Prednisone Tablets, Usp Rx Only

Prednisone Tablets, Usp Rx Only
SPL v3
SPL
SPL Set ID 7a92b171-52ca-4948-81fc-e9a30597c5d8
Route
ORAL
Published
Effective Date 2018-12-01
Document Type 34391-3 HUMAN PRESCRIPTION DRUG LABEL

Drug Facts

Composition & Product

Active Ingredients
Prednisone (1 mg)
Inactive Ingredients
Lactose, Unspecified Form Magnesium Stearate Sodium Lauryl Sulfate Starch, Corn Sodium Starch Glycolate Type A Potato

Identifiers & Packaging

Pill Appearance
Imprint: TL;171 Shape: round Color: white Size: 6 mm Score: 2
Marketing Status
ANDA Active Since 2005-06-06

Description

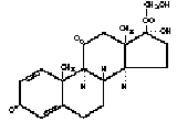
Prednisone is a glucocorticoid. Glucocorticoids are adrenocortical steroids, both naturally occurring and synthetic, which are readily absorbed from the gastrointestinal tract. The molecular formula for prednisone is C 21 H 26 O 5 . Chemically, it is 17,21-dihydroxypregna-1,4-diene-3,11,20-trione and has the following structural formula: Molecular weight: 358.44 Prednisone is a white to practically white, odorless, crystalline powder. It melts at about 230°C with some decomposition. Prednisone is very slightly soluble in water; slightly soluble in alcohol, in chloroform, in dioxane, and in methanol. Each tablet, for oral administration, contains 1 mg of prednisone. Inactive Ingredients: Lactose, Magnesium Stearate, Pregelatinized Starch, Sodium Lauryl Sulfate and Sodium Starch Glycolate.

Indications and Usage

Prednisone tablets are indicated in the following conditions: 1. Endocrine Disorders: Primary or secondary adrenocortical insufficiency (hydrocortisone or cortisone is the first choice; synthetic analogs may be used in conjunction with mineralocorticoids where applicable; in infancy mineralocorticoid supplementation is of particular importance). Congenital adrenal hyperplasia Nonsuppurative thyroiditis Hypercalcemia associated with cancer 2. Rheumatic Disorders As adjunctive therapy for short-term administration (to tide the patient over an acute episode or exacerbation) in: Psoriatic arthritis Rheumatoid arthritis, including juvenile rheumatoid arthritis (selected cases may require low-dose maintenance therapy) Ankylosing spondylitis Acute and subacute bursitis Acute nonspecific tenosynovitis Acute gouty arthritis Post-traumatic osteoarthritis Synovitis of osteoarthritis Epicondylitis. 3. Collagen Diseases During an exacerbation or as maintenance therapy in selected cases of: Systemic lupus erythematosus Systemic dermatomyositis (polymyositis) Acute rheumatic carditis 4. Dermatologic Diseases Pemphigus Bullous dermatitis herpetiformis Severe erythema multiforme (Stevens-Johnson syndrome) Exfoliative dermatitis Mycosis fungoides Severe psoriasis Severe seborrheic dermatitis 5. Allergic States Control of severe or incapacitating allergic conditions intractable to adequate trials of conventional treatment: Seasonal or perennial allergic rhinitis Bronchial asthma Contact dermatitis Atopic dermatitis Serum sickness Drug hypersensitivity reactions 6. Ophthalmic Diseases Severe acute and chronic allergic and inflammatory processes involving the eye and its adnexa such as: Allergic corneal marginal ulcers Herpes zoster ophthalmicus Anterior segment inflammation Diffuse posterior uveitis and choroiditis Sympathetic ophthalmia Allergic conjunctivitis Keratitis Chorioretinitis Optic neuritis Iritis and iridocyclitis 7. Respiratory Diseases Symptomatic sarcoidosis Loeffler's syndrome not manageable by other means Berylliosis Fulminating or disseminated pulmonary tuberculosis when used concurrently with appropriate antituberculous chemotherapy Aspiration pneumonitis 8. Hematologic Disorders Idiopathic thrombocytopenic purpura in adults Secondary thrombocytopenia in adults Acquired (autoimmune) hemolytic anemia Erythroblastopenia (RBC anemia) Congenital (erythroid) hypoplastic anemia 9. Neoplastic Diseases For palliative management of: Leukemias and lymphomas in adults Acute leukemia of childhood 10. Edematous States To induce a diuresis or remission of proteinuria in the nephrotic syndrome, without uremia, of the idiopathic type or that due to lupus erythematosus 11. Gastrointestinal Diseases To tide the patient over a critical period of the disease in: Ulcerative colitis Regional enteritis 12. Nervous System Acute exacerbations of multiple sclerosis 13. Miscellaneous Tuberculous meningitis with subarachnoid block or, impending block when used concurrently with appropriate antituberculous chemotherapy. Trichinosis with neurologic or myocardial involvement.

