These Highlights Do Not Include All The Information Needed To Use Doxycycline Capsules Safely And Effectively. See Full Prescribing Information For Doxycycline Capsules.

These Highlights Do Not Include All The Information Needed To Use Doxycycline Capsules Safely And Effectively. See Full Prescribing Information For Doxycycline Capsules.
SPL v5
SPL
SPL Set ID 7a28cce1-4805-b3d1-4484-e7a49c597660
Route
ORAL
Published
Effective Date 2025-06-06
Document Type 34391-3 HUMAN PRESCRIPTION DRUG LABEL

Drug Facts

Composition & Product

Active Ingredients
Doxycycline Anhydrous (40 mg)
Inactive Ingredients
Gelatin Hypromellose, Unspecified Ferric Oxide Red Ferric Oxide Yellow Ferrosoferric Oxide Methacrylic Acid - Ethyl Acrylate Copolymer (4500 Mpa.s) Polyethylene Glycol, Unspecified Polysorbate 80 Potassium Hydroxide Shellac Sucrose Talc Titanium Dioxide Triethyl Citrate

Identifiers & Packaging

Marketing Status
ANDA Active Since 2024-04-23

Description

Doxycycline is a tetracycline-class drug indicated for the treatment of only inflammatory lesions (papules and pustules) of rosacea in adult patients. ( 1.1 ) Limitations of Use This formulation of doxycycline has not been evaluated in the treatment or prevention of infections. Do not use doxycycline capsules for treating bacterial infections, providing antibacterial prophylaxis, or reducing the numbers or eliminating microorganisms associated with any bacterial disease. ( 1.2 ) Doxycycline capsules have not been evaluated for the treatment of the erythematous, telangiectatic, or ocular components of rosacea. ( 1.2 )

Indications and Usage

Doxycycline is a tetracycline-class drug indicated for the treatment of only inflammatory lesions (papules and pustules) of rosacea in adult patients. ( 1.1 ) Limitations of Use This formulation of doxycycline has not been evaluated in the treatment or prevention of infections. Do not use doxycycline capsules for treating bacterial infections, providing antibacterial prophylaxis, or reducing the numbers or eliminating microorganisms associated with any bacterial disease. ( 1.2 ) Doxycycline capsules have not been evaluated for the treatment of the erythematous, telangiectatic, or ocular components of rosacea. ( 1.2 )

Dosage and Administration

Take one doxycycline capsule (40 mg) once daily in the morning on an empty stomach, preferably at least one hour prior to or two hours after meals. ( 2.1 ) Exceeding the recommended dosage may result in an increased incidence of side effects including the development of resistant microorganisms. ( 2.2 , 5.9 )

Warnings and Precautions

The use of doxycycline capsules during tooth development (the second and third trimesters of pregnancy, infancy and childhood up to the age of 8 years) may cause permanent discoloration of the teeth (yellow-gray-brown) and reversible inhibition of bone growth. ( 5.1 , 5.2 , 8.1 , 8.4 ) Treatment with antibacterial agents alters the normal flora of the colon leading to overgrowth of Clostridium difficile . If C. difficile associated diarrhea occurs, discontinue doxycycline capsules. ( 5.3 ) If renal impairment exists, doxycycline capsules doses may need to be adjusted to avoid excessive systemic accumulations of the drug and possible liver injury. ( 5.4 ) Photosensitivity can occur with doxycycline capsules; Patients should minimize or avoid exposure to natural or artificial sunlight. ( 5.5 ) Tetracyclines have been associated with the development of autoimmune syndromes; if symptoms develop, discontinue doxycycline capsules immediately. ( 5.6 ) Doxycycline capsules may cause pseudotumor cerebri (benign intracranial hypertension). Discontinue doxycycline capsules if symptoms occur. ( 5.8 ) Bacterial resistance to tetracyclines may develop in patients using doxycycline capsules. It should only be used as indicated. ( 5.9 )

Contraindications

This drug is contraindicated in persons who have shown hypersensitivity to doxycycline or any other tetracyclines.

Adverse Reactions

Some of the most common adverse reactions (incidence >2% and more common than with placebo) are nasopharyngitis, sinusitis, diarrhea, hypertension and aspartate aminotransferase increase. ( 6 ) To report SUSPECTED ADVERSE REACTIONS, contact Dr. Reddy’s Laboratories Inc., at 1-888-375-3784 or FDA at 1-800-FDA-1088 or www.fda.gov/medwatch .

Drug Interactions

Patients on anticoagulant therapy may require downward adjustment of their anticoagulant dosage. ( 7.1 ) Some bacteriostatic drugs may interfere with the bactericidal action of penicillin, it is advisable to avoid giving tetracycline-class drugs in conjunction with penicillin. ( 7.2 ) The concurrent use of tetracycline and methoxyflurane has been reported to result in fatal renal toxicity. ( 7.3 )

Storage and Handling

Doxycycline capsules (light yellow to pale yellow colored and light to dark beige colored pellets filled in capsule shell with white opaque colored cap imprinted with “DOX” and white opaque colored body imprinted with “40” with black ink. Free from physical defects.) containing doxycycline, USP in an amount equivalent to 40 mg of anhydrous doxycycline. Bottle of 30 NDC 43598-457-30 Storage: All products are to be stored at controlled room temperatures of 15°C to 30°C (59°F to 86°F) and dispensed in tight, light-resistant containers (USP). Keep out of reach of children.

How Supplied

Doxycycline capsules (light yellow to pale yellow colored and light to dark beige colored pellets filled in capsule shell with white opaque colored cap imprinted with “DOX” and white opaque colored body imprinted with “40” with black ink. Free from physical defects.) containing doxycycline, USP in an amount equivalent to 40 mg of anhydrous doxycycline. Bottle of 30 NDC 43598-457-30 Storage: All products are to be stored at controlled room temperatures of 15°C to 30°C (59°F to 86°F) and dispensed in tight, light-resistant containers (USP). Keep out of reach of children.


Medication Information

Warnings and Precautions

The use of doxycycline capsules during tooth development (the second and third trimesters of pregnancy, infancy and childhood up to the age of 8 years) may cause permanent discoloration of the teeth (yellow-gray-brown) and reversible inhibition of bone growth. ( 5.1 , 5.2 , 8.1 , 8.4 ) Treatment with antibacterial agents alters the normal flora of the colon leading to overgrowth of Clostridium difficile . If C. difficile associated diarrhea occurs, discontinue doxycycline capsules. ( 5.3 ) If renal impairment exists, doxycycline capsules doses may need to be adjusted to avoid excessive systemic accumulations of the drug and possible liver injury. ( 5.4 ) Photosensitivity can occur with doxycycline capsules; Patients should minimize or avoid exposure to natural or artificial sunlight. ( 5.5 ) Tetracyclines have been associated with the development of autoimmune syndromes; if symptoms develop, discontinue doxycycline capsules immediately. ( 5.6 ) Doxycycline capsules may cause pseudotumor cerebri (benign intracranial hypertension). Discontinue doxycycline capsules if symptoms occur. ( 5.8 ) Bacterial resistance to tetracyclines may develop in patients using doxycycline capsules. It should only be used as indicated. ( 5.9 )

Indications and Usage

Doxycycline is a tetracycline-class drug indicated for the treatment of only inflammatory lesions (papules and pustules) of rosacea in adult patients. ( 1.1 ) Limitations of Use This formulation of doxycycline has not been evaluated in the treatment or prevention of infections. Do not use doxycycline capsules for treating bacterial infections, providing antibacterial prophylaxis, or reducing the numbers or eliminating microorganisms associated with any bacterial disease. ( 1.2 ) Doxycycline capsules have not been evaluated for the treatment of the erythematous, telangiectatic, or ocular components of rosacea. ( 1.2 )

Dosage and Administration

Take one doxycycline capsule (40 mg) once daily in the morning on an empty stomach, preferably at least one hour prior to or two hours after meals. ( 2.1 ) Exceeding the recommended dosage may result in an increased incidence of side effects including the development of resistant microorganisms. ( 2.2 , 5.9 )

Contraindications

This drug is contraindicated in persons who have shown hypersensitivity to doxycycline or any other tetracyclines.

Adverse Reactions

Some of the most common adverse reactions (incidence >2% and more common than with placebo) are nasopharyngitis, sinusitis, diarrhea, hypertension and aspartate aminotransferase increase. ( 6 ) To report SUSPECTED ADVERSE REACTIONS, contact Dr. Reddy’s Laboratories Inc., at 1-888-375-3784 or FDA at 1-800-FDA-1088 or www.fda.gov/medwatch .

Drug Interactions

Patients on anticoagulant therapy may require downward adjustment of their anticoagulant dosage. ( 7.1 ) Some bacteriostatic drugs may interfere with the bactericidal action of penicillin, it is advisable to avoid giving tetracycline-class drugs in conjunction with penicillin. ( 7.2 ) The concurrent use of tetracycline and methoxyflurane has been reported to result in fatal renal toxicity. ( 7.3 )

Storage and Handling

Doxycycline capsules (light yellow to pale yellow colored and light to dark beige colored pellets filled in capsule shell with white opaque colored cap imprinted with “DOX” and white opaque colored body imprinted with “40” with black ink. Free from physical defects.) containing doxycycline, USP in an amount equivalent to 40 mg of anhydrous doxycycline. Bottle of 30 NDC 43598-457-30 Storage: All products are to be stored at controlled room temperatures of 15°C to 30°C (59°F to 86°F) and dispensed in tight, light-resistant containers (USP). Keep out of reach of children.

