients.

The prothrombin time should be checked frequently in patients who are receiving corticosteroids and coumarin anticoagulants at the same time because of reports that corticosteroids have altered the response to these anticoagulants. Studies have shown that the usual effect produced by adding corticosteroids is inhibition of response to coumarins, although there have been some conflicting reports of potentiation not substantiated by studies.

When corticosteroids are administered concomitantly with potassium-depleting diuretics, patients should be observed closely for development of hypokalemia.

Clinical Pharmacology

Naturally occurring glucocorticoids, (hydrocortisone and cortisone), which also have salt-retaining properties, are used as replacement therapy in adrenocortical deficiency states. Their synthetic analogs, including dexamethasone, are primarily used for their potent anti-inflammatory effects in disorders of many organ systems.

Glucocorticoids cause profound and varied metabolic effects. In addition, they modify the body’s immune responses to diverse stimuli.

At equipotent anti-inflammatory doses, dexamethasone almost completely lacks the sodium-retaining property of hydrocortisone and closely related derivatives of hydrocortisone.

Dosage & Administration

For oral administration: DOSAGE REQUIREMENTS ARE VARIABLE AND MUST BE INDIVIDUALIZED ON THE BASIS OF THE DISEASE AND THE RESPONSE OF THE PATIENT.

The initial dosage varies from 0.75 to 9 mg a day depending on the disease being treated. In less severe diseases doses lower than 0.75 mg may suffice, while in severe diseases doses higher than 9 mg may be required. The initial dosage should be maintained or adjusted until the patient’s response is satisfactory. If satisfactory clinical response does not occur after a reasonable period of time, discontinue Dexamethasone Elixir and transfer the patient to other therapy.

After a favorable initial response, the proper maintenance dosage should be determined by decreasing the initial dosage in small amounts to the lowest dosage that maintains an adequate clinical response.

Patients should be observed closely for signs that might require dosage adjustment, including changes in clinical status resulting from remissions or exacerbations of the disease, individual drug responsiveness, and the effect of stress (e.g., surgery, infection, trauma). During stress it may be necessary to increase dosage temporarily.

If the drug is to be stopped after more than a few days of treatment, it usually should be withdrawn gradually.

The following milligram equivalents facilitate changing to Dexamethasone Elixir from other glucocorticoids:

Dexamethasone

Elixir
Methylprednisolone

and

Triamcinolone
Prednisolone

and

Prednisone
Hydrocortisone Cortisone
0.75 mg = 4 mg = 5 mg = 20 mg = 25 mg

Dexamethasone suppression tests

1. Tests for Cushing’s syndrome.

Give 1 mg of Dexamethasone orally at 11:00 p.m. Blood is drawn for plasma cortisol determination at 8:00 a.m. the following morning.

For greater accuracy, give 0.5 mg of Dexamethasone orally every 6 hours for 48 hours. Twenty-four hour urine collections are made for determination of 17-hydroxycorticosteroid excretion.

2. Test to distinguish Cushing’s syndrome due to pituitary ACTH excess from Cushing’s syndrome due to other causes.

Give 2 mg of Dexamethasone orally every 6 hours for 48 hours. Twenty-four hour urine collections are made for determination of 17-hydroxycorticosteroid excretion.

Information for Patients:

Persons who are on immunosuppressant doses of corticosteroids should be warned to avoid exposure to chickenpox or measles. Patients should also be advised that if they are exposed, medical advice should be sought without delay.


Structured Label Content

Section 42229-5 (42229-5)

To report SUSPECTED ADVERSE REACTIONS, contact Rising Pharma Holdings, Inc. at 1-844-874-7464 or FDA at 1-800-FDA-1088 or www.FDA.gov/medwatch

Section 51945-4 (51945-4)

Rising®       NDC 64980-509-24

Dexamethasone

Elixir, USP

0.5 mg/5 mL

Contains 5.1% Alcohol (% v/v)

NET: 8 fl oz (237 mL)       Rx only

Warnings (WARNINGS)

In patients on corticosteroid therapy subjected to unusual stress, increased dosage of rapidly acting corticosteroids before, during, and after the stressful situation is indicated.