Dosage and Administration

The initial dosage of prednisone may vary from 5 mg to 60 mg per day depending on the specific disease entity being treated. In situations of less severity lower doses will generally suffice while in selected patients higher initial doses may be required. The initial dosage should be maintained or adjusted until a satisfactory response is noted. If after a reasonable period of time there is a lack of satisfactory clinical response, prednisone should be discontinued and the patient transferred to other appropriate therapy. IT SHOULD BE EMPHASIZED THAT DOSAGE REQUIREMENTS ARE VARIABLE AND MUST BE INDIVIDUALIZED ON THE BASIS OF THE DISEASE UNDER TREATMENT AND THE RESPONSE OF THE PATIENT. After a favorable response is noted, the proper maintenance dosage should be determined by decreasing the initial drug dosage in small decrements at appropriate time intervals until the lowest dosage which will maintain an adequate clinical response is reached. It should be kept in mind that constant monitoring is needed in regard to drug dosage. Included in the situations which may make dosage adjustments necessary are changes in clinical status secondary to remissions or exacerbations in the disease process, the patient's individual drug responsiveness, and the effect of patient exposure to stressful situations not directly related to the disease entity under treatment; in this latter situation it may be necessary to increase the dosage of prednisone for a period of time consistent with the patient’s condition. If after long-term therapy the drug is to be stopped, it is recommended that it be withdrawn gradually rather than abruptly. Multiple Sclerosis In the treatment of acute exacerbations of multiple sclerosis daily doses of 200 mg of prednisolone for a week followed by 80 mg every other day for 1 month have been shown to be effective. (Dosage range is the same for prednisone and prednisolone.) ADT ® (Alternate Day Therapy) ADT is a corticosteroid dosing regimen in which twice the usual daily dose of corticoid is administered every other morning. The purpose of this mode of therapy is to provide the patient requiring long-term pharmacologic dose treatment with the beneficial effects of corticoids while minimizing certain undesirable effects, including pituitary-adrenal suppression, the Cushingoid state, corticoid withdrawal symptoms, and growth suppression in children. The rationale for this treatment schedule is based on two major premises: (a) the anti-inflammatory or therapeutic effect of corticoids persists longer than their physical presence and metabolic effects and (b) administration of the corticosteroid every other morning allows for re-establishment of more nearly normal hypothalamic-pituitary-adrenal (HPA) activity on the off-steroid day. A brief review of the HPA physiology may be helpful in understanding this rationale. Acting primarily through the hypothalamus a fall in free cortisol stimulates the pituitary gland to produce increasing amounts of corticotropin (ACTH) while a rise in free cortisol inhibits ACTH secretion. Normally the HPA system is characterized by diurnal (circadian) rhythm. Serum levels of ACTH rise from a low point about 10 pm to a peak level about 6 am. Increasing levels of ACTH stimulate adrenocortical activity resulting in a rise in plasma cortisol with maximal levels occurring between 2 am and 8 am. This rise in cortisol dampens ACTH production and in turn adrenocortical activity. There is a gradual fall in plasma corticoids during the day with lowest levels occurring about midnight. The diurnal rhythm of the HPA axis is lost in Cushing's disease, a syndrome of adrenocortical hyperfunction characterized by obesity with centripetal fat distribution, thinning of the skin with easy bruisability, muscle wasting with weakness, hypertension, latent diabetes, osteoporosis, electrolyte imbalance, etc. The same clinical findings of hyperadrenocorticism may be noted during long-term pharmacologic dose corticoid therapy administered in conventional daily divided doses. It would appear, then, that a disturbance in the diurnal cycle with maintenance of elevated corticoid values during the night may play a significant role in the development of undesirable corticoid effects. Escape from these constantly elevated plasma levels for even short periods of time may be instrumental in protecting against undesirable pharmacologic effects. During conventional pharmacologic dose corticosteroid therapy, ACTH production is inhibited with subsequent suppression of cortisol production by the adrenal cortex. Recovery time for normal HPA activity is variable depending upon the dose and duration of treatment. During this time the patient is vulnerable to any stressful situation. Although it has been shown that there is considerably less adrenal suppression following a single morning dose of prednisolone (10 mg) as opposed to a quarter of that dose administered every 6 hours, there is evidence that some suppressive effect on adrenal activity may be carried over into the following day when pharmacologic doses are used. Further, it has been shown that a single dose of certain corticosteroids will produce adrenocortical suppression for two or more days. Other corticoids, including methylprednisolone, hydrocortisone, prednisone, and prednisolone, are considered to be short acting (producing adrenocortical suppression for 1 1/4 to 1 1/2 days following a single dose) and thus are recommended for alternate day therapy. The following should be kept in mind when considering alternate day therapy: 1) Basic principles and indications for corticosteroid therapy should apply. The benefits of ADT should not encourage the indiscriminate use of steroids. 2) ADT is a therapeutic technique primarily designed for patients in whom long-term pharmacologic corticoid therapy is anticipated. 3) In less severe disease processes in which corticoid therapy is indicated, it may be possible to initiate treatment with ADT. More severe disease states usually will require daily divided high dose therapy for initial control of the disease process. The initial suppressive dose level should be continued until satisfactory clinical response is obtained, usually four to ten days in the case of many allergic and collagen diseases. It is important to keep the period of initial suppressive dose as brief as possible particularly when subsequent use of alternate day therapy is intended. Once control has been established, two courses are available: (a) change to ADT and then gradually reduce the amount of corticoid given every other day or (b) following control of the disease process reduce the daily dose of corticoid to the lowest effective level as rapidly as possible and then change over to an alternate day schedule. Theoretically, course (a) may be preferable. 4) Because of the advantages of ADT, it may be desirable to try patients on this form of therapy who have been on daily corticoids for long periods of time (e.g., patients with rheumatoid arthritis). Since these patients may already have a suppressed HPA axis, establishing them on ADT may be difficult and not always successful. However, it is recommended that regular attempts be made to change them over. It may be helpful to triple or even quadruple the daily maintenance dose and administer this every other day rather than just doubling the daily dose if difficulty is encountered. Once the patient is again controlled, an attempt should be made to reduce this dose to a minimum. 5) As indicated above, certain corticosteroids, because of their prolonged suppressive effect on adrenal activity, are not recommended for alternate day therapy (e.g., dexamethasone and betamethasone). 6) The maximal activity of the adrenal cortex is between 2 am and 8 am, and it is minimal between 4 pm and midnight. Exogenous corticosteroids suppress adrenocortical activity the least, when given at the time of maximal activity (am). 7) In using ADT it is important, as in all therapeutic situations to individualize and tailor the therapy to each patient. Complete control of symptoms will not be possible in all patients. An explanation of the benefits of ADT will help the patient to understand and tolerate the possible flare-up in symptoms which may occur in the latter part of the off-steroid day. Other symptomatic therapy may be added or increased at this time if needed. 8) In the event of an acute flare-up of the disease process, it may be necessary to return to a full suppressive daily divided corticoid dose for control. Once control is again established alternate day therapy may be re-instituted. 9) Although many of the undesirable features of corticosteroid therapy can be minimized by ADT, as in any therapeutic situation, the physician must carefully weigh the benefit-risk ratio for each patient in whom corticoid therapy is being considered.

Contraindications

Prednisone tablets are contraindicated in systemic fungal infections and known hypersensitivity to components.

Adverse Reactions

Fluid and Electrolyte Disturbances: Sodium retention. Fluid retention. Congestive heart failure in susceptible patients. Potassium loss. Hypokalemic alkalosis. Hypertension. Musculoskeletal: Muscle weakness. Steroid myopathy. Loss of muscle mass. Osteoporosis. Vertebral compression fractures. Aseptic necrosis of femoral and humeral heads. Pathologic fracture of long bones. Gastrointestinal: Peptic ulcer with possible perforation and hemorrhage. Pancreatitis. Abdominal distention. Ulcerative esophagitis. Dermatologic: Impaired wound healing. Thin fragile skin. Petechiae and ecchymoses. Facial erythema. Increased sweating. May suppress reactions to skin tests. Metabolic: Negative nitrogen balance due to protein catabolism. Neurological: Convulsions Increased intracranial pressure with papilledema (pseudo-tumor cerebri) usually after treatment. Vertigo. Headache. Endocrine: Menstrual irregularities. Development of Cushingoid state. Suppression of growth in children. Secondary adrenocortical and pituitary unresponsiveness, particularly in times of stress, as in trauma, surgery or illness. Decreased carbohydrate tolerance. Manifestations of latent diabetes mellitus. Increased requirements for insulin or oral hypoglycemic agents in diabetics.   Ophthalmic: Posterior subcapsular cataracts. Increased intraocular pressure. Glaucoma. Exophthalmos. Additional Reactions: Urticaria and other allergic, anaphylactic or hypersensitivity reactions.

