Kariva®

Kariva®
SPL v15
SPL
SPL Set ID 7b11e11f-6977-4109-b9bd-a066e5d1278a
Route
ORAL
Published
Effective Date 2024-03-26
Document Type 34391-3 HUMAN PRESCRIPTION DRUG LABEL

Drug Facts

Composition & Product

Active Ingredients
Desogestrel (0.15 mg) Ethinyl Estradiol (0.02 mg)
Inactive Ingredients
Silicon Dioxide Hypromellose 2910 (6 Mpa.s) Lactose Monohydrate Polyethylene Glycol 400 Polyethylene Glycol 8000 Povidone K30 Starch, Corn Stearic Acid Alpha-tocopherol Fd&c Blue No. 1 Aluminum Lake Fd&c Yellow No. 6 D&c Yellow No. 10 Aluminum Lake Magnesium Stearate Microcrystalline Cellulose Fd&c Blue No. 2--aluminum Lake Indigotindisulfonate Sodium Hypromellose 2910 (3 Mpa.s) Hypromellose 2910 (50 Mpa.s) Polydextrose Titanium Dioxide Triacetin

Identifiers & Packaging

Pill Appearance
Imprint: dp;022 Shape: round Color: white Color: green Color: blue Size: 6 mm Score: 1
Marketing Status
ANDA Active Since 2002-04-08

Description

WARNING: CIGARETTE SMOKING AND SERIOUS CARDIOVASCULAR EVENTS Cigarette smoking increases the risk of serious cardiovascular events from combination oral contraceptive (COC) use. This risk increases with age, particularly in women over 35 years of age, and with the number of cigarettes smoked. For this reason, COCs, including Kariva ® , are contraindicated in women who are over 35 years of age and smoke (see CONTRAINDICATIONS and WARNINGS ).

Indications and Usage

Kariva ® (desogestrel/ethinyl estradiol and ethinyl estradiol tablets USP) is indicated for the prevention of pregnancy in women who elect to use this product as a method of contraception. Oral contraceptives are highly effective. Table II lists the typical accidental pregnancy rates for users of combination oral contraceptives and other methods of contraception. The efficacy of these contraceptive methods, except sterilization, depends upon the reliability with which they are used. Correct and consistent use of these methods can result in lower failure rates. TABLE II: Percentage of women experiencing an unintended pregnancy during the first year of typical use and the first year of perfect use of contraception and the percentage continuing use at the end of the first year, United States. % of Women Experiencing an Unintended Pregnancy within the First Year of Use % of Women Continuing Use at One Year a (4) Method (1) Typical Use b (2) Perfect Use c (3) Chance d 85 85 Spermicides e 26 6 40 Periodic abstinence 25 63 Calendar 9 Ovulation Method 3 Sympto-Thermal f 2 Post-Ovulation 1 Withdrawal 19 4 Cap g Parous Women 40 26 42 Nulliparous Women 20 9 56 Sponge Parous Women 40 20 42 Nulliparous Women 20 9 56 Diaphragm g 20 6 56 Condom h Female (Reality) 21 5 56 Male 14 3 61 Pill 5 71 Progestin Only 0.5 Combined 0.1 IUD Progesterone T 2.0 1.5 81 Copper T 380A 0.8 0.6 78 LNg 20 0.1 0.1 81 Depo-Provera 0.3 0.3 70 Norplant and Norplant-2 0.05 0.05 88 Female sterilization 0.5 0.5 100 Male sterilization 0.15 0.10 100 Adapted from Hatcher et al., 1998, ref #1. a) Among couples attempting to avoid pregnancy, the percentage who continue to use a method for one year. b) Among typical couples who initiate use of a method (not necessarily for the first time), the percentage who experience an accidental pregnancy during the first year if they do not stop use for any other reason. c) Among couples who initiate use of a method (not necessarily for the first time) and who use it perfectly (both consistently and correctly), the percentage who experience an accidental pregnancy during the first year if they do not stop use for any other reason. d) The percents becoming pregnant in columns (2) and (3) are based on data from populations where contraception is not used and from women who cease using contraception in order to become pregnant. Among such populations, about 89% become pregnant within one year. This estimate was lowered slightly (to 85%) to represent the percent who would become pregnant within one year among women now relying on reversible methods of contraception if they abandoned contraception altogether. e) Foams, creams, gels, vaginal suppositories, and vaginal film. f) Cervical mucus (ovulation) method supplemented by calendar in the pre-ovulatory and basal body temperature in the post-ovulatory phases. g) With spermicidal cream or jelly. h) Without spermicides.

Dosage and Administration

To achieve maximum contraceptive effectiveness, Kariva ® must be taken exactly as directed and at intervals not exceeding 24 hours. Kariva ® may be initiated using either a Sunday start or a Day 1 start. NOTE: Each cycle pack dispenser is preprinted with the days of the week, starting with Sunday, to facilitate a Sunday start regimen. Six different “day label strips” are provided with each cycle pack dispenser in order to accommodate a Day 1 start regimen. In this case, the patient should place the self-adhesive “day label strip” that corresponds to her starting day over the preprinted days. IMPORTANT: The possibility of ovulation and conception prior to initiation of use of Kariva ® should be considered. The use of Kariva ® for contraception may be initiated 4 weeks postpartum in women who elect not to breastfeed. When the tablets are administered during the postpartum period, the increased risk of thromboembolic disease associated with the postpartum period must be considered (see CONTRAINDICATIONS and WARNINGS concerning thromboembolic disease. See also PRECAUTIONS for Nursing mothers ). If the patient starts on Kariva ® postpartum, and has not yet had a period, she should be instructed to use another method of contraception until a white tablet has been taken daily for 7 days. SUNDAY START When initiating a Sunday start regimen, another method of contraception should be used until after the first 7 consecutive days of administration. Using a Sunday start, tablets are taken daily without interruption as follows: The first white tablet should be taken on the first Sunday after menstruation begins (if menstruation begins on Sunday, the first white tablet is taken on that day). One white tablet is taken daily for 21 days, followed by 1 light-green (inert) tablet daily for 2 days and 1 light-blue (active) tablet daily for 5 days. For all subsequent cycles, the patient then begins a new 28-tablet regimen on the next day (Sunday) after taking the last light-blue tablet. [If switching from a Sunday start oral contraceptive, the first Kariva ® (desogestrel/ethinyl estradiol and ethinyl estradiol) tablet should be taken on the second Sunday after the last tablet of a 21 day regimen or should be taken on the first Sunday after the last inactive tablet of a 28 day regimen.] If a patient misses 1 white tablet, she should take the missed tablet as soon as she remembers. If the patient misses 2 consecutive white tablets in Week 1 or Week 2, the patient should take 2 tablets the day she remembers and 2 tablets the next day; thereafter, the patient should resume taking 1 tablet daily until she finishes the cycle pack. The patient should be instructed to use a back-up method of birth control if she has intercourse in the 7 days after missing pills. If the patient misses 2 consecutive white tablets in the third week or misses 3 or more white tablets in a row at any time during the cycle, the patient should keep taking 1 white tablet daily until the next Sunday. On Sunday the patient should throw out the rest of that cycle pack and start a new cycle pack that same day. The patient should be instructed to use a back-up method of birth control if she has intercourse in the 7 days after missing pills. DAY 1 START Counting the first day of menstruation as “Day 1”, tablets are taken without interruption as follows: One white tablet daily for 21 days, one light-green (inert) tablet daily for 2 days followed by 1 light-blue (ethinyl estradiol) tablet daily for 5 days. For all subsequent cycles, the patient then begins a new 28-tablet regimen on the next day after taking the last light-blue tablet. [If switching directly from another oral contraceptive, the first white tablet should be taken on the first day of menstruation which begins after the last ACTIVE tablet of the previous product.] If a patient misses 1 white tablet, she should take the missed tablet as soon as she remembers. If the patient misses 2 consecutive white tablets in Week 1 or Week 2, the patient should take 2 tablets the day she remembers and 2 tablets the next day; thereafter, the patient should resume taking 1 tablet daily until she finishes the cycle pack. The patient should be instructed to use a back-up method of birth control if she has intercourse in the 7 days after missing pills. If the patient misses 2 consecutive white tablets in the third week or if the patient misses 3 or more white tablets in a row at any time during the cycle, the patient should throw out the rest of that cycle pack and start a new cycle pack that same day. The patient should be instructed to use a back-up method of birth control if she has intercourse in the 7 days after missing pills.

Contraindications

Oral contraceptives should not be used in women who currently have the following conditions: Thrombophlebitis or thromboembolic disorders A past history of deep vein thrombophlebitis or thromboembolic disorders Cerebral vascular or coronary artery disease Current diagnosis of, or history of, breast cancer, which may be hormone-sensitive Undiagnosed abnormal genital bleeding Cholestatic jaundice of pregnancy or jaundice with prior pill use Hepatic adenomas or carcinomas Are receiving Hepatitis C drug combinations containing ombitasvir/paritaprevir/ritonavir, with or without dasabuvir, due to the potential for ALT elevations (see WARNINGS, Risk of Liver Enzyme Elevations with Concomitant Hepatitis C Treatment )

Adverse Reactions

An increased risk of the following serious adverse reactions has been associated with the use of oral contraceptives (see WARNINGS section): Thrombophlebitis and venous thrombosis with or without embolism Arterial thromboembolism Pulmonary embolism Myocardial infarction Cerebral hemorrhage Cerebral thrombosis Hypertension Gallbladder disease Hepatic adenomas or benign liver tumors Post Marketing Experience Five studies that compared breast cancer risk between ever-users (current or past use) of COCs and never-users of COCs reported no association between ever use of COCs and breast cancer risk, with effect estimates ranging from 0.90 to 1.12 (Figure 2) (64 to 68). Three studies compared breast cancer risk between current or recent COC users (<6 months since last use) and never users of COCs (Figure 2) (64, 67, 69). One of these studies reported no association between breast cancer risk and COC use. The other two studies found an increased relative risk of 1.19 to 1.33 with current or recent use. Both of these studies found an increased risk of breast cancer with current use of longer duration, with relative risks ranging from 1.03 with less than one year of COC use to approximately 1.4 with more than 8 to 10 years of COC use. FIGURE 2: RELEVANT STUDIES OF RISK OF BREAST CANCER WITH COMBINED ORAL CONTRACEPTIVES RR = relative risk; OR = odds ratio; HR = hazard ratio. “ever COC” are females with current or past COC use; “never COC use” are females that never used COCs. There is evidence of an association between the following conditions and the use of oral contraceptives: Mesenteric thrombosis Retinal thrombosis The following adverse reactions have been reported in patients receiving oral contraceptives and are believed to be drug-related: Nausea Vomiting Gastrointestinal symptoms (such as abdominal cramps and bloating) Breakthrough bleeding Spotting Change in menstrual flow Amenorrhea Temporary infertility after discontinuation of treatment Edema Melasma which may persist Breast changes: tenderness, enlargement, secretion Change in weight (increase or decrease) Change in cervical erosion and secretion Diminution in lactation when given immediately postpartum Cholestatic jaundice Migraine Rash (allergic) Mental depression Reduced tolerance to carbohydrates Vaginal candidiasis Change in corneal curvature (steepening) Intolerance to contact lenses The following adverse reactions have been reported in users of oral contraceptives and the association has been neither confirmed nor refuted: Pre-menstrual syndrome Cataracts Changes in appetite Cystitis-like syndrome Headache Nervousness Dizziness Hirsutism Loss of scalp hair Erythema multiforme Erythema nodosum Hemorrhagic eruption Vaginitis Porphyria Impaired renal function Hemolytic uremic syndrome Acne Changes in libido Colitis Budd-Chiari syndrome

Drug Interactions

Reduced efficacy and increased incidence of breakthrough bleeding and menstrual irregularities have been associated with concomitant use of rifampin. A similar association, though less marked, has been suggested with barbiturates, phenylbutazone, phenytoin sodium, carbamazepine and possibly with griseofulvin, ampicillin, and tetracyclines (72). Combined hormonal contraceptives have been shown to significantly decrease plasma concentrations of lamotrigine when co-administered, likely due to induction of lamotrigine glucuronidation. This may reduce seizure control; therefore, dosage adjustments of lamotrigine may be necessary. Concomitant Use with Hepatitis C Virus (HCV) Combination Therapy – Liver Enzyme Elevation Co-administration of Kariva ® with HCV drug combinations containing ombitasvir/paritaprevir/ritonavir, with or without dasabuvir is contraindicated due to potential for ALT elevations (see CONTRAINDICATIONS and  WARNINGS, Risk of Liver Enzyme Elevations with Concomitant Hepatitis C Treatment ). Co-administration of Kariva ® and glecaprevir/pibrentasvir is not recommended due to potential for ALT elevations. Consult the labeling of the concurrently-used drug to obtain further information about interactions with hormonal contraceptives or the potential for enzyme alterations.

How Supplied

Kariva ® (desogestrel/ethinyl estradiol and ethinyl estradiol tablets USP) contains 21 round, white, film-coated, biconvex tablets, 2 round, light-green tablets and 5 round, light-blue, film-coated, biconvex tablets in a blister card. Each white tablet (debossed with “ dp ” on one side and “ 021 ” on the other side) contains 0.15 mg desogestrel and 0.02 mg ethinyl estradiol, USP. Each light-green tablet (debossed with “ dp ” on one side and “ 331 ” on the other side) contains inert ingredients. Each light-blue tablet (debossed with “ dp ” on one side and “ 022 ” on the other side) contains 0.01 mg ethinyl estradiol, USP. Box of 6 Blister Cards (NDC: 0555-9050-58) Store at 20° to 25°C (68° to 77°F) [See USP Controlled Room Temperature]. Keep this and all medications out of the reach of children.


Medication Information

Recent Major Changes

WARNING: CIGARETTE SMOKING AND SERIOUS CARDIOVASCULAR EVENTS

Cigarette smoking increases the risk of serious cardiovascular events from combination oral contraceptive (COC) use. This risk increases with age, particularly in women over 35 years of age, and with the number of cigarettes smoked. For this reason, COCs, including Kariva®, are contraindicated in women who are over 35 years of age and smoke (see CONTRAINDICATIONS and WARNINGS ).

Indications and Usage

Kariva® (desogestrel/ethinyl estradiol and ethinyl estradiol tablets USP) is indicated for the prevention of pregnancy in women who elect to use this product as a method of contraception.

Oral contraceptives are highly effective. Table II lists the typical accidental pregnancy rates for users of combination oral contraceptives and other methods of contraception. The efficacy of these contraceptive methods, except sterilization, depends upon the reliability with which they are used. Correct and consistent use of these methods can result in lower failure rates.

TABLE II: Percentage of women experiencing an unintended pregnancy during the first year of typical use and the first year of perfect use of contraception and the percentage continuing use at the end of the first year, United States.

% of Women Experiencing an Unintended Pregnancy within the First Year of Use

% of Women

Continuing Use at

One Year a



(4)

Method

(1)

Typical Use b

(2)

Perfect Use c

(3)

Chanced

85

85

Spermicidese

26

6

40

Periodic abstinence

25

63

Calendar

9

Ovulation Method

3

Sympto-Thermalf

2

Post-Ovulation

1

Withdrawal

19

4

Capg

Parous Women

40

26

42

Nulliparous Women

20

9

56

Sponge

Parous Women

40

20

42

Nulliparous Women

20

9

56

Diaphragmg

20

6

56

Condomh

Female (Reality)

21

5

56

Male

14

3

61

Pill

5

71

Progestin Only

0.5

Combined

0.1

IUD

Progesterone T

2.0

1.5

81

Copper T 380A

0.8

0.6

78

LNg 20

0.1

0.1

81

Depo-Provera

0.3

0.3

70

Norplant and Norplant-2

0.05

0.05

88

Female sterilization

0.5

0.5

100

Male sterilization

0.15

0.10

100

Adapted from Hatcher et al., 1998, ref #1.

a) Among couples attempting to avoid pregnancy, the percentage who continue to use a method for one year.

b) Among typical couples who initiate use of a method (not necessarily for the first time), the percentage who experience an accidental pregnancy during the first year if they do not stop use for any other reason.

c) Among couples who initiate use of a method (not necessarily for the first time) and who use it perfectly (both consistently and correctly), the percentage who experience an accidental pregnancy during the first year if they do not stop use for any other reason.

d) The percents becoming pregnant in columns (2) and (3) are based on data from populations where contraception is not used and from women who cease using contraception in order to become pregnant. Among such populations, about 89% become pregnant within one year. This estimate was lowered slightly (to 85%) to represent the percent who would become pregnant within one year among women now relying on reversible methods of contraception if they abandoned contraception altogether.

e) Foams, creams, gels, vaginal suppositories, and vaginal film.

f) Cervical mucus (ovulation) method supplemented by calendar in the pre-ovulatory and basal body temperature in the post-ovulatory phases.

g) With spermicidal cream or jelly.

h) Without spermicides.

Dosage and Administration

To achieve maximum contraceptive effectiveness, Kariva® must be taken exactly as directed and at intervals not exceeding 24 hours. Kariva® may be initiated using either a Sunday start or a Day 1 start.

NOTE: Each cycle pack dispenser is preprinted with the days of the week, starting with Sunday, to facilitate a Sunday start regimen. Six different “day label strips” are provided with each cycle pack dispenser in order to accommodate a Day 1 start regimen. In this case, the patient should place the self-adhesive “day label strip” that corresponds to her starting day over the preprinted days.

IMPORTANT: The possibility of ovulation and conception prior to initiation of use of Kariva® should be considered.

The use of Kariva® for contraception may be initiated 4 weeks postpartum in women who elect not to breastfeed. When the tablets are administered during the postpartum period, the increased risk of thromboembolic disease associated with the postpartum period must be considered (see CONTRAINDICATIONS and WARNINGS concerning thromboembolic disease. See also PRECAUTIONS for Nursing mothers ).

If the patient starts on Kariva® postpartum, and has not yet had a period, she should be instructed to use another method of contraception until a white tablet has been taken daily for 7 days.

SUNDAY START

When initiating a Sunday start regimen, another method of contraception should be used until after the first 7 consecutive days of administration.

