enskycetm

enskycetm
SPL v4
SPL
SPL Set ID 799fa1d8-4e7b-4b5e-844d-d638896a4b02
Route
oral
Published
Effective Date 2025-12-12
Document Type 34391-3 HUMAN PRESCRIPTION DRUG LABEL

Drug Facts

Composition & Product

Active Ingredients
ethinyl estradiol (0.03 mg) desogestrel (0.15 mg)
Inactive Ingredients
ferric oxide red ferric oxide yellow hypromelloses lactose monohydrate magnesium stearate polyethylene glycol 400 povidone k30 silicon dioxide starch, corn stearic acid talc titanium dioxide tocopherol d&c yellow no. 10 fd&c blue no. 2 fd&c yellow no. 6

Identifiers & Packaging

Pill Appearance
Imprint: LU;L22 Shape: round Color: orange Color: green Size: 6 mm Score: 1
Marketing Status
anda active Since 2024-12-10

Indications and Usage

Enskyce Tablets are indicated for the prevention of pregnancy in women who elect to use oral contraceptives as a method of contraception. Oral contraceptives are highly effective. Table 1 lists the typical accidental pregnancy rates for users of combined oral contraceptives and other methods of contraception. The efficacy of these contraceptive methods, except sterilization, the IUD, and the Norplant System depends upon the reliability with which they are used. Correct and consistent use of these methods can result in lower failure rates. In a clinical trial with Enskyce, 1,195 subjects completed 11,656 cycles and a total of 10 pregnancies were reported. This represents an overall user-efficacy (typical user-efficacy) pregnancy rate of 1.12 per 100 women-years. This rate includes patients who did not take the drug correctly. TABLE 1: PERCENTAGE OF WOMEN EXPERIENCING AN UNINTENDED PREGNANCY DURING THE FIRST YEAR OF TYPICAL USE AND THE FIRST YEAR OF PERFECT USE OF CONTRACEPTION AND THE PERCENTAGE CONTINUING USE AT THE END OF THE FIRST YEAR. UNITED STATES. %  of  Women  Experiencing  an  Unintended Pregnancy  within  the  First  Year  of  Use %  of  Women Continuing  Use  at  One Year 1 Emergency Contraceptive Pills: Treatment initiated within 72 hours after unprotected intercourse reduces the risk of pregnancy by at least 75%. 4 Lactation Amenorrhea Method: LAM is a highly effective, temporary method of contraception. 5 Source: Trussell J. Contraceptive efficacy. In Hatcher RA, Trussell J, Stewart F, Cates W, Stewart GK, Kowel D, Guest F, Contraceptive Technology: Seventeenth Revised Edition. New York, NY; Irvington Publishers, 1998. 1 Among couples attempting to avoid pregnancy, the percentage who continue to use a method for one year. 2 Among typical couples who initiate use of a method (not necessarily for the first time), the percentage who experience an accidental pregnancy during the first year if they do not stop use for any other reason. 3 Among couples who initiate use of a method (not necessarily for the first time) and who use it perfectly (both consistently and correctly), the percentage who experience an accidental pregnancy during the first year if they do not stop use for any other reason. 4 The treatment schedule is one dose within 72 hours after unprotected intercourse, and a second dose 12 hours after the first dose. The FDA has declared the following brands of oral contraceptives to be safe and effective for emergency contraception: Ovral ® (1 dose is 2 white pills), Alesse ® (1 dose is 5 pink pills), Nordette ® or Levlen ® (1 dose is 4 yellow pills). 5 However, to maintain effective protection against pregnancy, another method of contraception must be used as soon as menstruation resumes, the frequency of duration of breastfeeds is reduced, bottle feeds are introduced, or the baby reaches 6 months of age. 6 The percents becoming pregnant in columns (2) and (3) are based on data from populations where contraception is not used and from women who cease using contraception in order to become pregnant. Among such populations, about 89% become pregnant within one year. This estimate was lowered slightly (to 85%) to represent the percent who would become pregnant within one year among women now relying on reversible methods of contraception if they abandoned contraception altogether. 7 Foams, creams, gels, vaginal suppositories, and vaginal film. 8 Cervical mucus (ovulation) method supplemented by calendar in the pre-ovulatory and basal body temperature in the post-ovulatory phases. 9 With spermicidal cream or jelly. 1 0 Without spermicides. Method ( 1 ) Typical  Use 2 ( 2 ) Perfect  Use 3 ( 3 ) ( 4 ) Chance 6 85 85 Spermicides 7 26 6 40 Periodic abstinence 25 63 Calendar 9 Ovulation Method 3 Sympto-Thermal 8 2 Post-Ovulation 1 Withdrawal 19 4 Cap 9 Parous Women 40 26 42 Nulliparous Women 20 9 56 Sponge Parous Women 40 20 42 Nulliparous Women 20 9 56 Diaphragm 9 20 6 56 Condom 1 0 Female (Reality ® ) 21 5 56 Male 14 3 61 Pill 5 71 Progestin Only 0.5 Combined 0.1 IUD Progesterone T 2.0 1.5 81 Copper T380A 0.8 0.6 78 LNg 20 0.1 0.1 81 Depo-Provera 0.3 0.3 70 Norplant ®  and Norplant-2 ® 0.05 0.05 88 Female Sterilization 0.5 0.5 100 Male Sterilization 0.15 0.10 100 Enskyce has not been studied for and is not indicated for use in emergency contraception.

Dosage and Administration

To achieve maximum contraceptive effectiveness, Enskyce must be taken exactly as directed and at intervals not exceeding 24 hours. Enskyce is available in the blister which is preset for a Sunday Start. Day 1 Start is also provided.

Contraindications

Enskyce is contraindicated in females who are known to have or develop the following conditions: Thrombophlebitis or thromboembolic disorders A past history of deep vein thrombophlebitis or thromboembolic disorders Known thrombophilic conditions Cerebral vascular or coronary artery disease (current or history) Valvular heart disease with complications Persistent blood pressure values of ≥160 mm Hg systolic or ≥100 mg Hg diastolic 102 Diabetes with vascular involvement Headaches with focal neurological symptoms Major surgery with prolonged immobilization Current diagnosis of, or history of, breast cancer, which may be hormonesensitive Carcinoma of the endometrium or other known or suspected estrogen-dependent neoplasia Undiagnosed abnormal genital bleeding Cholestatic jaundice of pregnancy or jaundice with prior pill use Acute or chronic hepatocellular disease with abnormal liver function Hepatic adenomas or carcinomas Known or suspected pregnancy Hypersensitivity to any component of this product Are receiving Hepatitis C drug combinations containing ombitasvir/paritaprevir/ritonavir, with or without dasabuvir, due to the potential for ALT elevations (see section 5 in WARNINGS, RISK OF LIVER ENZYME ELEVATIONS WITH CONCOMITANT HEPATITIS C TREATMENT ).

Adverse Reactions

Post Marketing Experience Five studies that compared breast cancer risk between ever-users (current or past use) of COCs and never-users of COCs reported no association between ever use of COCs and breast cancer risk, with effect estimates ranging from 0.90 - 1.12 (Figure 2). Three studies compared breast cancer risk between current or recent COC users (<6 months since last use) and never users of COCs (Figure 2). One of these studies reported no association between breast cancer risk and COC use. The other two studies found an increased relative risk of 1.19 - 1.33 with current or recent use. Both of these studies found an increased risk of breast cancer with current use of longer duration, with relative risks ranging from 1.03 with less than one year of COC use to approximately 1.4 with more than 8-10 years of COC use. Figure 2: Risk of Breast Cancer with Combined Oral Contraceptive Use RR = relative risk; OR = odds ratio; HR = hazard ratio. "ever COC" are females with current or past COC use; "never COC use" are females that never used COCs. An increased risk of the following serious adverse reactions has been associated with the use of oral contraceptives (see WARNINGS ). Thrombophlebitis and venous thrombosis with or without embolism Arterial thromboembolism Pulmonary embolism Myocardial infarction Cerebral hemorrhage Cerebral thrombosis Hypertension Gallbladder disease Hepatic adenomas or benign liver tumors There is evidence of an association between the following conditions and the use of oral contraceptives: Mesenteric thrombosis Retinal thrombosis The following adverse reactions have been reported in patients receiving oral contraceptives and are believed to be drug-related: Nausea Vomiting Gastrointestinal symptoms (such as abdominal cramps and bloating) Breakthrough bleeding Spotting Change in menstrual flow Amenorrhea Temporary infertility after discontinuation of treatment Edema Melasma which may persist Breast changes: tenderness, enlargement, secretion Change in weight (increase or decrease) Change in cervical erosion and secretion Diminution in lactation when given immediately postpartum Cholestatic jaundice Migraine Allergic reaction, including rash, urticaria, and angioedema Mental depression Reduced tolerance to carbohydrates Vaginal candidiasis Change in corneal curvature (steepening) Intolerance to contact lenses The following adverse reactions have been reported in users of oral contraceptives and a causal association has been neither confirmed nor refuted: Pre-menstrual syndrome Cataracts Changes in appetite Cystitis-like syndrome Headache Nervousness Dizziness Hirsutism Loss of scalp hair Erythema multiforme Erythema nodosum Hemorrhagic eruption Vaginitis Porphyria Impaired renal function Hemolytic uremic syndrome Acne Changes in libido Colitis Budd-Chiari Syndrome

Drug Interactions

Tell your healthcare provider about all medicines and herbal products that you take. Some medicines and herbal products may make hormonal birth control less effective, including, but not limited to: certain seizure medicines (carbamazepine, felbamate, oxcarbazepine, phenytoin, rufinamide, and topiramate) aprepitant barbiturates bosentan colesevelam griseofulvin certain combinations of HIV medicines (nelfinavir, ritonavir, ritonavir-boosted protease inhibitors) certain non nucleoside reverse transcriptase inhibitors (nevirapine) rifampin and rifabutin St. John's wort Use another birth control method (such as a condom and spermicide or diaphragm and spermicide) when you take medicines that may make Enskyce less effective. Some medicines and grapefruit juice may increase your level of the hormone ethinyl estradiol if used together, including: acetaminophen ascorbic acid medicines that affect how your liver breaks down other medicines (itraconazole, ketoconazole, voriconazole, and fluconazole) certain HIV medicines (atazanavir, indinavir) atorvastatin rosuvastatin etravirine Hormonal birth control methods may interact with lamotrigine, a seizure medicine used for epilepsy. This may increase the risk of seizures, so your healthcare provider may need to adjust the dose of lamotrigine. Women on thyroid replacement therapy may need increased doses of thyroid hormone. Know the medicines you take. Keep a list of them to show your doctor and pharmacist when you get a new medicine.

How Supplied

Enskyce Tablets are available in a blister (NDC 68180-739-71) containing 28 tablets packed in a pouch (NDC 68180-739-71). Such three pouches are packaged in a carton (NDC 68180-739-73). Each blister contains 28 tablets in the following order: • Each of the 21 light orange, round, biconvex, film-coated tablet contains 0.15 mg of desogestrel and 0.03 mg of ethinyl estradiol USP and is debossed with "L" on one side and "J7" on the other side. • Each of the 7 green, mottled, round, biconvex tablet debossed with "LU" on one side and "L22" on the other side. STORAGE: Store at 25°C (77°F); excursions permitted to 15° to 30°C (59° to 86°F) [see USP Controlled Room Temperature].

Description

WARNING: CARDIOVASCULAR RISK ASSOCIATED WITH SMOKING Cigarette smoking increases the risk of serious cardiovascular events from combination oral contraceptive use. This risk increases with age, particularly in women over 35 years of age, and with the number of cigarettes smoked. For this reason, combination oral contraceptives, including Enskyce™ (desogestrel and ethinyl estradiol tablets USP), should not be used by women who are over 35 years of age and smoke.


Medication Information

Recent Major Changes

WARNING: CARDIOVASCULAR RISK ASSOCIATED WITH SMOKING

Cigarette smoking increases the risk of serious cardiovascular events from combination oral contraceptive use. This risk increases with age, particularly in women over 35 years of age, and with the number of cigarettes smoked. For this reason, combination oral contraceptives, including Enskyce™ (desogestrel and ethinyl estradiol tablets USP), should not be used by women who are over 35 years of age and smoke.

Indications and Usage

Enskyce Tablets are indicated for the prevention of pregnancy in women who elect to use oral contraceptives as a method of contraception.

Oral contraceptives are highly effective. Table 1 lists the typical accidental pregnancy rates for users of combined oral contraceptives and other methods of contraception. The efficacy of these contraceptive methods, except sterilization, the IUD, and the Norplant System depends upon the reliability with which they are used. Correct and consistent use of these methods can result in lower failure rates.

In a clinical trial with Enskyce, 1,195 subjects completed 11,656 cycles and a total of 10 pregnancies were reported. This represents an overall user-efficacy (typical user-efficacy) pregnancy rate of 1.12 per 100 women-years. This rate includes patients who did not take the drug correctly.

TABLE 1: PERCENTAGE OF WOMEN EXPERIENCING AN UNINTENDED PREGNANCY DURING THE FIRST YEAR OF TYPICAL USE AND THE FIRST YEAR OF PERFECT USE OF CONTRACEPTION AND THE PERCENTAGE CONTINUING USE AT THE END OF THE FIRST YEAR. UNITED STATES.


of  Women  Experiencing  an  Unintended

Pregnancy  within  the  First  Year  of  Use

of  Women

Continuing  Use  at  One

Year1

Emergency Contraceptive Pills: Treatment initiated within 72 hours after unprotected intercourse reduces the risk of pregnancy by at least 75%.4

Lactation Amenorrhea Method: LAM is a highly effective, temporary method of contraception.5

Source: Trussell J. Contraceptive efficacy. In Hatcher RA, Trussell J, Stewart F, Cates W, Stewart GK, Kowel D, Guest F, Contraceptive Technology: Seventeenth Revised Edition. New York, NY; Irvington Publishers, 1998.

1 Among couples attempting to avoid pregnancy, the percentage who continue to use a method for one year.

2 Among typical couples who initiate use of a method (not necessarily for the first time), the percentage who experience an accidental pregnancy during the first year if they do not stop use for any other reason.

3 Among couples who initiate use of a method (not necessarily for the first time) and who use it perfectly (both consistently and correctly), the percentage who experience an accidental pregnancy during the first year if they do not stop use for any other reason.

4 The treatment schedule is one dose within 72 hours after unprotected intercourse, and a second dose 12 hours after the first dose. The FDA has declared the following brands of oral contraceptives to be safe and effective for emergency contraception: Ovral® (1 dose is 2 white pills), Alesse® (1 dose is 5 pink pills), Nordette® or Levlen® (1 dose is 4 yellow pills).

5 However, to maintain effective protection against pregnancy, another method of contraception must be used as soon as menstruation resumes, the frequency of duration of breastfeeds is reduced, bottle feeds are introduced, or the baby reaches 6 months of age.

6 The percents becoming pregnant in columns (2) and (3) are based on data from populations where contraception is not used and from women who cease using contraception in order to become pregnant. Among such populations, about 89% become pregnant within one year. This estimate was lowered slightly (to 85%) to represent the percent who would become pregnant within one year among women now relying on reversible methods of contraception if they abandoned contraception altogether.

7 Foams, creams, gels, vaginal suppositories, and vaginal film.

8 Cervical mucus (ovulation) method supplemented by calendar in the pre-ovulatory and basal body temperature in the post-ovulatory phases.

9 With spermicidal cream or jelly.

1 0 Without spermicides.

Method

( 1 )

Typical  Use2

( 2 )

Perfect  Use3

( 3 )

( 4 )

Chance6

85

85



Spermicides7

26

6

40

Periodic abstinence

25



63

Calendar



9



Ovulation Method



3



Sympto-Thermal8



2



Post-Ovulation



1



Withdrawal

19

4



Cap9







Parous Women

40

26

42

Nulliparous Women

20

9

56

Sponge







Parous Women

40

20

42

Nulliparous Women

20

9

56

Diaphragm9

20

6

56

Condom1 0







Female (Reality®)

21

5

56

Male

14

3

61

Pill

5



71

Progestin Only



0.5



Combined



0.1



IUD







Progesterone T

2.0

1.5

81

Copper T380A

0.8

0.6

78

LNg 20

0.1

0.1

81

Depo-Provera

0.3

0.3

70

Norplant® and Norplant-2®

0.05

0.05

88

Female Sterilization

0.5

0.5

100

Male Sterilization

0.15

0.10

100

Enskyce has not been studied for and is not indicated for use in emergency contraception.

Dosage and Administration

To achieve maximum contraceptive effectiveness, Enskyce must be taken exactly as directed and at intervals not exceeding 24 hours. Enskyce is available in the blister which is preset for a Sunday Start. Day 1 Start is also provided.

Contraindications

Enskyce is contraindicated in females who are known to have or develop the following conditions:

  • Thrombophlebitis or thromboembolic disorders
  • A past history of deep vein thrombophlebitis or thromboembolic disorders
  • Known thrombophilic conditions
  • Cerebral vascular or coronary artery disease (current or history)
  • Valvular heart disease with complications
  • Persistent blood pressure values of ≥160 mm Hg systolic or ≥100 mg Hg diastolic102
  • Diabetes with vascular involvement
  • Headaches with focal neurological symptoms
  • Major surgery with prolonged immobilization
  • Current diagnosis of, or history of, breast cancer, which may be hormonesensitive
  • Carcinoma of the endometrium or other known or suspected estrogen-dependent neoplasia
  • Undiagnosed abnormal genital bleeding
  • Cholestatic jaundice of pregnancy or jaundice with prior pill use
  • Acute or chronic hepatocellular disease with abnormal liver function
  • Hepatic adenomas or carcinomas
  • Known or suspected pregnancy
  • Hypersensitivity to any component of this product
  • Are receiving Hepatitis C drug combinations containing ombitasvir/paritaprevir/ritonavir, with or without dasabuvir, due to the potential for ALT elevations (see section 5 in WARNINGS, RISK OF LIVER ENZYME ELEVATIONS WITH CONCOMITANT HEPATITIS C TREATMENT ).
Adverse Reactions

Post Marketing Experience

Five studies that compared breast cancer risk between ever-users (current or past use) of COCs and never-users of COCs reported no association between ever use of COCs and breast cancer risk, with effect estimates ranging from 0.90 - 1.12 (Figure 2).

Three studies compared breast cancer risk between current or recent COC users (<6 months since last use) and never users of COCs (Figure 2). One of these studies reported no association between breast cancer risk and COC use. The other two studies found an increased relative risk of 1.19 - 1.33 with current or recent use. Both of these studies found an increased risk of breast cancer with current use of longer duration, with relative risks ranging from 1.03 with less than one year of COC use to approximately 1.4 with more than 8-10 years of COC use.

Figure 2: Risk of Breast Cancer with Combined Oral Contraceptive Use

RR = relative risk; OR = odds ratio; HR = hazard ratio. "ever COC" are females with current or past COC use; "never COC use" are females that never used COCs.

An increased risk of the following serious adverse reactions has been associated with the use of oral contraceptives (see WARNINGS ).

  • Thrombophlebitis and venous thrombosis with or without embolism
  • Arterial thromboembolism
  • Pulmonary embolism
  • Myocardial infarction
  • Cerebral hemorrhage
  • Cerebral thrombosis
  • Hypertension
  • Gallbladder disease
  • Hepatic adenomas or benign liver tumors

There is evidence of an association between the following conditions and the use of oral contraceptives:

  • Mesenteric thrombosis
  • Retinal thrombosis

The following adverse reactions have been reported in patients receiving oral contraceptives and are believed to be drug-related:

  • Nausea
  • Vomiting
  • Gastrointestinal symptoms (such as abdominal cramps and bloating)
  • Breakthrough bleeding
  • Spotting
  • Change in menstrual flow
  • Amenorrhea
  • Temporary infertility after discontinuation of treatment
  • Edema
  • Melasma which may persist
  • Breast changes: tenderness, enlargement, secretion
  • Change in weight (increase or decrease)
  • Change in cervical erosion and secretion
  • Diminution in lactation when given immediately postpartum
  • Cholestatic jaundice
  • Migraine
  • Allergic reaction, including rash, urticaria, and angioedema
  • Mental depression
  • Reduced tolerance to carbohydrates
  • Vaginal candidiasis
  • Change in corneal curvature (steepening)
  • Intolerance to contact lenses

The following adverse reactions have been reported in users of oral contraceptives and a causal association has been neither confirmed nor refuted:

  • Pre-menstrual syndrome
  • Cataracts
  • Changes in appetite
  • Cystitis-like syndrome
  • Headache
  • Nervousness
  • Dizziness
  • Hirsutism
  • Loss of scalp hair
  • Erythema multiforme
  • Erythema nodosum
  • Hemorrhagic eruption
  • Vaginitis
  • Porphyria
  • Impaired renal function
  • Hemolytic uremic syndrome
  • Acne
  • Changes in libido
  • Colitis
  • Budd-Chiari Syndrome
Drug Interactions

Tell your healthcare provider about all medicines and herbal products that you take. Some medicines and herbal products may make hormonal birth control less effective, including, but not limited to: certain seizure medicines (carbamazepine, felbamate, oxcarbazepine, phenytoin, rufinamide, and topiramate) aprepitant barbiturates bosentan colesevelam griseofulvin certain combinations of HIV medicines (nelfinavir, ritonavir, ritonavir-boosted protease inhibitors) certain non nucleoside reverse transcriptase inhibitors (nevirapine) rifampin and rifabutin St. John's wort Use another birth control method (such as a condom and spermicide or diaphragm and spermicide) when you take medicines that may make Enskyce less effective. Some medicines and grapefruit juice may increase your level of the hormone ethinyl estradiol if used together, including: acetaminophen ascorbic acid medicines that affect how your liver breaks down other medicines (itraconazole, ketoconazole, voriconazole, and fluconazole) certain HIV medicines (atazanavir, indinavir) atorvastatin rosuvastatin etravirine Hormonal birth control methods may interact with lamotrigine, a seizure medicine used for epilepsy. This may increase the risk of seizures, so your healthcare provider may need to adjust the dose of lamotrigine. Women on thyroid replacement therapy may need increased doses of thyroid hormone. Know the medicines you take. Keep a list of them to show your doctor and pharmacist when you get a new medicine.