How Supplied

Doxycycline capsules (light yellow to pale yellow colored and light to dark beige colored pellets filled in capsule shell with white opaque colored cap imprinted with “DOX” and white opaque colored body imprinted with “40” with black ink. Free from physical defects.) containing doxycycline, USP in an amount equivalent to 40 mg of anhydrous doxycycline. Bottle of 30 NDC 43598-457-30 Storage: All products are to be stored at controlled room temperatures of 15°C to 30°C (59°F to 86°F) and dispensed in tight, light-resistant containers (USP). Keep out of reach of children.

Description

Doxycycline is a tetracycline-class drug indicated for the treatment of only inflammatory lesions (papules and pustules) of rosacea in adult patients. ( 1.1 ) Limitations of Use This formulation of doxycycline has not been evaluated in the treatment or prevention of infections. Do not use doxycycline capsules for treating bacterial infections, providing antibacterial prophylaxis, or reducing the numbers or eliminating microorganisms associated with any bacterial disease. ( 1.2 ) Doxycycline capsules have not been evaluated for the treatment of the erythematous, telangiectatic, or ocular components of rosacea. ( 1.2 )

Section 42230-3

PATIENT INFORMATION

Doxycycline
 ( DOX i SYE kleen )

Capsules

Read this Patient Information before you start taking doxycycline capsules and each time you get a refill. There may be new information. This information does not take the place of talking to your doctor about your medical condition or treatment.

What is doxycycline?

Doxycycline is a tetracycline class medicine. Doxycycline capsules is a prescription medicine used in adults to treat only pimples or bumps (papules and pustules) caused by a condition called rosacea. Doxycycline capsules does not lessen redness caused by rosacea. Doxycycline capsules should not be used for the treatment or prevention of infections.

It is not known if doxycycline capsules are:

  • effective for use for longer than 16 weeks.
  • safe for use longer than 9 months.
  • safe and effective in children. Doxycycline capsules should not be used in infants and children less than 8 years of age because it may cause stained teeth in infants and children.

Who should not take doxycycline capsules?

Do not take doxycycline capsules if you are allergic to doxycycline or other medicines in the tetracycline class. Ask your doctor or pharmacist for a list of these medicines if you are not sure.

What should I tell my doctor before taking doxycycline capsules?

Before you take doxycycline capsules tell your doctor if you:

  • have kidney problems.
  • have liver problems.
  • have diarrhea or watery stools.
  • have vision problems.
  • have had surgery on your stomach (gastric surgery).
  • have or had a yeast or fungal infection in your mouth or vagina.
  • have any other medical condition.
  • are pregnant or plan to become pregnant. Doxycycline capsules may harm your unborn baby. Taking doxycycline capsules while you are pregnant may cause serious side effects on the growth of bone and teeth of your baby. Stop taking doxycycline capsules and call your doctor right away if you become pregnant while taking doxycycline capsules.
  • are breastfeeding or plan to breastfeed. Doxycycline can pass into your breast milk and may harm your baby. Talk to your doctor about the best way to feed your baby if you take doxycycline capsules. You and your doctor should decide if you will take doxycycline capsules or breastfeed. You should not do both.

Tell your doctor about all of the medicines you take, including prescription and non-prescription medicines, vitamins, and herbal supplements. Doxycycline capsules and other medicines can affect each other causing serious side effects.

Especially tell your doctor if you take:

  • a blood thinner medicine.
  • a penicillin (antibacterial medicine).
  • proton pump inhibitors or antacids that contain aluminum, calcium, or magnesium.
  • products containing iron or bismuth subsalicylate.
  • a medicine taken by mouth that contains isotretinoin or acitretin.
  • a medicine to treat seizures, such as carbamazepineor or phenytoin.

Ask your doctor or pharmacist for a full list of these medicines, if you are not sure.

Know the medicines you take. Keep a list of your medicines and show it to your doctor and pharmacist when you get a new medicine.

How should I take doxycycline capsules?

  • Take doxycycline capsules exactly as prescribed by your doctor. Taking more than your prescribed dose may increase your chance of side effects, including the chance that bacteria will become resistant to doxycycline.
  • Take doxycycline capsules 1 time a day in the morning on an empty stomach.
  • You should take doxycycline capsules at least one hour before or two hours after a meal.
  • Take doxycycline capsules with enough fluid to completely swallow the capsule and to lower your risk of getting irritation or ulcer in your esophagus. Your esophagus is the tube that connects your mouth to your stomach.
  • If you took too much doxycycline capsules call your doctor right away.
  • Your doctor may do blood tests during treatment with doxycycline capsules to check for side effects.

What should I avoid while taking doxycycline capsules?

Avoid sunlight or artificial sunlight, such as a tanning booth or sunlamp. You could get severe sunburn. Use sunscreen and wear clothes that cover your skin while out in sunlight.

What are the possible side effects of doxycycline capsules?

Doxycycline capsules may cause serious side effects, including:

  • Harm to an unborn baby. See “What should I tell my doctor before taking doxycycline capsules?”
  • Permanent teeth discoloration. Doxycycline capsules may permanently turn a baby or child's teeth yellow-grey-brown during tooth development. Doxycycline capsules should not be used during tooth development. Tooth development happens in the last half of pregnancy, and from birth to 8 years of age. See “What should I tell my doctor before taking doxycycline capsules?
  • Intestine infection (pseudomembranous colitis). Pseudomembranous colitis can happen with most antibiotics, including doxycycline capsules. Call your doctor right away if you get diarrhea or bloody stools.
  • Immune system reactions including a lupus-like syndrome, hepatitis, and inflammation of blood or lymph vessels (vasculitis). Stop taking doxycycline capsules and tell your doctor right away if you get joint pain, fever, rash, or body weakness.
  • Discoloration (hyperpigmentation). Doxycycline capsules can cause darkening of your skin, scars, teeth, gums, nails, and whites of your eyes.
  • Benign intracranial hypertension, also called pseudotumor cerebri. This is a condition where there is high pressure in the fluid around the brain. This swelling may lead to vision changes and permanent vision loss. Stop taking doxycycline capsules and tell your doctor right away if you have blurred vision, vision loss, or unusual headaches.

The most common side effects of doxycycline capsules include:

• soreness in the nose and throat • diarrhea
• sinus infection • stomach (abdominal) bloating or pain
• fungus infection • high blood pressure (hypertension)
• flu-like symptoms • change in certain blood tests

Tell your doctor if you have any side effect that bothers you or that does not go away.

These are not all the possible side effects of doxycycline capsules. For more information, ask your doctor or pharmacist.

Call your doctor for medical advice about side effects. You may report side effects to FDA at 1‑800-FDA-1088.

You may also report side effects to Dr. Reddy’s Laboratories Inc., at 1-888-375-3784 .

How should I store doxycycline capsules?

  • Store doxycycline capsules at room temperature between 15°C to 30°C (59°F to 86°F).
  • Keep doxycycline capsules in a tightly closed container.
  • Keep doxycycline capsules inside container and out of light.

Keep doxycycline capsules and all medicine out of the reach of children.

General information about doxycycline capsules

Medicines are sometimes prescribed for purposes other than those listed in a Patient Information leaflet. Do not take doxycycline capsules for a condition for which it was not prescribed. Do not give doxycycline capsules to other people, even if they have the same symptoms you have. It may harm them.

This Patient Information leaflet summarizes the most important information about doxycycline capsules. If you would like more information, talk with your doctor. You can also ask your doctor or pharmacist for information that is written for health professionals.

What are the ingredients in doxycycline capsules?

Active ingredient: doxycycline

Inactive ingredients: gelatin, hypromellose, iron oxide red, iron oxide yellow, methacrylic acid ethyl acrylate copolymer dispersion, polyethylene glycol, polysorbate 80, sugar spheres, talc, titanium dioxide, and triethyl citrate. The black ink contains black iron oxide, potassium hydroxide, and shellac.

All trademarks are the property of their respective owners.

This Patient Information has been approved by the U.S. Food and Drug Administration.

Rx only

Distributor:

Dr. Reddy’s Laboratories Inc.,

Princeton, NJ 08540

Made in India

Revised: 06/2025

8.1 Pregnancy

Risk Summary

Doxycycline may cause reversible inhibition of bone growth and permanent discoloration of deciduous teeth when administered during the second and third trimesters of pregnancy [see Warnings and Precautions ( 5.1 and 5.2 )]. Available data from published studies have not shown a difference in major birth defect risk with doxycycline exposure in the first trimester of pregnancy compared to unexposed pregnancies. Avoid use of doxycycline capsules during the second and third trimester of pregnancy.

The background risk of major birth defects and miscarriage for the indicated population is unknown. All pregnancies have a background risk of birth defect, loss, or other adverse outcomes. In the U.S. general population, the estimated background risk of major birth defects and miscarriage in clinically recognized pregnancies is 2% to 4% and 15% to 20%, respectively.

Data

Human Data

Published studies, including epidemiological and observational studies, with use of doxycycline during the first trimester of pregnancy have not identified drug-related increases in major birth defects.

The use of tetracycline during tooth development (second and third trimester of pregnancy) may cause permanent discoloration of deciduous teeth (yellow-gray-brown). This adverse reaction is more common during long-term use of the drug but has been observed following repeated short-term courses.

Animal Data

Results from animal studies indicate that doxycycline crosses the placenta and is found in fetal tissues.

8.2 Lactation

Risk Summary

Based on available published data, doxycycline is likely to be present in human breast milk but the specific concentration in breastmilk is not clear. There is no information on the effects of doxycycline on the breastfed infant or the effects on milk production. Because there are other antibacterial drug options available to treat rosacea in lactating women and because of the potential for serious adverse reactions, including tooth discoloration and inhibition of bone growth, advise patients that breastfeeding is not recommended during treatment with doxycycline capsules and for 5 days after the last dose.

1.1 Indication

Doxycycline capsules are indicated for the treatment of only inflammatory lesions (papules and pustules) of rosacea in adult patients. No meaningful effect was demonstrated for generalized erythema (redness) of rosacea.

