These Highlights Do Not Include All The Information Needed To Use Zoledronic Acid Injection safely And Effectively. See Full Prescribing Information For Zoledronic Acid Injection.

These Highlights Do Not Include All The Information Needed To Use Zoledronic Acid Injection safely And Effectively. See Full Prescribing Information For Zoledronic Acid Injection.
SPL v7
SPL
SPL Set ID 784d33fa-0046-42eb-894b-3fc47dcfd4dc
Route
INTRAVENOUS
Published
Effective Date 2021-01-01
Document Type 34391-3 HUMAN PRESCRIPTION DRUG LABEL

Drug Facts

Composition & Product

Active Ingredients
Zoledronic Acid Anhydrous (4 mg)
Inactive Ingredients
Mannitol Sodium Citrate Water

Identifiers & Packaging

Marketing Status
ANDA Active Since 2013-06-03

Description

Warnings and Precautions, Embryo-Fetal Toxicity ( 5.10 )           01/2019

Indications and Usage

Zoledronic acid injection is a bisphosphonate indicated for the treatment of: Hypercalcemia of malignancy. ( 1.1 ) Patients with multiple myeloma and patients with documented bone metastases from solid tumors, in conjunction with standard antineoplastic therapy. Prostate cancer should have progressed after treatment with at least one hormonal therapy. ( 1.2 ) Limitations of use: The safety and efficacy of zoledronic acid injection has not been established for use in hyperparathyroidism or nontumor-related hypercalcemia.

Dosage and Administration

Parenteral drug products should be inspected visually for particulate matter and discoloration prior to administration, whenever solution and container permit.

Warnings and Precautions

Patients being treated with zoledronic acid should not be treated with Reclast ® . ( 5.1 ) Adequately rehydrate patients with hypercalcemia of malignancy prior to administration of zoledronic acid and monitor electrolytes during treatment. ( 5.2 ) Renal toxicity may be greater in patients with renal impairment. Do not use doses greater than 4 mg. Treatment in patients with severe renal impairment is not recommended. Monitor serum creatinine before each dose. ( 5.3 ) Osteonecrosis of the jaw (ONJ) has been reported. Preventive dental exams should be performed before starting zoledronic acid. Avoid invasive dental procedures. ( 5.4 ) Severe incapacitating bone, joint and/or muscle pain may occur. Discontinue zoledronic acid if severe symptoms occur. ( 5.5 )  Atypical subtrochanteric and diaphyseal femoral fractures have been reported in patients receiving bisphosphonate therapy. These fractures may occur after minimal or no trauma. Evaluate patients with thigh or groin pain to rule out a femoral fracture. Consider drug discontinuation in patients suspected to have an atypical femur fracture. ( 5.6 ) Hypocalcemia: Correct before initiating zoledronic acid. Adequately supplement patients with calcium and vitamin D. Monitor serum calcium closely with concomitant administration of other drugs known to cause hypocalcemia to avoid severe or life-threatening hypocalcemia. ( 5.9 ) Zoledronic acid can cause fetal harm. Advise females of reproductive potential of potential risk to a fetus and to use effective contraception. ( 5.10 , 8.1 , 8.3 )

Contraindications

Hypersensitivity to Zoledronic Acid or Any Components of Zoledronic Acid Injection Hypersensitivity reactions including rare cases of urticaria and angioedema, and very rare cases of anaphylactic reaction/shock have been reported [see Adverse Reactions ( 6.2 ) ].

Adverse Reactions

The most common adverse events (greater than 25%) were nausea, fatigue, anemia, bone pain, constipation, fever, vomiting, and dyspnea ( 6.1 ) To report SUSPECTED ADVERSE REACTIONS, contact Hikma Pharmaceuticals USA Inc. at 1-877-845-0689 or FDA at 1-800-FDA-1088 or www.fda.gov/medwatch .

Drug Interactions

In vitro studies indicate that the plasma protein binding of zoledronic acid is low, with the unbound fraction ranging from 60 to 77%. In vitro studies also indicate that zoledronic acid does not inhibit microsomal CYP450 enzymes. In vivo studies showed that zoledronic acid is not metabolized, and is excreted into the urine as the intact drug.

Storage and Handling

Zoledronic acid injection, 4 mg per 5 mL  single-dose vial of concentrate Carton of 1 vial………………..NDC 0143-9642-01 Store at 25°C (77°F); excursions permitted to 15º to 30°C (59º to 86°F) [see USP Controlled Room Temperature].

How Supplied

Zoledronic acid injection, 4 mg per 5 mL  single-dose vial of concentrate Carton of 1 vial………………..NDC 0143-9642-01 Store at 25°C (77°F); excursions permitted to 15º to 30°C (59º to 86°F) [see USP Controlled Room Temperature].


Medication Information

Recent Major Changes

Warnings and Precautions, Embryo-Fetal Toxicity (5.10)           01/2019

Warnings and Precautions

Patients being treated with zoledronic acid should not be treated with Reclast ® . ( 5.1 ) Adequately rehydrate patients with hypercalcemia of malignancy prior to administration of zoledronic acid and monitor electrolytes during treatment. ( 5.2 ) Renal toxicity may be greater in patients with renal impairment. Do not use doses greater than 4 mg. Treatment in patients with severe renal impairment is not recommended. Monitor serum creatinine before each dose. ( 5.3 ) Osteonecrosis of the jaw (ONJ) has been reported. Preventive dental exams should be performed before starting zoledronic acid. Avoid invasive dental procedures. ( 5.4 ) Severe incapacitating bone, joint and/or muscle pain may occur. Discontinue zoledronic acid if severe symptoms occur. ( 5.5 )  Atypical subtrochanteric and diaphyseal femoral fractures have been reported in patients receiving bisphosphonate therapy. These fractures may occur after minimal or no trauma. Evaluate patients with thigh or groin pain to rule out a femoral fracture. Consider drug discontinuation in patients suspected to have an atypical femur fracture. ( 5.6 ) Hypocalcemia: Correct before initiating zoledronic acid. Adequately supplement patients with calcium and vitamin D. Monitor serum calcium closely with concomitant administration of other drugs known to cause hypocalcemia to avoid severe or life-threatening hypocalcemia. ( 5.9 ) Zoledronic acid can cause fetal harm. Advise females of reproductive potential of potential risk to a fetus and to use effective contraception. ( 5.10 , 8.1 , 8.3 )

Indications and Usage

Zoledronic acid injection is a bisphosphonate indicated for the treatment of: Hypercalcemia of malignancy. ( 1.1 ) Patients with multiple myeloma and patients with documented bone metastases from solid tumors, in conjunction with standard antineoplastic therapy. Prostate cancer should have progressed after treatment with at least one hormonal therapy. ( 1.2 ) Limitations of use: The safety and efficacy of zoledronic acid injection has not been established for use in hyperparathyroidism or nontumor-related hypercalcemia.

Dosage and Administration

Parenteral drug products should be inspected visually for particulate matter and discoloration prior to administration, whenever solution and container permit.

Contraindications

Hypersensitivity to Zoledronic Acid or Any Components of Zoledronic Acid Injection Hypersensitivity reactions including rare cases of urticaria and angioedema, and very rare cases of anaphylactic reaction/shock have been reported [see Adverse Reactions ( 6.2 ) ].

Adverse Reactions

The most common adverse events (greater than 25%) were nausea, fatigue, anemia, bone pain, constipation, fever, vomiting, and dyspnea ( 6.1 ) To report SUSPECTED ADVERSE REACTIONS, contact Hikma Pharmaceuticals USA Inc. at 1-877-845-0689 or FDA at 1-800-FDA-1088 or www.fda.gov/medwatch .

Drug Interactions

In vitro studies indicate that the plasma protein binding of zoledronic acid is low, with the unbound fraction ranging from 60 to 77%. In vitro studies also indicate that zoledronic acid does not inhibit microsomal CYP450 enzymes. In vivo studies showed that zoledronic acid is not metabolized, and is excreted into the urine as the intact drug.

Storage and Handling

Zoledronic acid injection, 4 mg per 5 mL  single-dose vial of concentrate Carton of 1 vial………………..NDC 0143-9642-01 Store at 25°C (77°F); excursions permitted to 15º to 30°C (59º to 86°F) [see USP Controlled Room Temperature].

How Supplied

Zoledronic acid injection, 4 mg per 5 mL  single-dose vial of concentrate Carton of 1 vial………………..NDC 0143-9642-01 Store at 25°C (77°F); excursions permitted to 15º to 30°C (59º to 86°F) [see USP Controlled Room Temperature].

Description

Warnings and Precautions, Embryo-Fetal Toxicity ( 5.10 )           01/2019

10 Overdosage

Clinical experience with acute overdosage of zoledronic acid is limited. Two patients received zoledronic acid 32 mg over 5 minutes in clinical trials. Neither patient experienced any clinical or laboratory toxicity. Overdosage may cause clinically significant hypocalcemia, hypophosphatemia, and hypomagnesemia. Clinically relevant reductions in serum levels of calcium, phosphorus, and magnesium should be corrected by intravenous administration of calcium gluconate, potassium or sodium phosphate, and magnesium sulfate, respectively.

In an open-label study of zoledronic acid 4 mg in breast cancer patients, a female patient received a single 48-mg dose of zoledronic acid in error. Two days after the overdose, the patient experienced a single episode of hyperthermia (38°C), which resolved after treatment. All other evaluations were normal, and the patient was discharged seven days after the overdose.

A patient with non-Hodgkin’s lymphoma received zoledronic acid 4 mg daily on four successive days for a total dose of 16 mg. The patient developed paresthesia and abnormal liver function tests with increased GGT (nearly 100 unit/L, each value unknown). The outcome of this case is not known.

In controlled clinical trials, administration of zoledronic acid 4 mg as an intravenous infusion over 5 minutes has been shown to increase the risk of renal toxicity compared to the same dose administered as a 15-minute intravenous infusion. In controlled clinical trials, zoledronic acid 8 mg has been shown to be associated with an increased risk of renal toxicity compared to zoledronic acid 4 mg, even when given as a 15-minute intravenous infusion, and was not associated with added benefit in patients with hypercalcemia of malignancy [see Dosage and Administration (2.4)].

8.1 Pregnancy

Risk Summary

Based on findings from animal studies and its mechanism of action, zoledronic acid can cause fetal harm when administered to a pregnant woman [see Clinical Pharmacology (12.1)]. There are no available data in pregnant women to inform the drug-associated risk. In animal reproduction studies, administration of zoledronic acid to pregnant rats during organogenesis resulted in fetal malformations and embryo-fetal lethality at maternal exposures that were ≥ 2.4 times the human clinical exposure based on AUC (see Data). Bisphosphonates, such as zoledronic acid, are incorporated into the bone matrix, from where they are gradually released over periods of weeks to years. There may be a risk of fetal harm (e.g., skeletal and other abnormalities) if a woman becomes pregnant after completing a course of bisphosphonate therapy. Advise pregnant women and females of reproductive potential of the potential risk to a fetus.

The background risk of major birth defects and miscarriage for the indicated population is unknown; however, in the U.S. general population, the estimated background risk of major birth defects is 2%-4% and of miscarriage is 15%-20% of clinically recognized pregnancies.

Data

Animal Data

In female rats given subcutaneous doses of zoledronic acid of 0.01, 0.03, or 0.1 mg/kg/day beginning 15 days before mating and continuing through gestation, the number of stillbirths was increased and survival of neonates was decreased in the mid- and high-dose groups (greater than or equal to 0.2 times the human systemic exposure following an intravenous dose of 4 mg, based on an AUC comparison). Adverse maternal effects were observed in all dose groups (with a systemic exposure of greater than or equal to 0.07 times the human systemic exposure following an intravenous dose of 4 mg, based on an AUC comparison) and included dystocia and periparturient mortality in pregnant rats allowed to deliver. Maternal mortality may have been related to drug-induced inhibition of skeletal calcium mobilization, resulting in periparturient hypocalcemia. This appears to be a bisphosphonate-class effect.

In pregnant rats given a subcutaneous dose of zoledronic acid of 0.1, 0.2, or 0.4 mg/kg/day during gestation, adverse fetal effects were observed in the mid- and high-dose groups (with systemic exposures of 2.4 and 4.8 times, respectively, the human systemic exposure following an intravenous dose of 4 mg, based on an AUC comparison). These adverse effects included increases in pre- and post-implantation losses, decreases in viable fetuses, and fetal skeletal, visceral, and external malformations. Fetal skeletal effects observed in the high-dose group included unossified or incompletely ossified bones, thickened, curved, or shortened bones, wavy ribs, and shortened jaw. Other adverse fetal effects observed in the high-dose group included reduced lens, rudimentary cerebellum, reduction or absence of liver lobes, reduction of lung lobes, vessel dilation, cleft palate, and edema. Skeletal variations were also observed in the low-dose group at 0.1 mg/kg/day (with systemic exposure of 1.2 times the human systemic exposure following an intravenous dose of 4 mg, based on an AUC comparison). Signs of maternal toxicity were observed in the high-dose group and included reduced body weights and food consumption, indicating that maximal exposure levels were achieved in this study.

In pregnant rabbits given subcutaneous doses of zoledronic acid of 0.01, 0.03, or 0.1 mg/kg/day during gestation (less than or equal to 0.5 times the human intravenous dose of 4 mg, based on a comparison of relative body surface areas), no adverse fetal effects were observed. Maternal mortality and abortion occurred in all treatment groups (at doses greater than or equal to 0.05 times the human intravenous dose of 4 mg, based on a comparison of relative body surface areas). Adverse maternal effects were associated with, and may have been caused by, drug-induced hypocalcemia.

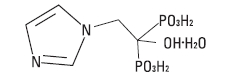
11 Description

Zoledronic acid injection contains zoledronic acid, a bisphosphonic acid which is an inhibitor of osteoclastic bone resorption. Zoledronic acid is designated chemically as (1-Hydroxy-2-imidazol-1-yl-phosphonoethyl) phosphonic acid monohydrate and its structural formula is:

Zoledronic acid is a white crystalline powder. Its molecular formula is C5H10N2O7P2 • H2O and its molar mass is 290.1 g/‌mol. Zoledronic acid is highly soluble in 0.1N sodium hydroxide solution, sparingly soluble in water and 0.1N hydrochloric acid, and practically insoluble in organic solvents. The pH of a 0.7% solution of zoledronic acid in water is approximately 2.0.

Zoledronic acid injection is available in 5 mL vials as a sterile liquid concentrate solution for intravenous infusion.

Each 5 mL concentrate vial contains 4.264 mg zoledronic acid monohydrate, equivalent to 4 mg zoledronic acid on an anhydrous basis, 220 mg of Mannitol, USP, Water for Injection, USP, and 24 mg of Sodium Citrate, USP.

Inactive Ingredients: Mannitol, USP, as bulking agent, Water for Injection, and Sodium Citrate, USP, as buffering agent.

8.2. Lactation

Risk Summary

After administration of Zoledronic acid, it is not known whether zoledronic acid is present in human milk, or whether it affects milk production or the breastfed child.  Zoledronic acid binds to bone long term and may be released over periods of weeks to years. Because of the potential for serious adverse reactions in a breastfed child, advise a lactating woman not to breastfeed during and after Zoledronic acid treatment.



7.4 Thalidomide

No dose adjustment for zoledronic acid 4 mg is needed when coadministered with thalidomide. In a pharmacokinetic study of 24 patients with multiple myeloma, zoledronic acid 4 mg given as a 15-minute infusion was administered either alone or with thalidomide (100 mg once daily on days 1 to 14 and 200 mg once daily on days 15 to 28). Coadministration of thalidomide with zoledronic acid did not significantly change the pharmacokinetics of zoledronic acid or creatinine clearance.

5.9 Hypocalcemia

Hypocalcemia has been reported in patients treated with zoledronic acid. Cardiac arrhythmias and neurologic adverse events (seizures, tetany, and numbness) have been reported secondary to cases of severe hypocalcemia. In some instances, hypocalcemia may be life-threatening. Caution is advised when zoledronic acid is administered with drugs known to cause hypocalcemia, as severe hypocalcemia may develop, [see Drug Interactions (7)]. Serum calcium should be measured and hypocalcemia must be corrected before initiating zoledronic acid. Adequately supplement patients with calcium and vitamin D.

8.4 Pediatric Use

Zoledronic acid is not indicated for use in children.

The safety and effectiveness of zoledronic acid was studied in a one-year active-controlled trial of 152 pediatric subjects (74 receiving zoledronic acid). The enrolled population was subjects with severe osteogenesis imperfecta, aged 1-17 years, 55% male, 84% Caucasian, with a mean lumbar spine bone mineral density (BMD) of 0.431 gm/cm2, which is 2.7 standard deviations below the mean for age-matched controls (BMD Z-score of -2.7). At one year, increases in BMD were observed in the zoledronic acid treatment group. However, changes in BMD in individual patients with severe osteogenesis imperfecta did not necessarily correlate with the risk for fracture or the incidence or severity of chronic bone pain. The adverse events observed with zoledronic acid use in children did not raise any new safety findings beyond those previously seen in adults treated for hypercalcemia of malignancy or bone metastases. However, adverse reactions seen more commonly in pediatric patients included pyrexia (61%), arthralgia (26%), hypocalcemia (22%) and headache (22%). These reactions, excluding arthralgia, occurred most frequently within 3 days after the first infusion and became less common with repeat dosing. Because of long-term retention in bone, zoledronic acid should only be used in children if the potential benefit outweighs the potential risk.

Plasma zoledronic acid concentration data was obtained from 10 patients with severe osteogenesis imperfecta (4 in the age group of 3 to 8 years and 6 in the age group of 9 to 17 years) infused with 0.05 mg/kg dose over 30 min. Mean Cmax and AUC(0-last) was 167 ng/‌mL and 220 ng•h/mL, respectively. The plasma concentration time profile of zoledronic acid in pediatric patients represent a multi‑exponential decline, as observed in adult cancer patients at an approximately equivalent mg/kg dose.

8.5 Geriatric Use

Clinical studies of zoledronic acid in hypercalcemia of malignancy included 34 patients who were 65 years of age or older. No significant differences in response rate or adverse reactions were seen in geriatric patients receiving zoledronic acid as compared to younger patients. Controlled clinical studies of zoledronic acid in the treatment of multiple myeloma and bone metastases of solid tumors in patients over age 65 revealed similar efficacy and safety in older and younger patients. Because decreased renal function occurs more commonly in the elderly, special care should be taken to monitor renal function.