Other Information

Your healthcare professional will take a medical and family history before prescribing oral contraceptives and will examine you. The physical examination may be delayed to another time if you request it and the healthcare professional believes that it is a good medical practice to postpone it. You should be reexamined at least once a year. Be sure to inform your healthcare professional if there is a family history of any of the conditions listed previously in this leaflet. Be sure to keep all appointments with your healthcare professional because this is a time to determine if there are early signs of side effects of oral contraceptive use.

Do not use the drug for any condition other than the one for which it was prescribed. This drug has been prescribed specifically for you; do not give it to others who may want birth control pills.

How Supplied

Enskyce Tablets are available in a blister (NDC 68180-739-71) containing 28 tablets packed in a pouch (NDC 68180-739-71). Such three pouches are packaged in a carton (NDC 68180-739-73).

Each blister contains 28 tablets in the following order:

• Each of the 21 light orange, round, biconvex, film-coated tablet contains 0.15 mg of desogestrel and 0.03 mg of ethinyl estradiol USP and is debossed with "L" on one side and "J7" on the other side.

• Each of the 7 green, mottled, round, biconvex tablet debossed with "LU" on one side and "L22" on the other side.

STORAGE:

Store at 25°C (77°F); excursions permitted to 15° to 30°C (59° to 86°F) [see USP Controlled Room Temperature].

Description

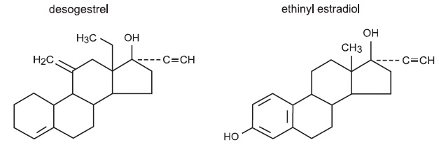
Enskyce (desogestrel and ethinyl estradiol tablets USP) provides an oral contraceptive regimen of 21 light orange round tablets each containing 0.15 mg desogestrel (13-ethyl-11-methylene-18,19-dinor-17 alpha-pregn-4-en-20-yn-17-ol) and 0.03 mg ethinyl estradiol (19-nor-17 alpha-pregna-1,3,5 (10)-trien-20-yne-3,17,diol). Inactive ingredients include colloidal silicon dioxide, corn starch, hypromellose, iron oxide yellow, iron oxide red, lactose monohydrate, magnesium stearate, polyethylene glycol, povidone, stearic acid, talc, titanium dioxide, and vitamin E. Each green tablet contains the following inactive ingredients: corn starch, D&C Yellow No. 10 Aluminum Lake, FD&C Blue #2/ Aluminium Lake, FD&C Yellow #6/ Yellow FCF Aluminium Lake, lactose monohydrate and magnesium stearate.

Enskyce meets USP Dissolution Test 2.

Section 42229-5

Patients should be counseled that this product does not protect against HIV infection (AIDS) and other sexually transmitted diseases.

Section 51945-4

Enskyce™

(desogestrel and ethinyl estradiol Tablets USP)

0.15 mg/0.03 mg

Rx Only

NDC 68180-739-71

Blister Label: 28 Tablets

Enskyce™

(desogestrel and ethinyl estradiol Tablets USP)

0.15 mg/0.03 mg

Rx Only

NDC 68180-739-71

Pouch Label: 1 Blister of 28 Tablets

Enskyce™

(desogestrel and ethinyl estradiol Tablets USP)

0.15 mg/0.03 mg

Rx Only

NDC 68180-739-73

Carton Label: 3 Blisters of 28 Tablets Each

1. General

Patients should be counseled that this product does not protect against HIV infection (AIDS) and other sexually transmitted diseases.

4. Melasma

A spotty darkening of the skin is possible, particularly of the face, which may persist.

Overdosage

Serious ill effects have not been reported following acute ingestion of large doses of oral contraceptives by young children. Overdosage may cause nausea, and withdrawal bleeding may occur in females.

References
  • Trussell J. Contraceptive efficacy. In Hatcher RA, Trussell J, Stewart F, Cates W, Stewart GK, Kowal D, Guest F. Contraceptive Technology: Seventeenth Revised Edition. New York NY: Irvington Publishers, 1998.
  • Stadel BV. Oral contraceptives and cardiovascular disease. (Pt.1). N Engl J Med 1981; 305: 612-618.
  • Stadel BV. Oral contraceptives and cardiovascular disease. (Pt. 2). N Engl J Med 1981; 305: 672-677.
  • Adam SA, Thorogood M. Oral contraception and myocardial infarction revisited: the effects of new preparations and prescribing patterns. Br J Obstet and Gynecol 1981; 88:838-845.
  • Mann JI, Inman WH. Oral contraceptives and death from myocardial infarction. Br Med J 1975; 2(5965):245-248.
  • Mann JI, Vessey MP, Thorogood M, Doll R. Myocardial infarction in young women with special reference to oral contraceptive practice. Br Med J 1975;2(5956):241-245.
  • Royal College of General Practitioners' Oral Contraception Study: Further analyses of mortality in oral contraceptive users. Lancet 1981;1:541-546.
  • Slone D, Shapiro S, Kaufman DW, Rosenberg L, Miettinen OS, Stolley PD. Risk of myocardial infarction in relation to current and discontinued use of oral contraceptives. N Engl J Med 1981; 305:420-424.
  • Vessey MP. Female hormones and vascular disease-an epidemiological overview. Br J Fam Plann 1980; 6 (Supplement):1-12.
  • Russell Briefel RG, Ezzati TM, Fulwood R, Perlman JA, Murphy RS. Cardiovascular risk status and oral contraceptive use, United States, 1976-80. Prevent Med 1986; 15:352-362.
  • Goldbaum GM, Kendrick JS, Hogelin GC, Gentry EM.The relative impact of smoking and oral contraceptive use on women in the United States. JAMA 1987; 258:1339-1342.
  • Layde PM, Beral V. Further analyses of mortality in oral contraceptive users: Royal College of General Practitioners' Oral Contraception Study. (Table 5) Lancet 1981; 1:541-546.
  • Knopp RH. Arteriosclerosis risk: the roles of oral contraceptives and postmenopausal estrogens. J Reprod Med 1986; 31(9) (Supplement):913-921.
  • Krauss RM, Roy S, Mishell DR, Casagrande J, Pike MC. Effects of two low-dose oral contraceptives on serum lipids and lipoproteins: Differential changes in high-density lipoproteins subclasses. Am J Obstet 1983; 145:446-452.
  • Wahl P, Walden C, Knopp R, Hoover J, Wallace R, Heiss G, Rifkind B. Effect of estrogen/progestin potency on lipid/ lipoprotein cholesterol. N Engl J Med 1983; 308: 862-867.
  • Wynn V, Niththyananthan R. The effect of progestin in combined oral contraceptives on serum lipids with special reference to high density lipoproteins. Am J Obstet Gynecol 1982; 142:766-771.
  • Wynn V, Godsland I. Effects of oral contraceptives and carbohydrate metabolism. J Reprod Med 1986; 31 (9) (Supplement):892-897.
  • LaRosa JC. Atherosclerotic risk factors in cardiovascular disease. J Reprod Med 1986;31 (9) (Supplement):906-912.
  • Inman WH, Vessey MP. Investigation of death from pulmonary, coronary, and cerebral thrombosis and embolism in women of child bearing age. Br Med J 1968; 2 (5599):193-199.
  • Maguire MG, Tonascia J, Sartwell PE, Stolley PD, Tockman MS. Increased risk of thrombosis due to oral contraceptives: a further report. Am J Epidemiol 1979; 110 (2):188-195.
  • Pettiti DB, Wingerd J, Pellegrin F, Ramacharan S. Risk of vascular disease in women: smoking, oral contraceptives, noncontraceptive estrogens, and other factors. JAMA 1979; 242:1150-1154.
  • Vessey MP, Doll R. Investigation of relation between use of oral contraceptives and thromboembolic disease. Br Med J 1968; 2 (5599):199-205.
  • Vessey MP, Doll R. Investigation of relation between use of oral contraceptives and thromboembolic disease. A further report. Br Med J 1969; 2 (5658):651-657.
  • Porter JB, Hunter JR, Danielson DA, Jick H, Stergachis A. Oral contraceptives and non-fatal vascular disease-recent experience. Obstet Gynecol 1982; 59 (3):299-302.
  • Vessey M, Doll R, Peto R, Johnson B, Wiggins P. A long-term follow-up study of women using different methods of contraception: an interim report. J Biosocial Sci 1976; 8: 375-427.
  • Royal College of General Practitioners: Oral contraceptives, venous thrombosis, and varicose veins. J Royal Coll Gen Pract 1978; 28:393-399.
  • Collaborative Group for the Study of Stroke in Young Women: Oral contraception and increased risk of cerebral ischemia or thrombosis. N Engl J Med 1973; 288:871-878.
  • Petitti DB, Wingerd J. Use of oral contraceptives, cigarette smoking, and risk of subarachnoid hemorrhage. Lancet 1978; 2:234-236.
  • Inman WH. Oral contraceptives and fatal subarachnoid hemorrhage. Br Med J 1979; 2 (6203):1468-70.
  • Collaborative Group for the study of Stroke in Young Women: Oral contraceptives and stroke in young women: associated risk factors. JAMA 1975; 231:718-722.
  • Inman WH, Vessey MP, Westerholm B, Engelund A. Thromboembolic disease and the steroidal content of oral contraceptives. A report to the Committee on Safety of Drugs. Br Med J 1970; 2:203-209.
  • Meade TW, Greenberg G, Thompson SG. Progestogens and cardiovascular reactions associated with oral contraceptives and a comparison of the safety of 50- and 35-mcg estrogen preparations. Br Med J 1980; 280 (6224):1157-1161.
  • Kay CR. Progestogens and arterial disease-evidence from the Royal College of General Practitioners' Study. Am J Obstet Gynecol 1982; 142:762-765.
  • Royal College of General Practitioners: Incidence of arterial disease among oral contraceptive users. J Royal Coll Gen Pract 1983; 33:75-82.
  • Ory HW. Mortality associated with fertility and fertility control: 1983. Family Planning Perspectives 1983; 15:50-56.
  • The Cancer and Steroid Hormone Study of the Centers for Disease Control and the National Institute of Child Health and Human Development: Oral contraceptive use and the risk of breast cancer. N Engl J Med 1986; 315:405-411.
  • Pike MC, Henderson BE, Krailo MD, Duke A, Roy S. Breast cancer risk in young women and use of oral contraceptives: possible modifying effect of formulation and age at use. Lancet 1983; 2:926-929.
  • Paul C, Skegg DG, Spears GFS, Kaldor JM. Oral contraceptives and breast cancer: A national study. Br Med J 1986; 293: 723-725.
  • Miller DR, Rosenberg L, Kaufman DW, Schottenfeld D, Stolley PD, Shapiro S. Breast cancer risk in relation to early oral contraceptive use. Obstet Gynecol 1986; 68:863-868.
  • Olsson H, Olsson ML, Moller TR, Ranstam J, Holm P. Oral contraceptive use and breast cancer in young women in Sweden (letter). Lancet 1985; 1(8431):748-749.
  • McPherson K, Vessey M, Neil A, Doll R, Jones L, Roberts M. Early contraceptive use and breast cancer: Results of another case-control study. Br J Cancer 1987; 56:653-660.
  • Huggins GR, Zucker PF. Oral contraceptives and neoplasia: 1987 update. Fertil Steril 1987; 47:733-761.
  • McPherson K, Drife JO. The pill and breast cancer: why the uncertainty? Br Med J 1986; 293:709-710.
  • Shapiro S. Oral contraceptives - time to take stock. N Engl J Med 1987; 315:450-451.
  • Ory H, Naib Z, Conger SB, Hatcher RA, Tyler CW. Contraceptive choice and prevalence of cervical dysplasia and carcinoma in situ. Am J Obstet Gynecol 1976;124:573-577.
  • Vessey MP, Lawless M, McPherson K, Yeates D. Neoplasia of the cervix uteri and contraception: a possible adverse effect of the pill. Lancet 1983; 2:930.
  • Brinton LA, Huggins GR, Lehman HF, Malli K, Savitz DA, Trapido E, Rosenthal J, Hoover R. Long term use of oral contraceptives and risk of invasive cervical cancer. Int J Cancer 1986; 38:339-344.
  • WHO Collaborative Study of Neoplasia and Steroid Contraceptives: Invasive cervical cancer and combined oral contraceptives. Br Med J 1985; 290:961-965.
  • Rooks JB, Ory HW, Ishak KG, Strauss LT, Greenspan JR, Hill AP, Tyler CW. Epidemiology of hepatocellular adenoma: the role of oral contraceptive use. JAMA 1979; 242:644-648.
  • Bein NN, Goldsmith HS. Recurrent massive hemorrhage from benign hepatic tumors secondary to oral contraceptives. Br J Surg 1977; 64:433-435.
  • Klatskin G. Hepatic tumors: possible relationship to use of oral contraceptives. Gastroenterology 1977; 73:386-394.
  • Henderson BE, Preston-Martin S, Edmondson HA, Peters RL, Pike MC. Hepatocellular carcinoma and oral contraceptives. Br J Cancer 1983; 48:437-440.
  • Neuberger J, Forman D, Doll R, Williams R. Oral contraceptives and hepatocellular carcinoma. Br Med J 1986; 292:1355-1357.
  • Forman D, Vincent TJ, Doll R. Cancer of the liver and oral contraceptives. Br Med J 1986; 292:1357-1361.
  • Harlap S, Eldor J. Births following oral contraceptive failures. Obstet Gynecol 1980; 55:447-452.
  • Savolainen E, Saksela E, Saxen L. Teratogenic hazards of oral contraceptives analyzed in a national malformation register. Am J Obstet Gynecol 1981; 140:521-524.
  • Janerich DT, Piper JM, Glebatis DM. Oral contraceptives and birth defects. Am J Epidemiol 1980; 112:73-79.
  • Ferencz C, Matanoski GM, Wilson PD, Rubin JD, Neill CA, Gutberlet R. Maternal hormone therapy and congenital heart disease. Teratology 1980; 21:225-239.
  • Rothman KJ, Fyler DC, Goldbatt A, Kreidberg MB. Exogenous hormones and other drug exposures of children with congenital heart disease. Am J Epidemiol 1979; 109:433-439.
  • Boston Collaborative Drug Surveillance Program: Oral contraceptives and venous thromboembolic disease, surgically confirmed gall-bladder disease, and breast tumors. Lancet 1973;1:1399-1404.
  • Royal College of General Practitioners: Oral contraceptives and health. New York, Pittman, 1974.
  • Layde PM, Vessey MP, Yeates D. Risk of gall bladder disease: a cohort study of young women attending family planning clinics. J Epidemiol Community Health 1982; 36:274-278.
  • Rome Group for the Epidemiology and Prevention of Cholelithiasis (GREPCO): Prevalence of gallstone disease in an Italian adult female population. Am J Epidemiol 1984; 119:796-805.
  • Strom BL, Tamragouri RT, Morse ML, Lazar EL, West SL, Stolley PD, Jones JK. Oral contraceptives and other risk factors for gall bladder disease. Clin Pharmacol Ther 1986; 39:335-341.
  • Wynn V, Adams PW, Godsland IF, Melrose J, Niththyananthan R, Oakley NW, Seedj A. Comparison of effects of different combined oral contraceptive formulations on carbohydrate and lipid metabolism. Lancet 1979; 1:1045-1049.
  • Wynn V. Effect of progesterone and progestins on carbohydrate metabolism. In Progesterone and Progestin. Edited by Bardin CW, Milgrom E, Mauvis-Jarvis P. New York, Raven Press, 1983; pp. 395-410.
  • Perlman JA, Roussell-Briefel RG, Ezzati TM, Lieberknecht G. Oral glucose tolerance and the potency of oral contraceptive progestogens. J Chronic Dis 1985; 38:857-864.
  •  Royal College of General Practitioners' Oral Contraception Study: Effect on hypertension and benign breast disease of progestogen component in combined oral contraceptives. Lancet 1977; 1:624.
  • Fisch IR, Frank J. Oral contraceptives and blood pressure. JAMA 1977; 237:2499-2503.
  • Laragh AJ. Oral contraceptive induced hypertension-nine years later. Am J Obstet Gynecol 1976; 126:141-147.
  • Ramcharan S, Peritz E, Pellegrin FA, Williams WT. Incidence of hypertension in the Walnut Creek Contraceptive Drug Study cohort. In Pharmacology of Steroid Contraceptive Drugs. Garattini S, Berendes HW. Eds. New York, Raven Press, 1977; pp. 277-288. (Monographs of the Mario Negri Institute for Pharmacological Research, Milan).
  • Stockley I. Interactions with oral contraceptives. J Pharm 1976; 216:140-143.
  • The Cancer and Steroid Hormone Study of the Centers for Disease Control and the National Institute of Child Health and Human Development: Oral contraceptive use and the risk of ovarian cancer. JAMA 1983; 249:1596-1599.
  • The Cancer and Steroid Hormone Study of the Centers for Disease Control and the National Institute of Child Health and Human Development: Combination oral contraceptive use and the risk of endometrial cancer. JAMA 1987; 257:796-800.
  • Ory HW. Functional ovarian cysts and oral contraceptives: negative association confirmed surgically. JAMA 1974; 228: 68-69.
  • Ory HW, Cole P, Macmahon B, Hoover R. Oral contraceptives and reduced risk of benign breast disease. N Engl J Med 1976; 294:419-422.
  • Ory HW. The noncontraceptive health benefits from oral contraceptive use. Fam Plann Perspect 1982; 14:182-184.
  • Ory HW, Forrest JD, Lincoln R. Making Choices: Evaluating the health risks and benefits of birth control methods. New York, The Alan Guttmacher Institute, 1983; p.1.
  • Schlesselman J, Stadel BV, Murray P, Lai S. Breast Cancer in relation to early use of oral contraceptives. JAMA 1988; 259:1828-1833.
  • Hennekens CH, Speizer FE, Lipnick RJ, Rosner B, Bain C, Belanger C, Stampfer MJ, Willett W, Peto R. A case-controlled study of oral contraceptive use and breast cancer. JNCI 1984;72:39-42.
  • LaVecchia C, Decarli A, Fasoli M, Franceschi S, Gentile A, Negri E, Parazzini F, Tognoni G. Oral contraceptives and cancers of the breast and of the female genital tract. Interim results from a case-control study. Br. J. Cancer 1986; 54:311-317.
  • Meirik O, Lund E, Adami H, Bergstrom R, Christoffersen T, Bergsjo P. Oral contraceptive use in breast cancer in young women. A Joint National Case-control study in Sweden and Norway. Lancet 1986; 11:650-654.
  • Kay CR, Hannaford PC. Breast cancer and the pill-A further report from the Royal College of General Practitioners' oral contraception study. Br. J. Cancer 1988; 58:675-680.
  • Stadel BV, Lai S, Schlesselman JJ, Murray P. Oral contraceptives and premenopausal breast cancer in nulliparous women. Contraception 1988; 38:287-299.
  • Miller DR, Rosenberg L, Kaufman DW, Stolley P, Warshauer ME, Shapiro S. Breast cancer before age 45 and oral contraceptive use: New Findings. Am. J. Epidemiol 1989; 129:269-280.
  • The UK National Case-Control Study Group, Oral contraceptive use and breast cancer risk in young women. Lancet 1989; 1:973-982.
  • Schlesselman JJ. Cancer of the breast and reproductive tract in relation to use of oral contraceptives. Contraception 1989; 40:1-38.
  • Vessey MP, McPherson K, Villard-Mackintosh L, Yeates D. Oral contraceptives and breast cancer: latest findings in a large cohort study. Br. J. Cancer 1989; 59:613-617.
  • Jick SS, Walker AM, Stergachis A, Jick H. Oral contraceptives and breast cancer. Br. J. Cancer 1989; 59:618-621.
  • Godsland, I et al. The effects of different formulations of oral contraceptive agents on lipid and carbohydrate metabolism. N Engl J Med 1990; 323:1375-81.
  • Kloosterboer, HJ et al. Selectivity in progesterone and androgen receptor binding of progestogens used in oral contraception. Contraception 1988; 38:325-32.
  • Van der Vies, J and de Visser, J. Endocrinological studies with desogestrel. Arzneim Forsch/ Drug Res, 1983; 33(I),2:231-6.
  • Data on file, Organon Inc.
  • Fotherby, K. Oral contraceptives, lipids and cardiovascular diseases. Contraception 1985; Vol. 31; 4:367-94.
  • Lawrence, DM et al. Reduced sex hormone binding globulin and derived free testosterone levels in women with severe acne. Clinical Endocrinology 1981;15:87-91.
  • Collaborative Group on Hormonal Factors in Breast Cancer. Breast cancer and hormonal contraceptives: collaborative reanalysis of individual data on 53 297 women with breast cancer and 100 239 women without breast cancer from 54 epidemiological studies. Lancet 1996; 347:1713-1727.
  • Palmer JR, Rosenberg L, Kaufman DW, Warshauer ME, Stolley P, Shapiro S. Oral Contraceptive Use and Liver Cancer. Am J Epidemiol 1989; 130:878-882.
  • Improving access to quality care in family planning: Medical eligibility criteria for contraceptive use. Geneva, WHO, Family and Reproductive Health, 1996.
  • Bork K, Fischer B, DeWald G. Recurrent episodes of skin angioedema and severe attacks of abdominal pain induced by oral contraceptives or hormone replacement therapy. Am J Med 2003;114:294-298
  • Van Giersbergen PLM, Halabi A, Dingemanse J. Pharmacokinetic interaction between bosentan and the oral contraceptives norethisterone and ethinyl estradiol. Int J Clin Pharmacol Ther 2006;44(3):113-118.
  • Christensen J, Petrenaite V, Atterman J, et al. Oral contraceptives induce lamotrigine metabolism: evidence from a doubleblind, placebo-controlled trial. Epilepsia 2007;48(3):484-489.
  • Chobanian et al. Seventh report of the joint national committee on prevention, detection, evaluation, and treatment of high blood pressure. Hypertension 2003;42;1206-1252.
  • Brown KS, Armstrong IC, Wang A, Walker JR, Noveck RJ, Swearingen D, Allison M, Kissling JC, Kisicki J, Salazar D. Effect of the bile acid sequestrant colesevelam on the pharmacokinetics of pioglitazone, repaglinide, estrogen estradiol, norethindrone, levothyroxine, and glyburide. J Clin Pharmacol 2010;50:554-565.
A Reminder:

If you forget any of the 7 green "reminder" pills in Week 4:

THROW AWAY the pills you missed.

