These Highlights Do Not Include All The Information Needed To Use Cisatracurium Besylate Injection Safely And Effectively. See Full Prescribing Information For Cisatracurium Besylate Injection.

These Highlights Do Not Include All The Information Needed To Use Cisatracurium Besylate Injection Safely And Effectively. See Full Prescribing Information For Cisatracurium Besylate Injection.
SPL v6
SPL
SPL Set ID 7c8c41b6-d07c-4740-84b7-603289104c59
Route
INTRAVENOUS
Published
Effective Date 2023-01-19
Document Type 34391-3 HUMAN PRESCRIPTION DRUG LABEL

Drug Facts

Composition & Product

Active Ingredients
Cisatracurium (10 mg)
Inactive Ingredients
Benzenesulfonic Acid Benzyl Alcohol

Identifiers & Packaging

Marketing Status
ANDA Active Since 2019-10-31

Description

Cisatracurium Besylate Injection is indicated: as an adjunct to general anesthesia to facilitate tracheal intubation in adults and in pediatric patients 1 month to 12 years of age to provide skeletal muscle relaxation in adults during surgical procedures or during mechanical ventilation in the ICU to provide skeletal muscle relaxation during surgical procedures via infusion in pediatric patients 2 years and older Limitations of Use Cisatracurium Besylate Injection is not recommended for rapid sequence endotracheal intubation due to the time required for its onset of action.

Indications and Usage

Cisatracurium Besylate Injection is indicated: as an adjunct to general anesthesia to facilitate tracheal intubation in adults and in pediatric patients 1 month to 12 years of age to provide skeletal muscle relaxation in adults during surgical procedures or during mechanical ventilation in the ICU to provide skeletal muscle relaxation during surgical procedures via infusion in pediatric patients 2 years and older Limitations of Use Cisatracurium Besylate Injection is not recommended for rapid sequence endotracheal intubation due to the time required for its onset of action.

Dosage and Administration

Store cisatracurium besylate injection with the cap and ferrule intact and in a manner that minimizes the possibility of selecting the wrong product ( 2.1 ) Administer intravenously only by or under the supervision of experienced clinicians familiar with drug's actions and possible complications ( 2.1 ) Use only if personnel and facilities for resuscitation and life support, and a cisatracurium besylate injection antagonist are immediately available ( 2.1 ) Use a peripheral nerve stimulator to determine adequacy of blockade (e.g., need for additional doses), minimize risk of overdosage or underdosage, assess extent of recovery from blockade, potentially limit exposure to toxic metabolites through dose titration, and facilitate more rapid reversal of cisatracurium besylate injection-induced paralysis ( 2.1 ) See the Full Prescribing Information for: Dosage and administration instructions in adults, pediatric patients, geriatric patients, patients with neuromuscular disease, burns, end-stage renal disease, and patients undergoing coronary artery bypass graft surgery with induced hypothermia ( 2.2 , 2.3 , 2.4 , 2.5 ) Continuous infusion rates ( 2.6 ) Preparation instructions ( 2.7 ) Drug compatibility ( 2.8 )

Warnings and Precautions

Residual Paralysis : Patients with neuromuscular diseases are at higher risk. Use a lower initial bolus dose and consider using a reversal agent in these patients. ( 2.2 , 5.1 ) Benzyl Alcohol : Consider combined daily load of benzyl alcohol from all sources when the 10 mL multi-dose vials are used in infants ( 4 , 5.2 ) Risk of Seizure : Monitor level of neuromuscular blockade during long-term administration to limit exposure to toxic metabolites ( 5.3 ) Hypersensitivity Reactions and Anaphylaxis : Severe hypersensitivity reactions including anaphylactic reactions have been reported. Consider cross-reactivity among neuromuscular blocking agents, both depolarizing and non-depolarizing. ( 4 , 5.4 ) Risk of Death due to Medication Errors : Accidental administration can cause death. ( 5.5 ) Inadequate Anesthesia : Use cisatracurium besylate in the presence of appropriate sedation or general anesthesia and monitor patients to ensure level of anesthesia is adequate ( 5.6 )

Contraindications

Cisatracurium besylate is contraindicated in patients with known hypersensitivity to cisatracurium. Severe anaphylactic reactions to cisatracurium besylate have been reported [see Warnings and Precautions ( 5.4 )] . The use of 10 mL cisatracurium besylate multi-dose vials is contraindicated for use in pediatric patients less than 1 month of age and low birth-weight infants because the formulation contains benzyl alcohol [see Warnings and Precautions ( 5.2 ) and Use in Specific Populations ( 8.4 )] .

Adverse Reactions

The most common adverse reactions (0.1% to 0.4%) were bradycardia, hypotension, flushing, bronchospasm, and rash. ( 6.1 ) To report SUSPECTED ADVERSE REACTIONS, contact Meitheal Pharmaceuticals Inc. at 1-844-824-8426 or FDA at 1-800-FDA-1088 or www.fda.gov/medwatch .

Drug Interactions

In clinical studies, propofol had no effect on the duration of action or dosing requirements for cisatracurium besylate. Cisatracurium besylate is not compatible with propofol for Y-site administration.

Storage and Handling

Cisatracurium Besylate Injection, USP is a colorless to slight yellow or greenish yellow solution supplied as follows: NDC Cisatracurium Besylate Injection, USP (2 mg per mL) Package Factor 71288- 712 -06 10 mg per 5 mL Single-Dose Vial, Preservative-free 10 vials per carton 71288- 714 -11 20 mg per 10 mL Multi-Dose Vial, Contains 0.9% w/v 10 vials per carton benzyl alcohol [see Warnings and Precautions ( 5.2 )] NDC Cisatracurium Besylate Injection, USP (10 mg per mL) Package Factor 71288- 713 -21 200 mg per 20 mL Single-Dose Vial, Preservative-free 10 vials per carton Discard unused portion of the 5 mL and 20 mL single-dose vials.

How Supplied

Cisatracurium Besylate Injection, USP is a colorless to slight yellow or greenish yellow solution supplied as follows: NDC Cisatracurium Besylate Injection, USP (2 mg per mL) Package Factor 71288- 712 -06 10 mg per 5 mL Single-Dose Vial, Preservative-free 10 vials per carton 71288- 714 -11 20 mg per 10 mL Multi-Dose Vial, Contains 0.9% w/v 10 vials per carton benzyl alcohol [see Warnings and Precautions ( 5.2 )] NDC Cisatracurium Besylate Injection, USP (10 mg per mL) Package Factor 71288- 713 -21 200 mg per 20 mL Single-Dose Vial, Preservative-free 10 vials per carton Discard unused portion of the 5 mL and 20 mL single-dose vials.


Medication Information

Warnings and Precautions

Residual Paralysis : Patients with neuromuscular diseases are at higher risk. Use a lower initial bolus dose and consider using a reversal agent in these patients. ( 2.2 , 5.1 ) Benzyl Alcohol : Consider combined daily load of benzyl alcohol from all sources when the 10 mL multi-dose vials are used in infants ( 4 , 5.2 ) Risk of Seizure : Monitor level of neuromuscular blockade during long-term administration to limit exposure to toxic metabolites ( 5.3 ) Hypersensitivity Reactions and Anaphylaxis : Severe hypersensitivity reactions including anaphylactic reactions have been reported. Consider cross-reactivity among neuromuscular blocking agents, both depolarizing and non-depolarizing. ( 4 , 5.4 ) Risk of Death due to Medication Errors : Accidental administration can cause death. ( 5.5 ) Inadequate Anesthesia : Use cisatracurium besylate in the presence of appropriate sedation or general anesthesia and monitor patients to ensure level of anesthesia is adequate ( 5.6 )

Indications and Usage

Cisatracurium Besylate Injection is indicated: as an adjunct to general anesthesia to facilitate tracheal intubation in adults and in pediatric patients 1 month to 12 years of age to provide skeletal muscle relaxation in adults during surgical procedures or during mechanical ventilation in the ICU to provide skeletal muscle relaxation during surgical procedures via infusion in pediatric patients 2 years and older Limitations of Use Cisatracurium Besylate Injection is not recommended for rapid sequence endotracheal intubation due to the time required for its onset of action.

Dosage and Administration

Store cisatracurium besylate injection with the cap and ferrule intact and in a manner that minimizes the possibility of selecting the wrong product ( 2.1 ) Administer intravenously only by or under the supervision of experienced clinicians familiar with drug's actions and possible complications ( 2.1 ) Use only if personnel and facilities for resuscitation and life support, and a cisatracurium besylate injection antagonist are immediately available ( 2.1 ) Use a peripheral nerve stimulator to determine adequacy of blockade (e.g., need for additional doses), minimize risk of overdosage or underdosage, assess extent of recovery from blockade, potentially limit exposure to toxic metabolites through dose titration, and facilitate more rapid reversal of cisatracurium besylate injection-induced paralysis ( 2.1 ) See the Full Prescribing Information for: Dosage and administration instructions in adults, pediatric patients, geriatric patients, patients with neuromuscular disease, burns, end-stage renal disease, and patients undergoing coronary artery bypass graft surgery with induced hypothermia ( 2.2 , 2.3 , 2.4 , 2.5 ) Continuous infusion rates ( 2.6 ) Preparation instructions ( 2.7 ) Drug compatibility ( 2.8 )

Contraindications

Cisatracurium besylate is contraindicated in patients with known hypersensitivity to cisatracurium. Severe anaphylactic reactions to cisatracurium besylate have been reported [see Warnings and Precautions ( 5.4 )] . The use of 10 mL cisatracurium besylate multi-dose vials is contraindicated for use in pediatric patients less than 1 month of age and low birth-weight infants because the formulation contains benzyl alcohol [see Warnings and Precautions ( 5.2 ) and Use in Specific Populations ( 8.4 )] .

Adverse Reactions

The most common adverse reactions (0.1% to 0.4%) were bradycardia, hypotension, flushing, bronchospasm, and rash. ( 6.1 ) To report SUSPECTED ADVERSE REACTIONS, contact Meitheal Pharmaceuticals Inc. at 1-844-824-8426 or FDA at 1-800-FDA-1088 or www.fda.gov/medwatch .

Drug Interactions

In clinical studies, propofol had no effect on the duration of action or dosing requirements for cisatracurium besylate. Cisatracurium besylate is not compatible with propofol for Y-site administration.

Storage and Handling

Cisatracurium Besylate Injection, USP is a colorless to slight yellow or greenish yellow solution supplied as follows: NDC Cisatracurium Besylate Injection, USP (2 mg per mL) Package Factor 71288- 712 -06 10 mg per 5 mL Single-Dose Vial, Preservative-free 10 vials per carton 71288- 714 -11 20 mg per 10 mL Multi-Dose Vial, Contains 0.9% w/v 10 vials per carton benzyl alcohol [see Warnings and Precautions ( 5.2 )] NDC Cisatracurium Besylate Injection, USP (10 mg per mL) Package Factor 71288- 713 -21 200 mg per 20 mL Single-Dose Vial, Preservative-free 10 vials per carton Discard unused portion of the 5 mL and 20 mL single-dose vials.

How Supplied

Cisatracurium Besylate Injection, USP is a colorless to slight yellow or greenish yellow solution supplied as follows: NDC Cisatracurium Besylate Injection, USP (2 mg per mL) Package Factor 71288- 712 -06 10 mg per 5 mL Single-Dose Vial, Preservative-free 10 vials per carton 71288- 714 -11 20 mg per 10 mL Multi-Dose Vial, Contains 0.9% w/v 10 vials per carton benzyl alcohol [see Warnings and Precautions ( 5.2 )] NDC Cisatracurium Besylate Injection, USP (10 mg per mL) Package Factor 71288- 713 -21 200 mg per 20 mL Single-Dose Vial, Preservative-free 10 vials per carton Discard unused portion of the 5 mL and 20 mL single-dose vials.

Description

Cisatracurium Besylate Injection is indicated: as an adjunct to general anesthesia to facilitate tracheal intubation in adults and in pediatric patients 1 month to 12 years of age to provide skeletal muscle relaxation in adults during surgical procedures or during mechanical ventilation in the ICU to provide skeletal muscle relaxation during surgical procedures via infusion in pediatric patients 2 years and older Limitations of Use Cisatracurium Besylate Injection is not recommended for rapid sequence endotracheal intubation due to the time required for its onset of action.

Section 42229-5

Tracheal Intubation in Adults

Prior to selecting the initial cisatracurium besylate injection bolus dose, consider the desired time to tracheal intubation and the anticipated length of surgery, factors affecting time to onset of complete neuromuscular block such as age and renal function, and factors that may influence intubation conditions such as the presence of co-induction agents (e.g., fentanyl and midazolam) and the depth of anesthesia.

In conjunction with a propofol/nitrous oxide/oxygen induction-intubation technique or a thiopental/nitrous oxide/oxygen induction-intubation technique, the recommended starting weight-based dose of cisatracurium besylate injection is between 0.15 mg/kg and 0.2 mg/kg administered by bolus intravenous injection. Doses up to 0.4 mg/kg have been safely administered by bolus intravenous injection to healthy patients and patients with serious cardiovascular disease [see Clinical Pharmacology (12.2)].

Section 44425-7

Storage

Refrigerate Cisatracurium Besylate Injection, USP at 2° to 8°C (36° to 46°F) in the carton to preserve potency. Protect from light. DO NOT FREEZE. Upon removal of the unused vial from refrigeration to room temperature storage conditions (at 20° to 25°C (68° to 77°F) [See USP Controlled Room Temperature], use Cisatracurium Besylate Injection, USP within 21 days, even if re-refrigerated.

Sterile, Nonpyrogenic.

The container closure is not made with natural rubber latex.

Brands listed are the trademarks of their respective owners.

10 Overdosage

Overdosage with neuromuscular blocking agents may result in neuromuscular blockade beyond the time needed for surgery and anesthesia. The primary treatment is maintenance of a patent airway and controlled ventilation until recovery of normal neuromuscular function is assured.

Once recovery from neuromuscular block begins, further recovery may be facilitated by administration of a cholinesterase inhibitor (e.g., neostigmine, edrophonium) in conjunction with an appropriate cholinergic inhibitor. Cholinesterase inhibitors should not be administered when complete neuromuscular blockade is evident or suspected because the reversal of paralysis may not be sufficient to maintain a patent airway and support an appropriate level of spontaneous ventilation.