Using a Sunday start, tablets are taken daily without interruption as follows: The first white tablet should be taken on the first Sunday after menstruation begins (if menstruation begins on Sunday, the first white tablet is taken on that day). One white tablet is taken daily for 21 days, followed by 1 light-green (inert) tablet daily for 2 days and 1 light-blue (active) tablet daily for 5 days. For all subsequent cycles, the patient then begins a new 28-tablet regimen on the next day (Sunday) after taking the last light-blue tablet. [If switching from a Sunday start oral contraceptive, the first Kariva® (desogestrel/ethinyl estradiol and ethinyl estradiol) tablet should be taken on the second Sunday after the last tablet of a 21 day regimen or should be taken on the first Sunday after the last inactive tablet of a 28 day regimen.]

If a patient misses 1 white tablet, she should take the missed tablet as soon as she remembers. If the patient misses 2 consecutive white tablets in Week 1 or Week 2, the patient should take 2 tablets the day she remembers and 2 tablets the next day; thereafter, the patient should resume taking 1 tablet daily until she finishes the cycle pack. The patient should be instructed to use a back-up method of birth control if she has intercourse in the 7 days after missing pills. If the patient misses 2 consecutive white tablets in the third week or misses 3 or more white tablets in a row at any time during the cycle, the patient should keep taking 1 white tablet daily until the next Sunday. On Sunday the patient should throw out the rest of that cycle pack and start a new cycle pack that same day. The patient should be instructed to use a back-up method of birth control if she has intercourse in the 7 days after missing pills.

DAY 1 START

Counting the first day of menstruation as “Day 1”, tablets are taken without interruption as follows: One white tablet daily for 21 days, one light-green (inert) tablet daily for 2 days followed by 1 light-blue (ethinyl estradiol) tablet daily for 5 days. For all subsequent cycles, the patient then begins a new 28-tablet regimen on the next day after taking the last light-blue tablet. [If switching directly from another oral contraceptive, the first white tablet should be taken on the first day of menstruation which begins after the last ACTIVE tablet of the previous product.]

If a patient misses 1 white tablet, she should take the missed tablet as soon as she remembers. If the patient misses 2 consecutive white tablets in Week 1 or Week 2, the patient should take 2 tablets the day she remembers and 2 tablets the next day; thereafter, the patient should resume taking 1 tablet daily until she finishes the cycle pack. The patient should be instructed to use a back-up method of birth control if she has intercourse in the 7 days after missing pills. If the patient misses 2 consecutive white tablets in the third week or if the patient misses 3 or more white tablets in a row at any time during the cycle, the patient should throw out the rest of that cycle pack and start a new cycle pack that same day. The patient should be instructed to use a back-up method of birth control if she has intercourse in the 7 days after missing pills.

Contraindications

Oral contraceptives should not be used in women who currently have the following conditions:

  • Thrombophlebitis or thromboembolic disorders
  • A past history of deep vein thrombophlebitis or thromboembolic disorders
  • Cerebral vascular or coronary artery disease
  • Current diagnosis of, or history of, breast cancer, which may be hormone-sensitive
  • Undiagnosed abnormal genital bleeding
  • Cholestatic jaundice of pregnancy or jaundice with prior pill use
  • Hepatic adenomas or carcinomas
  • Are receiving Hepatitis C drug combinations containing ombitasvir/paritaprevir/ritonavir, with or without dasabuvir, due to the potential for ALT elevations (see WARNINGS, Risk of Liver Enzyme Elevations with Concomitant Hepatitis C Treatment )
Adverse Reactions

An increased risk of the following serious adverse reactions has been associated with the use of oral contraceptives (see WARNINGS section):

  • Thrombophlebitis and venous thrombosis with or without embolism
  • Arterial thromboembolism
  • Pulmonary embolism
  • Myocardial infarction
  • Cerebral hemorrhage
  • Cerebral thrombosis
  • Hypertension
  • Gallbladder disease
  • Hepatic adenomas or benign liver tumors

Post Marketing Experience

Five studies that compared breast cancer risk between ever-users (current or past use) of COCs and never-users of COCs reported no association between ever use of COCs and breast cancer risk, with effect estimates ranging from 0.90 to 1.12 (Figure 2) (64 to 68).

Three studies compared breast cancer risk between current or recent COC users (<6 months since last use) and never users of COCs (Figure 2) (64, 67, 69). One of these studies reported no association between breast cancer risk and COC use. The other two studies found an increased relative risk of 1.19 to 1.33 with current or recent use. Both of these studies found an increased risk of breast cancer with current use of longer duration, with relative risks ranging from 1.03 with less than one year of COC use to approximately 1.4 with more than 8 to 10 years of COC use.

FIGURE 2: RELEVANT STUDIES OF RISK OF BREAST CANCER WITH COMBINED ORAL CONTRACEPTIVES

RR = relative risk; OR = odds ratio; HR = hazard ratio. “ever COC” are females with current or past COC use; “never COC use” are females that never used COCs.

There is evidence of an association between the following conditions and the use of oral contraceptives:

  • Mesenteric thrombosis
  • Retinal thrombosis

The following adverse reactions have been reported in patients receiving oral contraceptives and are believed to be drug-related:

  • Nausea
  • Vomiting
  • Gastrointestinal symptoms (such as abdominal cramps and bloating)
  • Breakthrough bleeding
  • Spotting
  • Change in menstrual flow
  • Amenorrhea
  • Temporary infertility after discontinuation of treatment
  • Edema
  • Melasma which may persist
  • Breast changes: tenderness, enlargement, secretion
  • Change in weight (increase or decrease)
  • Change in cervical erosion and secretion
  • Diminution in lactation when given immediately postpartum
  • Cholestatic jaundice
  • Migraine
  • Rash (allergic)
  • Mental depression
  • Reduced tolerance to carbohydrates
  • Vaginal candidiasis
  • Change in corneal curvature (steepening)
  • Intolerance to contact lenses

The following adverse reactions have been reported in users of oral contraceptives and the association has been neither confirmed nor refuted:

  • Pre-menstrual syndrome
  • Cataracts
  • Changes in appetite
  • Cystitis-like syndrome
  • Headache
  • Nervousness
  • Dizziness
  • Hirsutism
  • Loss of scalp hair
  • Erythema multiforme
  • Erythema nodosum
  • Hemorrhagic eruption
  • Vaginitis
  • Porphyria
  • Impaired renal function
  • Hemolytic uremic syndrome
  • Acne
  • Changes in libido
  • Colitis
  • Budd-Chiari syndrome
Drug Interactions

Reduced efficacy and increased incidence of breakthrough bleeding and menstrual irregularities have been associated with concomitant use of rifampin. A similar association, though less marked, has been suggested with barbiturates, phenylbutazone, phenytoin sodium, carbamazepine and possibly with griseofulvin, ampicillin, and tetracyclines (72). Combined hormonal contraceptives have been shown to significantly decrease plasma concentrations of lamotrigine when co-administered, likely due to induction of lamotrigine glucuronidation. This may reduce seizure control; therefore, dosage adjustments of lamotrigine may be necessary. Concomitant Use with Hepatitis C Virus (HCV) Combination Therapy – Liver Enzyme Elevation Co-administration of Kariva ® with HCV drug combinations containing ombitasvir/paritaprevir/ritonavir, with or without dasabuvir is contraindicated due to potential for ALT elevations (see CONTRAINDICATIONS and  WARNINGS, Risk of Liver Enzyme Elevations with Concomitant Hepatitis C Treatment ). Co-administration of Kariva ® and glecaprevir/pibrentasvir is not recommended due to potential for ALT elevations. Consult the labeling of the concurrently-used drug to obtain further information about interactions with hormonal contraceptives or the potential for enzyme alterations.

How Supplied

Kariva® (desogestrel/ethinyl estradiol and ethinyl estradiol tablets USP) contains 21 round, white, film-coated, biconvex tablets, 2 round, light-green tablets and 5 round, light-blue, film-coated, biconvex tablets in a blister card. Each white tablet (debossed with “dp” on one side and “021” on the other side) contains 0.15 mg desogestrel and 0.02 mg ethinyl estradiol, USP. Each light-green tablet (debossed with “dp” on one side and “331” on the other side) contains inert ingredients. Each light-blue tablet (debossed with “dp” on one side and “022” on the other side) contains 0.01 mg ethinyl estradiol, USP.

Box of 6 Blister Cards (NDC: 0555-9050-58)

Store at 20° to 25°C (68° to 77°F) [See USP Controlled Room Temperature].

Keep this and all medications out of the reach of children.

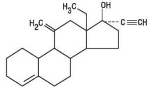
Description

Kariva® (desogestrel/ethinyl estradiol and ethinyl estradiol tablets USP) provides an oral contraceptive regimen of 21 white, round tablets each containing 0.15 mg desogestrel (13-ethyl-11-methylene-18,19-dinor-17 alpha-pregn-4-en-20-yn-17-ol), 0.02 mg ethinyl estradiol, USP (19-nor-17 alpha-pregna-1,3,5 (10)-trien-20-yne-3,17-diol), and inactive ingredients which include colloidal silicon dioxide, hypromellose, lactose monohydrate, polyethylene glycol, povidone, pregelatinized corn starch, stearic acid, and vitamin E, followed by 2 inert light-green, round tablets with the following inactive ingredients: FD&C blue no. 1 aluminum lake, FD&C yellow no. 6 aluminum lake, D&C yellow no. 10 aluminum lake, lactose monohydrate, magnesium stearate, microcrystalline cellulose and pregelatinized corn starch. Kariva® also contains 5 light-blue, round tablets containing 0.01 mg ethinyl estradiol, USP (19-nor-17 alpha-pregna-1,3,5 (10)-trien-20-yne-3,17-diol) and inactive ingredients which include colloidal silicon dioxide, FD&C blue no. 1 aluminum lake, FD&C blue no. 2 aluminum lake, hypromellose, lactose monohydrate, polydextrose, polyethylene glycol, povidone, pregelatinized corn starch, stearic acid, titanium dioxide, triacetin and vitamin E. The structural formulas are as follows:

DESOGESTREL

C22H30O M.W. 310.48

ETHINYL ESTRADIOL, USP

C20H24O2 M.W. 296.40

The 21 white tablets meet USP Dissolution Test 2.

Race

There is no information to determine the effect of race on the pharmacokinetics of Kariva®.

Section 42229-5

The use of oral contraceptives is associated with increased risks of several serious conditions including myocardial infarction, thromboembolism, stroke, hepatic neoplasia, and gallbladder disease, although the risk of serious morbidity or mortality is very small in healthy women without underlying risk factors. The risk of morbidity and mortality increases significantly in the presence of other underlying risk factors such as hypertension, hyperlipidemias, obesity, and diabetes.

Practitioners prescribing oral contraceptives should be familiar with the following information relating to these risks.

The information contained in this package insert is principally based on studies carried out in patients who used oral contraceptives with formulations of higher doses of estrogens and progestogens than those in common use today. The effect of long-term use of the oral contraceptives with formulations of lower doses of both estrogens and progestogens remains to be determined.

Throughout this labeling, epidemiologic studies reported are of two types: retrospective or case control studies and prospective or cohort studies. Case control studies provide a measure of the relative risk of a disease, namely, a ratio of the incidence of a disease among oral contraceptive users to that among non-users. The relative risk does not provide information on the actual clinical occurrence of a disease. Cohort studies provide a measure of attributable risk, which is the difference in the incidence of disease between oral contraceptive users and non-users. The attributable risk does provide information about the actual occurrence of a disease in the population (Adapted from refs. 2 and 3 with the author’s permission). For further information, the reader is referred to a text on epidemiologic methods.

Excretion

Etonogestrel and ethinyl estradiol are excreted in urine, bile, and feces. At steady state, on Day 21, the elimination half-life of etonogestrel is 27.8 ± 7.2 hours and the elimination half-life of ethinyl estradiol for the combination tablet is 23.9 ± 25.5 hours. For the 0.01 mg ethinyl estradiol tablet [light-blue], the elimination half-life at steady state, Day 28, is 18.9 ± 8.3 hours.

1. General

Patients should be counseled that this product does not protect against HIV infection (AIDS) and other sexually transmitted infections.

Absorption

Desogestrel is rapidly and almost completely absorbed and converted into etonogestrel, its biologically active metabolite. Following oral administration, the relative bioavailability of desogestrel compared to a solution, as measured by serum levels of etonogestrel, is approximately 100%. Kariva® (desogestrel/ethinyl estradiol and ethinyl estradiol) Tablets provide two different regimens of ethinyl estradiol; 0.02 mg in the combination tablet [white] as well as 0.01 mg in the light-blue tablet. Ethinyl estradiol is rapidly and almost completely absorbed. After a single dose of Kariva® combination tablet [white], the relative bioavailability of ethinyl estradiol is approximately 93% while the relative bioavailability of the 0.01 mg tablet [light-blue] is 99%. The effect of food on the bioavailability of Kariva® tablets following oral administration has not been evaluated.

The pharmacokinetics of etonogestrel and ethinyl estradiol following multiple dose administration of Kariva® tablets were determined during the third cycle in 17 subjects. Plasma concentrations of etonogestrel and ethinyl estradiol reached steady-state by Day 21. The AUC(0–24) for etonogestrel at steady-state on Day 21 was approximately 2.2 times higher than AUC(0–24) on Day 1 of the third cycle. The pharmacokinetic parameters of etonogestrel and ethinyl estradiol during the third cycle following multiple dose administration of Kariva® tablets are summarized in Table I.

TABLE I: MEAN (SD) PHARMACOKINETIC PARAMETERS OF Kariva® OVER A 28-DAY DOSING PERIOD IN THE THIRD CYCLE (n=17).
 

Etonogestrel

 

Day

 

Dosea

mg

 

Cmax

pg/mL

 

Tmax

h

 

t1/2

h

 

AUC0–24

pg/mL•hr

 

CL/F

L/h

 

1

 

0.15

 

2503.6 (987.6)

 

2.4 (1.0)

 

29.8 (16.3)

 

17,832 (5674)

 

5.4 (2.5)

 

21

 

0.15

 

4091.2 (1186.2)

 

1.6 (0.7)

 

27.8 (7.2)

 

39,391 (12,134)

 

4.4 (1.4)

   a) Desogestrel

 

Ethinyl Estradiol

 

Day

 

Dose

mg

 

Cmax

pg/mL

 

Tmax

h

 

t1/2

h

 

AUC0–24 pg/mL•hr

 

CL/F

L/h

 

1

 

0.02

 

51.9 (15.4)

 

2.9 (1.2)

 

16.5 (4.8)

 

566 (173)a

 

25.7 (9.1)

 

21

 

0.02

 

62.2 (25.9)

 

2.0 (0.8)

 

23.9 (25.5)

 

597 (127)a

 

35.1 (8.2)

 

24

 

0.01

 

24.6 (10.8)

 

2.4 (1.0)

 

18.8 (10.3)

 

246 (65)

 

43.6 (12.2)

 

28

 

0.01

 

35.3 (27.5)

 

2.1 (1.3)

 

18.9 (8.3)

 

312 (62)

 

33.2 (6.6)

 

Cmax – measured peak concentration

 

Tmax – observed time of peak concentration

 

t1/2 – elimination half-life, calculated by 0.693/Kelim

 

AUC0–24 – area under the concentration-time curve calculated by the linear trapezoidal rule (Time 0 to 24 hours)

 

CL/F – apparent clearance

   a) n=16

Metabolism

Desogestrel:

Desogestrel is rapidly and completely metabolized by hydroxylation in the intestinal mucosa and on first pass through the liver to etonogestrel. Other metabolites (i.e., 3α-OH-desogestrel, 3β-OH-desogestrel, and 3α-OH-5α-H-desogestrel) with no pharmacologic actions also have been identified and these metabolites may undergo glucuronide and sulfate conjugation.

Ethinyl estradiol:

Ethinyl estradiol is subject to a significant degree of presystemic conjugation (phase II metabolism). Ethinyl estradiol escaping gut wall conjugation undergoes phase I metabolism and hepatic conjugation (phase II metabolism). Major phase I metabolites are 2-OH-ethinyl estradiol and 2-methoxy-ethinyl estradiol. Sulfate and glucuronide conjugates of both ethinyl estradiol and phase I metabolites, which are excreted in bile, can undergo enterohepatic circulation.

Overdosage

Serious ill effects have not been reported following acute ingestion of large doses of oral contraceptives by young children. Overdosage may cause nausea, and withdrawal bleeding may occur in females.