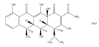
11 Description

Doxycycline capsules 40 mg are hard gelatin capsule shells filled with two types of doxycycline beads (26 mg immediate-release and 14 mg delayed-release) that together provide a dose of 40 mg of anhydrous doxycycline (C22H24N2O8).

The structural formula of doxycycline, USP is:

with a molecular formula of C22H24N2O8•H2O and a molecular weight of 462.46. The chemical designation for doxycycline is 2-Naphthacenecar-boxamide,4-(dimethylamino)-1,4,4a,5,5a,6,11,12a-octahydro-3,5,10,12,12a-pentahydroxy-6-methyl-1,11-dioxo-, [4S-(4α, 4aα, 5α, 5aα, 6α,12aα)]-, monohydrate. It is soluble in dilute solutions of mineral acids and in solutions of alkali hydroxides and carbonates.

Inert ingredients in the formulation are: gelatin, hypromellose, iron oxide red, iron oxide yellow, methacrylic acid ethyl acrylate copolymer dispersion, polyethylene glycol, polysorbate 80, sugar spheres, talc, titanium dioxide, and triethyl citrate. The black ink contains black iron oxide, potassium hydroxide, and shellac.

FDA approved dissolution test method and specifications differ from USP.

7.2 Penicillin

Since bacteriostatic drugs may interfere with the bactericidal action of penicillin, it is advisable to avoid giving tetracycline-class drugs in conjunction with penicillin.

12.4 Microbiology

Doxycycline is a member of the tetracycline-class of drugs. The plasma concentrations of doxycycline achieved with doxycycline during administration [see Clinical Pharmacology ( 12.3 ) and Dosage and Administration ( 2.2 )] are less than the concentration required to treat bacterial diseases. Doxycycline capsules should not be used for treating bacterial infections, providing antibacterial prophylaxis, or reducing the numbers or eliminating microorganisms associated with any bacterial disease [see Indications and Usage ( 1.2 )]In vivo microbiological studies utilizing a similar drug exposure for up to 18 months demonstrated no detectable long term effects on bacterial flora of the oral cavity, skin, intestinal tract and vagina.

8.4 Pediatric Use

Doxycycline capsules should not be used in infants and children less than 8 years of age [see Warnings and Precautions ( 5.1 )]. Doxycycline capsules have not been studied in children of any age with regard to safety or efficacy, therefore use in children is not recommended.

8.5 Geriatric Use

Clinical studies of doxycycline did not include sufficient numbers of subjects aged 65 and over to determine whether they respond differently from younger subjects. Other reported clinical experience has not identified differences in responses between elderly and younger patients. In general, dose selection for an elderly patient should be cautious, usually starting at the low end of the dosing range, reflecting the greater frequency of decreased hepatic, renal, or cardiac function, and concomitant disease or other drug therapy.

7.1 Anticoagulants

Because tetracyclines have been shown to depress plasma prothrombin activity, patients who are on anticoagulant therapy may require downward adjustment of their anticoagulant dosage.

7.3 Methoxyflurane

The concurrent use of tetracycline and methoxyflurane has been reported to result in fatal renal toxicity.

7.5 Oral Retinoids

There have been reports of pseudotumor cerebri (benign intracranial hypertension) associated with the concomitant use of isotretinoin and tetracyclines. Since both oral retinoids, including isotretinoin and acitretin, and the tetracyclines, primarily minocycline, can cause increased intracranial pressure, the concurrent use of an oral retinoid and a tetracycline should be avoided.

14 Clinical Studies

The safety and efficacy of doxycycline in the treatment of only inflammatory lesions (papules and pustules) of rosacea was evaluated in two randomized, placebo-controlled, multi-centered, double-blind, 16-week Phase 3 trials involving 537 subjects (total of 269 subjects on doxycycline from the two trials) with rosacea (10 to 40 papules and pustules and two or fewer nodules). Mean baseline lesion counts were 20 and 21 for doxycycline and placebo subject groups respectively. Pregnant and nursing women, subjects <18 years of age, and subjects with ocular rosacea and/or blepharitis/meibomianitis who require ophthalmologic treatment were excluded from trials.

At Week 16, subjects in the doxycycline group were evaluated using co-primary endpoints of mean reduction in lesion counts and a dichotomized static Investigator’s Global Assessment of Clear or Almost Clear (defined as 1 to 2 small papules or pustules) when compared to the placebo group in both Phase 3 trials.

Table 3: Clinical Results of Doxycycline versus Placebo
Study 1 Study 2
Doxycycline Placebo Doxycycline Placebo
40 mg N=127 N=124 40 mg N=142 N=144
Mean Change in Lesion Count from Baseline -11.8 -5.9 -9.5 -4.3
No. (%) of Subjects Clear or Almost Clear in the IGA* 39 (30.7%) 24(19.4%) 21(14.8%) 9 (6.3%)

*Investigator’s Global Assessment

Subjects treated with doxycycline did not demonstrate significant improvement in erythema when compared to those treated with placebo.

4 Contraindications

This drug is contraindicated in persons who have shown hypersensitivity to doxycycline or any other tetracyclines.

5.10 Superinfection

As with other antibiotic preparations, use of doxycycline capsules may result in overgrowth of non-susceptible microorganisms, including fungi. If superinfection occurs, doxycycline capsules should be discontinued and appropriate therapy instituted. Although not observed in clinical trials with doxycycline, the use of tetracyclines may increase the incidence of vaginal candidiasis. Doxycycline capsules should be used with caution in patients with a history of or predisposition to Candida overgrowth.

6 Adverse Reactions

7 Drug Interactions

5.5 Photosensitivity

Photosensitivity manifested by an exaggerated sunburn reaction has been observed in some individuals taking tetracyclines. Although this was not observed during the duration of the clinical studies with doxycycline, patients should minimize or avoid exposure to natural or artificial sunlight (tanning beds or UVA/B treatment) while using doxycycline capsules. If patients need to be outdoors while using doxycycline capsules, they should wear loose-fitting clothes that protect skin from sun exposure and discuss other sun protection measures with their physician.

12.3 Pharmacokinetics

Doxycycline capsules are not bioequivalent to other doxycycline products. The pharmacokinetics of doxycycline following oral administration of doxycycline was investigated in 2 volunteer studies involving 61 adults. Pharmacokinetic parameters for doxycycline following single oral doses and at steady-state in healthy subjects are presented in Table 2.

Table 2. Pharmacokinetic Parameters [Mean (±SD)] for Doxycycline
N Cmax* (ng/mL) Tmax + (hr) AUC0-∞* (ng•hr/mL) t1/2* (hr)
Single Dose 40 mg capsules 30 510 ± 220.7 3.00(1.0 to 4.1) 9227±3212.8 21.2 ± 7.6
Steady-State# 40 mg capsules 31 600 ± 194.2 2.00(1.0 to 4.0) 7543 ±2443.9 23.2 ± 6.2

*Mean +Median #Day 7

Absorption: In a single-dose food-effect study involving administration of doxycycline to healthy volunteers, concomitant administration with a 1,000 calorie, high-fat, high-protein meal that included dairy products, resulted in a decrease in the rate and extent of absorption (Cmax and AUC) by about 45% and 22%, respectively, compared to dosing under fasted conditions. This decrease in systemic exposure can be clinically significant, and therefore if doxycycline capsules are taken close to meal times, it is recommended that it be taken at least one hour prior to or two hours after meals.

Distribution: Doxycycline is greater than 90% bound to plasma proteins.

Metabolism: Major metabolites of doxycycline have not been identified. However, enzyme inducers such as barbiturates, carbamazepine, and phenytoin decrease the half-life of doxycycline.

Excretion : Doxycycline is excreted in the urine and feces as unchanged drug. It is reported that between 29% and 55.4% of an administered dose can be accounted for in the urine by 72 hours. Terminal half-life averaged 21.2 hours in subjects receiving a single dose of doxycycline.

Special Populations

Geriatric: Doxycycline pharmacokinetics have not been evaluated in geriatric patients.

Pediatric: Doxycycline pharmacokinetics have not been evaluated in pediatric patients [see Warnings and Precautions ( 5.1 )].

Gender: The pharmacokinetics of doxycycline were compared in 16 male and 14 female subjects under fed and fasted conditions. While female subjects had a higher Cmax and AUC than male subjects, these differences were thought to be due to differences in body weight/lean body mass.

Race : Differences in doxycycline pharmacokinetics among racial groups have not been evaluated.

Renal Insufficiency: Studies have shown no significant difference in serum half-life of doxycycline in patients with normal and severely impaired renal function. Hemodialysis does not alter the serum half-life of doxycycline.

Hepatic Insufficiency: Doxycycline pharmacokinetics have not been evaluated in patients with hepatic insufficiency.

Gastric Insufficiency: In a study in healthy volunteers (N=24) the bioavailability of doxycycline is reported to be reduced at high pH. This reduced bioavailability may be clinically significant in patients with gastrectomy, gastric bypass surgery or who are otherwise deemed achlorhydric.

Drug Interactions: [see Drug Interactions ( 7 )].

5.4 Metabolic Effects

The anti-anabolic action of the tetracyclines may cause an increase in BUN. While this is not a problem in those with normal renal function, in patients with significantly impaired function, higher serum levels of tetracycline-class antibiotics may lead to azotemia, hyperphosphatemia, and acidosis. If renal impairment exists, even usual oral or parenteral doses may lead to excessive systemic accumulations of the drug and possible liver toxicity. Under such conditions, lower than usual total doses are indicated, and if therapy is prolonged, serum level determinations of the drug may be advisable.

1.2 Limitations of Use

This formulation of doxycycline has not been evaluated in the treatment or prevention of infections. Do not use doxycycline capsules for treating bacterial infections, providing antibacterial prophylaxis, or reducing the numbers or eliminating microorganisms associated with any bacterial disease.