  • Neostigmine: Administration of 0.04 to 0.07 mg/kg of neostigmine at approximately 10% recovery from neuromuscular blockade (range: 0 to 15%) produced 95% recovery of the muscle twitch response and a T4:T1 ratio ≥ 70% in an average of 9 to 10 minutes. The times from 25% recovery of the muscle twitch response to a T4:T1 ratio ≥ 70% following these doses of neostigmine averaged 7 minutes. The mean 25% to 75% recovery index following reversal was 3 to 4 minutes.
  • Edrophonium: Administration of 1 mg/kg of edrophonium at approximately 25% recovery from neuromuscular blockade (range: 16% to 30%) produced 95% recovery and a T4:T1 ratio ≥ 70% in an average of 3 to 5 minutes.

For providers treating patients treated with cholinesterase inhibitors:

  • Use a peripheral nerve stimulator to evaluate recovery and antagonism of neuromuscular blockade.
  • Evaluate for evidence of adequate clinical recovery (e.g., 5-second head lift and grip strength).
  • Support ventilation until adequate spontaneous ventilation has resumed.

The onset of antagonism may be delayed in the presence of debilitation, cachexia, carcinomatosis, and the concomitant use of certain broad spectrum antibiotics, or anesthetic agents and other drugs which enhance neuromuscular block or separately cause respiratory depression [see Drug Interactions (7.1)]. Under such circumstances the management is the same as that of prolonged neuromuscular block.

8.2 Lactation

Risk Summary

The 10 mL cisatracurium besylate injection multi-dose vials contains the preservative benzyl alcohol. Therefore, if cisatracurium besylate is needed during lactation, consider using a benzyl alcohol-free formulation (i.e., 5 mL and 20 mL cisatracurium besylate injection single-dose vials). Because benzyl alcohol is rapidly metabolized by a lactating woman, benzyl alcohol exposure in the breastfed infant is unlikely. However, adverse reactions have occurred in premature neonates and low birth weight infants who received intravenously administered benzyl alcohol-containing drugs [see Contraindications (4), Warnings and Precautions (5.2) and Use in Specific Populations (8.4)].

There are no data on the presence of cisatracurium besylate in human milk, the effects on the breastfed child, or the effects on milk production. The developmental and health benefits of breastfeeding should be considered along with the mother's clinical need for cisatracurium besylate and any potential adverse effects on the breastfed child from cisatracurium besylate or from the underlying maternal condition.

11 Description

Cisatracurium besylate is a nondepolarizing skeletal neuromuscular blocker for intravenous administration. Compared to other neuromuscular blockers, it is intermediate in its onset and duration of action. Cisatracurium Besylate Injection, USP contains cisatracurium besylate as the active pharmaceutical ingredient.

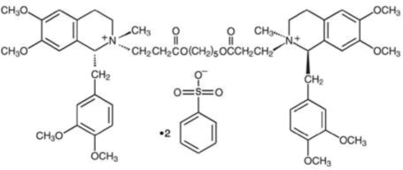
Cisatracurium besylate is one of 10 isomers of atracurium besylate and constitutes approximately 15% of that mixture. Cisatracurium besylate is [1R-[1α,2α(1'R*,2'R*)]]-2,2'-[1,5-pentanediylbis[oxy(3-oxo-3,1-propanediyl)]]bis[1-[(3,4-dimethoxyphenyl)methyl]-1,2,3,4-tetrahydro-6,7-dimethoxy-2-methylisoquinolinium] dibenzenesulfonate. The molecular formula of the cisatracurium parent bis-cation is C53H72N2O12 and the molecular weight is 929.2. The molecular formula of cisatracurium as the besylate salt is C65H82N2O18S2 and the molecular weight is 1243.48. The structural formula of cisatracurium besylate is:

The log of the partition coefficient of cisatracurium besylate is -2.12 in a 1-octanol/distilled water system at 25°C.

Cisatracurium Besylate Injection, USP is a sterile, nonpyrogenic aqueous solution.

Each mL in the single-dose vials contains either 2 mg or 10 mg of cisatracurium (equivalent to 2.68 mg and 13.38 mg of cisatracurium besylate; respectively), and benzenesulfonic acid as pH adjuster in water for injection.

Each mL in the multi-dose vials contains 2 mg of cisatracurium (equivalent to 2.68 mg of cisatracurium besylate), benzenesulfonic acid as pH adjuster, and also contains 9 mg of benzyl alcohol as preservative, in water for injection.

The pH of Cisatracurium Besylate Injection, USP is between 3.0 and 3.8.

8.4 Pediatric Use

The safety and effectiveness of cisatracurium besylate as an adjunct to general anesthesia to facilitate tracheal intubation, and to provide skeletal muscle relaxation during surgery in pediatric patients 1 month through 12 years of age were established from three studies in pediatric patients [see Dosing and Administration (2.2, 2.5) and Clinical Studies (14.2)]. The three open-label studies are summarized below.

The safety and effectiveness of cisatracurium besylate have not been established in pediatric patients less than 1 month of age.

8.5 Geriatric Use

Of the total number of subjects (135) in clinical studies of cisatracurium besylate, 57, 63, and 15 subjects were 65-70 years old, 70-80 years old, and greater than 80 years old, respectively. The geriatric population included a subset of patients with significant cardiovascular disease [see Clinical Pharmacology (12.3)].

Because the time to maximum neuromuscular blockade is approximately 1 minute slower in geriatric patients compared to younger patients, consider extending the interval between administering cisatracurium besylate and attempting intubation by at least 1 minute to achieve adequate intubation conditions [see Dosage and Administration (2.2) and Clinical Pharmacology (12.2)].

The time to maximum neuromuscular blockade is approximately 1 minute slower in geriatric patients, a difference that should be taken into account when selecting a neuromuscular blocking agent (e.g., the need to rapidly secure the airway) and when initiating laryngoscopy [see Clinical Pharmacology (12.3)]. Minor differences in the pharmacokinetics of cisatracurium between elderly and young adult patients were not associated with clinically significant differences in the recovery profile of cisatracurium besylate following a single 0.1 mg/kg dose.

Besides the differences noted above, no overall differences in safety or effectiveness were observed between geriatric and younger subjects, and other reported clinical experience has not identified differences in responses between geriatric and younger subjects, but greater sensitivity of some older individuals to cisatracurium besylate cannot be ruled out.

8.8 Burn Patients

Patients with burns have been shown to develop resistance to nondepolarizing neuromuscular blocking agents. The extent of altered response depends upon the size of the burn and the time elapsed since the burn injury. Cisatracurium besylate has not been studied in patients with burns. However, based on its structural similarity to another neuromuscular blocking agent, consider the possibility of increased dosage requirements and shortened duration of action if cisatracurium besylate is administered to burn patients.

4 Contraindications
  • Cisatracurium besylate is contraindicated in patients with known hypersensitivity to cisatracurium. Severe anaphylactic reactions to cisatracurium besylate have been reported [see Warnings and Precautions (5.4)].
  • The use of 10 mL cisatracurium besylate multi-dose vials is contraindicated for use in pediatric patients less than 1 month of age and low birth-weight infants because the formulation contains benzyl alcohol [see Warnings and Precautions (5.2) and Use in Specific Populations (8.4)].
5.3 Risk of Seizure

Laudanosine, an active metabolite of cisatracurium besylate, has been shown to cause seizures in animals. cisatracurium besylate-treated patients with renal or hepatic impairment may have higher metabolite concentrations (including laudanosine) than patients with normal renal and hepatic function [see Clinical Pharmacology (12.3)]. Therefore, patients with renal or hepatic impairment receiving extended administration of cisatracurium besylate may be at higher risk of seizures.

The level of neuromuscular blockade during long-term cisatracurium besylate administration should be monitored with a nerve stimulator to titrate cisatracurium besylate administration to the patients' needs and limit exposure to toxic metabolites.

6 Adverse Reactions

The most common adverse reactions (0.1% to 0.4%) were bradycardia, hypotension, flushing, bronchospasm, and rash. (6.1)

To report SUSPECTED ADVERSE REACTIONS, contact Meitheal Pharmaceuticals Inc. at 1-844-824-8426 or FDA at 1-800-FDA-1088 or www.fda.gov/medwatch .

7 Drug Interactions
  • Succinylcholine: May decrease time to onset of maximum neuromuscular blockade (7.1)
  • Inhalational anesthetics, antibiotics, local anesthetics, magnesium salts, procainamide, lithium, quinidine: May potentiate or prolong neuromuscular blockade action of cisatracurium besylate. Use peripheral nerve stimulator and monitor clinical signs of neuromuscular blockade. (5.8, 7.1)
  • Phenytoin and Carbamazepine: May shorten duration of neuromuscular blockade. Use peripheral nerve stimulator and monitor clinical signs of neuromuscular blockade. (5.9, 7.1)
12.2 Pharmacodynamics

The average ED95 (dose required to produce 95% suppression of the adductor pollicis muscle twitch response to ulnar nerve stimulation) of cisatracurium is 0.05 mg/kg (range: 0.048 to 0.053) in adults receiving opioid/nitrous oxide/oxygen anesthesia.

The pharmacodynamics of various cisatracurium besylate doses administered over 5 to 10 seconds during opioid/nitrous oxide/oxygen anesthesia are summarized in Table 5. When the cisatracurium besylate dose is doubled, the clinically effective duration of blockade increases by approximately 25 minutes. Once recovery begins, the rate of recovery is independent of dose.

Isoflurane or enflurane administered with nitrous oxide/oxygen to achieve 1.25 MAC (Minimum Alveolar Concentration) prolonged the clinically effective duration of action of initial and maintenance cisatracurium besylate doses, and decreased the average infusion rate requirement of cisatracurium besylate. The magnitude of these effects depended on the duration of administration of the volatile agents:

  • Fifteen to 30 minutes of exposure to 1.25 MAC isoflurane or enflurane had minimal effects on the duration of action of initial doses of cisatracurium besylate.
  • In surgical procedures during enflurane or isoflurane anesthesia greater than 30 minutes, less frequent maintenance dosing, lower maintenance doses, or reduced infusion rates of cisatracurium besylate were required. The average infusion rate requirement was decreased by as much as 30% to 40% [see Drug Interactions (7.1)].

The onset, duration of action, and recovery profiles of cisatracurium besylate during propofol/oxygen or propofol/nitrous oxide/oxygen anesthesia were similar to those during opioid/nitrous oxide/oxygen anesthesia (see Table 5).

Repeated administration of maintenance cisatracurium besylate doses or a continuous cisatracurium besylate infusion for up to 3 hours was not associated with development of tachyphylaxis or cumulative neuromuscular blocking effects. The time needed to recover from successive maintenance doses did not change with the number of doses administered when partial recovery occurred between doses. The rate of spontaneous recovery of neuromuscular function after cisatracurium besylate infusion was independent of the duration of infusion and comparable to the rate of recovery following initial doses (see Table 5).

Pediatric patients including infants generally had a shorter time to maximum neuromuscular blockade and a faster recovery from neuromuscular blockade compared to adults treated with the same weight-based doses (see Table 5).

Table 5. Pharmacodynamic Dose Response* of Cisatracurium Besylate During Opioid/Nitrous Oxide/Oxygen Anesthesia

* Values shown are the median values from the means from individual studies. Values in parentheses are ranges of individual patient values.

Clinically effective duration of block

Train-of-four ratio

§ n=the number of patients with Time to Maximum Block data

|| Propofol anesthesia

¶ Halothane anesthesia

** Thiopentone, alfentanil, N2O/O2 anesthesia

Cisatracurium Besylate

Dose
Time to 90%

Block in minutes
Time to Maximum Block in minutes 5%

Recovery in minutes
25%

Recovery in minutes
95%

Recovery in minutes
T 4 :T 1

Ratio ≥ 70% in minutes
25%-75%

Recovery Index

in minutes
Adults
0.1 mg/kg 3.3 5.0 33 42 64 64 13
(2 × ED95)

(n§= 98)
(1.0-8.7) (1.2-17.2) (15-51) (22-63) (25-93) (32-91) (5-30)
0.15|| mg/kg 2.6 3.5 46 55 76 75 13
(3 × ED95) (1.0-4.4) (1.6-6.8) (28-65) (44-74) (60-103) (63-98) (11-16)
(n = 39)
0.2 mg/kg 2.4 2.9 59 65 81 85 12
(4 × ED95) (1.5-4.5) (1.9-5.2) (31-103) (43-103) (53-114) (55-114) (2-30)
(n = 30)
0.25 mg/kg 1.6 2.0 70 78 91 97 8
(5 × ED95) (0.8-3.3) (1.2-3.7) (58-85) (66-86) (76-109) (82-113) (5-12)
(n = 15)
0.4 mg/kg 1.5 1.9 83 91 121 126 14
(8 × ED95) (1.3-1.8) (1.4-2.3) (37-103) (59-107) (110-134) (115-137) (10-18)
(n = 15)
Infants (1-23 months of age)
0.15 mg/kg** 1.5 2.0 36 43 64 59 11.3
(n = 18-26) (0.7-3.2) (1.3-4.3) (28-50) (34-58) (54-84) (49-76) (7.3-18.3)
Pediatric Patients 2-12 years

0.08 mg/kg

(2 × ED95)

2.2

(1.2-6.8)
3.3

(1.7-9.7)
22

(11-38)
29

(20-46)
52

(37-64)
50

(37-62)
11

(7-15)
(n = 60)
0.1 mg/kg 1.7 2.8 21 28 46 44 10
(n = 16) (1.3-2.7) (1.8-6.7) (13-31) (21-38) (37-58) (36-58) (7-12)
0.15 mg/kg** 2.1 3.0 29 36 55 54 10.6
 (n = 23-24) (1.3-2.8) (1.5-8.0) (19-38) (29-46) (45-72) (44-66) (8.5-17.7)

Hemodynamics Profile

Cisatracurium besylate had no dose-related effects on mean arterial blood pressure (MAP) or heart rate (HR) following doses ranging from 0.1 mg/kg to 0.4 mg/kg, administered over 5 to 10 seconds, in healthy adult patients (see Figure 1) or in patients with serious cardiovascular disease (see Figure 2).