How Supplied

Prednisone Tablets, USP are available in the following strengths and package sizes: 1 mg (White, round tablets debossed with "TL 171" on one side and scored on the other side.) Bottles of 05               NDC 71205-089-05 Bottles of 06               NDC 71205-089-06 Bottles of 07               NDC 71205-089-07 Bottles of 08               NDC 71205-089-08 Bottles of 10               NDC 71205-089-10 Bottles of 12               NDC 71205-089-12 Bottles of 15               NDC 71205-089-15 Bottles of 18               NDC 71205-089-18 Bottles of 20               NDC 71205-089-20 Bottles of 21               NDC 71205-089-21 Bottles of 24               NDC 71205-089-24 Bottles of 27               NDC 71205-089-27 Bottles of 30               NDC 71205-089-30 Bottles of 36               NDC 71205-089-36 Bottles of 40               NDC 71205-089-40 Bottles of 42               NDC 71205-089-42 Bottles of 100               NDC 71205-089-00 Store at 20 o to 25 o C (68 o to 77 o F) [See USP Controlled Room Temperature]. Manufactured by: Jubilant Cadista Pharmaceuticals Inc. Salisbury, MD 21801, USA Revised 01/2018 Relabeled By; Proficient Rx LP Thousand Oaks CA 91320


Medication Information

Indications and Usage

Prednisone tablets are indicated in the following conditions:

1. Endocrine Disorders:

Primary or secondary adrenocortical insufficiency (hydrocortisone or cortisone is the first choice; synthetic analogs may be used in conjunction with mineralocorticoids where applicable; in infancy mineralocorticoid supplementation is of particular importance).

Congenital adrenal hyperplasia

Nonsuppurative thyroiditis

Hypercalcemia associated with cancer

2. Rheumatic Disorders

As adjunctive therapy for short-term administration (to tide the patient over an acute episode or exacerbation) in:

Psoriatic arthritis

Rheumatoid arthritis, including juvenile rheumatoid arthritis (selected cases may require low-dose maintenance therapy)

Ankylosing spondylitis

Acute and subacute bursitis

Acute nonspecific tenosynovitis

Acute gouty arthritis

Post-traumatic osteoarthritis

Synovitis of osteoarthritis

Epicondylitis.

3. Collagen Diseases

During an exacerbation or as maintenance therapy in selected cases of:

Systemic lupus erythematosus

Systemic dermatomyositis (polymyositis)

Acute rheumatic carditis

4. Dermatologic Diseases

Pemphigus

Bullous dermatitis herpetiformis

Severe erythema multiforme (Stevens-Johnson syndrome)

Exfoliative dermatitis

Mycosis fungoides

Severe psoriasis

Severe seborrheic dermatitis

5. Allergic States

Control of severe or incapacitating allergic conditions intractable to adequate trials of conventional treatment:

Seasonal or perennial allergic rhinitis

Bronchial asthma

Contact dermatitis

Atopic dermatitis

Serum sickness

Drug hypersensitivity reactions

6. Ophthalmic Diseases

Severe acute and chronic allergic and inflammatory processes involving the eye and its adnexa such as:

Allergic corneal marginal ulcers

Herpes zoster ophthalmicus

Anterior segment inflammation

Diffuse posterior uveitis and choroiditis

Sympathetic ophthalmia

Allergic conjunctivitis

Keratitis

Chorioretinitis

Optic neuritis

Iritis and iridocyclitis

7. Respiratory Diseases

Symptomatic sarcoidosis

Loeffler's syndrome not manageable by other means

Berylliosis

Fulminating or disseminated pulmonary tuberculosis when used concurrently with appropriate antituberculous chemotherapy

Aspiration pneumonitis

8. Hematologic Disorders

Idiopathic thrombocytopenic purpura in adults

Secondary thrombocytopenia in adults

Acquired (autoimmune) hemolytic anemia

Erythroblastopenia (RBC anemia)

Congenital (erythroid) hypoplastic anemia

9. Neoplastic Diseases

For palliative management of:

Leukemias and lymphomas in adults

Acute leukemia of childhood

10. Edematous States

To induce a diuresis or remission of proteinuria in the nephrotic syndrome, without uremia, of the idiopathic type or that due to lupus erythematosus

11. Gastrointestinal Diseases

To tide the patient over a critical period of the disease in:

Ulcerative colitis

Regional enteritis

12. Nervous System

Acute exacerbations of multiple sclerosis

13. Miscellaneous

Tuberculous meningitis with subarachnoid block or, impending block when used concurrently with appropriate antituberculous chemotherapy.

Trichinosis with neurologic or myocardial involvement.

Dosage and Administration

The initial dosage of prednisone may vary from 5 mg to 60 mg per day depending on the specific disease entity being treated. In situations of less severity lower doses will generally suffice while in selected patients higher initial doses may be required. The initial dosage should be maintained or adjusted until a satisfactory response is noted. If after a reasonable period of time there is a lack of satisfactory clinical response, prednisone should be discontinued and the patient transferred to other appropriate therapy.

IT SHOULD BE EMPHASIZED THAT DOSAGE REQUIREMENTS ARE VARIABLE AND MUST BE INDIVIDUALIZED ON THE BASIS OF THE DISEASE UNDER TREATMENT AND THE RESPONSE OF THE PATIENT.

After a favorable response is noted, the proper maintenance dosage should be determined by decreasing the initial drug dosage in small decrements at appropriate time intervals until the lowest dosage which will maintain an adequate clinical response is reached. It should be kept in mind that constant monitoring is needed in regard to drug dosage. Included in the situations which may make dosage adjustments necessary are changes in clinical status secondary to remissions or exacerbations in the disease process, the patient's individual drug responsiveness, and the effect of patient exposure to stressful situations not directly related to the disease entity under treatment; in this latter situation it may be necessary to increase the dosage of prednisone for a period of time consistent with the patient’s condition. If after long-term therapy the drug is to be stopped, it is recommended that it be withdrawn gradually rather than abruptly.

Multiple Sclerosis

In the treatment of acute exacerbations of multiple sclerosis daily doses of 200 mg of prednisolone for a week followed by 80 mg every other day for 1 month have been shown to be effective. (Dosage range is the same for prednisone and prednisolone.)

ADT ® (Alternate Day Therapy)

ADT is a corticosteroid dosing regimen in which twice the usual daily dose of corticoid is administered every other morning. The purpose of this mode of therapy is to provide the patient requiring long-term pharmacologic dose treatment with the beneficial effects of corticoids while minimizing certain undesirable effects, including pituitary-adrenal suppression, the Cushingoid state, corticoid withdrawal symptoms, and growth suppression in children.

The rationale for this treatment schedule is based on two major premises: (a) the anti-inflammatory or therapeutic effect of corticoids persists longer than their physical presence and metabolic effects and (b) administration of the corticosteroid every other morning allows for re-establishment of more nearly normal hypothalamic-pituitary-adrenal (HPA) activity on the off-steroid day.