To reduce the development of drug-resistant bacteria as well as to maintain the effectiveness of other antibacterial drugs, doxycycline capsules should be used only as indicated.

Doxycycline capsules have not been evaluated for the treatment of the erythematous, telangiectatic, or ocular components of rosacea.

1 Indications and Usage

5.8 Pseudotumor Cerebri

Pseudotumor cerebri (benign intracranial hypertension) in adults has been associated with the use of tetracyclines. The usual clinical manifestations are headache and blurred vision. Bulging fontanels have been associated with the use of tetracyclines in infants. While both of these conditions and related symptoms usually resolve after discontinuation of the tetracycline, the possibility for permanent sequelae exists. Patients should be questioned for visual disturbances prior to initiation of treatment with tetracyclines and should be routinely checked for papiledema while on treatment.

12 Clinical Pharmacology

12.1 Mechanism of Action

The mechanism of action of doxycycline in the treatment of inflammatory lesions of rosacea is unknown.

5.6 Autoimmune Syndromes

Tetracyclines have been associated with the development of autoimmune syndromes. Symptoms may be manifested by fever, rash, arthralgia, and malaise. In symptomatic patients, liver function tests, ANA, CBC, and other appropriate tests should be performed to evaluate the patients. Use of all tetracycline-class drugs should be discontinued immediately.

13 Nonclinical Toxicology

5.12 Fixed Drug Eruptions

Fixed drug eruptions have occurred with doxycycline and have been associated with worsening severity upon subsequent administrations, including generalized bullous fixed drug eruption [see Adverse Reactions ( 6.2 )]. If severe skin reactions occur, discontinue doxycycline capsules immediately and initiate appropriate therapy.

5.3 Clostridium Difficile

Clostridium difficile associated diarrhea (CDAD) has been reported with nearly all antibacterial agents, including doxycycline, and may range in severity from mild diarrhea to fatal colitis. Treatment with antibacterial agents alters the normal flora of the colon leading to overgrowth of C. difficile.

C. difficile produces toxins A and B which contribute to the development of CDAD. Hypertoxin producing strains of C. difficile cause increased morbidity and mortality, as these infections can be refractory to antimicrobial therapy and may require colectomy. CDAD must be considered in all patients who present with diarrhea following antibiotic use. Careful medical history is necessary since CDAD has been reported to occur over two months after the administration of antibacterial agents.

If CDAD is suspected or confirmed, ongoing antibiotic use not directed against C. difficile may need to be discontinued. Appropriate management should be instituted as clinically indicated.

5 Warnings and Precautions

5.11 Laboratory Monitoring

Periodic laboratory evaluations of organ systems, including hematopoietic, renal and hepatic studies should be performed. Appropriate tests for autoimmune syndromes should be performed as indicated.

2 Dosage and Administration

3 Dosage Forms and Strengths

Doxycycline capsules, 40 mg are light yellow to pale yellow colored and light to dark beige colored pellets filled in capsule shell with white opaque colored cap imprinted with “DOX” and white opaque colored body imprinted with “40” with black ink. Free from physical defects.

5.7 Tissue Hyperpigmentation

Tetracycline-class drugs are known to cause hyperpigmentation. Tetracycline therapy may induce hyperpigmentation in many organs, including nails, bone, skin, eyes, thyroid, visceral tissue, oral cavity (teeth, mucosa, alveolar bone), sclerae and heart valves. Skin and oral pigmentation has been reported to occur independently of time or amount of drug administration, whereas other pigmentation has been reported to occur upon prolonged administration. Skin pigmentation includes diffuse pigmentation as well as over sites of scars or injury.

8 Use in Specific Populations

2.1 General Dosing Information

Take one doxycycline capsule (40 mg) once daily in the morning on an empty stomach, preferably at least one hour prior to or two hours after meals.

Administration of adequate amounts of fluid along with the capsules is recommended to wash down the capsule to reduce the risk of esophageal irritation and ulceration [see Adverse Reactions ( 6 )].

6.1 Clinical Trials Experience

Because clinical trials are conducted under widely varying conditions, adverse reaction rates observed in the clinical trials of a drug cannot be directly compared to rates in the clinical trials of another drug and may not reflect the rates observed in practice.

Adverse Reactions in Clinical Trials of Doxycycline: In controlled clinical trials of adult subjects with mild to moderate rosacea, 537 subjects received doxycycline or placebo over a 16-week period. The following table summarizes selected adverse reactions that occurred in the clinical trials at a rate of ≥ 1% for the active arm:

Table 1. Incidence (%) of Selected Adverse Reactions in Clinical Trials of Doxycycline (n=269) vs. Placebo (n=268)
Doxycycline Placebo
Nasopharyngitis 13 (5) 9 (3)
Pharyngolaryngeal Pain 3 (1) 2 (1)
Sinusitis 7 (3) 2 (1)
Nasal Congestion 4 (2) 2 (1)
Fungal Infection 5 (2) 1 (0)
Influenza 5 (2) 3 (1)
Diarrhea 12 (5) 7 (3)
Abdominal Pain Upper 5 (2) 1 (0)
Abdominal Distention 3 (1) 1 (0)
Abdominal Pain 3 (1) 1 (0)
Stomach Discomfort 3 (1) 2 (1)
Dry Mouth 3 (1) 0 (0)
Hypertension 8 (3) 2 (1)
Blood Pressure Increase 4 (2) 1 (0)
Aspartate Aminotransferase Increase 6 (2) 2 (1)
Blood Lactate Dehydrogenase Increase 4 (2) 1 (0)
Blood Glucose Increase 3 (1) 0 (0)
Anxiety 4 (2) 0 (0)
Pain 4 (2) 1 (0)
Back Pain 3 (1) 0 (0)
Sinus Headache 3 (1) 0 (0)

Note: Percentages based on total number of study participants in each treatment group.

Adverse Reactions for Tetracyclines: The following adverse reactions have been observed in patients receiving tetracyclines at higher, antimicrobial doses:

Gastrointestinal: anorexia, nausea, vomiting, diarrhea, glossitis, dysphagia, enterocolitis, and inflammatory lesions (with vaginal candidiasis) in the anogenital region. Hepatotoxicity. Esophagitis and esophageal ulcerations have been reported in patients receiving the capsule forms of the drugs in the tetracycline-class. Most of the patients experiencing esophagitis and/or esophageal ulceration took their medication immediately before lying down [see Dosage and Administration ( 2 )].

Renal toxicity: Rise in BUN has been reported and is apparently dose-related [see Warnings and Precautions ( 5.4 )].

Skin: maculopapular and erythematous rashes. Exfoliative dermatitis. Photosensitivity is discussed above [see Warnings and Precautions ( 5.5 )].

Hypersensitivity reactions: urticaria, angioneurotic edema, anaphylaxis, anaphylactoid purpura, serum sickness, pericarditis, and exacerbation of systemic lupus erythematosus.

Blood: Hemolytic anemia, thrombocytopenia, neutropenia, and eosinophilia.

17 Patient Counseling Information

See FDA-approved patient labeling (Patient Information)

Patients taking doxycycline capsules 40 mg should receive the following information and instructions:

  • Advise pregnant women that doxycycline, like other tetracycline-class drugs, may cause permanent discoloration of deciduous teeth and reversible inhibition of bone growth when administered during the second and third trimesters of pregnancy [see Warnings and Precautions ( 5.1 and 5.2 ) and Use in Specific Populations ( 8.1 )].
  • Advise women not to breastfeed during treatment with doxycycline capsules and for 5 days after the last dose [see Use in Specific Populations ( 8.2 )].
  • Advise patients that use of tetracycline class drugs orally during tooth development (infancy and childhood up to the age of 8 years) may cause permanent discoloration of the teeth (yellow-gray-brown).
  • Advise patients that use of doxycycline, like other tetracycline-class drugs, may cause inhibition of bone growth when administered during infancy and childhood.
  • Advise patients that pseudomembranous colitis can occur with doxycycline therapy. If patients develop watery or bloody stools, they should seek medical attention.
  • Advise patients that pseudotumor cerebri can occur with doxycycline therapy. If patients experience headache or blurred vision they should seek medical attention.
  • Photosensitivity manifested by an exaggerated sunburn reaction has been observed in some individuals taking tetracyclines, including doxycycline. Patients should minimize or avoid exposure to natural or artificial sunlight (tanning beds or UVA/B treatment) while using doxycycline. If patients need to be outdoors while using doxycycline, they should wear loose-fitting clothes that protect skin from sun exposure and discuss other sun protection measures with their physician. Treatment should be discontinued at the first evidence of sunburn.
  • Autoimmune syndromes, including drug-induced lupus-like syndrome, autoimmune hepatitis, vasculitis and serum sickness have been observed with tetracycline-class drugs, including doxycycline. Symptoms may be manifested by arthralgia, fever, rash and malaise. Patients who experience such symptoms should be cautioned to stop the drug immediately and seek medical help.
  • Counsel patients about discoloration of skin, scars, teeth or gums that can arise from doxycycline therapy.
  • Advise patients to take doxycycline capsules exactly as directed. Increasing doses beyond 40 mg every morning may increase the likelihood that bacteria will develop resistance and will not be treatable by other antibacterial drugs in the future.

Rx only

Distributor:

Dr. Reddy’s Laboratories Inc.,

Princeton, NJ 08540

Made in India

Revised: 06/2025

7.4 Antacids and Iron Preparations

Absorption of tetracyclines is impaired by bismuth subsalicylate, proton pump inhibitors, antacids containing aluminum, calcium or magnesium and iron-containing preparations.

6.2 Postmarketing Adverse Reactions

Because these reactions are reported voluntarily from a population of uncertain size, it is not always possible to reliably estimate their frequency or establish a causal relationship to drug exposure. The following adverse reactions have been identified during post approval use of doxycycline.