A total of 141 patients undergoing coronary artery bypass graft (CABG) surgery were administered cisatracurium besylate in three active-controlled clinical trials and received doses ranging from 0.1 mg/kg to 0.4 mg/kg. While the hemodynamic profile was comparable in both the cisatracurium besylate and active control groups, data for doses above 0.3 mg/kg in this population are limited.

Figure 1. Maximum Percent Change from Preinjection in HR and MAP During First 5 Minutes after Initial 4 × ED95 to 8 × ED95 Cisatracurium Besylate Doses in Healthy Adults Who Received Opioid/Nitrous Oxide/Oxygen Anesthesia (n = 44)

Figure 2. Percent Change from Preinjection in HR and MAP 10 Minutes After an Initial 4 × ED95 to 8 × ED95 Cisatracurium Besylate Dose in Patients Undergoing CABG Surgery Receiving Oxygen/Fentanyl/Midazolam/Anesthesia (n = 54)

No clinically significant changes in MAP or HR were observed following administration of doses up to 0.1 mg/kg cisatracurium besylate over 5 to 10 seconds in 2- to 12-year-old pediatric patients who received either halothane/nitrous oxide/oxygen or opioid/nitrous oxide/oxygen anesthesia. Doses of 0.15 mg/kg cisatracurium besylate administered over 5 seconds were not consistently associated with changes in HR and MAP in pediatric patients aged 1 month to 12 years who received opioid/nitrous oxide/oxygen or halothane/nitrous oxide/oxygen anesthesia.

12.3 Pharmacokinetics

The neuromuscular blocking activity of cisatracurium besylate is due to parent drug. Cisatracurium plasma concentration-time data following IV bolus administration are best described by a two- compartment open model (with elimination from both compartments) with an elimination half-life (t½β) of 22 minutes, a plasma clearance (CL) of 4.57 mL/min/kg, and a volume of distribution at steady state (Vss) of 145 mL/kg.

Results from population pharmacokinetic/pharmacodynamic (PK/PD) analyses from 241 healthy surgical patients are summarized in Table 6.

Table 6. Key Population PK/PD Parameter Estimates for Cisatracurium in Healthy Surgical Patients* Following 0.1 (2 × ED95) to 0.4 mg/kg (8 × ED95) of Cisatracurium Besylate

* Healthy male non-obese patients 19-64 years of age with creatinine clearance values greater than 70 mL/minute who received cisatracurium besylate during opioid anesthesia and had venous samples collected

The percent standard error of the mean (%SEM) ranged from 3% to 12% indicating good precision for the PK/PD estimates.

Expressed as a coefficient of variation; the %SEM ranged from 20% to 35% indicating adequate precision for the estimates of interpatient variability.

§ Vss is the volume of distribution at steady state estimated using a two-compartment model with elimination from both compartments. Vss is equal to the sum of the volume in the central compartment (Vc) and the volume in the peripheral compartment (Vp); interpatient variability could only be estimated for Vc.

ll Rate constant describing the equilibration between plasma concentrations and neuromuscular

block

¶ Concentration required to produce 50% T1 suppression; an index of patient sensitivity.

Parameter Estimate Magnitude of Interpatient Variability (CV)
CL (mL/min/kg) 4.57 16%
Vss (mL/kg)§ 145 27%
keo (min-1)ll 0.0575 61%
EC50 (ng/mL) 141 52%

The magnitude of interpatient variability in CL was low (16%), as expected based on the importance of Hofmann elimination. The magnitudes of interpatient variability in CL and volume of distribution were low in comparison to those for keo and EC50. This suggests that any alterations in the time course of cisatracurium besylate-induced neuromuscular blockade were more likely to be due to variability in the PD parameters than in the PK parameters. Parameter estimates from the population PK analyses were supported by noncompartmental PK analyses on data from healthy patients and from specific populations.

Conventional PK analyses have shown that the PK of cisatracurium are proportional to dose between 0.1 (2 × ED95) and 0.2 (4 × ED95) mg/kg cisatracurium. In addition, population PK analyses revealed no statistically significant effect of initial dose on CL for doses between 0.1 (2 × ED95) and 0.4 (8 × ED95) mg/kg cisatracurium.

2.8 Drug Compatibility

Cisatracurium besylate injection is compatible and may be administered with the following solutions through Y-site administration:

  • 5% Dextrose Injection, USP
  • 0.9% Sodium Chloride Injection, USP
  • 5% Dextrose and 0.9% Sodium Chloride Injection, USP
  • Sufentanil Citrate Injection, diluted as directed
  • Alfentanil Hydrochloride Injection, diluted as directed
  • Fentanyl Citrate Injection, diluted as directed
  • Midazolam Hydrochloride Injection, diluted as directed
  • Droperidol Injection, diluted as directed

Cisatracurium besylate injection is acidic (pH = 3.25 to 3.65) and may not be compatible with alkaline solution having a pH greater than 8.5 (e.g., barbiturate solutions). Therefore, do not administer cisatracurium besylate injection and alkaline solutions simultaneously in the same intravenous line.

Cisatracurium Besylate Injection is not compatible with propofol injection or ketorolac injection for Y-site administration. Compatibility studies with other parenteral products have not been conducted.

5.1 Residual Paralysis

Cisatracurium besylate has been associated with residual paralysis. Patients with neuromuscular diseases (e.g., myasthenia gravis and myasthenic syndrome) and carcinomatosis may be at higher risk of residual paralysis; thus, a lower maximum initial bolus is recommended in these patients [see Dosage and Administration (2.2) and Use in Specific Populations (8.10)]. To prevent complications resulting from cisatracurium besylate-associated residual paralysis, extubation is recommended only after the patient has recovered sufficiently from neuromuscular blockade. Consider use of a reversal agent especially in cases where residual paralysis is more likely to occur [see Overdosage (10)].

5.7 Risk for Infection

The 20 mL vial of cisatracurium besylate is intended only for administration as an infusion for use in a single patient in the ICU. The 20 mL vial should not be used multiple times because there is a higher risk of infection (the 20 mL vial does not contain a preservative).

1 Indications and Usage

Cisatracurium Besylate Injection is indicated:

  • as an adjunct to general anesthesia to facilitate tracheal intubation in adults and in pediatric patients 1 month to 12 years of age
  • to provide skeletal muscle relaxation in adults during surgical procedures or during mechanical ventilation in the ICU
  • to provide skeletal muscle relaxation during surgical procedures via infusion in pediatric patients 2 years and older

Limitations of Use

Cisatracurium Besylate Injection is not recommended for rapid sequence endotracheal intubation due to the time required for its onset of action.

12.1 Mechanism of Action

Cisatracurium besylate binds competitively to cholinergic receptors on the motor end-plate to antagonize the action of acetylcholine, resulting in blockade of neuromuscular transmission. This action is antagonized by acetylcholinesterase inhibitors such as neostigmine.

5 Warnings and Precautions
  • Residual Paralysis: Patients with neuromuscular diseases are at higher risk. Use a lower initial bolus dose and consider using a reversal agent in these patients. (2.2, 5.1)
  • Benzyl Alcohol: Consider combined daily load of benzyl alcohol from all sources when the 10 mL multi-dose vials are used in infants (4, 5.2)
  • Risk of Seizure: Monitor level of neuromuscular blockade during long-term administration to limit exposure to toxic metabolites (5.3)
  • Hypersensitivity Reactions and Anaphylaxis: Severe hypersensitivity reactions including anaphylactic reactions have been reported. Consider cross-reactivity among neuromuscular blocking agents, both depolarizing and non-depolarizing. (4, 5.4)
  • Risk of Death due to Medication Errors: Accidental administration can cause death. (5.5)
  • Inadequate Anesthesia: Use cisatracurium besylate in the presence of appropriate sedation or general anesthesia and monitor patients to ensure level of anesthesia is adequate (5.6)
2 Dosage and Administration

Store cisatracurium besylate injection with the cap and ferrule intact and in a manner that minimizes the possibility of selecting the wrong product (2.1)

  • Administer intravenously only by or under the supervision of experienced clinicians familiar with drug's actions and possible complications (2.1)
  • Use only if personnel and facilities for resuscitation and life support, and a cisatracurium besylate injection antagonist are immediately available (2.1)
  • Use a peripheral nerve stimulator to determine adequacy of blockade (e.g., need for additional doses), minimize risk of overdosage or underdosage, assess extent of recovery from blockade, potentially limit exposure to toxic metabolites through dose titration, and facilitate more rapid reversal of cisatracurium besylate injection-induced paralysis (2.1)
  • See the Full Prescribing Information for:
    • Dosage and administration instructions in adults, pediatric patients, geriatric patients, patients with neuromuscular disease, burns, end-stage renal disease, and patients undergoing coronary artery bypass graft surgery with induced hypothermia (2.2, 2.3, 2.4, 2.5)
    • Continuous infusion rates (2.6)
    • Preparation instructions (2.7)
    • Drug compatibility (2.8)
2.4 Dosage in Burn Patients

Burn patients have been shown to develop resistance to nondepolarizing neuromuscular blocking agents; therefore, consider increasing the cisatracurium besylate injection dosages for intubation and maintenance [see Use in Specific Populations (8.8)].

3 Dosage Forms and Strengths

Cisatracurium Besylate Injection, USP is available as a colorless to slight yellow or greenish yellow solution in the following strengths:

  • 10 mg of cisatracurium per 5 mL (2 mg per mL) in single-dose vials (equivalent to 2.68 mg per mL cisatracurium besylate).
  • 20 mg of cisatracurium per 10 mL (2 mg per mL) in multi-dose vials (equivalent to 2.68 mg per mL cisatracurium besylate) with benzyl alcohol as a preservative.
  • 200 mg of cisatracurium per 20 mL (10 mg per mL) in single-dose vials.
6.2 Postmarketing Experience

The following events have been identified during post-approval use of cisatracurium besylate in conjunction with one or more anesthetic agents in clinical practice. Because they are reported voluntarily from a population of unknown size, estimates of frequency cannot be made. These events have been chosen for inclusion due to a combination of their seriousness, frequency of reporting, or potential causal connection to cisatracurium besylate: anaphylaxis, histamine release, prolonged neuromuscular block, muscle weakness, myopathy.

8 Use in Specific Populations
  • Patients with Hemiparesis or Paraparesis: Perform neuromuscular monitoring on non-paretic limb (8.9)
6.1 Clinical Studies Experience

Because clinical studies are conducted under widely varying conditions, adverse reaction rates observed in the clinical studies of a drug cannot be directly compared to rates in the clinical studies of another drug and may not reflect the rates observed in practice.

5.10 Malignant Hyperthermia (mh)

Cisatracurium besylate has not been studied in MH-susceptible patients. Because MH can develop in the absence of established triggering agents, the clinician should be prepared to recognize and treat MH in any patient undergoing general anesthesia.

8.6 Patients With Renal Impairment

The time to 90% neuromuscular blockade was 1 minute slower in patients with end-stage renal disease than in patients with normal renal function. Therefore, consider extending the interval between administering cisatracurium besylate and attempting intubation by at least 1 minute to achieve adequate intubation conditions [see Dosage and Administration (2.2) and Clinical Pharmacology (12.2)].

There was no clinically significant alteration in the recovery profile of cisatracurium besylate in patients with end-stage renal disease following a 0.1 mg/kg dose of cisatracurium besylate. The recovery profile of cisatracurium besylate is unchanged in patients with renal impairment, which is consistent with predominantly organ-independent elimination [see Clinical Pharmacology (12.3)].

16 How Supplied/storage and Handling

Cisatracurium Besylate Injection, USP is a colorless to slight yellow or greenish yellow solution supplied as follows:

NDC Cisatracurium Besylate Injection, USP (2 mg per mL) Package Factor
71288-712-06

10 mg per 5 mL Single-Dose Vial, Preservative-free 10 vials per carton
71288-714-11 20 mg per 10 mL Multi-Dose Vial, Contains 0.9% w/v 10 vials per carton
benzyl alcohol [see Warnings and Precautions (5.2)]
NDC Cisatracurium Besylate Injection, USP (10 mg per mL) Package Factor
71288-713-21 200 mg per 20 mL Single-Dose Vial, Preservative-free 10 vials per carton

Discard unused portion of the 5 mL and 20 mL single-dose vials.

8.7 Patients With Hepatic Impairment

The pharmacokinetic study analysis in patients with end-stage liver disease undergoing liver transplantation and healthy subjects undergoing elective surgery indicated slightly larger volumes of distribution in liver transplant patients with slightly higher plasma clearances of cisatracurium. The times to maximum neuromuscular blockade were approximately one minute faster in liver transplant patients than in healthy adult patients receiving 0.1 mg/kg cisatracurium besylate. These minor differences in pharmacokinetics were not associated with clinically significant differences in the recovery profile of cisatracurium besylate [see Clinical Pharmacology (12.3)].

5.6 Risks Due to Inadequate Anesthesia

Neuromuscular blockade in the conscious patient can lead to distress. Use cisatracurium besylate in the presence of appropriate sedation or general anesthesia. Monitor patients to ensure that the level of anesthesia is adequate.

2.6 Rate Tables for Continuous Infusion

The intravenous infusion rate depends upon the cisatracurium besylate injection concentration, the desired dose, the patient's weight, and the contribution of the infusion solution to the fluid requirements of the patient. Tables 1 and 2 provide guidelines for the cisatracurium besylate injection infusion rate, in mL/hour (equivalent to microdrops/minute when 60 microdrops = 1 mL), in concentrations of 0.1 mg/mL or 0.4 mg/mL, respectively.

Table 1. Cisatracurium Besylate Injection Infusion Rates for Maintenance of Neuromuscular Blockade During Opioid/Nitrous Oxide/Oxygen Anesthesia with a Concentration of 0.1 mg/mL
Drug Delivery Rate (mcg/kg/minute)
1 1.5 2 3 5
Patient Weight Infusion Delivery Rate (mL/hour)
10 kg 6 9 12 18 30
45 kg 27 41 54 81 135
70 kg 42 63 84 126 210
100 kg 60 90 120 180 300
Table 2. Cisatracurium Besylate Injection Infusion Rates for Maintenance of Neuromuscular Blockade During Opioid/Nitrous Oxide/Oxygen Anesthesia with a Concentration of 0.4 mg/mL
Drug Delivery Rate (mcg/kg/minute)
1 1.5 2 3 5
Patient Weight Infusion Delivery Rate (mL/hour)
10 kg 1.5 2.3 3 4.5 7.5
45 kg 6.8 10.1 13.5 20.3 33.8
70 kg 10.5 15.8 21 31.5 52.5
100 kg 15 22.5 30 45 75
8.10 Patients With Neuromuscular Disease

Profound and prolonged neuromuscular blockade may occur in patients with neuromuscular diseases (e.g., myasthenia gravis and myasthenic syndrome) and carcinomatosis. Therefore, a lower maximum initial bolus is recommended in these patients [see Dosage and Administration (2.2)].