A brief review of the HPA physiology may be helpful in understanding this rationale. Acting primarily through the hypothalamus a fall in free cortisol stimulates the pituitary gland to produce increasing amounts of corticotropin (ACTH) while a rise in free cortisol inhibits ACTH secretion. Normally the HPA system is characterized by diurnal (circadian) rhythm. Serum levels of ACTH rise from a low point about 10 pm to a peak level about 6 am. Increasing levels of ACTH stimulate adrenocortical activity resulting in a rise in plasma cortisol with maximal levels occurring between 2 am and 8 am. This rise in cortisol dampens ACTH production and in turn adrenocortical activity. There is a gradual fall in plasma corticoids during the day with lowest levels occurring about midnight.

The diurnal rhythm of the HPA axis is lost in Cushing's disease, a syndrome of adrenocortical hyperfunction characterized by obesity with centripetal fat distribution, thinning of the skin with easy bruisability, muscle wasting with weakness, hypertension, latent diabetes, osteoporosis, electrolyte imbalance, etc. The same clinical findings of hyperadrenocorticism may be noted during long-term pharmacologic dose corticoid therapy administered in conventional daily divided doses. It would appear, then, that a disturbance in the diurnal cycle with maintenance of elevated corticoid values during the night may play a significant role in the development of undesirable corticoid effects. Escape from these constantly elevated plasma levels for even short periods of time may be instrumental in protecting against undesirable pharmacologic effects.

During conventional pharmacologic dose corticosteroid therapy, ACTH production is inhibited with subsequent suppression of cortisol production by the adrenal cortex. Recovery time for normal HPA activity is variable depending upon the dose and duration of treatment. During this time the patient is vulnerable to any stressful situation. Although it has been shown that there is considerably less adrenal suppression following a single morning dose of prednisolone (10 mg) as opposed to a quarter of that dose administered every 6 hours, there is evidence that some suppressive effect on adrenal activity may be carried over into the following day when pharmacologic doses are used. Further, it has been shown that a single dose of certain corticosteroids will produce adrenocortical suppression for two or more days. Other corticoids, including methylprednisolone, hydrocortisone, prednisone, and prednisolone, are considered to be short acting (producing adrenocortical suppression for 11/4 to 11/2 days following a single dose) and thus are recommended for alternate day therapy.

The following should be kept in mind when considering alternate day therapy:

1) Basic principles and indications for corticosteroid therapy should apply. The benefits of ADT should not encourage the indiscriminate use of steroids.

2) ADT is a therapeutic technique primarily designed for patients in whom long-term pharmacologic corticoid therapy is anticipated.

3) In less severe disease processes in which corticoid therapy is indicated, it may be possible to initiate treatment with ADT. More severe disease states usually will require daily divided high dose therapy for initial control of the disease process. The initial suppressive dose level should be continued until satisfactory clinical response is obtained, usually four to ten days in the case of many allergic and collagen diseases. It is important to keep the period of initial suppressive dose as brief as possible particularly when subsequent use of alternate day therapy is intended.

Once control has been established, two courses are available: (a) change to ADT and then gradually reduce the amount of corticoid given every other day or (b) following control of the disease process reduce the daily dose of corticoid to the lowest effective level as rapidly as possible and then change over to an alternate day schedule. Theoretically, course (a) may be preferable.

4) Because of the advantages of ADT, it may be desirable to try patients on this form of therapy who have been on daily corticoids for long periods of time (e.g., patients with rheumatoid arthritis). Since these patients may already have a suppressed HPA axis, establishing them on ADT may be difficult and not always successful. However, it is recommended that regular attempts be made to change them over. It may be helpful to triple or even quadruple the daily maintenance dose and administer this every other day rather than just doubling the daily dose if difficulty is encountered. Once the patient is again controlled, an attempt should be made to reduce this dose to a minimum.

5) As indicated above, certain corticosteroids, because of their prolonged suppressive effect on adrenal activity, are not recommended for alternate day therapy (e.g., dexamethasone and betamethasone).

6) The maximal activity of the adrenal cortex is between 2 am and 8 am, and it is minimal between 4 pm and midnight. Exogenous corticosteroids suppress adrenocortical activity the least, when given at the time of maximal activity (am).

7) In using ADT it is important, as in all therapeutic situations to individualize and tailor the therapy to each patient. Complete control of symptoms will not be possible in all patients. An explanation of the benefits of ADT will help the patient to understand and tolerate the possible flare-up in symptoms which may occur in the latter part of the off-steroid day. Other symptomatic therapy may be added or increased at this time if needed.

8) In the event of an acute flare-up of the disease process, it may be necessary to return to a full suppressive daily divided corticoid dose for control. Once control is again established alternate day therapy may be re-instituted.

9) Although many of the undesirable features of corticosteroid therapy can be minimized by ADT, as in any therapeutic situation, the physician must carefully weigh the benefit-risk ratio for each patient in whom corticoid therapy is being considered.

Contraindications

Prednisone tablets are contraindicated in systemic fungal infections and known hypersensitivity to components.

Adverse Reactions

Fluid and Electrolyte Disturbances:

Sodium retention.

Fluid retention.

Congestive heart failure in susceptible patients.

Potassium loss.

Hypokalemic alkalosis.

Hypertension.

Musculoskeletal:

Muscle weakness.

Steroid myopathy.

Loss of muscle mass.

Osteoporosis.

Vertebral compression fractures.

Aseptic necrosis of femoral and humeral heads.

Pathologic fracture of long bones.

Gastrointestinal:

Peptic ulcer with possible perforation and hemorrhage.

Pancreatitis.

Abdominal distention.

Ulcerative esophagitis.

Dermatologic:

Impaired wound healing.

Thin fragile skin.

Petechiae and ecchymoses.

Facial erythema.

Increased sweating.

May suppress reactions to skin tests.

Metabolic:

Negative nitrogen balance due to protein catabolism.

Neurological:

Convulsions

Increased intracranial pressure with papilledema (pseudo-tumor cerebri) usually after treatment.

Vertigo.

Headache.

Endocrine:

Menstrual irregularities.

Development of Cushingoid state.

Suppression of growth in children.

Secondary adrenocortical and pituitary unresponsiveness, particularly in times of stress, as in trauma, surgery or illness.

Decreased carbohydrate tolerance.

Manifestations of latent diabetes mellitus.

Increased requirements for insulin or oral hypoglycemic agents in diabetics.

 Ophthalmic:

Posterior subcapsular cataracts.

Increased intraocular pressure.

Glaucoma.

Exophthalmos.

Additional Reactions:

Urticaria and other allergic, anaphylactic or hypersensitivity reactions.

How Supplied

Prednisone Tablets, USP are available in the following strengths and package sizes:

1 mg (White, round tablets debossed with "TL 171" on one side and scored on the other side.)

Bottles of 05               NDC 71205-089-05

Bottles of 06               NDC 71205-089-06

Bottles of 07               NDC 71205-089-07

Bottles of 08               NDC 71205-089-08

Bottles of 10               NDC 71205-089-10

Bottles of 12               NDC 71205-089-12

Bottles of 15               NDC 71205-089-15

Bottles of 18               NDC 71205-089-18

Bottles of 20               NDC 71205-089-20

Bottles of 21               NDC 71205-089-21

Bottles of 24               NDC 71205-089-24

Bottles of 27               NDC 71205-089-27

Bottles of 30               NDC 71205-089-30

Bottles of 36               NDC 71205-089-36

Bottles of 40               NDC 71205-089-40

Bottles of 42               NDC 71205-089-42

Bottles of 100               NDC 71205-089-00

Store at 20o to 25oC (68o to 77oF) [See USP Controlled Room Temperature].

