These Highlights Do Not Include All The Information Needed To Use Cosentyx Safely And Effectively. See Full Prescribing Information For Cosentyx.

These Highlights Do Not Include All The Information Needed To Use Cosentyx Safely And Effectively. See Full Prescribing Information For Cosentyx.
SPL v27
SPL
SPL Set ID 77c4b13e-7df3-42d4-81db-3d0cddb7f67a
Routes
SUBCUTANEOUS INTRAVENOUS
Published
Effective Date 2023-10-06
Document Type 34391-3 HUMAN PRESCRIPTION DRUG LABEL

Drug Facts

Composition & Product

Active Ingredients
Secukinumab (150 mg)
Inactive Ingredients
Histidine Histidine Monohydrochloride Monohydrate Methionine Polysorbate 80 Trehalose Dihydrate Nitrogen Water

Identifiers & Packaging

Marketing Status
BLA Active Since 2023-10-06

Description

Contraindications ( 4 ) 10/2024 Warnings and Precautions ( 5.2 ) 10/2024

Indications and Usage

COSENTYX is a human interleukin-17A antagonist indicated for the treatment of: moderate to severe plaque psoriasis (PsO) in patients 6 years and older who are candidates for systemic therapy or phototherapy. ( 1.1 ) active psoriatic arthritis (PsA) in patients 2 years of age and older. ( 1.2 ) adults with active ankylosing spondylitis (AS) . ( 1.3 ) adults with active non-radiographic axial spondyloarthritis (nr-axSpA) with objective signs of inflammation. ( 1.4 ) active enthesitis-related arthritis (ERA) in pediatric patients 4 years of age and older. ( 1.5 ) adults with moderate to severe hidradenitis suppurativa (HS). ( 1.6 )