5.5 Risk of Death Due to Medication Errors

Administration of cisatracurium besylate results in paralysis, which may lead to respiratory arrest and death, a progression that may be more likely to occur in a patient for whom it is not intended. Confirm proper selection of intended product and avoid confusion with other injectable solutions that are present in critical care and other clinical settings. If another healthcare provider is administering the product, ensure that the intended dose is clearly labeled and communicated.

5.8 Potentiation of Neuromuscular Blockade

Certain drugs may enhance the neuromuscular blocking action of cisatracurium besylate including inhalational anesthetics, antibiotics, magnesium salts, lithium, local anesthetics, procainamide and quinidine [see Drug Interactions (7.1)]. Additionally, acid-base and/or serum electrolyte abnormalities may potentiate the action of neuromuscular blocking agents. Use peripheral nerve stimulation and monitor the clinical signs of neuromuscular blockade to determine the adequacy of the level of neuromuscular blockage and the need to adjust the cisatracurium besylate dosage.

7.1 Clinically Significant Drug Interactions

Table 4 displays clinically significant drug interactions with cisatracurium besylate.

Table 4. Clinically Significant Drug Interactions with Cisatracurium Besylate

* The use of peripheral nerve stimulator is strongly recommended to evaluate the level of neuromuscular blockade, to assess the need for additional doses of cisatracurium besylate, and to determine whether adjustments need to be made to the dose with subsequent administration.

† Examples: aminoglycosides, tetracyclines, bacitracin, polymyxins, lincomycin, clindamycin, colistin, sodium colistimethate

Drug or Drug Class Clinical Implications*
Succinylcholine The use of succinylcholine prior to cisatracurium besylate administration may decrease the time to onset of maximum neuromuscular blockade but has no effect on the duration of neuromuscular blockade.
Inhalational Anesthetics Administration of inhalational anesthetics with nitrous oxide/oxygen for greater than 30 minutes to achieve 1.25 Minimum Alveolar Concentration (MAC) may prolong the duration of action of initial and maintenance doses of cisatracurium besylate. This may potentiate the neuromuscular blockade.

Antibiotics†

Local anesthetics

Magnesium salts

Procainamide

Lithium

Quinidine





May prolong the neuromuscular blockade action of cisatracurium besylate.
Phenytoin, Carbamazepine May increase resistance to the neuromuscular blockade action of cisatracurium besylate resulting in shorter durations of neuromuscular blockade and infusion rate requirements may be higher.

8.9 Patients With Hemiparesis Or Paraparesis

Patients with hemiparesis or paraparesis may demonstrate resistance to nondepolarizing neuromuscular blocking agents in the affected limbs. To avoid inaccurate dosing, perform neuromuscular monitoring on a non-paretic limb.

14.3 Skeletal Muscle Relaxation in Icu Patients

Long-term infusion (up to 6 days) of cisatracurium besylate during mechanical ventilation in the ICU was evaluated in two studies.

Study 8 was a randomized, double-blind study using presence of a single twitch during train-of-four (TOF) monitoring to regulate dosage. Patients treated with cisatracurium besylate (n = 19) recovered neuromuscular function (T4:T1 ratio ≥ 70%) following termination of infusion in approximately 55 minutes (range: 20 to 270).

In Study 9, cisatracurium besylate patients recovered neuromuscular function in approximately 50 minutes (range: 20 to 175; n = 34).

2.7 Preparation of Cisatracurium Besylate Injection

Visually inspect cisatracurium besylate injection for particulate matter and discoloration prior to administration. If a cisatracurium besylate injection solution is cloudy or contains visible particulates, do not use cisatracurium besylate injection. Cisatracurium besylate injection is a colorless to slight yellow or greenish yellow solution.

Discard unused portion of the 5 mL and 20 mL single-dose vials.

Cisatracurium besylate injection may be diluted to 0.1 mg/mL in the following solutions:

  • 5% Dextrose Injection, USP
  • 0.9% Sodium Chloride Injection, USP, or
  • 5% Dextrose and 0.9% Sodium Chloride Injection, USP

Store these diluted cisatracurium besylate injection solutions either in a refrigerator or at room temperature for 24 hours without significant loss of potency.

Cisatracurium besylate injection also may be diluted to 0.1 mg/mL or 0.2 mg/mL in the following solution:

  • Lactated Ringer's and 5% Dextrose Injection

Store this diluted cisatracurium besylate injection solution under refrigeration for no more than 24 hours.

Do not dilute cisatracurium besylate injection in Lactated Ringer's Injection, USP due to chemical instability.

2.1 Important Dosage and Administration Instructions

Risk of Medication Errors

Accidental administration of neuromuscular blocking agents may be fatal. Store cisatracurium besylate injection with the cap and ferrule intact and in a manner that minimizes the possibility of selecting the wrong product [see Warnings and Precautions (5.5)].

Important Administration Instructions

  • Cisatracurium besylate injection is for intravenous use only.
  • Administer cisatracurium besylate injection in carefully adjusted dosage by or under the supervision of experienced clinicians who are familiar with the drug's actions and the possible complications.
  • Use cisatracurium besylate injection only if the following are immediately available: personnel and facilities for resuscitation and life support (tracheal intubation, artificial ventilation, oxygen therapy); and an antagonist of cisatracurium besylate injection [see Overdosage (10)].
  • The dosage information which follows is intended to serve as an initial guide for individual patients; base subsequent cisatracurium besylate injection dosage on the patients' responses to the initial doses.
  • Use a peripheral nerve stimulator to:
    • Determine the adequacy of neuromuscular blockade (e.g., need for additional cisatracurium besylate injection doses, reduction of the infusion rate).
    • Minimize risk of overdosage or underdosage.
    • Assess the extent of recovery from neuromuscular blockade (e.g., spontaneous recovery or recovery after administration of a reversal agent, e.g., neostigmine).
    • Appropriately titrate doses to potentially limit exposure to toxic metabolites.
    • Facilitate more rapid reversal of the cisatracurium besylate injection-induced paralysis.
5.4 Hypersensitivity Reactions Including Anaphylaxis

Severe hypersensitivity reactions, including fatal and life-threatening anaphylactic reactions, have been reported [see Contraindications (4)]. There have been reports of wheezing, laryngospasm, bronchospasm, rash and itching following cisatracurium besylate administration in pediatric patients. Due to the potential severity of these reactions, appropriate precautions such as the immediate availability of appropriate emergency treatment should be taken. Precautions should also be taken in those patients who have had previous anaphylactic reactions to other neuromuscular blocking agents since cross-reactivity between neuromuscular blocking agents, both depolarizing and non-depolarizing, has been reported.

5.9 Resistance to Neuromuscular Blockade With Certain Drugs

Shorter durations of neuromuscular block may occur and cisatracurium besylate infusion rate requirements may be higher in patients chronically administered phenytoin or carbamazepine [see Drug Interactions (7.1) and Clinical Pharmacology (12.3)]. Use peripheral nerve stimulation and monitor the clinical signs of neuromuscular blockade to determine the adequacy of neuromuscular blockage and the need to adjust the cisatracurium besylate dosage.

14.1 Skeletal Muscle Relaxation for Intubation of Adult Patients

The efficacy of cisatracurium besylate to provide skeletal muscle relaxation to facilitate tracheal intubation during surgery was established in six studies in adult patients. In all these studies patients had general anesthesia and mechanical ventilation.

  • Cisatracurium besylate doses between 0.15 and 0.2 mg/kg were evaluated in 240 adults. Maximum neuromuscular blockade generally occurred in within 4 minutes for this dose range.
  • When administered during induction using thiopental or propofol and co-induction agents (i.e., fentanyl and midazolam), excellent to good intubating conditions were generally achieved within 2 minutes (excellent intubation conditions most frequently achieved with the 0.2 mg/kg dose of cisatracurium besylate).
  • Following the induction of general anesthesia with propofol, nitrous oxide/oxygen, and co- induction agents (e.g., fentanyl and midazolam), good or excellent conditions for tracheal intubation occurred in 96/102 (94%) patients in 1.5 to 2 minutes following cisatracurium besylate doses of 0.15 mg/kg and in 97/110 (88%) patients in 1.5 minutes following cisatracurium besylate doses of 0.2 mg/kg.

In Study 1, the clinically effective duration of action for 0.15 and 0.2 mg/kg cisatracurium besylate using propofol anesthesia was 55 minutes (range: 44 to 74 minutes) and 61 minutes (range: 41 to 81 minutes), respectively.

In Studies 2 and 3, cisatracurium besylate doses of 0.25 and 0.4 mg/kg were evaluated in 30 patients under opioid/nitrous oxide/oxygen anesthesia and provided 78 (66-86) and 91 (59-107) minutes of clinical relaxation, respectively.

In Study 4, two minutes after fentanyl and midazolam were administered, patients received thiopental anesthesia. Intubating conditions were assessed at 120 seconds following administration of 0.15 mg/kg or 0.2 mg/kg of cisatracurium besylate in 51 patients (see Table 11).

Table 11. Intubating Conditions at 120 Seconds after Cisatracurium Besylate Administration with Thiopental Anesthesia in Adult Surgery Patients in Study 4

*Excellent: Easy passage of tube without coughing. Vocal cords relaxed and abducted.

Good: Passage of tube with slight coughing and/or bucking. Vocal cords relaxed and abducted.

Cisatracurium Besylate 0.15 mg/kg

(n = 26)
Cisatracurium Besylate 0.20 mg/kg

(n = 25)
Excellent and Good 88% 96%
     95% CI 76,100 88,100
Excellent 31% 60%
Good 58% 36%

Excellent intubating conditions were more frequently achieved with the 0.2 mg/kg dose (60%) than the 0.15 mg/kg dose (31%) when intubation was attempted 120 seconds following cisatracurium besylate.

Study 5 evaluated intubating conditions after 3 and 4 × ED95 (0.15 mg/kg and 0.20 mg/kg) following induction with fentanyl and midazolam and either thiopental or propofol anesthesia. This study compared intubation conditions produced by these doses of cisatracurium besylate after 90 seconds. Table 12 displays these results.

Table 12. Intubating Conditions at 90 Seconds after Cisatracurium Besylate Administration with Thiopental or Propofol Anesthesia in Study 5

*Excellent: Easy passage of tube without coughing. Vocal cords relaxed and abducted.

Good: Passage of tube with slight coughing and/or bucking. Vocal cords relaxed and abducted.

Intubating

Condition
Cisatracurium Besylate Cisatracurium Besylate Cisatracurium Besylate Cisatracurium Besylate
0.15 mg/kg 0.15 mg/kg 0.20 mg/kg 0.20 mg/kg
with Propofol with Thiopental with Propofol with Thiopental
(n = 31) (n= 31) (n= 30) (n = 28)
Excellent and Good 94% 90% 93% 96%
      95% CI 85,100 80,100 84,100 90,100
Excellent 58% 55% 70% 57%
Good 35% 35% 20% 39%

Excellent intubating conditions were more frequently observed with the 0.2 mg/kg dose when intubation was attempted 90 seconds following cisatracurium besylate.

14.2 Skeletal Muscle Relaxation for Intubation of Pediatric Patients

The efficacy of cisatracurium besylate to provide skeletal muscle relaxation to facilitate tracheal intubation was established in studies in pediatric patients aged 1 month to 12 years old. In these studies, patients had general anesthesia and mechanical ventilation.

In Study 6, a cisatracurium besylate dose of 0.1 mg/kg was evaluated in 16 pediatric patients (ages 2 years to 12 years) during opioid anesthesia. When administered during stable opioid/nitrous oxide/oxygen anesthesia, maximum neuromuscular blockade was achieved in an average of 2.8 minutes (range: 1.8 to 6.7 minutes) with a clinically effective block for 28 minutes (range: 21 to 38 minutes).

In Study 7, a cisatracurium besylate dose of 0.15 mg/kg was evaluated in 50 pediatric patients (ages 1 month to 12 years) during opioid anesthesia. When administered during stable opioid/nitrous oxide/oxygen anesthesia, maximum neuromuscular blockade was achieved in an average of about 3 minutes (range: 1.5 to 8 minutes) with a clinically effective block for 36 minutes (range: 29 to 46 minutes) in 24 patients ages 2 to 12 years. In 27 infants (1 to 23 months), maximum neuromuscular block was achieved in about 2 minutes (range: 1.3 to 4.3 minutes) with a clinically effective block for about 43 minutes (range: 34 to 58 minutes) with this dose.

Study 7 also evaluated intubating conditions in 180 pediatric patients (ages 1 month to 12 years) after administration of cisatracurium besylate doses of 0.15 mg/kg following induction with either halothane (with halothane/nitrous oxide/oxygen maintenance) or thiopentone and fentanyl (with thiopentone/fentanyl nitrous oxide/oxygen maintenance). Table 13 displays the intubating conditions by type of anesthesia, and pediatric age group. Excellent or good intubating conditions were produced 120 seconds following 0.15 mg/kg of cisatracurium besylate in 88/90 (98%) of patients induced with halothane and in 85/90 (94%) of patients induced with thiopentone and fentanyl. There were no patients for whom intubation was not possible, but there were 7/120 patients aged 1 year to 12 years old for whom intubating conditions were described as poor.

Table 13. Intubating Conditions at 120 Seconds* in Pediatric Patients Ages 1 Month to 12 Years Old in Study 7

*Excellent: Easy passage of the tube without coughing. Vocal cords relaxed and abducted.

Good: Passage of tube with slight coughing and/or bucking. Vocal cords relaxed and abducted.

Poor: Passage of tube with moderate coughing and/or bucking. Vocal cords moderately adducted. Response of patient requires adjustment of ventilation pressure and/or rate.