Nervous system: Pseudotumor cerebri (benign intracranial hypertension), headache.

Skin: fixed drug eruption

Psychiatric: depression, anxiety, suicidal ideation, insomnia, abnormal dreams, hallucination

16 How Supplied/storage and Handling

Doxycycline capsules (light yellow to pale yellow colored and light to dark beige colored pellets filled in capsule shell with white opaque colored cap imprinted with “DOX” and white opaque colored body imprinted with “40” with black ink. Free from physical defects.) containing doxycycline, USP in an amount equivalent to 40 mg of anhydrous doxycycline.

Bottle of 30 NDC 43598-457-30

Storage:All products are to be stored at controlled room temperatures of 15°C to 30°C (59°F to 86°F) and dispensed in tight, light-resistant containers (USP).

Keep out of reach of children.

7.6 Barbiturates and Anti Epileptics

Barbiturates, carbamazepine, and phenytoin decrease the half-life of doxycycline.

7.7 Drug/laboratory Test Interactions

False elevations of urinary catecholamine levels may occur due to interference with the fluorescence test.

5.9 Development of Drug Resistant Bacteria

Bacterial resistance to tetracyclines may develop in patients using doxycycline capsules. Because of the potential for drug-resistant bacteria to develop during the use of doxycycline capsules, it should only be used as indicated.

Package Label Principal Display Panel Section

Doxycycline Capsules USP, 40 mg - 30's Count

Unvarnished Area Consists of: 2D Barcode, Lot Number, Expiry Date and Serial Number

2.2 Important Considerations for Dosing Regimen

The dosage of doxycycline capsules differs from that of doxycycline used to treat infections. Exceeding the recommended dosage may result in an increased incidence of side effects including the development of resistant organisms.

13.1 Carcinogenesis, Mutagenesis, Impairment of Fertility

Doxycycline was assessed for potential to induce carcinogenesis in a study in which the compound was administered to Sprague-Dawley rats by gavage at dosages of 20, 75, and 200 mg/kg/day for two years. An increased incidence of uterine polyps was observed in female rats that received 200 mg/kg/day, a dosage that resulted in a systemic exposure to doxycycline approximately 12.2 times that observed in female humans who use doxycycline [exposure comparison based upon area under the curve (AUC) values]. No impact upon tumor incidence was observed in male rats up to at 200 mg/kg/day, or in females at the lower dosages studied.

Doxycyline was assessed for potential to induce carcinogenesis in CD-1 mice by gavage at dosages 20, 75, and 150 mg/kg/day in males and at dosages of 20, 100, and 300 mg/kg/day in females. No impact upon tumor incidence was observed in male and female mice at systemic exposures approximately 4.2 and 8.3 times that observed in humans, respectively.

Doxycycline demonstrated no potential to cause genetic toxicity in an in vitro point mutation study with mammalian cells (CHO/HGPRT forward mutation assay) or in an in vivo micronucleus assay conducted in CD-1 mice. However, data from an in vitro mammalian chromosomal aberration assay conducted with CHO cells suggest that doxycycline is a weak clastogen. Oral administration of doxycycline to male and female Sprague-Dawley rats adversely affected fertility and reproductive performance, as evidenced by increased time for mating to occur, reduced sperm motility, velocity, and concentration, abnormal sperm morphology, and increased pre- and post-implantation losses. Doxycycline induced reproductive toxicity at all dosages that were examined in this study, as even the lowest dosage tested (50 mg/kg/day) induced a statistically significant reduction in sperm velocity. Note that 50 mg/kg/day is approximately 3.6 times the amount of doxycycline contained in the recommended daily dose of doxycycline when compared on the basis of AUC estimates. Although doxycycline impairs the fertility of rats when administered at sufficient dosage, the effect of doxycycline on human fertility is unknown.

5.2 Tooth Discoloration During Fetal and Pediatric Development

The use of tetracycline class drugs orally during tooth development (last half of pregnancy, infancy, and childhood up to the age of 8 years) may cause permanent discoloration of the teeth (yellow-gray-brown). This adverse reaction is more common during long-term use of the drug but has been observed following repeated short-term courses. Enamel hypoplasia has also been reported. Use of tetracycline drugs is not recommended during tooth development [see Use in Specific Populations ( 8.1 )].

5.1 Inhibition of Bone Growth During Fetal and Pediatric Development

Doxycycline, like other tetracycline-class drugs, may cause inhibition of bone growth when administered during the second and third trimesters of pregnancy, infancy, and childhood. All tetracyclines form a stable calcium complex in any bone-forming tissue. A decrease in fibula growth rate has been observed in premature human infants given oral tetracycline in doses of 25 mg/kg every 6 hours. This reaction was shown to be reversible when the drug was discontinued. If doxycycline is used during the second or third trimester of pregnancy, advise the patient of the potential risk to the fetus [see Use in Specific Populations ( 8.1 )].


Structured Label Content

Section 42230-3 (42230-3)

PATIENT INFORMATION

Doxycycline
 ( DOX i SYE kleen )

Capsules

Read this Patient Information before you start taking doxycycline capsules and each time you get a refill. There may be new information. This information does not take the place of talking to your doctor about your medical condition or treatment.

What is doxycycline?

Doxycycline is a tetracycline class medicine. Doxycycline capsules is a prescription medicine used in adults to treat only pimples or bumps (papules and pustules) caused by a condition called rosacea. Doxycycline capsules does not lessen redness caused by rosacea. Doxycycline capsules should not be used for the treatment or prevention of infections.

It is not known if doxycycline capsules are:

  • effective for use for longer than 16 weeks.
  • safe for use longer than 9 months.
  • safe and effective in children. Doxycycline capsules should not be used in infants and children less than 8 years of age because it may cause stained teeth in infants and children.

Who should not take doxycycline capsules?

Do not take doxycycline capsules if you are allergic to doxycycline or other medicines in the tetracycline class. Ask your doctor or pharmacist for a list of these medicines if you are not sure.

What should I tell my doctor before taking doxycycline capsules?

Before you take doxycycline capsules tell your doctor if you:

  • have kidney problems.
  • have liver problems.
  • have diarrhea or watery stools.
  • have vision problems.
  • have had surgery on your stomach (gastric surgery).
  • have or had a yeast or fungal infection in your mouth or vagina.
  • have any other medical condition.
  • are pregnant or plan to become pregnant. Doxycycline capsules may harm your unborn baby. Taking doxycycline capsules while you are pregnant may cause serious side effects on the growth of bone and teeth of your baby. Stop taking doxycycline capsules and call your doctor right away if you become pregnant while taking doxycycline capsules.
  • are breastfeeding or plan to breastfeed. Doxycycline can pass into your breast milk and may harm your baby. Talk to your doctor about the best way to feed your baby if you take doxycycline capsules. You and your doctor should decide if you will take doxycycline capsules or breastfeed. You should not do both.

Tell your doctor about all of the medicines you take, including prescription and non-prescription medicines, vitamins, and herbal supplements. Doxycycline capsules and other medicines can affect each other causing serious side effects.

Especially tell your doctor if you take:

  • a blood thinner medicine.
  • a penicillin (antibacterial medicine).
  • proton pump inhibitors or antacids that contain aluminum, calcium, or magnesium.
  • products containing iron or bismuth subsalicylate.
  • a medicine taken by mouth that contains isotretinoin or acitretin.
  • a medicine to treat seizures, such as carbamazepineor or phenytoin.

Ask your doctor or pharmacist for a full list of these medicines, if you are not sure.

Know the medicines you take. Keep a list of your medicines and show it to your doctor and pharmacist when you get a new medicine.

How should I take doxycycline capsules?

  • Take doxycycline capsules exactly as prescribed by your doctor. Taking more than your prescribed dose may increase your chance of side effects, including the chance that bacteria will become resistant to doxycycline.
  • Take doxycycline capsules 1 time a day in the morning on an empty stomach.
  • You should take doxycycline capsules at least one hour before or two hours after a meal.
  • Take doxycycline capsules with enough fluid to completely swallow the capsule and to lower your risk of getting irritation or ulcer in your esophagus. Your esophagus is the tube that connects your mouth to your stomach.
  • If you took too much doxycycline capsules call your doctor right away.
  • Your doctor may do blood tests during treatment with doxycycline capsules to check for side effects.

What should I avoid while taking doxycycline capsules?

Avoid sunlight or artificial sunlight, such as a tanning booth or sunlamp. You could get severe sunburn. Use sunscreen and wear clothes that cover your skin while out in sunlight.

What are the possible side effects of doxycycline capsules?

Doxycycline capsules may cause serious side effects, including:

  • Harm to an unborn baby. See “What should I tell my doctor before taking doxycycline capsules?”
  • Permanent teeth discoloration. Doxycycline capsules may permanently turn a baby or child's teeth yellow-grey-brown during tooth development. Doxycycline capsules should not be used during tooth development. Tooth development happens in the last half of pregnancy, and from birth to 8 years of age. See “What should I tell my doctor before taking doxycycline capsules?
  • Intestine infection (pseudomembranous colitis). Pseudomembranous colitis can happen with most antibiotics, including doxycycline capsules. Call your doctor right away if you get diarrhea or bloody stools.
  • Immune system reactions including a lupus-like syndrome, hepatitis, and inflammation of blood or lymph vessels (vasculitis). Stop taking doxycycline capsules and tell your doctor right away if you get joint pain, fever, rash, or body weakness.
  • Discoloration (hyperpigmentation). Doxycycline capsules can cause darkening of your skin, scars, teeth, gums, nails, and whites of your eyes.
  • Benign intracranial hypertension, also called pseudotumor cerebri. This is a condition where there is high pressure in the fluid around the brain. This swelling may lead to vision changes and permanent vision loss. Stop taking doxycycline capsules and tell your doctor right away if you have blurred vision, vision loss, or unusual headaches.