Manufactured by:

Jubilant Cadista Pharmaceuticals Inc.

Salisbury, MD 21801, USA

Revised 01/2018

Relabeled By;

Proficient Rx LP

Thousand Oaks CA 91320

Description

Prednisone is a glucocorticoid. Glucocorticoids are adrenocortical steroids, both naturally occurring and synthetic, which are readily absorbed from the gastrointestinal tract. The molecular formula for prednisone is C21H26O5. Chemically, it is 17,21-dihydroxypregna-1,4-diene-3,11,20-trione and has the following structural formula:

Molecular weight: 358.44

Prednisone is a white to practically white, odorless, crystalline powder. It melts at about 230°C with some decomposition. Prednisone is very slightly soluble in water; slightly soluble in alcohol, in chloroform, in dioxane, and in methanol.

Each tablet, for oral administration, contains 1 mg of prednisone.

Inactive Ingredients: Lactose, Magnesium Stearate, Pregelatinized Starch, Sodium Lauryl Sulfate and Sodium Starch Glycolate.

General

Drug-induced secondary adrenocortical insufficiency may be minimized by gradual reduction of dosage. This type of relative insufficiency may persist for months after discontinuation of therapy; therefore, in any situation of stress occurring during that period, hormone therapy should be reinstituted. Since mineralocorticoid secretion may be impaired, salt and/or a mineralocorticoid should be administered concurrently.

There is an enhanced effect of corticosteroids on patients with hypothyroidism and in those with cirrhosis.

Corticosteroids should be used cautiously in patients with ocular herpes simplex because of possible corneal perforation.

The lowest possible dose of corticosteroid should be used to control the condition under treatment, and when reduction in dosage is possible, the reduction should be gradual.

Aspirin should be used cautiously in conjunction with corticosteroids in hypoprothrombinemia.

Psychic derangements may appear when corticosteroids are used, ranging from euphoria, insomnia, mood swings, personality changes, and severe depression, to frank psychotic manifestations. Also, existing emotional instability or psychotic tendencies may be aggravated by corticosteroids.

Steroids should be used with caution in nonspecific ulcerative colitis, if there is a probability of impending perforation, abscess or other pyogenic infection; diverticulitis; fresh intestinal anastomoses; active or latent peptic ulcer; renal insufficiency; hypertension; osteoporosis; and myasthenia gravis.

Growth and development of infants and children on prolonged corticosteroid therapy should be carefully observed.

Although controlled clinical trials have shown corticosteroids to be effective in speeding the resolution of acute exacerbations of multiple sclerosis, they do not show that corticosteroids affect the ultimate outcome or natural history of the disease. The studies do show that relatively high doses of corticosteroids are necessary to demonstrate a significant effect. (See DOSAGE AND ADMINISTRATION)

Since complications of treatment with glucocorticoids are dependent on the size of the dose and the duration of treatment, a risk/benefit decision must be made in each individual case as to dose and duration of treatment and as to whether daily or intermittent therapy should be used.

Convulsions have been reported with concurrent use of methylprednisolone and cyclosporine. Since concurrent use of these agents results in a mutual inhibition of metabolism, it is possible that adverse events associated with the individual use of either drug may be more apt to occur.

Warnings

In patients on corticosteroid therapy subjected to unusual stress, increased dosage of rapidly acting corticosteroids before, during, and after the stressful situation is indicated.

Corticosteroids may mask some signs of infection, and new infections may appear during their use. There may be decreased resistance and inability to localize infection when corticosteroids are used.

Prolonged use of corticosteroids may produce posterior subcapsular cataracts, glaucoma with possible damage to the optic nerves, and may enhance the establishment of secondary ocular infections due to fungi or viruses.

Package Label

NDC 71205-089-00



PredniSONE Tablets, USP



1 mg



100 Tablets



Rx only



Each tablet contains: Prednisone 1 mg.



See package brochure for complete prescribing information.



Store at 20-25°C (68-77°F)

[See USP Controlled Room temperature]. 



Protect from moisture.



Dispense in a well-closed container as defined in the USP/NF.



Manufactured by:

Jubilant Cadista Pharmaceuticals Inc.

Salisbury, MD 21801, USA



Rev. # 03/17

Relabeled By:

Proficient Rx LP.

Thousand Oaks CA 91320

Usage in Pregnancy

Since adequate human reproduction studies have not been done with corticosteroids, the use of these drugs in pregnancy, nursing mothers or women of childbearing potential requires that the possible benefits of the drug be weighed against the potential hazards to the mother and embryo or fetus. Infants born of mothers who have received substantial doses of corticosteroids during pregnancy, should be carefully observed for signs of hypoadrenalism.

Average and large doses of hydrocortisone or cortisone can cause elevation of blood pressure, salt and water retention, and increased excretion of potassium. These effects are less likely to occur with the synthetic derivatives except when used in large doses. Dietary salt restriction and potassium supplementation may be necessary. All corticosteroids increase calcium excretion.

While on corticosteroid therapy patients should not be vaccinated against smallpox. Other immunization procedures should not be undertaken in patients who are on corticosteroids, especially on high dose, because of possible hazards of neurological complications and a lack of antibody response.

The use of prednisone tablets in active tuberculosis should be restricted to those cases of fulminating or disseminated tuberculosis in which the corticosteroid is used for the management of the disease in conjunction with an appropriate anti-tuberculous regimen.

If corticosteroids are indicated in patients with latent tuberculosis or tuberculin reactivity, close observation is necessary as reactivation of the disease may occur. During prolonged corticosteroid therapy, these patients should receive chemoprophylaxis.

Persons who are on drugs which suppress the immune system are more susceptible to infections than healthy individuals. Chickenpox and measles, for example, can have a more serious or even fatal course in non-immune children or adults on corticosteroids. In such children or adults who have not had these diseases, particular care should be taken to avoid exposure. How the dose, route and duration of corticosteroid administration affects the risk of developing a disseminated infection is not known.

The contribution of the underlying disease and/or prior corticosteroid treatment to the risk is also not known. If exposed to chickenpox, prophylaxis with varicella-zoster immune globulin (VZIG) may be indicated. If exposed to measles, prophylaxis with pooled intramuscular immunoglobulin (IG) may be indicated. (See the respective package inserts for complete VZIG and IG prescribing information.) If chickenpox develops, treatment with antiviral agents may be considered.

Clinical Pharmacology

Naturally occurring glucocorticoids (hydrocortisone and cortisone), which also have salt-retaining properties, are used as replacement therapy in adrenocortical deficiency states. Their synthetic analogs, such as prednisone, are primarily used for their potent anti-inflammatory effects in disorders of many organ systems.