7.2 Loop Diuretics

Caution should also be exercised when zoledronic acid is used in combination with loop diuretics due to an increased risk of hypocalcemia.

4 Contraindications

Hypersensitivity to Zoledronic Acid or Any Components of Zoledronic Acid Injection

Hypersensitivity reactions including rare cases of urticaria and angioedema, and very rare cases of anaphylactic reaction/shock have been reported [see Adverse Reactions (6.2)].

6 Adverse Reactions

The most common adverse events (greater than 25%) were nausea, fatigue, anemia, bone pain, constipation, fever, vomiting, and dyspnea (6.1)

To report SUSPECTED ADVERSE REACTIONS, contact Hikma Pharmaceuticals USA Inc. at 1-877-845-0689 or FDA at 1-800-FDA-1088 or www.fda.gov/medwatch.

7 Drug Interactions

In vitro studies indicate that the plasma protein binding of zoledronic acid is low, with the unbound fraction ranging from 60 to 77%. In vitro studies also indicate that zoledronic acid does not inhibit microsomal CYP450 enzymes. In vivo studies showed that zoledronic acid is not metabolized, and is excreted into the urine as the intact drug.

Serialization Image
5.3 Renal Impairment

Zoledronic acid is excreted intact primarily via the kidney, and the risk of adverse reactions, in particular renal adverse reactions, may be greater in patients with impaired renal function. Safety and pharmacokinetic data are limited in patients with severe renal impairment and the risk of renal deterioration is increased [see Adverse Reactions (6.1)]. Preexisting renal insufficiency and multiple cycles of zoledronic acid and other bisphosphonates are risk factors for subsequent renal deterioration with zoledronic acid. Factors predisposing to renal deterioration, such as dehydration or the use of other nephrotoxic drugs, should be identified and managed, if possible.

Zoledronic acid treatment in patients with hypercalcemia of malignancy with severe renal impairment should be considered only after evaluating the risks and benefits of treatment. [see Dosage and Administration (2.1)]. In the clinical studies, patients with serum creatinine greater than 400 μmol/L or greater than 4.5 mg/dL were excluded.

Zoledronic acid treatment is not recommended in patients with bone metastases with severe renal impairment. In the clinical studies, patients with serum creatinine greater than 265 μmol/L or greater than 3 mg/dL were excluded and there were only 8 of 564 patients treated with zoledronic acid 4 mg by 15-minute infusion with a baseline creatinine greater than 2 mg/dL. Limited pharmacokinetic data exists in patients with creatinine clearance less than 30 mL/min [see Clinical Pharmacology (12.3)].

12.2 Pharmacodynamics

Clinical studies in patients with hypercalcemia of malignancy (HCM) showed that single-dose infusions of zoledronic acid are associated with decreases in serum calcium and phosphorus and increases in urinary calcium and phosphorus excretion.

Osteoclastic hyperactivity resulting in excessive bone resorption is the underlying pathophysiologic derangement in hypercalcemia of malignancy (HCM, tumor-induced hypercalcemia) and metastatic bone disease. Excessive release of calcium into the blood as bone is resorbed results in polyuria and gastrointestinal disturbances, with progressive dehydration and decreasing glomerular filtration rate. This, in turn, results in increased renal resorption of calcium, setting up a cycle of worsening systemic hypercalcemia. Reducing excessive bone resorption and maintaining adequate fluid administration are, therefore, essential to the management of hypercalcemia of malignancy.

Patients who have hypercalcemia of malignancy can generally be divided into two groups according to the pathophysiologic mechanism involved: humoral hypercalcemia and hypercalcemia due to tumor invasion of bone. In humoral hypercalcemia, osteoclasts are activated and bone resorption is stimulated by factors such as parathyroid hormone-related protein, which are elaborated by the tumor and circulate systemically. Humoral hypercalcemia usually occurs in squamous cell malignancies of the lung or head and neck or in genitourinary tumors such as renal cell carcinoma or ovarian cancer. Skeletal metastases may be absent or minimal in these patients.

Extensive invasion of bone by tumor cells can also result in hypercalcemia due to local tumor products that stimulate bone resorption by osteoclasts. Tumors commonly associated with locally mediated hypercalcemia include breast cancer and multiple myeloma.

Total serum calcium levels in patients who have hypercalcemia of malignancy may not reflect the severity of hypercalcemia, since concomitant hypoalbuminemia is commonly present. Ideally, ionized calcium levels should be used to diagnose and follow hypercalcemic conditions; however, these are not commonly or rapidly available in many clinical situations. Therefore, adjustment of the total serum calcium value for differences in albumin levels (corrected serum calcium, CSC) is often used in place of measurement of ionized calcium; several nomograms are in use for this type of calculation [see Dosage and Administration (2.1)].

12.3 Pharmacokinetics

Pharmacokinetic data in patients with hypercalcemia are not available.

Distribution

Single or multiple (every 28 days) 5-minute or 15-minute infusions of 2, 4, 8 or 16 mg zoledronic acid were given to 64 patients with cancer and bone metastases. The post-infusion decline of zoledronic acid concentrations in plasma was consistent with a triphasic process showing a rapid decrease from peak concentrations at end of infusion to less than 1% of Cmax 24 hours postinfusion with population half‑lives of t1/2α 0.24 hours and t1/2β 1.87 hours for the early disposition phases of the drug. The terminal elimination phase of zoledronic acid was prolonged, with very low concentrations in plasma between Days 2 and 28 postinfusion, and a terminal elimination half-life t1/2γ of 146 hours. The area under the plasma concentration versus time curve (AUC0 to 24h) of zoledronic acid was dose proportional from 2 to 16 mg. The accumulation of zoledronic acid measured over three cycles was low, with mean AUC0 to 24h ratios for cycles 2 and 3 versus 1 of 1.13 ± 0.30 and 1.16 ± 0.36, respectively.

In vitro and ex vivo studies showed low affinity of zoledronic acid for the cellular components of human blood, with a mean blood to plasma concentration ratio of 0.59 in a concentration range of 30 ng/mL to 5000 ng/mL. In vitro, the plasma protein binding is low, with the unbound fraction ranging from 60% at 2 ng/mL to 77% at 2000 ng/mL of zoledronic acid.

Metabolism

Zoledronic acid does not inhibit human P450 enzymes in vitro. Zoledronic acid does not undergo biotransformation in vivo. In animal studies, less than 3% of the administered intravenous dose was found in the feces, with the balance either recovered in the urine or taken up by bone, indicating that the drug is eliminated intact via the kidney. Following an intravenous dose  of 20 nCi 14C-zoledronic acid in a patient with cancer and bone metastases, only a single radioactive species with chromatographic properties identical to those of parent drug was recovered in urine, which suggests that zoledronic acid is not metabolized.

Excretion

In 64 patients with cancer and bone metastases, on average (± SD) 39 ± 16% of the administered zoledronic acid dose was recovered in the urine within 24 hours, with only trace amounts of drug found in urine post-Day 2. The cumulative percent of drug excreted in the urine over 0 to 24 hours was independent of dose. The balance of drug not recovered in urine over 0 to 24 hours, representing drug presumably bound to bone, is slowly released back into the systemic circulation, giving rise to the observed prolonged low plasma concentrations. The 0 to 24 hour renal clearance of zoledronic acid was 3.7 ± 2.0 L/h.

Zoledronic acid clearance was independent of dose but dependent upon the patient’s creatinine clearance. In a study in patients with cancer and bone metastases, increasing the infusion time of a 4-mg dose of zoledronic acid from 5 minutes (n=5) to 15 minutes (n=7) resulted in a 34% decrease in the zoledronic acid concentration at the end of the infusion ([mean ± SD] 403 ± 118 ng/‌mL versus 264 ± 86 ng/mL) and a 10% increase in the total AUC (378 ± 116 ng × h/mL versus 420 ± 218 ng × h/‌mL). The difference between the AUC means was not statistically significant.

Special Populations

Pediatrics

Zoledronic acid is not indicated for use in children [see Use in Specific Populations (8.4)].

Geriatrics

The pharmacokinetics of zoledronic acid were not affected by age in patients with cancer and bone metastases who ranged in age from 38 years to 84 years.

Race

Population pharmacokinetic analyses did not indicate any differences in pharmacokinetics among Japanese and North American (Caucasian and African American) patients with cancer and bone metastases.

Hepatic Insufficiency

No clinical studies were conducted to evaluate the effect of hepatic impairment on the pharmacokinetics of zoledronic acid.

Renal Insufficiency

The pharmacokinetic studies conducted in 64 cancer patients represented typical clinical populations with normal to moderately impaired renal function. Compared to patients with normal renal function (N=37), patients with mild renal impairment (N=15) showed an average increase in plasma AUC of 15%, whereas patients with moderate renal impairment (N=11) showed an average increase in plasma AUC of 43%. Limited pharmacokinetic data are available for zoledronic acid in patients with severe renal impairment (creatinine clearance less than 30 mL/min). Based on population PK/‌PD modeling, the risk of renal deterioration appears to increase with AUC, which is doubled at a creatinine clearance of 10 mL/min. Creatinine clearance is calculated by the Cockcroft-Gault formula:

Zoledronic acid systemic clearance in individual patients can be calculated from the population clearance of zoledronic acid, CL (L/h)=6.5(CrCl/90)0.4. These formulae can be used to predict the zoledronic acid AUC in patients, where CL = Dose/‌AUC0-∞. The average AUC0 to 24 in patients with normal renal function was 0.42 mg•h/L and the calculated AUC0-∞ for a patient with creatinine clearance of 75 mL/min was 0.66 mg•h/L following a 4-mg dose of zoledronic acid. However, efficacy and safety of adjusted dosing based on these formulae have not been prospectively assessed [see Warnings and Precautions (5.3)].

7.3 Nephrotoxic Drugs

Caution is indicated when zoledronic acid is used with other potentially nephrotoxic drugs.

5.8 Hepatic Impairment

Only limited clinical data are available for use of zoledronic acid to treat hypercalcemia of malignancy in patients with hepatic insufficiency, and these data are not adequate to provide guidance on dosage selection or how to safely use zoledronic acid in these patients.

1 Indications and Usage

Zoledronic acid injection is a bisphosphonate indicated for the treatment of:

  • Hypercalcemia of malignancy. (1.1)
  • Patients with multiple myeloma and patients with documented bone metastases from solid tumors, in conjunction with standard antineoplastic therapy. Prostate cancer should have progressed after treatment with at least one hormonal therapy. (1.2)

Limitations of use: The safety and efficacy of zoledronic acid injection has not been established for use in hyperparathyroidism or nontumor-related hypercalcemia.

Principal Display Panel

NDC 0143-9642-01  Rx only

Zoledronic Acid

Injection

4 mg per 5 mL

(0.8 mg/mL)


Sterile Concentrate

Concentrate for Intravenous Infusion

5 mL Single Dose Vial



NDC 0143-9642-01  Rx only

Zoledronic Acid

Injection

4 mg per 5 mL

(0.8 mg/mL)


NOT FOR DIRECT INJECTION 

DOSE MUST BE DILUTED

STERILE CONCENTRATE

Do not mix with calcium-containing

infusion solutions

Concentrate for 


Intravenous Infusion

One 5 mL Single Dose Vial



12.1 Mechanism of Action

The principal pharmacologic action of zoledronic acid is inhibition of bone resorption. Although the antiresorptive mechanism is not completely understood, several factors are thought to contribute to this action. In vitro, zoledronic acid inhibits osteoclastic activity and induces osteoclast apoptosis. Zoledronic acid also blocks the osteoclastic resorption of mineralized bone and cartilage through its binding to bone. Zoledronic acid inhibits the increased osteoclastic activity and skeletal calcium release induced by various stimulatory factors released by tumors.

5.5 Musculoskeletal Pain

In post marketing experience, severe and occasionally incapacitating bone, joint, and/or muscle pain has been reported in patients taking bisphosphonates including zoledronic acid. The time to onset of symptoms varied from one day to several months after starting the drug. Discontinue use if severe symptoms develop. Most patients had relief of symptoms after stopping. A subset had recurrence of symptoms when rechallenged with the same drug or another bisphosphonate [see Adverse Reactions (6.2)].

5.7 Patients With Asthma

While not observed in clinical trials with zoledronic acid, there have been reports of bronchoconstriction in aspirin-sensitive patients receiving bisphosphonates.

5 Warnings and Precautions
  • Patients being treated with zoledronic acid should not be treated with Reclast®. (5.1)
  • Adequately rehydrate patients with hypercalcemia of malignancy prior to administration of zoledronic acid and monitor electrolytes during treatment. (5.2)
  • Renal toxicity may be greater in patients with renal impairment. Do not use doses greater than 4 mg. Treatment in patients with severe renal impairment is not recommended. Monitor serum creatinine before each dose. (5.3)
  • Osteonecrosis of the jaw (ONJ) has been reported. Preventive dental exams should be performed before starting zoledronic acid. Avoid invasive dental procedures. (5.4)
  • Severe incapacitating bone, joint and/or muscle pain may occur. Discontinue zoledronic acid if severe symptoms occur. (5.5
  • Atypical subtrochanteric and diaphyseal femoral fractures have been reported in patients receiving bisphosphonate therapy. These fractures may occur after minimal or no trauma. Evaluate patients with thigh or groin pain to rule out a femoral fracture. Consider drug discontinuation in patients suspected to have an atypical femur fracture. (5.6)
  • Hypocalcemia: Correct before initiating zoledronic acid. Adequately supplement patients with calcium and vitamin D. Monitor serum calcium closely with concomitant administration of other drugs known to cause hypocalcemia to avoid severe or life-threatening hypocalcemia. (5.9)

  • Zoledronic acid can cause fetal harm. Advise females of reproductive potential of

    potential risk to a fetus and to use effective contraception. (5.10, 8.1, 8.3)



5.10 Embryo Fetal Toxicity

Based on findings from animal studies and its mechanism of action, Zoledronic acid can cause fetal harm when administered to a pregnant woman. In animal reproduction studies, administration of zoledronic acid to pregnant rats during organogenesis resulted in fetal malformations and embryo-fetal lethality at maternal exposures that were greater than or equal to 2.4 times the human clinical exposure based on area under the curve (AUC). Bisphosphonates, such as Zoledronic acid, are incorporated into the bone matrix, from where they are gradually released over periods of weeks to years. There may be a risk of fetal harm (e.g., skeletal and other abnormalities) if a woman becomes pregnant after completing a course of bisphosphonate therapy. Advise pregnant women and females of reproductive potential of the potential risk to a fetus. Advise females of reproductive potential to use effective contraception during and after Zoledronic acid treatment [see Use in Specific Populations (8.1, 8.3), Clinical Pharmacology (12.1)].

2 Dosage and Administration

Parenteral drug products should be inspected visually for particulate matter and discoloration prior to administration, whenever solution and container permit.

2.3 Preparation of Solution

Zoledronic acid must not be mixed with calcium or other divalent cation-containing infusion solutions, such as Lactated Ringer’s solution, and should be administered as a single intravenous solution in a line separate from all other drugs.

4 mg per 5 mL Single-Dose Vial

Vials of zoledronic acid concentrate for infusion contain overfill allowing for the withdrawal of 5 mL of concentrate (equivalent to 4 mg zoledronic acid). This concentrate should immediately be diluted in 100 mL of sterile 0.9% Sodium Chloride, USP, or 5% Dextrose Injection, USP, following proper aseptic technique, and administered to the patient by infusion. Do not store undiluted concentrate in a syringe, to avoid inadvertent injection.

To prepare reduced doses for patients with baseline CrCl less than or equal to 60 mL/min, withdraw the specified volume of the zoledronic acid concentrate from the vial for the dose required (see Table 3).

Table 3: Preparation of Reduced Doses - Zoledronic Acid Injection Concentrate
Remove and Use Zoledronic Acid Injection Volume (mL)   Dose (mg)

4.4

4.1

3.8

3.5

3.3

3

The withdrawn concentrate must be diluted in 100 mL of sterile 0.9% Sodium Chloride, USP, or 5% Dextrose Injection, USP.

If not used immediately after dilution with infusion media, for microbiological integrity, the solution should be refrigerated at 2° to 8°C (36° to 46°F). The refrigerated solution should then be equilibrated to room temperature prior to administration. The total time between dilution, storage in the refrigerator, and end of administration must not exceed 24 hours.

2.4 Method of Administration

Due to the risk of clinically significant deterioration in renal function, which may progress to renal failure, single doses of zoledronic acid should not exceed 4 mg and the duration of infusion should be no less than 15 minutes [see Warnings and Precautions (5.3)]. In the trials and in post marketing experience, renal deterioration, progression to renal failure and dialysis, have occurred in patients, including those treated with the approved dose of 4 mg infused over 15 minutes. There have been instances of this occurring after the initial zoledronic acid dose. 

3 Dosage Forms and Strengths

Injection: 4 mg per 5 mL (0.8 mg/mL) single-dose vial of concentrate

5.4 Osteonecrosis of the Jaw

Osteonecrosis of the jaw (ONJ) has been reported predominantly in cancer patients treated with intravenous bisphosphonates, including zoledronic acid. Many of these patients were also receiving chemotherapy and corticosteroids which may be risk factors for ONJ. The risk of ONJ may increase with duration of exposure to bisphosphonates.

Post marketing experience and the literature suggest a greater frequency of reports of ONJ based on tumor type (advanced breast cancer, multiple myeloma), and dental status (dental extraction, periodontal disease, local trauma including poorly fitting dentures). Many reports of ONJ involved patients with signs of local infection including osteomyelitis.

Cancer patients should maintain good oral hygiene and should have a dental examination with preventive dentistry prior to treatment with bisphosphonates.

While on treatment, these patients should avoid invasive dental procedures if possible. For patients who develop ONJ while on bisphosphonate therapy, dental surgery may exacerbate the condition. For patients requiring dental procedures, there are no data available to suggest whether discontinuation of bisphosphonate treatment reduces the risk of ONJ. Clinical judgment of the treating physician should guide the management plan of each patient based on individual benefit/risk assessment [see Adverse Reactions (6.2)].

6.2 Postmarketing Experience

The following adverse reactions have been reported during postapproval use of zoledronic acid. Because these reports are from a population of uncertain size and are subject to confounding factors, it is not possible to reliably estimate their frequency or establish a causal relationship to drug exposure.