References

1. Hatcher RA, Trussell J, Stewart F et al. Contraceptive Technology: Seventeenth Revised Edition, New York: Irvington Publishers, 1998, in press. 2. Stadel BV. Oral contraceptives and cardiovascular disease. (Pt. 1). N Engl J Med 1981; 305:612–618. 3. Stadel BV. Oral contraceptives and cardiovascular disease. (Pt. 2). N Engl J Med 1981; 305:672–677. 4. Adam SA, Thorogood M. Oral contraception and myocardial infarction revisited: the effects of new preparations and prescribing patterns. Br J Obstet and Gynecol 1981; 88:838–845. 5. Mann JI, Inman WH. Oral contraceptives and death from myocardial infarction. Br Med J 1975; 2(5965):245–248. 6. Mann JI, Vessey MP, Thorogood M, Doll R. Myocardial infarction in young women with special reference to oral contraceptive practice. Br Med J 1975; 2(5956):241–245. 7. Royal College of General Practitioners’ Oral Contraception Study: Further analyses of mortality in oral contraceptive users. Lancet 1981; 1:541–546. 8. Slone D, Shapiro S, Kaufman DW, Rosenberg L, Miettinen OS, Stolley PD. Risk of myocardial infarction in relation to current and discontinued use of oral contraceptives. N Engl J Med 1981; 305:420–424. 9. Vessey MP. Female hormones and vascular disease—an epidemiological overview. Br J Fam Plann 1980; 6:1–12. 10. Russell-Briefel RG, Ezzati TM, Fulwood R, Perlman JA, Murphy RS. Cardiovascular risk status and oral contraceptive use, United States, 1976–80. Prevent Med 1986; 15:352–362. 11. Goldbaum GM, Kendrick JS, Hogelin GC, Gentry EM. The relative impact of smoking and oral contraceptive use on women in the United States. JAMA 1987; 258:1339–1342. 12. Layde PM, Beral V. Further analyses of mortality in oral contraceptive users: Royal College General Practitioners’ Oral Contraception Study. (Table 5) Lancet 1981; 1:541–546. 13. Knopp RH. Arteriosclerosis risk: the roles of oral contraceptives and postmenopausal estrogens. J Reprod Med 1986; 31(9) (Supplement):913–921. 14. Krauss RM, Roy S, Mishell DR, Casagrande J, Pike MC. Effects of two low-dose oral contraceptives on serum lipids and lipoproteins: Differential changes in high-density lipoproteins subclasses. Am J Obstet 1983; 145:446–452. 15. Wahl P, Walden C, Knopp R, Hoover J, Wallace R, Heiss G, Rifkind B. Effect of estrogen/progestin potency on lipid/lipoprotein cholesterol. N Engl J Med 1983; 308:862–867. 16. Wynn V, Niththyananthan R. The effect of progestin in combined oral contraceptives on serum lipids with special reference to high-density lipoproteins. Am J Obstet Gynecol 1982; 142:766–771. 17. Wynn V, Godsland I. Effects of oral contraceptives and carbohydrate metabolism. J Reprod Med 1986; 31 (9) (Supplement):892–897. 18. LaRosa JC. Atherosclerotic risk factors in cardiovascular disease. J Reprod Med 1986; 31 (9) (Supplement):906–912. 19. Inman WH, Vessey MP. Investigation of death from pulmonary, coronary, and cerebral thrombosis and embolism in women of child-bearing age. Br Med J 1968; 2 (5599):193–199. 20. Maguire MG, Tonascia J, Sartwell PE, Stolley PD, Tockman MS. Increased risk of thrombosis due to oral contraceptives: a further report. Am J Epidemiol 1979; 110 (2):188–195. 21. Pettiti DB, Wingerd J, Pellegrin F, Ramacharan S. Risk of vascular disease in women: smoking, oral contraceptives, noncontraceptive estrogens, and other factors. JAMA 1979; 242:1150–1154. 22. Vessey MP, Doll R. Investigation of relation between use of oral contraceptives and thromboembolic disease. Br Med J 1968; 2 (5599):199–205. 23. Vessey MP, Doll R. Investigation of relation between use of oral contraceptives and thromboembolic disease. A further report. Br Med J 1969; 2 (5658):651–657. 24. Porter JB, Hunter JR, Danielson DA, Jick H, Stergachis A. Oral contraceptives and non-fatal vascular disease—recent experience. Obstet Gynecol 1982; 59 (3):299–302. 25. Vessey M, Doll R, Peto R, Johnson B, Wiggins P. A long-term follow-up study of women using different methods of contraception: an interim report. Biosocial Sci 1976; 8:375–427. 26. Royal College of General Practitioners: Oral contraceptives, venous thrombosis, and varicose veins. J Royal Coll Gen Pract 1978; 28:393–399. 27. Collaborative Group for the Study of Stroke in Young Women: Oral contraception and increased risk of cerebral ischemia or thrombosis. N Engl J Med 1973; 288:871–878. 28. Petitti DB, Wingerd J. Use of oral contraceptives, cigarette smoking, and risk of subarachnoid hemorrhage. Lancet 1978; 2:234–236. 29. Inman WH. Oral contraceptives and fatal subarachnoid hemorrhage. Br Med J 1979; 2 (6203):1468–70. 30. Collaborative Group for the Study of Stroke in Young Women: Oral contraceptives and stroke in young women: associated risk factors. JAMA 1975; 231:718–722. 31. Inman WH, Vessey MP, Westerholm B, Engelund A. Thromboembolic disease and the steroidal content of oral contraceptives. A report to the Committee on Safety of Drugs. Br Med J 1970; 2:203–209. 32. Meade TW, Greenberg G, Thompson SG. Progestogens and cardiovascular reactions associated with oral contraceptives and a comparison of the safety of 50- and 35-mcg oestrogen preparations. Br Med J 1980; 280 (6224):1157–1161. 33. Kay CR. Progestogens and arterial disease—evidence from the Royal College of General Practitioners’ Study. Am J Obstet Gynecol 1982; 142:762–765. 34. Royal College of General Practitioners: Incidence of arterial disease among oral contraceptive users. J Royal Coll Gen Pract 1983; 33:75–82. 35. Ory HW. Mortality associated with fertility and fertility control: 1983. Family Planning Perspectives 1983; 15:50–56. 36. The Cancer and Steroid Hormone Study of the Centers for Disease Control and the National Institute of Child Health and Human Development: Oral-contraceptive use and the risk of breast cancer. N Engl J Med 1986; 315:405–411. 37. Pike MC, Henderson BE, Krailo MD, Duke A, Roy S. Breast cancer risk in young women and use of oral contraceptives: possible modifying effect of formulation and age at use. Lancet 1983; 2:926–929. 38. Paul C, Skegg DG, Spears GFS, Kaldor JM. Oral contraceptives and breast cancer: A national study. Br Med J 1986; 293:723–725. 39. Miller DR, Rosenberg L, Kaufman DW, Schottenfeld D, Stolley PD, Shapiro S. Breast cancer risk in relation to early oral contraceptive use. Obstet Gynecol 1986; 68:863–868. 40. Olson H, Olson KL, Moller TR, Ranstam J, Holm P. Oral contraceptive use and breast cancer in young women in Sweden (letter). Lancet 1985; 2:748–749. 41. McPherson K, Vessey M, Neil A, Doll R, Jones L, Roberts M. Early contraceptive use and breast cancer: Results of another case-control study. Br J Cancer 1987; 56:653–660. 42. Huggins GR, Zucker PF. Oral contraceptives and neoplasia: 1987 update. Fertil Steril 1987; 47:733–761. 43. McPherson K, Drife JO. The pill and breast cancer: why the uncertainty? Br Med J 1986; 293:709–710. 44. Shapiro S. Oral contraceptives—time to take stock. N Engl J Med 1987; 315:450–451. 45. Ory H, Naib Z, Conger SB, Hatcher RA, Tyler CW. Contraceptive choice and prevalence of cervical dysplasia and carcinoma in situ. Am J Obstet Gynecol 1976; 124:573–577. 46. Vessey MP, Lawless M, McPherson K, Yeates D. Neoplasia of the cervix uteri and contraception: a possible adverse effect of the pill. Lancet 1983; 2:930. 47. Brinton LA, Huggins GR, Lehman HF, Malli K, Savitz DA, Trapido E, Rosenthal J, Hoover R. Long-term use of oral contraceptives and risk of invasive cervical cancer. Int J Cancer 1986; 38:339–344. 48. WHO Collaborative Study of Neoplasia and Steroid Contraceptives: Invasive cervical cancer and combined oral contraceptives. Br Med J 1985; 209:961–965. 49. Rooks JB, Ory HW, Ishak KG, Strauss LT, Greenspan JR, Hill AP, Tyler CW. Epidemiology of hepatocellular adenoma: the role of oral contraceptive use. JAMA 1979; 242:644–648. 50. Bein NN, Goldsmith HS. Recurrent massive hemorrhage from benign hepatic tumors secondary to oral contraceptives. Br J Surg 1977; 64:433–435. 51. Klatskin G. Hepatic tumors: possible relationship to use of oral contraceptives. Gastroenterology 1977; 73:386–394. 52. Henderson BE, Preston-Martin S, Edmondson HA, Peters RL, Pike MC. Hepatocellular carcinoma and oral contraceptives. Br J Cancer 1983; 48:437–440. 53. Neuberger J, Forman D, Doll R, Williams R. Oral contraceptives and hepatocellular carcinoma. Br Med J 1986; 292:1355–1357. 54. Forman D, Vincent TJ, Doll R. Cancer of the liver and oral contraceptives. Br Med J 1986; 292:1357–1361. 55. Harlap S, Eldor J. Births following oral contraceptive failures. Obstet Gynecol 1980; 55:447–452. 56. Savolainen E, Saksela E, Saxen L. Teratogenic hazards of oral contraceptives analyzed in a national malformation register. Am J Obstet Gynecol 1981; 140:521–524. 57. Janerich DT, Piper JM, Glebatis DM. Oral contraceptives and birth defects. Am J Epidemiol 1980; 112:73–79. 58. Ferencz C, Matanoski GM, Wilson PD, Rubin JD, Neill CA, Gutberlet R. Maternal hormone therapy and congenital heart disease. Teratology 1980; 21:225–239. 59. Rothman KJ, Fyler DC, Goldbatt A, Kreidberg MB. Exogenous hormones and other drug exposures of children with congenital heart disease. Am J Epidemiol 1979; 109:433–439. 60. Boston Collaborative Drug Surveillance Program: Oral contraceptives and venous thromboembolic disease, surgically confirmed gallbladder disease, and breast tumors. Lancet 1973; 1:1399–1404. 61. Royal College of General Practitioners: Oral contraceptives and health. New York, Pittman, 1974. 62. Layde PM, Vessey MP, Yeates D. Risk of gallbladder disease: a cohort study of young women attending family planning clinics. J Epidemiol Community Health 1982; 36:274–278. 63. Rome Group for the Epidemiology and Prevention of Cholelithiasis (GREPCO): Prevalence of gallstone disease in an Italian adult female population. Am J Epidemiol 1984; 119:796–805. 64. Strom BL, Tamragouri RT, Morse ML, Lazar EL, West SL, Stolley PD, Jones JK. Oral contraceptives and other risk factors for gallbladder disease. Clin Pharmacol Ther 1986; 39:335–341. 65. Wynn V, Adams PW, Godsland IF, Melrose J, Niththyananthan R, Oakley NW, Seedj A. Comparison of effects of different combined oral-contraceptive formulations on carbohydrate and lipid metabolism. Lancet 1979; 1:1045–1049. 66. Wynn V. Effect of progesterone and progestins on carbohydrate metabolism. In Progesterone and Progestin. Edited by Bardin CW, Milgrom E, Mauvis-Jarvis P. New York, Raven Press, 1983 pp. 395–410. 67. Perlman JA, Roussell-Briefel RG, Ezzati TM, Lieberknecht G. Oral glucose tolerance and the potency of oral contraceptive progestogens. J Chronic Dis 1985; 38:857–864. 68. Royal College of General Practitioners’ Oral Contraception Study: Effect on hypertension and benign breast disease of progestogen component in combined oral contraceptives. Lancet 1977; 1:624. 69. Fisch IR, Frank J. Oral contraceptives and blood pressure. JAMA 1977; 237:2499–2503. 70. Laragh AJ. Oral contraceptive induced hypertension—nine years later. Am J Obstet Gynecol 1976; 126:141–147. 71. Ramcharan S, Peritz E, Pellegrin FA, Williams WT. Incidence of hypertension in the Walnut Creek Contraceptive Drug Study cohort. In Pharmacology of Steroid Contraceptive Drugs. Garattini S, Berendes HW. Eds. New York, Raven Press, 1977 pp. 277–288. (Monographs of the Mario Negri Institute for Pharmacological Research, Milan). 72. Stockley I. Interactions with oral contraceptives. J Pharm 1976; 216:140–143. 73. The Cancer and Steroid Hormone Study of the Centers for Disease Control and the National Institute of Child Health and Human Development: Oral contraceptive use and the risk of ovarian cancer. JAMA 1983; 249:1596–1599. 74. The Cancer and Steroid Hormone Study of the Centers for Disease Control and the National Institute of Child Health and Human Development: Combination oral contraceptive use and the risk of endometrial cancer. JAMA 1987; 257:796–800. 75. Ory HW. Functional ovarian cysts and oral contraceptives: negative association confirmed surgically. JAMA 1974; 228:68–69. 76. Ory HW, Cole P, Macmahon B, Hoover R. Oral contraceptives and reduced risk of benign breast disease. N Engl J Med 1976; 294:419–422. 77. Ory HW. The noncontraceptive health benefits from oral contraceptive use. Fam Plann Perspect 1982; 14:182–184. 78. Ory HW, Forrest JD, Lincoln R. Making Choices: Evaluating the health risks and benefits of birth control methods. New York, The Alan Guttmacher Institute, 1983; p. 1. 79. Schlesselman J, Stadel BV, Murray P, Lai S. Breast Cancer in relation to early use of oral contraceptives 1988; 259:1828–1833. 80. Hennekens CH, Speizer FE, Lipnick RJ, Rosner B, Bain C, Belanger C, Stampfer MJ, Willett W, Peto R. A case-controlled study of oral contraceptive use and breast cancer. JNCI 1984; 72:39–42. 81. LaVecchia C, Decarli A, Fasoli M, Franceschi S, Gentile A, Negri E, Parazzini F, Tognoni G. Oral contraceptives and cancers of the breast and of the female genital tract. Interim results from a case-control study. Br. J. Cancer 1986; 54:311–317. 82. Meirik O, Lund E, Adami H, Bergstrom R, Christoffersen T, Bergsjo P. Oral contraceptive use in breast cancer in young women. A Joint National Case-control study in Sweden and Norway. Lancet 1986; 11:650–654. 83. Kay CR, Hannaford PC. Breast cancer and the pill—A further report from the Royal College of General Practitioners’ oral contraception study. Br. J. Cancer 1988; 58:675–680. 84. Stadel BV, Lai S, Schlesselman JJ, Murray P. Oral contraceptives and premenopausal breast cancer in nulliparous women. Contraception 1988; 38:287–299. 85. Miller DR, Rosenberg L, Kaufman DW, Stolley P, Warshauer ME, Shapiro S. Breast cancer before age 45 and oral contraceptive use: New Findings. Am. J. Epidemiol 1989; 129:269–280. 86. The UK National Case-Control Study Group, Oral contraceptive use and breast cancer risk in young women. Lancet 1989; 1:973–982. 87. Schlesselman JJ. Cancer of the breast and reproductive tract in relation to use of oral contraceptives. Contraception 1989; 40:1–38. 88. Vessey MP, McPherson K, Villard-Mackintosh L, Yeates D. Oral contraceptives and breast cancer: latest findings in a large cohort study. Br. J. Cancer 1989; 59:613–617. 89. Jick SS, Walker AM, Stergachis A, Jick H. Oral contraceptives and breast cancer. Br. J. Cancer 1989; 59:618–621. 90. Godsland, I et al. The effects of different formulations of oral contraceptive agents on lipid and carbohydrate metabolism. N Engl J Med 1990; 323:1375–81. 91. Kloosterboer, HJ et al. Selectivity in progesterone and androgen receptor binding of progestogens used in oral contraception. Contraception, 1988; 38:325–32. 92. Van der Vies, J and de Visser, J. Endocrinological studies with desogestrel. Arzneim. Forsch./Drug Res., 1983; 33(l),2:231–6. 93. Data on file, Organon Inc. 94. Fotherby, K. Oral contraceptives, lipids and cardiovascular diseases. Contraception, 1985; Vol. 31; 4:367–94. 95. Lawrence, DM et al. Reduced sex hormone binding globulin and derived free testosterone levels in women with severe acne. Clinical Endocrinology, 1981; 15:87–91. 96. Cullberg, G et al. Effects of a low-dose desogestrel-ethinyl estradiol combination on hirsutism, androgens and sex hormone binding globulin in women with a polycystic ovary syndrome. Acta Obstet Gynecol Scand, 1985; 64:195–202. 97. Jung-Hoffmann, C and Kuhl, H. Divergent effects of two low-dose oral contraceptives on sex hormone-binding globulin and free testosterone. AJOG, 1987; 156:199–203. 98. Hammond, G et al. Serum steroid binding protein concentrations, distribution of progestogens, and bioavailability of testosterone during treatment with contraceptives containing desogestrel or levonorgestrel. Fertil. Steril., 1984; 42:44–51. 99. Palatsi, R et al. Serum total and unbound testosterone and sex hormone binding globulin (SHBG) in female acne patients treated with two different oral contraceptives. Acta Derm Venereol, 1984; 64:517–23. 100. Porter JB, Hunter J, Jick H et al. Oral contraceptives and nonfatal vascular disease. Obstet Gynecol 1985; 66:1–4. 101. Porter JB, Jick H, Walker AM. Mortality among oral contraceptive users. Obstet Gynecol 1987; 7029–32. 102. Jick H, Jick SS, Gurewich V, Myers MW, Vasilakis C. Risk of idiopathic cardiovascular death and non-fatal venous thromboembolism in women using oral contraceptives with differing progestagen components. Lancet, 1995; 346:1589–93. 103. World Health Organization Collaborative Study of Cardiovascular Disease and Steroid Hormone Contraception. Effect of different progestagens in low oestrogen oral contraceptives on venous thromboembolic disease. Lancet, 1995; 346:1582–88. 104. Spitzer WO, Lewis MA, Heinemann LAJ, Thorogood M, MacRae KD on behalf of Transnational Research Group on Oral Contraceptives and Health of Young Women. Third generation oral contraceptives and risk of venous thromboembolic disorders: An international case-control study. Br Med J, 1996; 312:83–88. 105. Christensen J, Petrenaite V, Atterman J, et al. Oral contraceptives induce lamotrigine metabolism: evidence from a doubleblind, placebo-controlled trial. Epilepsia 2007;48(3):484-489.

TEVA PHARMACEUTICALS USA, INC.

North Wales, PA 19454

Rev. F 3/2024

11. Headache

The onset or exacerbation of migraine or development of headache with a new pattern which is recurrent, persistent, or severe requires discontinuation of oral contraceptives and evaluation of the cause.

15. Chloasma

Chloasma may occur with Kariva® use, especially in females with a history of chloasma gravidarum. Advise females with a history of chloasma to avoid exposure to the sun or ultraviolet radiation while using Kariva®.

Distribution

Etonogestrel, the active metabolite of desogestrel, was found to be 99% protein bound, primarily to sex hormone-binding globulin (SHBG). Ethinyl estradiol is approximately 98.3% bound, mainly to plasma albumin. Ethinyl estradiol does not bind to SHBG, but induces SHBG synthesis. Desogestrel, in combination with ethinyl estradiol, does not counteract the estrogen-induced increase in SHBG, resulting in lower serum levels of free testosterone (96 to 99).

10. Pregnancy

Discontinue Kariva® if pregnancy occurs because there is no reason to use COCs in pregnancy. See WARNINGS  section.

11. Lactation

Small amounts of oral contraceptive steroids have been identified in human milk, and a few adverse effects on the child have been reported, including jaundice and breast enlargement. In addition, oral contraceptives given in the postpartum period may interfere with lactation by decreasing the quantity and quality of breast milk. If possible, the nursing mother should be advised not to use oral contraceptives but to use other forms of contraception until she has completely weaned her child.

13. Depression

Carefully observe women with a history of depression and discontinue Kariva® if depression recurs to a serious degree.

12. Pediatric Use

Safety and efficacy of Kariva® tablets have been established in women of reproductive age. Safety and efficacy are expected to be the same for postpubertal adolescents under the age of 16 and for users 16 years and older. Use of this product before menarche is not indicated.