Dosage and Administration

Prior to COSENTYX initiation, complete all age-appropriate vaccinations, evaluate patients for tuberculosis (TB). ( 2.1 ). See Full Prescribing Information for instructions on preparation and administration of COSENTYX. ( 2.2 , 2.10 , 2.11 ) Administration of Intravenous Formulation: COSENTYX for intravenous use must be diluted prior to administration. Administer as an intravenous infusion after dilution over a period of 30 minutes. ( 2.11 ) Plaque Psoriasis: Subcutaneous Dosage in Adults: Recommended dosage is 300 mg by subcutaneous injection at Weeks 0, 1, 2, 3, and 4 followed by 300 mg every 4 weeks. For some patients, a dose of 150 mg may be acceptable. ( 2.3 ) Subcutaneous Dosage in Pediatric Patients 6 Years and Older: Recommended weight-based dosage is administered by subcutaneous injection at Weeks 0, 1, 2, 3, and 4 and every 4 weeks thereafter. For patients < 50 kg (at the time of dosing), the dose is 75 mg. For patients ≥ 50 kg (at the time of dosing), the dose is 150 mg. ( 2.3 ) Psoriatic Arthritis: Adult Patients Subcutaneous Dosage: For PsA patients with coexistent moderate to severe PsO, use the dosage and administration for PsO. ( 2.3 ) For other PsA patients, administer with or without a loading dosage. With a loading dosage : 150 mg at Weeks 0, 1, 2, 3, and 4 and every 4 weeks thereafter Without a loading dosage : 150 mg every 4 weeks If a patient continues to have active PsA, consider a dosage of 300 mg every 4 weeks. ( 2.4 ) Intravenous Dosage: The recommended intravenous dosages are: With a loading dosage : 6 mg/kg given at Week 0 as a loading dose, followed by 1.75 mg/kg every 4 weeks thereafter (max. maintenance dose 300 mg per infusion). Without a loading dosage : 1.75 mg/kg every 4 weeks (max. maintenance dose 300 mg per infusion). ( 2.4 ) Pediatric Patients 2 Years and Older Subcutaneous Dosages : Administer by subcutaneous injection at Weeks 0, 1, 2, 3, and 4 and every 4 weeks thereafter: For patients ≥ 15 kg and < 50 kg the dose is 75 mg. For patients ≥ 50 kg the dose is 150 mg. ( 2.5 ) Ankylosing Spondylitis: Subcutaneous Dosage: Administer with or without a loading dosage. The recommended dosages are: With a loading dosage : 150 mg at Weeks 0, 1, 2, 3, and 4 and every 4 weeks thereafter. Without a loading dosage : 150 mg every 4 weeks. If a patient continues to have active ankylosing spondylitis, consider a dosage of 300 mg every 4 weeks. ( 2.6 ) Intravenous Dosage: The recommended intravenous dosages are: With a loading dosage : 6 mg/kg given at Week 0 as a loading dose, followed by 1.75 mg/kg every 4 weeks thereafter (max. maintenance dose 300 mg per infusion). Without a loading dosage : 1.75 mg/kg every 4 weeks (max. maintenance dose 300 mg per infusion). ( 2.6 ) Non-Radiographic Axial Spondyloarthritis: Subcutaneous Dosage: Administer with or without a loading dosage. The recommended dosage is: With a loading dosage : 150 mg at Weeks 0, 1, 2, 3, and 4 and every 4 weeks thereafter. Without a loading dosage : 150 mg every 4 weeks. ( 2.7 ) Intravenous Dosage: The recommended intravenous dosages are: With a loading dosage : 6 mg/kg given at Week 0 as a loading dose, followed by 1.75 mg/kg every 4 weeks thereafter (max. maintenance dose 300 mg per infusion). Without a loading dosage : 1.75 mg/kg every 4 weeks (max. maintenance dose 300 mg per infusion). ( 2.7 ) Enthesitis-Related Arthritis: Recommended weight-based dosage is administered by subcutaneous injection at Weeks 0, 1, 2, 3, and 4 and every 4 weeks thereafter. For patients ≥ 15 kg and < 50 kg the dose is 75 mg. For patients ≥ 50 kg the dose is 150 mg. ( 2.8 ) Hidradenitis Suppurativa: Recommended dosage is 300 mg administered by subcutaneous injection at Weeks 0, 1, 2, 3 and 4 and every 4 weeks thereafter. If a patient does not adequately respond, consider increasing the dosage to 300 mg every 2 weeks. ( 2.9 )

Warnings and Precautions

Infections : Serious infections have occurred. Exercise caution when considering the use of COSENTYX in patients with a chronic infection or a history of recurrent infection. If a serious infection develops, discontinue COSENTYX until the infection resolves. ( 5.1 ) Hypersensitivity Reactions : If an anaphylactic reaction or other serious allergic reaction occurs, discontinue COSENTYX immediately and initiate appropriate therapy. ( 5.2 ) Tuberculosis (TB) : Prior to initiating treatment with COSENTYX, evaluate for TB. ( 5.3 ) Inflammatory Bowel Disease (IBD) : Cases of IBD were observed in clinical trials. Exercise caution when prescribing COSENTYX to patients with IBD. ( 5.4 ) Eczematous Eruptions : Cases of severe eczematous eruptions have occurred in patients receiving COSENTYX. ( 5.5 ) Immunizations : Avoid use of live vaccines in patients treated with COSENTYX. ( 5.7 )

Contraindications

COSENTYX is contraindicated in patients with a previous serious hypersensitivity reaction to secukinumab or to any of the excipients in COSENTYX. Cases of anaphylaxis and angioedema have been reported during treatment with COSENTYX [see Warnings and Precautions (5.2)] .