Osteonecrosis of the Jaw

Cases of osteonecrosis (primarily involving the jaw but also of other anatomical sites including hip, femur and external auditory canal)have been reported predominantly in cancer patients treated with intravenous bisphosphonates including zoledronic acid. Many of these patients were also receiving chemotherapy and corticosteroids which may be a risk factor for ONJ. Caution is advised when zoledronic acid is administered with anti-angiogenic drugs as an increased incidence of ONJ has been observed with concomitant use of these drugs. Data suggests a greater frequency of reports of ONJ in certain cancers, such as advanced breast cancer and multiple myeloma. The majority of the reported cases are in cancer patients following invasive dental procedures, such as tooth extraction. It is therefore prudent to avoid invasive dental procedures as recovery may be prolonged [see Warnings and Precautions (5.4)].

Acute Phase Reaction

Within three days after zoledronic acid administration, an acute phase reaction has been reported, with symptoms including pyrexia, fatigue, bone pain and/or arthralgias, myalgias, chills, influenza-like illness and arthritis with subsequent joint swelling; these symptoms usually resolve within three days of onset, but resolution could take up to 7 to 14 days. However, some of these symptoms have been reported to persist for a longer duration.

Musculoskeletal Pain

Severe and occasionally incapacitating bone, joint, and/or muscle pain has been reported with bisphosphonate use [see Warnings and Precautions (5.5)].

Atypical Subtrochanteric and Diaphyseal Femoral Fractures

Atypical subtrochanteric and diaphyseal femoral fractures have been reported with bisphosphonate therapy, including zoledronic acid [see Warnings and Precautions (5.6)].

Ocular Adverse Events

Cases of uveitis, scleritis, episcleritis, conjunctivitis, iritis, and orbital inflammation including orbital edema have been reported during post marketing use. In some cases, symptoms resolved with topical steroids.

Hypersensitivity Reactions

There have been rare reports of allergic reaction with intravenous zoledronic acid including angioedema and bronchoconstriction. Very rare cases of anaphylactic reaction/shock have been reported. Cases of Stevens-Johnson syndrome and toxic epidermal necrolysis have also been reported.

Additional adverse reactions reported in postmarketing use include:

CNS : taste disturbance, hyperesthesia, tremor; Special Senses : blurred vision; uveitis;  Gastrointestinal : dry mouth; Skin : Increased sweating; Musculoskeletal : muscle cramps; Cardiovascular : hypertension, bradycardia, hypotension (associated with syncope or circulatory collapse primarily in patients with underlying risk factors); Respiratory: bronchospasms, interstitial lung disease (ILD) with positive rechallenge; Renal : hematuria, proteinuria, acquired Fanconi Syndrome; General Disorders and Administration Site : weight increase, influenza-like illness (pyrexia, asthenia, fatigue or malaise) persisting for greater than 30 days; Laboratory Abnormalities : hyperkalemia, hypernatremia, hypocalcemia (cardiac arrhythmias and neurologic adverse events including seizures, tetany, and numbness have been reported due to severe hypocalcemia).

8 Use in Specific Populations
  • Lactation: Advise not to breastfeed. (8.2)
  • Females and Males of Reproductive Potential: Verify pregnancy status prior to initiation of Zoledronic acid. May impair fertility. Counsel patients on pregnancy planning and prevention. (8.3)
  • Pediatric Use: Not indicated for use in pediatric patients. (8.4)
  • Geriatric Use: Special care to monitor renal function. (8.5)
6.1 Clinical Trials Experience

 Because clinical trials are conducted under widely varying conditions, adverse reaction rates observed in the clinical trials of a drug cannot be directly compared to rates in the clinical trials of another drug and may not reflect the rates observed in practice.

Hypercalcemia of Malignancy

The safety of zoledronic acid was studied in 185 patients with hypercalcemia of malignancy (HCM) who received either zoledronic acid 4 mg given as a 5-minute intravenous infusion (n=86) or pamidronate 90 mg given as a 2-hour intravenous infusion (n=103). The population was aged 33 to 84 years, 60% male and 81% Caucasian, with breast, lung, head and neck, and renal cancer as the most common forms of malignancy. NOTE: pamidronate 90 mg was given as a 2-hour intravenous infusion. The relative safety of pamidronate 90 mg given as a 2-hour intravenous infusion compared to the same dose given as a 24-hour intravenous infusion has not been adequately studied in controlled clinical trials.

Renal Toxicity

Administration of zoledronic acid 4 mg given as a 5-minute intravenous infusion has been shown to result in an increased risk of renal toxicity, as measured by increases in serum creatinine, which can progress to renal failure. The incidence of renal toxicity and renal failure has been shown to be reduced when zoledronic acid 4 mg is given as a 15-minute intravenous infusion. Zoledronic acid should be administered by intravenous infusion over no less than 15 minutes [see Warnings and Precautions (5.3), Dosage and Administration (2.4)].

The most frequently observed adverse events were fever, nausea, constipation, anemia, and dyspnea (see Table 4).

Table 4 provides adverse events that were reported by 10% or more of the 189 patients treated with zoledronic acid 4 mg or pamidronate 90 mg from the two HCM trials. Adverse events are listed regardless of presumed causality to study drug.

Table 4: Percentage of Patients with Adverse Events ≥10% Reported in Hypercalcemia of Malignancy Clinical Trials by Body System
 

Zoledronic Acid Injection

4 mg

n (%) 

 Pamidronate

90 mg

n (%)

Patients Studied     

 Total No. of Patients Studied

 Total No. of Patients with any AE

86

81

(100)

(94)

103

95

(100)

(92) 

Body as a Whole    

 Fever

 Progression of Cancer

38

14

(44)

(16)

 34

21

(33)

(20)

Cardiovascular     
 Hypotension  9 (11)   2 (2)
Digestive    

 Nausea

 Constipation

 Diarrhea

 Abdominal Pain

 Vomitting

 Anorexia

25

23

15

14

12

8

(29)

(27)

(17)

(16)

(14)

(9) 

28

13

17

13

17

14

(27)

(13)

(17)

(13)

(17)

(14)

Hemic and Lymphatic System    
 Anemia  19 (22) 18  (18) 
Infections     
 Moniliasis  10 (12) 4  (4)
Laboratory Abnormalities     

 Hypophosphatemia

 Hypokalemia

 Hypomagnesemia

11

10

9

(13)

(12)

(11)

2

16

5

(2)

(16)

(5)

Musculoskeletal     
 Skeletal Pain 10 (12) 10 (10)
Nervous     

 Insomnia

 Anxiety

 Confusion

 Agitation

13

12

11

11

(15)

(14)

(13)

(13)

10

8

13

8

(10)

(8)

(13)

(8)

Respiratory     

 Dyspnea

 Coughing

19

10

(22)

(12)

 20

12

(19)

(12)

Urogenital    
 Urinary Tract Infection  12 (14) 15 (15)

The following adverse events from the two controlled multicenter HCM trials (n=189) were reported by a greater percentage of patients treated with zoledronic acid 4 mg than with pamidronate 90 mg and occurred with a frequency of greater than or equal to 5% but less than 10%. Adverse events are listed regardless of presumed causality to study drug: asthenia, chest pain, leg edema, mucositis, dysphagia, granulocytopenia, thrombocytopenia, pancytopenia, nonspecific infection, hypocalcemia, dehydration, arthralgias, headache and somnolence.

Rare cases of rash, pruritus, and chest pain have been reported following treatment with zoledronic acid.

Acute Phase Reaction

Within three days after zoledronic acid administration, an acute phase reaction has been reported in patients, with symptoms including pyrexia, fatigue, bone pain and/or arthralgias, myalgias, chills, and influenza-like illness. These symptoms usually resolve within a few days. Pyrexia has been the most commonly associated symptom, occurring in 44% of patients.

Mineral and Electrolyte Abnormalities

Electrolyte abnormalities, most commonly hypocalcemia, hypophosphatemia and hypomagnesemia, can occur with bisphosphonate use.

Grade 3 and Grade 4 laboratory abnormalities for serum creatinine, serum calcium, serum phosphorus, and serum magnesium observed in two clinical trials of zoledronic acid in patients with HCM are shown in Table 5 and 6.

Table 5: Grade 3 Laboratory Abnormalities for Serum Creatinine, Serum Calcium, Serum Phosphorus, and Serum Magnesium in Two Clinical Trials in Patients with HCM
Grade 3
 Laboratory Parameter

 Zoledronic Acid Injection

4 mg

Pamidronate

90 mg

   n/N  (%)  n/N  (%)

Serum Creatinine 1

Hypocalcemia 2

Hypophosphatemia 3

Hypomagnesemia 4

2/86

1/86

36/70

0/71

 (2%)

(1%)

(51%)

3/100

2/100

27/81

0/84

 (3%)

(2%)

(33%)

1 Grade 3 (greater than 3x Upper Limit of Normal); Grade 4 (greater than 6x Upper Limit of Normal)

2 Grade 3 (less than 7 mg/dL); Grade 4 (less than 6 mg/dL)

3 Grade 3 (less than 2 mg/dL); Grade 4 (less than 1 mg/dL)

4 Grade 3 (less than 0.8 mEq/L); Grade 4 (less than 0.5 mEq/L)

Table 6: Grade 4 Laboratory Abnormalities for Serum Creatinine, Serum Calcium, Serum Phosphorus,

and Serum Magnesium in Two Clinical Trials in Patients with HCM

 
 Grade 4
 Laboratory Parameter

 Zoledronic Acid Injection

4 mg

 Pamidronate

90 mg

   n/N (%)   n/N  (%)

Serum Creatinine 1

Hypocalcemia 2

Hypophosphatemia 3

Hypomagnesemia 4

0/86

0/86

1/70

0/71





(1%)

 1/100

0/100

4/81

1/84

 (1%)



(5%)

(1%)

1 Grade 3 (greater than 3x Upper Limit of Normal); Grade 4 (greater than 6x Upper Limit of Normal)

2 Grade 3 (less than 7 mg/dL); Grade 4 (less than 6 mg/dL)

3 Grade 3 (less than 2 mg/dL); Grade 4 (less than 1 mg/dL)

4 Grade 3 (less than 0.8 mEq/L); Grade 4 (less than 0.5 mEq/L)

Injection Site Reactions

Local reactions at the infusion site, such as redness or swelling, were observed infrequently. In most cases, no specific treatment is required and the symptoms subside after 24 to 48 hours.

Ocular Adverse Events

Ocular inflammation such as uveitis and scleritis can occur with bisphosphonate use, including zoledronic acid. No cases of iritis, scleritis, or uveitis were reported during these clinical trials. However, cases have been seen in post-marketing use [see Adverse Reactions (6.2)].

Multiple Myeloma and Bone Metastases of Solid Tumors

The safety analysis includes patients treated in the core and extension phases of the trials. The analysis includes the 2042 patients treated with zoledronic acid 4 mg, pamidronate 90 mg, or placebo in the three controlled multicenter bone metastases trials, including 969 patients completing the efficacy phase of the trial, and 619 patients that continued in the safety extension phase. Only 347 patients completed the extension phases and were followed for 2 years (or 21 months for the other solid tumor patients). The median duration of exposure for safety analysis for zoledronic acid 4 mg (core plus extension phases) was 12.8 months for breast cancer and multiple myeloma, 10.8 months for prostate cancer, and 4 months for other solid tumors.

Table 7 describes adverse events that were reported by 10% or more of patients. Adverse events are listed regardless of presumed causality to study drug.

Table 7: Percentage of Patients with Adverse Events ≥ 10% Reported in Three Bone Metastases Clinical Trials by Body System
 

Zoledronic Acid Injection

4 mg

Pamidronate

90 mg

Placebo
  n (%) n (%) n (%)
Patients Studied  
 Total No. of Patients

 Total No. of Patients with any AE
1031

1015
(100)

(98)
556

548
(100)

(99)
455

445
(100)

(98)
Blood and Lymphatic  

 Anemia

 Neutropenia

 Thrombocytopenia

344

124

102
(33)

(12)

(10)
175

83

53
(32)

(15)

(10)
128

35

20
(28)

(8)

(4)
Gastrointestinal  
 Nausea

 Vomiting

 Constipation

 Diarrhea

 Abdominal Pain

 Dyspepsia

 Stomatitis

 Sore Throat
476

333

320

249

143

105

86

82
(46)

(32)

(31)

(24)

(14)

(10)

(8)

(8)
266

183

162

162

81

74

65

61
(48)

(33)

(29)

(29)

(15)

(13)

(12)

(11)
171

122

174

83

48

31

14

17
(38)

(27)

(38)

(18)

(11)

(7)

(3)

(4)
General Disorders and Administration Site  
 Fatigue

 Pyrexia

 Weakness

 Edema Lower Limb

 Rigors
398

328

252

215

112
(39)

(32)

(24)

(21)

(11)
240

172

108

126

62
(43)

(31)

(19)

(23)

(11)
130

89

114

84

28
(29)

(20)

(25)

(19)

(6)
Infections  
Urinary Tract Infection

Upper Respiratory Tract Infection
124

101
(12)

(10)
50

82
(9)

(15)
41

30
(9)

(7)
Metabolism  
Anorexia

Weight Decreased

Dehydration

Appetite Decreased
231

164

145

130
(22)

(16)

(14)

(13)
81

50

60

48
(15)

(9)

(11)

(9)
105

61

59

45
(23)

(13)

(13)

(10)
Musculoskeletal  
Bone Pain

Myalgia

Arthralgia

Back Pain

Pain in Limb
569

239

216

156

143

(55)

(23)

(21)

(15)

(14) 

316

143

131

106

84
(57)

(26)

(24)

(19)

(15)
284

74

73

40

52
(62)

(16)

(16)

(9)

(11)
Neoplasms  
 Malignant Neoplasm Aggravated  205  (20)  97  (17)  89  (20)
Nervous  
 Headache

 Dizziness (excluding vertigo)

 Insomnia

 Paresthesia

 Hypoesthesia
191

180

166

149

127
(19)

(18)

(16)

(15)

(12)
149

91

111

85

65
(27)

(16)

(20)

(15)

(12)
50

58

73

35

43
(11)

(13)

(16)

(8)

(10)
Psychiatric  
 Depression

 Anxiety

 Confusion
146

112

74
(14)

(11)

(7)
95

73

39

(17)

(13)

(7) 

49

37

47
(11)

(8)

(10)
Respiratory  
 Dyspnea

 Cough
282

224
(27)

(22)
155

129
(28)

(23)
107

65
(24)

(14)
Skin  
Alopecia

Dermatitis
125

114
(12)

(11)
80

74
(14)

(13)
36

38
(8)

(8)

Grade 3 and Grade 4 laboratory abnormalities for serum creatinine, serum calcium, serum phosphorus, and serum magnesium observed in three clinical trials of zoledronic acid in patients with bone metastases are shown in Tables 8 and 9.

Table 8: Grade 3 Laboratory Abnormalities for Serum Creatinine, Serum Calcium, Serum Phosphorus, and Serum Magnesium in Three Clinical Trials in Patients with Bone Metastases
Grade 3
Laboratory Parameter

Zoledronic Acid Injection

4 mg

Pamidronate 90 mg Placebo
  n/N (%) n/N (%)  n/N (%) 
Serum Creatinine1*

Hypocalcemia2

Hypophosphatemia3

Hypermagnesemia4

Hypomagnesemia5
7/529

6/973

115/973

19/971

1/971
(1%)

(<1%)

(12%)

(2%)

(<1%)
4/268

4/536

38/537

2/535

0/535
(2%)

(<1%)

(7%)

(<1%)

4/241

0/415

14/415

8/415

1/415
(2%)



(3%)

(2%)

(<1%)

1 Grade 3 (greater than 3x Upper Limit of Normal); Grade 4 (greater than 6x Upper Limit of Normal)

* Serum creatinine data for all patients randomized after the 15-minute infusion amendment

2 Grade 3 (less than 7 mg/dL); Grade 4 (less than 6 mg/dL)

3 Grade 3 (less than 2 mg/dL); Grade 4 (less than 1 mg/dL)

4 Grade 3 (greater than 3 mEq/L); Grade 4 (greater than 8 mEq/L)

5 Grade 3 (less than 0.9 mEq/L); Grade 4 (less than 0.7 mEq/L)

Table 9: Grade 4 Laboratory Abnormalities for Serum Creatinine, Serum Calcium, Serum Phosphorus, and Serum Magnesium in Three Clinical Trials in Patients with Bone Metastases
Grade 4
Laboratory Parameter

Zoledronic Acid Injection

4 mg

Pamidronate 90 mg Placebo
  n/N (%) n/N (%)  n/N (%) 
Serum Creatinine1*

Hypocalcemia2

Hypophosphatemia3

Hypermagnesemia4

Hypomagnesemia5

2/529

7/973

5/973

0/971

2/971

(<1%)

(<1%)

(<1%)



(<1%)

1/268

3/536

0/537

0/535

1/535

(<1%)

(<1%)





(<1%)

0/241

2/415

1/415

2/415

0/415



(<1%)

(<1%)

(<1%)

1 Grade 3 (greater than 3x Upper Limit of Normal); Grade 4 (greater than 6x Upper Limit of Normal)

* Serum creatinine data for all patients randomized after the 15-minute infusion amendment

2 Grade 3 (less than 7 mg/dL); Grade 4 (less than 6 mg/dL)

3 Grade 3 (less than 2 mg/dL); Grade 4 (less than 1 mg/dL)

4 Grade 3 (greater than 3 mEq/L); Grade 4 (greater than 8 mEq/L)

5 Grade 3 (less than 0.9 mEq/L); Grade 4 (less than 0.7 mEq/L)

Among the less frequently occurring adverse events (less than 15% of patients), rigors, hypokalemia, influenza-like illness, and hypocalcemia showed a trend for more events with bisphosphonate administration (zoledronic acid 4 mg and pamidronate groups) compared to the placebo group.

Less common adverse events reported more often with zoledronic acid 4 mg than pamidronate included decreased weight, which was reported in 16% of patients in the zoledronic acid 4 mg group compared with 9% in the pamidronate group. Decreased appetite was reported in slightly more patients in the zoledronic acid 4 mg group (13%) compared with the pamidronate (9%) and placebo (10%) groups, but the clinical significance of these small differences is not clear.

Renal Toxicity

In the bone metastases trials, renal deterioration was defined as an increase of 0.5 mg/dL for patients with normal baseline creatinine (less than 1.4 mg/dL) or an increase of 1 mg/dL for patients with an abnormal baseline creatinine (greater than or equal to 1.4 mg/dL). The following are data on the incidence of renal deterioration in patients receiving zoledronic acid 4 mg over 15 minutes in these trials (see Table 10).