The most common side effects of doxycycline capsules include:

• soreness in the nose and throat • diarrhea
• sinus infection • stomach (abdominal) bloating or pain
• fungus infection • high blood pressure (hypertension)
• flu-like symptoms • change in certain blood tests

Tell your doctor if you have any side effect that bothers you or that does not go away.

These are not all the possible side effects of doxycycline capsules. For more information, ask your doctor or pharmacist.

Call your doctor for medical advice about side effects. You may report side effects to FDA at 1‑800-FDA-1088.

You may also report side effects to Dr. Reddy’s Laboratories Inc., at 1-888-375-3784 .

How should I store doxycycline capsules?

  • Store doxycycline capsules at room temperature between 15°C to 30°C (59°F to 86°F).
  • Keep doxycycline capsules in a tightly closed container.
  • Keep doxycycline capsules inside container and out of light.

Keep doxycycline capsules and all medicine out of the reach of children.

General information about doxycycline capsules

Medicines are sometimes prescribed for purposes other than those listed in a Patient Information leaflet. Do not take doxycycline capsules for a condition for which it was not prescribed. Do not give doxycycline capsules to other people, even if they have the same symptoms you have. It may harm them.

This Patient Information leaflet summarizes the most important information about doxycycline capsules. If you would like more information, talk with your doctor. You can also ask your doctor or pharmacist for information that is written for health professionals.

What are the ingredients in doxycycline capsules?

Active ingredient: doxycycline

Inactive ingredients: gelatin, hypromellose, iron oxide red, iron oxide yellow, methacrylic acid ethyl acrylate copolymer dispersion, polyethylene glycol, polysorbate 80, sugar spheres, talc, titanium dioxide, and triethyl citrate. The black ink contains black iron oxide, potassium hydroxide, and shellac.

All trademarks are the property of their respective owners.

This Patient Information has been approved by the U.S. Food and Drug Administration.

Rx only

Distributor:

Dr. Reddy’s Laboratories Inc.,

Princeton, NJ 08540

Made in India

Revised: 06/2025

8.1 Pregnancy

Risk Summary

Doxycycline may cause reversible inhibition of bone growth and permanent discoloration of deciduous teeth when administered during the second and third trimesters of pregnancy [see Warnings and Precautions ( 5.1 and 5.2 )]. Available data from published studies have not shown a difference in major birth defect risk with doxycycline exposure in the first trimester of pregnancy compared to unexposed pregnancies. Avoid use of doxycycline capsules during the second and third trimester of pregnancy.

The background risk of major birth defects and miscarriage for the indicated population is unknown. All pregnancies have a background risk of birth defect, loss, or other adverse outcomes. In the U.S. general population, the estimated background risk of major birth defects and miscarriage in clinically recognized pregnancies is 2% to 4% and 15% to 20%, respectively.

Data

Human Data

Published studies, including epidemiological and observational studies, with use of doxycycline during the first trimester of pregnancy have not identified drug-related increases in major birth defects.

The use of tetracycline during tooth development (second and third trimester of pregnancy) may cause permanent discoloration of deciduous teeth (yellow-gray-brown). This adverse reaction is more common during long-term use of the drug but has been observed following repeated short-term courses.

Animal Data

Results from animal studies indicate that doxycycline crosses the placenta and is found in fetal tissues.

8.2 Lactation

Risk Summary

Based on available published data, doxycycline is likely to be present in human breast milk but the specific concentration in breastmilk is not clear. There is no information on the effects of doxycycline on the breastfed infant or the effects on milk production. Because there are other antibacterial drug options available to treat rosacea in lactating women and because of the potential for serious adverse reactions, including tooth discoloration and inhibition of bone growth, advise patients that breastfeeding is not recommended during treatment with doxycycline capsules and for 5 days after the last dose.

1.1 Indication

Doxycycline capsules are indicated for the treatment of only inflammatory lesions (papules and pustules) of rosacea in adult patients. No meaningful effect was demonstrated for generalized erythema (redness) of rosacea.

11 Description (11 DESCRIPTION)

Doxycycline capsules 40 mg are hard gelatin capsule shells filled with two types of doxycycline beads (26 mg immediate-release and 14 mg delayed-release) that together provide a dose of 40 mg of anhydrous doxycycline (C22H24N2O8).

The structural formula of doxycycline, USP is:

with a molecular formula of C22H24N2O8•H2O and a molecular weight of 462.46. The chemical designation for doxycycline is 2-Naphthacenecar-boxamide,4-(dimethylamino)-1,4,4a,5,5a,6,11,12a-octahydro-3,5,10,12,12a-pentahydroxy-6-methyl-1,11-dioxo-, [4S-(4α, 4aα, 5α, 5aα, 6α,12aα)]-, monohydrate. It is soluble in dilute solutions of mineral acids and in solutions of alkali hydroxides and carbonates.

Inert ingredients in the formulation are: gelatin, hypromellose, iron oxide red, iron oxide yellow, methacrylic acid ethyl acrylate copolymer dispersion, polyethylene glycol, polysorbate 80, sugar spheres, talc, titanium dioxide, and triethyl citrate. The black ink contains black iron oxide, potassium hydroxide, and shellac.

FDA approved dissolution test method and specifications differ from USP.

7.2 Penicillin

Since bacteriostatic drugs may interfere with the bactericidal action of penicillin, it is advisable to avoid giving tetracycline-class drugs in conjunction with penicillin.

12.4 Microbiology

Doxycycline is a member of the tetracycline-class of drugs. The plasma concentrations of doxycycline achieved with doxycycline during administration [see Clinical Pharmacology ( 12.3 ) and Dosage and Administration ( 2.2 )] are less than the concentration required to treat bacterial diseases. Doxycycline capsules should not be used for treating bacterial infections, providing antibacterial prophylaxis, or reducing the numbers or eliminating microorganisms associated with any bacterial disease [see Indications and Usage ( 1.2 )]In vivo microbiological studies utilizing a similar drug exposure for up to 18 months demonstrated no detectable long term effects on bacterial flora of the oral cavity, skin, intestinal tract and vagina.

8.4 Pediatric Use

Doxycycline capsules should not be used in infants and children less than 8 years of age [see Warnings and Precautions ( 5.1 )]. Doxycycline capsules have not been studied in children of any age with regard to safety or efficacy, therefore use in children is not recommended.

8.5 Geriatric Use

Clinical studies of doxycycline did not include sufficient numbers of subjects aged 65 and over to determine whether they respond differently from younger subjects. Other reported clinical experience has not identified differences in responses between elderly and younger patients. In general, dose selection for an elderly patient should be cautious, usually starting at the low end of the dosing range, reflecting the greater frequency of decreased hepatic, renal, or cardiac function, and concomitant disease or other drug therapy.

7.1 Anticoagulants

Because tetracyclines have been shown to depress plasma prothrombin activity, patients who are on anticoagulant therapy may require downward adjustment of their anticoagulant dosage.

7.3 Methoxyflurane

The concurrent use of tetracycline and methoxyflurane has been reported to result in fatal renal toxicity.

7.5 Oral Retinoids

There have been reports of pseudotumor cerebri (benign intracranial hypertension) associated with the concomitant use of isotretinoin and tetracyclines. Since both oral retinoids, including isotretinoin and acitretin, and the tetracyclines, primarily minocycline, can cause increased intracranial pressure, the concurrent use of an oral retinoid and a tetracycline should be avoided.

14 Clinical Studies (14 CLINICAL STUDIES)

The safety and efficacy of doxycycline in the treatment of only inflammatory lesions (papules and pustules) of rosacea was evaluated in two randomized, placebo-controlled, multi-centered, double-blind, 16-week Phase 3 trials involving 537 subjects (total of 269 subjects on doxycycline from the two trials) with rosacea (10 to 40 papules and pustules and two or fewer nodules). Mean baseline lesion counts were 20 and 21 for doxycycline and placebo subject groups respectively. Pregnant and nursing women, subjects <18 years of age, and subjects with ocular rosacea and/or blepharitis/meibomianitis who require ophthalmologic treatment were excluded from trials.

At Week 16, subjects in the doxycycline group were evaluated using co-primary endpoints of mean reduction in lesion counts and a dichotomized static Investigator’s Global Assessment of Clear or Almost Clear (defined as 1 to 2 small papules or pustules) when compared to the placebo group in both Phase 3 trials.

Table 3: Clinical Results of Doxycycline versus Placebo
Study 1 Study 2
Doxycycline Placebo Doxycycline Placebo
40 mg N=127 N=124 40 mg N=142 N=144
Mean Change in Lesion Count from Baseline -11.8 -5.9 -9.5 -4.3
No. (%) of Subjects Clear or Almost Clear in the IGA* 39 (30.7%) 24(19.4%) 21(14.8%) 9 (6.3%)

*Investigator’s Global Assessment

Subjects treated with doxycycline did not demonstrate significant improvement in erythema when compared to those treated with placebo.

4 Contraindications (4 CONTRAINDICATIONS)

This drug is contraindicated in persons who have shown hypersensitivity to doxycycline or any other tetracyclines.

5.10 Superinfection

As with other antibiotic preparations, use of doxycycline capsules may result in overgrowth of non-susceptible microorganisms, including fungi. If superinfection occurs, doxycycline capsules should be discontinued and appropriate therapy instituted. Although not observed in clinical trials with doxycycline, the use of tetracyclines may increase the incidence of vaginal candidiasis. Doxycycline capsules should be used with caution in patients with a history of or predisposition to Candida overgrowth.