Keep taking 1 pill each day until the pack is empty.

You do not need a back-up method.

FINALLY, IF YOU ARE STILL NOT SURE WHAT TO DO ABOUT THE PILLS YOU HAVE MISSED:

Use a BACK-UP METHOD anytime you have sex.

KEEP TAKING ONE LIGHT ORANGE "ACTIVE" PILL EACH DAY until you can reach your healthcare professional.

PREGNANCY DUE TO PILL FAILURE

When taken correctly without missing any pills, oral contraceptives are highly effective; however the typical failure rate of large numbers of pill users is 5% per year when women who miss pills are included. If failure does occur, the risk to the fetus is minimal.

PREGNANCY AFTER STOPPING THE PILL

There may be some delay in becoming pregnant after you stop using oral contraceptives, especially if you had irregular menstrual cycles before you used oral contraceptives. It may be advisable to postpone conception until you begin menstruating regularly once you have stopped taking the pill and desire pregnancy.

There does not appear to be any increase in birth defects in newborn babies when pregnancy occurs soon after stopping the pill.

Day 1 Start

The dosage of Enskyce for the initial cycle of therapy is one light orange "active" tablet administered daily from the 1st day through the 21st day of the menstrual cycle, counting the first day of menstrual flow as "Day 1". Tablets are taken without interruption as follows: One light orange "active" tablet daily for 21 days, then one green "reminder" tablet daily for 7 days. After 28 tablets have been taken, a new course is started and a light orange "active" tablet is taken the next day.

The use of Enskyce for contraception may be initiated 4 weeks postpartum in women who elect not to breastfeed. When the tablets are administered during the postpartum period, the increased risk of thromboembolic disease associated with the postpartum period must be considered. (See CONTRAINDICATIONS and WARNINGS concerning thromboembolic disease. See also ( PRECAUTIONS , Nursing Mothers). If the patient starts on Enskyce postpartum, and has not yet had a period, she should be instructed to use another method of contraception until a light orange "active" tablet has been taken daily for 7 days. The possibility of ovulation and conception prior to initiation of medication should be considered. If the patient misses one (1) light orange "active" tablet in Weeks 1, 2, or 3, the light orange "active" tablet should be taken as soon as she remembers. If the patient misses two (2) light orange "active" tablets in Week 1 or Week 2, the patient should take two (2) light orange "active" tablets the day she remembers and two (2) light orange "active" tablets the next day; and then continue taking one (1) light orange "active" tablet a day until she finishes the pack. The patient should be instructed to use a back-up method of birth control such as a condom or spermicide if she has sex in the seven (7) days after missing pills. If the patient misses two (2) light orange "active" tablets in the third week or misses three (3) or more light orange "active" tablets in a row, the patient should throw out the rest of the pack and start a new pack that same day. The patient should be instructed to use a back-up method of birth control if she has sex in the seven (7) days after missing pills.

11. Headache

The onset or exacerbation of migraine or development of headache with a new pattern which is recurrent, persistent or severe requires discontinuation of oral contraceptives and evaluation of the cause.

Introduction

Any woman who considers using oral contraceptives (the birth control pill or the pill) should understand the benefits and risks of using this form of birth control. This patient labeling will give you much of the information you will need to make this decision and will also help you determine if you are at risk of developing any of the serious side effects of the pill. It will tell you how to use the pill properly so that it will be as effective as possible. However, this labeling is not a replacement for a careful discussion between you and your healthcare professional. You should discuss the information provided in this labeling with him or her, both when you first start taking the pill and during your revisits. You should also follow your healthcare professional's advice with regard to regular check-ups while you are on the pill.

Sunday Start

When taking Enskyce, the first light orange "active" tablet should be taken on the first Sunday after menstruation begins. If the period begins on Sunday, the first light orange "active" tablet is taken on that day. If switching directly from another oral contraceptive, the first light orange "active" tablet should be taken on the first Sunday after the last ACTIVE tablet of the previous product. Tablets are taken without interruption as follows: One light orange "active" tablet daily for 21 days, then one green "reminder" tablet daily for 7 days. After 28 tablets have been taken, a new course is started and a light orange "active" tablet is taken the next day (Sunday). When initiating a Sunday start regimen, another method of contraception should be used until after the first 7 consecutive days of administration.

The use of Enskyce for contraception may be initiated 4 weeks postpartum. When the tablets are administered during the postpartum period, the increased risk of thromboembolic disease associated with the postpartum period must be considered. (See CONTRAINDICATIONS and WARNINGS concerning thromboembolic disease. See also (PRECAUTIONS,  Nursing Mothers). If the patient starts on Enskyce postpartum, and has not yet had a period, she should be instructed to use another method of contraception until a light orange "active" tablet has been taken daily for 7 days. The possibility of ovulation and conception prior to initiation of medication should be considered. If the patient misses one (1) light orange active tablet in Weeks 1, 2, or 3, the light orange "active" tablet should be taken as soon as she remembers. If the patient misses two (2) light orange "active" tablets in Week 1 or Week 2, the patient should take two (2) light orange "active" tablets the day she remembers and two (2) light orange "active" tablets the next day; and then continue taking one (1) light orange "active" tablet a day until she finishes the pack. The patient should be instructed to use a back-up method of birth control such as a condom or spermicide if she has sex in the seven (7) days after missing pills. If the patient misses two (2) light orange "active" tablets in the third week or misses three (3) or more light orange "active" tablets in a row, the patient should continue taking one light orange "active" tablet every day until Sunday. On Sunday the patient should throw out the rest of the pack and start a new pack that same day. The patient should be instructed to use a back-up method of birth control if she has sex in the seven (7) days after missing pills.

11. Pregnancy

See CONTRAINDICATIONS   and WARNINGS .

4. Liver Tumors

In rare cases, oral contraceptives can cause benign but dangerous liver tumors. These benign liver tumors can rupture and cause fatal internal bleeding. In addition, some studies report an increased risk of developing liver cancer. However, liver cancers are rare.

Warning Signals

If any of these adverse effects occur while you are taking oral contraceptives, call your healthcare professional immediately:

  • Sharp chest pain, coughing of blood, or sudden shortness of breath (indicating a possible clot in the lung)
  • Pain in the calf (indicating a possible clot in the leg)
  • Crushing chest pain or heaviness in the chest (indicating a possible heart attack)
  • Sudden severe headache or vomiting, dizziness or fainting, disturbances of vision or speech, weakness, or numbness in an arm or leg (indicating a possible stroke)
  • Sudden partial or complete loss of vision (indicating a possible clot in the eye)
  • Breast lumps (indicating possible breast cancer or fibrocystic disease of the breast; ask your healthcare professional to show you how to examine your breasts)
  • Severe pain or tenderness in the stomach area (indicating a possibly ruptured liver tumor)
  • Difficulty in sleeping, weakness, lack of energy, fatigue, or change in mood (possibly indicating severe depression)
  • Jaundice or a yellowing of the skin or eyeballs, accompanied frequently by fever, fatigue, loss of appetite, dark colored urine, or light colored bowel movements (indicating possible liver problems)
Pharmacodynamics

Combined oral contraceptives act by suppression of gonadotropins. Although the primary mechanism of this action is inhibition of ovulation, other alterations include changes in the cervical mucus, which increase the difficulty of sperm entry into the uterus, and changes in the endometrium which reduce the likelihood of implantation.

Receptor binding studies, as well as studies in animals, have shown that 3-keto-desogestrel, the biologically active metabolite of desogestrel, combines high progestational activity with minimal intrinsic androgenicity.91,92The relevance of this latter finding in humans is unknown.

Pharmacokinetics

Desogestrel is rapidly and almost completely absorbed and converted into 3-keto-desogestrel, its biologically active metabolite. Following oral administration, the relative bioavailability of desogestrel, as measured by serum levels of 3-keto-desogestrel, is approximately 84%.

In the third cycle of use after a single dose of Enskyce, maximum concentrations of 3-keto-desogestrel of 2,805 ± 1,203 pg/mL (mean ± SD) are reached at 1.4 ± 0.8 hours. The area under the curve (AUC0-∞) is 33,858 ± 11,043 pg/mL·hr after a single dose. At steady state, attained from at least day 19 onwards, maximum concentrations of 5,840 ± 1,667 pg/mL are reached at 1.4 ± 0.9 hours. The minimum plasma levels of 3-keto-desogestrel at steady state are 1,400 ± 560 pg/mL. The AUC0-24 at steady state is 52,299 ± 17,878 pg/mL·hr. The mean AUC0-∞ for 3-keto-desogestrel at single dose is significantly lower than the mean AUC0-24 at steady state. This indicates that the kinetics of 3-keto-desogestrel are non-linear due to an increase in binding of 3-keto-desogestrel to sex hormone-binding globulin in the cycle, attributed to increased sex hormone-binding globulin levels which are induced by the daily administration of ethinyl estradiol. Sex hormone-binding globulin levels increased significantly in the third treatment cycle from day 1 (150 ± 64 nmol/L) to day 21 (230 ± 59 nmol/L).

The elimination half-life for 3-keto-desogestrel is approximately 38 ± 20 hours at steady state. In addition to 3-keto-desogestrel, other phase I metabolites are 3α-OH-desogestrel, 3β-OH-desogestrel, and 3α-OH-5α-H-desogestrel. These other metabolites are not known to have any pharmacologic effects, and are further converted in part by conjugation (phase II metabolism) into polar metabolites, mainly sulfates and glucuronides.

Ethinyl estradiol is rapidly and almost completely absorbed. In the third cycle of use after a single dose of Enskyce, the relative bioavailability is approximately 83%.

13. Pediatric Use

Safety and efficacy of Enskyce Tablets have been established in women of reproductive age. Safety and efficacy are expected to be the same for postpubertal adolescents under the age of 16 and for users 16 years and older. Use of this product before menarche is not indicated.

14. Geriatric Use

This product has not been studied in women over 65 years of age and is not indicated in this population.

2. Contact Lenses

If you wear contact lenses and notice a change in vision or an inability to wear your lenses, contact your healthcare professional.

4. Liver Function

If jaundice develops in any woman receiving oral contraceptives, the medication should be discontinued. Steroid hormones may be poorly metabolized in patients with impaired liver function.

5. Risk of Cancer

It is not known if hormonal birth control pills causes breast cancer. Some studies, but not all, suggest that there could be a slight increase in the risk of breast cancer among current users with longer duration of use.

If you have breast cancer now, or have had it in the past, do not use hormonal birth control because some breast cancers are sensitive to hormones.

Some studies have found an increase in the incidence of cancer of the cervix in women who use oral contraceptives. However, this finding may be related to factors other than the use of oral contraceptives. There is insufficient evidence to rule out the possibility that pills may cause such cancers.

6. Ocular Lesions

There have been clinical case reports of retinal thrombosis associated with the use of oral contraceptives. Oral contraceptives should be discontinued if there is unexplained partial or complete loss of vision; onset of proptosis or diplopia; papilledema; or retinal vascular lesions. Appropriate diagnostic and therapeutic measures should be undertaken immediately.

7. Contact Lenses

Contact lens wearers who develop visual changes or changes in lens tolerance should be assessed by an ophthalmologist.

10. Carcinogenesis

See WARNINGS .

3. Fluid Retention

Oral contraceptives may cause edema (fluid retention) with swelling of the fingers or ankles and may raise your blood pressure. If you experience fluid retention, contact your healthcare professional.

3. Lipid Disorders

Women who are being treated for hyperlipidemias should be followed closely if they elect to use oral contraceptives. Some progestogens may elevate LDL levels and may render the control of hyperlipidemias more difficult.

5. Fluid Retention

Oral contraceptives may cause some degree of fluid retention. They should be prescribed with caution, and only with careful monitoring, in patients with conditions which might be aggravated by fluid retention.

A. Thromboembolism

An increased risk of thromboembolic and thrombotic disease associated with the use of oral contraceptives is well established. Case control studies have found the relative risk of users compared to non-users to be 3 for the first episode of superficial venous thrombosis, 4 to 11 for deep vein thrombosis or pulmonary embolism, and 1.5 to 6 for women with predisposing conditions for venous thromboembolic disease.2,3,19-24 Cohort studies have shown the relative risk to be somewhat lower, about 3 for new cases and about 4.5 for new cases requiring hospitalization.25 The risk of thromboembolic disease associated with oral contraceptives gradually disappears after combined oral contraceptive (COC) use is stopped.2 VTE risk is highest in the first year of use and when restarting hormonal contraception after a break of four weeks or longer.

Several epidemiologic studies indicate that third generation oral contraceptives, including those containing desogestrel, are associated with a higher risk of venous thromboembolism than certain second generation oral contraceptives. In general, these studies indicate an approximate 2-fold increased risk, which corresponds to an additional 1-2 cases of venous thromboembolism per 10,000 women-years of use. However, data from additional studies have not shown this 2-fold increase in risk.

A two- to four-fold increase in relative risk of post-operative thromboembolic complications has been reported with the use of oral contraceptives.9 The relative risk of venous thrombosis in women who have predisposing conditions is twice that of women without such medical conditions.26 If feasible, oral contraceptives should be discontinued at least four weeks prior to and for two weeks after elective surgery of a type associated with an increase in risk of thromboembolism and during and following prolonged immobilization. Since the immediate postpartum period is also associated with an increased risk of thromboembolism, oral contraceptives should be started no earlier than four weeks after delivery in women who elect not to breastfeed.

1. Vaginal Bleeding

Irregular vaginal bleeding or spotting may occur while you are taking the pills. Irregular bleeding may vary from slight staining between menstrual periods to breakthrough bleeding which is a flow much like a regular period. Irregular bleeding occurs most often during the first few months of oral contraceptive use, but may also occur after you have been taking the pill for some time. Such bleeding may be temporary and usually does not indicate any serious problems. It is important to continue taking your pills on schedule. If the bleeding occurs in more than one cycle or lasts for more than a few days, talk to your healthcare professional.

12. Nursing Mothers

Small amounts of oral contraceptive steroids have been identified in the milk of nursing mothers and a few adverse effects on the child have been reported, including jaundice and breast enlargement. In addition, oral contraceptives given in the postpartum period may interfere with lactation by decreasing the quantity and quality of breast milk. If possible, the nursing mother should be advised not to use oral contraceptives but to use other forms of contraception until she has completely weaned her child.

3. Laboratory Tests

If you are scheduled for any laboratory tests, tell your healthcare professional you are taking birth control pills. Certain blood tests may be affected by birth control pills.

4. Drug Interactions

Tell your healthcare provider about all medicines and herbal products that you take.

Some medicines and herbal products may make hormonal birth control less effective, including, but not limited to:

  • certain seizure medicines (carbamazepine, felbamate, oxcarbazepine, phenytoin, rufinamide, and topiramate)
  • aprepitant
  • barbiturates
  • bosentan
  • colesevelam
  • griseofulvin
  • certain combinations of HIV medicines (nelfinavir, ritonavir, ritonavir-boosted protease inhibitors)
  • certain non nucleoside reverse transcriptase inhibitors (nevirapine)
  • rifampin and rifabutin
  • St. John's wort

Use another birth control method (such as a condom and spermicide or diaphragm and spermicide) when you take medicines that may make Enskyce less effective.

Some medicines and grapefruit juice may increase your level of the hormone ethinyl estradiol if used together, including:

  • acetaminophen
  • ascorbic acid
  • medicines that affect how your liver breaks down other medicines (itraconazole, ketoconazole, voriconazole, and fluconazole)
  • certain HIV medicines (atazanavir, indinavir)
  • atorvastatin
  • rosuvastatin
  • etravirine

Hormonal birth control methods may interact with lamotrigine, a seizure medicine used for epilepsy. This may increase the risk of seizures, so your healthcare provider may need to adjust the dose of lamotrigine.

Women on thyroid replacement therapy may need increased doses of thyroid hormone.

Know the medicines you take. Keep a list of them to show your doctor and pharmacist when you get a new medicine.

4. Hepatic Neoplasia

Benign hepatic adenomas are associated with oral contraceptive use, although the incidence of benign tumors is rare in the United States. Indirect calculations have estimated the attributable risk to be in the range of 3.3 cases/100,000 for users, a risk that increases after four or more years of use especially with oral contraceptives of higher dose49. Rupture of benign, hepatic adenomas may cause death through intra-abdominal hemorrhage.50,51 

Studies from Britain have shown an increased risk of developing hepatocellular carcinoma in long-term (>8 years) oral contraceptive users. However, these cancers are extremely rare in the U.S. and the attributable risk (the excess incidence) of liver cancers in oral contraceptive users approaches less than one per million users.

8. Drug Interactions

Consult the labeling of concurrently-used drugs to obtain further information about interactions with hormonal contraceptives or the potential for enzyme alterations.

Effects of Other Drugs on Combined Hormonal Contraceptives

Substances decreasing the plasma concentrations of COCs and potentially diminishing the efficacy of COCs:

Drugs or herbal products that induce certain enzymes, including cytochrome P450 3A4 (CYP3A4), may decrease the plasma concentrations of COCs and potentially diminish the effectiveness of CHCs or increase breakthrough bleeding. Some drugs or herbal products that may decrease the effectiveness of hormonal contraceptives include phenytoin, barbiturates, carbamazepine, bosentan, felbamate, griseofulvin, oxcarbazepine, rifampicin, topiramate, rifabutin, rufinamide, aprepitant, and products containing St. John's wort. Interactions between hormonal contraceptives and other drugs may lead to breakthrough bleeding and/or contraceptive failure. Counsel women to use an alternative method of contraception or a back-up method when enzyme inducers are used with CHCs, and to continue back-up contraception for 28 days after discontinuing the enzyme inducer to ensure contraceptive reliability.

Substances increasing the plasma concentrations of COCs:

Co-administration of atorvastatin or rosuvastatin and certain COCs containing EE increase AUC values for EE by approximately 20 to 25%. Ascorbic acid and acetaminophen may increase plasma EE concentrations, possibly by inhibition of conjugation. CYP3A4 inhibitors such as itraconazole, voriconazole, fluconazole, grapefruit juice, or ketoconazole may increase plasma hormone concentrations.

Human immunodeficiency virus (HIV)/ Hepatitis C virus (HCV) protease inhibitors and non-nucleoside reverse transcriptase inhibitors:

Significant changes (increase or decrease) in the plasma concentrations of estrogen and/or progestin have been noted in some cases of co-administration with HIV protease inhibitors (decrease [e.g., nelfinavir, ritonavir, darunavir/ritonavir, (fos)amprenavir/ritonavir, lopinavir/ritonavir, and tipranavir/ritonavir] or increase [e.g., indinavir and atazanavir/ritonavir]) /HCV protease inhibitors (decrease [e.g., boceprevir and telaprevir]) or with non-nucleoside reverse transcriptase inhibitors (decrease [e.g., nevirapine] or increase [e.g., etravirine]).

Concomitant Use with HCV Combination Therapy – Liver Enzyme Elevation

Do not co-administer Enskyce with HCV drug combinations containing ombitasvir/paritaprevir/ritonavir, with or without dasabuvir, due to potential for ALT elevations [see section 5 in WARNINGS, RISK OF LIVER ENZYME ELEVATIONS WITH CONCOMITANT HEPATITIS C TREATMENT ]

Colesevelam  

Colesevelam, a bile acid sequestrant, given together with a combination oral hormonal contraceptive, has been shown to significantly decrease the AUC of EE. A drug interaction between the contraceptive and colesevelam was decreased when the two drug products were given 4 hours apart.

Effects of Combined Hormonal Contraceptives on Other Drugs

COCs containing EE may inhibit the metabolism of other compounds (e.g., cyclosporine, prednisolone, theophylline, tizanidine, and voriconazole) and increase their plasma concentrations. COCs have been shown to decrease plasma concentrations of acetaminophen, clofibric acid, morphine, salicylic acid, temazepam and lamotrigine. Significant decrease in plasma concentration of lamotrigine has been shown, likely due to induction of lamotrigine glucuronidation. This may reduce seizure control; therefore, dosage adjustments of lamotrigine may be necessary.

Women on thyroid hormone replacement therapy may need increased doses of thyroid hormone because serum concentrations of thyroid-binding globulin increases with use of COCs.

How to Take the Pill
IMPORTANT  POINTS  TO  REMEMBER

BEFORE YOU START TAKING YOUR PILLS:

1.   BE SURE TO READ THESE DIRECTIONS:

Before you start taking your pills.

Anytime you are not sure what to do.

2.   THE RIGHT WAY TO TAKE THE PILL IS TO TAKE ONE PILL EVERY DAY AT THE SAME TIME.

If you miss pills you could get pregnant. This includes starting the pack late.

The more pills you miss, the more likely you are to get pregnant.

3.   MANY WOMEN HAVE SPOTTING OR LIGHT BLEEDING, OR MAY FEEL SICK TO THEIR STOMACH DURING THE FIRST 1-3 PACKS OF PILLS. If you feel sick to your stomach, do not stop taking the pill. The problem will usually go away. If it doesn't go away, check with your healthcare professional.

4.   MISSING PILLS CAN ALSO CAUSE SPOTTING OR LIGHT BLEEDING, even when you make up these missed pills.

On the days you take 2 pills to make up for missed pills, you could also feel a little sick to your stomach.

5. IF YOU HAVE VOMITING OR DIARRHEA, or IF YOU TAKE SOME MEDICINES, your pills may not work as well.

Use a back-up method (such as a condom or spermicide) until you check with your healthcare professional.

6.   IF YOU HAVE TROUBLE REMEMBERING TO TAKE THE PILL, talk to your healthcare professional about how to make pill taking easier or about using another method of birth control.

7.   IF YOU HAVE ANY QUESTIONS OR ARE UNSURE ABOUT THE INFORMATION IN THIS LEAFLET, call your healthcare professional.

13. Ectopic Pregnancy

Ectopic as well as intrauterine pregnancy may occur in contraceptive failures.