Adverse Reactions

The following adverse reactions are discussed in greater detail elsewhere in the labeling: Infections [see Warnings and Precautions (5.1)] Hypersensitivity Reactions [see Warnings and Precautions (5.2)] Inflammatory Bowel Disease [see Warnings and Precautions (5.4)] Eczematous Eruptions [see Warnings and Precautions (5.5)]

Drug Interactions

Certain CYP450 Substrates Increased concentrations of cytokines (e.g., IL-17) during chronic inflammation associated with certain diseases including PsO, PsA, AS, nr-axSpA, ERA, and HS may suppress the formation of CYP enzymes. Upon initiation or discontinuation of COSENTYX in patients who are receiving concomitant CYP450 substrates, particularly those where minimal decreases in the concentration may reduce CYP substrate effectiveness or minimal increases in the concentration may increase CYP substrate adverse reactions, consider monitoring for therapeutic effect or concentration of the CYP substrate and consider dosage adjustment of the CYP substrate as needed [see Clinical Pharmacology (12.3)] .

Storage and Handling

How Supplied COSENTYX (secukinumab) injection is a clear to opalescent, colorless to slightly yellowish solution available as follows: COSENTYX injection for subcutaneous use COSENTYX 300 mg/2 mL UnoReady pen NDC 0078-1070-68: Carton of one 300 mg/2 mL (300 mg dose) single-dose UnoReady pen (injection) COSENTYX 300 mg/2 mL (150 mg/mL) prefilled syringe NDC 0078-1070-97: Carton of one 300 mg/2 mL (150 mg/mL) single-dose prefilled syringe (injection) COSENTYX 150 mg/mL Sensoready pen NDC 0078-0639-41: Carton of two 150 mg/mL (300 mg dose) single-dose Sensoready pens (injection) NDC 0078-0639-68: Carton of one 150 mg/mL single-dose Sensoready pen (injection) COSENTYX 150 mg/mL prefilled syringe NDC 0078-0639-98: Carton of two 150 mg/mL (300 mg dose) single-dose prefilled syringes (injection) NDC 0078-0639-97: Carton of one 150 mg/mL single-dose prefilled syringe (injection) COSENTYX 75 mg/0.5 mL prefilled syringe (for pediatric patients less than 50 kg) NDC 0078-1056-97: Carton of one 75 mg/0.5 mL single-dose prefilled syringe (injection) The removable cap of the COSENTYX 150 mg/mL Sensoready pen and prefilled syringe, and 75 mg/0.5 mL prefilled syringe contains natural rubber latex. Each 300 mg/2 mL UnoReady pen, 150 mg/mL Sensoready pen and 300 mg/2 mL, 150 mg/mL, and 75 mg/0.5 mL prefilled syringe is equipped with a needle safety guard. COSENTYX injection for intravenous use NDC 0078-1168-61: Carton containing one 125 mg/5 mL (25 mg/mL) solution in a single-dose vial for dilution prior to intravenous infusion. Storage and Handling Refrigerate COSENTYX injection for subcutaneous use (300 mg/2 mL UnoReady Pen, 150 mg/mL Sensoready Pens, and 150 mg/mL and 75 mg/0.5 mL Prefilled Syringes), and COSENTYX injection for intravenous use at 2ºC to 8ºC (36ºF to 46ºF). Keep the products in the original carton to protect from light until the time of use. Do not freeze. To avoid foaming, do not shake. COSENTYX does not contain a preservative; discard any unused portion. If removed from refrigeration, COSENTYX 150 mg/mL Sensoready Pens, and 150 mg/mL and 75 mg/0.5 mL Prefilled Syringes: May be stored for up to 4 days at room temperature not to exceed 30°C (86°F). Write the date COSENTYX is removed from and returned to the refrigerator in the space provided on the carton. Discard if stored outside of the refrigerator over 4 days. May be returned to the refrigerator only one time and must be stored at 2ºC to 8ºC (36ºF to 46ºF) until used or expired.