4. Liver Function

If jaundice develops in any woman receiving such drugs, the medication should be discontinued. Steroid hormones may be poorly metabolized in patients with impaired liver function.

6. Contact Lenses

Contact lens wearers who develop visual changes or changes in lens tolerance should be assessed by an ophthalmologist.

6. Ocular Lesions

There have been clinical case reports of retinal thrombosis associated with the use of oral contraceptives. Oral contraceptives should be discontinued if there is unexplained partial or complete loss of vision; onset of proptosis or diplopia; papilledema; or retinal vascular lesions. Appropriate diagnostic and therapeutic measures should be undertaken immediately.

9. Carcinogenesis

See WARNINGS section.

3. Lipid Disorders

Women who are being treated for hyperlipidemias should be followed closely if they elect to use oral contraceptives. Some progestogens may elevate LDL levels and may render the control of hyperlipidemias more difficult.

5. Fluid Retention

Oral contraceptives may cause some degree of fluid retention. They should be prescribed with caution, and only with careful monitoring, in patients with conditions which might be aggravated by fluid retention.

Renal Insufficiency

No formal studies were conducted to evaluate the effect of renal disease on the disposition of Kariva®.

4. Hepatic Neoplasia

Benign hepatic adenomas are associated with oral contraceptive use, although the incidence of benign tumors is rare in the United States. Indirect calculations have estimated the attributable risk to be in the range of 3.3 cases/100,000 for users, a risk that increases after four or more years of use especially with oral contraceptives of higher dose (49). Rupture of rare, benign, hepatic adenomas may cause death through intra-abdominal hemorrhage (50, 51).

Studies from Britain have shown an increased risk of developing hepatocellular carcinoma (43 to 45) in long-term (>8 years) oral contraceptive users. However, these cancers are extremely rare in the US and the attributable risk (the excess incidence) of liver cancers in oral contraceptive users approaches less than one per million users.

7. Drug Interactions

Reduced efficacy and increased incidence of breakthrough bleeding and menstrual irregularities have been associated with concomitant use of rifampin. A similar association, though less marked, has been suggested with barbiturates, phenylbutazone, phenytoin sodium, carbamazepine and possibly with griseofulvin, ampicillin, and tetracyclines (72).

Combined hormonal contraceptives have been shown to significantly decrease plasma concentrations of lamotrigine when co-administered, likely due to induction of lamotrigine glucuronidation. This may reduce seizure control; therefore, dosage adjustments of lamotrigine may be necessary.

Concomitant Use with Hepatitis C Virus (HCV) Combination Therapy – Liver Enzyme Elevation

Co-administration of Kariva® with HCV drug combinations containing ombitasvir/paritaprevir/ritonavir, with or without dasabuvir is contraindicated due to potential for ALT elevations (see CONTRAINDICATIONS and  WARNINGS, Risk of Liver Enzyme Elevations with Concomitant Hepatitis C Treatment ). Co-administration of Kariva® and glecaprevir/pibrentasvir is not recommended due to potential for ALT elevations.

Consult the labeling of the concurrently-used drug to obtain further information about interactions with hormonal contraceptives or the potential for enzyme alterations.

Clinical Pharmacology

Combination oral contraceptives act by suppression of gonadotropins. Although the primary mechanism of this action is inhibition of ovulation, other alterations include changes in the cervical mucus (which increase the difficulty of sperm entry into the uterus) and the endometrium (which reduce the likelihood of implantation).

Receptor binding studies, as well as studies in animals, have shown that etonogestrel, the biologically active metabolite of desogestrel, combines high progestational activity with minimal intrinsic androgenicity (91, 92). The relevance of this latter finding in humans is unknown.

Hepatic Insufficiency

No formal studies were conducted to evaluate the effect of hepatic disease on the disposition of Kariva®.

3. Malignant Neoplasms

Breast Cancer

Kariva® is contraindicated in females who currently have or have had breast cancer because breast cancer may be hormonally sensitive (see CONTRAINDICATIONS ).

Epidemiology studies have not found a consistent association between use of combined oral contraceptives (COCs) and breast cancer risk. Studies do not show an association between ever (current or past) use of COCs and risk of breast cancer. However, some studies report a small increase in the risk of breast cancer among current or recent users (<6 months since last use) and current users with longer duration of COC use (see ADVERSE REACTIONS, Postmarketing Experience ).

Cervical Cancer

Some studies suggest that oral contraceptive use has been associated with an increase in the risk of cervical intra-epithelial neoplasia in some populations of women (48). However, there continues to be controversy about the extent to which such findings may be due to differences in sexual behavior and other factors.

8. Gallbladder Disease

Earlier studies have reported an increased lifetime relative risk of gallbladder surgery in users of oral contraceptives and estrogens (60, 61). More recent studies, however, have shown that the relative risk of developing gallbladder disease among oral contraceptive users may be minimal (62 to 64). The recent findings of minimal risk may be related to the use of oral contraceptive formulations containing lower hormonal doses of estrogens and progestogens.

Drug Drug Interactions

Interactions between desogestrel/ethinyl estradiol and other drugs have been reported in the literature. No formal drug-drug interaction studies were conducted (see PRECAUTIONS section).

All Oral Contraceptives

Breakthrough bleeding, spotting, and amenorrhea are frequent reasons for patients discontinuing oral contraceptives. In breakthrough bleeding, as in all cases of irregular bleeding from the vagina, non-functional causes should be borne in mind. In undiagnosed persistent or recurrent abnormal bleeding from the vagina, adequate diagnostic measures are indicated to rule out pregnancy or malignancy. If both pregnancy and pathology have been excluded, time or a change to another preparation may solve the problem. Changing to an oral contraceptive with a higher estrogen content, while potentially useful in minimizing menstrual irregularity, should be done only if necessary since this may increase the risk of thromboembolic disease.

Use of oral contraceptives in the event of a missed menstrual period:

  • If the patient has not adhered to the prescribed schedule, the possibility of pregnancy should be considered at the time of the first missed period and oral contraceptive use should be discontinued until pregnancy is ruled out.
  • If the patient has adhered to the prescribed regimen and misses two consecutive periods, pregnancy should be ruled out before continuing oral contraceptive use.
14. Hereditary Angioedema

In females with hereditary angioedema, exogenous estrogens may induce or exacerbate symptoms of angioedema.

10. Elevated Blood Pressure

An increase in blood pressure has been reported in women taking oral contraceptives (68) and this increase is more likely in older oral contraceptive users (69) and with continued use (61). Data from the Royal College of General Practitioners (12) and subsequent randomized trials have shown that the incidence of hypertension increases with increasing quantities of progestogens.

Women with a history of hypertension or hypertension-related diseases, or renal disease (70) should be encouraged to use another method of contraception. If women elect to use oral contraceptives, they should be monitored closely and if significant elevation of blood pressure occurs, oral contraceptives should be discontinued. For most women, elevated blood pressure will return to normal after stopping oral contraceptives (69), and there is no difference in the occurrence of hypertension between ever- and never-users (68, 70, 71).

12. Bleeding Irregularities

Breakthrough bleeding and spotting are sometimes encountered in patients on oral contraceptives, especially during the first three months of use. Non-hormonal causes should be considered and adequate diagnostic measures taken to rule out malignancy or pregnancy in the event of breakthrough bleeding, as in the case of any abnormal vaginal bleeding. If pathology has been excluded, time or a change to another formulation may solve the problem. In the event of amenorrhea, pregnancy should be ruled out.

Some women may encounter post-pill amenorrhea or oligomenorrhea, especially when such a condition was pre-existent.

Patient Counseling Information

Advise the patient to read the FDA-approved patient labeling (PATIENT PACKAGE INSERT BRIEF SUMMARY and DETAILED PATIENT PACKAGE INSERT).

  • Counsel patients that cigarette smoking increases the risk of serious cardiovascular events from COC use, and that women who are over 35 years old and smoke should not use COCs (see BOXED WARNING and CONTRAINDICATIONS ).
  • Counsel patients that the increased risk of venous thromboembolism compared to nonusers of CHCs is greatest after initially starting a CHC or restarting (following a 4-week or greater interruption in intake) the same or a different CHC (see WARNINGS ).
  • Counsel patients that this product does not protect against HIV-infection (AIDS) and other sexually transmitted infections.
  • Counsel patients to take one tablet daily by mouth at the same time every day. Instruct patients what to do in the event pills are missed (see DOSAGE AND ADMINISTRATION ).
  • Counsel patients to use a back-up or alternative method of contraception when enzyme inducers are used with COCs (see PRECAUTIONS ).
  • Counsel patients who are breastfeeding or who desire to breastfeed that COCs may reduce breast milk production. This is less likely to occur if breastfeeding is well established (see PRECAUTIONS ).
  • Counsel any patient who starts Kariva® postpartum, and who has not yet had a period, to use an additional method of contraception until she has taken a light-orange tablet for 7 consecutive days (see DOSAGE AND ADMINISTRATION ).
  • Counsel patients that amenorrhea may occur. Pregnancy should be considered in the event of amenorrhea, and should be ruled out if amenorrhea is associated with symptoms of pregnancy, such as morning sickness or unusual breast tenderness (see WARNINGS ).
  • Counsel patients with a history of depression that depression may reoccur. Women should contact their healthcare provider if depression occurs (see WARNINGS ).
Detailed Patient Package Insert

Kariva®

(desogestrel/ethinyl estradiol and ethinyl estradiol tablets USP)

This product (like all oral contraceptives) is intended to prevent pregnancy. It does not protect against HIV infection (AIDS) and other sexually transmitted infections.

Rx only

PLEASE NOTE: This labeling is revised from time to time as important new medical information becomes available. Therefore, please review this labeling carefully.

DESCRIPTION

The following oral contraceptive product contains a combination of a progestin and estrogen, the two kinds of female hormones:

Each white tablet contains 0.15 mg desogestrel and 0.02 mg ethinyl estradiol. Each light-green tablet contains inert ingredients and each light-blue tablet contains 0.01 mg ethinyl estradiol.

INTRODUCTION

Any woman who considers using oral contraceptives (the birth control pill or the pill) should understand the benefits and risks of using this form of birth control. This leaflet will give you much of the information you will need to make this decision and will also help you determine if you are at risk of developing any of the serious side effects of the pill. It will tell you how to use the pill properly so that it will be as effective as possible. However, this leaflet is not a replacement for a careful discussion between you and your doctor or healthcare provider. You should discuss the information provided in this leaflet with him or her, both when you first start taking the pill and during your revisits. You should also follow your doctor’s or healthcare provider’s advice with regard to regular check-ups while you are on the pill.

EFFECTIVENESS OF ORAL CONTRACEPTIVES

Oral contraceptives or “birth control pills” or “the pill” are used to prevent pregnancy and are more effective than other non-surgical methods of birth control. When they are taken correctly, the chance of becoming pregnant is less than 1% (1 pregnancy per 100 women per year of use) when used perfectly, without missing any pills. Typical failure rates are actually 5% per year. The chance of becoming pregnant increases with each missed pill during a menstrual cycle.

In comparison, typical failure rates for other methods of birth control during the first year of use are as follows:

 

Implants (2 or 6 capsules): <1%

 

Male sterilization: <1%

 

Injection: <1%

 

Cervical Cap with spermicides: 20 to 40%

 

IUD: <1 to 2%

 

Condom alone (male): 14%

 

Diaphragm with spermicides: 20%

 

Condom alone (female): 21%

 

Spermicides alone: 26%

 

Periodic abstinence: 25%

 

Vaginal sponge: 20 to 40%

 

Withdrawal: 19%

 

Female sterilization: <1%

 

No methods: 85%.

WHO SHOULD NOT TAKE ORAL CONTRACEPTIVES

Non Contraceptive Health Benefits

The following non-contraceptive health benefits related to the use of oral contraceptives are supported by epidemiologic studies which largely utilized oral contraceptive formulations containing estrogen doses exceeding 0.035 mg of ethinyl estradiol or 0.05 mg of mestranol (73 to 78).

Effects on menses:

  • increased menstrual cycle regularity
  • decreased blood loss and decreased incidence of iron deficiency anemia
  • decreased incidence of dysmenorrhea

Effects related to inhibition of ovulation:

  • decreased incidence of functional ovarian cysts
  • decreased incidence of ectopic pregnancies

Effects from long-term use:

  • decreased incidence of fibroadenomas and fibrocystic disease of the breast
  • decreased incidence of acute pelvic inflammatory disease
  • decreased incidence of endometrial cancer
  • decreased incidence of ovarian cancer
2. Physical Examination and Follow Up

It is good medical practice for all women to have annual history and physical examinations, including women using oral contraceptives. The physical examination, however, may be deferred until after initiation of oral contraceptives if requested by the woman and judged appropriate by the clinician. The physical examination should include special reference to blood pressure, breasts, abdomen, and pelvic organs, including cervical cytology, and relevant laboratory tests. In case of undiagnosed, persistent or recurrent abnormal vaginal bleeding, appropriate measures should be conducted to rule out malignancy. Women with a strong family history of breast cancer or who have breast nodules should be monitored with particular care.

8. Interactions With Laboratory Tests

Certain endocrine and liver function tests and blood components may be affected by oral contraceptives:

  • Increased prothrombin and factors VII, VIII, IX and X; decreased antithrombin 3; increased norepinephrine-induced platelet aggregability.
  • Increased thyroid binding globulin (TBG) leading to increased circulating total thyroid hormone, as measured by protein-bound iodine (PBI), T4 by column or by radioimmunoassay. Free T3 resin uptake is decreased, reflecting the elevated TBG; free T4 concentration is unaltered.
  • Other binding proteins may be elevated in serum.
  • Sex hormone-binding globulins are increased and result in elevated levels of total circulating sex steroids; however, free or biologically active levels either decrease or remain unchanged.
  • High-density lipoprotein cholesterol (HDL-C) and triglycerides may be increased, while low-density lipoprotein cholesterol (LDL-C) and total cholesterol (Total-C) may be decreased or unchanged.
  • Glucose tolerance may be decreased.
  • Serum folate levels may be depressed by oral contraceptive therapy. This may be of clinical significance if a woman becomes pregnant shortly after discontinuing oral contraceptives.
Patient Package Insert brief Summary

Kariva®

(desogestrel/ethinyl estradiol and ethinyl estradiol tablets USP)

Package/label Display Panel, Part 2 of 2
Package/label Display Panel, Part 1 of 2

NDC 0555-9050-58

28 Day Regimen

6 Cyclic Tablet Dispensers x 28 Tablets

Kariva® (desogestrel/ethinyl estradiol and ethinyl estradiol tablets USP)

0.15 mg/0.02 mg and 0.01 mg

Each white tablet contains 0.15 mg desogestrel and 0.02 mg ethinyl estradiol, USP. Each light-green tablet contains inert ingredients and

each light-blue tablet contains 0.01 mg ethinyl estradiol, USP.

Rx only

9. Carbohydrate and Lipid Metabolic Effects

Oral contraceptives have been shown to cause a decrease in glucose tolerance in a significant percentage of users (17). Oral contraceptives containing greater than 75 micrograms of estrogens cause hyperinsulinism, while lower doses of estrogen cause less glucose intolerance (65). Progestogens increase insulin secretion and create insulin resistance, this effect varying with different progestational agents (17, 66). However, in the non-diabetic woman, oral contraceptives appear to have no effect on fasting blood glucose (67). Because of these demonstrated effects, prediabetic and diabetic women should be carefully monitored while taking oral contraceptives.

A small proportion of women will have persistent hypertriglyceridemia while on the pill. As discussed earlier (see WARNINGS 1.a. and 1.d. ), changes in serum triglycerides and lipoprotein levels have been reported in oral contraceptive users.

2. Estimates of Mortality From Contraceptive Use

One study gathered data from a variety of sources which have estimated the mortality rate associated with different methods of contraception at different ages (Table IV). These estimates include the combined risk of death associated with contraceptive methods plus the risk attributable to pregnancy in the event of method failure. Each method of contraception has its specific benefits and risks. The study concluded that with the exception of oral contraceptive users 35 and older who smoke and 40 and older who do not smoke, mortality associated with all methods of birth control is low and below that associated with childbirth.

The observation of a possible increase in risk of mortality with age for oral contraceptive users is based on data gathered in the 1970’s - but not reported until 1983 (35). However, current clinical practice involves the use of lower estrogen formulations combined with careful consideration of risk factors.

Because of these changes in practice and, also, because of some limited new data which suggest that the risk of cardiovascular disease with the use of oral contraceptives may now be less than previously observed (100, 101), the Fertility and Maternal Health Drugs Advisory Committee was asked to review the topic in 1989. The Committee concluded that although cardiovascular disease risks may be increased with oral contraceptive use after age 40 in healthy non-smoking women (even with the newer low-dose formulations), there are also greater potential health risks associated with pregnancy in older women and with the alternative surgical and medical procedures which may be necessary if such women do not have access to effective and acceptable means of contraception.

Therefore, the Committee recommended that the benefits of low-dose oral contraceptive use by healthy non-smoking women over 40 may outweigh the possible risks. Of course, older women, as all women who take oral contraceptives, should take the lowest possible dose formulation that is effective.

TABLE III: ANNUAL NUMBER OF BIRTH-RELATED OR METHOD-RELATED DEATHS ASSOCIATED WITH CONTROL OF FERTILITY PER 100,000 NON-STERILE WOMEN, BY FERTILITY CONTROL METHOD ACCORDING TO AGE

Method of control

and outcome

15 to 19

20 to 24

25 to 29

30 to 34

35 to 39

40 to 44

No fertility

control methodsa

7.0

7.4

9.1

14.8

25.7

28.2

Oral contraceptives

non-smokerb

0.3

0.5

0.9

1.9

13.8

31.6

Oral contraceptives

Smokerb

2.2

3.4

6.6

13.5

51.1

117.2

IUDb

0.8

0.8

1.0

1.0

1.4

1.4

Condoma

1.1

1.6

0.7

0.2

0.3

0.4

Diaphragm/spermicidea

1.9

1.2

1.2

1.3

2.2

2.8

Periodic abstinencea

2.5

1.6

1.6

1.7

2.9

3.6

Adapted from H.W. Ory, ref. #35.

a) Deaths are birth related

b) Deaths are method related

1. Thromboembolic Disorders and Other Vascular Problems

a. Thromboembolism

An increased risk of thromboembolic and thrombotic disease associated with the use of oral contraceptives is well established. Case control studies have found the relative risk of users compared to non-users to be 3 for the first episode of superficial venous thromboembolic disease, 4 to 11 for deep vein thrombosis or pulmonary embolism, and 1.5 to 6 for women with predisposing conditions for venous thromboembolic disease (2, 3, 19 to 24). Cohort studies have shown the relative risk to be somewhat lower, about 3 for new cases and about 4.5 for new cases requiring hospitalization (25). The risk of thromboembolic disease associated with oral contraceptives is not related to length of use and disappears after pill use is stopped (2).