6 Adverse Reactions (6 ADVERSE REACTIONS)

7 Drug Interactions (7 DRUG INTERACTIONS)

5.5 Photosensitivity

Photosensitivity manifested by an exaggerated sunburn reaction has been observed in some individuals taking tetracyclines. Although this was not observed during the duration of the clinical studies with doxycycline, patients should minimize or avoid exposure to natural or artificial sunlight (tanning beds or UVA/B treatment) while using doxycycline capsules. If patients need to be outdoors while using doxycycline capsules, they should wear loose-fitting clothes that protect skin from sun exposure and discuss other sun protection measures with their physician.

12.3 Pharmacokinetics

Doxycycline capsules are not bioequivalent to other doxycycline products. The pharmacokinetics of doxycycline following oral administration of doxycycline was investigated in 2 volunteer studies involving 61 adults. Pharmacokinetic parameters for doxycycline following single oral doses and at steady-state in healthy subjects are presented in Table 2.

Table 2. Pharmacokinetic Parameters [Mean (±SD)] for Doxycycline
N Cmax* (ng/mL) Tmax + (hr) AUC0-∞* (ng•hr/mL) t1/2* (hr)
Single Dose 40 mg capsules 30 510 ± 220.7 3.00(1.0 to 4.1) 9227±3212.8 21.2 ± 7.6
Steady-State# 40 mg capsules 31 600 ± 194.2 2.00(1.0 to 4.0) 7543 ±2443.9 23.2 ± 6.2

*Mean +Median #Day 7

Absorption: In a single-dose food-effect study involving administration of doxycycline to healthy volunteers, concomitant administration with a 1,000 calorie, high-fat, high-protein meal that included dairy products, resulted in a decrease in the rate and extent of absorption (Cmax and AUC) by about 45% and 22%, respectively, compared to dosing under fasted conditions. This decrease in systemic exposure can be clinically significant, and therefore if doxycycline capsules are taken close to meal times, it is recommended that it be taken at least one hour prior to or two hours after meals.

Distribution: Doxycycline is greater than 90% bound to plasma proteins.

Metabolism: Major metabolites of doxycycline have not been identified. However, enzyme inducers such as barbiturates, carbamazepine, and phenytoin decrease the half-life of doxycycline.

Excretion : Doxycycline is excreted in the urine and feces as unchanged drug. It is reported that between 29% and 55.4% of an administered dose can be accounted for in the urine by 72 hours. Terminal half-life averaged 21.2 hours in subjects receiving a single dose of doxycycline.

Special Populations

Geriatric: Doxycycline pharmacokinetics have not been evaluated in geriatric patients.

Pediatric: Doxycycline pharmacokinetics have not been evaluated in pediatric patients [see Warnings and Precautions ( 5.1 )].

Gender: The pharmacokinetics of doxycycline were compared in 16 male and 14 female subjects under fed and fasted conditions. While female subjects had a higher Cmax and AUC than male subjects, these differences were thought to be due to differences in body weight/lean body mass.

Race : Differences in doxycycline pharmacokinetics among racial groups have not been evaluated.

Renal Insufficiency: Studies have shown no significant difference in serum half-life of doxycycline in patients with normal and severely impaired renal function. Hemodialysis does not alter the serum half-life of doxycycline.

Hepatic Insufficiency: Doxycycline pharmacokinetics have not been evaluated in patients with hepatic insufficiency.

Gastric Insufficiency: In a study in healthy volunteers (N=24) the bioavailability of doxycycline is reported to be reduced at high pH. This reduced bioavailability may be clinically significant in patients with gastrectomy, gastric bypass surgery or who are otherwise deemed achlorhydric.

Drug Interactions: [see Drug Interactions ( 7 )].

5.4 Metabolic Effects

The anti-anabolic action of the tetracyclines may cause an increase in BUN. While this is not a problem in those with normal renal function, in patients with significantly impaired function, higher serum levels of tetracycline-class antibiotics may lead to azotemia, hyperphosphatemia, and acidosis. If renal impairment exists, even usual oral or parenteral doses may lead to excessive systemic accumulations of the drug and possible liver toxicity. Under such conditions, lower than usual total doses are indicated, and if therapy is prolonged, serum level determinations of the drug may be advisable.

1.2 Limitations of Use

This formulation of doxycycline has not been evaluated in the treatment or prevention of infections. Do not use doxycycline capsules for treating bacterial infections, providing antibacterial prophylaxis, or reducing the numbers or eliminating microorganisms associated with any bacterial disease.

To reduce the development of drug-resistant bacteria as well as to maintain the effectiveness of other antibacterial drugs, doxycycline capsules should be used only as indicated.

Doxycycline capsules have not been evaluated for the treatment of the erythematous, telangiectatic, or ocular components of rosacea.

1 Indications and Usage (1 INDICATIONS AND USAGE)

5.8 Pseudotumor Cerebri

Pseudotumor cerebri (benign intracranial hypertension) in adults has been associated with the use of tetracyclines. The usual clinical manifestations are headache and blurred vision. Bulging fontanels have been associated with the use of tetracyclines in infants. While both of these conditions and related symptoms usually resolve after discontinuation of the tetracycline, the possibility for permanent sequelae exists. Patients should be questioned for visual disturbances prior to initiation of treatment with tetracyclines and should be routinely checked for papiledema while on treatment.

12 Clinical Pharmacology (12 CLINICAL PHARMACOLOGY)

12.1 Mechanism of Action

The mechanism of action of doxycycline in the treatment of inflammatory lesions of rosacea is unknown.

5.6 Autoimmune Syndromes

Tetracyclines have been associated with the development of autoimmune syndromes. Symptoms may be manifested by fever, rash, arthralgia, and malaise. In symptomatic patients, liver function tests, ANA, CBC, and other appropriate tests should be performed to evaluate the patients. Use of all tetracycline-class drugs should be discontinued immediately.

13 Nonclinical Toxicology (13 NONCLINICAL TOXICOLOGY)

5.12 Fixed Drug Eruptions

Fixed drug eruptions have occurred with doxycycline and have been associated with worsening severity upon subsequent administrations, including generalized bullous fixed drug eruption [see Adverse Reactions ( 6.2 )]. If severe skin reactions occur, discontinue doxycycline capsules immediately and initiate appropriate therapy.

5.3 Clostridium Difficile (5.3 Clostridium difficile)

Clostridium difficile associated diarrhea (CDAD) has been reported with nearly all antibacterial agents, including doxycycline, and may range in severity from mild diarrhea to fatal colitis. Treatment with antibacterial agents alters the normal flora of the colon leading to overgrowth of C. difficile.

C. difficile produces toxins A and B which contribute to the development of CDAD. Hypertoxin producing strains of C. difficile cause increased morbidity and mortality, as these infections can be refractory to antimicrobial therapy and may require colectomy. CDAD must be considered in all patients who present with diarrhea following antibiotic use. Careful medical history is necessary since CDAD has been reported to occur over two months after the administration of antibacterial agents.

If CDAD is suspected or confirmed, ongoing antibiotic use not directed against C. difficile may need to be discontinued. Appropriate management should be instituted as clinically indicated.

5 Warnings and Precautions (5 WARNINGS AND PRECAUTIONS)

5.11 Laboratory Monitoring

Periodic laboratory evaluations of organ systems, including hematopoietic, renal and hepatic studies should be performed. Appropriate tests for autoimmune syndromes should be performed as indicated.

2 Dosage and Administration (2 DOSAGE AND ADMINISTRATION)

3 Dosage Forms and Strengths (3 DOSAGE FORMS AND STRENGTHS)

Doxycycline capsules, 40 mg are light yellow to pale yellow colored and light to dark beige colored pellets filled in capsule shell with white opaque colored cap imprinted with “DOX” and white opaque colored body imprinted with “40” with black ink. Free from physical defects.

5.7 Tissue Hyperpigmentation

Tetracycline-class drugs are known to cause hyperpigmentation. Tetracycline therapy may induce hyperpigmentation in many organs, including nails, bone, skin, eyes, thyroid, visceral tissue, oral cavity (teeth, mucosa, alveolar bone), sclerae and heart valves. Skin and oral pigmentation has been reported to occur independently of time or amount of drug administration, whereas other pigmentation has been reported to occur upon prolonged administration. Skin pigmentation includes diffuse pigmentation as well as over sites of scars or injury.

8 Use in Specific Populations (8 USE IN SPECIFIC POPULATIONS)

2.1 General Dosing Information

Take one doxycycline capsule (40 mg) once daily in the morning on an empty stomach, preferably at least one hour prior to or two hours after meals.

Administration of adequate amounts of fluid along with the capsules is recommended to wash down the capsule to reduce the risk of esophageal irritation and ulceration [see Adverse Reactions ( 6 )].

6.1 Clinical Trials Experience

Because clinical trials are conducted under widely varying conditions, adverse reaction rates observed in the clinical trials of a drug cannot be directly compared to rates in the clinical trials of another drug and may not reflect the rates observed in practice.

Adverse Reactions in Clinical Trials of Doxycycline: In controlled clinical trials of adult subjects with mild to moderate rosacea, 537 subjects received doxycycline or placebo over a 16-week period. The following table summarizes selected adverse reactions that occurred in the clinical trials at a rate of ≥ 1% for the active arm:

Table 1. Incidence (%) of Selected Adverse Reactions in Clinical Trials of Doxycycline (n=269) vs. Placebo (n=268)
Doxycycline Placebo
Nasopharyngitis 13 (5) 9 (3)
Pharyngolaryngeal Pain 3 (1) 2 (1)
Sinusitis 7 (3) 2 (1)
Nasal Congestion 4 (2) 2 (1)
Fungal Infection 5 (2) 1 (0)
Influenza 5 (2) 3 (1)
Diarrhea 12 (5) 7 (3)
Abdominal Pain Upper 5 (2) 1 (0)
Abdominal Distention 3 (1) 1 (0)
Abdominal Pain 3 (1) 1 (0)
Stomach Discomfort 3 (1) 2 (1)
Dry Mouth 3 (1) 0 (0)
Hypertension 8 (3) 2 (1)
Blood Pressure Increase 4 (2) 1 (0)
Aspartate Aminotransferase Increase 6 (2) 2 (1)
Blood Lactate Dehydrogenase Increase 4 (2) 1 (0)
Blood Glucose Increase 3 (1) 0 (0)
Anxiety 4 (2) 0 (0)
Pain 4 (2) 1 (0)
Back Pain 3 (1) 0 (0)
Sinus Headache 3 (1) 0 (0)

Note: Percentages based on total number of study participants in each treatment group.