How Supplied

How Supplied COSENTYX (secukinumab) injection is a clear to opalescent, colorless to slightly yellowish solution available as follows: COSENTYX injection for subcutaneous use COSENTYX 300 mg/2 mL UnoReady pen NDC 0078-1070-68: Carton of one 300 mg/2 mL (300 mg dose) single-dose UnoReady pen (injection) COSENTYX 300 mg/2 mL (150 mg/mL) prefilled syringe NDC 0078-1070-97: Carton of one 300 mg/2 mL (150 mg/mL) single-dose prefilled syringe (injection) COSENTYX 150 mg/mL Sensoready pen NDC 0078-0639-41: Carton of two 150 mg/mL (300 mg dose) single-dose Sensoready pens (injection) NDC 0078-0639-68: Carton of one 150 mg/mL single-dose Sensoready pen (injection) COSENTYX 150 mg/mL prefilled syringe NDC 0078-0639-98: Carton of two 150 mg/mL (300 mg dose) single-dose prefilled syringes (injection) NDC 0078-0639-97: Carton of one 150 mg/mL single-dose prefilled syringe (injection) COSENTYX 75 mg/0.5 mL prefilled syringe (for pediatric patients less than 50 kg) NDC 0078-1056-97: Carton of one 75 mg/0.5 mL single-dose prefilled syringe (injection) The removable cap of the COSENTYX 150 mg/mL Sensoready pen and prefilled syringe, and 75 mg/0.5 mL prefilled syringe contains natural rubber latex. Each 300 mg/2 mL UnoReady pen, 150 mg/mL Sensoready pen and 300 mg/2 mL, 150 mg/mL, and 75 mg/0.5 mL prefilled syringe is equipped with a needle safety guard. COSENTYX injection for intravenous use NDC 0078-1168-61: Carton containing one 125 mg/5 mL (25 mg/mL) solution in a single-dose vial for dilution prior to intravenous infusion. Storage and Handling Refrigerate COSENTYX injection for subcutaneous use (300 mg/2 mL UnoReady Pen, 150 mg/mL Sensoready Pens, and 150 mg/mL and 75 mg/0.5 mL Prefilled Syringes), and COSENTYX injection for intravenous use at 2ºC to 8ºC (36ºF to 46ºF). Keep the products in the original carton to protect from light until the time of use. Do not freeze. To avoid foaming, do not shake. COSENTYX does not contain a preservative; discard any unused portion. If removed from refrigeration, COSENTYX 150 mg/mL Sensoready Pens, and 150 mg/mL and 75 mg/0.5 mL Prefilled Syringes: May be stored for up to 4 days at room temperature not to exceed 30°C (86°F). Write the date COSENTYX is removed from and returned to the refrigerator in the space provided on the carton. Discard if stored outside of the refrigerator over 4 days. May be returned to the refrigerator only one time and must be stored at 2ºC to 8ºC (36ºF to 46ºF) until used or expired.


Medication Information

Warnings and Precautions

Infections : Serious infections have occurred. Exercise caution when considering the use of COSENTYX in patients with a chronic infection or a history of recurrent infection. If a serious infection develops, discontinue COSENTYX until the infection resolves. ( 5.1 ) Hypersensitivity Reactions : If an anaphylactic reaction or other serious allergic reaction occurs, discontinue COSENTYX immediately and initiate appropriate therapy. ( 5.2 ) Tuberculosis (TB) : Prior to initiating treatment with COSENTYX, evaluate for TB. ( 5.3 ) Inflammatory Bowel Disease (IBD) : Cases of IBD were observed in clinical trials. Exercise caution when prescribing COSENTYX to patients with IBD. ( 5.4 ) Eczematous Eruptions : Cases of severe eczematous eruptions have occurred in patients receiving COSENTYX. ( 5.5 ) Immunizations : Avoid use of live vaccines in patients treated with COSENTYX. ( 5.7 )

Indications and Usage

COSENTYX is a human interleukin-17A antagonist indicated for the treatment of: moderate to severe plaque psoriasis (PsO) in patients 6 years and older who are candidates for systemic therapy or phototherapy. ( 1.1 ) active psoriatic arthritis (PsA) in patients 2 years of age and older. ( 1.2 ) adults with active ankylosing spondylitis (AS) . ( 1.3 ) adults with active non-radiographic axial spondyloarthritis (nr-axSpA) with objective signs of inflammation. ( 1.4 ) active enthesitis-related arthritis (ERA) in pediatric patients 4 years of age and older. ( 1.5 ) adults with moderate to severe hidradenitis suppurativa (HS). ( 1.6 )