Cisatracurium Besylate

0.15 mg/kg


1-11 mo.
Cisatracurium Besylate

0.15 mg/kg


1- 4 years
Cisatracurium Besylate

0.15 mg/kg


5-12 years
Halothane Anesthesia

(n=30)
Thiopentone/ Fentanyl Anesthesia

(n=30)
Halothane Anesthesia

(n=30)
Thiopentone/ Fentanyl Anesthesia

(n=30)
Halothane Anesthesia

(n=30)
Thiopentone/ Fentanyl Anesthesia

(n=30)
Excellent and Good 100% 100% 97% 87% 97% 97%
Excellent 100% 83% 90% 63% 73% 70%
Good 0% 17% 7% 23% 23% 27%
Poor 0% 0% 3% 13% 3% 3%
Principal Display Panel – Cisatracurium Besylate Injection, Usp – 5 Ml Carton

NDC 71288- 712 -06

10 x 5 mL Single-Dose Vials

Cisatracurium Besylate Injection, USP

10 mg per 5 mL*

(2 mg per mL)

WARNING: Paralyzing Agent

For Intravenous Injection

Rx Only

Principal Display Panel – Cisatracurium Besylate Injection, Usp – 10 Ml Carton

NDC 71288-714-11

10 x 10 mL Multi-Dose Vials

Cisatracurium Besylate Injection, USP

20 mg per 10 mL*

(2 mg per mL)

WARNING: Paralyzing Agent

For Intravenous Injection

0.9% benzyl alcohol

(added as a preservative)

Rx Only

Principal Display Panel – Cisatracurium Besylate Injection, Usp – 20 Ml Carton

NDC 71288-713-21

10 x 20 mL Single-Dose Vials

Cisatracurium Besylate Injection, USP

200 mg per 20 mL*

(10 mg per mL)

WARNING: Paralyzing Agent

For ICU use only

For Intravenous Injection

Rx Only

Principal Display Panel – Cisatracurium Besylate Injection, Usp – 5 Ml Vial Label

NDC 71288- 712 -05

Rx Only

Cisatracurium Besylate Injection, USP

10 mg per 5 mL

(2 mg per mL)

WARNING: Paralyzing Agent

For Intravenous Injection

5 mL Single-Dose Vial

7.2 Drugs Without Clinically Significant Drug Interactions With Cisatracurium Besylate

In clinical studies, propofol had no effect on the duration of action or dosing requirements for cisatracurium besylate. Cisatracurium besylate is not compatible with propofol for Y-site administration.

Principal Display Panel – Cisatracurium Besylate Injection, Usp – 10 Ml Vial Label

NDC 71288-714-10

Rx Only

Cisatracurium Besylate Injection, USP

20 mg per 10 mL*

(2 mg per mL)

WARNING: Paralyzing Agent

For Intravenous Injection

0.9% benzyl alcohol (added as a preservative)

10 mL Multi-Dose Vial

Principal Display Panel – Cisatracurium Besylate Injection, Usp – 20 Ml Vial Label

NDC 71288-713-20

Rx Only

Cisatracurium Besylate Injection, USP

200 mg per 20 mL

(10 mg per mL)

WARNING: Paralyzing Agent

For ICU use only

For Intravenous Injection

20 mL Single-Dose Vial

2.3 Recommended Maintenance Bolus Cisatracurium Besylate Injection Doses in Adult Surgical Procedures

Determine if maintenance bolus doses are needed based on clinical criteria including the response to peripheral nerve stimulation. The recommended maintenance bolus dose of cisatracurium besylate injection is 0.03 mg/kg; however, smaller or larger maintenance doses may be administered based on the required duration of action. Administer the first maintenance bolus dose starting:

  • 40 to 50 minutes after an initial dose of cisatracurium besylate injection 0.15 mg/kg;
  • 50 to 60 minutes after an initial dose of cisatracurium besylate injection 0.2 mg/kg.

For long surgical procedures using inhalational anesthetics administered with nitrous oxide/oxygen at the 1.25 MAC level for at least 30 minutes, consider administering less frequent maintenance bolus doses or lower maintenance bolus doses of cisatracurium besylate injection [see Clinical Pharmacology (12.2)]. No adjustment to the initial cisatracurium besylate injection maintenance bolus dose should be necessary when cisatracurium besylate injection is administered shortly after initiation of volatile agents or when used in patients receiving propofol anesthesia.

5.2 Risk of Serious Adverse Reactions in Infants Due to Benzyl Alcohol Preservative in 10 Ml Multi Dose Vials

Serious and fatal adverse reactions including “gasping syndrome” can occur in neonates and infants treated with benzyl alcohol-preserved drugs, including cisatracurium besylate (10 mL multi-dose vials). This warning is not applicable to the 5 mL and 20 mL cisatracurium besylate single-dose vials because these vials do not contain benzyl alcohol. The “gasping syndrome” is characterized by central nervous system depression, metabolic acidosis, and gasping respirations.

When prescribing the 10 mL multi-dose cisatracurium besylate vials in infants consider the combined daily metabolic load of benzyl alcohol from all sources including cisatracurium besylate (multi-dose vials contain 9 mg of benzyl alcohol per mL) and other drugs containing benzyl alcohol. The minimum amount of benzyl alcohol at which serious adverse reactions may occur is not known [see Use in Specific Populations (8.4)].

The use of 10 mL cisatracurium besylate multi-dose vials is contraindicated in pediatric patients less than 1 month of age and low birth-weight infants because these patients are more likely to develop benzyl alcohol toxicity [see Contraindications (4)].


Structured Label Content

Section 42229-5 (42229-5)

Tracheal Intubation in Adults

Prior to selecting the initial cisatracurium besylate injection bolus dose, consider the desired time to tracheal intubation and the anticipated length of surgery, factors affecting time to onset of complete neuromuscular block such as age and renal function, and factors that may influence intubation conditions such as the presence of co-induction agents (e.g., fentanyl and midazolam) and the depth of anesthesia.

In conjunction with a propofol/nitrous oxide/oxygen induction-intubation technique or a thiopental/nitrous oxide/oxygen induction-intubation technique, the recommended starting weight-based dose of cisatracurium besylate injection is between 0.15 mg/kg and 0.2 mg/kg administered by bolus intravenous injection. Doses up to 0.4 mg/kg have been safely administered by bolus intravenous injection to healthy patients and patients with serious cardiovascular disease [see Clinical Pharmacology (12.2)].

Section 44425-7 (44425-7)

Storage

Refrigerate Cisatracurium Besylate Injection, USP at 2° to 8°C (36° to 46°F) in the carton to preserve potency. Protect from light. DO NOT FREEZE. Upon removal of the unused vial from refrigeration to room temperature storage conditions (at 20° to 25°C (68° to 77°F) [See USP Controlled Room Temperature], use Cisatracurium Besylate Injection, USP within 21 days, even if re-refrigerated.

Sterile, Nonpyrogenic.

The container closure is not made with natural rubber latex.

Brands listed are the trademarks of their respective owners.

10 Overdosage (10 OVERDOSAGE)

Overdosage with neuromuscular blocking agents may result in neuromuscular blockade beyond the time needed for surgery and anesthesia. The primary treatment is maintenance of a patent airway and controlled ventilation until recovery of normal neuromuscular function is assured.

Once recovery from neuromuscular block begins, further recovery may be facilitated by administration of a cholinesterase inhibitor (e.g., neostigmine, edrophonium) in conjunction with an appropriate cholinergic inhibitor. Cholinesterase inhibitors should not be administered when complete neuromuscular blockade is evident or suspected because the reversal of paralysis may not be sufficient to maintain a patent airway and support an appropriate level of spontaneous ventilation.

  • Neostigmine: Administration of 0.04 to 0.07 mg/kg of neostigmine at approximately 10% recovery from neuromuscular blockade (range: 0 to 15%) produced 95% recovery of the muscle twitch response and a T4:T1 ratio ≥ 70% in an average of 9 to 10 minutes. The times from 25% recovery of the muscle twitch response to a T4:T1 ratio ≥ 70% following these doses of neostigmine averaged 7 minutes. The mean 25% to 75% recovery index following reversal was 3 to 4 minutes.
  • Edrophonium: Administration of 1 mg/kg of edrophonium at approximately 25% recovery from neuromuscular blockade (range: 16% to 30%) produced 95% recovery and a T4:T1 ratio ≥ 70% in an average of 3 to 5 minutes.

For providers treating patients treated with cholinesterase inhibitors:

  • Use a peripheral nerve stimulator to evaluate recovery and antagonism of neuromuscular blockade.
  • Evaluate for evidence of adequate clinical recovery (e.g., 5-second head lift and grip strength).
  • Support ventilation until adequate spontaneous ventilation has resumed.

The onset of antagonism may be delayed in the presence of debilitation, cachexia, carcinomatosis, and the concomitant use of certain broad spectrum antibiotics, or anesthetic agents and other drugs which enhance neuromuscular block or separately cause respiratory depression [see Drug Interactions (7.1)]. Under such circumstances the management is the same as that of prolonged neuromuscular block.

8.2 Lactation

Risk Summary

The 10 mL cisatracurium besylate injection multi-dose vials contains the preservative benzyl alcohol. Therefore, if cisatracurium besylate is needed during lactation, consider using a benzyl alcohol-free formulation (i.e., 5 mL and 20 mL cisatracurium besylate injection single-dose vials). Because benzyl alcohol is rapidly metabolized by a lactating woman, benzyl alcohol exposure in the breastfed infant is unlikely. However, adverse reactions have occurred in premature neonates and low birth weight infants who received intravenously administered benzyl alcohol-containing drugs [see Contraindications (4), Warnings and Precautions (5.2) and Use in Specific Populations (8.4)].

There are no data on the presence of cisatracurium besylate in human milk, the effects on the breastfed child, or the effects on milk production. The developmental and health benefits of breastfeeding should be considered along with the mother's clinical need for cisatracurium besylate and any potential adverse effects on the breastfed child from cisatracurium besylate or from the underlying maternal condition.

11 Description (11 DESCRIPTION)

Cisatracurium besylate is a nondepolarizing skeletal neuromuscular blocker for intravenous administration. Compared to other neuromuscular blockers, it is intermediate in its onset and duration of action. Cisatracurium Besylate Injection, USP contains cisatracurium besylate as the active pharmaceutical ingredient.

Cisatracurium besylate is one of 10 isomers of atracurium besylate and constitutes approximately 15% of that mixture. Cisatracurium besylate is [1R-[1α,2α(1'R*,2'R*)]]-2,2'-[1,5-pentanediylbis[oxy(3-oxo-3,1-propanediyl)]]bis[1-[(3,4-dimethoxyphenyl)methyl]-1,2,3,4-tetrahydro-6,7-dimethoxy-2-methylisoquinolinium] dibenzenesulfonate. The molecular formula of the cisatracurium parent bis-cation is C53H72N2O12 and the molecular weight is 929.2. The molecular formula of cisatracurium as the besylate salt is C65H82N2O18S2 and the molecular weight is 1243.48. The structural formula of cisatracurium besylate is:

The log of the partition coefficient of cisatracurium besylate is -2.12 in a 1-octanol/distilled water system at 25°C.

Cisatracurium Besylate Injection, USP is a sterile, nonpyrogenic aqueous solution.

Each mL in the single-dose vials contains either 2 mg or 10 mg of cisatracurium (equivalent to 2.68 mg and 13.38 mg of cisatracurium besylate; respectively), and benzenesulfonic acid as pH adjuster in water for injection.

Each mL in the multi-dose vials contains 2 mg of cisatracurium (equivalent to 2.68 mg of cisatracurium besylate), benzenesulfonic acid as pH adjuster, and also contains 9 mg of benzyl alcohol as preservative, in water for injection.

The pH of Cisatracurium Besylate Injection, USP is between 3.0 and 3.8.

8.4 Pediatric Use

The safety and effectiveness of cisatracurium besylate as an adjunct to general anesthesia to facilitate tracheal intubation, and to provide skeletal muscle relaxation during surgery in pediatric patients 1 month through 12 years of age were established from three studies in pediatric patients [see Dosing and Administration (2.2, 2.5) and Clinical Studies (14.2)]. The three open-label studies are summarized below.

The safety and effectiveness of cisatracurium besylate have not been established in pediatric patients less than 1 month of age.

8.5 Geriatric Use

Of the total number of subjects (135) in clinical studies of cisatracurium besylate, 57, 63, and 15 subjects were 65-70 years old, 70-80 years old, and greater than 80 years old, respectively. The geriatric population included a subset of patients with significant cardiovascular disease [see Clinical Pharmacology (12.3)].

Because the time to maximum neuromuscular blockade is approximately 1 minute slower in geriatric patients compared to younger patients, consider extending the interval between administering cisatracurium besylate and attempting intubation by at least 1 minute to achieve adequate intubation conditions [see Dosage and Administration (2.2) and Clinical Pharmacology (12.2)].

The time to maximum neuromuscular blockade is approximately 1 minute slower in geriatric patients, a difference that should be taken into account when selecting a neuromuscular blocking agent (e.g., the need to rapidly secure the airway) and when initiating laryngoscopy [see Clinical Pharmacology (12.3)]. Minor differences in the pharmacokinetics of cisatracurium between elderly and young adult patients were not associated with clinically significant differences in the recovery profile of cisatracurium besylate following a single 0.1 mg/kg dose.

Besides the differences noted above, no overall differences in safety or effectiveness were observed between geriatric and younger subjects, and other reported clinical experience has not identified differences in responses between geriatric and younger subjects, but greater sensitivity of some older individuals to cisatracurium besylate cannot be ruled out.

8.8 Burn Patients

Patients with burns have been shown to develop resistance to nondepolarizing neuromuscular blocking agents. The extent of altered response depends upon the size of the burn and the time elapsed since the burn injury. Cisatracurium besylate has not been studied in patients with burns. However, based on its structural similarity to another neuromuscular blocking agent, consider the possibility of increased dosage requirements and shortened duration of action if cisatracurium besylate is administered to burn patients.