Immunosuppression and Increased Risk of Infection 

Corticosteroids, including Dexamethasone Elixir, suppress the immune system and increase the risk of infection with any pathogen, including viral, bacterial, fungal, protozoan, or helminthic pathogens.

Corticosteriods can:

  • Reduce resistance to new infections
  • Exacerbate existing infections
  • Increase the risk of disseminated infections
  • Incease the risk of reactivation or exacerbation of latent infections
  • Mask some signs of infection

Corticosteriod-associated infections can be mild but can be severe and at times fatal. The rate of infectious complications increases with increasing corticosteriod dosages.

Monitor for the development of infection and consider Dexamethasone Elixir withdrawal or dosage reduction as needed.

Tuberculosis

If Dexamethasone Elixir is used to treat a condition in patients with latent tuberculosis or tuberculin reactivity, reactivation of tuberculosis may occur. Closely monitor such patients for reactivation. During prolonged Dexamethasone Elixir therapy, patients with latent tuberculosis or tuberculin reactivity should receive chemoprophylaxis.

Varicella Zoster and Measles Viral Infections

Varicella and measles can have a serious or even fatal course in non-immune patients taking corticosteriods, including Dexamethasone Elixir. In corticosteriod-treated patients who have not had these diseases or are non-immune, particular care should be taken to avoid exposure to varicella and measles:

  • If a Dexamethasone Elixir-treated patient is exposed to varicella, prophylaxis with varicella zoster immune globulin may be indicated. If varicella develops, treatment with antiviral agents may be considered.
  • If a Dexamethasone Elixir-treated patient is exposed to measles, prophylaxis with immunoglobulin may be indicated.

Hepatitis B Virus Reactivation

Hepatitis B Virus reactivation can occur in patients who are hepatitis B carriers treated with immunosuppressive dosages of corticosteriods, including Dexamethasone Elixir. Reactivation can also occur infrequently in corticosteriod-treated patients who appear to have resolved hepatitis B infection.

Screen patients for hepatitis B infection before intiating immunosuppressive (e.g., prolonged) treatment with Dexamethasone Elixir. For patients who show evidence of hepatitis B infection, recommend consultation with physcians with expertise in managing hepatitis B regarding monitoring and consideration for hepatitis B antiviral therapy.

Fungal Infections

Corticosteriods, including Dexamethasone Elixir, may exacerbate systemic fungal infections; therefore, avoid Dexamethasone Elixir use in the presence of such infections unless Dexamethasone Elixir is needed to control drug reactions. For patients on chronic Dexamethasone Elixir therapy who develop systemic fungal infections, Dexamethasone Elixir withdrawal or dosage reduction is recommended.

Amebiasis

Corticosteriods, including Dexamethasone Elixir, may activate latent amebiasis. Therefore, it is recommended that latent amebiasis or active amebiasis be ruled out before intiating Dexamethasone Elixir in patients who have spent time in the tropics or patients with unexplained diarrhea.

Strongyloides Infestation

Corticosteriods, including Dexamethasone Elixir, should be used with great care in patients with known or suspected Strongyloides (threadworm) infestation. In such patients, cortcosteriod-induced immunosupression may lead to Strongyloides hyperinfection and dissemination with widespread larval migration, often accompanied by severe enterocolitis and potentially fatal gram-negative septicemia.

Cerebral Malaria

Avoid corticosteriods, including Dexamethasone Elixir, in patients with cerebral malaria.

Kaposi's Sarcoma

Kaposi's Sarcoma has been reported to occur in patients receiving corticosteriod therapy, most often for chronic conditions.

Discontinuation of corticosteriods may result in clinical improvement of Kaposi's Sarcoma.

Drug-Induced secondary adrenocortical insufficiency may result from too rapid withdrawal of corticosteroids and may be minimized by gradual reduction of dosage. This type of relative insufficiency may persist for months after discontinuation of therapy; therefore, in any situation of stress occurring during that period, hormone therapy should be reinstituted, if the patient is receiving steroids already, dosage may have to be increased. Since mineralocorticoid secretion may be impaired, salt and/or a mineralocorticoid should be administered concurrently.