Dosage and Administration

Prior to COSENTYX initiation, complete all age-appropriate vaccinations, evaluate patients for tuberculosis (TB). ( 2.1 ). See Full Prescribing Information for instructions on preparation and administration of COSENTYX. ( 2.2 , 2.10 , 2.11 ) Administration of Intravenous Formulation: COSENTYX for intravenous use must be diluted prior to administration. Administer as an intravenous infusion after dilution over a period of 30 minutes. ( 2.11 ) Plaque Psoriasis: Subcutaneous Dosage in Adults: Recommended dosage is 300 mg by subcutaneous injection at Weeks 0, 1, 2, 3, and 4 followed by 300 mg every 4 weeks. For some patients, a dose of 150 mg may be acceptable. ( 2.3 ) Subcutaneous Dosage in Pediatric Patients 6 Years and Older: Recommended weight-based dosage is administered by subcutaneous injection at Weeks 0, 1, 2, 3, and 4 and every 4 weeks thereafter. For patients < 50 kg (at the time of dosing), the dose is 75 mg. For patients ≥ 50 kg (at the time of dosing), the dose is 150 mg. ( 2.3 ) Psoriatic Arthritis: Adult Patients Subcutaneous Dosage: For PsA patients with coexistent moderate to severe PsO, use the dosage and administration for PsO. ( 2.3 ) For other PsA patients, administer with or without a loading dosage. With a loading dosage : 150 mg at Weeks 0, 1, 2, 3, and 4 and every 4 weeks thereafter Without a loading dosage : 150 mg every 4 weeks If a patient continues to have active PsA, consider a dosage of 300 mg every 4 weeks. ( 2.4 ) Intravenous Dosage: The recommended intravenous dosages are: With a loading dosage : 6 mg/kg given at Week 0 as a loading dose, followed by 1.75 mg/kg every 4 weeks thereafter (max. maintenance dose 300 mg per infusion). Without a loading dosage : 1.75 mg/kg every 4 weeks (max. maintenance dose 300 mg per infusion). ( 2.4 ) Pediatric Patients 2 Years and Older Subcutaneous Dosages : Administer by subcutaneous injection at Weeks 0, 1, 2, 3, and 4 and every 4 weeks thereafter: For patients ≥ 15 kg and < 50 kg the dose is 75 mg. For patients ≥ 50 kg the dose is 150 mg. ( 2.5 ) Ankylosing Spondylitis: Subcutaneous Dosage: Administer with or without a loading dosage. The recommended dosages are: With a loading dosage : 150 mg at Weeks 0, 1, 2, 3, and 4 and every 4 weeks thereafter. Without a loading dosage : 150 mg every 4 weeks. If a patient continues to have active ankylosing spondylitis, consider a dosage of 300 mg every 4 weeks. ( 2.6 ) Intravenous Dosage: The recommended intravenous dosages are: With a loading dosage : 6 mg/kg given at Week 0 as a loading dose, followed by 1.75 mg/kg every 4 weeks thereafter (max. maintenance dose 300 mg per infusion). Without a loading dosage : 1.75 mg/kg every 4 weeks (max. maintenance dose 300 mg per infusion). ( 2.6 ) Non-Radiographic Axial Spondyloarthritis: Subcutaneous Dosage: Administer with or without a loading dosage. The recommended dosage is: With a loading dosage : 150 mg at Weeks 0, 1, 2, 3, and 4 and every 4 weeks thereafter. Without a loading dosage : 150 mg every 4 weeks. ( 2.7 ) Intravenous Dosage: The recommended intravenous dosages are: With a loading dosage : 6 mg/kg given at Week 0 as a loading dose, followed by 1.75 mg/kg every 4 weeks thereafter (max. maintenance dose 300 mg per infusion). Without a loading dosage : 1.75 mg/kg every 4 weeks (max. maintenance dose 300 mg per infusion). ( 2.7 ) Enthesitis-Related Arthritis: Recommended weight-based dosage is administered by subcutaneous injection at Weeks 0, 1, 2, 3, and 4 and every 4 weeks thereafter. For patients ≥ 15 kg and < 50 kg the dose is 75 mg. For patients ≥ 50 kg the dose is 150 mg. ( 2.8 ) Hidradenitis Suppurativa: Recommended dosage is 300 mg administered by subcutaneous injection at Weeks 0, 1, 2, 3 and 4 and every 4 weeks thereafter. If a patient does not adequately respond, consider increasing the dosage to 300 mg every 2 weeks. ( 2.9 )