Glucocorticoids, cause profound and varied metabolic effects. In addition, they modify the body’s immune responses to diverse stimuli.

Information for the Patient

Persons who are on immunosuppressant doses of corticosteroids should be warned to avoid exposure to chickenpox or measles. Patients should also be advised that if they are exposed, medical advice should be sought without delay.


Structured Label Content

General

Drug-induced secondary adrenocortical insufficiency may be minimized by gradual reduction of dosage. This type of relative insufficiency may persist for months after discontinuation of therapy; therefore, in any situation of stress occurring during that period, hormone therapy should be reinstituted. Since mineralocorticoid secretion may be impaired, salt and/or a mineralocorticoid should be administered concurrently.

There is an enhanced effect of corticosteroids on patients with hypothyroidism and in those with cirrhosis.

Corticosteroids should be used cautiously in patients with ocular herpes simplex because of possible corneal perforation.

The lowest possible dose of corticosteroid should be used to control the condition under treatment, and when reduction in dosage is possible, the reduction should be gradual.

Aspirin should be used cautiously in conjunction with corticosteroids in hypoprothrombinemia.

Psychic derangements may appear when corticosteroids are used, ranging from euphoria, insomnia, mood swings, personality changes, and severe depression, to frank psychotic manifestations. Also, existing emotional instability or psychotic tendencies may be aggravated by corticosteroids.

Steroids should be used with caution in nonspecific ulcerative colitis, if there is a probability of impending perforation, abscess or other pyogenic infection; diverticulitis; fresh intestinal anastomoses; active or latent peptic ulcer; renal insufficiency; hypertension; osteoporosis; and myasthenia gravis.

Growth and development of infants and children on prolonged corticosteroid therapy should be carefully observed.

Although controlled clinical trials have shown corticosteroids to be effective in speeding the resolution of acute exacerbations of multiple sclerosis, they do not show that corticosteroids affect the ultimate outcome or natural history of the disease. The studies do show that relatively high doses of corticosteroids are necessary to demonstrate a significant effect. (See DOSAGE AND ADMINISTRATION)

Since complications of treatment with glucocorticoids are dependent on the size of the dose and the duration of treatment, a risk/benefit decision must be made in each individual case as to dose and duration of treatment and as to whether daily or intermittent therapy should be used.

Convulsions have been reported with concurrent use of methylprednisolone and cyclosporine. Since concurrent use of these agents results in a mutual inhibition of metabolism, it is possible that adverse events associated with the individual use of either drug may be more apt to occur.

Warnings (WARNINGS)

In patients on corticosteroid therapy subjected to unusual stress, increased dosage of rapidly acting corticosteroids before, during, and after the stressful situation is indicated.

Corticosteroids may mask some signs of infection, and new infections may appear during their use. There may be decreased resistance and inability to localize infection when corticosteroids are used.

Prolonged use of corticosteroids may produce posterior subcapsular cataracts, glaucoma with possible damage to the optic nerves, and may enhance the establishment of secondary ocular infections due to fungi or viruses.

Description (DESCRIPTION)

Prednisone is a glucocorticoid. Glucocorticoids are adrenocortical steroids, both naturally occurring and synthetic, which are readily absorbed from the gastrointestinal tract. The molecular formula for prednisone is C21H26O5. Chemically, it is 17,21-dihydroxypregna-1,4-diene-3,11,20-trione and has the following structural formula:

Molecular weight: 358.44

Prednisone is a white to practically white, odorless, crystalline powder. It melts at about 230°C with some decomposition. Prednisone is very slightly soluble in water; slightly soluble in alcohol, in chloroform, in dioxane, and in methanol.

Each tablet, for oral administration, contains 1 mg of prednisone.

Inactive Ingredients: Lactose, Magnesium Stearate, Pregelatinized Starch, Sodium Lauryl Sulfate and Sodium Starch Glycolate.

How Supplied (HOW SUPPLIED)

Prednisone Tablets, USP are available in the following strengths and package sizes:

1 mg (White, round tablets debossed with "TL 171" on one side and scored on the other side.)

Bottles of 05               NDC 71205-089-05

Bottles of 06               NDC 71205-089-06

Bottles of 07               NDC 71205-089-07

Bottles of 08               NDC 71205-089-08

Bottles of 10               NDC 71205-089-10

Bottles of 12               NDC 71205-089-12

Bottles of 15               NDC 71205-089-15

Bottles of 18               NDC 71205-089-18

Bottles of 20               NDC 71205-089-20

Bottles of 21               NDC 71205-089-21

Bottles of 24               NDC 71205-089-24

Bottles of 27               NDC 71205-089-27

Bottles of 30               NDC 71205-089-30

Bottles of 36               NDC 71205-089-36

Bottles of 40               NDC 71205-089-40

Bottles of 42               NDC 71205-089-42

Bottles of 100               NDC 71205-089-00

Store at 20o to 25oC (68o to 77oF) [See USP Controlled Room Temperature].

Manufactured by:

Jubilant Cadista Pharmaceuticals Inc.

Salisbury, MD 21801, USA

Revised 01/2018

Relabeled By;

Proficient Rx LP

Thousand Oaks CA 91320

Package Label (PACKAGE LABEL)

NDC 71205-089-00



PredniSONE Tablets, USP



1 mg



100 Tablets



Rx only



Each tablet contains: Prednisone 1 mg.



See package brochure for complete prescribing information.



Store at 20-25°C (68-77°F)

[See USP Controlled Room temperature]. 



Protect from moisture.



Dispense in a well-closed container as defined in the USP/NF.



Manufactured by:

Jubilant Cadista Pharmaceuticals Inc.

Salisbury, MD 21801, USA



Rev. # 03/17

Relabeled By:

Proficient Rx LP.

Thousand Oaks CA 91320

Adverse Reactions (ADVERSE REACTIONS)

Fluid and Electrolyte Disturbances:

Sodium retention.

Fluid retention.

Congestive heart failure in susceptible patients.

Potassium loss.

Hypokalemic alkalosis.

Hypertension.

Musculoskeletal:

Muscle weakness.

Steroid myopathy.

Loss of muscle mass.

Osteoporosis.

Vertebral compression fractures.

Aseptic necrosis of femoral and humeral heads.

Pathologic fracture of long bones.

Gastrointestinal:

Peptic ulcer with possible perforation and hemorrhage.

Pancreatitis.

Abdominal distention.

Ulcerative esophagitis.

Dermatologic:

Impaired wound healing.

Thin fragile skin.

Petechiae and ecchymoses.

Facial erythema.

Increased sweating.

May suppress reactions to skin tests.

Metabolic:

Negative nitrogen balance due to protein catabolism.

Neurological:

Convulsions

Increased intracranial pressure with papilledema (pseudo-tumor cerebri) usually after treatment.

Vertigo.

Headache.

Endocrine:

Menstrual irregularities.

Development of Cushingoid state.

Suppression of growth in children.

Secondary adrenocortical and pituitary unresponsiveness, particularly in times of stress, as in trauma, surgery or illness.