In cerebral malaria, a double-blind trial has shown that the use of corticosteroids is associated with prolongation of coma and a higher incidence of pneumonia and gastrointestinal bleeding.

Prolonged use of corticosteroids may produce posterior subcapsular cataracts, glaucoma with possible damage to the optic nerves, and may enhance the establishment of secondary ocular infections due to fungi or viruses.

Usage in Pregnancy: Since adequate human reproduction studies have not been done with corticosteroids, use of these drugs in pregnancy or in women of childbearing potential requires that the anticipated benefits be weighed against the possible hazards to the mother and embryo or fetus. Infants born of mothers who have received substantial doses of corticosteroids during pregnancy should be carefully observed for signs of hypoadrenalism.

Corticosteroids appear in breast milk and could suppress growth, interfere with endogenous corticosteroid production, or cause other unwanted effects. Mothers taking pharmacologic doses of corticosteroids should be advised not to nurse.

Average and large doses of hydrocortisone or cortisone can cause elevation of blood pressure, salt and water retention, and increased excretion of potassium. These effects are less likely to occur with the synthetic derivatives except when used in large doses. Dietary salt restriction and potassium supplementation may be necessary. All corticosteroids increase calcium excretion.

Administration of live virus vaccines, including smallpox, is contraindicated in individuals receiving immunosuppressive doses of corticosteroids. If inactivated viral or bacterial vaccines are administered to individuals receiving immunosuppressive doses of corticosteroids, the expected serum antibody response may not be obtained. However, immunization procedures may be undertaken in patients who are receiving corticosteroids as replacement therapy, e.g., for Addison’s disease.

Literature reports suggest an apparent association between use of corticosteroids and left ventricular free wall rupture after a recent myocardial infarction; therefore, therapy with corticosteroids should be used with great caution in these patients.

Overdosage (OVERDOSAGE)

Reports of acute toxicity and/or death following overdosage of glucocorticoids are rare. In the event of overdosage, no specific antidote is available; treatment is supportive and symptomatic.

The oral LD50 of dexamethasone in female mice was 6.5 g/kg.

Description (DESCRIPTION)

Each 5 mL (teaspoonful) contains:

Dexamethasone, USP . . . . . . . . . . . . . . . . . . . . . . . . . . . . . 0.5 mg

Also contains:

Benzoic Acid, USP . . . . . . . . . . . . . . . . . . . . . . . . . . . . . . . . . 0.1%

  (as preservative)

Alcohol (% v/v) . . . . . . . . . . . . . . . . . . . . . . . . . . . . . . . . . . . 5.1%

Inactive Ingredients: artificial raspberry flavor; citric acid; FD&C red no. 40; sucrose; propylene glycol and purified water. It may also contain sodium citrate dihydrate.

Glucocorticoids are adrenocortical steroids, both naturally occurring and synthetic, which are readily absorbed from the gastrointestinal tract.

Dexamethasone, a synthetic adrenocortical steroid, is a white to practically white, odorless, crystalline powder. It is stable in air. It is practically insoluble in water. The molecular weight is 392.47. It is designated chemically as 9-fluoro-11β,17,21-trihydroxy-16α-methylpregna-1,4-diene-3,20-dione. The molecular formula is C22H29FO5 and the structural formula is:

Precautions (PRECAUTIONS)

Following prolonged therapy, withdrawal of corticosteroids may result in symptoms of the corticosteroid withdrawal syndrome including fever, myalgia, arthralgia, and malaise. This may occur in patients even without evidence of adrenal insufficiency.

There is an enhanced effect of corticosteroids in patients with hypothyroidism and in those with cirrhosis.

Corticosteroids should be used cautiously in patients with ocular herpes simplex because of possible corneal perforation.

The lowest possible dose of corticosteroid should be used to control the condition under treatment, and when reduction in dosage is possible, the reduction should be gradual.