Contraindications

COSENTYX is contraindicated in patients with a previous serious hypersensitivity reaction to secukinumab or to any of the excipients in COSENTYX. Cases of anaphylaxis and angioedema have been reported during treatment with COSENTYX [see Warnings and Precautions (5.2)] .

Adverse Reactions

The following adverse reactions are discussed in greater detail elsewhere in the labeling: Infections [see Warnings and Precautions (5.1)] Hypersensitivity Reactions [see Warnings and Precautions (5.2)] Inflammatory Bowel Disease [see Warnings and Precautions (5.4)] Eczematous Eruptions [see Warnings and Precautions (5.5)]

Drug Interactions

Certain CYP450 Substrates Increased concentrations of cytokines (e.g., IL-17) during chronic inflammation associated with certain diseases including PsO, PsA, AS, nr-axSpA, ERA, and HS may suppress the formation of CYP enzymes. Upon initiation or discontinuation of COSENTYX in patients who are receiving concomitant CYP450 substrates, particularly those where minimal decreases in the concentration may reduce CYP substrate effectiveness or minimal increases in the concentration may increase CYP substrate adverse reactions, consider monitoring for therapeutic effect or concentration of the CYP substrate and consider dosage adjustment of the CYP substrate as needed [see Clinical Pharmacology (12.3)] .

Storage and Handling

How Supplied COSENTYX (secukinumab) injection is a clear to opalescent, colorless to slightly yellowish solution available as follows: COSENTYX injection for subcutaneous use COSENTYX 300 mg/2 mL UnoReady pen NDC 0078-1070-68: Carton of one 300 mg/2 mL (300 mg dose) single-dose UnoReady pen (injection) COSENTYX 300 mg/2 mL (150 mg/mL) prefilled syringe NDC 0078-1070-97: Carton of one 300 mg/2 mL (150 mg/mL) single-dose prefilled syringe (injection) COSENTYX 150 mg/mL Sensoready pen NDC 0078-0639-41: Carton of two 150 mg/mL (300 mg dose) single-dose Sensoready pens (injection) NDC 0078-0639-68: Carton of one 150 mg/mL single-dose Sensoready pen (injection) COSENTYX 150 mg/mL prefilled syringe NDC 0078-0639-98: Carton of two 150 mg/mL (300 mg dose) single-dose prefilled syringes (injection) NDC 0078-0639-97: Carton of one 150 mg/mL single-dose prefilled syringe (injection) COSENTYX 75 mg/0.5 mL prefilled syringe (for pediatric patients less than 50 kg) NDC 0078-1056-97: Carton of one 75 mg/0.5 mL single-dose prefilled syringe (injection) The removable cap of the COSENTYX 150 mg/mL Sensoready pen and prefilled syringe, and 75 mg/0.5 mL prefilled syringe contains natural rubber latex. Each 300 mg/2 mL UnoReady pen, 150 mg/mL Sensoready pen and 300 mg/2 mL, 150 mg/mL, and 75 mg/0.5 mL prefilled syringe is equipped with a needle safety guard. COSENTYX injection for intravenous use NDC 0078-1168-61: Carton containing one 125 mg/5 mL (25 mg/mL) solution in a single-dose vial for dilution prior to intravenous infusion. Storage and Handling Refrigerate COSENTYX injection for subcutaneous use (300 mg/2 mL UnoReady Pen, 150 mg/mL Sensoready Pens, and 150 mg/mL and 75 mg/0.5 mL Prefilled Syringes), and COSENTYX injection for intravenous use at 2ºC to 8ºC (36ºF to 46ºF). Keep the products in the original carton to protect from light until the time of use. Do not freeze. To avoid foaming, do not shake. COSENTYX does not contain a preservative; discard any unused portion. If removed from refrigeration, COSENTYX 150 mg/mL Sensoready Pens, and 150 mg/mL and 75 mg/0.5 mL Prefilled Syringes: May be stored for up to 4 days at room temperature not to exceed 30°C (86°F). Write the date COSENTYX is removed from and returned to the refrigerator in the space provided on the carton. Discard if stored outside of the refrigerator over 4 days. May be returned to the refrigerator only one time and must be stored at 2ºC to 8ºC (36ºF to 46ºF) until used or expired.