Table 10: Percentage of Patients with Treatment Emergent Renal Function Deterioration by Baseline Serum Creatinine*
Patient Population/Baseline Creatinine
 Multiple Myeloma and Breast Cancer

Zoledronic Acid Injection

4 mg

Pamidronate

90 mg

  n/N  (%) n/N   (%)

Normal

Abnormal

Total

27/246

2/26

29/272

(11%)

(8%)

(11%) 

23/246

2/22

25/268 

(9%)

(9%)

(9%)
Solid Tumors Zoledronic Acid Injection

4 mg

Placebo

  n/N  (%)  n/N   (%)
Normal

Abnormal

Total

17/154

1/11

18/165 

(11%)

(9%)

(11%)
10/143

1/20

11/163
(7%)

(5%)

(7%)
Prostate Cancer  Zoledronic Acid Injection

4 mg
Placebo
  n/N   (%)  n/N  (%)
Normal

Abnormal

Total

12/82

4/10

16/92 

(15%)

(40%)

(17%) 

8/68

2/10

10/78

(12%)

(20%)

(13%) 

 * Table includes only patients who were randomized to the trial after a protocol amendment that lengthened the infusion duration of zoledronic acid to 15 minutes.

The risk of deterioration in renal function appeared to be related to time on study, whether patients were receiving zoledronic acid (4 mg over 15 minutes), placebo, or pamidronate.

In the trials and in post marketing experience, renal deterioration, progression to renal failure, and dialysis have occurred in patients with normal and abnormal baseline renal function, including patients treated with 4 mg infused over a 15-minute period. There have been instances of this occurring after the initial zoledronic acid dose.

1.1 Hypercalcemia of Malignancy

Zoledronic acid injection is indicated for the treatment of hypercalcemia of malignancy defined as an albumin‑corrected calcium (cCa) of greater than or equal to 12 mg/dL [3 mmol/L] using the formula: cCa in mg/dL=Ca in mg/dL + 0.8 (4 g/dL - patient albumin [g/dL]).

2.1 Hypercalcemia of Malignancy

The maximum recommended dose of zoledronic acid in hypercalcemia of malignancy (albumin‑corrected serum calcium greater than or equal to 12 mg/dL [3 mmol/L]) is 4 mg. The 4 mg dose must be given as a single-dose intravenous infusion over no less than 15 minutes. Patients who receive zoledronic acid should have serum creatinine assessed prior to each treatment.

Dose adjustments of zoledronic acid are not necessary in treating patients for hypercalcemia of malignancy presenting with mild-to-moderate renal impairment prior to initiation of therapy (serum creatinine less than 400 μmol/L or less than 4.5 mg/dL).

Patients should be adequately rehydrated prior to administration of zoledronic acid [see Warnings and Precautions (5.2)].

Consideration should be given to the severity of, as well as the symptoms of, tumor‑induced hypercalcemia when considering use of zoledronic acid. Vigorous saline hydration, an integral part of hypercalcemia therapy, should be initiated promptly and an attempt should be made to restore the urine output to about 2 L/day throughout treatment. Mild or asymptomatic hypercalcemia may be treated with conservative measures (i.e., saline hydration, with or without loop diuretics). Patients should be hydrated adequately throughout the treatment, but overhydration, especially in those patients who have cardiac failure, must be avoided. Diuretic therapy should not be employed prior to correction of hypovolemia.

Retreatment with zoledronic acid 4 mg may be considered if serum calcium does not return to normal or remain normal after initial treatment. It is recommended that a minimum of 7 days elapse before retreatment, to allow for full response to the initial dose. Renal function must be carefully monitored in all patients receiving zoledronic acid and serum creatinine must be assessed prior to retreatment with zoledronic acid [see Warnings and Precautions (5.2)].

14.1 Hypercalcemia of Malignancy

Two identical multicenter, randomized, double-blind, double-dummy studies of zoledronic acid 4 mg given as a 5-minute intravenous infusion or pamidronate 90 mg given as a 2-hour intravenous infusion were conducted in 185 patients with hypercalcemia of malignancy (HCM). NOTE: Administration of zoledronic acid 4 mg given as a 5-minute intravenous infusion has been shown to result in an increased risk of renal toxicity, as measured by increases in serum creatinine, which can progress to renal failure. The incidence of renal toxicity and renal failure has been shown to be reduced when zoledronic acid 4 mg is given as a 15-minute intravenous infusion. Zoledronic acid should be administered by intravenous infusion over no less than 15 minutes [see Warnings and Precautions ( 5.1 5.2 ) and Dosage and Administration (2.4)]. The treatment groups in the clinical studies were generally well balanced with regards to age, sex, race, and tumor types. The mean age of the study population was 59 years; 81% were Caucasian, 15% were Black, and 4% were of other races. Sixty percent (60%) of the patients were male. The most common tumor types were lung, breast, head and neck, and renal.

In these studies, HCM was defined as a corrected serum calcium (CSC) concentration of greater than or equal to 12 mg/‌dL (3.00 mmol/L). The primary efficacy variable was the proportion of patients having a complete response, defined as the lowering of the CSC to less than or equal to 10.8 mg/dL (2.70 mmol/L) within 10 days after drug infusion.

To assess the effects of zoledronic acid versus those of pamidronate, the two multi-center HCM studies were combined in a preplanned analysis. The results of the primary analysis revealed that the proportion of patients that had normalization of corrected serum calcium by Day 10 were 88% and 70% for zoledronic acid 4 mg and pamidronate 90 mg, respectively (P=0.002) (see Figure 1). In these studies, no additional benefit was seen for zoledronic acid 8 mg over zoledronic acid 4 mg; however, the risk of renal toxicity of zoledronic acid 8 mg was significantly greater than that seen with zoledronic acid 4 mg.

Secondary efficacy variables from the pooled HCM studies included the proportion of patients who had normalization of corrected serum calcium (CSC) by Day 4; the proportion of patients who had normalization of CSC by Day 7; time to relapse of HCM; and duration of complete response. Time to relapse of HCM was defined as the duration (in days) of normalization of serum calcium from study drug infusion until the last CSC value less than 11.6 mg/dL (less than 2.90 mmol/L). Patients who did not have a complete response were assigned a time to relapse of 0 days. Duration of complete response was defined as the duration (in days) from the occurrence of a complete response until the last CSC ≤ 10.8 mg/dL (2.70 mmol/L). The results of these secondary analyses for zoledronic acid 4 mg and pamidronate 90 mg are shown in Table 11.

Table 11: Secondary Efficacy Variables in Pooled HCM Studies
   

Zoledronic Acid Injection

4 mg

 

Pamidronate

90 mg

Complete Response  N Response Rate   N Response Rate 

By Day 4

By Day 7

86

86

45.3%

82.6%*

99

99

33.3%

63.6%

Duration of Response N 

Median Duration

(Days) 

N

Median Duration

(Days) 

Time to Relapse

Duration of Complete Response 

86

76

30*

32

99

69

17

18

 * P less than 0.05 versus pamidronate 90 mg.
17 Patient Counseling Information

Drugs with Same Active Ingredient or in the Same Drug Class

• Inform patients not to take Reclast or other bisphosphonates during the course of their zoledronic acid therapy [see Warnings and Precautions (5.1)].

Renal Impairment

• Instruct patients to tell their doctor if they have kidney problems before being given zoledronic acid.

• Inform patients of the importance of getting their blood tests (serum creatinine) during the course of their zoledronic acid therapy [see Warnings and Precautions (5.3)].

Osteonecrosis of the Jaw (ONJ)

• Advise patients to have a dental examination prior to treatment with zoledronic acid and to avoid invasive dental procedures during treatment.

• Inform patients of the importance of good dental hygiene, routine dental care, and regular dental check-ups.

• Advise patients to immediately tell their doctor about any oral symptoms such as loosening of a tooth, pain, swelling, or non-healing of sores or discharge during treatment with zoledronic acid [see Warnings and Precautions (5.4)].

Musculoskeletal Pain

• Advise patients to immediately tell their doctor about any severe bone, joint, and/or muscle pain [see Warnings and Precautions (5.5)].

Atypical subtrochanteric and diaphyseal femoral fracture

• Advise patients to report any thigh, hip, or groin pain. It is unknown whether the risk of atypical femur fracture continues after stopping therapy [see Warnings and Precautions (5.6)].

Patients with Asthma

• There have been reports of bronchoconstriction in aspirin-sensitive patients receiving bisphosphonates, including zoledronic acid. Before being given zoledronic acid, instruct patients to tell their doctor if they are aspirin-sensitive [see Warnings and Precautions (5.7)]

Hypocalcemia

• Advise patients with multiple myeloma and bone metastasis of solid tumors to take an oral calcium supplement of 500 mg and a multiple vitamin containing 400 international units of vitamin D daily [see Warnings and Precautions (5.9)].

Embryo-Fetal Toxicity

• Zoledronic acid should not be given if the patient is pregnant or plans to become pregnant. Inform female patients of the risk to a fetus and potential loss of the pregnancy [see Warnings and Precautions (5.10)].

• Advise females of reproductive potential to use effective contraception during and after treatment with Zoledronic acid [see Warnings and Precautions (5.10), Use in Specific Populations  (8.1, 8.3)]."



Lactation

•  Advise lactating women not to breastfeed during and after treatment with Zoledronic acid [see Use in Specific Populations  (8.2)].

Common Adverse Reactions

• Advise patients that the most common side effects of Zoledronic acid are nausea, fatigue, anemia, bone pain, constipation, fever, vomiting, and dyspnea.

Reclast® is a registered trademark of Novartis Pharmaceutical Corporation.

Manufactured by: HIKMA FARMACÊUTICA (PORTUGAL), S.A.

Estrada do Rio da Mó, 8, 8A e 8B – Fervença – 2705-906 Terrugem SNT, PORTUGAL

Distributed by:

Hikma Pharmaceuticals USA Inc.

Berkeley Heights, NJ 07922

Revised: January 2021

PIN307-WES/9

7.1 Aminoglycosides and Calcitonin

Caution is advised when bisphosphonates are administered with aminoglycosides or calcitonin, since these agents may have an additive effect to lower serum calcium level for prolonged periods. This effect has not been reported in zoledronic acid clinical trials.

16 How Supplied/storage and Handling

Zoledronic acid injection, 4 mg per 5 mL  single-dose vial of concentrate

Carton of 1 vial………………..NDC 0143-9642-01

Store at 25°C (77°F); excursions permitted to 15º to 30°C (59º to 86°F) [see USP Controlled Room Temperature].

5.2 Hydration and Electrolyte Monitoring

Patients with hypercalcemia of malignancy must be adequately rehydrated prior to administration of zoledronic acid. Loop diuretics should not be used until the patient is adequately rehydrated and should be used with caution in combination with zoledronic acid in order to avoid hypocalcemia. Zoledronic acid should be used with caution with other nephrotoxic drugs.

Standard hypercalcemia-related metabolic parameters, such as serum levels of calcium, phosphate, and magnesium, as well as serum creatinine, should be carefully monitored following initiation of therapy with zoledronic acid. If hypocalcemia, hypophosphatemia, or hypomagnesemia occur, short‑term supplemental therapy may be necessary.

8.3 Females and Males of Reproductive Potential

Pregnancy Testing

Verify pregnancy status of females of reproductive potential prior to initiation of Zoledronic acid.

Contraception

Females

Zoledronic acid can cause fetal harm when administered to a pregnant woman [see Use in Specific Populations (8.1) ]. Zoledronic acid binds to bone long term and may be released over periods of weeks to years. Advise females of reproductive potential to use effective contraception during and after Zoledronic acid treatment.

Infertility

Females

Based on animal studies, Zoledronic acid may impair fertility in females of reproductive potential [see Nonclinical Toxicology  (13) ].

1.2 Multiple Myeloma and Bone Metastases of Solid Tumors

Zoledronic acid injection is indicated for the treatment of patients with multiple myeloma and patients with documented bone metastases from solid tumors, in conjunction with standard antineoplastic therapy. Prostate cancer should have progressed after treatment with at least one hormonal therapy.

Limitations of Use

The safety and efficacy of zoledronic acid injection in the treatment of hypercalcemia associated with hyperparathyroidism or with other nontumor-related conditions have not been established.

2.2 Multiple Myeloma and Bone Metastases of Solid Tumors

The recommended dose of zoledronic acid in patients with multiple myeloma and metastatic bone lesions from solid tumors for patients with creatinine clearance (CrCl) greater than 60 mL/min is 4 mg infused over no less than 15 minutes every 3 to 4 weeks. The optimal duration of therapy is not known.

Upon treatment initiation, the recommended zoledronic acid doses for patients with reduced renal function (mild and moderate renal impairment) are listed in Table 1. These doses are calculated to achieve the same area under the curve (AUC) as that achieved in patients with creatinine clearance of 75 mL/min. CrCl is calculated using the Cockcroft-Gault formula [see Warnings and Precautions (5.2)].

Table 1: Reduced Doses for Patients with Baseline CrCl Less than or Equal to 60 mL/min
Baseline Creatinine Clearance (mL/min)   Zoledronic Acid Injection Recommended Dose*

 greater than 60

50 to 60

40 to 49

30 to 39

4 mg

3.5 mg

3.3 mg

3 mg

 * Doses calculated assuming target AUC of 0.66 (mg•hr/L) (CrCl = 75 mL/min)

During treatment, serum creatinine should be measured before each zoledronic acid dose and treatment should be withheld for renal deterioration. In the clinical studies, renal deterioration was defined as follows:

   For patients with normal baseline creatinine, increase of 0.5 mg/dL

   For patients with abnormal baseline creatinine, increase of 1 mg/dL

In the clinical studies, zoledronic acid treatment was resumed only when the creatinine returned to within 10% of the baseline value. Zoledronic acid should be reinitiated at the same dose as that prior to treatment interruption.

Patients should also be administered an oral calcium supplement of 500 mg and a multiple vitamin containing 400 international units of vitamin D daily.

13.1 Carcinogenesis, Mutagenesis, Impairment of Fertility

Standard lifetime carcinogenicity bioassays were conducted in mice and rats. Mice were given oral doses of zoledronic acid of 0.1, 0.5, or 2 mg/kg/day. There was an increased incidence of Harderian gland adenomas in males and females in all treatment groups (at doses greater than or equal to 0.002 times a human intravenous dose of 4 mg, based on a comparison of relative body surface areas). Rats were given oral doses of zoledronic acid of 0.1, 0.5, or 2 mg/kg/day. No increased incidence of tumors was observed (at doses less than or equal to 0.2 times the human intravenous dose of 4 mg, based on a comparison of relative body surface areas).

Zoledronic acid was not genotoxic in the Ames bacterial mutagenicity assay, in the Chinese hamster ovary cell assay, or in the Chinese hamster gene mutation assay, with or without metabolic activation. Zoledronic acid was not genotoxic in the in vivo rat micronucleus assay.

Female rats were given subcutaneous doses of zoledronic acid of 0.01, 0.03, or 0.1 mg/kg/day beginning 15 days before mating and continuing through gestation. Effects observed in the high-dose group (with systemic exposure of 1.2 times the human systemic exposure following an intravenous dose of 4 mg, based on AUC comparison) included inhibition of ovulation and a decrease in the number of pregnant rats. Effects observed in both the mid-dose group (with systemic exposure of 0.2 times the human systemic exposure following an intravenous dose of 4 mg, based on an AUC comparison) and high-dose group included an increase in preimplantation losses and a decrease in the number of implantations and live fetuses.

5.6 Atypical Subtrochanteric and Diaphyseal Femoral Fractures

Atypical subtrochanteric and diaphyseal femoral fractures have been reported in patients receiving bisphosphonate therapy, including zoledronic acid. These fractures can occur anywhere in the femoral shaft from just below the lesser trochanter to just above the supracondylar flare and are transverse or short oblique in orientation without evidence of comminution. These fractures occur after minimal or no trauma. Patients may experience thigh or groin pain weeks to months before presenting with a completed femoral fracture. Fractures are often bilateral; therefore the contralateral femur should be examined in bisphosphonate-treated patients who have sustained a femoral shaft fracture. Poor healing of these fractures has also been reported. A number of case reports noted that patients were also receiving treatment with glucocorticoids (such as prednisone or dexamethasone) at the time of fracture. Causality with bisphosphonate therapy has not been established.

Any patient with a history of bisphosphonate exposure who presents with thigh or groin pain in the absence of trauma should be suspected of having an atypical fracture and should be evaluated. Discontinuation of zoledronic acid therapy in patients suspected to have an atypical femur fracture should be considered pending evaluation of the patient, based on an individual benefit risk assessment. It is unknown whether the risk of atypical femur fracture continues after stopping therapy.

5.1 Drugs with Same Active Ingredient Or in the Same Drug Class

Zoledronic acid contains the same active ingredient as found in Reclast® (zoledronic acid). Patients being treated with zoledronic acid should not be treated with Reclast or other bisphosphonates.

14.2 Clinical Trials in Multiple Myeloma and Bone Metastases of Solid Tumors

Table 12 describes an overview of the efficacy population in three randomized zoledronic acid trials in patients with multiple myeloma and bone metastases of solid tumors. These trials included a pamidronate-controlled study in breast cancer and multiple myeloma, a placebo-controlled study in prostate cancer, and a placebo-controlled study in other solid tumors. The prostate cancer study required documentation of previous bone metastases and 3 consecutive rising PSAs while on hormonal therapy. The other placebo-controlled solid tumor study included patients with bone metastases from malignancies other than breast cancer and prostate cancer, including NSCLC, renal cell cancer, small cell lung cancer, colorectal cancer, bladder cancer, GI/genitourinary cancer, head and neck cancer, and others. These trials were comprised of a core phase and an extension phase. In the solid tumor, breast cancer and multiple myeloma trials, only the core phase was evaluated for efficacy as a high percentage of patients did not choose to participate in the extension phase. In the prostate cancer trials, both the core and extension phases were evaluated for efficacy showing the zoledronic acid effect during the first 15 months was maintained without decrement or improvement for another 9 months. The design of these clinical trials does not permit assessment of whether more than one-year administration of zoledronic acid is beneficial. The optimal duration of zoledronic acid administration is not known.

The studies were amended twice because of renal toxicity. The zoledronic acid infusion duration was increased from 5 minutes to 15 minutes. After all patients had been accrued, but while dosing and follow-up continued, patients in the 8 mg zoledronic acid treatment arm were switched to 4 mg due to toxicity. Patients who were randomized to the zoledronic acid 8 mg group are not included in these analyses.