4 Contraindications (4 CONTRAINDICATIONS)
  • Cisatracurium besylate is contraindicated in patients with known hypersensitivity to cisatracurium. Severe anaphylactic reactions to cisatracurium besylate have been reported [see Warnings and Precautions (5.4)].
  • The use of 10 mL cisatracurium besylate multi-dose vials is contraindicated for use in pediatric patients less than 1 month of age and low birth-weight infants because the formulation contains benzyl alcohol [see Warnings and Precautions (5.2) and Use in Specific Populations (8.4)].
5.3 Risk of Seizure

Laudanosine, an active metabolite of cisatracurium besylate, has been shown to cause seizures in animals. cisatracurium besylate-treated patients with renal or hepatic impairment may have higher metabolite concentrations (including laudanosine) than patients with normal renal and hepatic function [see Clinical Pharmacology (12.3)]. Therefore, patients with renal or hepatic impairment receiving extended administration of cisatracurium besylate may be at higher risk of seizures.

The level of neuromuscular blockade during long-term cisatracurium besylate administration should be monitored with a nerve stimulator to titrate cisatracurium besylate administration to the patients' needs and limit exposure to toxic metabolites.

6 Adverse Reactions (6 ADVERSE REACTIONS)

The most common adverse reactions (0.1% to 0.4%) were bradycardia, hypotension, flushing, bronchospasm, and rash. (6.1)

To report SUSPECTED ADVERSE REACTIONS, contact Meitheal Pharmaceuticals Inc. at 1-844-824-8426 or FDA at 1-800-FDA-1088 or www.fda.gov/medwatch .

7 Drug Interactions (7 DRUG INTERACTIONS)
  • Succinylcholine: May decrease time to onset of maximum neuromuscular blockade (7.1)
  • Inhalational anesthetics, antibiotics, local anesthetics, magnesium salts, procainamide, lithium, quinidine: May potentiate or prolong neuromuscular blockade action of cisatracurium besylate. Use peripheral nerve stimulator and monitor clinical signs of neuromuscular blockade. (5.8, 7.1)
  • Phenytoin and Carbamazepine: May shorten duration of neuromuscular blockade. Use peripheral nerve stimulator and monitor clinical signs of neuromuscular blockade. (5.9, 7.1)
12.2 Pharmacodynamics

The average ED95 (dose required to produce 95% suppression of the adductor pollicis muscle twitch response to ulnar nerve stimulation) of cisatracurium is 0.05 mg/kg (range: 0.048 to 0.053) in adults receiving opioid/nitrous oxide/oxygen anesthesia.

The pharmacodynamics of various cisatracurium besylate doses administered over 5 to 10 seconds during opioid/nitrous oxide/oxygen anesthesia are summarized in Table 5. When the cisatracurium besylate dose is doubled, the clinically effective duration of blockade increases by approximately 25 minutes. Once recovery begins, the rate of recovery is independent of dose.

Isoflurane or enflurane administered with nitrous oxide/oxygen to achieve 1.25 MAC (Minimum Alveolar Concentration) prolonged the clinically effective duration of action of initial and maintenance cisatracurium besylate doses, and decreased the average infusion rate requirement of cisatracurium besylate. The magnitude of these effects depended on the duration of administration of the volatile agents:

  • Fifteen to 30 minutes of exposure to 1.25 MAC isoflurane or enflurane had minimal effects on the duration of action of initial doses of cisatracurium besylate.
  • In surgical procedures during enflurane or isoflurane anesthesia greater than 30 minutes, less frequent maintenance dosing, lower maintenance doses, or reduced infusion rates of cisatracurium besylate were required. The average infusion rate requirement was decreased by as much as 30% to 40% [see Drug Interactions (7.1)].

The onset, duration of action, and recovery profiles of cisatracurium besylate during propofol/oxygen or propofol/nitrous oxide/oxygen anesthesia were similar to those during opioid/nitrous oxide/oxygen anesthesia (see Table 5).

Repeated administration of maintenance cisatracurium besylate doses or a continuous cisatracurium besylate infusion for up to 3 hours was not associated with development of tachyphylaxis or cumulative neuromuscular blocking effects. The time needed to recover from successive maintenance doses did not change with the number of doses administered when partial recovery occurred between doses. The rate of spontaneous recovery of neuromuscular function after cisatracurium besylate infusion was independent of the duration of infusion and comparable to the rate of recovery following initial doses (see Table 5).

Pediatric patients including infants generally had a shorter time to maximum neuromuscular blockade and a faster recovery from neuromuscular blockade compared to adults treated with the same weight-based doses (see Table 5).

Table 5. Pharmacodynamic Dose Response* of Cisatracurium Besylate During Opioid/Nitrous Oxide/Oxygen Anesthesia

* Values shown are the median values from the means from individual studies. Values in parentheses are ranges of individual patient values.

Clinically effective duration of block

Train-of-four ratio

§ n=the number of patients with Time to Maximum Block data

|| Propofol anesthesia

¶ Halothane anesthesia

** Thiopentone, alfentanil, N2O/O2 anesthesia

Cisatracurium Besylate

Dose
Time to 90%

Block in minutes
Time to Maximum Block in minutes 5%

Recovery in minutes
25%

Recovery in minutes
95%

Recovery in minutes
T 4 :T 1

Ratio ≥ 70% in minutes
25%-75%

Recovery Index

in minutes
Adults
0.1 mg/kg 3.3 5.0 33 42 64 64 13
(2 × ED95)

(n§= 98)
(1.0-8.7) (1.2-17.2) (15-51) (22-63) (25-93) (32-91) (5-30)
0.15|| mg/kg 2.6 3.5 46 55 76 75 13
(3 × ED95) (1.0-4.4) (1.6-6.8) (28-65) (44-74) (60-103) (63-98) (11-16)
(n = 39)
0.2 mg/kg 2.4 2.9 59 65 81 85 12
(4 × ED95) (1.5-4.5) (1.9-5.2) (31-103) (43-103) (53-114) (55-114) (2-30)
(n = 30)
0.25 mg/kg 1.6 2.0 70 78 91 97 8
(5 × ED95) (0.8-3.3) (1.2-3.7) (58-85) (66-86) (76-109) (82-113) (5-12)
(n = 15)
0.4 mg/kg 1.5 1.9 83 91 121 126 14
(8 × ED95) (1.3-1.8) (1.4-2.3) (37-103) (59-107) (110-134) (115-137) (10-18)
(n = 15)
Infants (1-23 months of age)
0.15 mg/kg** 1.5 2.0 36 43 64 59 11.3
(n = 18-26) (0.7-3.2) (1.3-4.3) (28-50) (34-58) (54-84) (49-76) (7.3-18.3)
Pediatric Patients 2-12 years

0.08 mg/kg

(2 × ED95)

2.2

(1.2-6.8)
3.3

(1.7-9.7)
22

(11-38)
29

(20-46)
52

(37-64)
50

(37-62)
11

(7-15)
(n = 60)
0.1 mg/kg 1.7 2.8 21 28 46 44 10
(n = 16) (1.3-2.7) (1.8-6.7) (13-31) (21-38) (37-58) (36-58) (7-12)
0.15 mg/kg** 2.1 3.0 29 36 55 54 10.6
 (n = 23-24) (1.3-2.8) (1.5-8.0) (19-38) (29-46) (45-72) (44-66) (8.5-17.7)

Hemodynamics Profile

Cisatracurium besylate had no dose-related effects on mean arterial blood pressure (MAP) or heart rate (HR) following doses ranging from 0.1 mg/kg to 0.4 mg/kg, administered over 5 to 10 seconds, in healthy adult patients (see Figure 1) or in patients with serious cardiovascular disease (see Figure 2).

A total of 141 patients undergoing coronary artery bypass graft (CABG) surgery were administered cisatracurium besylate in three active-controlled clinical trials and received doses ranging from 0.1 mg/kg to 0.4 mg/kg. While the hemodynamic profile was comparable in both the cisatracurium besylate and active control groups, data for doses above 0.3 mg/kg in this population are limited.

Figure 1. Maximum Percent Change from Preinjection in HR and MAP During First 5 Minutes after Initial 4 × ED95 to 8 × ED95 Cisatracurium Besylate Doses in Healthy Adults Who Received Opioid/Nitrous Oxide/Oxygen Anesthesia (n = 44)

Figure 2. Percent Change from Preinjection in HR and MAP 10 Minutes After an Initial 4 × ED95 to 8 × ED95 Cisatracurium Besylate Dose in Patients Undergoing CABG Surgery Receiving Oxygen/Fentanyl/Midazolam/Anesthesia (n = 54)

No clinically significant changes in MAP or HR were observed following administration of doses up to 0.1 mg/kg cisatracurium besylate over 5 to 10 seconds in 2- to 12-year-old pediatric patients who received either halothane/nitrous oxide/oxygen or opioid/nitrous oxide/oxygen anesthesia. Doses of 0.15 mg/kg cisatracurium besylate administered over 5 seconds were not consistently associated with changes in HR and MAP in pediatric patients aged 1 month to 12 years who received opioid/nitrous oxide/oxygen or halothane/nitrous oxide/oxygen anesthesia.

12.3 Pharmacokinetics

The neuromuscular blocking activity of cisatracurium besylate is due to parent drug. Cisatracurium plasma concentration-time data following IV bolus administration are best described by a two- compartment open model (with elimination from both compartments) with an elimination half-life (t½β) of 22 minutes, a plasma clearance (CL) of 4.57 mL/min/kg, and a volume of distribution at steady state (Vss) of 145 mL/kg.

Results from population pharmacokinetic/pharmacodynamic (PK/PD) analyses from 241 healthy surgical patients are summarized in Table 6.

Table 6. Key Population PK/PD Parameter Estimates for Cisatracurium in Healthy Surgical Patients* Following 0.1 (2 × ED95) to 0.4 mg/kg (8 × ED95) of Cisatracurium Besylate

* Healthy male non-obese patients 19-64 years of age with creatinine clearance values greater than 70 mL/minute who received cisatracurium besylate during opioid anesthesia and had venous samples collected

The percent standard error of the mean (%SEM) ranged from 3% to 12% indicating good precision for the PK/PD estimates.

Expressed as a coefficient of variation; the %SEM ranged from 20% to 35% indicating adequate precision for the estimates of interpatient variability.

§ Vss is the volume of distribution at steady state estimated using a two-compartment model with elimination from both compartments. Vss is equal to the sum of the volume in the central compartment (Vc) and the volume in the peripheral compartment (Vp); interpatient variability could only be estimated for Vc.

ll Rate constant describing the equilibration between plasma concentrations and neuromuscular

block

¶ Concentration required to produce 50% T1 suppression; an index of patient sensitivity.

Parameter Estimate Magnitude of Interpatient Variability (CV)
CL (mL/min/kg) 4.57 16%
Vss (mL/kg)§ 145 27%
keo (min-1)ll 0.0575 61%
EC50 (ng/mL) 141 52%

The magnitude of interpatient variability in CL was low (16%), as expected based on the importance of Hofmann elimination. The magnitudes of interpatient variability in CL and volume of distribution were low in comparison to those for keo and EC50. This suggests that any alterations in the time course of cisatracurium besylate-induced neuromuscular blockade were more likely to be due to variability in the PD parameters than in the PK parameters. Parameter estimates from the population PK analyses were supported by noncompartmental PK analyses on data from healthy patients and from specific populations.

Conventional PK analyses have shown that the PK of cisatracurium are proportional to dose between 0.1 (2 × ED95) and 0.2 (4 × ED95) mg/kg cisatracurium. In addition, population PK analyses revealed no statistically significant effect of initial dose on CL for doses between 0.1 (2 × ED95) and 0.4 (8 × ED95) mg/kg cisatracurium.

2.8 Drug Compatibility

Cisatracurium besylate injection is compatible and may be administered with the following solutions through Y-site administration:

  • 5% Dextrose Injection, USP
  • 0.9% Sodium Chloride Injection, USP
  • 5% Dextrose and 0.9% Sodium Chloride Injection, USP
  • Sufentanil Citrate Injection, diluted as directed
  • Alfentanil Hydrochloride Injection, diluted as directed
  • Fentanyl Citrate Injection, diluted as directed
  • Midazolam Hydrochloride Injection, diluted as directed
  • Droperidol Injection, diluted as directed

Cisatracurium besylate injection is acidic (pH = 3.25 to 3.65) and may not be compatible with alkaline solution having a pH greater than 8.5 (e.g., barbiturate solutions). Therefore, do not administer cisatracurium besylate injection and alkaline solutions simultaneously in the same intravenous line.

Cisatracurium Besylate Injection is not compatible with propofol injection or ketorolac injection for Y-site administration. Compatibility studies with other parenteral products have not been conducted.

5.1 Residual Paralysis

Cisatracurium besylate has been associated with residual paralysis. Patients with neuromuscular diseases (e.g., myasthenia gravis and myasthenic syndrome) and carcinomatosis may be at higher risk of residual paralysis; thus, a lower maximum initial bolus is recommended in these patients [see Dosage and Administration (2.2) and Use in Specific Populations (8.10)]. To prevent complications resulting from cisatracurium besylate-associated residual paralysis, extubation is recommended only after the patient has recovered sufficiently from neuromuscular blockade. Consider use of a reversal agent especially in cases where residual paralysis is more likely to occur [see Overdosage (10)].

5.7 Risk for Infection

The 20 mL vial of cisatracurium besylate is intended only for administration as an infusion for use in a single patient in the ICU. The 20 mL vial should not be used multiple times because there is a higher risk of infection (the 20 mL vial does not contain a preservative).

1 Indications and Usage (1 INDICATIONS AND USAGE)

Cisatracurium Besylate Injection is indicated:

  • as an adjunct to general anesthesia to facilitate tracheal intubation in adults and in pediatric patients 1 month to 12 years of age
  • to provide skeletal muscle relaxation in adults during surgical procedures or during mechanical ventilation in the ICU
  • to provide skeletal muscle relaxation during surgical procedures via infusion in pediatric patients 2 years and older

Limitations of Use

Cisatracurium Besylate Injection is not recommended for rapid sequence endotracheal intubation due to the time required for its onset of action.

12.1 Mechanism of Action

Cisatracurium besylate binds competitively to cholinergic receptors on the motor end-plate to antagonize the action of acetylcholine, resulting in blockade of neuromuscular transmission. This action is antagonized by acetylcholinesterase inhibitors such as neostigmine.