5. Other Side Effects

Other side effects may include nausea and vomiting, change in appetite, headache, nervousness, depression, dizziness, loss of scalp hair, rash, vaginal infections, and allergic reactions.

If any of these side effects bother you, call your healthcare professional.

2. While Breastfeeding

If you are breastfeeding, consult your healthcare professional before starting oral contraceptives. Some of the drug will be passed on to the child in the milk. A few adverse effects on the child have been reported, including yellowing of the skin (jaundice) and breast enlargement. In addition, oral contraceptives may decrease the amount and quality of your milk. If possible, do not use oral contraceptives while breastfeeding. You should use another method of contraception since breastfeeding provides only partial protection from becoming pregnant and this partial protection decreases significantly as you breastfeed for longer periods of time. You should consider starting oral contraceptives only after you have weaned your child completely.

3. Gallbladder Disease

Oral contraceptive users probably have a greater risk than nonusers of having gallbladder disease, although this risk may be related to pills containing high doses of estrogens.

3. Malignant Neoplasms

Breast Cancer

Enskyce Tablets is contraindicated in females who currently have or have had breast cancer because breast cancer may be hormonally sensitive [see CONTRAINDICATIONS].

Epidemiology studies have not found a consistent association between use of combined oral contraceptives (COCs) and breast cancer risk. Studies do not show an association between ever (current or past) use of COCs and risk of breast cancer. However, some studies report a small increase in the risk of breast cancer among current or recent users (<6 months since last use) and current users with longer duration of COC use [see POSTMARKETING EXPERIENCE].

Cervical Cancer

Some studies suggest that oral contraceptive use has been associated with an increase in the risk of cervical intra-epithelial neoplasia in some populations of women45-48. However, there continues to be controversy about the extent to which such findings may be due to differences in sexual behavior and other factors.

In spite of many studies of the relationship between oral contraceptive use and breast and cervical cancers, a cause-and-effect relationship has not been established.

6. Emotional Disorders

Women with a history of depression should be carefully observed and the drug discontinued if depression recurs to a serious degree.

8. Gallbladder Disease

Earlier studies have reported an increased lifetime relative risk of gallbladder surgery in users of oral contraceptives and estrogens.60,61 More recent studies, however, have shown that the relative risk of developing gallbladder disease among oral contraceptive users may be minimal.62-64 The recent findings of minimal risk may be related to the use of oral contraceptive formulations containing lower hormonal doses of estrogens and progestogens.

Information for Patients

See Patient Labeling printed below.

B. Myocardial Infarction

An increased risk of myocardial infarction has been attributed to oral contraceptive use. This risk is primarily in smokers or women with other underlying risk factors for coronary artery disease such as hypertension, hypercholesterolemia, morbid obesity, and diabetes. The relative risk of heart attack for current oral contraceptive users has been estimated to be two to six.4-10 The risk is very low in women under the age of 30.

Smoking in combination with oral contraceptive use has been shown to contribute substantially to the incidence of myocardial infarctions in women in their mid-thirties or older with smoking accounting for the majority of excess cases.11 Mortality rates associated with circulatory disease have been shown to increase substantially in smokers, especially in those 35 years of age and older and in nonsmokers over the age of 40 among women who use oral contraceptives. (See Figure 1)

10. Elevated Blood Pressure

Women with significant hypertension should not be started on hormonal contraception.98 An increase in blood pressure has been reported in women taking oral contraceptives68 and this increase is more likely in older oral contraceptive users69 and with extended duration of use.61 Data from the Royal College of General Practitioners12 and subsequent randomized trials have shown that the incidence of hypertension increases with increasing progestational activity and concentrations of progestogens.

Women with a history of hypertension or hypertension-related diseases, or renal disease70 should be encouraged to use another method of contraception. If these women elect to use oral contraceptives, they should be monitored closely and if a clinically significant persistent elevation of blood pressure (BP) occurs (≥160 mm Hg systolic or ≥100 mm Hg diastolic) and cannot be adequately controlled, oral contraceptives should be discontinued. In general, women who develop hypertension during hormonal contraceptive therapy should be switched to a non-hormonal contraceptive. If other contraceptive methods are not suitable, hormonal contraceptive therapy may continue combined with antihypertensive therapy. Regular monitoring of BP throughout hormonal contraceptive therapy is recommended 102. For most women, elevated blood pressure will return to normal after stopping oral contraceptives, 69 and there is no difference in the occurrence of hypertension among former and never users.68,70,71  

12. Bleeding Irregularities

Breakthrough bleeding and spotting are sometimes encountered in patients on oral contraceptives, especially during the first three months of use. Nonhormonal causes should be considered and adequate diagnostic measures taken to rule out malignancy or pregnancy in the event of breakthrough bleeding, as in the case of any abnormal vaginal bleeding. If pathology has been excluded, time or a change to another formulation may solve the problem. In the event of amenorrhea, pregnancy should be ruled out.

Some women may encounter post-pill amenorrhea or oligomenorrhea, especially when such a condition was pre-existent.

C. Cerebrovascular Diseases

Oral contraceptives have been shown to increase both the relative and attributable risks of cerebrovascular events (thrombotic and hemorrhagic strokes), although, in general, the risk is greatest among older (>35 years), hypertensive women who also smoke. Hypertension was found to be a risk factor for both users and nonusers, for both types of strokes, and smoking interacted to increase the risk of stroke.27-29

In a large study, the relative risk of thrombotic strokes has been shown to range from 3 for normotensive users to 14 for users with severe hypertension.30 The relative risk of hemorrhagic stroke is reported to be 1.2 for non-smokers who used oral contraceptives, 2.6 for smokers who did not use oral contraceptives, 7.6 for smokers who used oral contraceptives, 1.8 for normotensive users and 25.7 for users with severe hypertension.30 The attributable risk is also greater in older women.3

2. Heart Attacks and Strokes

Oral contraceptives may increase the tendency to develop strokes (stoppage or rupture of blood vessels in the brain) and angina pectoris and heart attacks (blockage of blood vessels in the heart). Any of these conditions can cause death or serious disability.

Smoking greatly increases the possibility of suffering heart attacks and strokes. Furthermore, smoking and the use of oral contraceptives greatly increase the chances of developing and dying of heart disease.

Instructions for Use of Blister
  • Take out the blister card. There are 21 light orange "active" pills and 7 green "reminder" pills.
  • The blister comes to you set up for Sunday Start. If you are to start pill-taking on Sunday, take your first light orange pill on the first Sunday after your menstrual period begins. If your period begins on Sunday, take your first pill that day. Push down on the first light orange "active" pill of blister (Sunday) with your thumb or forefinger. The pill will come out through a hole in the back of the package.
  • If you are to start pill-taking on "Day 1", the enclosed calendar label has been provided and will be placed over the calendar printed on the blister. To put label in place, identify your correct starting day of the week, locate that day label present in the calendar label and affix that day label over the printed calender on the blister. Push down on the light orange "active" pill of blister with your thumb or forefinger. The pill will come out through a hole in the back of the package.
  • The first light orange "active" pill you will take is indicated by START and lines up with the black Day Arrow as indicated on the blister. For details, see the directions in the following picture. Continue taking one pill daily, until no pill remains by last day of the third week.

5. The next day take the green "reminder" pill from the blister that corresponds with the day of the week it happens to be. Take a green pill each day until all seven pills are taken.  During this time your period should begin.

6. After you have taken all the green pills, begin a new blister containing blister card (see Step 1 above in "Instructions for Use") and take the first light orange "active" pill on the next day, even if your period is not yet over.

STORAGE: Store at 25°C (77°F); excursions permitted to 15° to 30°C (59° to 86°F) [see USP Controlled Room Temperature].

5. Sexually Transmitted Diseases

This product (like all oral contraceptives) is intended to prevent pregnancy. It does not protect against transmission of HIV (AIDS) and other sexually transmitted diseases such as chlamydia, genital herpes, genital warts, gonorrhea, hepatitis B, and syphilis.

1. Risk of Developing Blood Clots

Blood clots and blockage of blood vessels are one of the most serious side effects of taking oral contraceptives and can cause death or serious disability. Serious blood clots can happen especially if you smoke, are obese, or are older than 35 years of age. Serious blood clots are more likely to happen when you:

  • First start taking birth control pills
  • Restart the same or different birth control pills after not using them for a month or more

In particular, a clot in the legs can cause thrombophlebitis and a clot that travels to the lungs can cause a sudden blocking of the vessel carrying blood to the lungs. The risks of these side effects may be greater with desogestrel- containing oral contraceptives, such as Enskyce, than with certain other low-dose pills. Rarely, clots occur in the blood vessels of the eye and may cause blindness, double vision, or impaired vision.

If you take oral contraceptives and need elective surgery, need to stay in bed for a prolonged illness or injury or have recently delivered a baby, you may be at risk of developing blood clots. You should consult your healthcare professional about stopping oral contraceptives three to four weeks before surgery and not taking oral contraceptives for two weeks after surgery or during bed rest. You should also not take oral contraceptives soon after delivery of a baby. It is advisable to wait for at least four weeks after delivery if you are not breastfeeding. If you are breastfeeding, you should wait until you have weaned your child before using the pill. (See also the section on Breastfeeding in GENERAL PRECAUTIONS).

The risk of circulatory disease in oral contraceptive users may be higher in users of high dose pills. The risk of venous thromboembolic disease associated with oral contraceptives does not increase with length of use and disappears after pill use is stopped. The risk of abnormal blood clotting increases with age in both users and nonusers of oral contraceptives, but the increased risk from the oral contraceptive appears to be present at all ages. For women aged 20 to 44 it is estimated that about 1 in 2,000 using oral contraceptives will be hospitalized each year because of abnormal clotting. Among nonusers in the same age group, about 1 in 20,000 would be hospitalized each year. For oral contraceptive users in general, it has been estimated that in women between the ages of 15 and 34 the risk of death due to a circulatory disorder is about 1 in 12,000 per year, whereas for nonusers the rate is about 1 in 50,000 per year. In the age group 35 to 44, the risk is estimated to be about 1 in 2,500 per year for oral contraceptive users and about 1 in 10,000 per year for nonusers.

Non Contraceptive Health Benefits

The following non-contraceptive health benefits related to the use of oral contraceptives are supported by epidemiological studies which largely utilized oral contraceptive formulations containing estrogen doses exceeding 0.035 mg of ethinyl estradiol or 0.05 mg of mestranol.73-78

Effects on menses:

  • increased menstrual cycle regularity
  • decreased blood loss and decreased incidence of iron deficiency anemia
  • decreased incidence of dysmenorrhea

Effects related to inhibition of ovulation:

  • decreased incidence of functional ovarian cysts
  • decreased incidence of ectopic pregnancies

Effects from long-term use:

  • decreased incidence of fibroadenomas and fibrocystic disease of the breast
  • decreased incidence of acute pelvic inflammatory disease
  • decreased incidence of endometrial cancer
  • decreased incidence of ovarian cancer
Before You Start Taking Your Pills

1.   DECIDE WHAT TIME OF DAY YOU WANT TO TAKE YOUR PILL.

It is important to take it at about the same time every day.

2.   LOOK AT YOUR PILL PACK:

The pill pack has 21 light orange "active" pills (with hormones) to take for 3 weeks, followed by 1 week of green "reminder" pills (without hormones).

3.   ALSO FIND:

  • where on the pack to start taking pills,
  • in what order to take the pills,
  • check picture of pill pack and additional instructions for using this package below.

4.   BE SURE YOU HAVE READY AT ALL TIMES:

ANOTHER KIND OF BIRTH CONTROL (such as a condom or spermicide) to use as a back-up method in case you miss pills.

AN EXTRA, FULL PILL PACK.

WHEN  TO  START  THE  FIRST  PACK  OF  PILLS

You have a choice of which day to start taking your first pack of pills. Enskyce is available in the blister which is preset for a Sunday Start. Day 1 Start is also provided. Decide with your healthcare professional which is the best day for you. Pick a time of day that will be easy to remember.

Brief Summary Patient Package Insert

Enskyce™

(desogestrel and ethinyl estradiol tablets USP)

0.15 mg/0.03 mg

Rx Only

This product (like all oral contraceptives) is intended to prevent pregnancy. It does not protect against HIV infection (AIDS) and other sexually transmitted diseases.

Oral contraceptives, also known as "birth control pills" or "the pill," are taken to prevent pregnancy, and when taken correctly without missing any pills, have a failure rate of approximately 1% per year. The typical failure rate is approximately 5% per year when women who miss pills are included. For most women, oral contraceptives are also free of serious or unpleasant side effects. However, forgetting to take pills considerably increases the chances of pregnancy.

For the majority of women, oral contraceptives can be taken safely. But there are some women who are at high risk of developing certain serious diseases that can be life-threatening or may cause temporary or permanent disability. The risks associated with taking oral contraceptives increase significantly if you:

  • smoke
  • have high blood pressure, diabetes, high cholesterol
  • have or have had clotting disorders, heart attack, stroke, angina pectoris, cancer of the breast or sex organs, jaundice or malignant or benign liver tumors

Although cardiovascular disease risks may be increased with oral contraceptive use after age 40 in healthy, non-smoking women (even with the newer low-dose formulations), there are also greater potential health risks associated with pregnancy in older women.

You should not take the pill if you suspect you are pregnant or have unexplained vaginal bleeding.

Effectiveness of Oral Contraceptives

Oral contraceptives or "birth control pills" or "the pill" are used to prevent pregnancy and are more effective than most other nonsurgical methods of birth control. When they are taken correctly without missing any pills, the chance of becoming pregnant is approximately 1% (1 pregnancy per 100 women per year of use). Typical failure rates, including women who do not always take the pills exactly as directed, are approximately 5% per year. The chance of becoming pregnant increases with each missed pill during a menstrual cycle.

In comparison, typical failure rates for other non-surgical methods of birth control during the first year of use are as follows:

Implant: <1%

Male sterilization: <1%

Injection: <1%

Cervical Cap with spermicides: 20 to 40%

IUD: 1 to 2%

Condom alone (male): 14%

Diaphragm with spermicides: 20%

Condom alone (female): 21%

Spermicides alone: 26%

Periodic abstinence: 25%

Vaginal sponge: 20 to 40%

Withdrawal: 19%

Female sterilization: <1%

No methods: 85%

2. Physical Examination and Follow Up

It is good medical practice for all women to have annual history and physical examinations, including women using oral contraceptives. The physical examination, however, may be deferred until after initiation of oral contraceptives if requested by the woman and judged appropriate by the clinician. The physical examination should include special reference to blood pressure, breasts, abdomen and pelvic organs, including cervical cytology, and relevant laboratory tests. In case of undiagnosed, persistent or recurrent abnormal vaginal bleeding, appropriate measures should be conducted to rule out malignancy. Women with a strong family history of breast cancer or who have breast nodules should be monitored with particular care.

9. Interactions With Laboratory Tests

Certain endocrine and liver function tests and blood components may be affected by oral contraceptives:

a.         Increased prothrombin and factors VII, VIII, IX, and X; decreased antithrombin 3; increased norepinephrine-induced platelet aggregability.

b.        Increased thyroid binding globulin (TBG) leading to increased circulating total thyroid hormone, as measured by protein-bound iodine (PBI), T4 by column or by radioimmunoassay. Free T3 resin uptake is decreased, reflecting the elevated TBG; free T4 concentration is unaltered.

c.         Other binding proteins may be elevated in serum.

d.        Sex hormone binding globulins are increased and result in elevated levels of total circulating sex steroids however, free or biologically active levels either decrease or remain unchanged.

e.         Triglycerides may be increased and levels of various other lipids and lipoproteins may be affected.

f.         Glucose tolerance may be decreased.

g.        Serum folate levels may be depressed by oral contraceptive therapy. This may be of clinical significance if a woman becomes pregnant shortly after discontinuing oral contraceptives.

Health Benefits From Oral Contraceptives

In addition to preventing pregnancy, use of combined oral contraceptives may provide certain benefits. They are:

  • menstrual cycles may become more regular
  • blood flow during menstruation may be lighter and less iron may be lost. Therefore, anemia due to iron deficiency is less likely to occur.
  • pain or other symptoms during menstruation may be encountered less frequently.
  • ectopic (tubal) pregnancy may occur less frequently.
  • noncancerous cysts or lumps in the breast may occur less frequently.
  • acute pelvic inflammatory disease may occur less frequently.
  • oral contraceptive use may provide some protection against developing two forms of cancer: cancer of the ovaries and cancer of the lining of the uterus.

If you want more information about birth control pills, ask your healthcare professional or pharmacist. They have a more technical leaflet called the Professional Labeling, which you may wish to read.

STORAGE: Store at 25°C (77°F); excursions permitted to 15° to 30°C (59° to 86°F) [see USP Controlled Room Temperature].

Keep out of reach of children.

E. Persistence of Risk of Vascular Disease

There are two studies which have shown persistence of risk of vascular disease for ever-users of oral contraceptives. In a study in the United States, the risk of developing myocardial infarction after discontinuing oral contraceptives persists for at least 9 years for women 40 to 49 years old who had used oral contraceptives for five or more years, but this increased risk was not demonstrated in other age groups.8 In another study in Great Britain, the risk of developing cerebrovascular disease persisted for at least 6 years after discontinuation of oral contraceptives, although excess risk was very small.34 However, both studies were performed with oral contraceptive formulations containing 0.050 mg or higher of estrogens.

9. Carbohydrate and Lipid Metabolic Effects

Oral contraceptives have been shown to cause a decrease in glucose tolerance in a significant percentage of users.17 This effect has been shown to be directly related to estrogen dose.65 In general, progestogens increase insulin secretion and create insulin resistance, this effect varying with different progestational agents.17,66 In the nondiabetic woman, oral contraceptives appear to have no effect on fasting blood glucose.67 Because of these demonstrated effects, prediabetic and diabetic women should be carefully monitored while taking oral contraceptives.

A small proportion of women will have persistent hypertriglyceridemia while on the pill. As discussed earlier (see WARNINGS 1.a. and 1.d. ), changes in serum triglycerides and lipoprotein levels have been reported in oral contraceptive users.

Additional Instructions for All Dosing Regimens

Breakthrough bleeding, spotting, and amenorrhea are frequent reasons for patients discontinuing oral contraceptives. In breakthrough bleeding, as in all cases of irregular bleeding from the vagina, nonfunctional causes should be borne in mind. In undiagnosed persistent or recurrent abnormal bleeding from the vagina, adequate diagnostic measures are indicated to rule out pregnancy or malignancy. If pathology has been excluded, time or a change to another formulation may solve the problem. Changing to an oral contraceptive with a higher estrogen content, while potentially useful in minimizing menstrual irregularity, should be done only if necessary since this may increase the risk of thromboembolic disease.

Use of oral contraceptives in the event of a missed menstrual period:

  • If the patient has not adhered to the prescribed schedule, the possibility of pregnancy should be considered at the time of the first missed period and oral contraceptive use should be discontinued if pregnancy is confirmed.
  • If the patient has adhered to the prescribed regimen and misses two consecutive periods, pregnancy should be ruled out.
2. Estimates of Mortality From Contraceptive Use

One study gathered data from a variety of sources which have estimated the mortality rate associated with different methods of contraception at different ages (Table 2). These estimates include the combined risk of death associated with contraceptive methods plus the risk attributable to pregnancy in the event of method failure. Each method of contraception has its specific benefits and risks. The study concluded that with the exception of oral contraceptive users 35 and older who smoke and 40 and older who do not smoke, mortality associated with all methods of birth control is low and below that associated with childbirth.

The observation of an increase in risk of mortality with age for oral contraceptive users is based on data gathered in the 1970's.35 Current clinical  recommendation involves the use of lower estrogen dose formulations and a careful consideration of risk factors. In 1989, the Fertility and Maternal Health Drugs Advisory Committee was asked to review the use of oral contraceptives in women 40 years of age and over. The Committee concluded that although cardiovascular disease risk may be increased with oral contraceptive use after age 40 in healthy non-smoking women (even with the newer low-dose formulations), there are also greater potential health risks associated with pregnancy in older women and with the alternative surgical and medical procedures which may be necessary if such women do not have access to effective and acceptable means of contraception. The Committee recommended that the benefits of low-dose oral contraceptive use by healthy non-smoking women over 40 may outweigh the possible risks.

Of course, older women, as all women who take oral contraceptives, should take an oral contraceptive which contains the least amount of estrogen and progestogen that is compatible with a low failure rate and individual patient needs.

TABLE 2: ANNUAL NUMBER OF BIRTH-RELATED OR METHOD-RELATED DEATHS ASSOCIATED WITH CONTROL OF FERTILITY PER 100,000 NONSTERILE WOMEN, BY FERTILITY CONTROL METHOD ACCORDING TO AGE


Method  of  control  and  outcome

15  to  19

20  to  24

25  to  29

30  to  34

35  to  39

40  to  44

Adapted from H.W. Ory, ref. #35.

No fertility-control methods
Deaths are birth-related


7.0

7.4

9.1

14.8

25.7

28.2

Oral contraceptives non-smoker
Deaths are method-related


0.3

0.5

0.9

1.9

13.8

31.6

Oral contraceptives smoker


2.2

3.4

6.6

13.5

51.1

117.2

IUD


0.8

0.8

1.0

1.0

1.4

1.4

Condom


1.1

1.6

0.7

0.2

0.3

0.4

Diaphragm/ spermicide


1.9

1.2

1.2

1.3

2.2

2.8

Periodic abstinence


2.5

1.6

1.6

1.7

2.9

3.6

Other Considerations Before Taking Oral Contraceptives

Tell your healthcare professional if you have or have had:

  • Breast nodules, fibrocystic disease of the breast, an abnormal breast x-ray or mammogram
  • Diabetes
  • Elevated cholesterol or triglycerides
  • High blood pressure
  • Migraine or other headaches or epilepsy
  • Mental depression
  • Gallbladder, liver, heart or kidney disease
  • History of scanty or irregular menstrual periods

Women with any of these conditions should be checked often by their healthcare professional if they choose to use oral contraceptives.

Also, be sure to inform your healthcare professional if you smoke or are on any medications.