Table 12: Overview of Efficacy Population for Phase III Studies
Patient Population   No. of Patients

 Zoledronic Acid

Injection Dose

Control 

 Median Duration

(Planned Duration)

Zoledronic Acid Injection

4 mg

Multiple myeloma or metastatic breast cancer 1,648 

4 and 8* mg

Q3-4 weeks 

Pamidronate 90 mg

Q3-4 weeks 

12 months

(13 months) 

Metastatic prostate cancer 643  4 and 8* mg

Q3 weeks
Placebo 

10.5 months

(15 months) 

Metastatic solid tumor other than breast or prostate cancer 773  4 and 8* mg Q3 weeks  Placebo

 3.8 months

(9 months)

 * Patients who were randomized to the 8 mg zoledronic acid group are not included in any of the analyses in this package insert.

Each study evaluated skeletal-related events (SREs), defined as any of the following: pathologic fracture, radiation therapy to bone, surgery to bone, or spinal cord compression. Change in antineoplastic therapy due to increased pain was a SRE in the prostate cancer study only. Planned analyses included the proportion of patients with a SRE during the study and time to the first SRE. Results for the two zoledronic acid placebo-controlled studies are given in Table 13.

Table 13: Zoledronic Acid Injection Compared to Placebo in Patients with Bone Metastases from Prostate Cancer or Other Solid Tumors
   I. Analysis of Proportion of Patients with a SRE1  II. Analysis of Time to the First SRE
Study Study Arm & Patient Number Proportion Difference2 & 95% CI P-value Median (Days) Hazard Ratio3 & 95% CI P-value
Prostate Cancer Zoledronic Acid

Injection 4 mg

(n=214)

Placebo

(n=208)

33%

44%

-11%

(-20%, -1%)

0.02

 Not Reached

321

0.67

(0.49, 0.91) 

0.011
Solid Tumors

Zoledronic Acid

Injection 4 mg

(n=257)

Placebo

(n=250)

38%

44%

-7%

(-15%, 2%) 

0.13

230

163 

0.73

(0.55, 0.96) 

0.023

1 SRE = Skeletal-Related Event

2 Difference for the proportion of patients with a SRE of zoledronic acid 4 mg versus placebo.

3 Hazard ratio for the first occurrence of a SRE of zoledronic acid 4 mg versus placebo.

In the breast cancer and myeloma trial, efficacy was determined by a noninferiority analysis comparing zoledronic acid to pamidronate 90 mg for the proportion of patients with a SRE. This analysis required an estimation of pamidronate efficacy. Historical data from 1,128 patients in three pamidronate placebo-controlled trials demonstrated that pamidronate decreased the proportion of patients with a SRE by 13.1% (95% CI = 7.3%, 18.9%). Results of the comparison of treatment with zoledronic acid compared to pamidronate are given in Table 14.

Table 14: Zoledronic Acid Injection Compared to Pamidronate in Patients with Multiple Myeloma or Bone Metastases from Breast Cancer
   I. Analysis of Proportion of Patients with a SRE1  II. Analysis of Time to the First SRE
Study  Study Arm &

Patient Number
 
Proportion  Difference2

& 95% Cl
 
P-value

Median

(Days) 

 Hazard Ratio3 & 95% Cl P-value 
Multiple Myeloma

& Breast Cancer

Zoledronic Acid Injection 4 mg

(n=561)

Pamidronate

(n=555)

44%

46%

-2%

(-7.9%, 3.7%)

 0.46

373

363

0.92

(0.77,109) 

0.32

1 SRE = Skeletal-Related Event

2 Difference for the proportion of patients with a SRE of zoledronic acid injection 4 mg versus pamidronate 90 mg.

3 Hazard ratio for the first occurrence of a SRE of zoledronic acid injection 4 mg versus pamidronate 90 mg.


Structured Label Content

10 Overdosage (10 OVERDOSAGE)

Clinical experience with acute overdosage of zoledronic acid is limited. Two patients received zoledronic acid 32 mg over 5 minutes in clinical trials. Neither patient experienced any clinical or laboratory toxicity. Overdosage may cause clinically significant hypocalcemia, hypophosphatemia, and hypomagnesemia. Clinically relevant reductions in serum levels of calcium, phosphorus, and magnesium should be corrected by intravenous administration of calcium gluconate, potassium or sodium phosphate, and magnesium sulfate, respectively.

In an open-label study of zoledronic acid 4 mg in breast cancer patients, a female patient received a single 48-mg dose of zoledronic acid in error. Two days after the overdose, the patient experienced a single episode of hyperthermia (38°C), which resolved after treatment. All other evaluations were normal, and the patient was discharged seven days after the overdose.

A patient with non-Hodgkin’s lymphoma received zoledronic acid 4 mg daily on four successive days for a total dose of 16 mg. The patient developed paresthesia and abnormal liver function tests with increased GGT (nearly 100 unit/L, each value unknown). The outcome of this case is not known.

In controlled clinical trials, administration of zoledronic acid 4 mg as an intravenous infusion over 5 minutes has been shown to increase the risk of renal toxicity compared to the same dose administered as a 15-minute intravenous infusion. In controlled clinical trials, zoledronic acid 8 mg has been shown to be associated with an increased risk of renal toxicity compared to zoledronic acid 4 mg, even when given as a 15-minute intravenous infusion, and was not associated with added benefit in patients with hypercalcemia of malignancy [see Dosage and Administration (2.4)].

8.1 Pregnancy

Risk Summary

Based on findings from animal studies and its mechanism of action, zoledronic acid can cause fetal harm when administered to a pregnant woman [see Clinical Pharmacology (12.1)]. There are no available data in pregnant women to inform the drug-associated risk. In animal reproduction studies, administration of zoledronic acid to pregnant rats during organogenesis resulted in fetal malformations and embryo-fetal lethality at maternal exposures that were ≥ 2.4 times the human clinical exposure based on AUC (see Data). Bisphosphonates, such as zoledronic acid, are incorporated into the bone matrix, from where they are gradually released over periods of weeks to years. There may be a risk of fetal harm (e.g., skeletal and other abnormalities) if a woman becomes pregnant after completing a course of bisphosphonate therapy. Advise pregnant women and females of reproductive potential of the potential risk to a fetus.

The background risk of major birth defects and miscarriage for the indicated population is unknown; however, in the U.S. general population, the estimated background risk of major birth defects is 2%-4% and of miscarriage is 15%-20% of clinically recognized pregnancies.

Data

Animal Data

In female rats given subcutaneous doses of zoledronic acid of 0.01, 0.03, or 0.1 mg/kg/day beginning 15 days before mating and continuing through gestation, the number of stillbirths was increased and survival of neonates was decreased in the mid- and high-dose groups (greater than or equal to 0.2 times the human systemic exposure following an intravenous dose of 4 mg, based on an AUC comparison). Adverse maternal effects were observed in all dose groups (with a systemic exposure of greater than or equal to 0.07 times the human systemic exposure following an intravenous dose of 4 mg, based on an AUC comparison) and included dystocia and periparturient mortality in pregnant rats allowed to deliver. Maternal mortality may have been related to drug-induced inhibition of skeletal calcium mobilization, resulting in periparturient hypocalcemia. This appears to be a bisphosphonate-class effect.

In pregnant rats given a subcutaneous dose of zoledronic acid of 0.1, 0.2, or 0.4 mg/kg/day during gestation, adverse fetal effects were observed in the mid- and high-dose groups (with systemic exposures of 2.4 and 4.8 times, respectively, the human systemic exposure following an intravenous dose of 4 mg, based on an AUC comparison). These adverse effects included increases in pre- and post-implantation losses, decreases in viable fetuses, and fetal skeletal, visceral, and external malformations. Fetal skeletal effects observed in the high-dose group included unossified or incompletely ossified bones, thickened, curved, or shortened bones, wavy ribs, and shortened jaw. Other adverse fetal effects observed in the high-dose group included reduced lens, rudimentary cerebellum, reduction or absence of liver lobes, reduction of lung lobes, vessel dilation, cleft palate, and edema. Skeletal variations were also observed in the low-dose group at 0.1 mg/kg/day (with systemic exposure of 1.2 times the human systemic exposure following an intravenous dose of 4 mg, based on an AUC comparison). Signs of maternal toxicity were observed in the high-dose group and included reduced body weights and food consumption, indicating that maximal exposure levels were achieved in this study.

In pregnant rabbits given subcutaneous doses of zoledronic acid of 0.01, 0.03, or 0.1 mg/kg/day during gestation (less than or equal to 0.5 times the human intravenous dose of 4 mg, based on a comparison of relative body surface areas), no adverse fetal effects were observed. Maternal mortality and abortion occurred in all treatment groups (at doses greater than or equal to 0.05 times the human intravenous dose of 4 mg, based on a comparison of relative body surface areas). Adverse maternal effects were associated with, and may have been caused by, drug-induced hypocalcemia.

11 Description (11 DESCRIPTION)

Zoledronic acid injection contains zoledronic acid, a bisphosphonic acid which is an inhibitor of osteoclastic bone resorption. Zoledronic acid is designated chemically as (1-Hydroxy-2-imidazol-1-yl-phosphonoethyl) phosphonic acid monohydrate and its structural formula is:

Zoledronic acid is a white crystalline powder. Its molecular formula is C5H10N2O7P2 • H2O and its molar mass is 290.1 g/‌mol. Zoledronic acid is highly soluble in 0.1N sodium hydroxide solution, sparingly soluble in water and 0.1N hydrochloric acid, and practically insoluble in organic solvents. The pH of a 0.7% solution of zoledronic acid in water is approximately 2.0.

Zoledronic acid injection is available in 5 mL vials as a sterile liquid concentrate solution for intravenous infusion.

Each 5 mL concentrate vial contains 4.264 mg zoledronic acid monohydrate, equivalent to 4 mg zoledronic acid on an anhydrous basis, 220 mg of Mannitol, USP, Water for Injection, USP, and 24 mg of Sodium Citrate, USP.

Inactive Ingredients: Mannitol, USP, as bulking agent, Water for Injection, and Sodium Citrate, USP, as buffering agent.

8.2. Lactation

Risk Summary

After administration of Zoledronic acid, it is not known whether zoledronic acid is present in human milk, or whether it affects milk production or the breastfed child.  Zoledronic acid binds to bone long term and may be released over periods of weeks to years. Because of the potential for serious adverse reactions in a breastfed child, advise a lactating woman not to breastfeed during and after Zoledronic acid treatment.



7.4 Thalidomide

No dose adjustment for zoledronic acid 4 mg is needed when coadministered with thalidomide. In a pharmacokinetic study of 24 patients with multiple myeloma, zoledronic acid 4 mg given as a 15-minute infusion was administered either alone or with thalidomide (100 mg once daily on days 1 to 14 and 200 mg once daily on days 15 to 28). Coadministration of thalidomide with zoledronic acid did not significantly change the pharmacokinetics of zoledronic acid or creatinine clearance.

5.9 Hypocalcemia

Hypocalcemia has been reported in patients treated with zoledronic acid. Cardiac arrhythmias and neurologic adverse events (seizures, tetany, and numbness) have been reported secondary to cases of severe hypocalcemia. In some instances, hypocalcemia may be life-threatening. Caution is advised when zoledronic acid is administered with drugs known to cause hypocalcemia, as severe hypocalcemia may develop, [see Drug Interactions (7)]. Serum calcium should be measured and hypocalcemia must be corrected before initiating zoledronic acid. Adequately supplement patients with calcium and vitamin D.

8.4 Pediatric Use

Zoledronic acid is not indicated for use in children.

The safety and effectiveness of zoledronic acid was studied in a one-year active-controlled trial of 152 pediatric subjects (74 receiving zoledronic acid). The enrolled population was subjects with severe osteogenesis imperfecta, aged 1-17 years, 55% male, 84% Caucasian, with a mean lumbar spine bone mineral density (BMD) of 0.431 gm/cm2, which is 2.7 standard deviations below the mean for age-matched controls (BMD Z-score of -2.7). At one year, increases in BMD were observed in the zoledronic acid treatment group. However, changes in BMD in individual patients with severe osteogenesis imperfecta did not necessarily correlate with the risk for fracture or the incidence or severity of chronic bone pain. The adverse events observed with zoledronic acid use in children did not raise any new safety findings beyond those previously seen in adults treated for hypercalcemia of malignancy or bone metastases. However, adverse reactions seen more commonly in pediatric patients included pyrexia (61%), arthralgia (26%), hypocalcemia (22%) and headache (22%). These reactions, excluding arthralgia, occurred most frequently within 3 days after the first infusion and became less common with repeat dosing. Because of long-term retention in bone, zoledronic acid should only be used in children if the potential benefit outweighs the potential risk.

Plasma zoledronic acid concentration data was obtained from 10 patients with severe osteogenesis imperfecta (4 in the age group of 3 to 8 years and 6 in the age group of 9 to 17 years) infused with 0.05 mg/kg dose over 30 min. Mean Cmax and AUC(0-last) was 167 ng/‌mL and 220 ng•h/mL, respectively. The plasma concentration time profile of zoledronic acid in pediatric patients represent a multi‑exponential decline, as observed in adult cancer patients at an approximately equivalent mg/kg dose.

8.5 Geriatric Use

Clinical studies of zoledronic acid in hypercalcemia of malignancy included 34 patients who were 65 years of age or older. No significant differences in response rate or adverse reactions were seen in geriatric patients receiving zoledronic acid as compared to younger patients. Controlled clinical studies of zoledronic acid in the treatment of multiple myeloma and bone metastases of solid tumors in patients over age 65 revealed similar efficacy and safety in older and younger patients. Because decreased renal function occurs more commonly in the elderly, special care should be taken to monitor renal function.

7.2 Loop Diuretics

Caution should also be exercised when zoledronic acid is used in combination with loop diuretics due to an increased risk of hypocalcemia.

4 Contraindications (4 CONTRAINDICATIONS)

Hypersensitivity to Zoledronic Acid or Any Components of Zoledronic Acid Injection

Hypersensitivity reactions including rare cases of urticaria and angioedema, and very rare cases of anaphylactic reaction/shock have been reported [see Adverse Reactions (6.2)].

6 Adverse Reactions (6 ADVERSE REACTIONS)

The most common adverse events (greater than 25%) were nausea, fatigue, anemia, bone pain, constipation, fever, vomiting, and dyspnea (6.1)

To report SUSPECTED ADVERSE REACTIONS, contact Hikma Pharmaceuticals USA Inc. at 1-877-845-0689 or FDA at 1-800-FDA-1088 or www.fda.gov/medwatch.

7 Drug Interactions (7 DRUG INTERACTIONS)

In vitro studies indicate that the plasma protein binding of zoledronic acid is low, with the unbound fraction ranging from 60 to 77%. In vitro studies also indicate that zoledronic acid does not inhibit microsomal CYP450 enzymes. In vivo studies showed that zoledronic acid is not metabolized, and is excreted into the urine as the intact drug.

Serialization Image (SERIALIZATION IMAGE)
5.3 Renal Impairment

Zoledronic acid is excreted intact primarily via the kidney, and the risk of adverse reactions, in particular renal adverse reactions, may be greater in patients with impaired renal function. Safety and pharmacokinetic data are limited in patients with severe renal impairment and the risk of renal deterioration is increased [see Adverse Reactions (6.1)]. Preexisting renal insufficiency and multiple cycles of zoledronic acid and other bisphosphonates are risk factors for subsequent renal deterioration with zoledronic acid. Factors predisposing to renal deterioration, such as dehydration or the use of other nephrotoxic drugs, should be identified and managed, if possible.

Zoledronic acid treatment in patients with hypercalcemia of malignancy with severe renal impairment should be considered only after evaluating the risks and benefits of treatment. [see Dosage and Administration (2.1)]. In the clinical studies, patients with serum creatinine greater than 400 μmol/L or greater than 4.5 mg/dL were excluded.

Zoledronic acid treatment is not recommended in patients with bone metastases with severe renal impairment. In the clinical studies, patients with serum creatinine greater than 265 μmol/L or greater than 3 mg/dL were excluded and there were only 8 of 564 patients treated with zoledronic acid 4 mg by 15-minute infusion with a baseline creatinine greater than 2 mg/dL. Limited pharmacokinetic data exists in patients with creatinine clearance less than 30 mL/min [see Clinical Pharmacology (12.3)].

Recent Major Changes (RECENT MAJOR CHANGES)

Warnings and Precautions, Embryo-Fetal Toxicity (5.10)           01/2019

12.2 Pharmacodynamics

Clinical studies in patients with hypercalcemia of malignancy (HCM) showed that single-dose infusions of zoledronic acid are associated with decreases in serum calcium and phosphorus and increases in urinary calcium and phosphorus excretion.

Osteoclastic hyperactivity resulting in excessive bone resorption is the underlying pathophysiologic derangement in hypercalcemia of malignancy (HCM, tumor-induced hypercalcemia) and metastatic bone disease. Excessive release of calcium into the blood as bone is resorbed results in polyuria and gastrointestinal disturbances, with progressive dehydration and decreasing glomerular filtration rate. This, in turn, results in increased renal resorption of calcium, setting up a cycle of worsening systemic hypercalcemia. Reducing excessive bone resorption and maintaining adequate fluid administration are, therefore, essential to the management of hypercalcemia of malignancy.

Patients who have hypercalcemia of malignancy can generally be divided into two groups according to the pathophysiologic mechanism involved: humoral hypercalcemia and hypercalcemia due to tumor invasion of bone. In humoral hypercalcemia, osteoclasts are activated and bone resorption is stimulated by factors such as parathyroid hormone-related protein, which are elaborated by the tumor and circulate systemically. Humoral hypercalcemia usually occurs in squamous cell malignancies of the lung or head and neck or in genitourinary tumors such as renal cell carcinoma or ovarian cancer. Skeletal metastases may be absent or minimal in these patients.

Extensive invasion of bone by tumor cells can also result in hypercalcemia due to local tumor products that stimulate bone resorption by osteoclasts. Tumors commonly associated with locally mediated hypercalcemia include breast cancer and multiple myeloma.

Total serum calcium levels in patients who have hypercalcemia of malignancy may not reflect the severity of hypercalcemia, since concomitant hypoalbuminemia is commonly present. Ideally, ionized calcium levels should be used to diagnose and follow hypercalcemic conditions; however, these are not commonly or rapidly available in many clinical situations. Therefore, adjustment of the total serum calcium value for differences in albumin levels (corrected serum calcium, CSC) is often used in place of measurement of ionized calcium; several nomograms are in use for this type of calculation [see Dosage and Administration (2.1)].