Psychic derangements may appear when corticosteroids are used,ranging from euphoria, insomnia, mood swings, personality changes, and severe depression, to frank psychotic manifestations. Also, existing emotional instability or psychotic tendencies may be aggravated by corticosteroids.

Aspirin should be used cautiously in conjunction with corticosteroids in hypoprothrombinemia.

Steroids should be used with caution in nonspecific ulcerative colitis, if there is a probability of impending perforation, abscess,or other pyogenic infection, diverticulitis, fresh intestinal anastomoses, active or latent peptic ulcer, renal insufficiency,hypertension, osteoporosis and myasthenia gravis. Signs of peritoneal irritation following gastrointestinal perforation in patients receiving large doses of corticosteroids may be minimal or absent. Fat embolism has been reported as a possible complication of hypercortisonism.

When large doses are given, some authorities advise that corticosteroids be taken with meals and antacids taken between meals to help to prevent peptic ulcer.

Growth and development of infants and children on prolonged corticosteroid therapy should be carefully observed.

Steroids may increase or decrease motility and number of spermatozoa in some patients.

Phenytoin, phenobarbital, ephedrine, and rifampin may enhance the metabolic clearance of corticosteroids, resulting in decreased blood levels and lessened physiologic activity, thus requiring adjustment in corticosteroid dosage. These interactions may interfere with dexamethasone suppression tests which should be interpreted with caution during administration of these drugs.

False-negative results in the dexamethasone suppression test (DST) in patients being treated with indomethacin have been reported.Thus, results of the DST should be interpreted with caution in these patients.

The prothrombin time should be checked frequently in patients who are receiving corticosteroids and coumarin anticoagulants at the same time because of reports that corticosteroids have altered the response to these anticoagulants. Studies have shown that the usual effect produced by adding corticosteroids is inhibition of response to coumarins, although there have been some conflicting reports of potentiation not substantiated by studies.

When corticosteroids are administered concomitantly with potassium-depleting diuretics, patients should be observed closely for development of hypokalemia.

How Supplied (HOW SUPPLIED)

Dexamethasone Elixir, USP 0.5 mg/5 mL is supplied as a clear, red, raspberry-flavored liquid in the following size:

   8 fl oz (237 mL) bottle (NDC 64980-509-24)

RECOMMENDED STORAGE

Store at 20˚-25˚C (68˚-77˚F) [See USP Controlled Room Temperature].

KEEP TIGHTLY CLOSED

AVOID FREEZING

Dispense in a tight container as defined in the USP.

Rx Only

Manufactured for:

Rising Pharma Holdings, Inc.

East Brunswick, NJ 08816

Manufactured by:

Lyne Laboratories, Inc.

Brockton, MA 02301

Revised: 08/2025

PIR50924-00

Each 5 mL (teaspoonful) contains:

Dexamethaosne, USP....................................................................................................0.5 mg

Also contains: 

Benzoic Acid, USP (as preservative)................................................................................0.1%

Alcohol (%v/v)............................................................................................................5.1%

USUAL ADULT DOSAGE: See accompanying package insert.

WARNINGS: KEEP THIS AND ALL DRUGS OUT OF THE REACH OF CHILDREN.

In case of accidental overdose, seek professional assistance or contact a Poison Control Center immediately.

Store at 20º – 25ºC (68º – 77ºF)

[see USP Controlled Room Temperature].

KEEP TIGHTLY CLOSED

AVOID FREEZING

Dispense in a tight container as defined in the USP.

Manufactured for:

Rising Pharma Holdings, Inc.

East Brunswick, NJ 08816

Manufactured by:

Lyne Laboratories, Inc. 