Decreased carbohydrate tolerance.

Manifestations of latent diabetes mellitus.

Increased requirements for insulin or oral hypoglycemic agents in diabetics.

 Ophthalmic:

Posterior subcapsular cataracts.

Increased intraocular pressure.

Glaucoma.

Exophthalmos.

Additional Reactions:

Urticaria and other allergic, anaphylactic or hypersensitivity reactions.

Contraindications (CONTRAINDICATIONS)

Prednisone tablets are contraindicated in systemic fungal infections and known hypersensitivity to components.

Usage in Pregnancy

Since adequate human reproduction studies have not been done with corticosteroids, the use of these drugs in pregnancy, nursing mothers or women of childbearing potential requires that the possible benefits of the drug be weighed against the potential hazards to the mother and embryo or fetus. Infants born of mothers who have received substantial doses of corticosteroids during pregnancy, should be carefully observed for signs of hypoadrenalism.

Average and large doses of hydrocortisone or cortisone can cause elevation of blood pressure, salt and water retention, and increased excretion of potassium. These effects are less likely to occur with the synthetic derivatives except when used in large doses. Dietary salt restriction and potassium supplementation may be necessary. All corticosteroids increase calcium excretion.

While on corticosteroid therapy patients should not be vaccinated against smallpox. Other immunization procedures should not be undertaken in patients who are on corticosteroids, especially on high dose, because of possible hazards of neurological complications and a lack of antibody response.

The use of prednisone tablets in active tuberculosis should be restricted to those cases of fulminating or disseminated tuberculosis in which the corticosteroid is used for the management of the disease in conjunction with an appropriate anti-tuberculous regimen.

If corticosteroids are indicated in patients with latent tuberculosis or tuberculin reactivity, close observation is necessary as reactivation of the disease may occur. During prolonged corticosteroid therapy, these patients should receive chemoprophylaxis.

Persons who are on drugs which suppress the immune system are more susceptible to infections than healthy individuals. Chickenpox and measles, for example, can have a more serious or even fatal course in non-immune children or adults on corticosteroids. In such children or adults who have not had these diseases, particular care should be taken to avoid exposure. How the dose, route and duration of corticosteroid administration affects the risk of developing a disseminated infection is not known.

The contribution of the underlying disease and/or prior corticosteroid treatment to the risk is also not known. If exposed to chickenpox, prophylaxis with varicella-zoster immune globulin (VZIG) may be indicated. If exposed to measles, prophylaxis with pooled intramuscular immunoglobulin (IG) may be indicated. (See the respective package inserts for complete VZIG and IG prescribing information.) If chickenpox develops, treatment with antiviral agents may be considered.

Clinical Pharmacology (CLINICAL PHARMACOLOGY)

Naturally occurring glucocorticoids (hydrocortisone and cortisone), which also have salt-retaining properties, are used as replacement therapy in adrenocortical deficiency states. Their synthetic analogs, such as prednisone, are primarily used for their potent anti-inflammatory effects in disorders of many organ systems.

Glucocorticoids, cause profound and varied metabolic effects. In addition, they modify the body’s immune responses to diverse stimuli.

Indications and Usage (INDICATIONS AND USAGE)

Prednisone tablets are indicated in the following conditions:

1. Endocrine Disorders:

Primary or secondary adrenocortical insufficiency (hydrocortisone or cortisone is the first choice; synthetic analogs may be used in conjunction with mineralocorticoids where applicable; in infancy mineralocorticoid supplementation is of particular importance).

Congenital adrenal hyperplasia

Nonsuppurative thyroiditis

Hypercalcemia associated with cancer

2. Rheumatic Disorders

As adjunctive therapy for short-term administration (to tide the patient over an acute episode or exacerbation) in:

Psoriatic arthritis

Rheumatoid arthritis, including juvenile rheumatoid arthritis (selected cases may require low-dose maintenance therapy)

Ankylosing spondylitis

Acute and subacute bursitis

Acute nonspecific tenosynovitis

Acute gouty arthritis

Post-traumatic osteoarthritis

Synovitis of osteoarthritis

Epicondylitis.

3. Collagen Diseases

During an exacerbation or as maintenance therapy in selected cases of:

Systemic lupus erythematosus

Systemic dermatomyositis (polymyositis)

Acute rheumatic carditis

4. Dermatologic Diseases

Pemphigus

Bullous dermatitis herpetiformis

Severe erythema multiforme (Stevens-Johnson syndrome)

Exfoliative dermatitis

Mycosis fungoides

Severe psoriasis

Severe seborrheic dermatitis

5. Allergic States

Control of severe or incapacitating allergic conditions intractable to adequate trials of conventional treatment:

Seasonal or perennial allergic rhinitis

Bronchial asthma

Contact dermatitis

Atopic dermatitis

Serum sickness

Drug hypersensitivity reactions

6. Ophthalmic Diseases

Severe acute and chronic allergic and inflammatory processes involving the eye and its adnexa such as:

Allergic corneal marginal ulcers

Herpes zoster ophthalmicus

Anterior segment inflammation

Diffuse posterior uveitis and choroiditis

Sympathetic ophthalmia

Allergic conjunctivitis

Keratitis

Chorioretinitis

Optic neuritis

Iritis and iridocyclitis

7. Respiratory Diseases

Symptomatic sarcoidosis

Loeffler's syndrome not manageable by other means

Berylliosis

Fulminating or disseminated pulmonary tuberculosis when used concurrently with appropriate antituberculous chemotherapy

Aspiration pneumonitis

8. Hematologic Disorders

Idiopathic thrombocytopenic purpura in adults

Secondary thrombocytopenia in adults

Acquired (autoimmune) hemolytic anemia

Erythroblastopenia (RBC anemia)

Congenital (erythroid) hypoplastic anemia

9. Neoplastic Diseases

For palliative management of:

Leukemias and lymphomas in adults

Acute leukemia of childhood

10. Edematous States

To induce a diuresis or remission of proteinuria in the nephrotic syndrome, without uremia, of the idiopathic type or that due to lupus erythematosus

11. Gastrointestinal Diseases

To tide the patient over a critical period of the disease in:

Ulcerative colitis

Regional enteritis

12. Nervous System

Acute exacerbations of multiple sclerosis

13. Miscellaneous

Tuberculous meningitis with subarachnoid block or, impending block when used concurrently with appropriate antituberculous chemotherapy.

Trichinosis with neurologic or myocardial involvement.

Dosage and Administration (DOSAGE AND ADMINISTRATION)

The initial dosage of prednisone may vary from 5 mg to 60 mg per day depending on the specific disease entity being treated. In situations of less severity lower doses will generally suffice while in selected patients higher initial doses may be required. The initial dosage should be maintained or adjusted until a satisfactory response is noted. If after a reasonable period of time there is a lack of satisfactory clinical response, prednisone should be discontinued and the patient transferred to other appropriate therapy.