12.3 Pharmacokinetics

Pharmacokinetic data in patients with hypercalcemia are not available.

Distribution

Single or multiple (every 28 days) 5-minute or 15-minute infusions of 2, 4, 8 or 16 mg zoledronic acid were given to 64 patients with cancer and bone metastases. The post-infusion decline of zoledronic acid concentrations in plasma was consistent with a triphasic process showing a rapid decrease from peak concentrations at end of infusion to less than 1% of Cmax 24 hours postinfusion with population half‑lives of t1/2α 0.24 hours and t1/2β 1.87 hours for the early disposition phases of the drug. The terminal elimination phase of zoledronic acid was prolonged, with very low concentrations in plasma between Days 2 and 28 postinfusion, and a terminal elimination half-life t1/2γ of 146 hours. The area under the plasma concentration versus time curve (AUC0 to 24h) of zoledronic acid was dose proportional from 2 to 16 mg. The accumulation of zoledronic acid measured over three cycles was low, with mean AUC0 to 24h ratios for cycles 2 and 3 versus 1 of 1.13 ± 0.30 and 1.16 ± 0.36, respectively.

In vitro and ex vivo studies showed low affinity of zoledronic acid for the cellular components of human blood, with a mean blood to plasma concentration ratio of 0.59 in a concentration range of 30 ng/mL to 5000 ng/mL. In vitro, the plasma protein binding is low, with the unbound fraction ranging from 60% at 2 ng/mL to 77% at 2000 ng/mL of zoledronic acid.

Metabolism

Zoledronic acid does not inhibit human P450 enzymes in vitro. Zoledronic acid does not undergo biotransformation in vivo. In animal studies, less than 3% of the administered intravenous dose was found in the feces, with the balance either recovered in the urine or taken up by bone, indicating that the drug is eliminated intact via the kidney. Following an intravenous dose  of 20 nCi 14C-zoledronic acid in a patient with cancer and bone metastases, only a single radioactive species with chromatographic properties identical to those of parent drug was recovered in urine, which suggests that zoledronic acid is not metabolized.

Excretion

In 64 patients with cancer and bone metastases, on average (± SD) 39 ± 16% of the administered zoledronic acid dose was recovered in the urine within 24 hours, with only trace amounts of drug found in urine post-Day 2. The cumulative percent of drug excreted in the urine over 0 to 24 hours was independent of dose. The balance of drug not recovered in urine over 0 to 24 hours, representing drug presumably bound to bone, is slowly released back into the systemic circulation, giving rise to the observed prolonged low plasma concentrations. The 0 to 24 hour renal clearance of zoledronic acid was 3.7 ± 2.0 L/h.

Zoledronic acid clearance was independent of dose but dependent upon the patient’s creatinine clearance. In a study in patients with cancer and bone metastases, increasing the infusion time of a 4-mg dose of zoledronic acid from 5 minutes (n=5) to 15 minutes (n=7) resulted in a 34% decrease in the zoledronic acid concentration at the end of the infusion ([mean ± SD] 403 ± 118 ng/‌mL versus 264 ± 86 ng/mL) and a 10% increase in the total AUC (378 ± 116 ng × h/mL versus 420 ± 218 ng × h/‌mL). The difference between the AUC means was not statistically significant.

Special Populations

Pediatrics

Zoledronic acid is not indicated for use in children [see Use in Specific Populations (8.4)].

Geriatrics

The pharmacokinetics of zoledronic acid were not affected by age in patients with cancer and bone metastases who ranged in age from 38 years to 84 years.

Race

Population pharmacokinetic analyses did not indicate any differences in pharmacokinetics among Japanese and North American (Caucasian and African American) patients with cancer and bone metastases.

Hepatic Insufficiency

No clinical studies were conducted to evaluate the effect of hepatic impairment on the pharmacokinetics of zoledronic acid.

Renal Insufficiency

The pharmacokinetic studies conducted in 64 cancer patients represented typical clinical populations with normal to moderately impaired renal function. Compared to patients with normal renal function (N=37), patients with mild renal impairment (N=15) showed an average increase in plasma AUC of 15%, whereas patients with moderate renal impairment (N=11) showed an average increase in plasma AUC of 43%. Limited pharmacokinetic data are available for zoledronic acid in patients with severe renal impairment (creatinine clearance less than 30 mL/min). Based on population PK/‌PD modeling, the risk of renal deterioration appears to increase with AUC, which is doubled at a creatinine clearance of 10 mL/min. Creatinine clearance is calculated by the Cockcroft-Gault formula:

Zoledronic acid systemic clearance in individual patients can be calculated from the population clearance of zoledronic acid, CL (L/h)=6.5(CrCl/90)0.4. These formulae can be used to predict the zoledronic acid AUC in patients, where CL = Dose/‌AUC0-∞. The average AUC0 to 24 in patients with normal renal function was 0.42 mg•h/L and the calculated AUC0-∞ for a patient with creatinine clearance of 75 mL/min was 0.66 mg•h/L following a 4-mg dose of zoledronic acid. However, efficacy and safety of adjusted dosing based on these formulae have not been prospectively assessed [see Warnings and Precautions (5.3)].

7.3 Nephrotoxic Drugs

Caution is indicated when zoledronic acid is used with other potentially nephrotoxic drugs.

5.8 Hepatic Impairment

Only limited clinical data are available for use of zoledronic acid to treat hypercalcemia of malignancy in patients with hepatic insufficiency, and these data are not adequate to provide guidance on dosage selection or how to safely use zoledronic acid in these patients.

1 Indications and Usage (1 INDICATIONS AND USAGE)

Zoledronic acid injection is a bisphosphonate indicated for the treatment of:

  • Hypercalcemia of malignancy. (1.1)
  • Patients with multiple myeloma and patients with documented bone metastases from solid tumors, in conjunction with standard antineoplastic therapy. Prostate cancer should have progressed after treatment with at least one hormonal therapy. (1.2)

Limitations of use: The safety and efficacy of zoledronic acid injection has not been established for use in hyperparathyroidism or nontumor-related hypercalcemia.

Principal Display Panel (PRINCIPAL DISPLAY PANEL)

NDC 0143-9642-01  Rx only

Zoledronic Acid

Injection

4 mg per 5 mL

(0.8 mg/mL)


Sterile Concentrate

Concentrate for Intravenous Infusion

5 mL Single Dose Vial



NDC 0143-9642-01  Rx only

Zoledronic Acid

Injection

4 mg per 5 mL

(0.8 mg/mL)


NOT FOR DIRECT INJECTION 

DOSE MUST BE DILUTED

STERILE CONCENTRATE

Do not mix with calcium-containing

infusion solutions

Concentrate for 


Intravenous Infusion

One 5 mL Single Dose Vial



12.1 Mechanism of Action

The principal pharmacologic action of zoledronic acid is inhibition of bone resorption. Although the antiresorptive mechanism is not completely understood, several factors are thought to contribute to this action. In vitro, zoledronic acid inhibits osteoclastic activity and induces osteoclast apoptosis. Zoledronic acid also blocks the osteoclastic resorption of mineralized bone and cartilage through its binding to bone. Zoledronic acid inhibits the increased osteoclastic activity and skeletal calcium release induced by various stimulatory factors released by tumors.

5.5 Musculoskeletal Pain

In post marketing experience, severe and occasionally incapacitating bone, joint, and/or muscle pain has been reported in patients taking bisphosphonates including zoledronic acid. The time to onset of symptoms varied from one day to several months after starting the drug. Discontinue use if severe symptoms develop. Most patients had relief of symptoms after stopping. A subset had recurrence of symptoms when rechallenged with the same drug or another bisphosphonate [see Adverse Reactions (6.2)].

5.7 Patients With Asthma (5.7 Patients with Asthma)

While not observed in clinical trials with zoledronic acid, there have been reports of bronchoconstriction in aspirin-sensitive patients receiving bisphosphonates.

5 Warnings and Precautions (5 WARNINGS AND PRECAUTIONS)
  • Patients being treated with zoledronic acid should not be treated with Reclast®. (5.1)
  • Adequately rehydrate patients with hypercalcemia of malignancy prior to administration of zoledronic acid and monitor electrolytes during treatment. (5.2)
  • Renal toxicity may be greater in patients with renal impairment. Do not use doses greater than 4 mg. Treatment in patients with severe renal impairment is not recommended. Monitor serum creatinine before each dose. (5.3)
  • Osteonecrosis of the jaw (ONJ) has been reported. Preventive dental exams should be performed before starting zoledronic acid. Avoid invasive dental procedures. (5.4)
  • Severe incapacitating bone, joint and/or muscle pain may occur. Discontinue zoledronic acid if severe symptoms occur. (5.5
  • Atypical subtrochanteric and diaphyseal femoral fractures have been reported in patients receiving bisphosphonate therapy. These fractures may occur after minimal or no trauma. Evaluate patients with thigh or groin pain to rule out a femoral fracture. Consider drug discontinuation in patients suspected to have an atypical femur fracture. (5.6)
  • Hypocalcemia: Correct before initiating zoledronic acid. Adequately supplement patients with calcium and vitamin D. Monitor serum calcium closely with concomitant administration of other drugs known to cause hypocalcemia to avoid severe or life-threatening hypocalcemia. (5.9)

  • Zoledronic acid can cause fetal harm. Advise females of reproductive potential of

    potential risk to a fetus and to use effective contraception. (5.10, 8.1, 8.3)



5.10 Embryo Fetal Toxicity (5.10 Embryo-Fetal Toxicity)

Based on findings from animal studies and its mechanism of action, Zoledronic acid can cause fetal harm when administered to a pregnant woman. In animal reproduction studies, administration of zoledronic acid to pregnant rats during organogenesis resulted in fetal malformations and embryo-fetal lethality at maternal exposures that were greater than or equal to 2.4 times the human clinical exposure based on area under the curve (AUC). Bisphosphonates, such as Zoledronic acid, are incorporated into the bone matrix, from where they are gradually released over periods of weeks to years. There may be a risk of fetal harm (e.g., skeletal and other abnormalities) if a woman becomes pregnant after completing a course of bisphosphonate therapy. Advise pregnant women and females of reproductive potential of the potential risk to a fetus. Advise females of reproductive potential to use effective contraception during and after Zoledronic acid treatment [see Use in Specific Populations (8.1, 8.3), Clinical Pharmacology (12.1)].

2 Dosage and Administration (2 DOSAGE AND ADMINISTRATION)

Parenteral drug products should be inspected visually for particulate matter and discoloration prior to administration, whenever solution and container permit.

2.3 Preparation of Solution

Zoledronic acid must not be mixed with calcium or other divalent cation-containing infusion solutions, such as Lactated Ringer’s solution, and should be administered as a single intravenous solution in a line separate from all other drugs.

4 mg per 5 mL Single-Dose Vial

Vials of zoledronic acid concentrate for infusion contain overfill allowing for the withdrawal of 5 mL of concentrate (equivalent to 4 mg zoledronic acid). This concentrate should immediately be diluted in 100 mL of sterile 0.9% Sodium Chloride, USP, or 5% Dextrose Injection, USP, following proper aseptic technique, and administered to the patient by infusion. Do not store undiluted concentrate in a syringe, to avoid inadvertent injection.

To prepare reduced doses for patients with baseline CrCl less than or equal to 60 mL/min, withdraw the specified volume of the zoledronic acid concentrate from the vial for the dose required (see Table 3).

Table 3: Preparation of Reduced Doses - Zoledronic Acid Injection Concentrate
Remove and Use Zoledronic Acid Injection Volume (mL)   Dose (mg)

4.4

4.1

3.8

3.5

3.3

3

The withdrawn concentrate must be diluted in 100 mL of sterile 0.9% Sodium Chloride, USP, or 5% Dextrose Injection, USP.

If not used immediately after dilution with infusion media, for microbiological integrity, the solution should be refrigerated at 2° to 8°C (36° to 46°F). The refrigerated solution should then be equilibrated to room temperature prior to administration. The total time between dilution, storage in the refrigerator, and end of administration must not exceed 24 hours.

2.4 Method of Administration

Due to the risk of clinically significant deterioration in renal function, which may progress to renal failure, single doses of zoledronic acid should not exceed 4 mg and the duration of infusion should be no less than 15 minutes [see Warnings and Precautions (5.3)]. In the trials and in post marketing experience, renal deterioration, progression to renal failure and dialysis, have occurred in patients, including those treated with the approved dose of 4 mg infused over 15 minutes. There have been instances of this occurring after the initial zoledronic acid dose. 

3 Dosage Forms and Strengths (3 DOSAGE FORMS AND STRENGTHS)

Injection: 4 mg per 5 mL (0.8 mg/mL) single-dose vial of concentrate

5.4 Osteonecrosis of the Jaw

Osteonecrosis of the jaw (ONJ) has been reported predominantly in cancer patients treated with intravenous bisphosphonates, including zoledronic acid. Many of these patients were also receiving chemotherapy and corticosteroids which may be risk factors for ONJ. The risk of ONJ may increase with duration of exposure to bisphosphonates.

Post marketing experience and the literature suggest a greater frequency of reports of ONJ based on tumor type (advanced breast cancer, multiple myeloma), and dental status (dental extraction, periodontal disease, local trauma including poorly fitting dentures). Many reports of ONJ involved patients with signs of local infection including osteomyelitis.

Cancer patients should maintain good oral hygiene and should have a dental examination with preventive dentistry prior to treatment with bisphosphonates.

While on treatment, these patients should avoid invasive dental procedures if possible. For patients who develop ONJ while on bisphosphonate therapy, dental surgery may exacerbate the condition. For patients requiring dental procedures, there are no data available to suggest whether discontinuation of bisphosphonate treatment reduces the risk of ONJ. Clinical judgment of the treating physician should guide the management plan of each patient based on individual benefit/risk assessment [see Adverse Reactions (6.2)].

6.2 Postmarketing Experience

The following adverse reactions have been reported during postapproval use of zoledronic acid. Because these reports are from a population of uncertain size and are subject to confounding factors, it is not possible to reliably estimate their frequency or establish a causal relationship to drug exposure.

Osteonecrosis of the Jaw

Cases of osteonecrosis (primarily involving the jaw but also of other anatomical sites including hip, femur and external auditory canal)have been reported predominantly in cancer patients treated with intravenous bisphosphonates including zoledronic acid. Many of these patients were also receiving chemotherapy and corticosteroids which may be a risk factor for ONJ. Caution is advised when zoledronic acid is administered with anti-angiogenic drugs as an increased incidence of ONJ has been observed with concomitant use of these drugs. Data suggests a greater frequency of reports of ONJ in certain cancers, such as advanced breast cancer and multiple myeloma. The majority of the reported cases are in cancer patients following invasive dental procedures, such as tooth extraction. It is therefore prudent to avoid invasive dental procedures as recovery may be prolonged [see Warnings and Precautions (5.4)].

Acute Phase Reaction

Within three days after zoledronic acid administration, an acute phase reaction has been reported, with symptoms including pyrexia, fatigue, bone pain and/or arthralgias, myalgias, chills, influenza-like illness and arthritis with subsequent joint swelling; these symptoms usually resolve within three days of onset, but resolution could take up to 7 to 14 days. However, some of these symptoms have been reported to persist for a longer duration.

Musculoskeletal Pain

Severe and occasionally incapacitating bone, joint, and/or muscle pain has been reported with bisphosphonate use [see Warnings and Precautions (5.5)].

Atypical Subtrochanteric and Diaphyseal Femoral Fractures

Atypical subtrochanteric and diaphyseal femoral fractures have been reported with bisphosphonate therapy, including zoledronic acid [see Warnings and Precautions (5.6)].

Ocular Adverse Events

Cases of uveitis, scleritis, episcleritis, conjunctivitis, iritis, and orbital inflammation including orbital edema have been reported during post marketing use. In some cases, symptoms resolved with topical steroids.

Hypersensitivity Reactions

There have been rare reports of allergic reaction with intravenous zoledronic acid including angioedema and bronchoconstriction. Very rare cases of anaphylactic reaction/shock have been reported. Cases of Stevens-Johnson syndrome and toxic epidermal necrolysis have also been reported.

Additional adverse reactions reported in postmarketing use include:

CNS : taste disturbance, hyperesthesia, tremor; Special Senses : blurred vision; uveitis;  Gastrointestinal : dry mouth; Skin : Increased sweating; Musculoskeletal : muscle cramps; Cardiovascular : hypertension, bradycardia, hypotension (associated with syncope or circulatory collapse primarily in patients with underlying risk factors); Respiratory: bronchospasms, interstitial lung disease (ILD) with positive rechallenge; Renal : hematuria, proteinuria, acquired Fanconi Syndrome; General Disorders and Administration Site : weight increase, influenza-like illness (pyrexia, asthenia, fatigue or malaise) persisting for greater than 30 days; Laboratory Abnormalities : hyperkalemia, hypernatremia, hypocalcemia (cardiac arrhythmias and neurologic adverse events including seizures, tetany, and numbness have been reported due to severe hypocalcemia).

8 Use in Specific Populations (8 USE IN SPECIFIC POPULATIONS)
  • Lactation: Advise not to breastfeed. (8.2)
  • Females and Males of Reproductive Potential: Verify pregnancy status prior to initiation of Zoledronic acid. May impair fertility. Counsel patients on pregnancy planning and prevention. (8.3)
  • Pediatric Use: Not indicated for use in pediatric patients. (8.4)
  • Geriatric Use: Special care to monitor renal function. (8.5)
6.1 Clinical Trials Experience

 Because clinical trials are conducted under widely varying conditions, adverse reaction rates observed in the clinical trials of a drug cannot be directly compared to rates in the clinical trials of another drug and may not reflect the rates observed in practice.

Hypercalcemia of Malignancy

The safety of zoledronic acid was studied in 185 patients with hypercalcemia of malignancy (HCM) who received either zoledronic acid 4 mg given as a 5-minute intravenous infusion (n=86) or pamidronate 90 mg given as a 2-hour intravenous infusion (n=103). The population was aged 33 to 84 years, 60% male and 81% Caucasian, with breast, lung, head and neck, and renal cancer as the most common forms of malignancy. NOTE: pamidronate 90 mg was given as a 2-hour intravenous infusion. The relative safety of pamidronate 90 mg given as a 2-hour intravenous infusion compared to the same dose given as a 24-hour intravenous infusion has not been adequately studied in controlled clinical trials.