Brockton, MA 02301

Revised: 08/2025

LR50924-00

Adverse Reactions (ADVERSE REACTIONS)
Fluid and Electrolyte Disturbances:
Sodium retention

Fluid retention

Congestive heart failure in susceptible patients
Potassium loss

Hypokalemic alkalosis

Hypertension
Musculoskeletal:
Muscle weakness

Steroid myopathy

Osteoporosis

Aseptic necrosis of femoral and humeral heads
Vertebral compression fractures

Loss of muscle mass

Pathologic fracture of long bones

Tendon rupture
Gastrointestinal:
Pancreatitis

Abdominal distention

Peptic ulcer with possible perforation and hemorrhage
Ulcerative esophagitis

Perforation of the small and large bowel, particularly in patients with inflammatory bowel disease
Dermatologic:
Impaired wound healing

Thin fragile skin

Erythema

May suppress reactions to skin tests
Petechiae and ecchymoses

Increased sweating

Other cutaneous reactions, such as allergic dermatitis, urticaria, angioneurotic edema
Neurologic:
Convulsions

Vertigo

Headache

Psychic Disturbances
Increased intracranial pressure with papilledema (pseudotumor cerebri) usually after treatment
Endocrine:
Menstrual irregularities

Development of cushingoid state

Manifestations of latent diabetes mellitus

Secondary adrenocortical and pituitary unresponsiveness, particularly in times of stress, as in trauma, surgery, or illness
Decreased carbohydrate tolerance

Suppression of growth in children

Increased requirements for insulin or oral hypoglycemic agents in diabetes

Hirsutism
Ophthalmic:
Posterior subcapsular cataracts

Increased intraocular pressure
Glaucoma

Exophthalmos
Metabolic:
Negative nitrogen balance due to protein catabolism
Cardiovascular:
Myocardial rupture following recent myocardial infarction (See WARNINGS)
Other:
Hypersensitivity

Thromboembolism

Weight gain

Increased appetite
Nausea

Malaise

Hiccups
Contraindications (CONTRAINDICATIONS)

Systemic fungal infections

Hypersensitivity to this product

Clinical Pharmacology (CLINICAL PHARMACOLOGY)

Naturally occurring glucocorticoids, (hydrocortisone and cortisone), which also have salt-retaining properties, are used as replacement therapy in adrenocortical deficiency states. Their synthetic analogs, including dexamethasone, are primarily used for their potent anti-inflammatory effects in disorders of many organ systems.

Glucocorticoids cause profound and varied metabolic effects. In addition, they modify the body’s immune responses to diverse stimuli.

At equipotent anti-inflammatory doses, dexamethasone almost completely lacks the sodium-retaining property of hydrocortisone and closely related derivatives of hydrocortisone.

Indications and Usage (INDICATIONS AND USAGE)
  • Endocrine Disorders: Primary or secondary adrenocortical insufficiency (hydrocortisone or cortisone is the first choice; synthetic analogs may be used in conjunction with mineralocorticoids where applicable; in infancy mineralocorticoid supplementation is of particular importance).

    Congenital adrenal hyperplasia

    Nonsuppurative thyroiditis

    Hypercalcemia associated with cancer
  • Rheumatic Disorders: As adjunctive therapy for short-term administration (to tide the patient over an acute episode or exacerbation) in:

    Psoriatic arthritis

    Rheumatoid arthritis, including juvenile rheumatoid arthritis (selected cases may require low-dose maintenance therapy)

    Ankylosing spondylitis

    Acute and subacute bursitis

    Acute nonspecific tenosynovitis

    Acute gouty arthritis

    Post-traumatic osteoarthritis

    Synovitis of osteoarthritis

    Epicondylitis
  • Collagen Diseases: During an exacerbation or as maintenance therapy in selected cases of:

    Systemic lupus erythematosus

    Acute rheumatic carditis
  • Dermatologic Diseases:

    Pemphigus

    Bullous dermatitis herpetiformis

    Severe erythema multiforme (Stevens-Johnson syndrome)

    Exfoliative dermatitis

    Mycosis fungoides

    Severe psoriasis

    Severe seborrheic dermatitis
  • Allergic States: Control of severe or incapacitating allergic conditions intractable to adequate trials of conventional treatment:

    Seasonal or perennial allergic rhinitis

    Bronchial asthma

    Contact dermatitis

    Atopic dermatitis

    Serum sickness

    Drug hypersensitivity reactions
  • Ophthalmic Diseases: Severe acute and chronic allergic and inflammatory processes involving the eye and its adnexa, such as:

    Allergic conjunctivitis

    Keratitis

    Allergic corneal marginal ulcers

    Herpes zoster ophthalmicus

    Iritis and iridocyclitis

    Chorioretinitis

    Anterior segment inflammation

    Diffuse posterior uveitis and choroiditis

    Optic neuritis

    Sympathetic ophthalmia
  • Respiratory Diseases:

    Symptomatic sarcoidosis

    Loeffler's syndrome not manageable by other means

    Berylliosis

    Fulminating or disseminated pulmonary tuberculosis when used concurrently with appropriate antituberculous chemotherapy

    Aspiration pneumonitis
  • Hematologic Disorders:

    Idiopathic thrombocytopenic purpura in adults

    Secondary thrombocytopenia in adults

    Acquired (autoimmune) hemolytic anemia

    Erythroblastopenia (RBC anemia)

    Congenital (erythroid) hypoplastic anemia
  • Neoplastic Diseases: For palliative management of:

    Leukemia and lymphomas in adults

    Acute leukemia of childhood
  • Edematous States: To induce a diuresis or remission of proteinuria in the nephrotic syndrome, without uremia, of the idiopathic type or that due to lupus erythematosus
  • Gastrointestinal Diseases: To tide the patient over a critical period of the disease in:

    Ulcerative colitis

    Regional enteritis
  • Miscellaneous:

    Tuberculous meningitis with subarachnoid block or impending block when used concurrently with appropriate antituberculous chemotherapy

    Trichinosis with neurologic or myocardial involvement
  • Diagnostic testing of adrenocortical hyperfunction.
Dosage & Administration (DOSAGE & ADMINISTRATION)

For oral administration: DOSAGE REQUIREMENTS ARE VARIABLE AND MUST BE INDIVIDUALIZED ON THE BASIS OF THE DISEASE AND THE RESPONSE OF THE PATIENT.

The initial dosage varies from 0.75 to 9 mg a day depending on the disease being treated. In less severe diseases doses lower than 0.75 mg may suffice, while in severe diseases doses higher than 9 mg may be required. The initial dosage should be maintained or adjusted until the patient’s response is satisfactory. If satisfactory clinical response does not occur after a reasonable period of time, discontinue Dexamethasone Elixir and transfer the patient to other therapy.

After a favorable initial response, the proper maintenance dosage should be determined by decreasing the initial dosage in small amounts to the lowest dosage that maintains an adequate clinical response.

Patients should be observed closely for signs that might require dosage adjustment, including changes in clinical status resulting from remissions or exacerbations of the disease, individual drug responsiveness, and the effect of stress (e.g., surgery, infection, trauma). During stress it may be necessary to increase dosage temporarily.

If the drug is to be stopped after more than a few days of treatment, it usually should be withdrawn gradually.

The following milligram equivalents facilitate changing to Dexamethasone Elixir from other glucocorticoids:

Dexamethasone

Elixir
Methylprednisolone

and

Triamcinolone
Prednisolone

and

Prednisone
Hydrocortisone Cortisone
0.75 mg = 4 mg = 5 mg = 20 mg = 25 mg

Dexamethasone suppression tests

1. Tests for Cushing’s syndrome.

Give 1 mg of Dexamethasone orally at 11:00 p.m. Blood is drawn for plasma cortisol determination at 8:00 a.m. the following morning.

For greater accuracy, give 0.5 mg of Dexamethasone orally every 6 hours for 48 hours. Twenty-four hour urine collections are made for determination of 17-hydroxycorticosteroid excretion.

2. Test to distinguish Cushing’s syndrome due to pituitary ACTH excess from Cushing’s syndrome due to other causes.

Give 2 mg of Dexamethasone orally every 6 hours for 48 hours. Twenty-four hour urine collections are made for determination of 17-hydroxycorticosteroid excretion.

Information for Patients:

Persons who are on immunosuppressant doses of corticosteroids should be warned to avoid exposure to chickenpox or measles. Patients should also be advised that if they are exposed, medical advice should be sought without delay.


Advanced Ingredient Data


Raw Label Data

All Sections (JSON)