Several epidemiologic studies indicate that third generation oral contraceptives, including those containing desogestrel, are associated with a higher risk of venous thromboembolism than certain second generation oral contraceptives (102 to 104). In general, these studies indicate an approximate two-fold increased risk, which corresponds to an additional 1 to 2 cases of venous thromboembolism per 10,000 women-years of use. However, data from additional studies have not shown this two-fold increase in risk.

A two- to four-fold increase in relative risk of post-operative thromboembolic complications has been reported with the use of oral contraceptives (9, 26). The relative risk of venous thrombosis in women who have predisposing conditions is twice that of women without such medical conditions (9, 26). If feasible, oral contraceptives should be discontinued at least four weeks prior to and for two weeks after elective surgery of a type associated with an increase in risk of thromboembolism and during and following prolonged immobilization. Since the immediate postpartum period is also associated with an increased risk of thromboembolism, oral contraceptives should be started no earlier than four weeks after delivery in women who elect not to breastfeed.

b. Myocardial infarction

An increased risk of myocardial infarction has been attributed to oral contraceptive use. This risk is primarily in smokers or women with other underlying risk factors for coronary artery disease such as hypertension, hypercholesterolemia, morbid obesity, and diabetes. The relative risk of heart attack for current oral contraceptive users has been estimated to be two to six (4 to 10). The risk is very low in women under the age of 30.

Smoking in combination with oral contraceptive use has been shown to contribute substantially to the incidence of myocardial infarction in women in their mid-thirties or older with smoking accounting for the majority of excess cases (11). Mortality rates associated with circulatory disease have been shown to increase substantially in smokers, over the age of 35 and non-smokers over the age of 40 (Table III) among women who use oral contraceptives.

FIGURE 1: CIRCULATORY DISEASE MORTALITY RATES PER 100,000 WOMAN-YEARS BY AGE, SMOKING STATUS, AND ORAL CONTRACEPTIVE USE

Adapted from P.M. Layde and V. Beral, ref. #12.

 Oral contraceptives may compound the effects of well-known risk factors, such as hypertension, diabetes, hyperlipidemias, age and obesity (13). In particular, some progestogens are known to decrease HDL cholesterol and cause glucose intolerance, while estrogens may create a state of hyperinsulinism (14 to 18). Oral contraceptives have been shown to increase blood pressure among users (see section 10 in WARNINGS ). Similar effects on risk factors have been associated with an increased risk of heart disease. Oral contraceptives must be used with caution in women with cardiovascular disease risk factors.

c. Cerebrovascular diseases

Oral contraceptives have been shown to increase both the relative and attributable risks of cerebrovascular events (thrombotic and hemorrhagic strokes), although, in general, the risk is greatest among older (>35 years), hypertensive women who also smoke. Hypertension was found to be a risk factor for both users and non-users, for both types of strokes, while smoking interacted to increase the risk for hemorrhagic strokes (27 to 29).

In a large study, the relative risk of thrombotic strokes has been shown to range from 3 for normotensive users to 14 for users with severe hypertension (30). The relative risk of hemorrhagic stroke is reported to be 1.2 for non-smokers who used oral contraceptives, 2.6 for smokers who did not use oral contraceptives, 7.6 for smokers who used oral contraceptives, 1.8 for normotensive users and 25.7 for users with severe hypertension (30). The attributable risk is also greater in older women (3).

d. Dose-related risk of vascular disease from oral contraceptives

A positive association has been observed between the amount of estrogen and progestogen in oral contraceptives and the risk of vascular disease (31 to 33). A decline in serum high-density lipoproteins (HDL) has been reported with many progestational agents (14 to 16). A decline in serum high-density lipoproteins has been associated with an increased incidence of ischemic heart disease. Because estrogens increase HDL cholesterol, the net effect of an oral contraceptive depends on a balance achieved between doses of estrogen and progestogen and the nature and absolute amount of progestogens used in the contraceptives. The amount of both hormones should be considered in the choice of an oral contraceptive.

Minimizing exposure to estrogen and progestogen is in keeping with good principles of therapeutics. For any particular estrogen/progestogen combination, the dosage regimen prescribed should be one which contains the least amount of estrogen and progestogen that is compatible with a low failure rate and the needs of the individual patient. New acceptors of oral contraceptive agents should be started on preparations containing 0.035 mg or less of estrogen.

e. Persistence of risk of vascular disease

There are two studies which have shown persistence of risk of vascular disease for ever-users of oral contraceptives. In a study in the United States, the risk of developing myocardial infarction after discontinuing oral contraceptives persists for at least 9 years for women 40 to 49 years old who had used oral contraceptives for five or more years, but this increased risk was not demonstrated in other age groups (8). In another study in Great Britain, the risk of developing cerebrovascular disease persisted for at least 6 years after discontinuation of oral contraceptives, although excess risk was very small (34). However, both studies were performed with oral contraceptive formulations containing 50 micrograms or more of estrogen.

7. Oral Contraceptive Use Before Or During Early Pregnancy

Extensive epidemiologic studies have revealed no increased risk of birth defects in women who have used oral contraceptives prior to pregnancy (55 to 57). Studies also do not suggest a teratogenic effect, particularly in so far as cardiac anomalies and limb reduction defects are concerned (55, 56, 58, 59), when oral contraceptives are taken inadvertently during early pregnancy.

The administration of oral contraceptives to induce withdrawal bleeding should not be used as a test for pregnancy. Oral contraceptives should not be used during pregnancy to treat threatened or habitual abortion. It is recommended that for any patient who has missed two consecutive periods, pregnancy should be ruled out before continuing oral contraceptive use. If the patient has not adhered to the prescribed schedule, the possibility of pregnancy should be considered at the first missed period. Oral contraceptive use should be discontinued until pregnancy is ruled out.

5. Risk of Liver Enzyme Elevations With Concomitant Hepatitis C Treatment

During clinical trials with the Hepatitis C combination drug regimen that contains ombitasvir/paritaprevir/ritonavir, with or without dasabuvir, ALT elevations greater than 5 times the upper limit of normal (ULN), including some cases greater than 20 times the ULN, were significantly more frequent in women using ethinyl estradiol-containing medications such as COCs. Discontinue Kariva® prior to starting therapy with the combination drug regimen ombitasvir/paritaprevir/ritonavir, with or without dasabuvir (see CONTRAINDICATIONS ). Kariva® can be restarted approximately 2 weeks following completion of treatment with the combination drug regimen.


Structured Label Content

Race

There is no information to determine the effect of race on the pharmacokinetics of Kariva®.

Recent Major Changes (34066-1)

WARNING: CIGARETTE SMOKING AND SERIOUS CARDIOVASCULAR EVENTS

Cigarette smoking increases the risk of serious cardiovascular events from combination oral contraceptive (COC) use. This risk increases with age, particularly in women over 35 years of age, and with the number of cigarettes smoked. For this reason, COCs, including Kariva®, are contraindicated in women who are over 35 years of age and smoke (see CONTRAINDICATIONS and WARNINGS ).

Section 42229-5 (42229-5)

The use of oral contraceptives is associated with increased risks of several serious conditions including myocardial infarction, thromboembolism, stroke, hepatic neoplasia, and gallbladder disease, although the risk of serious morbidity or mortality is very small in healthy women without underlying risk factors. The risk of morbidity and mortality increases significantly in the presence of other underlying risk factors such as hypertension, hyperlipidemias, obesity, and diabetes.

Practitioners prescribing oral contraceptives should be familiar with the following information relating to these risks.

The information contained in this package insert is principally based on studies carried out in patients who used oral contraceptives with formulations of higher doses of estrogens and progestogens than those in common use today. The effect of long-term use of the oral contraceptives with formulations of lower doses of both estrogens and progestogens remains to be determined.

Throughout this labeling, epidemiologic studies reported are of two types: retrospective or case control studies and prospective or cohort studies. Case control studies provide a measure of the relative risk of a disease, namely, a ratio of the incidence of a disease among oral contraceptive users to that among non-users. The relative risk does not provide information on the actual clinical occurrence of a disease. Cohort studies provide a measure of attributable risk, which is the difference in the incidence of disease between oral contraceptive users and non-users. The attributable risk does provide information about the actual occurrence of a disease in the population (Adapted from refs. 2 and 3 with the author’s permission). For further information, the reader is referred to a text on epidemiologic methods.

Excretion

Etonogestrel and ethinyl estradiol are excreted in urine, bile, and feces. At steady state, on Day 21, the elimination half-life of etonogestrel is 27.8 ± 7.2 hours and the elimination half-life of ethinyl estradiol for the combination tablet is 23.9 ± 25.5 hours. For the 0.01 mg ethinyl estradiol tablet [light-blue], the elimination half-life at steady state, Day 28, is 18.9 ± 8.3 hours.

1. General

Patients should be counseled that this product does not protect against HIV infection (AIDS) and other sexually transmitted infections.

Absorption

Desogestrel is rapidly and almost completely absorbed and converted into etonogestrel, its biologically active metabolite. Following oral administration, the relative bioavailability of desogestrel compared to a solution, as measured by serum levels of etonogestrel, is approximately 100%. Kariva® (desogestrel/ethinyl estradiol and ethinyl estradiol) Tablets provide two different regimens of ethinyl estradiol; 0.02 mg in the combination tablet [white] as well as 0.01 mg in the light-blue tablet. Ethinyl estradiol is rapidly and almost completely absorbed. After a single dose of Kariva® combination tablet [white], the relative bioavailability of ethinyl estradiol is approximately 93% while the relative bioavailability of the 0.01 mg tablet [light-blue] is 99%. The effect of food on the bioavailability of Kariva® tablets following oral administration has not been evaluated.

The pharmacokinetics of etonogestrel and ethinyl estradiol following multiple dose administration of Kariva® tablets were determined during the third cycle in 17 subjects. Plasma concentrations of etonogestrel and ethinyl estradiol reached steady-state by Day 21. The AUC(0–24) for etonogestrel at steady-state on Day 21 was approximately 2.2 times higher than AUC(0–24) on Day 1 of the third cycle. The pharmacokinetic parameters of etonogestrel and ethinyl estradiol during the third cycle following multiple dose administration of Kariva® tablets are summarized in Table I.

TABLE I: MEAN (SD) PHARMACOKINETIC PARAMETERS OF Kariva® OVER A 28-DAY DOSING PERIOD IN THE THIRD CYCLE (n=17).
 

Etonogestrel

 

Day

 

Dosea

mg

 

Cmax

pg/mL

 

Tmax

h

 

t1/2

h

 

AUC0–24

pg/mL•hr

 

CL/F

L/h

 

1

 

0.15

 

2503.6 (987.6)

 

2.4 (1.0)

 

29.8 (16.3)

 

17,832 (5674)

 

5.4 (2.5)

 

21

 

0.15

 

4091.2 (1186.2)

 

1.6 (0.7)

 

27.8 (7.2)

 

39,391 (12,134)

 

4.4 (1.4)

   a) Desogestrel

 

Ethinyl Estradiol

 

Day

 

Dose

mg

 

Cmax

pg/mL

 

Tmax

h

 

t1/2

h

 

AUC0–24 pg/mL•hr

 

CL/F

L/h

 

1

 

0.02

 

51.9 (15.4)

 

2.9 (1.2)

 

16.5 (4.8)

 

566 (173)a

 

25.7 (9.1)

 

21

 

0.02

 

62.2 (25.9)

 

2.0 (0.8)

 

23.9 (25.5)

 

597 (127)a

 

35.1 (8.2)

 

24

 

0.01

 

24.6 (10.8)

 

2.4 (1.0)

 

18.8 (10.3)

 

246 (65)

 

43.6 (12.2)

 

28

 

0.01

 

35.3 (27.5)

 

2.1 (1.3)

 

18.9 (8.3)

 

312 (62)

 

33.2 (6.6)

 

Cmax – measured peak concentration

 

Tmax – observed time of peak concentration

 

t1/2 – elimination half-life, calculated by 0.693/Kelim

 

AUC0–24 – area under the concentration-time curve calculated by the linear trapezoidal rule (Time 0 to 24 hours)

 

CL/F – apparent clearance

   a) n=16

Metabolism

Desogestrel:

Desogestrel is rapidly and completely metabolized by hydroxylation in the intestinal mucosa and on first pass through the liver to etonogestrel. Other metabolites (i.e., 3α-OH-desogestrel, 3β-OH-desogestrel, and 3α-OH-5α-H-desogestrel) with no pharmacologic actions also have been identified and these metabolites may undergo glucuronide and sulfate conjugation.

Ethinyl estradiol:

Ethinyl estradiol is subject to a significant degree of presystemic conjugation (phase II metabolism). Ethinyl estradiol escaping gut wall conjugation undergoes phase I metabolism and hepatic conjugation (phase II metabolism). Major phase I metabolites are 2-OH-ethinyl estradiol and 2-methoxy-ethinyl estradiol. Sulfate and glucuronide conjugates of both ethinyl estradiol and phase I metabolites, which are excreted in bile, can undergo enterohepatic circulation.

Overdosage (OVERDOSAGE)

Serious ill effects have not been reported following acute ingestion of large doses of oral contraceptives by young children. Overdosage may cause nausea, and withdrawal bleeding may occur in females.

References (REFERENCES)