How Supplied

How Supplied COSENTYX (secukinumab) injection is a clear to opalescent, colorless to slightly yellowish solution available as follows: COSENTYX injection for subcutaneous use COSENTYX 300 mg/2 mL UnoReady pen NDC 0078-1070-68: Carton of one 300 mg/2 mL (300 mg dose) single-dose UnoReady pen (injection) COSENTYX 300 mg/2 mL (150 mg/mL) prefilled syringe NDC 0078-1070-97: Carton of one 300 mg/2 mL (150 mg/mL) single-dose prefilled syringe (injection) COSENTYX 150 mg/mL Sensoready pen NDC 0078-0639-41: Carton of two 150 mg/mL (300 mg dose) single-dose Sensoready pens (injection) NDC 0078-0639-68: Carton of one 150 mg/mL single-dose Sensoready pen (injection) COSENTYX 150 mg/mL prefilled syringe NDC 0078-0639-98: Carton of two 150 mg/mL (300 mg dose) single-dose prefilled syringes (injection) NDC 0078-0639-97: Carton of one 150 mg/mL single-dose prefilled syringe (injection) COSENTYX 75 mg/0.5 mL prefilled syringe (for pediatric patients less than 50 kg) NDC 0078-1056-97: Carton of one 75 mg/0.5 mL single-dose prefilled syringe (injection) The removable cap of the COSENTYX 150 mg/mL Sensoready pen and prefilled syringe, and 75 mg/0.5 mL prefilled syringe contains natural rubber latex. Each 300 mg/2 mL UnoReady pen, 150 mg/mL Sensoready pen and 300 mg/2 mL, 150 mg/mL, and 75 mg/0.5 mL prefilled syringe is equipped with a needle safety guard. COSENTYX injection for intravenous use NDC 0078-1168-61: Carton containing one 125 mg/5 mL (25 mg/mL) solution in a single-dose vial for dilution prior to intravenous infusion. Storage and Handling Refrigerate COSENTYX injection for subcutaneous use (300 mg/2 mL UnoReady Pen, 150 mg/mL Sensoready Pens, and 150 mg/mL and 75 mg/0.5 mL Prefilled Syringes), and COSENTYX injection for intravenous use at 2ºC to 8ºC (36ºF to 46ºF). Keep the products in the original carton to protect from light until the time of use. Do not freeze. To avoid foaming, do not shake. COSENTYX does not contain a preservative; discard any unused portion. If removed from refrigeration, COSENTYX 150 mg/mL Sensoready Pens, and 150 mg/mL and 75 mg/0.5 mL Prefilled Syringes: May be stored for up to 4 days at room temperature not to exceed 30°C (86°F). Write the date COSENTYX is removed from and returned to the refrigerator in the space provided on the carton. Discard if stored outside of the refrigerator over 4 days. May be returned to the refrigerator only one time and must be stored at 2ºC to 8ºC (36ºF to 46ºF) until used or expired.