7. Oral Contraceptive Use Before Or During Early Pregnancy

Extensive epidemiological studies have revealed no increased risk of birth defects in women who have used oral contraceptives prior to pregnancy.56-57 The majority of recent studies also do not indicate a teratogenic effect, particularly in so far as cardiac anomalies and limb reduction defects are concerned,55,56,58,59 when oral contraceptives are taken inadvertently during early pregnancy.

The administration of oral contraceptives to induce withdrawal bleeding should not be used as a test for pregnancy. Oral contraceptives should not be used during pregnancy to treat threatened or habitual abortion.

It is recommended that for any patient who has missed two consecutive periods, pregnancy should be ruled out. If the patient has not adhered to the prescribed schedule, the possibility of pregnancy should be considered at the time of the first missed period. Oral contraceptive use should be discontinued if pregnancy is confirmed.

Estimated Risk of Death From A Birth Control Method Or Pregnancy

All methods of birth control and pregnancy are associated with a risk of developing certain diseases which may lead to disability or death. An estimate of the number of deaths associated with different methods of birth control and pregnancy has been calculated and is shown in the following table.

ANNUAL NUMBER OF BIRTH-RELATED OR METHOD-RELATED DEATHS ASSOCIATED WITH CONTROL OF FERTILITY PER 100,000 NONSTERILE WOMEN, BY FERTILITY CONTROL METHOD ACCORDING TO AGE

Method of control and outcome

15 to 19

20 to 24

25 to 29

30 to 34

35 to 39

40 to 44

No fertility- control methods
Deaths are birth-related


7.0

7.4

9.1

14.8

25.7

28.2

Oral contraceptives non-smoker
Deaths are method-related


0.3

0.5

0.9

1.9

13.8

31.6

Oral contraceptives smoker


2.2

3.4

6.6

13.5

51.1

117.2

IUD


0.8

0.8

1.0

1.0

1.4

1.4

Condom


1.1

1.6

0.7

0.2

0.3

0.4

Diaphragm/spermicide


1.9

1.2

1.2

1.3

2.2

2.8

Periodic abstinence


2.5

1.6

1.6

1.7

2.9

3.6

In the above table, the risk of death from any birth control method is less than the risk of childbirth, except for oral contraceptive users over the age of 35 who smoke and pill users over the age of 40 even if they do not smoke. It can be seen in the table that for women aged 15 to 39, the risk of death was highest with pregnancy (7 to 26 deaths per 100,000 women, depending on age). Among pill users who do not smoke, the risk of death is always lower than that associated with pregnancy for any age group, although over the age of 40, the risk increases to 32 deaths per 100,000 women, compared to 28 associated with pregnancy at that age. However, for pill users who smoke and are over the age of 35, the estimated number of deaths exceeds those for other methods of birth control. If a woman is over the age of 40 and smokes, her estimated risk of death is four times higher (117/100,000 women) than the estimated risk associated with pregnancy (28/100,000 women) in that age group.

The suggestion that women over 40 who do not smoke should not take oral contraceptives is based on information from older, higher-dose pills. An Advisory Committee of the FDA discussed this issue in 1989 and recommended that the benefits of low-dose oral contraceptive use by healthy, non-smoking women over 40 years of age may outweigh the possible risks. Older women, as all women, who take oral contraceptives, should take an oral contraceptive which contains the least amount of estrogen and progestogen that is compatible with the individual patient needs.

D. Dose Related Risk of Vascular Disease From Oral Contraceptives

A positive association has been observed between the amount of estrogen and progestogen in oral contraceptives and the risk of vascular disease.31-33 A decline in serum high density lipoproteins (HDL) has been reported with many progestational agents.14-16 A decline in serum high density lipoproteins has been associated with an increased incidence of ischemic heart disease. Because estrogens increase HDL cholesterol, the net effect of an oral contraceptive depends on a balance achieved between doses of estrogen and progestogen and the nature and absolute amount of progestogens used in the contraceptives. The amount of both hormones should be considered in the choice of an oral contraceptive.

Minimizing exposure to estrogen and progestogen is in keeping with good principles of therapeutics. For any particular estrogen/ progestogen combination, the dosage regimen prescribed should be one which contains the least amount of estrogen and progestogen that is compatible with a low failure rate and the needs of the individual patient. New acceptors of oral contraceptive agents should be started on preparations containing the lowest estrogen content which is judged appropriate for the individual patient.

5. Risk of Liver Enzyme Elevations With Concomitant Hepatitis C Treatment

During clinical trials with the Hepatitis C combination drug regimen that contains ombitasvir/paritaprevir/ritonavir, with or without dasabuvir, ALT elevations greater than 5 times the upper limit of normal (ULN), including some cases greater than 20 times the ULN, were significantly more frequent in women using ethinyl estradiol-containing medications such as COCs. Discontinue Enskyce prior to starting therapy with the combination drug regimen ombitasvir/paritaprevir/ritonavir, with or without dasabuvir (see CONTRAINDICATIONS ). Enskyce can be restarted approximately 2 weeks following completion of treatment with the combination drug regimen.

1. Missed Periods and Use of Oral Contraceptives Before Or During Early Pregnancy

There may be times when you may not menstruate regularly after you have completed taking a cycle of pills. If you have taken your pills regularly and miss one menstrual period, continue taking your pills for the next cycle but be sure to inform your healthcare professional before doing so. If you have not taken the pills daily as instructed and missed a menstrual period, you may be pregnant. If you missed two consecutive menstrual periods, you may be pregnant. Check with your healthcare professional immediately to determine whether you are pregnant. Stop taking oral contraceptives if pregnancy is confirmed.

There is no conclusive evidence that oral contraceptive use is associated with an increase in birth defects, when taken inadvertently during early pregnancy. Previously, a few studies had reported that oral contraceptives might be associated with birth defects, but these findings have not been seen in more recent studies. Nevertheless, oral contraceptives should not be used during pregnancy. You should check with your healthcare professional about risks to your unborn child of any medication taken during pregnancy.


Structured Label Content

Recent Major Changes (34066-1)

WARNING: CARDIOVASCULAR RISK ASSOCIATED WITH SMOKING

Cigarette smoking increases the risk of serious cardiovascular events from combination oral contraceptive use. This risk increases with age, particularly in women over 35 years of age, and with the number of cigarettes smoked. For this reason, combination oral contraceptives, including Enskyce™ (desogestrel and ethinyl estradiol tablets USP), should not be used by women who are over 35 years of age and smoke.

Indications and Usage (INDICATIONS AND USAGE)

Enskyce Tablets are indicated for the prevention of pregnancy in women who elect to use oral contraceptives as a method of contraception.

Oral contraceptives are highly effective. Table 1 lists the typical accidental pregnancy rates for users of combined oral contraceptives and other methods of contraception. The efficacy of these contraceptive methods, except sterilization, the IUD, and the Norplant System depends upon the reliability with which they are used. Correct and consistent use of these methods can result in lower failure rates.

In a clinical trial with Enskyce, 1,195 subjects completed 11,656 cycles and a total of 10 pregnancies were reported. This represents an overall user-efficacy (typical user-efficacy) pregnancy rate of 1.12 per 100 women-years. This rate includes patients who did not take the drug correctly.

TABLE 1: PERCENTAGE OF WOMEN EXPERIENCING AN UNINTENDED PREGNANCY DURING THE FIRST YEAR OF TYPICAL USE AND THE FIRST YEAR OF PERFECT USE OF CONTRACEPTION AND THE PERCENTAGE CONTINUING USE AT THE END OF THE FIRST YEAR. UNITED STATES.


of  Women  Experiencing  an  Unintended

Pregnancy  within  the  First  Year  of  Use

of  Women

Continuing  Use  at  One

Year1

Emergency Contraceptive Pills: Treatment initiated within 72 hours after unprotected intercourse reduces the risk of pregnancy by at least 75%.4

Lactation Amenorrhea Method: LAM is a highly effective, temporary method of contraception.5

Source: Trussell J. Contraceptive efficacy. In Hatcher RA, Trussell J, Stewart F, Cates W, Stewart GK, Kowel D, Guest F, Contraceptive Technology: Seventeenth Revised Edition. New York, NY; Irvington Publishers, 1998.

1 Among couples attempting to avoid pregnancy, the percentage who continue to use a method for one year.

2 Among typical couples who initiate use of a method (not necessarily for the first time), the percentage who experience an accidental pregnancy during the first year if they do not stop use for any other reason.

3 Among couples who initiate use of a method (not necessarily for the first time) and who use it perfectly (both consistently and correctly), the percentage who experience an accidental pregnancy during the first year if they do not stop use for any other reason.

4 The treatment schedule is one dose within 72 hours after unprotected intercourse, and a second dose 12 hours after the first dose. The FDA has declared the following brands of oral contraceptives to be safe and effective for emergency contraception: Ovral® (1 dose is 2 white pills), Alesse® (1 dose is 5 pink pills), Nordette® or Levlen® (1 dose is 4 yellow pills).

5 However, to maintain effective protection against pregnancy, another method of contraception must be used as soon as menstruation resumes, the frequency of duration of breastfeeds is reduced, bottle feeds are introduced, or the baby reaches 6 months of age.

6 The percents becoming pregnant in columns (2) and (3) are based on data from populations where contraception is not used and from women who cease using contraception in order to become pregnant. Among such populations, about 89% become pregnant within one year. This estimate was lowered slightly (to 85%) to represent the percent who would become pregnant within one year among women now relying on reversible methods of contraception if they abandoned contraception altogether.

7 Foams, creams, gels, vaginal suppositories, and vaginal film.

8 Cervical mucus (ovulation) method supplemented by calendar in the pre-ovulatory and basal body temperature in the post-ovulatory phases.

9 With spermicidal cream or jelly.

1 0 Without spermicides.

Method

( 1 )

Typical  Use2

( 2 )

Perfect  Use3

( 3 )

( 4 )

Chance6

85

85



Spermicides7

26

6

40

Periodic abstinence

25



63

Calendar



9



Ovulation Method



3



Sympto-Thermal8



2



Post-Ovulation



1



Withdrawal

19

4



Cap9







Parous Women

40

26

42

Nulliparous Women

20

9

56

Sponge







Parous Women

40

20

42

Nulliparous Women

20

9

56

Diaphragm9

20

6

56

Condom1 0







Female (Reality®)

21

5

56

Male

14

3

61

Pill

5



71

Progestin Only



0.5



Combined



0.1



IUD







Progesterone T

2.0

1.5

81

Copper T380A

0.8

0.6

78

LNg 20

0.1

0.1

81

Depo-Provera

0.3

0.3

70

Norplant® and Norplant-2®

0.05

0.05

88

Female Sterilization

0.5

0.5

100

Male Sterilization

0.15

0.10

100

Enskyce has not been studied for and is not indicated for use in emergency contraception.

Dosage and Administration (DOSAGE AND ADMINISTRATION)

To achieve maximum contraceptive effectiveness, Enskyce must be taken exactly as directed and at intervals not exceeding 24 hours. Enskyce is available in the blister which is preset for a Sunday Start. Day 1 Start is also provided.

Contraindications (CONTRAINDICATIONS)

Enskyce is contraindicated in females who are known to have or develop the following conditions:

  • Thrombophlebitis or thromboembolic disorders
  • A past history of deep vein thrombophlebitis or thromboembolic disorders
  • Known thrombophilic conditions
  • Cerebral vascular or coronary artery disease (current or history)
  • Valvular heart disease with complications
  • Persistent blood pressure values of ≥160 mm Hg systolic or ≥100 mg Hg diastolic102
  • Diabetes with vascular involvement
  • Headaches with focal neurological symptoms
  • Major surgery with prolonged immobilization
  • Current diagnosis of, or history of, breast cancer, which may be hormonesensitive
  • Carcinoma of the endometrium or other known or suspected estrogen-dependent neoplasia
  • Undiagnosed abnormal genital bleeding
  • Cholestatic jaundice of pregnancy or jaundice with prior pill use
  • Acute or chronic hepatocellular disease with abnormal liver function
  • Hepatic adenomas or carcinomas
  • Known or suspected pregnancy
  • Hypersensitivity to any component of this product
  • Are receiving Hepatitis C drug combinations containing ombitasvir/paritaprevir/ritonavir, with or without dasabuvir, due to the potential for ALT elevations (see section 5 in WARNINGS, RISK OF LIVER ENZYME ELEVATIONS WITH CONCOMITANT HEPATITIS C TREATMENT ).
Adverse Reactions (ADVERSE REACTIONS)

Post Marketing Experience

Five studies that compared breast cancer risk between ever-users (current or past use) of COCs and never-users of COCs reported no association between ever use of COCs and breast cancer risk, with effect estimates ranging from 0.90 - 1.12 (Figure 2).

Three studies compared breast cancer risk between current or recent COC users (<6 months since last use) and never users of COCs (Figure 2). One of these studies reported no association between breast cancer risk and COC use. The other two studies found an increased relative risk of 1.19 - 1.33 with current or recent use. Both of these studies found an increased risk of breast cancer with current use of longer duration, with relative risks ranging from 1.03 with less than one year of COC use to approximately 1.4 with more than 8-10 years of COC use.

Figure 2: Risk of Breast Cancer with Combined Oral Contraceptive Use

RR = relative risk; OR = odds ratio; HR = hazard ratio. "ever COC" are females with current or past COC use; "never COC use" are females that never used COCs.

An increased risk of the following serious adverse reactions has been associated with the use of oral contraceptives (see WARNINGS ).

  • Thrombophlebitis and venous thrombosis with or without embolism
  • Arterial thromboembolism
  • Pulmonary embolism
  • Myocardial infarction
  • Cerebral hemorrhage
  • Cerebral thrombosis
  • Hypertension
  • Gallbladder disease
  • Hepatic adenomas or benign liver tumors

There is evidence of an association between the following conditions and the use of oral contraceptives:

  • Mesenteric thrombosis
  • Retinal thrombosis

The following adverse reactions have been reported in patients receiving oral contraceptives and are believed to be drug-related:

  • Nausea
  • Vomiting
  • Gastrointestinal symptoms (such as abdominal cramps and bloating)
  • Breakthrough bleeding
  • Spotting
  • Change in menstrual flow
  • Amenorrhea
  • Temporary infertility after discontinuation of treatment
  • Edema
  • Melasma which may persist
  • Breast changes: tenderness, enlargement, secretion
  • Change in weight (increase or decrease)
  • Change in cervical erosion and secretion
  • Diminution in lactation when given immediately postpartum
  • Cholestatic jaundice
  • Migraine
  • Allergic reaction, including rash, urticaria, and angioedema
  • Mental depression
  • Reduced tolerance to carbohydrates
  • Vaginal candidiasis
  • Change in corneal curvature (steepening)
  • Intolerance to contact lenses

The following adverse reactions have been reported in users of oral contraceptives and a causal association has been neither confirmed nor refuted:

  • Pre-menstrual syndrome
  • Cataracts
  • Changes in appetite
  • Cystitis-like syndrome
  • Headache
  • Nervousness
  • Dizziness
  • Hirsutism
  • Loss of scalp hair
  • Erythema multiforme
  • Erythema nodosum
  • Hemorrhagic eruption
  • Vaginitis
  • Porphyria
  • Impaired renal function
  • Hemolytic uremic syndrome
  • Acne
  • Changes in libido
  • Colitis
  • Budd-Chiari Syndrome
Other Information (OTHER INFORMATION)

Your healthcare professional will take a medical and family history before prescribing oral contraceptives and will examine you. The physical examination may be delayed to another time if you request it and the healthcare professional believes that it is a good medical practice to postpone it. You should be reexamined at least once a year. Be sure to inform your healthcare professional if there is a family history of any of the conditions listed previously in this leaflet. Be sure to keep all appointments with your healthcare professional because this is a time to determine if there are early signs of side effects of oral contraceptive use.

Do not use the drug for any condition other than the one for which it was prescribed. This drug has been prescribed specifically for you; do not give it to others who may want birth control pills.

How Supplied (HOW SUPPLIED)

Enskyce Tablets are available in a blister (NDC 68180-739-71) containing 28 tablets packed in a pouch (NDC 68180-739-71). Such three pouches are packaged in a carton (NDC 68180-739-73).

Each blister contains 28 tablets in the following order:

• Each of the 21 light orange, round, biconvex, film-coated tablet contains 0.15 mg of desogestrel and 0.03 mg of ethinyl estradiol USP and is debossed with "L" on one side and "J7" on the other side.

• Each of the 7 green, mottled, round, biconvex tablet debossed with "LU" on one side and "L22" on the other side.

STORAGE:

Store at 25°C (77°F); excursions permitted to 15° to 30°C (59° to 86°F) [see USP Controlled Room Temperature].

Description (DESCRIPTION)

Enskyce (desogestrel and ethinyl estradiol tablets USP) provides an oral contraceptive regimen of 21 light orange round tablets each containing 0.15 mg desogestrel (13-ethyl-11-methylene-18,19-dinor-17 alpha-pregn-4-en-20-yn-17-ol) and 0.03 mg ethinyl estradiol (19-nor-17 alpha-pregna-1,3,5 (10)-trien-20-yne-3,17,diol). Inactive ingredients include colloidal silicon dioxide, corn starch, hypromellose, iron oxide yellow, iron oxide red, lactose monohydrate, magnesium stearate, polyethylene glycol, povidone, stearic acid, talc, titanium dioxide, and vitamin E. Each green tablet contains the following inactive ingredients: corn starch, D&C Yellow No. 10 Aluminum Lake, FD&C Blue #2/ Aluminium Lake, FD&C Yellow #6/ Yellow FCF Aluminium Lake, lactose monohydrate and magnesium stearate.

Enskyce meets USP Dissolution Test 2.

Section 42229-5 (42229-5)

Patients should be counseled that this product does not protect against HIV infection (AIDS) and other sexually transmitted diseases.

Section 51945-4 (51945-4)

Enskyce™

(desogestrel and ethinyl estradiol Tablets USP)

0.15 mg/0.03 mg

Rx Only

NDC 68180-739-71

Blister Label: 28 Tablets

Enskyce™

(desogestrel and ethinyl estradiol Tablets USP)

0.15 mg/0.03 mg

Rx Only

NDC 68180-739-71

Pouch Label: 1 Blister of 28 Tablets

Enskyce™

(desogestrel and ethinyl estradiol Tablets USP)

0.15 mg/0.03 mg

Rx Only

NDC 68180-739-73

Carton Label: 3 Blisters of 28 Tablets Each

1. General

Patients should be counseled that this product does not protect against HIV infection (AIDS) and other sexually transmitted diseases.

4. Melasma

A spotty darkening of the skin is possible, particularly of the face, which may persist.

Overdosage (OVERDOSAGE)

Serious ill effects have not been reported following acute ingestion of large doses of oral contraceptives by young children. Overdosage may cause nausea, and withdrawal bleeding may occur in females.