5 Warnings and Precautions (5 WARNINGS AND PRECAUTIONS)
  • Residual Paralysis: Patients with neuromuscular diseases are at higher risk. Use a lower initial bolus dose and consider using a reversal agent in these patients. (2.2, 5.1)
  • Benzyl Alcohol: Consider combined daily load of benzyl alcohol from all sources when the 10 mL multi-dose vials are used in infants (4, 5.2)
  • Risk of Seizure: Monitor level of neuromuscular blockade during long-term administration to limit exposure to toxic metabolites (5.3)
  • Hypersensitivity Reactions and Anaphylaxis: Severe hypersensitivity reactions including anaphylactic reactions have been reported. Consider cross-reactivity among neuromuscular blocking agents, both depolarizing and non-depolarizing. (4, 5.4)
  • Risk of Death due to Medication Errors: Accidental administration can cause death. (5.5)
  • Inadequate Anesthesia: Use cisatracurium besylate in the presence of appropriate sedation or general anesthesia and monitor patients to ensure level of anesthesia is adequate (5.6)
2 Dosage and Administration (2 DOSAGE AND ADMINISTRATION)

Store cisatracurium besylate injection with the cap and ferrule intact and in a manner that minimizes the possibility of selecting the wrong product (2.1)

  • Administer intravenously only by or under the supervision of experienced clinicians familiar with drug's actions and possible complications (2.1)
  • Use only if personnel and facilities for resuscitation and life support, and a cisatracurium besylate injection antagonist are immediately available (2.1)
  • Use a peripheral nerve stimulator to determine adequacy of blockade (e.g., need for additional doses), minimize risk of overdosage or underdosage, assess extent of recovery from blockade, potentially limit exposure to toxic metabolites through dose titration, and facilitate more rapid reversal of cisatracurium besylate injection-induced paralysis (2.1)
  • See the Full Prescribing Information for:
    • Dosage and administration instructions in adults, pediatric patients, geriatric patients, patients with neuromuscular disease, burns, end-stage renal disease, and patients undergoing coronary artery bypass graft surgery with induced hypothermia (2.2, 2.3, 2.4, 2.5)
    • Continuous infusion rates (2.6)
    • Preparation instructions (2.7)
    • Drug compatibility (2.8)
2.4 Dosage in Burn Patients

Burn patients have been shown to develop resistance to nondepolarizing neuromuscular blocking agents; therefore, consider increasing the cisatracurium besylate injection dosages for intubation and maintenance [see Use in Specific Populations (8.8)].

3 Dosage Forms and Strengths (3 DOSAGE FORMS AND STRENGTHS)

Cisatracurium Besylate Injection, USP is available as a colorless to slight yellow or greenish yellow solution in the following strengths:

  • 10 mg of cisatracurium per 5 mL (2 mg per mL) in single-dose vials (equivalent to 2.68 mg per mL cisatracurium besylate).
  • 20 mg of cisatracurium per 10 mL (2 mg per mL) in multi-dose vials (equivalent to 2.68 mg per mL cisatracurium besylate) with benzyl alcohol as a preservative.
  • 200 mg of cisatracurium per 20 mL (10 mg per mL) in single-dose vials.
6.2 Postmarketing Experience

The following events have been identified during post-approval use of cisatracurium besylate in conjunction with one or more anesthetic agents in clinical practice. Because they are reported voluntarily from a population of unknown size, estimates of frequency cannot be made. These events have been chosen for inclusion due to a combination of their seriousness, frequency of reporting, or potential causal connection to cisatracurium besylate: anaphylaxis, histamine release, prolonged neuromuscular block, muscle weakness, myopathy.

8 Use in Specific Populations (8 USE IN SPECIFIC POPULATIONS)
  • Patients with Hemiparesis or Paraparesis: Perform neuromuscular monitoring on non-paretic limb (8.9)
6.1 Clinical Studies Experience

Because clinical studies are conducted under widely varying conditions, adverse reaction rates observed in the clinical studies of a drug cannot be directly compared to rates in the clinical studies of another drug and may not reflect the rates observed in practice.

5.10 Malignant Hyperthermia (mh) (5.10 Malignant Hyperthermia (MH))

Cisatracurium besylate has not been studied in MH-susceptible patients. Because MH can develop in the absence of established triggering agents, the clinician should be prepared to recognize and treat MH in any patient undergoing general anesthesia.

8.6 Patients With Renal Impairment (8.6 Patients with Renal Impairment)

The time to 90% neuromuscular blockade was 1 minute slower in patients with end-stage renal disease than in patients with normal renal function. Therefore, consider extending the interval between administering cisatracurium besylate and attempting intubation by at least 1 minute to achieve adequate intubation conditions [see Dosage and Administration (2.2) and Clinical Pharmacology (12.2)].

There was no clinically significant alteration in the recovery profile of cisatracurium besylate in patients with end-stage renal disease following a 0.1 mg/kg dose of cisatracurium besylate. The recovery profile of cisatracurium besylate is unchanged in patients with renal impairment, which is consistent with predominantly organ-independent elimination [see Clinical Pharmacology (12.3)].

16 How Supplied/storage and Handling (16 HOW SUPPLIED/STORAGE AND HANDLING)

Cisatracurium Besylate Injection, USP is a colorless to slight yellow or greenish yellow solution supplied as follows:

NDC Cisatracurium Besylate Injection, USP (2 mg per mL) Package Factor
71288-712-06

10 mg per 5 mL Single-Dose Vial, Preservative-free 10 vials per carton
71288-714-11 20 mg per 10 mL Multi-Dose Vial, Contains 0.9% w/v 10 vials per carton
benzyl alcohol [see Warnings and Precautions (5.2)]
NDC Cisatracurium Besylate Injection, USP (10 mg per mL) Package Factor
71288-713-21 200 mg per 20 mL Single-Dose Vial, Preservative-free 10 vials per carton

Discard unused portion of the 5 mL and 20 mL single-dose vials.

8.7 Patients With Hepatic Impairment (8.7 Patients with Hepatic Impairment)

The pharmacokinetic study analysis in patients with end-stage liver disease undergoing liver transplantation and healthy subjects undergoing elective surgery indicated slightly larger volumes of distribution in liver transplant patients with slightly higher plasma clearances of cisatracurium. The times to maximum neuromuscular blockade were approximately one minute faster in liver transplant patients than in healthy adult patients receiving 0.1 mg/kg cisatracurium besylate. These minor differences in pharmacokinetics were not associated with clinically significant differences in the recovery profile of cisatracurium besylate [see Clinical Pharmacology (12.3)].

5.6 Risks Due to Inadequate Anesthesia

Neuromuscular blockade in the conscious patient can lead to distress. Use cisatracurium besylate in the presence of appropriate sedation or general anesthesia. Monitor patients to ensure that the level of anesthesia is adequate.

2.6 Rate Tables for Continuous Infusion

The intravenous infusion rate depends upon the cisatracurium besylate injection concentration, the desired dose, the patient's weight, and the contribution of the infusion solution to the fluid requirements of the patient. Tables 1 and 2 provide guidelines for the cisatracurium besylate injection infusion rate, in mL/hour (equivalent to microdrops/minute when 60 microdrops = 1 mL), in concentrations of 0.1 mg/mL or 0.4 mg/mL, respectively.

Table 1. Cisatracurium Besylate Injection Infusion Rates for Maintenance of Neuromuscular Blockade During Opioid/Nitrous Oxide/Oxygen Anesthesia with a Concentration of 0.1 mg/mL
Drug Delivery Rate (mcg/kg/minute)
1 1.5 2 3 5
Patient Weight Infusion Delivery Rate (mL/hour)
10 kg 6 9 12 18 30
45 kg 27 41 54 81 135
70 kg 42 63 84 126 210
100 kg 60 90 120 180 300
Table 2. Cisatracurium Besylate Injection Infusion Rates for Maintenance of Neuromuscular Blockade During Opioid/Nitrous Oxide/Oxygen Anesthesia with a Concentration of 0.4 mg/mL
Drug Delivery Rate (mcg/kg/minute)
1 1.5 2 3 5
Patient Weight Infusion Delivery Rate (mL/hour)
10 kg 1.5 2.3 3 4.5 7.5
45 kg 6.8 10.1 13.5 20.3 33.8
70 kg 10.5 15.8 21 31.5 52.5
100 kg 15 22.5 30 45 75
8.10 Patients With Neuromuscular Disease (8.10 Patients with Neuromuscular Disease)

Profound and prolonged neuromuscular blockade may occur in patients with neuromuscular diseases (e.g., myasthenia gravis and myasthenic syndrome) and carcinomatosis. Therefore, a lower maximum initial bolus is recommended in these patients [see Dosage and Administration (2.2)].

5.5 Risk of Death Due to Medication Errors

Administration of cisatracurium besylate results in paralysis, which may lead to respiratory arrest and death, a progression that may be more likely to occur in a patient for whom it is not intended. Confirm proper selection of intended product and avoid confusion with other injectable solutions that are present in critical care and other clinical settings. If another healthcare provider is administering the product, ensure that the intended dose is clearly labeled and communicated.

5.8 Potentiation of Neuromuscular Blockade

Certain drugs may enhance the neuromuscular blocking action of cisatracurium besylate including inhalational anesthetics, antibiotics, magnesium salts, lithium, local anesthetics, procainamide and quinidine [see Drug Interactions (7.1)]. Additionally, acid-base and/or serum electrolyte abnormalities may potentiate the action of neuromuscular blocking agents. Use peripheral nerve stimulation and monitor the clinical signs of neuromuscular blockade to determine the adequacy of the level of neuromuscular blockage and the need to adjust the cisatracurium besylate dosage.

7.1 Clinically Significant Drug Interactions

Table 4 displays clinically significant drug interactions with cisatracurium besylate.

Table 4. Clinically Significant Drug Interactions with Cisatracurium Besylate

* The use of peripheral nerve stimulator is strongly recommended to evaluate the level of neuromuscular blockade, to assess the need for additional doses of cisatracurium besylate, and to determine whether adjustments need to be made to the dose with subsequent administration.

† Examples: aminoglycosides, tetracyclines, bacitracin, polymyxins, lincomycin, clindamycin, colistin, sodium colistimethate

Drug or Drug Class Clinical Implications*
Succinylcholine The use of succinylcholine prior to cisatracurium besylate administration may decrease the time to onset of maximum neuromuscular blockade but has no effect on the duration of neuromuscular blockade.
Inhalational Anesthetics Administration of inhalational anesthetics with nitrous oxide/oxygen for greater than 30 minutes to achieve 1.25 Minimum Alveolar Concentration (MAC) may prolong the duration of action of initial and maintenance doses of cisatracurium besylate. This may potentiate the neuromuscular blockade.

Antibiotics†

Local anesthetics

Magnesium salts

Procainamide

Lithium

Quinidine





May prolong the neuromuscular blockade action of cisatracurium besylate.
Phenytoin, Carbamazepine May increase resistance to the neuromuscular blockade action of cisatracurium besylate resulting in shorter durations of neuromuscular blockade and infusion rate requirements may be higher.

8.9 Patients With Hemiparesis Or Paraparesis (8.9 Patients with Hemiparesis or Paraparesis)

Patients with hemiparesis or paraparesis may demonstrate resistance to nondepolarizing neuromuscular blocking agents in the affected limbs. To avoid inaccurate dosing, perform neuromuscular monitoring on a non-paretic limb.

14.3 Skeletal Muscle Relaxation in Icu Patients (14.3 Skeletal Muscle Relaxation in ICU Patients)

Long-term infusion (up to 6 days) of cisatracurium besylate during mechanical ventilation in the ICU was evaluated in two studies.

Study 8 was a randomized, double-blind study using presence of a single twitch during train-of-four (TOF) monitoring to regulate dosage. Patients treated with cisatracurium besylate (n = 19) recovered neuromuscular function (T4:T1 ratio ≥ 70%) following termination of infusion in approximately 55 minutes (range: 20 to 270).

In Study 9, cisatracurium besylate patients recovered neuromuscular function in approximately 50 minutes (range: 20 to 175; n = 34).

2.7 Preparation of Cisatracurium Besylate Injection

Visually inspect cisatracurium besylate injection for particulate matter and discoloration prior to administration. If a cisatracurium besylate injection solution is cloudy or contains visible particulates, do not use cisatracurium besylate injection. Cisatracurium besylate injection is a colorless to slight yellow or greenish yellow solution.

Discard unused portion of the 5 mL and 20 mL single-dose vials.

Cisatracurium besylate injection may be diluted to 0.1 mg/mL in the following solutions:

  • 5% Dextrose Injection, USP
  • 0.9% Sodium Chloride Injection, USP, or
  • 5% Dextrose and 0.9% Sodium Chloride Injection, USP

Store these diluted cisatracurium besylate injection solutions either in a refrigerator or at room temperature for 24 hours without significant loss of potency.

Cisatracurium besylate injection also may be diluted to 0.1 mg/mL or 0.2 mg/mL in the following solution:

  • Lactated Ringer's and 5% Dextrose Injection

Store this diluted cisatracurium besylate injection solution under refrigeration for no more than 24 hours.

Do not dilute cisatracurium besylate injection in Lactated Ringer's Injection, USP due to chemical instability.

2.1 Important Dosage and Administration Instructions

Risk of Medication Errors

Accidental administration of neuromuscular blocking agents may be fatal. Store cisatracurium besylate injection with the cap and ferrule intact and in a manner that minimizes the possibility of selecting the wrong product [see Warnings and Precautions (5.5)].

Important Administration Instructions

  • Cisatracurium besylate injection is for intravenous use only.
  • Administer cisatracurium besylate injection in carefully adjusted dosage by or under the supervision of experienced clinicians who are familiar with the drug's actions and the possible complications.
  • Use cisatracurium besylate injection only if the following are immediately available: personnel and facilities for resuscitation and life support (tracheal intubation, artificial ventilation, oxygen therapy); and an antagonist of cisatracurium besylate injection [see Overdosage (10)].
  • The dosage information which follows is intended to serve as an initial guide for individual patients; base subsequent cisatracurium besylate injection dosage on the patients' responses to the initial doses.
  • Use a peripheral nerve stimulator to:
    • Determine the adequacy of neuromuscular blockade (e.g., need for additional cisatracurium besylate injection doses, reduction of the infusion rate).
    • Minimize risk of overdosage or underdosage.
    • Assess the extent of recovery from neuromuscular blockade (e.g., spontaneous recovery or recovery after administration of a reversal agent, e.g., neostigmine).
    • Appropriately titrate doses to potentially limit exposure to toxic metabolites.
    • Facilitate more rapid reversal of the cisatracurium besylate injection-induced paralysis.
5.4 Hypersensitivity Reactions Including Anaphylaxis

Severe hypersensitivity reactions, including fatal and life-threatening anaphylactic reactions, have been reported [see Contraindications (4)]. There have been reports of wheezing, laryngospasm, bronchospasm, rash and itching following cisatracurium besylate administration in pediatric patients. Due to the potential severity of these reactions, appropriate precautions such as the immediate availability of appropriate emergency treatment should be taken. Precautions should also be taken in those patients who have had previous anaphylactic reactions to other neuromuscular blocking agents since cross-reactivity between neuromuscular blocking agents, both depolarizing and non-depolarizing, has been reported.