Renal Toxicity

Administration of zoledronic acid 4 mg given as a 5-minute intravenous infusion has been shown to result in an increased risk of renal toxicity, as measured by increases in serum creatinine, which can progress to renal failure. The incidence of renal toxicity and renal failure has been shown to be reduced when zoledronic acid 4 mg is given as a 15-minute intravenous infusion. Zoledronic acid should be administered by intravenous infusion over no less than 15 minutes [see Warnings and Precautions (5.3), Dosage and Administration (2.4)].

The most frequently observed adverse events were fever, nausea, constipation, anemia, and dyspnea (see Table 4).

Table 4 provides adverse events that were reported by 10% or more of the 189 patients treated with zoledronic acid 4 mg or pamidronate 90 mg from the two HCM trials. Adverse events are listed regardless of presumed causality to study drug.

Table 4: Percentage of Patients with Adverse Events ≥10% Reported in Hypercalcemia of Malignancy Clinical Trials by Body System
 

Zoledronic Acid Injection

4 mg

n (%) 

 Pamidronate

90 mg

n (%)

Patients Studied     

 Total No. of Patients Studied

 Total No. of Patients with any AE

86

81

(100)

(94)

103

95

(100)

(92) 

Body as a Whole    

 Fever

 Progression of Cancer

38

14

(44)

(16)

 34

21

(33)

(20)

Cardiovascular     
 Hypotension  9 (11)   2 (2)
Digestive    

 Nausea

 Constipation

 Diarrhea

 Abdominal Pain

 Vomitting

 Anorexia

25

23

15

14

12

8

(29)

(27)

(17)

(16)

(14)

(9) 

28

13

17

13

17

14

(27)

(13)

(17)

(13)

(17)

(14)

Hemic and Lymphatic System    
 Anemia  19 (22) 18  (18) 
Infections     
 Moniliasis  10 (12) 4  (4)
Laboratory Abnormalities     

 Hypophosphatemia

 Hypokalemia

 Hypomagnesemia

11

10

9

(13)

(12)

(11)

2

16

5

(2)

(16)

(5)

Musculoskeletal     
 Skeletal Pain 10 (12) 10 (10)
Nervous     

 Insomnia

 Anxiety

 Confusion

 Agitation

13

12

11

11

(15)

(14)

(13)

(13)

10

8

13

8

(10)

(8)

(13)

(8)

Respiratory     

 Dyspnea

 Coughing

19

10

(22)

(12)

 20

12

(19)

(12)

Urogenital    
 Urinary Tract Infection  12 (14) 15 (15)

The following adverse events from the two controlled multicenter HCM trials (n=189) were reported by a greater percentage of patients treated with zoledronic acid 4 mg than with pamidronate 90 mg and occurred with a frequency of greater than or equal to 5% but less than 10%. Adverse events are listed regardless of presumed causality to study drug: asthenia, chest pain, leg edema, mucositis, dysphagia, granulocytopenia, thrombocytopenia, pancytopenia, nonspecific infection, hypocalcemia, dehydration, arthralgias, headache and somnolence.

Rare cases of rash, pruritus, and chest pain have been reported following treatment with zoledronic acid.

Acute Phase Reaction

Within three days after zoledronic acid administration, an acute phase reaction has been reported in patients, with symptoms including pyrexia, fatigue, bone pain and/or arthralgias, myalgias, chills, and influenza-like illness. These symptoms usually resolve within a few days. Pyrexia has been the most commonly associated symptom, occurring in 44% of patients.

Mineral and Electrolyte Abnormalities

Electrolyte abnormalities, most commonly hypocalcemia, hypophosphatemia and hypomagnesemia, can occur with bisphosphonate use.

Grade 3 and Grade 4 laboratory abnormalities for serum creatinine, serum calcium, serum phosphorus, and serum magnesium observed in two clinical trials of zoledronic acid in patients with HCM are shown in Table 5 and 6.

Table 5: Grade 3 Laboratory Abnormalities for Serum Creatinine, Serum Calcium, Serum Phosphorus, and Serum Magnesium in Two Clinical Trials in Patients with HCM
Grade 3
 Laboratory Parameter

 Zoledronic Acid Injection

4 mg

Pamidronate

90 mg

   n/N  (%)  n/N  (%)

Serum Creatinine 1

Hypocalcemia 2

Hypophosphatemia 3

Hypomagnesemia 4

2/86

1/86

36/70

0/71

 (2%)

(1%)

(51%)

3/100

2/100

27/81

0/84

 (3%)

(2%)

(33%)

1 Grade 3 (greater than 3x Upper Limit of Normal); Grade 4 (greater than 6x Upper Limit of Normal)

2 Grade 3 (less than 7 mg/dL); Grade 4 (less than 6 mg/dL)

3 Grade 3 (less than 2 mg/dL); Grade 4 (less than 1 mg/dL)

4 Grade 3 (less than 0.8 mEq/L); Grade 4 (less than 0.5 mEq/L)

Table 6: Grade 4 Laboratory Abnormalities for Serum Creatinine, Serum Calcium, Serum Phosphorus,

and Serum Magnesium in Two Clinical Trials in Patients with HCM

 
 Grade 4
 Laboratory Parameter

 Zoledronic Acid Injection

4 mg

 Pamidronate

90 mg

   n/N (%)   n/N  (%)

Serum Creatinine 1

Hypocalcemia 2

Hypophosphatemia 3

Hypomagnesemia 4

0/86

0/86

1/70

0/71





(1%)

 1/100

0/100

4/81

1/84

 (1%)



(5%)

(1%)

1 Grade 3 (greater than 3x Upper Limit of Normal); Grade 4 (greater than 6x Upper Limit of Normal)

2 Grade 3 (less than 7 mg/dL); Grade 4 (less than 6 mg/dL)

3 Grade 3 (less than 2 mg/dL); Grade 4 (less than 1 mg/dL)

4 Grade 3 (less than 0.8 mEq/L); Grade 4 (less than 0.5 mEq/L)

Injection Site Reactions

Local reactions at the infusion site, such as redness or swelling, were observed infrequently. In most cases, no specific treatment is required and the symptoms subside after 24 to 48 hours.

Ocular Adverse Events

Ocular inflammation such as uveitis and scleritis can occur with bisphosphonate use, including zoledronic acid. No cases of iritis, scleritis, or uveitis were reported during these clinical trials. However, cases have been seen in post-marketing use [see Adverse Reactions (6.2)].

Multiple Myeloma and Bone Metastases of Solid Tumors

The safety analysis includes patients treated in the core and extension phases of the trials. The analysis includes the 2042 patients treated with zoledronic acid 4 mg, pamidronate 90 mg, or placebo in the three controlled multicenter bone metastases trials, including 969 patients completing the efficacy phase of the trial, and 619 patients that continued in the safety extension phase. Only 347 patients completed the extension phases and were followed for 2 years (or 21 months for the other solid tumor patients). The median duration of exposure for safety analysis for zoledronic acid 4 mg (core plus extension phases) was 12.8 months for breast cancer and multiple myeloma, 10.8 months for prostate cancer, and 4 months for other solid tumors.

Table 7 describes adverse events that were reported by 10% or more of patients. Adverse events are listed regardless of presumed causality to study drug.

Table 7: Percentage of Patients with Adverse Events ≥ 10% Reported in Three Bone Metastases Clinical Trials by Body System
 

Zoledronic Acid Injection

4 mg

Pamidronate

90 mg

Placebo
  n (%) n (%) n (%)
Patients Studied  
 Total No. of Patients

 Total No. of Patients with any AE
1031

1015
(100)

(98)
556

548
(100)

(99)
455

445
(100)

(98)
Blood and Lymphatic  

 Anemia

 Neutropenia

 Thrombocytopenia

344

124

102
(33)

(12)

(10)
175

83

53
(32)

(15)

(10)
128

35

20
(28)

(8)

(4)
Gastrointestinal  
 Nausea

 Vomiting

 Constipation

 Diarrhea

 Abdominal Pain

 Dyspepsia

 Stomatitis

 Sore Throat
476

333

320

249

143

105

86

82
(46)

(32)

(31)

(24)

(14)

(10)

(8)

(8)
266

183

162

162

81

74

65

61
(48)

(33)

(29)

(29)

(15)

(13)

(12)

(11)
171

122

174

83

48

31

14

17
(38)

(27)

(38)

(18)

(11)

(7)

(3)

(4)
General Disorders and Administration Site  
 Fatigue

 Pyrexia

 Weakness

 Edema Lower Limb

 Rigors
398

328

252

215

112
(39)

(32)

(24)

(21)

(11)
240

172

108

126

62
(43)

(31)

(19)

(23)

(11)
130

89

114

84

28
(29)

(20)

(25)

(19)

(6)
Infections  
Urinary Tract Infection

Upper Respiratory Tract Infection
124

101
(12)

(10)
50

82
(9)

(15)
41

30
(9)

(7)
Metabolism  
Anorexia

Weight Decreased

Dehydration

Appetite Decreased
231

164

145

130
(22)

(16)

(14)

(13)
81

50

60

48
(15)

(9)

(11)

(9)
105

61

59

45
(23)

(13)

(13)

(10)
Musculoskeletal  
Bone Pain

Myalgia

Arthralgia

Back Pain

Pain in Limb
569

239

216

156

143

(55)

(23)

(21)

(15)

(14) 

316

143

131

106

84
(57)

(26)

(24)

(19)

(15)
284

74

73

40

52
(62)

(16)

(16)

(9)

(11)
Neoplasms  
 Malignant Neoplasm Aggravated  205  (20)  97  (17)  89  (20)
Nervous  
 Headache

 Dizziness (excluding vertigo)

 Insomnia

 Paresthesia

 Hypoesthesia
191

180

166

149

127
(19)

(18)

(16)

(15)

(12)
149

91

111

85

65
(27)

(16)

(20)

(15)

(12)
50

58

73

35

43
(11)

(13)

(16)

(8)

(10)
Psychiatric  
 Depression

 Anxiety

 Confusion
146

112

74
(14)

(11)

(7)
95

73

39

(17)

(13)

(7) 

49

37

47
(11)

(8)

(10)
Respiratory  
 Dyspnea

 Cough
282

224
(27)

(22)
155

129
(28)

(23)
107

65
(24)

(14)
Skin  
Alopecia

Dermatitis
125

114
(12)

(11)
80

74
(14)

(13)
36

38
(8)

(8)

Grade 3 and Grade 4 laboratory abnormalities for serum creatinine, serum calcium, serum phosphorus, and serum magnesium observed in three clinical trials of zoledronic acid in patients with bone metastases are shown in Tables 8 and 9.

Table 8: Grade 3 Laboratory Abnormalities for Serum Creatinine, Serum Calcium, Serum Phosphorus, and Serum Magnesium in Three Clinical Trials in Patients with Bone Metastases
Grade 3
Laboratory Parameter

Zoledronic Acid Injection

4 mg

Pamidronate 90 mg Placebo
  n/N (%) n/N (%)  n/N (%) 
Serum Creatinine1*

Hypocalcemia2

Hypophosphatemia3

Hypermagnesemia4

Hypomagnesemia5
7/529

6/973

115/973

19/971

1/971
(1%)

(<1%)

(12%)

(2%)

(<1%)
4/268

4/536

38/537

2/535

0/535
(2%)

(<1%)

(7%)

(<1%)

4/241

0/415

14/415

8/415

1/415
(2%)



(3%)

(2%)

(<1%)

1 Grade 3 (greater than 3x Upper Limit of Normal); Grade 4 (greater than 6x Upper Limit of Normal)

* Serum creatinine data for all patients randomized after the 15-minute infusion amendment

2 Grade 3 (less than 7 mg/dL); Grade 4 (less than 6 mg/dL)

3 Grade 3 (less than 2 mg/dL); Grade 4 (less than 1 mg/dL)

4 Grade 3 (greater than 3 mEq/L); Grade 4 (greater than 8 mEq/L)

5 Grade 3 (less than 0.9 mEq/L); Grade 4 (less than 0.7 mEq/L)

Table 9: Grade 4 Laboratory Abnormalities for Serum Creatinine, Serum Calcium, Serum Phosphorus, and Serum Magnesium in Three Clinical Trials in Patients with Bone Metastases
Grade 4
Laboratory Parameter

Zoledronic Acid Injection

4 mg

Pamidronate 90 mg Placebo
  n/N (%) n/N (%)  n/N (%) 
Serum Creatinine1*

Hypocalcemia2

Hypophosphatemia3

Hypermagnesemia4

Hypomagnesemia5

2/529

7/973

5/973

0/971

2/971

(<1%)

(<1%)

(<1%)



(<1%)

1/268

3/536

0/537

0/535

1/535

(<1%)

(<1%)





(<1%)

0/241

2/415

1/415

2/415

0/415



(<1%)

(<1%)

(<1%)

1 Grade 3 (greater than 3x Upper Limit of Normal); Grade 4 (greater than 6x Upper Limit of Normal)

* Serum creatinine data for all patients randomized after the 15-minute infusion amendment

2 Grade 3 (less than 7 mg/dL); Grade 4 (less than 6 mg/dL)

3 Grade 3 (less than 2 mg/dL); Grade 4 (less than 1 mg/dL)

4 Grade 3 (greater than 3 mEq/L); Grade 4 (greater than 8 mEq/L)

5 Grade 3 (less than 0.9 mEq/L); Grade 4 (less than 0.7 mEq/L)

Among the less frequently occurring adverse events (less than 15% of patients), rigors, hypokalemia, influenza-like illness, and hypocalcemia showed a trend for more events with bisphosphonate administration (zoledronic acid 4 mg and pamidronate groups) compared to the placebo group.

Less common adverse events reported more often with zoledronic acid 4 mg than pamidronate included decreased weight, which was reported in 16% of patients in the zoledronic acid 4 mg group compared with 9% in the pamidronate group. Decreased appetite was reported in slightly more patients in the zoledronic acid 4 mg group (13%) compared with the pamidronate (9%) and placebo (10%) groups, but the clinical significance of these small differences is not clear.

Renal Toxicity

In the bone metastases trials, renal deterioration was defined as an increase of 0.5 mg/dL for patients with normal baseline creatinine (less than 1.4 mg/dL) or an increase of 1 mg/dL for patients with an abnormal baseline creatinine (greater than or equal to 1.4 mg/dL). The following are data on the incidence of renal deterioration in patients receiving zoledronic acid 4 mg over 15 minutes in these trials (see Table 10).

Table 10: Percentage of Patients with Treatment Emergent Renal Function Deterioration by Baseline Serum Creatinine*
Patient Population/Baseline Creatinine
 Multiple Myeloma and Breast Cancer

Zoledronic Acid Injection

4 mg

Pamidronate

90 mg

  n/N  (%) n/N   (%)

Normal

Abnormal

Total

27/246

2/26

29/272

(11%)

(8%)

(11%) 

23/246

2/22

25/268 

(9%)

(9%)

(9%)
Solid Tumors Zoledronic Acid Injection

4 mg

Placebo

  n/N  (%)  n/N   (%)
Normal

Abnormal

Total

17/154

1/11

18/165 

(11%)

(9%)

(11%)
10/143

1/20

11/163
(7%)

(5%)

(7%)
Prostate Cancer  Zoledronic Acid Injection

4 mg
Placebo
  n/N   (%)  n/N  (%)
Normal

Abnormal

Total

12/82

4/10

16/92 

(15%)

(40%)

(17%) 

8/68

2/10

10/78

(12%)

(20%)

(13%) 

 * Table includes only patients who were randomized to the trial after a protocol amendment that lengthened the infusion duration of zoledronic acid to 15 minutes.

The risk of deterioration in renal function appeared to be related to time on study, whether patients were receiving zoledronic acid (4 mg over 15 minutes), placebo, or pamidronate.

In the trials and in post marketing experience, renal deterioration, progression to renal failure, and dialysis have occurred in patients with normal and abnormal baseline renal function, including patients treated with 4 mg infused over a 15-minute period. There have been instances of this occurring after the initial zoledronic acid dose.

1.1 Hypercalcemia of Malignancy

Zoledronic acid injection is indicated for the treatment of hypercalcemia of malignancy defined as an albumin‑corrected calcium (cCa) of greater than or equal to 12 mg/dL [3 mmol/L] using the formula: cCa in mg/dL=Ca in mg/dL + 0.8 (4 g/dL - patient albumin [g/dL]).

2.1 Hypercalcemia of Malignancy

The maximum recommended dose of zoledronic acid in hypercalcemia of malignancy (albumin‑corrected serum calcium greater than or equal to 12 mg/dL [3 mmol/L]) is 4 mg. The 4 mg dose must be given as a single-dose intravenous infusion over no less than 15 minutes. Patients who receive zoledronic acid should have serum creatinine assessed prior to each treatment.

Dose adjustments of zoledronic acid are not necessary in treating patients for hypercalcemia of malignancy presenting with mild-to-moderate renal impairment prior to initiation of therapy (serum creatinine less than 400 μmol/L or less than 4.5 mg/dL).

Patients should be adequately rehydrated prior to administration of zoledronic acid [see Warnings and Precautions (5.2)].

Consideration should be given to the severity of, as well as the symptoms of, tumor‑induced hypercalcemia when considering use of zoledronic acid. Vigorous saline hydration, an integral part of hypercalcemia therapy, should be initiated promptly and an attempt should be made to restore the urine output to about 2 L/day throughout treatment. Mild or asymptomatic hypercalcemia may be treated with conservative measures (i.e., saline hydration, with or without loop diuretics). Patients should be hydrated adequately throughout the treatment, but overhydration, especially in those patients who have cardiac failure, must be avoided. Diuretic therapy should not be employed prior to correction of hypovolemia.

Retreatment with zoledronic acid 4 mg may be considered if serum calcium does not return to normal or remain normal after initial treatment. It is recommended that a minimum of 7 days elapse before retreatment, to allow for full response to the initial dose. Renal function must be carefully monitored in all patients receiving zoledronic acid and serum creatinine must be assessed prior to retreatment with zoledronic acid [see Warnings and Precautions (5.2)].