1. Hatcher RA, Trussell J, Stewart F et al. Contraceptive Technology: Seventeenth Revised Edition, New York: Irvington Publishers, 1998, in press. 2. Stadel BV. Oral contraceptives and cardiovascular disease. (Pt. 1). N Engl J Med 1981; 305:612–618. 3. Stadel BV. Oral contraceptives and cardiovascular disease. (Pt. 2). N Engl J Med 1981; 305:672–677. 4. Adam SA, Thorogood M. Oral contraception and myocardial infarction revisited: the effects of new preparations and prescribing patterns. Br J Obstet and Gynecol 1981; 88:838–845. 5. Mann JI, Inman WH. Oral contraceptives and death from myocardial infarction. Br Med J 1975; 2(5965):245–248. 6. Mann JI, Vessey MP, Thorogood M, Doll R. Myocardial infarction in young women with special reference to oral contraceptive practice. Br Med J 1975; 2(5956):241–245. 7. Royal College of General Practitioners’ Oral Contraception Study: Further analyses of mortality in oral contraceptive users. Lancet 1981; 1:541–546. 8. Slone D, Shapiro S, Kaufman DW, Rosenberg L, Miettinen OS, Stolley PD. Risk of myocardial infarction in relation to current and discontinued use of oral contraceptives. N Engl J Med 1981; 305:420–424. 9. Vessey MP. Female hormones and vascular disease—an epidemiological overview. Br J Fam Plann 1980; 6:1–12. 10. Russell-Briefel RG, Ezzati TM, Fulwood R, Perlman JA, Murphy RS. Cardiovascular risk status and oral contraceptive use, United States, 1976–80. Prevent Med 1986; 15:352–362. 11. Goldbaum GM, Kendrick JS, Hogelin GC, Gentry EM. The relative impact of smoking and oral contraceptive use on women in the United States. JAMA 1987; 258:1339–1342. 12. Layde PM, Beral V. Further analyses of mortality in oral contraceptive users: Royal College General Practitioners’ Oral Contraception Study. (Table 5) Lancet 1981; 1:541–546. 13. Knopp RH. Arteriosclerosis risk: the roles of oral contraceptives and postmenopausal estrogens. J Reprod Med 1986; 31(9) (Supplement):913–921. 14. Krauss RM, Roy S, Mishell DR, Casagrande J, Pike MC. Effects of two low-dose oral contraceptives on serum lipids and lipoproteins: Differential changes in high-density lipoproteins subclasses. Am J Obstet 1983; 145:446–452. 15. Wahl P, Walden C, Knopp R, Hoover J, Wallace R, Heiss G, Rifkind B. Effect of estrogen/progestin potency on lipid/lipoprotein cholesterol. N Engl J Med 1983; 308:862–867. 16. Wynn V, Niththyananthan R. The effect of progestin in combined oral contraceptives on serum lipids with special reference to high-density lipoproteins. Am J Obstet Gynecol 1982; 142:766–771. 17. Wynn V, Godsland I. Effects of oral contraceptives and carbohydrate metabolism. J Reprod Med 1986; 31 (9) (Supplement):892–897. 18. LaRosa JC. Atherosclerotic risk factors in cardiovascular disease. J Reprod Med 1986; 31 (9) (Supplement):906–912. 19. Inman WH, Vessey MP. Investigation of death from pulmonary, coronary, and cerebral thrombosis and embolism in women of child-bearing age. Br Med J 1968; 2 (5599):193–199. 20. Maguire MG, Tonascia J, Sartwell PE, Stolley PD, Tockman MS. Increased risk of thrombosis due to oral contraceptives: a further report. Am J Epidemiol 1979; 110 (2):188–195. 21. Pettiti DB, Wingerd J, Pellegrin F, Ramacharan S. Risk of vascular disease in women: smoking, oral contraceptives, noncontraceptive estrogens, and other factors. JAMA 1979; 242:1150–1154. 22. Vessey MP, Doll R. Investigation of relation between use of oral contraceptives and thromboembolic disease. Br Med J 1968; 2 (5599):199–205. 23. Vessey MP, Doll R. Investigation of relation between use of oral contraceptives and thromboembolic disease. A further report. Br Med J 1969; 2 (5658):651–657. 24. Porter JB, Hunter JR, Danielson DA, Jick H, Stergachis A. Oral contraceptives and non-fatal vascular disease—recent experience. Obstet Gynecol 1982; 59 (3):299–302. 25. Vessey M, Doll R, Peto R, Johnson B, Wiggins P. A long-term follow-up study of women using different methods of contraception: an interim report. Biosocial Sci 1976; 8:375–427. 26. Royal College of General Practitioners: Oral contraceptives, venous thrombosis, and varicose veins. J Royal Coll Gen Pract 1978; 28:393–399. 27. Collaborative Group for the Study of Stroke in Young Women: Oral contraception and increased risk of cerebral ischemia or thrombosis. N Engl J Med 1973; 288:871–878. 28. Petitti DB, Wingerd J. Use of oral contraceptives, cigarette smoking, and risk of subarachnoid hemorrhage. Lancet 1978; 2:234–236. 29. Inman WH. Oral contraceptives and fatal subarachnoid hemorrhage. Br Med J 1979; 2 (6203):1468–70. 30. Collaborative Group for the Study of Stroke in Young Women: Oral contraceptives and stroke in young women: associated risk factors. JAMA 1975; 231:718–722. 31. Inman WH, Vessey MP, Westerholm B, Engelund A. Thromboembolic disease and the steroidal content of oral contraceptives. A report to the Committee on Safety of Drugs. Br Med J 1970; 2:203–209. 32. Meade TW, Greenberg G, Thompson SG. Progestogens and cardiovascular reactions associated with oral contraceptives and a comparison of the safety of 50- and 35-mcg oestrogen preparations. Br Med J 1980; 280 (6224):1157–1161. 33. Kay CR. Progestogens and arterial disease—evidence from the Royal College of General Practitioners’ Study. Am J Obstet Gynecol 1982; 142:762–765. 34. Royal College of General Practitioners: Incidence of arterial disease among oral contraceptive users. J Royal Coll Gen Pract 1983; 33:75–82. 35. Ory HW. Mortality associated with fertility and fertility control: 1983. Family Planning Perspectives 1983; 15:50–56. 36. The Cancer and Steroid Hormone Study of the Centers for Disease Control and the National Institute of Child Health and Human Development: Oral-contraceptive use and the risk of breast cancer. N Engl J Med 1986; 315:405–411. 37. Pike MC, Henderson BE, Krailo MD, Duke A, Roy S. Breast cancer risk in young women and use of oral contraceptives: possible modifying effect of formulation and age at use. Lancet 1983; 2:926–929. 38. Paul C, Skegg DG, Spears GFS, Kaldor JM. Oral contraceptives and breast cancer: A national study. Br Med J 1986; 293:723–725. 39. Miller DR, Rosenberg L, Kaufman DW, Schottenfeld D, Stolley PD, Shapiro S. Breast cancer risk in relation to early oral contraceptive use. Obstet Gynecol 1986; 68:863–868. 40. Olson H, Olson KL, Moller TR, Ranstam J, Holm P. Oral contraceptive use and breast cancer in young women in Sweden (letter). Lancet 1985; 2:748–749. 41. McPherson K, Vessey M, Neil A, Doll R, Jones L, Roberts M. Early contraceptive use and breast cancer: Results of another case-control study. Br J Cancer 1987; 56:653–660. 42. Huggins GR, Zucker PF. Oral contraceptives and neoplasia: 1987 update. Fertil Steril 1987; 47:733–761. 43. McPherson K, Drife JO. The pill and breast cancer: why the uncertainty? Br Med J 1986; 293:709–710. 44. Shapiro S. Oral contraceptives—time to take stock. N Engl J Med 1987; 315:450–451. 45. Ory H, Naib Z, Conger SB, Hatcher RA, Tyler CW. Contraceptive choice and prevalence of cervical dysplasia and carcinoma in situ. Am J Obstet Gynecol 1976; 124:573–577. 46. Vessey MP, Lawless M, McPherson K, Yeates D. Neoplasia of the cervix uteri and contraception: a possible adverse effect of the pill. Lancet 1983; 2:930. 47. Brinton LA, Huggins GR, Lehman HF, Malli K, Savitz DA, Trapido E, Rosenthal J, Hoover R. Long-term use of oral contraceptives and risk of invasive cervical cancer. Int J Cancer 1986; 38:339–344. 48. WHO Collaborative Study of Neoplasia and Steroid Contraceptives: Invasive cervical cancer and combined oral contraceptives. Br Med J 1985; 209:961–965. 49. Rooks JB, Ory HW, Ishak KG, Strauss LT, Greenspan JR, Hill AP, Tyler CW. Epidemiology of hepatocellular adenoma: the role of oral contraceptive use. JAMA 1979; 242:644–648. 50. Bein NN, Goldsmith HS. Recurrent massive hemorrhage from benign hepatic tumors secondary to oral contraceptives. Br J Surg 1977; 64:433–435. 51. Klatskin G. Hepatic tumors: possible relationship to use of oral contraceptives. Gastroenterology 1977; 73:386–394. 52. Henderson BE, Preston-Martin S, Edmondson HA, Peters RL, Pike MC. Hepatocellular carcinoma and oral contraceptives. Br J Cancer 1983; 48:437–440. 53. Neuberger J, Forman D, Doll R, Williams R. Oral contraceptives and hepatocellular carcinoma. Br Med J 1986; 292:1355–1357. 54. Forman D, Vincent TJ, Doll R. Cancer of the liver and oral contraceptives. Br Med J 1986; 292:1357–1361. 55. Harlap S, Eldor J. Births following oral contraceptive failures. Obstet Gynecol 1980; 55:447–452. 56. Savolainen E, Saksela E, Saxen L. Teratogenic hazards of oral contraceptives analyzed in a national malformation register. Am J Obstet Gynecol 1981; 140:521–524. 57. Janerich DT, Piper JM, Glebatis DM. Oral contraceptives and birth defects. Am J Epidemiol 1980; 112:73–79. 58. Ferencz C, Matanoski GM, Wilson PD, Rubin JD, Neill CA, Gutberlet R. Maternal hormone therapy and congenital heart disease. Teratology 1980; 21:225–239. 59. Rothman KJ, Fyler DC, Goldbatt A, Kreidberg MB. Exogenous hormones and other drug exposures of children with congenital heart disease. Am J Epidemiol 1979; 109:433–439. 60. Boston Collaborative Drug Surveillance Program: Oral contraceptives and venous thromboembolic disease, surgically confirmed gallbladder disease, and breast tumors. Lancet 1973; 1:1399–1404. 61. Royal College of General Practitioners: Oral contraceptives and health. New York, Pittman, 1974. 62. Layde PM, Vessey MP, Yeates D. Risk of gallbladder disease: a cohort study of young women attending family planning clinics. J Epidemiol Community Health 1982; 36:274–278. 63. Rome Group for the Epidemiology and Prevention of Cholelithiasis (GREPCO): Prevalence of gallstone disease in an Italian adult female population. Am J Epidemiol 1984; 119:796–805. 64. Strom BL, Tamragouri RT, Morse ML, Lazar EL, West SL, Stolley PD, Jones JK. Oral contraceptives and other risk factors for gallbladder disease. Clin Pharmacol Ther 1986; 39:335–341. 65. Wynn V, Adams PW, Godsland IF, Melrose J, Niththyananthan R, Oakley NW, Seedj A. Comparison of effects of different combined oral-contraceptive formulations on carbohydrate and lipid metabolism. Lancet 1979; 1:1045–1049. 66. Wynn V. Effect of progesterone and progestins on carbohydrate metabolism. In Progesterone and Progestin. Edited by Bardin CW, Milgrom E, Mauvis-Jarvis P. New York, Raven Press, 1983 pp. 395–410. 67. Perlman JA, Roussell-Briefel RG, Ezzati TM, Lieberknecht G. Oral glucose tolerance and the potency of oral contraceptive progestogens. J Chronic Dis 1985; 38:857–864. 68. Royal College of General Practitioners’ Oral Contraception Study: Effect on hypertension and benign breast disease of progestogen component in combined oral contraceptives. Lancet 1977; 1:624. 69. Fisch IR, Frank J. Oral contraceptives and blood pressure. JAMA 1977; 237:2499–2503. 70. Laragh AJ. Oral contraceptive induced hypertension—nine years later. Am J Obstet Gynecol 1976; 126:141–147. 71. Ramcharan S, Peritz E, Pellegrin FA, Williams WT. Incidence of hypertension in the Walnut Creek Contraceptive Drug Study cohort. In Pharmacology of Steroid Contraceptive Drugs. Garattini S, Berendes HW. Eds. New York, Raven Press, 1977 pp. 277–288. (Monographs of the Mario Negri Institute for Pharmacological Research, Milan). 72. Stockley I. Interactions with oral contraceptives. J Pharm 1976; 216:140–143. 73. The Cancer and Steroid Hormone Study of the Centers for Disease Control and the National Institute of Child Health and Human Development: Oral contraceptive use and the risk of ovarian cancer. JAMA 1983; 249:1596–1599. 74. The Cancer and Steroid Hormone Study of the Centers for Disease Control and the National Institute of Child Health and Human Development: Combination oral contraceptive use and the risk of endometrial cancer. JAMA 1987; 257:796–800. 75. Ory HW. Functional ovarian cysts and oral contraceptives: negative association confirmed surgically. JAMA 1974; 228:68–69. 76. Ory HW, Cole P, Macmahon B, Hoover R. Oral contraceptives and reduced risk of benign breast disease. N Engl J Med 1976; 294:419–422. 77. Ory HW. The noncontraceptive health benefits from oral contraceptive use. Fam Plann Perspect 1982; 14:182–184. 78. Ory HW, Forrest JD, Lincoln R. Making Choices: Evaluating the health risks and benefits of birth control methods. New York, The Alan Guttmacher Institute, 1983; p. 1. 79. Schlesselman J, Stadel BV, Murray P, Lai S. Breast Cancer in relation to early use of oral contraceptives 1988; 259:1828–1833. 80. Hennekens CH, Speizer FE, Lipnick RJ, Rosner B, Bain C, Belanger C, Stampfer MJ, Willett W, Peto R. A case-controlled study of oral contraceptive use and breast cancer. JNCI 1984; 72:39–42. 81. LaVecchia C, Decarli A, Fasoli M, Franceschi S, Gentile A, Negri E, Parazzini F, Tognoni G. Oral contraceptives and cancers of the breast and of the female genital tract. Interim results from a case-control study. Br. J. Cancer 1986; 54:311–317. 82. Meirik O, Lund E, Adami H, Bergstrom R, Christoffersen T, Bergsjo P. Oral contraceptive use in breast cancer in young women. A Joint National Case-control study in Sweden and Norway. Lancet 1986; 11:650–654. 83. Kay CR, Hannaford PC. Breast cancer and the pill—A further report from the Royal College of General Practitioners’ oral contraception study. Br. J. Cancer 1988; 58:675–680. 84. Stadel BV, Lai S, Schlesselman JJ, Murray P. Oral contraceptives and premenopausal breast cancer in nulliparous women. Contraception 1988; 38:287–299. 85. Miller DR, Rosenberg L, Kaufman DW, Stolley P, Warshauer ME, Shapiro S. Breast cancer before age 45 and oral contraceptive use: New Findings. Am. J. Epidemiol 1989; 129:269–280. 86. The UK National Case-Control Study Group, Oral contraceptive use and breast cancer risk in young women. Lancet 1989; 1:973–982. 87. Schlesselman JJ. Cancer of the breast and reproductive tract in relation to use of oral contraceptives. Contraception 1989; 40:1–38. 88. Vessey MP, McPherson K, Villard-Mackintosh L, Yeates D. Oral contraceptives and breast cancer: latest findings in a large cohort study. Br. J. Cancer 1989; 59:613–617. 89. Jick SS, Walker AM, Stergachis A, Jick H. Oral contraceptives and breast cancer. Br. J. Cancer 1989; 59:618–621. 90. Godsland, I et al. The effects of different formulations of oral contraceptive agents on lipid and carbohydrate metabolism. N Engl J Med 1990; 323:1375–81. 91. Kloosterboer, HJ et al. Selectivity in progesterone and androgen receptor binding of progestogens used in oral contraception. Contraception, 1988; 38:325–32. 92. Van der Vies, J and de Visser, J. Endocrinological studies with desogestrel. Arzneim. Forsch./Drug Res., 1983; 33(l),2:231–6. 93. Data on file, Organon Inc. 94. Fotherby, K. Oral contraceptives, lipids and cardiovascular diseases. Contraception, 1985; Vol. 31; 4:367–94. 95. Lawrence, DM et al. Reduced sex hormone binding globulin and derived free testosterone levels in women with severe acne. Clinical Endocrinology, 1981; 15:87–91. 96. Cullberg, G et al. Effects of a low-dose desogestrel-ethinyl estradiol combination on hirsutism, androgens and sex hormone binding globulin in women with a polycystic ovary syndrome. Acta Obstet Gynecol Scand, 1985; 64:195–202. 97. Jung-Hoffmann, C and Kuhl, H. Divergent effects of two low-dose oral contraceptives on sex hormone-binding globulin and free testosterone. AJOG, 1987; 156:199–203. 98. Hammond, G et al. Serum steroid binding protein concentrations, distribution of progestogens, and bioavailability of testosterone during treatment with contraceptives containing desogestrel or levonorgestrel. Fertil. Steril., 1984; 42:44–51. 99. Palatsi, R et al. Serum total and unbound testosterone and sex hormone binding globulin (SHBG) in female acne patients treated with two different oral contraceptives. Acta Derm Venereol, 1984; 64:517–23. 100. Porter JB, Hunter J, Jick H et al. Oral contraceptives and nonfatal vascular disease. Obstet Gynecol 1985; 66:1–4. 101. Porter JB, Jick H, Walker AM. Mortality among oral contraceptive users. Obstet Gynecol 1987; 7029–32. 102. Jick H, Jick SS, Gurewich V, Myers MW, Vasilakis C. Risk of idiopathic cardiovascular death and non-fatal venous thromboembolism in women using oral contraceptives with differing progestagen components. Lancet, 1995; 346:1589–93. 103. World Health Organization Collaborative Study of Cardiovascular Disease and Steroid Hormone Contraception. Effect of different progestagens in low oestrogen oral contraceptives on venous thromboembolic disease. Lancet, 1995; 346:1582–88. 104. Spitzer WO, Lewis MA, Heinemann LAJ, Thorogood M, MacRae KD on behalf of Transnational Research Group on Oral Contraceptives and Health of Young Women. Third generation oral contraceptives and risk of venous thromboembolic disorders: An international case-control study. Br Med J, 1996; 312:83–88. 105. Christensen J, Petrenaite V, Atterman J, et al. Oral contraceptives induce lamotrigine metabolism: evidence from a doubleblind, placebo-controlled trial. Epilepsia 2007;48(3):484-489.

TEVA PHARMACEUTICALS USA, INC.

North Wales, PA 19454

Rev. F 3/2024

Description (DESCRIPTION)

Kariva® (desogestrel/ethinyl estradiol and ethinyl estradiol tablets USP) provides an oral contraceptive regimen of 21 white, round tablets each containing 0.15 mg desogestrel (13-ethyl-11-methylene-18,19-dinor-17 alpha-pregn-4-en-20-yn-17-ol), 0.02 mg ethinyl estradiol, USP (19-nor-17 alpha-pregna-1,3,5 (10)-trien-20-yne-3,17-diol), and inactive ingredients which include colloidal silicon dioxide, hypromellose, lactose monohydrate, polyethylene glycol, povidone, pregelatinized corn starch, stearic acid, and vitamin E, followed by 2 inert light-green, round tablets with the following inactive ingredients: FD&C blue no. 1 aluminum lake, FD&C yellow no. 6 aluminum lake, D&C yellow no. 10 aluminum lake, lactose monohydrate, magnesium stearate, microcrystalline cellulose and pregelatinized corn starch. Kariva® also contains 5 light-blue, round tablets containing 0.01 mg ethinyl estradiol, USP (19-nor-17 alpha-pregna-1,3,5 (10)-trien-20-yne-3,17-diol) and inactive ingredients which include colloidal silicon dioxide, FD&C blue no. 1 aluminum lake, FD&C blue no. 2 aluminum lake, hypromellose, lactose monohydrate, polydextrose, polyethylene glycol, povidone, pregelatinized corn starch, stearic acid, titanium dioxide, triacetin and vitamin E. The structural formulas are as follows:

DESOGESTREL

C22H30O M.W. 310.48

ETHINYL ESTRADIOL, USP

C20H24O2 M.W. 296.40

The 21 white tablets meet USP Dissolution Test 2.

11. Headache

The onset or exacerbation of migraine or development of headache with a new pattern which is recurrent, persistent, or severe requires discontinuation of oral contraceptives and evaluation of the cause.

15. Chloasma

Chloasma may occur with Kariva® use, especially in females with a history of chloasma gravidarum. Advise females with a history of chloasma to avoid exposure to the sun or ultraviolet radiation while using Kariva®.

Distribution

Etonogestrel, the active metabolite of desogestrel, was found to be 99% protein bound, primarily to sex hormone-binding globulin (SHBG). Ethinyl estradiol is approximately 98.3% bound, mainly to plasma albumin. Ethinyl estradiol does not bind to SHBG, but induces SHBG synthesis. Desogestrel, in combination with ethinyl estradiol, does not counteract the estrogen-induced increase in SHBG, resulting in lower serum levels of free testosterone (96 to 99).

How Supplied (HOW SUPPLIED)

Kariva® (desogestrel/ethinyl estradiol and ethinyl estradiol tablets USP) contains 21 round, white, film-coated, biconvex tablets, 2 round, light-green tablets and 5 round, light-blue, film-coated, biconvex tablets in a blister card. Each white tablet (debossed with “dp” on one side and “021” on the other side) contains 0.15 mg desogestrel and 0.02 mg ethinyl estradiol, USP. Each light-green tablet (debossed with “dp” on one side and “331” on the other side) contains inert ingredients. Each light-blue tablet (debossed with “dp” on one side and “022” on the other side) contains 0.01 mg ethinyl estradiol, USP.

Box of 6 Blister Cards (NDC: 0555-9050-58)

Store at 20° to 25°C (68° to 77°F) [See USP Controlled Room Temperature].

Keep this and all medications out of the reach of children.

10. Pregnancy

Discontinue Kariva® if pregnancy occurs because there is no reason to use COCs in pregnancy. See WARNINGS  section.

11. Lactation

Small amounts of oral contraceptive steroids have been identified in human milk, and a few adverse effects on the child have been reported, including jaundice and breast enlargement. In addition, oral contraceptives given in the postpartum period may interfere with lactation by decreasing the quantity and quality of breast milk. If possible, the nursing mother should be advised not to use oral contraceptives but to use other forms of contraception until she has completely weaned her child.

13. Depression

Carefully observe women with a history of depression and discontinue Kariva® if depression recurs to a serious degree.

12. Pediatric Use (12. Pediatric use)

Safety and efficacy of Kariva® tablets have been established in women of reproductive age. Safety and efficacy are expected to be the same for postpubertal adolescents under the age of 16 and for users 16 years and older. Use of this product before menarche is not indicated.