5.9 Resistance to Neuromuscular Blockade With Certain Drugs (5.9 Resistance to Neuromuscular Blockade with Certain Drugs)

Shorter durations of neuromuscular block may occur and cisatracurium besylate infusion rate requirements may be higher in patients chronically administered phenytoin or carbamazepine [see Drug Interactions (7.1) and Clinical Pharmacology (12.3)]. Use peripheral nerve stimulation and monitor the clinical signs of neuromuscular blockade to determine the adequacy of neuromuscular blockage and the need to adjust the cisatracurium besylate dosage.

14.1 Skeletal Muscle Relaxation for Intubation of Adult Patients

The efficacy of cisatracurium besylate to provide skeletal muscle relaxation to facilitate tracheal intubation during surgery was established in six studies in adult patients. In all these studies patients had general anesthesia and mechanical ventilation.

  • Cisatracurium besylate doses between 0.15 and 0.2 mg/kg were evaluated in 240 adults. Maximum neuromuscular blockade generally occurred in within 4 minutes for this dose range.
  • When administered during induction using thiopental or propofol and co-induction agents (i.e., fentanyl and midazolam), excellent to good intubating conditions were generally achieved within 2 minutes (excellent intubation conditions most frequently achieved with the 0.2 mg/kg dose of cisatracurium besylate).
  • Following the induction of general anesthesia with propofol, nitrous oxide/oxygen, and co- induction agents (e.g., fentanyl and midazolam), good or excellent conditions for tracheal intubation occurred in 96/102 (94%) patients in 1.5 to 2 minutes following cisatracurium besylate doses of 0.15 mg/kg and in 97/110 (88%) patients in 1.5 minutes following cisatracurium besylate doses of 0.2 mg/kg.

In Study 1, the clinically effective duration of action for 0.15 and 0.2 mg/kg cisatracurium besylate using propofol anesthesia was 55 minutes (range: 44 to 74 minutes) and 61 minutes (range: 41 to 81 minutes), respectively.

In Studies 2 and 3, cisatracurium besylate doses of 0.25 and 0.4 mg/kg were evaluated in 30 patients under opioid/nitrous oxide/oxygen anesthesia and provided 78 (66-86) and 91 (59-107) minutes of clinical relaxation, respectively.

In Study 4, two minutes after fentanyl and midazolam were administered, patients received thiopental anesthesia. Intubating conditions were assessed at 120 seconds following administration of 0.15 mg/kg or 0.2 mg/kg of cisatracurium besylate in 51 patients (see Table 11).

Table 11. Intubating Conditions at 120 Seconds after Cisatracurium Besylate Administration with Thiopental Anesthesia in Adult Surgery Patients in Study 4

*Excellent: Easy passage of tube without coughing. Vocal cords relaxed and abducted.

Good: Passage of tube with slight coughing and/or bucking. Vocal cords relaxed and abducted.

Cisatracurium Besylate 0.15 mg/kg

(n = 26)
Cisatracurium Besylate 0.20 mg/kg

(n = 25)
Excellent and Good 88% 96%
     95% CI 76,100 88,100
Excellent 31% 60%
Good 58% 36%

Excellent intubating conditions were more frequently achieved with the 0.2 mg/kg dose (60%) than the 0.15 mg/kg dose (31%) when intubation was attempted 120 seconds following cisatracurium besylate.

Study 5 evaluated intubating conditions after 3 and 4 × ED95 (0.15 mg/kg and 0.20 mg/kg) following induction with fentanyl and midazolam and either thiopental or propofol anesthesia. This study compared intubation conditions produced by these doses of cisatracurium besylate after 90 seconds. Table 12 displays these results.

Table 12. Intubating Conditions at 90 Seconds after Cisatracurium Besylate Administration with Thiopental or Propofol Anesthesia in Study 5

*Excellent: Easy passage of tube without coughing. Vocal cords relaxed and abducted.

Good: Passage of tube with slight coughing and/or bucking. Vocal cords relaxed and abducted.

Intubating

Condition
Cisatracurium Besylate Cisatracurium Besylate Cisatracurium Besylate Cisatracurium Besylate
0.15 mg/kg 0.15 mg/kg 0.20 mg/kg 0.20 mg/kg
with Propofol with Thiopental with Propofol with Thiopental
(n = 31) (n= 31) (n= 30) (n = 28)
Excellent and Good 94% 90% 93% 96%
      95% CI 85,100 80,100 84,100 90,100
Excellent 58% 55% 70% 57%
Good 35% 35% 20% 39%

Excellent intubating conditions were more frequently observed with the 0.2 mg/kg dose when intubation was attempted 90 seconds following cisatracurium besylate.

14.2 Skeletal Muscle Relaxation for Intubation of Pediatric Patients

The efficacy of cisatracurium besylate to provide skeletal muscle relaxation to facilitate tracheal intubation was established in studies in pediatric patients aged 1 month to 12 years old. In these studies, patients had general anesthesia and mechanical ventilation.

In Study 6, a cisatracurium besylate dose of 0.1 mg/kg was evaluated in 16 pediatric patients (ages 2 years to 12 years) during opioid anesthesia. When administered during stable opioid/nitrous oxide/oxygen anesthesia, maximum neuromuscular blockade was achieved in an average of 2.8 minutes (range: 1.8 to 6.7 minutes) with a clinically effective block for 28 minutes (range: 21 to 38 minutes).

In Study 7, a cisatracurium besylate dose of 0.15 mg/kg was evaluated in 50 pediatric patients (ages 1 month to 12 years) during opioid anesthesia. When administered during stable opioid/nitrous oxide/oxygen anesthesia, maximum neuromuscular blockade was achieved in an average of about 3 minutes (range: 1.5 to 8 minutes) with a clinically effective block for 36 minutes (range: 29 to 46 minutes) in 24 patients ages 2 to 12 years. In 27 infants (1 to 23 months), maximum neuromuscular block was achieved in about 2 minutes (range: 1.3 to 4.3 minutes) with a clinically effective block for about 43 minutes (range: 34 to 58 minutes) with this dose.

Study 7 also evaluated intubating conditions in 180 pediatric patients (ages 1 month to 12 years) after administration of cisatracurium besylate doses of 0.15 mg/kg following induction with either halothane (with halothane/nitrous oxide/oxygen maintenance) or thiopentone and fentanyl (with thiopentone/fentanyl nitrous oxide/oxygen maintenance). Table 13 displays the intubating conditions by type of anesthesia, and pediatric age group. Excellent or good intubating conditions were produced 120 seconds following 0.15 mg/kg of cisatracurium besylate in 88/90 (98%) of patients induced with halothane and in 85/90 (94%) of patients induced with thiopentone and fentanyl. There were no patients for whom intubation was not possible, but there were 7/120 patients aged 1 year to 12 years old for whom intubating conditions were described as poor.

Table 13. Intubating Conditions at 120 Seconds* in Pediatric Patients Ages 1 Month to 12 Years Old in Study 7

*Excellent: Easy passage of the tube without coughing. Vocal cords relaxed and abducted.

Good: Passage of tube with slight coughing and/or bucking. Vocal cords relaxed and abducted.

Poor: Passage of tube with moderate coughing and/or bucking. Vocal cords moderately adducted. Response of patient requires adjustment of ventilation pressure and/or rate.

Cisatracurium Besylate

0.15 mg/kg


1-11 mo.
Cisatracurium Besylate

0.15 mg/kg


1- 4 years
Cisatracurium Besylate

0.15 mg/kg


5-12 years
Halothane Anesthesia

(n=30)
Thiopentone/ Fentanyl Anesthesia

(n=30)
Halothane Anesthesia

(n=30)
Thiopentone/ Fentanyl Anesthesia

(n=30)
Halothane Anesthesia

(n=30)
Thiopentone/ Fentanyl Anesthesia

(n=30)
Excellent and Good 100% 100% 97% 87% 97% 97%
Excellent 100% 83% 90% 63% 73% 70%
Good 0% 17% 7% 23% 23% 27%
Poor 0% 0% 3% 13% 3% 3%
Principal Display Panel – Cisatracurium Besylate Injection, Usp – 5 Ml Carton (PRINCIPAL DISPLAY PANEL – Cisatracurium Besylate Injection, USP – 5 mL Carton)

NDC 71288- 712 -06

10 x 5 mL Single-Dose Vials

Cisatracurium Besylate Injection, USP

10 mg per 5 mL*

(2 mg per mL)

WARNING: Paralyzing Agent

For Intravenous Injection

Rx Only

Principal Display Panel – Cisatracurium Besylate Injection, Usp – 10 Ml Carton (PRINCIPAL DISPLAY PANEL – Cisatracurium Besylate Injection, USP – 10 mL Carton)

NDC 71288-714-11

10 x 10 mL Multi-Dose Vials

Cisatracurium Besylate Injection, USP

20 mg per 10 mL*

(2 mg per mL)

WARNING: Paralyzing Agent

For Intravenous Injection

0.9% benzyl alcohol

(added as a preservative)

Rx Only

Principal Display Panel – Cisatracurium Besylate Injection, Usp – 20 Ml Carton (PRINCIPAL DISPLAY PANEL – Cisatracurium Besylate Injection, USP – 20 mL Carton)

NDC 71288-713-21

10 x 20 mL Single-Dose Vials

Cisatracurium Besylate Injection, USP

200 mg per 20 mL*

(10 mg per mL)

WARNING: Paralyzing Agent

For ICU use only

For Intravenous Injection

Rx Only

Principal Display Panel – Cisatracurium Besylate Injection, Usp – 5 Ml Vial Label (PRINCIPAL DISPLAY PANEL – Cisatracurium Besylate Injection, USP – 5 mL Vial Label)

NDC 71288- 712 -05

Rx Only

Cisatracurium Besylate Injection, USP

10 mg per 5 mL

(2 mg per mL)

WARNING: Paralyzing Agent

For Intravenous Injection

5 mL Single-Dose Vial

7.2 Drugs Without Clinically Significant Drug Interactions With Cisatracurium Besylate (7.2 Drugs Without Clinically Significant Drug Interactions with Cisatracurium Besylate)

In clinical studies, propofol had no effect on the duration of action or dosing requirements for cisatracurium besylate. Cisatracurium besylate is not compatible with propofol for Y-site administration.

Principal Display Panel – Cisatracurium Besylate Injection, Usp – 10 Ml Vial Label (PRINCIPAL DISPLAY PANEL – Cisatracurium Besylate Injection, USP – 10 mL Vial Label)

NDC 71288-714-10

Rx Only

Cisatracurium Besylate Injection, USP

20 mg per 10 mL*

(2 mg per mL)

WARNING: Paralyzing Agent

For Intravenous Injection

0.9% benzyl alcohol (added as a preservative)

10 mL Multi-Dose Vial

Principal Display Panel – Cisatracurium Besylate Injection, Usp – 20 Ml Vial Label (PRINCIPAL DISPLAY PANEL – Cisatracurium Besylate Injection, USP – 20 mL Vial Label)

NDC 71288-713-20

Rx Only

Cisatracurium Besylate Injection, USP

200 mg per 20 mL

(10 mg per mL)

WARNING: Paralyzing Agent

For ICU use only

For Intravenous Injection

20 mL Single-Dose Vial

2.3 Recommended Maintenance Bolus Cisatracurium Besylate Injection Doses in Adult Surgical Procedures

Determine if maintenance bolus doses are needed based on clinical criteria including the response to peripheral nerve stimulation. The recommended maintenance bolus dose of cisatracurium besylate injection is 0.03 mg/kg; however, smaller or larger maintenance doses may be administered based on the required duration of action. Administer the first maintenance bolus dose starting:

  • 40 to 50 minutes after an initial dose of cisatracurium besylate injection 0.15 mg/kg;
  • 50 to 60 minutes after an initial dose of cisatracurium besylate injection 0.2 mg/kg.

For long surgical procedures using inhalational anesthetics administered with nitrous oxide/oxygen at the 1.25 MAC level for at least 30 minutes, consider administering less frequent maintenance bolus doses or lower maintenance bolus doses of cisatracurium besylate injection [see Clinical Pharmacology (12.2)]. No adjustment to the initial cisatracurium besylate injection maintenance bolus dose should be necessary when cisatracurium besylate injection is administered shortly after initiation of volatile agents or when used in patients receiving propofol anesthesia.

5.2 Risk of Serious Adverse Reactions in Infants Due to Benzyl Alcohol Preservative in 10 Ml Multi Dose Vials (5.2 Risk of Serious Adverse Reactions in Infants due to Benzyl Alcohol Preservative in 10 mL Multi-Dose Vials)

Serious and fatal adverse reactions including “gasping syndrome” can occur in neonates and infants treated with benzyl alcohol-preserved drugs, including cisatracurium besylate (10 mL multi-dose vials). This warning is not applicable to the 5 mL and 20 mL cisatracurium besylate single-dose vials because these vials do not contain benzyl alcohol. The “gasping syndrome” is characterized by central nervous system depression, metabolic acidosis, and gasping respirations.

When prescribing the 10 mL multi-dose cisatracurium besylate vials in infants consider the combined daily metabolic load of benzyl alcohol from all sources including cisatracurium besylate (multi-dose vials contain 9 mg of benzyl alcohol per mL) and other drugs containing benzyl alcohol. The minimum amount of benzyl alcohol at which serious adverse reactions may occur is not known [see Use in Specific Populations (8.4)].

The use of 10 mL cisatracurium besylate multi-dose vials is contraindicated in pediatric patients less than 1 month of age and low birth-weight infants because these patients are more likely to develop benzyl alcohol toxicity [see Contraindications (4)].


Advanced Ingredient Data


Raw Label Data

All Sections (JSON)