14.1 Hypercalcemia of Malignancy

Two identical multicenter, randomized, double-blind, double-dummy studies of zoledronic acid 4 mg given as a 5-minute intravenous infusion or pamidronate 90 mg given as a 2-hour intravenous infusion were conducted in 185 patients with hypercalcemia of malignancy (HCM). NOTE: Administration of zoledronic acid 4 mg given as a 5-minute intravenous infusion has been shown to result in an increased risk of renal toxicity, as measured by increases in serum creatinine, which can progress to renal failure. The incidence of renal toxicity and renal failure has been shown to be reduced when zoledronic acid 4 mg is given as a 15-minute intravenous infusion. Zoledronic acid should be administered by intravenous infusion over no less than 15 minutes [see Warnings and Precautions ( 5.1 5.2 ) and Dosage and Administration (2.4)]. The treatment groups in the clinical studies were generally well balanced with regards to age, sex, race, and tumor types. The mean age of the study population was 59 years; 81% were Caucasian, 15% were Black, and 4% were of other races. Sixty percent (60%) of the patients were male. The most common tumor types were lung, breast, head and neck, and renal.

In these studies, HCM was defined as a corrected serum calcium (CSC) concentration of greater than or equal to 12 mg/‌dL (3.00 mmol/L). The primary efficacy variable was the proportion of patients having a complete response, defined as the lowering of the CSC to less than or equal to 10.8 mg/dL (2.70 mmol/L) within 10 days after drug infusion.

To assess the effects of zoledronic acid versus those of pamidronate, the two multi-center HCM studies were combined in a preplanned analysis. The results of the primary analysis revealed that the proportion of patients that had normalization of corrected serum calcium by Day 10 were 88% and 70% for zoledronic acid 4 mg and pamidronate 90 mg, respectively (P=0.002) (see Figure 1). In these studies, no additional benefit was seen for zoledronic acid 8 mg over zoledronic acid 4 mg; however, the risk of renal toxicity of zoledronic acid 8 mg was significantly greater than that seen with zoledronic acid 4 mg.

Secondary efficacy variables from the pooled HCM studies included the proportion of patients who had normalization of corrected serum calcium (CSC) by Day 4; the proportion of patients who had normalization of CSC by Day 7; time to relapse of HCM; and duration of complete response. Time to relapse of HCM was defined as the duration (in days) of normalization of serum calcium from study drug infusion until the last CSC value less than 11.6 mg/dL (less than 2.90 mmol/L). Patients who did not have a complete response were assigned a time to relapse of 0 days. Duration of complete response was defined as the duration (in days) from the occurrence of a complete response until the last CSC ≤ 10.8 mg/dL (2.70 mmol/L). The results of these secondary analyses for zoledronic acid 4 mg and pamidronate 90 mg are shown in Table 11.

Table 11: Secondary Efficacy Variables in Pooled HCM Studies
   

Zoledronic Acid Injection

4 mg

 

Pamidronate

90 mg

Complete Response  N Response Rate   N Response Rate 

By Day 4

By Day 7

86

86

45.3%

82.6%*

99

99

33.3%

63.6%

Duration of Response N 

Median Duration

(Days) 

N

Median Duration

(Days) 

Time to Relapse

Duration of Complete Response 

86

76

30*

32

99

69

17

18

 * P less than 0.05 versus pamidronate 90 mg.
17 Patient Counseling Information (17 PATIENT COUNSELING INFORMATION)

Drugs with Same Active Ingredient or in the Same Drug Class

• Inform patients not to take Reclast or other bisphosphonates during the course of their zoledronic acid therapy [see Warnings and Precautions (5.1)].

Renal Impairment

• Instruct patients to tell their doctor if they have kidney problems before being given zoledronic acid.

• Inform patients of the importance of getting their blood tests (serum creatinine) during the course of their zoledronic acid therapy [see Warnings and Precautions (5.3)].

Osteonecrosis of the Jaw (ONJ)

• Advise patients to have a dental examination prior to treatment with zoledronic acid and to avoid invasive dental procedures during treatment.

• Inform patients of the importance of good dental hygiene, routine dental care, and regular dental check-ups.

• Advise patients to immediately tell their doctor about any oral symptoms such as loosening of a tooth, pain, swelling, or non-healing of sores or discharge during treatment with zoledronic acid [see Warnings and Precautions (5.4)].

Musculoskeletal Pain

• Advise patients to immediately tell their doctor about any severe bone, joint, and/or muscle pain [see Warnings and Precautions (5.5)].

Atypical subtrochanteric and diaphyseal femoral fracture

• Advise patients to report any thigh, hip, or groin pain. It is unknown whether the risk of atypical femur fracture continues after stopping therapy [see Warnings and Precautions (5.6)].

Patients with Asthma

• There have been reports of bronchoconstriction in aspirin-sensitive patients receiving bisphosphonates, including zoledronic acid. Before being given zoledronic acid, instruct patients to tell their doctor if they are aspirin-sensitive [see Warnings and Precautions (5.7)]

Hypocalcemia

• Advise patients with multiple myeloma and bone metastasis of solid tumors to take an oral calcium supplement of 500 mg and a multiple vitamin containing 400 international units of vitamin D daily [see Warnings and Precautions (5.9)].

Embryo-Fetal Toxicity

• Zoledronic acid should not be given if the patient is pregnant or plans to become pregnant. Inform female patients of the risk to a fetus and potential loss of the pregnancy [see Warnings and Precautions (5.10)].

• Advise females of reproductive potential to use effective contraception during and after treatment with Zoledronic acid [see Warnings and Precautions (5.10), Use in Specific Populations  (8.1, 8.3)]."



Lactation

•  Advise lactating women not to breastfeed during and after treatment with Zoledronic acid [see Use in Specific Populations  (8.2)].

Common Adverse Reactions

• Advise patients that the most common side effects of Zoledronic acid are nausea, fatigue, anemia, bone pain, constipation, fever, vomiting, and dyspnea.

Reclast® is a registered trademark of Novartis Pharmaceutical Corporation.

Manufactured by: HIKMA FARMACÊUTICA (PORTUGAL), S.A.

Estrada do Rio da Mó, 8, 8A e 8B – Fervença – 2705-906 Terrugem SNT, PORTUGAL

Distributed by:

Hikma Pharmaceuticals USA Inc.

Berkeley Heights, NJ 07922

Revised: January 2021

PIN307-WES/9

7.1 Aminoglycosides and Calcitonin

Caution is advised when bisphosphonates are administered with aminoglycosides or calcitonin, since these agents may have an additive effect to lower serum calcium level for prolonged periods. This effect has not been reported in zoledronic acid clinical trials.

16 How Supplied/storage and Handling (16 HOW SUPPLIED/STORAGE AND HANDLING)

Zoledronic acid injection, 4 mg per 5 mL  single-dose vial of concentrate

Carton of 1 vial………………..NDC 0143-9642-01

Store at 25°C (77°F); excursions permitted to 15º to 30°C (59º to 86°F) [see USP Controlled Room Temperature].

5.2 Hydration and Electrolyte Monitoring

Patients with hypercalcemia of malignancy must be adequately rehydrated prior to administration of zoledronic acid. Loop diuretics should not be used until the patient is adequately rehydrated and should be used with caution in combination with zoledronic acid in order to avoid hypocalcemia. Zoledronic acid should be used with caution with other nephrotoxic drugs.

Standard hypercalcemia-related metabolic parameters, such as serum levels of calcium, phosphate, and magnesium, as well as serum creatinine, should be carefully monitored following initiation of therapy with zoledronic acid. If hypocalcemia, hypophosphatemia, or hypomagnesemia occur, short‑term supplemental therapy may be necessary.

8.3 Females and Males of Reproductive Potential

Pregnancy Testing

Verify pregnancy status of females of reproductive potential prior to initiation of Zoledronic acid.

Contraception

Females

Zoledronic acid can cause fetal harm when administered to a pregnant woman [see Use in Specific Populations (8.1) ]. Zoledronic acid binds to bone long term and may be released over periods of weeks to years. Advise females of reproductive potential to use effective contraception during and after Zoledronic acid treatment.

Infertility

Females

Based on animal studies, Zoledronic acid may impair fertility in females of reproductive potential [see Nonclinical Toxicology  (13) ].

1.2 Multiple Myeloma and Bone Metastases of Solid Tumors

Zoledronic acid injection is indicated for the treatment of patients with multiple myeloma and patients with documented bone metastases from solid tumors, in conjunction with standard antineoplastic therapy. Prostate cancer should have progressed after treatment with at least one hormonal therapy.

Limitations of Use

The safety and efficacy of zoledronic acid injection in the treatment of hypercalcemia associated with hyperparathyroidism or with other nontumor-related conditions have not been established.

2.2 Multiple Myeloma and Bone Metastases of Solid Tumors

The recommended dose of zoledronic acid in patients with multiple myeloma and metastatic bone lesions from solid tumors for patients with creatinine clearance (CrCl) greater than 60 mL/min is 4 mg infused over no less than 15 minutes every 3 to 4 weeks. The optimal duration of therapy is not known.

Upon treatment initiation, the recommended zoledronic acid doses for patients with reduced renal function (mild and moderate renal impairment) are listed in Table 1. These doses are calculated to achieve the same area under the curve (AUC) as that achieved in patients with creatinine clearance of 75 mL/min. CrCl is calculated using the Cockcroft-Gault formula [see Warnings and Precautions (5.2)].

Table 1: Reduced Doses for Patients with Baseline CrCl Less than or Equal to 60 mL/min
Baseline Creatinine Clearance (mL/min)   Zoledronic Acid Injection Recommended Dose*

 greater than 60

50 to 60

40 to 49

30 to 39

4 mg

3.5 mg

3.3 mg

3 mg

 * Doses calculated assuming target AUC of 0.66 (mg•hr/L) (CrCl = 75 mL/min)

During treatment, serum creatinine should be measured before each zoledronic acid dose and treatment should be withheld for renal deterioration. In the clinical studies, renal deterioration was defined as follows:

   For patients with normal baseline creatinine, increase of 0.5 mg/dL

   For patients with abnormal baseline creatinine, increase of 1 mg/dL

In the clinical studies, zoledronic acid treatment was resumed only when the creatinine returned to within 10% of the baseline value. Zoledronic acid should be reinitiated at the same dose as that prior to treatment interruption.

Patients should also be administered an oral calcium supplement of 500 mg and a multiple vitamin containing 400 international units of vitamin D daily.

13.1 Carcinogenesis, Mutagenesis, Impairment of Fertility

Standard lifetime carcinogenicity bioassays were conducted in mice and rats. Mice were given oral doses of zoledronic acid of 0.1, 0.5, or 2 mg/kg/day. There was an increased incidence of Harderian gland adenomas in males and females in all treatment groups (at doses greater than or equal to 0.002 times a human intravenous dose of 4 mg, based on a comparison of relative body surface areas). Rats were given oral doses of zoledronic acid of 0.1, 0.5, or 2 mg/kg/day. No increased incidence of tumors was observed (at doses less than or equal to 0.2 times the human intravenous dose of 4 mg, based on a comparison of relative body surface areas).

Zoledronic acid was not genotoxic in the Ames bacterial mutagenicity assay, in the Chinese hamster ovary cell assay, or in the Chinese hamster gene mutation assay, with or without metabolic activation. Zoledronic acid was not genotoxic in the in vivo rat micronucleus assay.

Female rats were given subcutaneous doses of zoledronic acid of 0.01, 0.03, or 0.1 mg/kg/day beginning 15 days before mating and continuing through gestation. Effects observed in the high-dose group (with systemic exposure of 1.2 times the human systemic exposure following an intravenous dose of 4 mg, based on AUC comparison) included inhibition of ovulation and a decrease in the number of pregnant rats. Effects observed in both the mid-dose group (with systemic exposure of 0.2 times the human systemic exposure following an intravenous dose of 4 mg, based on an AUC comparison) and high-dose group included an increase in preimplantation losses and a decrease in the number of implantations and live fetuses.

5.6 Atypical Subtrochanteric and Diaphyseal Femoral Fractures

Atypical subtrochanteric and diaphyseal femoral fractures have been reported in patients receiving bisphosphonate therapy, including zoledronic acid. These fractures can occur anywhere in the femoral shaft from just below the lesser trochanter to just above the supracondylar flare and are transverse or short oblique in orientation without evidence of comminution. These fractures occur after minimal or no trauma. Patients may experience thigh or groin pain weeks to months before presenting with a completed femoral fracture. Fractures are often bilateral; therefore the contralateral femur should be examined in bisphosphonate-treated patients who have sustained a femoral shaft fracture. Poor healing of these fractures has also been reported. A number of case reports noted that patients were also receiving treatment with glucocorticoids (such as prednisone or dexamethasone) at the time of fracture. Causality with bisphosphonate therapy has not been established.

Any patient with a history of bisphosphonate exposure who presents with thigh or groin pain in the absence of trauma should be suspected of having an atypical fracture and should be evaluated. Discontinuation of zoledronic acid therapy in patients suspected to have an atypical femur fracture should be considered pending evaluation of the patient, based on an individual benefit risk assessment. It is unknown whether the risk of atypical femur fracture continues after stopping therapy.

5.1 Drugs with Same Active Ingredient Or in the Same Drug Class (5.1 Drugs with Same Active Ingredient or in the Same Drug Class)

Zoledronic acid contains the same active ingredient as found in Reclast® (zoledronic acid). Patients being treated with zoledronic acid should not be treated with Reclast or other bisphosphonates.

14.2 Clinical Trials in Multiple Myeloma and Bone Metastases of Solid Tumors

Table 12 describes an overview of the efficacy population in three randomized zoledronic acid trials in patients with multiple myeloma and bone metastases of solid tumors. These trials included a pamidronate-controlled study in breast cancer and multiple myeloma, a placebo-controlled study in prostate cancer, and a placebo-controlled study in other solid tumors. The prostate cancer study required documentation of previous bone metastases and 3 consecutive rising PSAs while on hormonal therapy. The other placebo-controlled solid tumor study included patients with bone metastases from malignancies other than breast cancer and prostate cancer, including NSCLC, renal cell cancer, small cell lung cancer, colorectal cancer, bladder cancer, GI/genitourinary cancer, head and neck cancer, and others. These trials were comprised of a core phase and an extension phase. In the solid tumor, breast cancer and multiple myeloma trials, only the core phase was evaluated for efficacy as a high percentage of patients did not choose to participate in the extension phase. In the prostate cancer trials, both the core and extension phases were evaluated for efficacy showing the zoledronic acid effect during the first 15 months was maintained without decrement or improvement for another 9 months. The design of these clinical trials does not permit assessment of whether more than one-year administration of zoledronic acid is beneficial. The optimal duration of zoledronic acid administration is not known.

The studies were amended twice because of renal toxicity. The zoledronic acid infusion duration was increased from 5 minutes to 15 minutes. After all patients had been accrued, but while dosing and follow-up continued, patients in the 8 mg zoledronic acid treatment arm were switched to 4 mg due to toxicity. Patients who were randomized to the zoledronic acid 8 mg group are not included in these analyses.

Table 12: Overview of Efficacy Population for Phase III Studies
Patient Population   No. of Patients

 Zoledronic Acid

Injection Dose

Control 

 Median Duration

(Planned Duration)

Zoledronic Acid Injection

4 mg

Multiple myeloma or metastatic breast cancer 1,648 

4 and 8* mg

Q3-4 weeks 

Pamidronate 90 mg

Q3-4 weeks 

12 months

(13 months) 

Metastatic prostate cancer 643  4 and 8* mg

Q3 weeks
Placebo 

10.5 months

(15 months) 

Metastatic solid tumor other than breast or prostate cancer 773  4 and 8* mg Q3 weeks  Placebo

 3.8 months

(9 months)

 * Patients who were randomized to the 8 mg zoledronic acid group are not included in any of the analyses in this package insert.

Each study evaluated skeletal-related events (SREs), defined as any of the following: pathologic fracture, radiation therapy to bone, surgery to bone, or spinal cord compression. Change in antineoplastic therapy due to increased pain was a SRE in the prostate cancer study only. Planned analyses included the proportion of patients with a SRE during the study and time to the first SRE. Results for the two zoledronic acid placebo-controlled studies are given in Table 13.

Table 13: Zoledronic Acid Injection Compared to Placebo in Patients with Bone Metastases from Prostate Cancer or Other Solid Tumors
   I. Analysis of Proportion of Patients with a SRE1  II. Analysis of Time to the First SRE
Study Study Arm & Patient Number Proportion Difference2 & 95% CI P-value Median (Days) Hazard Ratio3 & 95% CI P-value
Prostate Cancer Zoledronic Acid

Injection 4 mg

(n=214)

Placebo

(n=208)

33%

44%

-11%

(-20%, -1%)

0.02

 Not Reached

321

0.67

(0.49, 0.91) 

0.011
Solid Tumors

Zoledronic Acid

Injection 4 mg

(n=257)

Placebo

(n=250)

38%

44%

-7%

(-15%, 2%) 

0.13

230

163 

0.73

(0.55, 0.96) 

0.023

1 SRE = Skeletal-Related Event

2 Difference for the proportion of patients with a SRE of zoledronic acid 4 mg versus placebo.

3 Hazard ratio for the first occurrence of a SRE of zoledronic acid 4 mg versus placebo.

In the breast cancer and myeloma trial, efficacy was determined by a noninferiority analysis comparing zoledronic acid to pamidronate 90 mg for the proportion of patients with a SRE. This analysis required an estimation of pamidronate efficacy. Historical data from 1,128 patients in three pamidronate placebo-controlled trials demonstrated that pamidronate decreased the proportion of patients with a SRE by 13.1% (95% CI = 7.3%, 18.9%). Results of the comparison of treatment with zoledronic acid compared to pamidronate are given in Table 14.

Table 14: Zoledronic Acid Injection Compared to Pamidronate in Patients with Multiple Myeloma or Bone Metastases from Breast Cancer
   I. Analysis of Proportion of Patients with a SRE1  II. Analysis of Time to the First SRE
Study  Study Arm &

Patient Number
 
Proportion  Difference2

& 95% Cl
 
P-value

Median

(Days) 

 Hazard Ratio3 & 95% Cl P-value 
Multiple Myeloma

& Breast Cancer

Zoledronic Acid Injection 4 mg

(n=561)

Pamidronate

(n=555)

44%

46%

-2%

(-7.9%, 3.7%)

 0.46

373

363

0.92

(0.77,109) 

0.32

1 SRE = Skeletal-Related Event

2 Difference for the proportion of patients with a SRE of zoledronic acid injection 4 mg versus pamidronate 90 mg.

3 Hazard ratio for the first occurrence of a SRE of zoledronic acid injection 4 mg versus pamidronate 90 mg.


Advanced Ingredient Data


Raw Label Data

All Sections (JSON)