IT SHOULD BE EMPHASIZED THAT DOSAGE REQUIREMENTS ARE VARIABLE AND MUST BE INDIVIDUALIZED ON THE BASIS OF THE DISEASE UNDER TREATMENT AND THE RESPONSE OF THE PATIENT.

After a favorable response is noted, the proper maintenance dosage should be determined by decreasing the initial drug dosage in small decrements at appropriate time intervals until the lowest dosage which will maintain an adequate clinical response is reached. It should be kept in mind that constant monitoring is needed in regard to drug dosage. Included in the situations which may make dosage adjustments necessary are changes in clinical status secondary to remissions or exacerbations in the disease process, the patient's individual drug responsiveness, and the effect of patient exposure to stressful situations not directly related to the disease entity under treatment; in this latter situation it may be necessary to increase the dosage of prednisone for a period of time consistent with the patient’s condition. If after long-term therapy the drug is to be stopped, it is recommended that it be withdrawn gradually rather than abruptly.

Multiple Sclerosis

In the treatment of acute exacerbations of multiple sclerosis daily doses of 200 mg of prednisolone for a week followed by 80 mg every other day for 1 month have been shown to be effective. (Dosage range is the same for prednisone and prednisolone.)

ADT ® (Alternate Day Therapy)

ADT is a corticosteroid dosing regimen in which twice the usual daily dose of corticoid is administered every other morning. The purpose of this mode of therapy is to provide the patient requiring long-term pharmacologic dose treatment with the beneficial effects of corticoids while minimizing certain undesirable effects, including pituitary-adrenal suppression, the Cushingoid state, corticoid withdrawal symptoms, and growth suppression in children.

The rationale for this treatment schedule is based on two major premises: (a) the anti-inflammatory or therapeutic effect of corticoids persists longer than their physical presence and metabolic effects and (b) administration of the corticosteroid every other morning allows for re-establishment of more nearly normal hypothalamic-pituitary-adrenal (HPA) activity on the off-steroid day.

A brief review of the HPA physiology may be helpful in understanding this rationale. Acting primarily through the hypothalamus a fall in free cortisol stimulates the pituitary gland to produce increasing amounts of corticotropin (ACTH) while a rise in free cortisol inhibits ACTH secretion. Normally the HPA system is characterized by diurnal (circadian) rhythm. Serum levels of ACTH rise from a low point about 10 pm to a peak level about 6 am. Increasing levels of ACTH stimulate adrenocortical activity resulting in a rise in plasma cortisol with maximal levels occurring between 2 am and 8 am. This rise in cortisol dampens ACTH production and in turn adrenocortical activity. There is a gradual fall in plasma corticoids during the day with lowest levels occurring about midnight.

The diurnal rhythm of the HPA axis is lost in Cushing's disease, a syndrome of adrenocortical hyperfunction characterized by obesity with centripetal fat distribution, thinning of the skin with easy bruisability, muscle wasting with weakness, hypertension, latent diabetes, osteoporosis, electrolyte imbalance, etc. The same clinical findings of hyperadrenocorticism may be noted during long-term pharmacologic dose corticoid therapy administered in conventional daily divided doses. It would appear, then, that a disturbance in the diurnal cycle with maintenance of elevated corticoid values during the night may play a significant role in the development of undesirable corticoid effects. Escape from these constantly elevated plasma levels for even short periods of time may be instrumental in protecting against undesirable pharmacologic effects.

During conventional pharmacologic dose corticosteroid therapy, ACTH production is inhibited with subsequent suppression of cortisol production by the adrenal cortex. Recovery time for normal HPA activity is variable depending upon the dose and duration of treatment. During this time the patient is vulnerable to any stressful situation. Although it has been shown that there is considerably less adrenal suppression following a single morning dose of prednisolone (10 mg) as opposed to a quarter of that dose administered every 6 hours, there is evidence that some suppressive effect on adrenal activity may be carried over into the following day when pharmacologic doses are used. Further, it has been shown that a single dose of certain corticosteroids will produce adrenocortical suppression for two or more days. Other corticoids, including methylprednisolone, hydrocortisone, prednisone, and prednisolone, are considered to be short acting (producing adrenocortical suppression for 11/4 to 11/2 days following a single dose) and thus are recommended for alternate day therapy.

The following should be kept in mind when considering alternate day therapy:

1) Basic principles and indications for corticosteroid therapy should apply. The benefits of ADT should not encourage the indiscriminate use of steroids.

2) ADT is a therapeutic technique primarily designed for patients in whom long-term pharmacologic corticoid therapy is anticipated.

3) In less severe disease processes in which corticoid therapy is indicated, it may be possible to initiate treatment with ADT. More severe disease states usually will require daily divided high dose therapy for initial control of the disease process. The initial suppressive dose level should be continued until satisfactory clinical response is obtained, usually four to ten days in the case of many allergic and collagen diseases. It is important to keep the period of initial suppressive dose as brief as possible particularly when subsequent use of alternate day therapy is intended.

Once control has been established, two courses are available: (a) change to ADT and then gradually reduce the amount of corticoid given every other day or (b) following control of the disease process reduce the daily dose of corticoid to the lowest effective level as rapidly as possible and then change over to an alternate day schedule. Theoretically, course (a) may be preferable.

4) Because of the advantages of ADT, it may be desirable to try patients on this form of therapy who have been on daily corticoids for long periods of time (e.g., patients with rheumatoid arthritis). Since these patients may already have a suppressed HPA axis, establishing them on ADT may be difficult and not always successful. However, it is recommended that regular attempts be made to change them over. It may be helpful to triple or even quadruple the daily maintenance dose and administer this every other day rather than just doubling the daily dose if difficulty is encountered. Once the patient is again controlled, an attempt should be made to reduce this dose to a minimum.

5) As indicated above, certain corticosteroids, because of their prolonged suppressive effect on adrenal activity, are not recommended for alternate day therapy (e.g., dexamethasone and betamethasone).

6) The maximal activity of the adrenal cortex is between 2 am and 8 am, and it is minimal between 4 pm and midnight. Exogenous corticosteroids suppress adrenocortical activity the least, when given at the time of maximal activity (am).

7) In using ADT it is important, as in all therapeutic situations to individualize and tailor the therapy to each patient. Complete control of symptoms will not be possible in all patients. An explanation of the benefits of ADT will help the patient to understand and tolerate the possible flare-up in symptoms which may occur in the latter part of the off-steroid day. Other symptomatic therapy may be added or increased at this time if needed.

8) In the event of an acute flare-up of the disease process, it may be necessary to return to a full suppressive daily divided corticoid dose for control. Once control is again established alternate day therapy may be re-instituted.

9) Although many of the undesirable features of corticosteroid therapy can be minimized by ADT, as in any therapeutic situation, the physician must carefully weigh the benefit-risk ratio for each patient in whom corticoid therapy is being considered.

Information for the Patient

Persons who are on immunosuppressant doses of corticosteroids should be warned to avoid exposure to chickenpox or measles. Patients should also be advised that if they are exposed, medical advice should be sought without delay.


Advanced Ingredient Data


Raw Label Data

All Sections (JSON)