4. Liver Function (4. Liver function)

If jaundice develops in any woman receiving such drugs, the medication should be discontinued. Steroid hormones may be poorly metabolized in patients with impaired liver function.

6. Contact Lenses (6. Contact lenses)

Contact lens wearers who develop visual changes or changes in lens tolerance should be assessed by an ophthalmologist.

6. Ocular Lesions (6. Ocular lesions)

There have been clinical case reports of retinal thrombosis associated with the use of oral contraceptives. Oral contraceptives should be discontinued if there is unexplained partial or complete loss of vision; onset of proptosis or diplopia; papilledema; or retinal vascular lesions. Appropriate diagnostic and therapeutic measures should be undertaken immediately.

9. Carcinogenesis

See WARNINGS section.

Adverse Reactions (ADVERSE REACTIONS)

An increased risk of the following serious adverse reactions has been associated with the use of oral contraceptives (see WARNINGS section):

  • Thrombophlebitis and venous thrombosis with or without embolism
  • Arterial thromboembolism
  • Pulmonary embolism
  • Myocardial infarction
  • Cerebral hemorrhage
  • Cerebral thrombosis
  • Hypertension
  • Gallbladder disease
  • Hepatic adenomas or benign liver tumors

Post Marketing Experience

Five studies that compared breast cancer risk between ever-users (current or past use) of COCs and never-users of COCs reported no association between ever use of COCs and breast cancer risk, with effect estimates ranging from 0.90 to 1.12 (Figure 2) (64 to 68).

Three studies compared breast cancer risk between current or recent COC users (<6 months since last use) and never users of COCs (Figure 2) (64, 67, 69). One of these studies reported no association between breast cancer risk and COC use. The other two studies found an increased relative risk of 1.19 to 1.33 with current or recent use. Both of these studies found an increased risk of breast cancer with current use of longer duration, with relative risks ranging from 1.03 with less than one year of COC use to approximately 1.4 with more than 8 to 10 years of COC use.

FIGURE 2: RELEVANT STUDIES OF RISK OF BREAST CANCER WITH COMBINED ORAL CONTRACEPTIVES

RR = relative risk; OR = odds ratio; HR = hazard ratio. “ever COC” are females with current or past COC use; “never COC use” are females that never used COCs.

There is evidence of an association between the following conditions and the use of oral contraceptives:

  • Mesenteric thrombosis
  • Retinal thrombosis

The following adverse reactions have been reported in patients receiving oral contraceptives and are believed to be drug-related:

  • Nausea
  • Vomiting
  • Gastrointestinal symptoms (such as abdominal cramps and bloating)
  • Breakthrough bleeding
  • Spotting
  • Change in menstrual flow
  • Amenorrhea
  • Temporary infertility after discontinuation of treatment
  • Edema
  • Melasma which may persist
  • Breast changes: tenderness, enlargement, secretion
  • Change in weight (increase or decrease)
  • Change in cervical erosion and secretion
  • Diminution in lactation when given immediately postpartum
  • Cholestatic jaundice
  • Migraine
  • Rash (allergic)
  • Mental depression
  • Reduced tolerance to carbohydrates
  • Vaginal candidiasis
  • Change in corneal curvature (steepening)
  • Intolerance to contact lenses

The following adverse reactions have been reported in users of oral contraceptives and the association has been neither confirmed nor refuted:

  • Pre-menstrual syndrome
  • Cataracts
  • Changes in appetite
  • Cystitis-like syndrome
  • Headache
  • Nervousness
  • Dizziness
  • Hirsutism
  • Loss of scalp hair
  • Erythema multiforme
  • Erythema nodosum
  • Hemorrhagic eruption
  • Vaginitis
  • Porphyria
  • Impaired renal function
  • Hemolytic uremic syndrome
  • Acne
  • Changes in libido
  • Colitis
  • Budd-Chiari syndrome
Contraindications (CONTRAINDICATIONS)

Oral contraceptives should not be used in women who currently have the following conditions:

  • Thrombophlebitis or thromboembolic disorders
  • A past history of deep vein thrombophlebitis or thromboembolic disorders
  • Cerebral vascular or coronary artery disease
  • Current diagnosis of, or history of, breast cancer, which may be hormone-sensitive
  • Undiagnosed abnormal genital bleeding
  • Cholestatic jaundice of pregnancy or jaundice with prior pill use
  • Hepatic adenomas or carcinomas
  • Are receiving Hepatitis C drug combinations containing ombitasvir/paritaprevir/ritonavir, with or without dasabuvir, due to the potential for ALT elevations (see WARNINGS, Risk of Liver Enzyme Elevations with Concomitant Hepatitis C Treatment )
3. Lipid Disorders (3. Lipid disorders)

Women who are being treated for hyperlipidemias should be followed closely if they elect to use oral contraceptives. Some progestogens may elevate LDL levels and may render the control of hyperlipidemias more difficult.

5. Fluid Retention (5. Fluid retention)

Oral contraceptives may cause some degree of fluid retention. They should be prescribed with caution, and only with careful monitoring, in patients with conditions which might be aggravated by fluid retention.

Renal Insufficiency

No formal studies were conducted to evaluate the effect of renal disease on the disposition of Kariva®.

4. Hepatic Neoplasia (4. Hepatic neoplasia)

Benign hepatic adenomas are associated with oral contraceptive use, although the incidence of benign tumors is rare in the United States. Indirect calculations have estimated the attributable risk to be in the range of 3.3 cases/100,000 for users, a risk that increases after four or more years of use especially with oral contraceptives of higher dose (49). Rupture of rare, benign, hepatic adenomas may cause death through intra-abdominal hemorrhage (50, 51).

Studies from Britain have shown an increased risk of developing hepatocellular carcinoma (43 to 45) in long-term (>8 years) oral contraceptive users. However, these cancers are extremely rare in the US and the attributable risk (the excess incidence) of liver cancers in oral contraceptive users approaches less than one per million users.

7. Drug Interactions (7. Drug interactions)

Reduced efficacy and increased incidence of breakthrough bleeding and menstrual irregularities have been associated with concomitant use of rifampin. A similar association, though less marked, has been suggested with barbiturates, phenylbutazone, phenytoin sodium, carbamazepine and possibly with griseofulvin, ampicillin, and tetracyclines (72).

Combined hormonal contraceptives have been shown to significantly decrease plasma concentrations of lamotrigine when co-administered, likely due to induction of lamotrigine glucuronidation. This may reduce seizure control; therefore, dosage adjustments of lamotrigine may be necessary.

Concomitant Use with Hepatitis C Virus (HCV) Combination Therapy – Liver Enzyme Elevation

Co-administration of Kariva® with HCV drug combinations containing ombitasvir/paritaprevir/ritonavir, with or without dasabuvir is contraindicated due to potential for ALT elevations (see CONTRAINDICATIONS and  WARNINGS, Risk of Liver Enzyme Elevations with Concomitant Hepatitis C Treatment ). Co-administration of Kariva® and glecaprevir/pibrentasvir is not recommended due to potential for ALT elevations.

Consult the labeling of the concurrently-used drug to obtain further information about interactions with hormonal contraceptives or the potential for enzyme alterations.

Clinical Pharmacology (CLINICAL PHARMACOLOGY)

Combination oral contraceptives act by suppression of gonadotropins. Although the primary mechanism of this action is inhibition of ovulation, other alterations include changes in the cervical mucus (which increase the difficulty of sperm entry into the uterus) and the endometrium (which reduce the likelihood of implantation).

Receptor binding studies, as well as studies in animals, have shown that etonogestrel, the biologically active metabolite of desogestrel, combines high progestational activity with minimal intrinsic androgenicity (91, 92). The relevance of this latter finding in humans is unknown.

Hepatic Insufficiency

No formal studies were conducted to evaluate the effect of hepatic disease on the disposition of Kariva®.

Indications and Usage (INDICATIONS AND USAGE)

Kariva® (desogestrel/ethinyl estradiol and ethinyl estradiol tablets USP) is indicated for the prevention of pregnancy in women who elect to use this product as a method of contraception.

Oral contraceptives are highly effective. Table II lists the typical accidental pregnancy rates for users of combination oral contraceptives and other methods of contraception. The efficacy of these contraceptive methods, except sterilization, depends upon the reliability with which they are used. Correct and consistent use of these methods can result in lower failure rates.

TABLE II: Percentage of women experiencing an unintended pregnancy during the first year of typical use and the first year of perfect use of contraception and the percentage continuing use at the end of the first year, United States.

% of Women Experiencing an Unintended Pregnancy within the First Year of Use

% of Women

Continuing Use at

One Year a



(4)

Method

(1)

Typical Use b

(2)

Perfect Use c

(3)

Chanced

85

85

Spermicidese

26

6

40

Periodic abstinence

25

63

Calendar

9

Ovulation Method

3

Sympto-Thermalf

2

Post-Ovulation

1

Withdrawal

19

4

Capg

Parous Women

40

26

42

Nulliparous Women

20

9

56

Sponge

Parous Women

40

20

42

Nulliparous Women

20

9

56

Diaphragmg

20

6

56

Condomh

Female (Reality)

21

5

56

Male

14

3

61

Pill

5

71

Progestin Only

0.5

Combined

0.1

IUD

Progesterone T

2.0

1.5

81

Copper T 380A

0.8

0.6

78

LNg 20

0.1

0.1

81

Depo-Provera

0.3

0.3

70

Norplant and Norplant-2

0.05

0.05

88

Female sterilization

0.5

0.5

100

Male sterilization

0.15

0.10

100

Adapted from Hatcher et al., 1998, ref #1.

a) Among couples attempting to avoid pregnancy, the percentage who continue to use a method for one year.

b) Among typical couples who initiate use of a method (not necessarily for the first time), the percentage who experience an accidental pregnancy during the first year if they do not stop use for any other reason.

c) Among couples who initiate use of a method (not necessarily for the first time) and who use it perfectly (both consistently and correctly), the percentage who experience an accidental pregnancy during the first year if they do not stop use for any other reason.

d) The percents becoming pregnant in columns (2) and (3) are based on data from populations where contraception is not used and from women who cease using contraception in order to become pregnant. Among such populations, about 89% become pregnant within one year. This estimate was lowered slightly (to 85%) to represent the percent who would become pregnant within one year among women now relying on reversible methods of contraception if they abandoned contraception altogether.

e) Foams, creams, gels, vaginal suppositories, and vaginal film.

f) Cervical mucus (ovulation) method supplemented by calendar in the pre-ovulatory and basal body temperature in the post-ovulatory phases.

g) With spermicidal cream or jelly.

h) Without spermicides.

3. Malignant Neoplasms

Breast Cancer

Kariva® is contraindicated in females who currently have or have had breast cancer because breast cancer may be hormonally sensitive (see CONTRAINDICATIONS ).

Epidemiology studies have not found a consistent association between use of combined oral contraceptives (COCs) and breast cancer risk. Studies do not show an association between ever (current or past) use of COCs and risk of breast cancer. However, some studies report a small increase in the risk of breast cancer among current or recent users (<6 months since last use) and current users with longer duration of COC use (see ADVERSE REACTIONS, Postmarketing Experience ).

Cervical Cancer

Some studies suggest that oral contraceptive use has been associated with an increase in the risk of cervical intra-epithelial neoplasia in some populations of women (48). However, there continues to be controversy about the extent to which such findings may be due to differences in sexual behavior and other factors.

8. Gallbladder Disease (8. Gallbladder disease)

Earlier studies have reported an increased lifetime relative risk of gallbladder surgery in users of oral contraceptives and estrogens (60, 61). More recent studies, however, have shown that the relative risk of developing gallbladder disease among oral contraceptive users may be minimal (62 to 64). The recent findings of minimal risk may be related to the use of oral contraceptive formulations containing lower hormonal doses of estrogens and progestogens.

Drug Drug Interactions (Drug-Drug Interactions)

Interactions between desogestrel/ethinyl estradiol and other drugs have been reported in the literature. No formal drug-drug interaction studies were conducted (see PRECAUTIONS section).

All Oral Contraceptives (ALL ORAL CONTRACEPTIVES)

Breakthrough bleeding, spotting, and amenorrhea are frequent reasons for patients discontinuing oral contraceptives. In breakthrough bleeding, as in all cases of irregular bleeding from the vagina, non-functional causes should be borne in mind. In undiagnosed persistent or recurrent abnormal bleeding from the vagina, adequate diagnostic measures are indicated to rule out pregnancy or malignancy. If both pregnancy and pathology have been excluded, time or a change to another preparation may solve the problem. Changing to an oral contraceptive with a higher estrogen content, while potentially useful in minimizing menstrual irregularity, should be done only if necessary since this may increase the risk of thromboembolic disease.

Use of oral contraceptives in the event of a missed menstrual period:

  • If the patient has not adhered to the prescribed schedule, the possibility of pregnancy should be considered at the time of the first missed period and oral contraceptive use should be discontinued until pregnancy is ruled out.
  • If the patient has adhered to the prescribed regimen and misses two consecutive periods, pregnancy should be ruled out before continuing oral contraceptive use.
14. Hereditary Angioedema

In females with hereditary angioedema, exogenous estrogens may induce or exacerbate symptoms of angioedema.

Dosage and Administration (DOSAGE AND ADMINISTRATION)

To achieve maximum contraceptive effectiveness, Kariva® must be taken exactly as directed and at intervals not exceeding 24 hours. Kariva® may be initiated using either a Sunday start or a Day 1 start.

NOTE: Each cycle pack dispenser is preprinted with the days of the week, starting with Sunday, to facilitate a Sunday start regimen. Six different “day label strips” are provided with each cycle pack dispenser in order to accommodate a Day 1 start regimen. In this case, the patient should place the self-adhesive “day label strip” that corresponds to her starting day over the preprinted days.

IMPORTANT: The possibility of ovulation and conception prior to initiation of use of Kariva® should be considered.

The use of Kariva® for contraception may be initiated 4 weeks postpartum in women who elect not to breastfeed. When the tablets are administered during the postpartum period, the increased risk of thromboembolic disease associated with the postpartum period must be considered (see CONTRAINDICATIONS and WARNINGS concerning thromboembolic disease. See also PRECAUTIONS for Nursing mothers ).

If the patient starts on Kariva® postpartum, and has not yet had a period, she should be instructed to use another method of contraception until a white tablet has been taken daily for 7 days.

SUNDAY START

When initiating a Sunday start regimen, another method of contraception should be used until after the first 7 consecutive days of administration.

Using a Sunday start, tablets are taken daily without interruption as follows: The first white tablet should be taken on the first Sunday after menstruation begins (if menstruation begins on Sunday, the first white tablet is taken on that day). One white tablet is taken daily for 21 days, followed by 1 light-green (inert) tablet daily for 2 days and 1 light-blue (active) tablet daily for 5 days. For all subsequent cycles, the patient then begins a new 28-tablet regimen on the next day (Sunday) after taking the last light-blue tablet. [If switching from a Sunday start oral contraceptive, the first Kariva® (desogestrel/ethinyl estradiol and ethinyl estradiol) tablet should be taken on the second Sunday after the last tablet of a 21 day regimen or should be taken on the first Sunday after the last inactive tablet of a 28 day regimen.]

If a patient misses 1 white tablet, she should take the missed tablet as soon as she remembers. If the patient misses 2 consecutive white tablets in Week 1 or Week 2, the patient should take 2 tablets the day she remembers and 2 tablets the next day; thereafter, the patient should resume taking 1 tablet daily until she finishes the cycle pack. The patient should be instructed to use a back-up method of birth control if she has intercourse in the 7 days after missing pills. If the patient misses 2 consecutive white tablets in the third week or misses 3 or more white tablets in a row at any time during the cycle, the patient should keep taking 1 white tablet daily until the next Sunday. On Sunday the patient should throw out the rest of that cycle pack and start a new cycle pack that same day. The patient should be instructed to use a back-up method of birth control if she has intercourse in the 7 days after missing pills.

DAY 1 START

Counting the first day of menstruation as “Day 1”, tablets are taken without interruption as follows: One white tablet daily for 21 days, one light-green (inert) tablet daily for 2 days followed by 1 light-blue (ethinyl estradiol) tablet daily for 5 days. For all subsequent cycles, the patient then begins a new 28-tablet regimen on the next day after taking the last light-blue tablet. [If switching directly from another oral contraceptive, the first white tablet should be taken on the first day of menstruation which begins after the last ACTIVE tablet of the previous product.]

If a patient misses 1 white tablet, she should take the missed tablet as soon as she remembers. If the patient misses 2 consecutive white tablets in Week 1 or Week 2, the patient should take 2 tablets the day she remembers and 2 tablets the next day; thereafter, the patient should resume taking 1 tablet daily until she finishes the cycle pack. The patient should be instructed to use a back-up method of birth control if she has intercourse in the 7 days after missing pills. If the patient misses 2 consecutive white tablets in the third week or if the patient misses 3 or more white tablets in a row at any time during the cycle, the patient should throw out the rest of that cycle pack and start a new cycle pack that same day. The patient should be instructed to use a back-up method of birth control if she has intercourse in the 7 days after missing pills.

10. Elevated Blood Pressure (10. Elevated blood pressure)

An increase in blood pressure has been reported in women taking oral contraceptives (68) and this increase is more likely in older oral contraceptive users (69) and with continued use (61). Data from the Royal College of General Practitioners (12) and subsequent randomized trials have shown that the incidence of hypertension increases with increasing quantities of progestogens.

Women with a history of hypertension or hypertension-related diseases, or renal disease (70) should be encouraged to use another method of contraception. If women elect to use oral contraceptives, they should be monitored closely and if significant elevation of blood pressure occurs, oral contraceptives should be discontinued. For most women, elevated blood pressure will return to normal after stopping oral contraceptives (69), and there is no difference in the occurrence of hypertension between ever- and never-users (68, 70, 71).

12. Bleeding Irregularities (12. Bleeding irregularities)

Breakthrough bleeding and spotting are sometimes encountered in patients on oral contraceptives, especially during the first three months of use. Non-hormonal causes should be considered and adequate diagnostic measures taken to rule out malignancy or pregnancy in the event of breakthrough bleeding, as in the case of any abnormal vaginal bleeding. If pathology has been excluded, time or a change to another formulation may solve the problem. In the event of amenorrhea, pregnancy should be ruled out.

Some women may encounter post-pill amenorrhea or oligomenorrhea, especially when such a condition was pre-existent.