References (REFERENCES)
  • Trussell J. Contraceptive efficacy. In Hatcher RA, Trussell J, Stewart F, Cates W, Stewart GK, Kowal D, Guest F. Contraceptive Technology: Seventeenth Revised Edition. New York NY: Irvington Publishers, 1998.
  • Stadel BV. Oral contraceptives and cardiovascular disease. (Pt.1). N Engl J Med 1981; 305: 612-618.
  • Stadel BV. Oral contraceptives and cardiovascular disease. (Pt. 2). N Engl J Med 1981; 305: 672-677.
  • Adam SA, Thorogood M. Oral contraception and myocardial infarction revisited: the effects of new preparations and prescribing patterns. Br J Obstet and Gynecol 1981; 88:838-845.
  • Mann JI, Inman WH. Oral contraceptives and death from myocardial infarction. Br Med J 1975; 2(5965):245-248.
  • Mann JI, Vessey MP, Thorogood M, Doll R. Myocardial infarction in young women with special reference to oral contraceptive practice. Br Med J 1975;2(5956):241-245.
  • Royal College of General Practitioners' Oral Contraception Study: Further analyses of mortality in oral contraceptive users. Lancet 1981;1:541-546.
  • Slone D, Shapiro S, Kaufman DW, Rosenberg L, Miettinen OS, Stolley PD. Risk of myocardial infarction in relation to current and discontinued use of oral contraceptives. N Engl J Med 1981; 305:420-424.
  • Vessey MP. Female hormones and vascular disease-an epidemiological overview. Br J Fam Plann 1980; 6 (Supplement):1-12.
  • Russell Briefel RG, Ezzati TM, Fulwood R, Perlman JA, Murphy RS. Cardiovascular risk status and oral contraceptive use, United States, 1976-80. Prevent Med 1986; 15:352-362.
  • Goldbaum GM, Kendrick JS, Hogelin GC, Gentry EM.The relative impact of smoking and oral contraceptive use on women in the United States. JAMA 1987; 258:1339-1342.
  • Layde PM, Beral V. Further analyses of mortality in oral contraceptive users: Royal College of General Practitioners' Oral Contraception Study. (Table 5) Lancet 1981; 1:541-546.
  • Knopp RH. Arteriosclerosis risk: the roles of oral contraceptives and postmenopausal estrogens. J Reprod Med 1986; 31(9) (Supplement):913-921.
  • Krauss RM, Roy S, Mishell DR, Casagrande J, Pike MC. Effects of two low-dose oral contraceptives on serum lipids and lipoproteins: Differential changes in high-density lipoproteins subclasses. Am J Obstet 1983; 145:446-452.
  • Wahl P, Walden C, Knopp R, Hoover J, Wallace R, Heiss G, Rifkind B. Effect of estrogen/progestin potency on lipid/ lipoprotein cholesterol. N Engl J Med 1983; 308: 862-867.
  • Wynn V, Niththyananthan R. The effect of progestin in combined oral contraceptives on serum lipids with special reference to high density lipoproteins. Am J Obstet Gynecol 1982; 142:766-771.
  • Wynn V, Godsland I. Effects of oral contraceptives and carbohydrate metabolism. J Reprod Med 1986; 31 (9) (Supplement):892-897.
  • LaRosa JC. Atherosclerotic risk factors in cardiovascular disease. J Reprod Med 1986;31 (9) (Supplement):906-912.
  • Inman WH, Vessey MP. Investigation of death from pulmonary, coronary, and cerebral thrombosis and embolism in women of child bearing age. Br Med J 1968; 2 (5599):193-199.
  • Maguire MG, Tonascia J, Sartwell PE, Stolley PD, Tockman MS. Increased risk of thrombosis due to oral contraceptives: a further report. Am J Epidemiol 1979; 110 (2):188-195.
  • Pettiti DB, Wingerd J, Pellegrin F, Ramacharan S. Risk of vascular disease in women: smoking, oral contraceptives, noncontraceptive estrogens, and other factors. JAMA 1979; 242:1150-1154.
  • Vessey MP, Doll R. Investigation of relation between use of oral contraceptives and thromboembolic disease. Br Med J 1968; 2 (5599):199-205.
  • Vessey MP, Doll R. Investigation of relation between use of oral contraceptives and thromboembolic disease. A further report. Br Med J 1969; 2 (5658):651-657.
  • Porter JB, Hunter JR, Danielson DA, Jick H, Stergachis A. Oral contraceptives and non-fatal vascular disease-recent experience. Obstet Gynecol 1982; 59 (3):299-302.
  • Vessey M, Doll R, Peto R, Johnson B, Wiggins P. A long-term follow-up study of women using different methods of contraception: an interim report. J Biosocial Sci 1976; 8: 375-427.
  • Royal College of General Practitioners: Oral contraceptives, venous thrombosis, and varicose veins. J Royal Coll Gen Pract 1978; 28:393-399.
  • Collaborative Group for the Study of Stroke in Young Women: Oral contraception and increased risk of cerebral ischemia or thrombosis. N Engl J Med 1973; 288:871-878.
  • Petitti DB, Wingerd J. Use of oral contraceptives, cigarette smoking, and risk of subarachnoid hemorrhage. Lancet 1978; 2:234-236.
  • Inman WH. Oral contraceptives and fatal subarachnoid hemorrhage. Br Med J 1979; 2 (6203):1468-70.
  • Collaborative Group for the study of Stroke in Young Women: Oral contraceptives and stroke in young women: associated risk factors. JAMA 1975; 231:718-722.
  • Inman WH, Vessey MP, Westerholm B, Engelund A. Thromboembolic disease and the steroidal content of oral contraceptives. A report to the Committee on Safety of Drugs. Br Med J 1970; 2:203-209.
  • Meade TW, Greenberg G, Thompson SG. Progestogens and cardiovascular reactions associated with oral contraceptives and a comparison of the safety of 50- and 35-mcg estrogen preparations. Br Med J 1980; 280 (6224):1157-1161.
  • Kay CR. Progestogens and arterial disease-evidence from the Royal College of General Practitioners' Study. Am J Obstet Gynecol 1982; 142:762-765.
  • Royal College of General Practitioners: Incidence of arterial disease among oral contraceptive users. J Royal Coll Gen Pract 1983; 33:75-82.
  • Ory HW. Mortality associated with fertility and fertility control: 1983. Family Planning Perspectives 1983; 15:50-56.
  • The Cancer and Steroid Hormone Study of the Centers for Disease Control and the National Institute of Child Health and Human Development: Oral contraceptive use and the risk of breast cancer. N Engl J Med 1986; 315:405-411.
  • Pike MC, Henderson BE, Krailo MD, Duke A, Roy S. Breast cancer risk in young women and use of oral contraceptives: possible modifying effect of formulation and age at use. Lancet 1983; 2:926-929.
  • Paul C, Skegg DG, Spears GFS, Kaldor JM. Oral contraceptives and breast cancer: A national study. Br Med J 1986; 293: 723-725.
  • Miller DR, Rosenberg L, Kaufman DW, Schottenfeld D, Stolley PD, Shapiro S. Breast cancer risk in relation to early oral contraceptive use. Obstet Gynecol 1986; 68:863-868.
  • Olsson H, Olsson ML, Moller TR, Ranstam J, Holm P. Oral contraceptive use and breast cancer in young women in Sweden (letter). Lancet 1985; 1(8431):748-749.
  • McPherson K, Vessey M, Neil A, Doll R, Jones L, Roberts M. Early contraceptive use and breast cancer: Results of another case-control study. Br J Cancer 1987; 56:653-660.
  • Huggins GR, Zucker PF. Oral contraceptives and neoplasia: 1987 update. Fertil Steril 1987; 47:733-761.
  • McPherson K, Drife JO. The pill and breast cancer: why the uncertainty? Br Med J 1986; 293:709-710.
  • Shapiro S. Oral contraceptives - time to take stock. N Engl J Med 1987; 315:450-451.
  • Ory H, Naib Z, Conger SB, Hatcher RA, Tyler CW. Contraceptive choice and prevalence of cervical dysplasia and carcinoma in situ. Am J Obstet Gynecol 1976;124:573-577.
  • Vessey MP, Lawless M, McPherson K, Yeates D. Neoplasia of the cervix uteri and contraception: a possible adverse effect of the pill. Lancet 1983; 2:930.
  • Brinton LA, Huggins GR, Lehman HF, Malli K, Savitz DA, Trapido E, Rosenthal J, Hoover R. Long term use of oral contraceptives and risk of invasive cervical cancer. Int J Cancer 1986; 38:339-344.
  • WHO Collaborative Study of Neoplasia and Steroid Contraceptives: Invasive cervical cancer and combined oral contraceptives. Br Med J 1985; 290:961-965.
  • Rooks JB, Ory HW, Ishak KG, Strauss LT, Greenspan JR, Hill AP, Tyler CW. Epidemiology of hepatocellular adenoma: the role of oral contraceptive use. JAMA 1979; 242:644-648.
  • Bein NN, Goldsmith HS. Recurrent massive hemorrhage from benign hepatic tumors secondary to oral contraceptives. Br J Surg 1977; 64:433-435.
  • Klatskin G. Hepatic tumors: possible relationship to use of oral contraceptives. Gastroenterology 1977; 73:386-394.
  • Henderson BE, Preston-Martin S, Edmondson HA, Peters RL, Pike MC. Hepatocellular carcinoma and oral contraceptives. Br J Cancer 1983; 48:437-440.
  • Neuberger J, Forman D, Doll R, Williams R. Oral contraceptives and hepatocellular carcinoma. Br Med J 1986; 292:1355-1357.
  • Forman D, Vincent TJ, Doll R. Cancer of the liver and oral contraceptives. Br Med J 1986; 292:1357-1361.
  • Harlap S, Eldor J. Births following oral contraceptive failures. Obstet Gynecol 1980; 55:447-452.
  • Savolainen E, Saksela E, Saxen L. Teratogenic hazards of oral contraceptives analyzed in a national malformation register. Am J Obstet Gynecol 1981; 140:521-524.
  • Janerich DT, Piper JM, Glebatis DM. Oral contraceptives and birth defects. Am J Epidemiol 1980; 112:73-79.
  • Ferencz C, Matanoski GM, Wilson PD, Rubin JD, Neill CA, Gutberlet R. Maternal hormone therapy and congenital heart disease. Teratology 1980; 21:225-239.
  • Rothman KJ, Fyler DC, Goldbatt A, Kreidberg MB. Exogenous hormones and other drug exposures of children with congenital heart disease. Am J Epidemiol 1979; 109:433-439.
  • Boston Collaborative Drug Surveillance Program: Oral contraceptives and venous thromboembolic disease, surgically confirmed gall-bladder disease, and breast tumors. Lancet 1973;1:1399-1404.
  • Royal College of General Practitioners: Oral contraceptives and health. New York, Pittman, 1974.
  • Layde PM, Vessey MP, Yeates D. Risk of gall bladder disease: a cohort study of young women attending family planning clinics. J Epidemiol Community Health 1982; 36:274-278.
  • Rome Group for the Epidemiology and Prevention of Cholelithiasis (GREPCO): Prevalence of gallstone disease in an Italian adult female population. Am J Epidemiol 1984; 119:796-805.
  • Strom BL, Tamragouri RT, Morse ML, Lazar EL, West SL, Stolley PD, Jones JK. Oral contraceptives and other risk factors for gall bladder disease. Clin Pharmacol Ther 1986; 39:335-341.
  • Wynn V, Adams PW, Godsland IF, Melrose J, Niththyananthan R, Oakley NW, Seedj A. Comparison of effects of different combined oral contraceptive formulations on carbohydrate and lipid metabolism. Lancet 1979; 1:1045-1049.
  • Wynn V. Effect of progesterone and progestins on carbohydrate metabolism. In Progesterone and Progestin. Edited by Bardin CW, Milgrom E, Mauvis-Jarvis P. New York, Raven Press, 1983; pp. 395-410.
  • Perlman JA, Roussell-Briefel RG, Ezzati TM, Lieberknecht G. Oral glucose tolerance and the potency of oral contraceptive progestogens. J Chronic Dis 1985; 38:857-864.
  •  Royal College of General Practitioners' Oral Contraception Study: Effect on hypertension and benign breast disease of progestogen component in combined oral contraceptives. Lancet 1977; 1:624.
  • Fisch IR, Frank J. Oral contraceptives and blood pressure. JAMA 1977; 237:2499-2503.
  • Laragh AJ. Oral contraceptive induced hypertension-nine years later. Am J Obstet Gynecol 1976; 126:141-147.
  • Ramcharan S, Peritz E, Pellegrin FA, Williams WT. Incidence of hypertension in the Walnut Creek Contraceptive Drug Study cohort. In Pharmacology of Steroid Contraceptive Drugs. Garattini S, Berendes HW. Eds. New York, Raven Press, 1977; pp. 277-288. (Monographs of the Mario Negri Institute for Pharmacological Research, Milan).
  • Stockley I. Interactions with oral contraceptives. J Pharm 1976; 216:140-143.
  • The Cancer and Steroid Hormone Study of the Centers for Disease Control and the National Institute of Child Health and Human Development: Oral contraceptive use and the risk of ovarian cancer. JAMA 1983; 249:1596-1599.
  • The Cancer and Steroid Hormone Study of the Centers for Disease Control and the National Institute of Child Health and Human Development: Combination oral contraceptive use and the risk of endometrial cancer. JAMA 1987; 257:796-800.
  • Ory HW. Functional ovarian cysts and oral contraceptives: negative association confirmed surgically. JAMA 1974; 228: 68-69.
  • Ory HW, Cole P, Macmahon B, Hoover R. Oral contraceptives and reduced risk of benign breast disease. N Engl J Med 1976; 294:419-422.
  • Ory HW. The noncontraceptive health benefits from oral contraceptive use. Fam Plann Perspect 1982; 14:182-184.
  • Ory HW, Forrest JD, Lincoln R. Making Choices: Evaluating the health risks and benefits of birth control methods. New York, The Alan Guttmacher Institute, 1983; p.1.
  • Schlesselman J, Stadel BV, Murray P, Lai S. Breast Cancer in relation to early use of oral contraceptives. JAMA 1988; 259:1828-1833.
  • Hennekens CH, Speizer FE, Lipnick RJ, Rosner B, Bain C, Belanger C, Stampfer MJ, Willett W, Peto R. A case-controlled study of oral contraceptive use and breast cancer. JNCI 1984;72:39-42.
  • LaVecchia C, Decarli A, Fasoli M, Franceschi S, Gentile A, Negri E, Parazzini F, Tognoni G. Oral contraceptives and cancers of the breast and of the female genital tract. Interim results from a case-control study. Br. J. Cancer 1986; 54:311-317.
  • Meirik O, Lund E, Adami H, Bergstrom R, Christoffersen T, Bergsjo P. Oral contraceptive use in breast cancer in young women. A Joint National Case-control study in Sweden and Norway. Lancet 1986; 11:650-654.
  • Kay CR, Hannaford PC. Breast cancer and the pill-A further report from the Royal College of General Practitioners' oral contraception study. Br. J. Cancer 1988; 58:675-680.
  • Stadel BV, Lai S, Schlesselman JJ, Murray P. Oral contraceptives and premenopausal breast cancer in nulliparous women. Contraception 1988; 38:287-299.
  • Miller DR, Rosenberg L, Kaufman DW, Stolley P, Warshauer ME, Shapiro S. Breast cancer before age 45 and oral contraceptive use: New Findings. Am. J. Epidemiol 1989; 129:269-280.
  • The UK National Case-Control Study Group, Oral contraceptive use and breast cancer risk in young women. Lancet 1989; 1:973-982.
  • Schlesselman JJ. Cancer of the breast and reproductive tract in relation to use of oral contraceptives. Contraception 1989; 40:1-38.
  • Vessey MP, McPherson K, Villard-Mackintosh L, Yeates D. Oral contraceptives and breast cancer: latest findings in a large cohort study. Br. J. Cancer 1989; 59:613-617.
  • Jick SS, Walker AM, Stergachis A, Jick H. Oral contraceptives and breast cancer. Br. J. Cancer 1989; 59:618-621.
  • Godsland, I et al. The effects of different formulations of oral contraceptive agents on lipid and carbohydrate metabolism. N Engl J Med 1990; 323:1375-81.
  • Kloosterboer, HJ et al. Selectivity in progesterone and androgen receptor binding of progestogens used in oral contraception. Contraception 1988; 38:325-32.
  • Van der Vies, J and de Visser, J. Endocrinological studies with desogestrel. Arzneim Forsch/ Drug Res, 1983; 33(I),2:231-6.
  • Data on file, Organon Inc.
  • Fotherby, K. Oral contraceptives, lipids and cardiovascular diseases. Contraception 1985; Vol. 31; 4:367-94.
  • Lawrence, DM et al. Reduced sex hormone binding globulin and derived free testosterone levels in women with severe acne. Clinical Endocrinology 1981;15:87-91.
  • Collaborative Group on Hormonal Factors in Breast Cancer. Breast cancer and hormonal contraceptives: collaborative reanalysis of individual data on 53 297 women with breast cancer and 100 239 women without breast cancer from 54 epidemiological studies. Lancet 1996; 347:1713-1727.
  • Palmer JR, Rosenberg L, Kaufman DW, Warshauer ME, Stolley P, Shapiro S. Oral Contraceptive Use and Liver Cancer. Am J Epidemiol 1989; 130:878-882.
  • Improving access to quality care in family planning: Medical eligibility criteria for contraceptive use. Geneva, WHO, Family and Reproductive Health, 1996.
  • Bork K, Fischer B, DeWald G. Recurrent episodes of skin angioedema and severe attacks of abdominal pain induced by oral contraceptives or hormone replacement therapy. Am J Med 2003;114:294-298
  • Van Giersbergen PLM, Halabi A, Dingemanse J. Pharmacokinetic interaction between bosentan and the oral contraceptives norethisterone and ethinyl estradiol. Int J Clin Pharmacol Ther 2006;44(3):113-118.
  • Christensen J, Petrenaite V, Atterman J, et al. Oral contraceptives induce lamotrigine metabolism: evidence from a doubleblind, placebo-controlled trial. Epilepsia 2007;48(3):484-489.
  • Chobanian et al. Seventh report of the joint national committee on prevention, detection, evaluation, and treatment of high blood pressure. Hypertension 2003;42;1206-1252.
  • Brown KS, Armstrong IC, Wang A, Walker JR, Noveck RJ, Swearingen D, Allison M, Kissling JC, Kisicki J, Salazar D. Effect of the bile acid sequestrant colesevelam on the pharmacokinetics of pioglitazone, repaglinide, estrogen estradiol, norethindrone, levothyroxine, and glyburide. J Clin Pharmacol 2010;50:554-565.
A Reminder: (A REMINDER:)

If you forget any of the 7 green "reminder" pills in Week 4:

THROW AWAY the pills you missed.

Keep taking 1 pill each day until the pack is empty.

You do not need a back-up method.

FINALLY, IF YOU ARE STILL NOT SURE WHAT TO DO ABOUT THE PILLS YOU HAVE MISSED:

Use a BACK-UP METHOD anytime you have sex.

KEEP TAKING ONE LIGHT ORANGE "ACTIVE" PILL EACH DAY until you can reach your healthcare professional.

PREGNANCY DUE TO PILL FAILURE

When taken correctly without missing any pills, oral contraceptives are highly effective; however the typical failure rate of large numbers of pill users is 5% per year when women who miss pills are included. If failure does occur, the risk to the fetus is minimal.

PREGNANCY AFTER STOPPING THE PILL

There may be some delay in becoming pregnant after you stop using oral contraceptives, especially if you had irregular menstrual cycles before you used oral contraceptives. It may be advisable to postpone conception until you begin menstruating regularly once you have stopped taking the pill and desire pregnancy.

There does not appear to be any increase in birth defects in newborn babies when pregnancy occurs soon after stopping the pill.

Day 1 Start

The dosage of Enskyce for the initial cycle of therapy is one light orange "active" tablet administered daily from the 1st day through the 21st day of the menstrual cycle, counting the first day of menstrual flow as "Day 1". Tablets are taken without interruption as follows: One light orange "active" tablet daily for 21 days, then one green "reminder" tablet daily for 7 days. After 28 tablets have been taken, a new course is started and a light orange "active" tablet is taken the next day.

The use of Enskyce for contraception may be initiated 4 weeks postpartum in women who elect not to breastfeed. When the tablets are administered during the postpartum period, the increased risk of thromboembolic disease associated with the postpartum period must be considered. (See CONTRAINDICATIONS and WARNINGS concerning thromboembolic disease. See also ( PRECAUTIONS , Nursing Mothers). If the patient starts on Enskyce postpartum, and has not yet had a period, she should be instructed to use another method of contraception until a light orange "active" tablet has been taken daily for 7 days. The possibility of ovulation and conception prior to initiation of medication should be considered. If the patient misses one (1) light orange "active" tablet in Weeks 1, 2, or 3, the light orange "active" tablet should be taken as soon as she remembers. If the patient misses two (2) light orange "active" tablets in Week 1 or Week 2, the patient should take two (2) light orange "active" tablets the day she remembers and two (2) light orange "active" tablets the next day; and then continue taking one (1) light orange "active" tablet a day until she finishes the pack. The patient should be instructed to use a back-up method of birth control such as a condom or spermicide if she has sex in the seven (7) days after missing pills. If the patient misses two (2) light orange "active" tablets in the third week or misses three (3) or more light orange "active" tablets in a row, the patient should throw out the rest of the pack and start a new pack that same day. The patient should be instructed to use a back-up method of birth control if she has sex in the seven (7) days after missing pills.

11. Headache

The onset or exacerbation of migraine or development of headache with a new pattern which is recurrent, persistent or severe requires discontinuation of oral contraceptives and evaluation of the cause.

Introduction (INTRODUCTION)

Any woman who considers using oral contraceptives (the birth control pill or the pill) should understand the benefits and risks of using this form of birth control. This patient labeling will give you much of the information you will need to make this decision and will also help you determine if you are at risk of developing any of the serious side effects of the pill. It will tell you how to use the pill properly so that it will be as effective as possible. However, this labeling is not a replacement for a careful discussion between you and your healthcare professional. You should discuss the information provided in this labeling with him or her, both when you first start taking the pill and during your revisits. You should also follow your healthcare professional's advice with regard to regular check-ups while you are on the pill.

Sunday Start

When taking Enskyce, the first light orange "active" tablet should be taken on the first Sunday after menstruation begins. If the period begins on Sunday, the first light orange "active" tablet is taken on that day. If switching directly from another oral contraceptive, the first light orange "active" tablet should be taken on the first Sunday after the last ACTIVE tablet of the previous product. Tablets are taken without interruption as follows: One light orange "active" tablet daily for 21 days, then one green "reminder" tablet daily for 7 days. After 28 tablets have been taken, a new course is started and a light orange "active" tablet is taken the next day (Sunday). When initiating a Sunday start regimen, another method of contraception should be used until after the first 7 consecutive days of administration.

The use of Enskyce for contraception may be initiated 4 weeks postpartum. When the tablets are administered during the postpartum period, the increased risk of thromboembolic disease associated with the postpartum period must be considered. (See CONTRAINDICATIONS and WARNINGS concerning thromboembolic disease. See also (PRECAUTIONS,  Nursing Mothers). If the patient starts on Enskyce postpartum, and has not yet had a period, she should be instructed to use another method of contraception until a light orange "active" tablet has been taken daily for 7 days. The possibility of ovulation and conception prior to initiation of medication should be considered. If the patient misses one (1) light orange active tablet in Weeks 1, 2, or 3, the light orange "active" tablet should be taken as soon as she remembers. If the patient misses two (2) light orange "active" tablets in Week 1 or Week 2, the patient should take two (2) light orange "active" tablets the day she remembers and two (2) light orange "active" tablets the next day; and then continue taking one (1) light orange "active" tablet a day until she finishes the pack. The patient should be instructed to use a back-up method of birth control such as a condom or spermicide if she has sex in the seven (7) days after missing pills. If the patient misses two (2) light orange "active" tablets in the third week or misses three (3) or more light orange "active" tablets in a row, the patient should continue taking one light orange "active" tablet every day until Sunday. On Sunday the patient should throw out the rest of the pack and start a new pack that same day. The patient should be instructed to use a back-up method of birth control if she has sex in the seven (7) days after missing pills.

11. Pregnancy

See CONTRAINDICATIONS   and WARNINGS .

4. Liver Tumors

In rare cases, oral contraceptives can cause benign but dangerous liver tumors. These benign liver tumors can rupture and cause fatal internal bleeding. In addition, some studies report an increased risk of developing liver cancer. However, liver cancers are rare.

Warning Signals (WARNING SIGNALS)

If any of these adverse effects occur while you are taking oral contraceptives, call your healthcare professional immediately:

  • Sharp chest pain, coughing of blood, or sudden shortness of breath (indicating a possible clot in the lung)
  • Pain in the calf (indicating a possible clot in the leg)
  • Crushing chest pain or heaviness in the chest (indicating a possible heart attack)
  • Sudden severe headache or vomiting, dizziness or fainting, disturbances of vision or speech, weakness, or numbness in an arm or leg (indicating a possible stroke)
  • Sudden partial or complete loss of vision (indicating a possible clot in the eye)
  • Breast lumps (indicating possible breast cancer or fibrocystic disease of the breast; ask your healthcare professional to show you how to examine your breasts)
  • Severe pain or tenderness in the stomach area (indicating a possibly ruptured liver tumor)
  • Difficulty in sleeping, weakness, lack of energy, fatigue, or change in mood (possibly indicating severe depression)
  • Jaundice or a yellowing of the skin or eyeballs, accompanied frequently by fever, fatigue, loss of appetite, dark colored urine, or light colored bowel movements (indicating possible liver problems)
Pharmacodynamics

Combined oral contraceptives act by suppression of gonadotropins. Although the primary mechanism of this action is inhibition of ovulation, other alterations include changes in the cervical mucus, which increase the difficulty of sperm entry into the uterus, and changes in the endometrium which reduce the likelihood of implantation.