Adverse Reactions for Tetracyclines: The following adverse reactions have been observed in patients receiving tetracyclines at higher, antimicrobial doses:

Gastrointestinal: anorexia, nausea, vomiting, diarrhea, glossitis, dysphagia, enterocolitis, and inflammatory lesions (with vaginal candidiasis) in the anogenital region. Hepatotoxicity. Esophagitis and esophageal ulcerations have been reported in patients receiving the capsule forms of the drugs in the tetracycline-class. Most of the patients experiencing esophagitis and/or esophageal ulceration took their medication immediately before lying down [see Dosage and Administration ( 2 )].

Renal toxicity: Rise in BUN has been reported and is apparently dose-related [see Warnings and Precautions ( 5.4 )].

Skin: maculopapular and erythematous rashes. Exfoliative dermatitis. Photosensitivity is discussed above [see Warnings and Precautions ( 5.5 )].

Hypersensitivity reactions: urticaria, angioneurotic edema, anaphylaxis, anaphylactoid purpura, serum sickness, pericarditis, and exacerbation of systemic lupus erythematosus.

Blood: Hemolytic anemia, thrombocytopenia, neutropenia, and eosinophilia.

17 Patient Counseling Information (17 PATIENT COUNSELING INFORMATION)

See FDA-approved patient labeling (Patient Information)

Patients taking doxycycline capsules 40 mg should receive the following information and instructions:

  • Advise pregnant women that doxycycline, like other tetracycline-class drugs, may cause permanent discoloration of deciduous teeth and reversible inhibition of bone growth when administered during the second and third trimesters of pregnancy [see Warnings and Precautions ( 5.1 and 5.2 ) and Use in Specific Populations ( 8.1 )].
  • Advise women not to breastfeed during treatment with doxycycline capsules and for 5 days after the last dose [see Use in Specific Populations ( 8.2 )].
  • Advise patients that use of tetracycline class drugs orally during tooth development (infancy and childhood up to the age of 8 years) may cause permanent discoloration of the teeth (yellow-gray-brown).
  • Advise patients that use of doxycycline, like other tetracycline-class drugs, may cause inhibition of bone growth when administered during infancy and childhood.
  • Advise patients that pseudomembranous colitis can occur with doxycycline therapy. If patients develop watery or bloody stools, they should seek medical attention.
  • Advise patients that pseudotumor cerebri can occur with doxycycline therapy. If patients experience headache or blurred vision they should seek medical attention.
  • Photosensitivity manifested by an exaggerated sunburn reaction has been observed in some individuals taking tetracyclines, including doxycycline. Patients should minimize or avoid exposure to natural or artificial sunlight (tanning beds or UVA/B treatment) while using doxycycline. If patients need to be outdoors while using doxycycline, they should wear loose-fitting clothes that protect skin from sun exposure and discuss other sun protection measures with their physician. Treatment should be discontinued at the first evidence of sunburn.
  • Autoimmune syndromes, including drug-induced lupus-like syndrome, autoimmune hepatitis, vasculitis and serum sickness have been observed with tetracycline-class drugs, including doxycycline. Symptoms may be manifested by arthralgia, fever, rash and malaise. Patients who experience such symptoms should be cautioned to stop the drug immediately and seek medical help.
  • Counsel patients about discoloration of skin, scars, teeth or gums that can arise from doxycycline therapy.
  • Advise patients to take doxycycline capsules exactly as directed. Increasing doses beyond 40 mg every morning may increase the likelihood that bacteria will develop resistance and will not be treatable by other antibacterial drugs in the future.

Rx only

Distributor:

Dr. Reddy’s Laboratories Inc.,

Princeton, NJ 08540

Made in India

Revised: 06/2025

7.4 Antacids and Iron Preparations

Absorption of tetracyclines is impaired by bismuth subsalicylate, proton pump inhibitors, antacids containing aluminum, calcium or magnesium and iron-containing preparations.

6.2 Postmarketing Adverse Reactions

Because these reactions are reported voluntarily from a population of uncertain size, it is not always possible to reliably estimate their frequency or establish a causal relationship to drug exposure. The following adverse reactions have been identified during post approval use of doxycycline.

Nervous system: Pseudotumor cerebri (benign intracranial hypertension), headache.

Skin: fixed drug eruption

Psychiatric: depression, anxiety, suicidal ideation, insomnia, abnormal dreams, hallucination

16 How Supplied/storage and Handling (16 HOW SUPPLIED/STORAGE AND HANDLING)

Doxycycline capsules (light yellow to pale yellow colored and light to dark beige colored pellets filled in capsule shell with white opaque colored cap imprinted with “DOX” and white opaque colored body imprinted with “40” with black ink. Free from physical defects.) containing doxycycline, USP in an amount equivalent to 40 mg of anhydrous doxycycline.

Bottle of 30 NDC 43598-457-30

Storage:All products are to be stored at controlled room temperatures of 15°C to 30°C (59°F to 86°F) and dispensed in tight, light-resistant containers (USP).

Keep out of reach of children.

7.6 Barbiturates and Anti Epileptics (7.6 Barbiturates and Anti-epileptics)

Barbiturates, carbamazepine, and phenytoin decrease the half-life of doxycycline.

7.7 Drug/laboratory Test Interactions (7.7 Drug/Laboratory Test Interactions)

False elevations of urinary catecholamine levels may occur due to interference with the fluorescence test.

5.9 Development of Drug Resistant Bacteria

Bacterial resistance to tetracyclines may develop in patients using doxycycline capsules. Because of the potential for drug-resistant bacteria to develop during the use of doxycycline capsules, it should only be used as indicated.

Package Label Principal Display Panel Section (PACKAGE LABEL PRINCIPAL DISPLAY PANEL SECTION)

Doxycycline Capsules USP, 40 mg - 30's Count

Unvarnished Area Consists of: 2D Barcode, Lot Number, Expiry Date and Serial Number

2.2 Important Considerations for Dosing Regimen

The dosage of doxycycline capsules differs from that of doxycycline used to treat infections. Exceeding the recommended dosage may result in an increased incidence of side effects including the development of resistant organisms.

13.1 Carcinogenesis, Mutagenesis, Impairment of Fertility

Doxycycline was assessed for potential to induce carcinogenesis in a study in which the compound was administered to Sprague-Dawley rats by gavage at dosages of 20, 75, and 200 mg/kg/day for two years. An increased incidence of uterine polyps was observed in female rats that received 200 mg/kg/day, a dosage that resulted in a systemic exposure to doxycycline approximately 12.2 times that observed in female humans who use doxycycline [exposure comparison based upon area under the curve (AUC) values]. No impact upon tumor incidence was observed in male rats up to at 200 mg/kg/day, or in females at the lower dosages studied.

Doxycyline was assessed for potential to induce carcinogenesis in CD-1 mice by gavage at dosages 20, 75, and 150 mg/kg/day in males and at dosages of 20, 100, and 300 mg/kg/day in females. No impact upon tumor incidence was observed in male and female mice at systemic exposures approximately 4.2 and 8.3 times that observed in humans, respectively.

Doxycycline demonstrated no potential to cause genetic toxicity in an in vitro point mutation study with mammalian cells (CHO/HGPRT forward mutation assay) or in an in vivo micronucleus assay conducted in CD-1 mice. However, data from an in vitro mammalian chromosomal aberration assay conducted with CHO cells suggest that doxycycline is a weak clastogen. Oral administration of doxycycline to male and female Sprague-Dawley rats adversely affected fertility and reproductive performance, as evidenced by increased time for mating to occur, reduced sperm motility, velocity, and concentration, abnormal sperm morphology, and increased pre- and post-implantation losses. Doxycycline induced reproductive toxicity at all dosages that were examined in this study, as even the lowest dosage tested (50 mg/kg/day) induced a statistically significant reduction in sperm velocity. Note that 50 mg/kg/day is approximately 3.6 times the amount of doxycycline contained in the recommended daily dose of doxycycline when compared on the basis of AUC estimates. Although doxycycline impairs the fertility of rats when administered at sufficient dosage, the effect of doxycycline on human fertility is unknown.

5.2 Tooth Discoloration During Fetal and Pediatric Development

The use of tetracycline class drugs orally during tooth development (last half of pregnancy, infancy, and childhood up to the age of 8 years) may cause permanent discoloration of the teeth (yellow-gray-brown). This adverse reaction is more common during long-term use of the drug but has been observed following repeated short-term courses. Enamel hypoplasia has also been reported. Use of tetracycline drugs is not recommended during tooth development [see Use in Specific Populations ( 8.1 )].

5.1 Inhibition of Bone Growth During Fetal and Pediatric Development

Doxycycline, like other tetracycline-class drugs, may cause inhibition of bone growth when administered during the second and third trimesters of pregnancy, infancy, and childhood. All tetracyclines form a stable calcium complex in any bone-forming tissue. A decrease in fibula growth rate has been observed in premature human infants given oral tetracycline in doses of 25 mg/kg every 6 hours. This reaction was shown to be reversible when the drug was discontinued. If doxycycline is used during the second or third trimester of pregnancy, advise the patient of the potential risk to the fetus [see Use in Specific Populations ( 8.1 )].


Advanced Ingredient Data


Raw Label Data

All Sections (JSON)