Patient Counseling Information (PATIENT COUNSELING INFORMATION)

Advise the patient to read the FDA-approved patient labeling (PATIENT PACKAGE INSERT BRIEF SUMMARY and DETAILED PATIENT PACKAGE INSERT).

  • Counsel patients that cigarette smoking increases the risk of serious cardiovascular events from COC use, and that women who are over 35 years old and smoke should not use COCs (see BOXED WARNING and CONTRAINDICATIONS ).
  • Counsel patients that the increased risk of venous thromboembolism compared to nonusers of CHCs is greatest after initially starting a CHC or restarting (following a 4-week or greater interruption in intake) the same or a different CHC (see WARNINGS ).
  • Counsel patients that this product does not protect against HIV-infection (AIDS) and other sexually transmitted infections.
  • Counsel patients to take one tablet daily by mouth at the same time every day. Instruct patients what to do in the event pills are missed (see DOSAGE AND ADMINISTRATION ).
  • Counsel patients to use a back-up or alternative method of contraception when enzyme inducers are used with COCs (see PRECAUTIONS ).
  • Counsel patients who are breastfeeding or who desire to breastfeed that COCs may reduce breast milk production. This is less likely to occur if breastfeeding is well established (see PRECAUTIONS ).
  • Counsel any patient who starts Kariva® postpartum, and who has not yet had a period, to use an additional method of contraception until she has taken a light-orange tablet for 7 consecutive days (see DOSAGE AND ADMINISTRATION ).
  • Counsel patients that amenorrhea may occur. Pregnancy should be considered in the event of amenorrhea, and should be ruled out if amenorrhea is associated with symptoms of pregnancy, such as morning sickness or unusual breast tenderness (see WARNINGS ).
  • Counsel patients with a history of depression that depression may reoccur. Women should contact their healthcare provider if depression occurs (see WARNINGS ).
Detailed Patient Package Insert (DETAILED PATIENT PACKAGE INSERT)

Kariva®

(desogestrel/ethinyl estradiol and ethinyl estradiol tablets USP)

This product (like all oral contraceptives) is intended to prevent pregnancy. It does not protect against HIV infection (AIDS) and other sexually transmitted infections.

Rx only

PLEASE NOTE: This labeling is revised from time to time as important new medical information becomes available. Therefore, please review this labeling carefully.

DESCRIPTION

The following oral contraceptive product contains a combination of a progestin and estrogen, the two kinds of female hormones:

Each white tablet contains 0.15 mg desogestrel and 0.02 mg ethinyl estradiol. Each light-green tablet contains inert ingredients and each light-blue tablet contains 0.01 mg ethinyl estradiol.

INTRODUCTION

Any woman who considers using oral contraceptives (the birth control pill or the pill) should understand the benefits and risks of using this form of birth control. This leaflet will give you much of the information you will need to make this decision and will also help you determine if you are at risk of developing any of the serious side effects of the pill. It will tell you how to use the pill properly so that it will be as effective as possible. However, this leaflet is not a replacement for a careful discussion between you and your doctor or healthcare provider. You should discuss the information provided in this leaflet with him or her, both when you first start taking the pill and during your revisits. You should also follow your doctor’s or healthcare provider’s advice with regard to regular check-ups while you are on the pill.

EFFECTIVENESS OF ORAL CONTRACEPTIVES

Oral contraceptives or “birth control pills” or “the pill” are used to prevent pregnancy and are more effective than other non-surgical methods of birth control. When they are taken correctly, the chance of becoming pregnant is less than 1% (1 pregnancy per 100 women per year of use) when used perfectly, without missing any pills. Typical failure rates are actually 5% per year. The chance of becoming pregnant increases with each missed pill during a menstrual cycle.

In comparison, typical failure rates for other methods of birth control during the first year of use are as follows:

 

Implants (2 or 6 capsules): <1%

 

Male sterilization: <1%

 

Injection: <1%

 

Cervical Cap with spermicides: 20 to 40%

 

IUD: <1 to 2%

 

Condom alone (male): 14%

 

Diaphragm with spermicides: 20%

 

Condom alone (female): 21%

 

Spermicides alone: 26%

 

Periodic abstinence: 25%

 

Vaginal sponge: 20 to 40%

 

Withdrawal: 19%

 

Female sterilization: <1%

 

No methods: 85%.

WHO SHOULD NOT TAKE ORAL CONTRACEPTIVES

Non Contraceptive Health Benefits (NON-CONTRACEPTIVE HEALTH BENEFITS)

The following non-contraceptive health benefits related to the use of oral contraceptives are supported by epidemiologic studies which largely utilized oral contraceptive formulations containing estrogen doses exceeding 0.035 mg of ethinyl estradiol or 0.05 mg of mestranol (73 to 78).

Effects on menses:

  • increased menstrual cycle regularity
  • decreased blood loss and decreased incidence of iron deficiency anemia
  • decreased incidence of dysmenorrhea

Effects related to inhibition of ovulation:

  • decreased incidence of functional ovarian cysts
  • decreased incidence of ectopic pregnancies

Effects from long-term use:

  • decreased incidence of fibroadenomas and fibrocystic disease of the breast
  • decreased incidence of acute pelvic inflammatory disease
  • decreased incidence of endometrial cancer
  • decreased incidence of ovarian cancer
2. Physical Examination and Follow Up (2. Physical examination and follow up)

It is good medical practice for all women to have annual history and physical examinations, including women using oral contraceptives. The physical examination, however, may be deferred until after initiation of oral contraceptives if requested by the woman and judged appropriate by the clinician. The physical examination should include special reference to blood pressure, breasts, abdomen, and pelvic organs, including cervical cytology, and relevant laboratory tests. In case of undiagnosed, persistent or recurrent abnormal vaginal bleeding, appropriate measures should be conducted to rule out malignancy. Women with a strong family history of breast cancer or who have breast nodules should be monitored with particular care.

8. Interactions With Laboratory Tests (8. Interactions with laboratory tests)

Certain endocrine and liver function tests and blood components may be affected by oral contraceptives:

  • Increased prothrombin and factors VII, VIII, IX and X; decreased antithrombin 3; increased norepinephrine-induced platelet aggregability.
  • Increased thyroid binding globulin (TBG) leading to increased circulating total thyroid hormone, as measured by protein-bound iodine (PBI), T4 by column or by radioimmunoassay. Free T3 resin uptake is decreased, reflecting the elevated TBG; free T4 concentration is unaltered.
  • Other binding proteins may be elevated in serum.
  • Sex hormone-binding globulins are increased and result in elevated levels of total circulating sex steroids; however, free or biologically active levels either decrease or remain unchanged.
  • High-density lipoprotein cholesterol (HDL-C) and triglycerides may be increased, while low-density lipoprotein cholesterol (LDL-C) and total cholesterol (Total-C) may be decreased or unchanged.
  • Glucose tolerance may be decreased.
  • Serum folate levels may be depressed by oral contraceptive therapy. This may be of clinical significance if a woman becomes pregnant shortly after discontinuing oral contraceptives.
Patient Package Insert brief Summary (PATIENT PACKAGE INSERT BRIEF SUMMARY)

Kariva®

(desogestrel/ethinyl estradiol and ethinyl estradiol tablets USP)

Package/label Display Panel, Part 2 of 2 (Package/Label Display Panel, PART 2 OF 2)
Package/label Display Panel, Part 1 of 2 (Package/Label Display Panel, PART 1 OF 2)

NDC 0555-9050-58

28 Day Regimen

6 Cyclic Tablet Dispensers x 28 Tablets

Kariva® (desogestrel/ethinyl estradiol and ethinyl estradiol tablets USP)

0.15 mg/0.02 mg and 0.01 mg

Each white tablet contains 0.15 mg desogestrel and 0.02 mg ethinyl estradiol, USP. Each light-green tablet contains inert ingredients and

each light-blue tablet contains 0.01 mg ethinyl estradiol, USP.

Rx only

9. Carbohydrate and Lipid Metabolic Effects (9. Carbohydrate and lipid metabolic effects)

Oral contraceptives have been shown to cause a decrease in glucose tolerance in a significant percentage of users (17). Oral contraceptives containing greater than 75 micrograms of estrogens cause hyperinsulinism, while lower doses of estrogen cause less glucose intolerance (65). Progestogens increase insulin secretion and create insulin resistance, this effect varying with different progestational agents (17, 66). However, in the non-diabetic woman, oral contraceptives appear to have no effect on fasting blood glucose (67). Because of these demonstrated effects, prediabetic and diabetic women should be carefully monitored while taking oral contraceptives.

A small proportion of women will have persistent hypertriglyceridemia while on the pill. As discussed earlier (see WARNINGS 1.a. and 1.d. ), changes in serum triglycerides and lipoprotein levels have been reported in oral contraceptive users.

2. Estimates of Mortality From Contraceptive Use (2. Estimates of mortality from contraceptive use)

One study gathered data from a variety of sources which have estimated the mortality rate associated with different methods of contraception at different ages (Table IV). These estimates include the combined risk of death associated with contraceptive methods plus the risk attributable to pregnancy in the event of method failure. Each method of contraception has its specific benefits and risks. The study concluded that with the exception of oral contraceptive users 35 and older who smoke and 40 and older who do not smoke, mortality associated with all methods of birth control is low and below that associated with childbirth.

The observation of a possible increase in risk of mortality with age for oral contraceptive users is based on data gathered in the 1970’s - but not reported until 1983 (35). However, current clinical practice involves the use of lower estrogen formulations combined with careful consideration of risk factors.

Because of these changes in practice and, also, because of some limited new data which suggest that the risk of cardiovascular disease with the use of oral contraceptives may now be less than previously observed (100, 101), the Fertility and Maternal Health Drugs Advisory Committee was asked to review the topic in 1989. The Committee concluded that although cardiovascular disease risks may be increased with oral contraceptive use after age 40 in healthy non-smoking women (even with the newer low-dose formulations), there are also greater potential health risks associated with pregnancy in older women and with the alternative surgical and medical procedures which may be necessary if such women do not have access to effective and acceptable means of contraception.

Therefore, the Committee recommended that the benefits of low-dose oral contraceptive use by healthy non-smoking women over 40 may outweigh the possible risks. Of course, older women, as all women who take oral contraceptives, should take the lowest possible dose formulation that is effective.

TABLE III: ANNUAL NUMBER OF BIRTH-RELATED OR METHOD-RELATED DEATHS ASSOCIATED WITH CONTROL OF FERTILITY PER 100,000 NON-STERILE WOMEN, BY FERTILITY CONTROL METHOD ACCORDING TO AGE

Method of control

and outcome

15 to 19

20 to 24

25 to 29

30 to 34

35 to 39

40 to 44

No fertility

control methodsa

7.0

7.4

9.1

14.8

25.7

28.2

Oral contraceptives

non-smokerb

0.3

0.5

0.9

1.9

13.8

31.6

Oral contraceptives

Smokerb

2.2

3.4

6.6

13.5

51.1

117.2

IUDb

0.8

0.8

1.0

1.0

1.4

1.4

Condoma

1.1

1.6

0.7

0.2

0.3

0.4

Diaphragm/spermicidea

1.9

1.2

1.2

1.3

2.2

2.8

Periodic abstinencea

2.5

1.6

1.6

1.7

2.9

3.6

Adapted from H.W. Ory, ref. #35.

a) Deaths are birth related

b) Deaths are method related

1. Thromboembolic Disorders and Other Vascular Problems (1. Thromboembolic disorders and other vascular problems)

a. Thromboembolism

An increased risk of thromboembolic and thrombotic disease associated with the use of oral contraceptives is well established. Case control studies have found the relative risk of users compared to non-users to be 3 for the first episode of superficial venous thromboembolic disease, 4 to 11 for deep vein thrombosis or pulmonary embolism, and 1.5 to 6 for women with predisposing conditions for venous thromboembolic disease (2, 3, 19 to 24). Cohort studies have shown the relative risk to be somewhat lower, about 3 for new cases and about 4.5 for new cases requiring hospitalization (25). The risk of thromboembolic disease associated with oral contraceptives is not related to length of use and disappears after pill use is stopped (2).

Several epidemiologic studies indicate that third generation oral contraceptives, including those containing desogestrel, are associated with a higher risk of venous thromboembolism than certain second generation oral contraceptives (102 to 104). In general, these studies indicate an approximate two-fold increased risk, which corresponds to an additional 1 to 2 cases of venous thromboembolism per 10,000 women-years of use. However, data from additional studies have not shown this two-fold increase in risk.

A two- to four-fold increase in relative risk of post-operative thromboembolic complications has been reported with the use of oral contraceptives (9, 26). The relative risk of venous thrombosis in women who have predisposing conditions is twice that of women without such medical conditions (9, 26). If feasible, oral contraceptives should be discontinued at least four weeks prior to and for two weeks after elective surgery of a type associated with an increase in risk of thromboembolism and during and following prolonged immobilization. Since the immediate postpartum period is also associated with an increased risk of thromboembolism, oral contraceptives should be started no earlier than four weeks after delivery in women who elect not to breastfeed.

b. Myocardial infarction

An increased risk of myocardial infarction has been attributed to oral contraceptive use. This risk is primarily in smokers or women with other underlying risk factors for coronary artery disease such as hypertension, hypercholesterolemia, morbid obesity, and diabetes. The relative risk of heart attack for current oral contraceptive users has been estimated to be two to six (4 to 10). The risk is very low in women under the age of 30.

Smoking in combination with oral contraceptive use has been shown to contribute substantially to the incidence of myocardial infarction in women in their mid-thirties or older with smoking accounting for the majority of excess cases (11). Mortality rates associated with circulatory disease have been shown to increase substantially in smokers, over the age of 35 and non-smokers over the age of 40 (Table III) among women who use oral contraceptives.

FIGURE 1: CIRCULATORY DISEASE MORTALITY RATES PER 100,000 WOMAN-YEARS BY AGE, SMOKING STATUS, AND ORAL CONTRACEPTIVE USE

Adapted from P.M. Layde and V. Beral, ref. #12.

 Oral contraceptives may compound the effects of well-known risk factors, such as hypertension, diabetes, hyperlipidemias, age and obesity (13). In particular, some progestogens are known to decrease HDL cholesterol and cause glucose intolerance, while estrogens may create a state of hyperinsulinism (14 to 18). Oral contraceptives have been shown to increase blood pressure among users (see section 10 in WARNINGS ). Similar effects on risk factors have been associated with an increased risk of heart disease. Oral contraceptives must be used with caution in women with cardiovascular disease risk factors.

c. Cerebrovascular diseases

Oral contraceptives have been shown to increase both the relative and attributable risks of cerebrovascular events (thrombotic and hemorrhagic strokes), although, in general, the risk is greatest among older (>35 years), hypertensive women who also smoke. Hypertension was found to be a risk factor for both users and non-users, for both types of strokes, while smoking interacted to increase the risk for hemorrhagic strokes (27 to 29).

In a large study, the relative risk of thrombotic strokes has been shown to range from 3 for normotensive users to 14 for users with severe hypertension (30). The relative risk of hemorrhagic stroke is reported to be 1.2 for non-smokers who used oral contraceptives, 2.6 for smokers who did not use oral contraceptives, 7.6 for smokers who used oral contraceptives, 1.8 for normotensive users and 25.7 for users with severe hypertension (30). The attributable risk is also greater in older women (3).

d. Dose-related risk of vascular disease from oral contraceptives

A positive association has been observed between the amount of estrogen and progestogen in oral contraceptives and the risk of vascular disease (31 to 33). A decline in serum high-density lipoproteins (HDL) has been reported with many progestational agents (14 to 16). A decline in serum high-density lipoproteins has been associated with an increased incidence of ischemic heart disease. Because estrogens increase HDL cholesterol, the net effect of an oral contraceptive depends on a balance achieved between doses of estrogen and progestogen and the nature and absolute amount of progestogens used in the contraceptives. The amount of both hormones should be considered in the choice of an oral contraceptive.

Minimizing exposure to estrogen and progestogen is in keeping with good principles of therapeutics. For any particular estrogen/progestogen combination, the dosage regimen prescribed should be one which contains the least amount of estrogen and progestogen that is compatible with a low failure rate and the needs of the individual patient. New acceptors of oral contraceptive agents should be started on preparations containing 0.035 mg or less of estrogen.

e. Persistence of risk of vascular disease

There are two studies which have shown persistence of risk of vascular disease for ever-users of oral contraceptives. In a study in the United States, the risk of developing myocardial infarction after discontinuing oral contraceptives persists for at least 9 years for women 40 to 49 years old who had used oral contraceptives for five or more years, but this increased risk was not demonstrated in other age groups (8). In another study in Great Britain, the risk of developing cerebrovascular disease persisted for at least 6 years after discontinuation of oral contraceptives, although excess risk was very small (34). However, both studies were performed with oral contraceptive formulations containing 50 micrograms or more of estrogen.

7. Oral Contraceptive Use Before Or During Early Pregnancy (7. Oral contraceptive use before or during early pregnancy)

Extensive epidemiologic studies have revealed no increased risk of birth defects in women who have used oral contraceptives prior to pregnancy (55 to 57). Studies also do not suggest a teratogenic effect, particularly in so far as cardiac anomalies and limb reduction defects are concerned (55, 56, 58, 59), when oral contraceptives are taken inadvertently during early pregnancy.

The administration of oral contraceptives to induce withdrawal bleeding should not be used as a test for pregnancy. Oral contraceptives should not be used during pregnancy to treat threatened or habitual abortion. It is recommended that for any patient who has missed two consecutive periods, pregnancy should be ruled out before continuing oral contraceptive use. If the patient has not adhered to the prescribed schedule, the possibility of pregnancy should be considered at the first missed period. Oral contraceptive use should be discontinued until pregnancy is ruled out.

5. Risk of Liver Enzyme Elevations With Concomitant Hepatitis C Treatment (5. Risk of Liver Enzyme Elevations with Concomitant Hepatitis C Treatment)

During clinical trials with the Hepatitis C combination drug regimen that contains ombitasvir/paritaprevir/ritonavir, with or without dasabuvir, ALT elevations greater than 5 times the upper limit of normal (ULN), including some cases greater than 20 times the ULN, were significantly more frequent in women using ethinyl estradiol-containing medications such as COCs. Discontinue Kariva® prior to starting therapy with the combination drug regimen ombitasvir/paritaprevir/ritonavir, with or without dasabuvir (see CONTRAINDICATIONS ). Kariva® can be restarted approximately 2 weeks following completion of treatment with the combination drug regimen.


Advanced Ingredient Data


Raw Label Data

All Sections (JSON)