Receptor binding studies, as well as studies in animals, have shown that 3-keto-desogestrel, the biologically active metabolite of desogestrel, combines high progestational activity with minimal intrinsic androgenicity.91,92The relevance of this latter finding in humans is unknown.

Pharmacokinetics

Desogestrel is rapidly and almost completely absorbed and converted into 3-keto-desogestrel, its biologically active metabolite. Following oral administration, the relative bioavailability of desogestrel, as measured by serum levels of 3-keto-desogestrel, is approximately 84%.

In the third cycle of use after a single dose of Enskyce, maximum concentrations of 3-keto-desogestrel of 2,805 ± 1,203 pg/mL (mean ± SD) are reached at 1.4 ± 0.8 hours. The area under the curve (AUC0-∞) is 33,858 ± 11,043 pg/mL·hr after a single dose. At steady state, attained from at least day 19 onwards, maximum concentrations of 5,840 ± 1,667 pg/mL are reached at 1.4 ± 0.9 hours. The minimum plasma levels of 3-keto-desogestrel at steady state are 1,400 ± 560 pg/mL. The AUC0-24 at steady state is 52,299 ± 17,878 pg/mL·hr. The mean AUC0-∞ for 3-keto-desogestrel at single dose is significantly lower than the mean AUC0-24 at steady state. This indicates that the kinetics of 3-keto-desogestrel are non-linear due to an increase in binding of 3-keto-desogestrel to sex hormone-binding globulin in the cycle, attributed to increased sex hormone-binding globulin levels which are induced by the daily administration of ethinyl estradiol. Sex hormone-binding globulin levels increased significantly in the third treatment cycle from day 1 (150 ± 64 nmol/L) to day 21 (230 ± 59 nmol/L).

The elimination half-life for 3-keto-desogestrel is approximately 38 ± 20 hours at steady state. In addition to 3-keto-desogestrel, other phase I metabolites are 3α-OH-desogestrel, 3β-OH-desogestrel, and 3α-OH-5α-H-desogestrel. These other metabolites are not known to have any pharmacologic effects, and are further converted in part by conjugation (phase II metabolism) into polar metabolites, mainly sulfates and glucuronides.

Ethinyl estradiol is rapidly and almost completely absorbed. In the third cycle of use after a single dose of Enskyce, the relative bioavailability is approximately 83%.

13. Pediatric Use

Safety and efficacy of Enskyce Tablets have been established in women of reproductive age. Safety and efficacy are expected to be the same for postpubertal adolescents under the age of 16 and for users 16 years and older. Use of this product before menarche is not indicated.

14. Geriatric Use

This product has not been studied in women over 65 years of age and is not indicated in this population.

2. Contact Lenses

If you wear contact lenses and notice a change in vision or an inability to wear your lenses, contact your healthcare professional.

4. Liver Function

If jaundice develops in any woman receiving oral contraceptives, the medication should be discontinued. Steroid hormones may be poorly metabolized in patients with impaired liver function.

5. Risk of Cancer

It is not known if hormonal birth control pills causes breast cancer. Some studies, but not all, suggest that there could be a slight increase in the risk of breast cancer among current users with longer duration of use.

If you have breast cancer now, or have had it in the past, do not use hormonal birth control because some breast cancers are sensitive to hormones.

Some studies have found an increase in the incidence of cancer of the cervix in women who use oral contraceptives. However, this finding may be related to factors other than the use of oral contraceptives. There is insufficient evidence to rule out the possibility that pills may cause such cancers.

6. Ocular Lesions

There have been clinical case reports of retinal thrombosis associated with the use of oral contraceptives. Oral contraceptives should be discontinued if there is unexplained partial or complete loss of vision; onset of proptosis or diplopia; papilledema; or retinal vascular lesions. Appropriate diagnostic and therapeutic measures should be undertaken immediately.

7. Contact Lenses

Contact lens wearers who develop visual changes or changes in lens tolerance should be assessed by an ophthalmologist.

10. Carcinogenesis

See WARNINGS .

3. Fluid Retention

Oral contraceptives may cause edema (fluid retention) with swelling of the fingers or ankles and may raise your blood pressure. If you experience fluid retention, contact your healthcare professional.

3. Lipid Disorders

Women who are being treated for hyperlipidemias should be followed closely if they elect to use oral contraceptives. Some progestogens may elevate LDL levels and may render the control of hyperlipidemias more difficult.

5. Fluid Retention

Oral contraceptives may cause some degree of fluid retention. They should be prescribed with caution, and only with careful monitoring, in patients with conditions which might be aggravated by fluid retention.

A. Thromboembolism (a. Thromboembolism)

An increased risk of thromboembolic and thrombotic disease associated with the use of oral contraceptives is well established. Case control studies have found the relative risk of users compared to non-users to be 3 for the first episode of superficial venous thrombosis, 4 to 11 for deep vein thrombosis or pulmonary embolism, and 1.5 to 6 for women with predisposing conditions for venous thromboembolic disease.2,3,19-24 Cohort studies have shown the relative risk to be somewhat lower, about 3 for new cases and about 4.5 for new cases requiring hospitalization.25 The risk of thromboembolic disease associated with oral contraceptives gradually disappears after combined oral contraceptive (COC) use is stopped.2 VTE risk is highest in the first year of use and when restarting hormonal contraception after a break of four weeks or longer.

Several epidemiologic studies indicate that third generation oral contraceptives, including those containing desogestrel, are associated with a higher risk of venous thromboembolism than certain second generation oral contraceptives. In general, these studies indicate an approximate 2-fold increased risk, which corresponds to an additional 1-2 cases of venous thromboembolism per 10,000 women-years of use. However, data from additional studies have not shown this 2-fold increase in risk.

A two- to four-fold increase in relative risk of post-operative thromboembolic complications has been reported with the use of oral contraceptives.9 The relative risk of venous thrombosis in women who have predisposing conditions is twice that of women without such medical conditions.26 If feasible, oral contraceptives should be discontinued at least four weeks prior to and for two weeks after elective surgery of a type associated with an increase in risk of thromboembolism and during and following prolonged immobilization. Since the immediate postpartum period is also associated with an increased risk of thromboembolism, oral contraceptives should be started no earlier than four weeks after delivery in women who elect not to breastfeed.

1. Vaginal Bleeding

Irregular vaginal bleeding or spotting may occur while you are taking the pills. Irregular bleeding may vary from slight staining between menstrual periods to breakthrough bleeding which is a flow much like a regular period. Irregular bleeding occurs most often during the first few months of oral contraceptive use, but may also occur after you have been taking the pill for some time. Such bleeding may be temporary and usually does not indicate any serious problems. It is important to continue taking your pills on schedule. If the bleeding occurs in more than one cycle or lasts for more than a few days, talk to your healthcare professional.

12. Nursing Mothers

Small amounts of oral contraceptive steroids have been identified in the milk of nursing mothers and a few adverse effects on the child have been reported, including jaundice and breast enlargement. In addition, oral contraceptives given in the postpartum period may interfere with lactation by decreasing the quantity and quality of breast milk. If possible, the nursing mother should be advised not to use oral contraceptives but to use other forms of contraception until she has completely weaned her child.

3. Laboratory Tests

If you are scheduled for any laboratory tests, tell your healthcare professional you are taking birth control pills. Certain blood tests may be affected by birth control pills.

4. Drug Interactions

Tell your healthcare provider about all medicines and herbal products that you take.

Some medicines and herbal products may make hormonal birth control less effective, including, but not limited to:

  • certain seizure medicines (carbamazepine, felbamate, oxcarbazepine, phenytoin, rufinamide, and topiramate)
  • aprepitant
  • barbiturates
  • bosentan
  • colesevelam
  • griseofulvin
  • certain combinations of HIV medicines (nelfinavir, ritonavir, ritonavir-boosted protease inhibitors)
  • certain non nucleoside reverse transcriptase inhibitors (nevirapine)
  • rifampin and rifabutin
  • St. John's wort

Use another birth control method (such as a condom and spermicide or diaphragm and spermicide) when you take medicines that may make Enskyce less effective.

Some medicines and grapefruit juice may increase your level of the hormone ethinyl estradiol if used together, including:

  • acetaminophen
  • ascorbic acid
  • medicines that affect how your liver breaks down other medicines (itraconazole, ketoconazole, voriconazole, and fluconazole)
  • certain HIV medicines (atazanavir, indinavir)
  • atorvastatin
  • rosuvastatin
  • etravirine

Hormonal birth control methods may interact with lamotrigine, a seizure medicine used for epilepsy. This may increase the risk of seizures, so your healthcare provider may need to adjust the dose of lamotrigine.

Women on thyroid replacement therapy may need increased doses of thyroid hormone.

Know the medicines you take. Keep a list of them to show your doctor and pharmacist when you get a new medicine.

4. Hepatic Neoplasia

Benign hepatic adenomas are associated with oral contraceptive use, although the incidence of benign tumors is rare in the United States. Indirect calculations have estimated the attributable risk to be in the range of 3.3 cases/100,000 for users, a risk that increases after four or more years of use especially with oral contraceptives of higher dose49. Rupture of benign, hepatic adenomas may cause death through intra-abdominal hemorrhage.50,51 

Studies from Britain have shown an increased risk of developing hepatocellular carcinoma in long-term (>8 years) oral contraceptive users. However, these cancers are extremely rare in the U.S. and the attributable risk (the excess incidence) of liver cancers in oral contraceptive users approaches less than one per million users.

8. Drug Interactions

Consult the labeling of concurrently-used drugs to obtain further information about interactions with hormonal contraceptives or the potential for enzyme alterations.

Effects of Other Drugs on Combined Hormonal Contraceptives

Substances decreasing the plasma concentrations of COCs and potentially diminishing the efficacy of COCs:

Drugs or herbal products that induce certain enzymes, including cytochrome P450 3A4 (CYP3A4), may decrease the plasma concentrations of COCs and potentially diminish the effectiveness of CHCs or increase breakthrough bleeding. Some drugs or herbal products that may decrease the effectiveness of hormonal contraceptives include phenytoin, barbiturates, carbamazepine, bosentan, felbamate, griseofulvin, oxcarbazepine, rifampicin, topiramate, rifabutin, rufinamide, aprepitant, and products containing St. John's wort. Interactions between hormonal contraceptives and other drugs may lead to breakthrough bleeding and/or contraceptive failure. Counsel women to use an alternative method of contraception or a back-up method when enzyme inducers are used with CHCs, and to continue back-up contraception for 28 days after discontinuing the enzyme inducer to ensure contraceptive reliability.

Substances increasing the plasma concentrations of COCs:

Co-administration of atorvastatin or rosuvastatin and certain COCs containing EE increase AUC values for EE by approximately 20 to 25%. Ascorbic acid and acetaminophen may increase plasma EE concentrations, possibly by inhibition of conjugation. CYP3A4 inhibitors such as itraconazole, voriconazole, fluconazole, grapefruit juice, or ketoconazole may increase plasma hormone concentrations.

Human immunodeficiency virus (HIV)/ Hepatitis C virus (HCV) protease inhibitors and non-nucleoside reverse transcriptase inhibitors:

Significant changes (increase or decrease) in the plasma concentrations of estrogen and/or progestin have been noted in some cases of co-administration with HIV protease inhibitors (decrease [e.g., nelfinavir, ritonavir, darunavir/ritonavir, (fos)amprenavir/ritonavir, lopinavir/ritonavir, and tipranavir/ritonavir] or increase [e.g., indinavir and atazanavir/ritonavir]) /HCV protease inhibitors (decrease [e.g., boceprevir and telaprevir]) or with non-nucleoside reverse transcriptase inhibitors (decrease [e.g., nevirapine] or increase [e.g., etravirine]).

Concomitant Use with HCV Combination Therapy – Liver Enzyme Elevation

Do not co-administer Enskyce with HCV drug combinations containing ombitasvir/paritaprevir/ritonavir, with or without dasabuvir, due to potential for ALT elevations [see section 5 in WARNINGS, RISK OF LIVER ENZYME ELEVATIONS WITH CONCOMITANT HEPATITIS C TREATMENT ]

Colesevelam  

Colesevelam, a bile acid sequestrant, given together with a combination oral hormonal contraceptive, has been shown to significantly decrease the AUC of EE. A drug interaction between the contraceptive and colesevelam was decreased when the two drug products were given 4 hours apart.

Effects of Combined Hormonal Contraceptives on Other Drugs

COCs containing EE may inhibit the metabolism of other compounds (e.g., cyclosporine, prednisolone, theophylline, tizanidine, and voriconazole) and increase their plasma concentrations. COCs have been shown to decrease plasma concentrations of acetaminophen, clofibric acid, morphine, salicylic acid, temazepam and lamotrigine. Significant decrease in plasma concentration of lamotrigine has been shown, likely due to induction of lamotrigine glucuronidation. This may reduce seizure control; therefore, dosage adjustments of lamotrigine may be necessary.

Women on thyroid hormone replacement therapy may need increased doses of thyroid hormone because serum concentrations of thyroid-binding globulin increases with use of COCs.

How to Take the Pill (HOW TO TAKE THE PILL)
IMPORTANT  POINTS  TO  REMEMBER

BEFORE YOU START TAKING YOUR PILLS:

1.   BE SURE TO READ THESE DIRECTIONS:

Before you start taking your pills.

Anytime you are not sure what to do.

2.   THE RIGHT WAY TO TAKE THE PILL IS TO TAKE ONE PILL EVERY DAY AT THE SAME TIME.

If you miss pills you could get pregnant. This includes starting the pack late.

The more pills you miss, the more likely you are to get pregnant.

3.   MANY WOMEN HAVE SPOTTING OR LIGHT BLEEDING, OR MAY FEEL SICK TO THEIR STOMACH DURING THE FIRST 1-3 PACKS OF PILLS. If you feel sick to your stomach, do not stop taking the pill. The problem will usually go away. If it doesn't go away, check with your healthcare professional.

4.   MISSING PILLS CAN ALSO CAUSE SPOTTING OR LIGHT BLEEDING, even when you make up these missed pills.

On the days you take 2 pills to make up for missed pills, you could also feel a little sick to your stomach.

5. IF YOU HAVE VOMITING OR DIARRHEA, or IF YOU TAKE SOME MEDICINES, your pills may not work as well.

Use a back-up method (such as a condom or spermicide) until you check with your healthcare professional.

6.   IF YOU HAVE TROUBLE REMEMBERING TO TAKE THE PILL, talk to your healthcare professional about how to make pill taking easier or about using another method of birth control.

7.   IF YOU HAVE ANY QUESTIONS OR ARE UNSURE ABOUT THE INFORMATION IN THIS LEAFLET, call your healthcare professional.

13. Ectopic Pregnancy

Ectopic as well as intrauterine pregnancy may occur in contraceptive failures.

5. Other Side Effects

Other side effects may include nausea and vomiting, change in appetite, headache, nervousness, depression, dizziness, loss of scalp hair, rash, vaginal infections, and allergic reactions.

If any of these side effects bother you, call your healthcare professional.

2. While Breastfeeding

If you are breastfeeding, consult your healthcare professional before starting oral contraceptives. Some of the drug will be passed on to the child in the milk. A few adverse effects on the child have been reported, including yellowing of the skin (jaundice) and breast enlargement. In addition, oral contraceptives may decrease the amount and quality of your milk. If possible, do not use oral contraceptives while breastfeeding. You should use another method of contraception since breastfeeding provides only partial protection from becoming pregnant and this partial protection decreases significantly as you breastfeed for longer periods of time. You should consider starting oral contraceptives only after you have weaned your child completely.

3. Gallbladder Disease

Oral contraceptive users probably have a greater risk than nonusers of having gallbladder disease, although this risk may be related to pills containing high doses of estrogens.

3. Malignant Neoplasms

Breast Cancer

Enskyce Tablets is contraindicated in females who currently have or have had breast cancer because breast cancer may be hormonally sensitive [see CONTRAINDICATIONS].

Epidemiology studies have not found a consistent association between use of combined oral contraceptives (COCs) and breast cancer risk. Studies do not show an association between ever (current or past) use of COCs and risk of breast cancer. However, some studies report a small increase in the risk of breast cancer among current or recent users (<6 months since last use) and current users with longer duration of COC use [see POSTMARKETING EXPERIENCE].

Cervical Cancer

Some studies suggest that oral contraceptive use has been associated with an increase in the risk of cervical intra-epithelial neoplasia in some populations of women45-48. However, there continues to be controversy about the extent to which such findings may be due to differences in sexual behavior and other factors.

In spite of many studies of the relationship between oral contraceptive use and breast and cervical cancers, a cause-and-effect relationship has not been established.

6. Emotional Disorders

Women with a history of depression should be carefully observed and the drug discontinued if depression recurs to a serious degree.

8. Gallbladder Disease

Earlier studies have reported an increased lifetime relative risk of gallbladder surgery in users of oral contraceptives and estrogens.60,61 More recent studies, however, have shown that the relative risk of developing gallbladder disease among oral contraceptive users may be minimal.62-64 The recent findings of minimal risk may be related to the use of oral contraceptive formulations containing lower hormonal doses of estrogens and progestogens.

Information for Patients (INFORMATION FOR PATIENTS)

See Patient Labeling printed below.

B. Myocardial Infarction (b. Myocardial Infarction)

An increased risk of myocardial infarction has been attributed to oral contraceptive use. This risk is primarily in smokers or women with other underlying risk factors for coronary artery disease such as hypertension, hypercholesterolemia, morbid obesity, and diabetes. The relative risk of heart attack for current oral contraceptive users has been estimated to be two to six.4-10 The risk is very low in women under the age of 30.

Smoking in combination with oral contraceptive use has been shown to contribute substantially to the incidence of myocardial infarctions in women in their mid-thirties or older with smoking accounting for the majority of excess cases.11 Mortality rates associated with circulatory disease have been shown to increase substantially in smokers, especially in those 35 years of age and older and in nonsmokers over the age of 40 among women who use oral contraceptives. (See Figure 1)

10. Elevated Blood Pressure

Women with significant hypertension should not be started on hormonal contraception.98 An increase in blood pressure has been reported in women taking oral contraceptives68 and this increase is more likely in older oral contraceptive users69 and with extended duration of use.61 Data from the Royal College of General Practitioners12 and subsequent randomized trials have shown that the incidence of hypertension increases with increasing progestational activity and concentrations of progestogens.

Women with a history of hypertension or hypertension-related diseases, or renal disease70 should be encouraged to use another method of contraception. If these women elect to use oral contraceptives, they should be monitored closely and if a clinically significant persistent elevation of blood pressure (BP) occurs (≥160 mm Hg systolic or ≥100 mm Hg diastolic) and cannot be adequately controlled, oral contraceptives should be discontinued. In general, women who develop hypertension during hormonal contraceptive therapy should be switched to a non-hormonal contraceptive. If other contraceptive methods are not suitable, hormonal contraceptive therapy may continue combined with antihypertensive therapy. Regular monitoring of BP throughout hormonal contraceptive therapy is recommended 102. For most women, elevated blood pressure will return to normal after stopping oral contraceptives, 69 and there is no difference in the occurrence of hypertension among former and never users.68,70,71  

12. Bleeding Irregularities

Breakthrough bleeding and spotting are sometimes encountered in patients on oral contraceptives, especially during the first three months of use. Nonhormonal causes should be considered and adequate diagnostic measures taken to rule out malignancy or pregnancy in the event of breakthrough bleeding, as in the case of any abnormal vaginal bleeding. If pathology has been excluded, time or a change to another formulation may solve the problem. In the event of amenorrhea, pregnancy should be ruled out.

Some women may encounter post-pill amenorrhea or oligomenorrhea, especially when such a condition was pre-existent.

C. Cerebrovascular Diseases (c. Cerebrovascular Diseases)

Oral contraceptives have been shown to increase both the relative and attributable risks of cerebrovascular events (thrombotic and hemorrhagic strokes), although, in general, the risk is greatest among older (>35 years), hypertensive women who also smoke. Hypertension was found to be a risk factor for both users and nonusers, for both types of strokes, and smoking interacted to increase the risk of stroke.27-29

In a large study, the relative risk of thrombotic strokes has been shown to range from 3 for normotensive users to 14 for users with severe hypertension.30 The relative risk of hemorrhagic stroke is reported to be 1.2 for non-smokers who used oral contraceptives, 2.6 for smokers who did not use oral contraceptives, 7.6 for smokers who used oral contraceptives, 1.8 for normotensive users and 25.7 for users with severe hypertension.30 The attributable risk is also greater in older women.3

2. Heart Attacks and Strokes

Oral contraceptives may increase the tendency to develop strokes (stoppage or rupture of blood vessels in the brain) and angina pectoris and heart attacks (blockage of blood vessels in the heart). Any of these conditions can cause death or serious disability.

Smoking greatly increases the possibility of suffering heart attacks and strokes. Furthermore, smoking and the use of oral contraceptives greatly increase the chances of developing and dying of heart disease.

Instructions for Use of Blister (INSTRUCTIONS FOR USE OF BLISTER)
  • Take out the blister card. There are 21 light orange "active" pills and 7 green "reminder" pills.
  • The blister comes to you set up for Sunday Start. If you are to start pill-taking on Sunday, take your first light orange pill on the first Sunday after your menstrual period begins. If your period begins on Sunday, take your first pill that day. Push down on the first light orange "active" pill of blister (Sunday) with your thumb or forefinger. The pill will come out through a hole in the back of the package.
  • If you are to start pill-taking on "Day 1", the enclosed calendar label has been provided and will be placed over the calendar printed on the blister. To put label in place, identify your correct starting day of the week, locate that day label present in the calendar label and affix that day label over the printed calender on the blister. Push down on the light orange "active" pill of blister with your thumb or forefinger. The pill will come out through a hole in the back of the package.
  • The first light orange "active" pill you will take is indicated by START and lines up with the black Day Arrow as indicated on the blister. For details, see the directions in the following picture. Continue taking one pill daily, until no pill remains by last day of the third week.

5. The next day take the green "reminder" pill from the blister that corresponds with the day of the week it happens to be. Take a green pill each day until all seven pills are taken.  During this time your period should begin.

6. After you have taken all the green pills, begin a new blister containing blister card (see Step 1 above in "Instructions for Use") and take the first light orange "active" pill on the next day, even if your period is not yet over.

STORAGE: Store at 25°C (77°F); excursions permitted to 15° to 30°C (59° to 86°F) [see USP Controlled Room Temperature].

5. Sexually Transmitted Diseases

This product (like all oral contraceptives) is intended to prevent pregnancy. It does not protect against transmission of HIV (AIDS) and other sexually transmitted diseases such as chlamydia, genital herpes, genital warts, gonorrhea, hepatitis B, and syphilis.

1. Risk of Developing Blood Clots

Blood clots and blockage of blood vessels are one of the most serious side effects of taking oral contraceptives and can cause death or serious disability. Serious blood clots can happen especially if you smoke, are obese, or are older than 35 years of age. Serious blood clots are more likely to happen when you:

  • First start taking birth control pills
  • Restart the same or different birth control pills after not using them for a month or more

In particular, a clot in the legs can cause thrombophlebitis and a clot that travels to the lungs can cause a sudden blocking of the vessel carrying blood to the lungs. The risks of these side effects may be greater with desogestrel- containing oral contraceptives, such as Enskyce, than with certain other low-dose pills. Rarely, clots occur in the blood vessels of the eye and may cause blindness, double vision, or impaired vision.

If you take oral contraceptives and need elective surgery, need to stay in bed for a prolonged illness or injury or have recently delivered a baby, you may be at risk of developing blood clots. You should consult your healthcare professional about stopping oral contraceptives three to four weeks before surgery and not taking oral contraceptives for two weeks after surgery or during bed rest. You should also not take oral contraceptives soon after delivery of a baby. It is advisable to wait for at least four weeks after delivery if you are not breastfeeding. If you are breastfeeding, you should wait until you have weaned your child before using the pill. (See also the section on Breastfeeding in GENERAL PRECAUTIONS).

The risk of circulatory disease in oral contraceptive users may be higher in users of high dose pills. The risk of venous thromboembolic disease associated with oral contraceptives does not increase with length of use and disappears after pill use is stopped. The risk of abnormal blood clotting increases with age in both users and nonusers of oral contraceptives, but the increased risk from the oral contraceptive appears to be present at all ages. For women aged 20 to 44 it is estimated that about 1 in 2,000 using oral contraceptives will be hospitalized each year because of abnormal clotting. Among nonusers in the same age group, about 1 in 20,000 would be hospitalized each year. For oral contraceptive users in general, it has been estimated that in women between the ages of 15 and 34 the risk of death due to a circulatory disorder is about 1 in 12,000 per year, whereas for nonusers the rate is about 1 in 50,000 per year. In the age group 35 to 44, the risk is estimated to be about 1 in 2,500 per year for oral contraceptive users and about 1 in 10,000 per year for nonusers.

Non Contraceptive Health Benefits (NON-CONTRACEPTIVE HEALTH BENEFITS)

The following non-contraceptive health benefits related to the use of oral contraceptives are supported by epidemiological studies which largely utilized oral contraceptive formulations containing estrogen doses exceeding 0.035 mg of ethinyl estradiol or 0.05 mg of mestranol.73-78

Effects on menses:

  • increased menstrual cycle regularity
  • decreased blood loss and decreased incidence of iron deficiency anemia
  • decreased incidence of dysmenorrhea

Effects related to inhibition of ovulation:

  • decreased incidence of functional ovarian cysts
  • decreased incidence of ectopic pregnancies

Effects from long-term use:

  • decreased incidence of fibroadenomas and fibrocystic disease of the breast
  • decreased incidence of acute pelvic inflammatory disease
  • decreased incidence of endometrial cancer
  • decreased incidence of ovarian cancer
Before You Start Taking Your Pills (BEFORE YOU START TAKING YOUR PILLS)

1.   DECIDE WHAT TIME OF DAY YOU WANT TO TAKE YOUR PILL.

It is important to take it at about the same time every day.

2.   LOOK AT YOUR PILL PACK:

The pill pack has 21 light orange "active" pills (with hormones) to take for 3 weeks, followed by 1 week of green "reminder" pills (without hormones).

3.   ALSO FIND:

  • where on the pack to start taking pills,
  • in what order to take the pills,
  • check picture of pill pack and additional instructions for using this package below.

4.   BE SURE YOU HAVE READY AT ALL TIMES:

ANOTHER KIND OF BIRTH CONTROL (such as a condom or spermicide) to use as a back-up method in case you miss pills.

AN EXTRA, FULL PILL PACK.

WHEN  TO  START  THE  FIRST  PACK  OF  PILLS

You have a choice of which day to start taking your first pack of pills. Enskyce is available in the blister which is preset for a Sunday Start. Day 1 Start is also provided. Decide with your healthcare professional which is the best day for you. Pick a time of day that will be easy to remember.

Brief Summary Patient Package Insert (BRIEF SUMMARY PATIENT PACKAGE INSERT)

Enskyce™

(desogestrel and ethinyl estradiol tablets USP)

0.15 mg/0.03 mg

Rx Only

This product (like all oral contraceptives) is intended to prevent pregnancy. It does not protect against HIV infection (AIDS) and other sexually transmitted diseases.

Oral contraceptives, also known as "birth control pills" or "the pill," are taken to prevent pregnancy, and when taken correctly without missing any pills, have a failure rate of approximately 1% per year. The typical failure rate is approximately 5% per year when women who miss pills are included. For most women, oral contraceptives are also free of serious or unpleasant side effects. However, forgetting to take pills considerably increases the chances of pregnancy.

For the majority of women, oral contraceptives can be taken safely. But there are some women who are at high risk of developing certain serious diseases that can be life-threatening or may cause temporary or permanent disability. The risks associated with taking oral contraceptives increase significantly if you:

  • smoke
  • have high blood pressure, diabetes, high cholesterol
  • have or have had clotting disorders, heart attack, stroke, angina pectoris, cancer of the breast or sex organs, jaundice or malignant or benign liver tumors

Although cardiovascular disease risks may be increased with oral contraceptive use after age 40 in healthy, non-smoking women (even with the newer low-dose formulations), there are also greater potential health risks associated with pregnancy in older women.

You should not take the pill if you suspect you are pregnant or have unexplained vaginal bleeding.

Effectiveness of Oral Contraceptives (EFFECTIVENESS OF ORAL CONTRACEPTIVES)

Oral contraceptives or "birth control pills" or "the pill" are used to prevent pregnancy and are more effective than most other nonsurgical methods of birth control. When they are taken correctly without missing any pills, the chance of becoming pregnant is approximately 1% (1 pregnancy per 100 women per year of use). Typical failure rates, including women who do not always take the pills exactly as directed, are approximately 5% per year. The chance of becoming pregnant increases with each missed pill during a menstrual cycle.

In comparison, typical failure rates for other non-surgical methods of birth control during the first year of use are as follows:

Implant: <1%

Male sterilization: <1%

Injection: <1%

Cervical Cap with spermicides: 20 to 40%

IUD: 1 to 2%

Condom alone (male): 14%

Diaphragm with spermicides: 20%

Condom alone (female): 21%

Spermicides alone: 26%

Periodic abstinence: 25%

Vaginal sponge: 20 to 40%

Withdrawal: 19%

Female sterilization: <1%

No methods: 85%

2. Physical Examination and Follow Up (2. Physical Examination and Follow-Up)

It is good medical practice for all women to have annual history and physical examinations, including women using oral contraceptives. The physical examination, however, may be deferred until after initiation of oral contraceptives if requested by the woman and judged appropriate by the clinician. The physical examination should include special reference to blood pressure, breasts, abdomen and pelvic organs, including cervical cytology, and relevant laboratory tests. In case of undiagnosed, persistent or recurrent abnormal vaginal bleeding, appropriate measures should be conducted to rule out malignancy. Women with a strong family history of breast cancer or who have breast nodules should be monitored with particular care.

9. Interactions With Laboratory Tests (9. Interactions with Laboratory Tests)

Certain endocrine and liver function tests and blood components may be affected by oral contraceptives:

a.         Increased prothrombin and factors VII, VIII, IX, and X; decreased antithrombin 3; increased norepinephrine-induced platelet aggregability.

b.        Increased thyroid binding globulin (TBG) leading to increased circulating total thyroid hormone, as measured by protein-bound iodine (PBI), T4 by column or by radioimmunoassay. Free T3 resin uptake is decreased, reflecting the elevated TBG; free T4 concentration is unaltered.

c.         Other binding proteins may be elevated in serum.

d.        Sex hormone binding globulins are increased and result in elevated levels of total circulating sex steroids however, free or biologically active levels either decrease or remain unchanged.

e.         Triglycerides may be increased and levels of various other lipids and lipoproteins may be affected.

f.         Glucose tolerance may be decreased.

g.        Serum folate levels may be depressed by oral contraceptive therapy. This may be of clinical significance if a woman becomes pregnant shortly after discontinuing oral contraceptives.

Health Benefits From Oral Contraceptives (HEALTH BENEFITS FROM ORAL CONTRACEPTIVES)

In addition to preventing pregnancy, use of combined oral contraceptives may provide certain benefits. They are:

  • menstrual cycles may become more regular
  • blood flow during menstruation may be lighter and less iron may be lost. Therefore, anemia due to iron deficiency is less likely to occur.
  • pain or other symptoms during menstruation may be encountered less frequently.
  • ectopic (tubal) pregnancy may occur less frequently.
  • noncancerous cysts or lumps in the breast may occur less frequently.
  • acute pelvic inflammatory disease may occur less frequently.
  • oral contraceptive use may provide some protection against developing two forms of cancer: cancer of the ovaries and cancer of the lining of the uterus.

If you want more information about birth control pills, ask your healthcare professional or pharmacist. They have a more technical leaflet called the Professional Labeling, which you may wish to read.

STORAGE: Store at 25°C (77°F); excursions permitted to 15° to 30°C (59° to 86°F) [see USP Controlled Room Temperature].

Keep out of reach of children.

E. Persistence of Risk of Vascular Disease (e. Persistence of Risk of Vascular Disease)

There are two studies which have shown persistence of risk of vascular disease for ever-users of oral contraceptives. In a study in the United States, the risk of developing myocardial infarction after discontinuing oral contraceptives persists for at least 9 years for women 40 to 49 years old who had used oral contraceptives for five or more years, but this increased risk was not demonstrated in other age groups.8 In another study in Great Britain, the risk of developing cerebrovascular disease persisted for at least 6 years after discontinuation of oral contraceptives, although excess risk was very small.34 However, both studies were performed with oral contraceptive formulations containing 0.050 mg or higher of estrogens.

9. Carbohydrate and Lipid Metabolic Effects

Oral contraceptives have been shown to cause a decrease in glucose tolerance in a significant percentage of users.17 This effect has been shown to be directly related to estrogen dose.65 In general, progestogens increase insulin secretion and create insulin resistance, this effect varying with different progestational agents.17,66 In the nondiabetic woman, oral contraceptives appear to have no effect on fasting blood glucose.67 Because of these demonstrated effects, prediabetic and diabetic women should be carefully monitored while taking oral contraceptives.

A small proportion of women will have persistent hypertriglyceridemia while on the pill. As discussed earlier (see WARNINGS 1.a. and 1.d. ), changes in serum triglycerides and lipoprotein levels have been reported in oral contraceptive users.

Additional Instructions for All Dosing Regimens (ADDITIONAL INSTRUCTIONS FOR ALL DOSING REGIMENS)

Breakthrough bleeding, spotting, and amenorrhea are frequent reasons for patients discontinuing oral contraceptives. In breakthrough bleeding, as in all cases of irregular bleeding from the vagina, nonfunctional causes should be borne in mind. In undiagnosed persistent or recurrent abnormal bleeding from the vagina, adequate diagnostic measures are indicated to rule out pregnancy or malignancy. If pathology has been excluded, time or a change to another formulation may solve the problem. Changing to an oral contraceptive with a higher estrogen content, while potentially useful in minimizing menstrual irregularity, should be done only if necessary since this may increase the risk of thromboembolic disease.

Use of oral contraceptives in the event of a missed menstrual period:

  • If the patient has not adhered to the prescribed schedule, the possibility of pregnancy should be considered at the time of the first missed period and oral contraceptive use should be discontinued if pregnancy is confirmed.
  • If the patient has adhered to the prescribed regimen and misses two consecutive periods, pregnancy should be ruled out.
2. Estimates of Mortality From Contraceptive Use (2. Estimates of Mortality from Contraceptive Use)

One study gathered data from a variety of sources which have estimated the mortality rate associated with different methods of contraception at different ages (Table 2). These estimates include the combined risk of death associated with contraceptive methods plus the risk attributable to pregnancy in the event of method failure. Each method of contraception has its specific benefits and risks. The study concluded that with the exception of oral contraceptive users 35 and older who smoke and 40 and older who do not smoke, mortality associated with all methods of birth control is low and below that associated with childbirth.

The observation of an increase in risk of mortality with age for oral contraceptive users is based on data gathered in the 1970's.35 Current clinical  recommendation involves the use of lower estrogen dose formulations and a careful consideration of risk factors. In 1989, the Fertility and Maternal Health Drugs Advisory Committee was asked to review the use of oral contraceptives in women 40 years of age and over. The Committee concluded that although cardiovascular disease risk may be increased with oral contraceptive use after age 40 in healthy non-smoking women (even with the newer low-dose formulations), there are also greater potential health risks associated with pregnancy in older women and with the alternative surgical and medical procedures which may be necessary if such women do not have access to effective and acceptable means of contraception. The Committee recommended that the benefits of low-dose oral contraceptive use by healthy non-smoking women over 40 may outweigh the possible risks.

Of course, older women, as all women who take oral contraceptives, should take an oral contraceptive which contains the least amount of estrogen and progestogen that is compatible with a low failure rate and individual patient needs.

TABLE 2: ANNUAL NUMBER OF BIRTH-RELATED OR METHOD-RELATED DEATHS ASSOCIATED WITH CONTROL OF FERTILITY PER 100,000 NONSTERILE WOMEN, BY FERTILITY CONTROL METHOD ACCORDING TO AGE


Method  of  control  and  outcome

15  to  19

20  to  24

25  to  29

30  to  34

35  to  39

40  to  44

Adapted from H.W. Ory, ref. #35.

No fertility-control methods
Deaths are birth-related


7.0

7.4

9.1

14.8

25.7

28.2

Oral contraceptives non-smoker
Deaths are method-related


0.3

0.5

0.9

1.9

13.8

31.6

Oral contraceptives smoker


2.2

3.4

6.6

13.5

51.1

117.2

IUD


0.8

0.8

1.0

1.0

1.4

1.4

Condom


1.1

1.6

0.7

0.2

0.3

0.4

Diaphragm/ spermicide


1.9

1.2

1.2

1.3

2.2

2.8

Periodic abstinence


2.5

1.6

1.6

1.7

2.9

3.6

Other Considerations Before Taking Oral Contraceptives (OTHER CONSIDERATIONS BEFORE TAKING ORAL CONTRACEPTIVES)

Tell your healthcare professional if you have or have had:

  • Breast nodules, fibrocystic disease of the breast, an abnormal breast x-ray or mammogram
  • Diabetes
  • Elevated cholesterol or triglycerides
  • High blood pressure
  • Migraine or other headaches or epilepsy
  • Mental depression
  • Gallbladder, liver, heart or kidney disease
  • History of scanty or irregular menstrual periods

Women with any of these conditions should be checked often by their healthcare professional if they choose to use oral contraceptives.

Also, be sure to inform your healthcare professional if you smoke or are on any medications.

7. Oral Contraceptive Use Before Or During Early Pregnancy (7. Oral Contraceptive Use Before or During Early Pregnancy)

Extensive epidemiological studies have revealed no increased risk of birth defects in women who have used oral contraceptives prior to pregnancy.56-57 The majority of recent studies also do not indicate a teratogenic effect, particularly in so far as cardiac anomalies and limb reduction defects are concerned,55,56,58,59 when oral contraceptives are taken inadvertently during early pregnancy.

The administration of oral contraceptives to induce withdrawal bleeding should not be used as a test for pregnancy. Oral contraceptives should not be used during pregnancy to treat threatened or habitual abortion.

It is recommended that for any patient who has missed two consecutive periods, pregnancy should be ruled out. If the patient has not adhered to the prescribed schedule, the possibility of pregnancy should be considered at the time of the first missed period. Oral contraceptive use should be discontinued if pregnancy is confirmed.

Estimated Risk of Death From A Birth Control Method Or Pregnancy (ESTIMATED RISK OF DEATH FROM A BIRTH CONTROL METHOD OR PREGNANCY)

All methods of birth control and pregnancy are associated with a risk of developing certain diseases which may lead to disability or death. An estimate of the number of deaths associated with different methods of birth control and pregnancy has been calculated and is shown in the following table.

ANNUAL NUMBER OF BIRTH-RELATED OR METHOD-RELATED DEATHS ASSOCIATED WITH CONTROL OF FERTILITY PER 100,000 NONSTERILE WOMEN, BY FERTILITY CONTROL METHOD ACCORDING TO AGE

Method of control and outcome

15 to 19

20 to 24

25 to 29

30 to 34

35 to 39

40 to 44

No fertility- control methods
Deaths are birth-related


7.0

7.4

9.1

14.8

25.7

28.2

Oral contraceptives non-smoker
Deaths are method-related


0.3

0.5

0.9

1.9

13.8

31.6

Oral contraceptives smoker


2.2

3.4

6.6

13.5

51.1

117.2

IUD


0.8

0.8

1.0

1.0

1.4

1.4

Condom


1.1

1.6

0.7

0.2

0.3

0.4

Diaphragm/spermicide


1.9

1.2

1.2

1.3

2.2

2.8

Periodic abstinence


2.5

1.6

1.6

1.7

2.9

3.6

In the above table, the risk of death from any birth control method is less than the risk of childbirth, except for oral contraceptive users over the age of 35 who smoke and pill users over the age of 40 even if they do not smoke. It can be seen in the table that for women aged 15 to 39, the risk of death was highest with pregnancy (7 to 26 deaths per 100,000 women, depending on age). Among pill users who do not smoke, the risk of death is always lower than that associated with pregnancy for any age group, although over the age of 40, the risk increases to 32 deaths per 100,000 women, compared to 28 associated with pregnancy at that age. However, for pill users who smoke and are over the age of 35, the estimated number of deaths exceeds those for other methods of birth control. If a woman is over the age of 40 and smokes, her estimated risk of death is four times higher (117/100,000 women) than the estimated risk associated with pregnancy (28/100,000 women) in that age group.

The suggestion that women over 40 who do not smoke should not take oral contraceptives is based on information from older, higher-dose pills. An Advisory Committee of the FDA discussed this issue in 1989 and recommended that the benefits of low-dose oral contraceptive use by healthy, non-smoking women over 40 years of age may outweigh the possible risks. Older women, as all women, who take oral contraceptives, should take an oral contraceptive which contains the least amount of estrogen and progestogen that is compatible with the individual patient needs.

D. Dose Related Risk of Vascular Disease From Oral Contraceptives (d. Dose-Related Risk of Vascular Disease from Oral Contraceptives)

A positive association has been observed between the amount of estrogen and progestogen in oral contraceptives and the risk of vascular disease.31-33 A decline in serum high density lipoproteins (HDL) has been reported with many progestational agents.14-16 A decline in serum high density lipoproteins has been associated with an increased incidence of ischemic heart disease. Because estrogens increase HDL cholesterol, the net effect of an oral contraceptive depends on a balance achieved between doses of estrogen and progestogen and the nature and absolute amount of progestogens used in the contraceptives. The amount of both hormones should be considered in the choice of an oral contraceptive.

Minimizing exposure to estrogen and progestogen is in keeping with good principles of therapeutics. For any particular estrogen/ progestogen combination, the dosage regimen prescribed should be one which contains the least amount of estrogen and progestogen that is compatible with a low failure rate and the needs of the individual patient. New acceptors of oral contraceptive agents should be started on preparations containing the lowest estrogen content which is judged appropriate for the individual patient.

5. Risk of Liver Enzyme Elevations With Concomitant Hepatitis C Treatment (5. RISK OF LIVER ENZYME ELEVATIONS WITH CONCOMITANT HEPATITIS C TREATMENT)

During clinical trials with the Hepatitis C combination drug regimen that contains ombitasvir/paritaprevir/ritonavir, with or without dasabuvir, ALT elevations greater than 5 times the upper limit of normal (ULN), including some cases greater than 20 times the ULN, were significantly more frequent in women using ethinyl estradiol-containing medications such as COCs. Discontinue Enskyce prior to starting therapy with the combination drug regimen ombitasvir/paritaprevir/ritonavir, with or without dasabuvir (see CONTRAINDICATIONS ). Enskyce can be restarted approximately 2 weeks following completion of treatment with the combination drug regimen.

1. Missed Periods and Use of Oral Contraceptives Before Or During Early Pregnancy (1. Missed Periods and Use of Oral Contraceptives Before or During Early Pregnancy)

There may be times when you may not menstruate regularly after you have completed taking a cycle of pills. If you have taken your pills regularly and miss one menstrual period, continue taking your pills for the next cycle but be sure to inform your healthcare professional before doing so. If you have not taken the pills daily as instructed and missed a menstrual period, you may be pregnant. If you missed two consecutive menstrual periods, you may be pregnant. Check with your healthcare professional immediately to determine whether you are pregnant. Stop taking oral contraceptives if pregnancy is confirmed.

There is no conclusive evidence that oral contraceptive use is associated with an increase in birth defects, when taken inadvertently during early pregnancy. Previously, a few studies had reported that oral contraceptives might be associated with birth defects, but these findings have not been seen in more recent studies. Nevertheless, oral contraceptives should not be used during pregnancy. You should check with your healthcare professional about risks to your unborn child of any medication taken during pregnancy.


Advanced Ingredient Data


Raw Label Data

All Sections (JSON)