Description

Contraindications ( 4 ) 10/2024 Warnings and Precautions ( 5.2 ) 10/2024

Section 42231-1
This Medication Guide has been approved by the U.S. Food and Drug Administration. Revised: August 2024
MEDICATION GUIDE

COSENTYX® (koe-sen-tix)

(secukinumab)

injection, for subcutaneous or intravenous use
What is the most important information I should know about COSENTYX?

COSENTYX is a medicine that affects your immune system. COSENTYX may increase your risk of having serious side effects such as:



Infections. COSENTYX may lower the ability of your immune system to fight infections and may increase your risk of infections. Some people have had serious infections while taking COSENTYX, including tuberculosis (TB), and infections caused by bacteria, fungi, or viruses. Some people have died from these infections.
  • Your healthcare provider should check you for TB before starting treatment with COSENTYX.
  • If your healthcare provider feels that you are at risk for TB, you may be treated with medicine for TB before you begin treatment with COSENTYX and during treatment with COSENTYX.
  • Your healthcare provider should watch you closely for signs and symptoms of TB during treatment with COSENTYX. Do not use COSENTYX if you have an active TB infection.
Before starting COSENTYX, tell your healthcare provider if you:
  • are being treated for an infection
  • have an infection that does not go away or that keeps coming back
  • have TB or have been in close contact with someone with TB
  • think you have an infection or have symptoms of an infection such as:
      ◦  fever, sweats, or chills

      ◦  muscle aches

      ◦  cough

      ◦  shortness of breath

      ◦  blood in your phlegm
       ◦  weight loss

       ◦  warm, red, or painful skin or sores on your body

       ◦  diarrhea or stomach pain

       ◦  burning when you urinate or urinate more often than normal
After starting COSENTYX, call your healthcare provider right away if you have any of the signs of infection listed above. Do not use COSENTYX if you have any signs of infection unless you are instructed to by your healthcare provider.

See “What are the possible side effects of COSENTYX?” for more information about side effects.
What is COSENTYX?

COSENTYX is a prescription medicine used to treat:
  • people 6 years of age and older with moderate to severe plaque psoriasis (PsO) that involves large areas or many areas of the body, and who may benefit from taking injections or pills (systemic therapy) or phototherapy (treatment using ultraviolet or UV light alone or with systemic therapy)
  • people 2 years of age and older with active psoriatic arthritis (PsA)
  • adults with active ankylosing spondylitis (AS)
  • adults with active non-radiographic axial spondyloarthritis (nr-axSpA) and objective signs of inflammation
  • people 4 years of age and older with active enthesitis-related arthritis (ERA)
  • adults with moderate to severe hidradenitis suppurativa (HS)
It is not known if COSENTYX is safe and effective in children:
  • under 6 years of age with PsO
  • under 2 years of age and weighing less than 33 pounds (15 kg) with active PsA
  • under 4 years of age and weighing less than 33 pounds (15 kg) with active ERA
  • with HS
Do not use COSENTYX if you:
  • have had a severe allergic reaction to secukinumab or any of the other ingredients in COSENTYX. See the end of this Medication Guide for a complete list of ingredients in COSENTYX.
Before using COSENTYX, tell your healthcare provider about all of your medical conditions, including if you:
  • have any of the conditions or symptoms listed in the section “What is the most important information I should know about COSENTYX?”
  • have inflammatory bowel disease (Crohn’s disease or ulcerative colitis).
  • are allergic to latex. The needle cap on the COSENTYX Sensoready pen, and 150 mg/mL and 75 mg/0.5 mL prefilled syringes contains latex.
  • have recently received or are scheduled to receive an immunization (vaccine). People who take COSENTYX should not receive live vaccines. Children should be brought up to date with all vaccines before starting COSENTYX.
  • are pregnant or plan to become pregnant. It is not known if COSENTYX can harm your unborn baby. You and your healthcare provider should decide if you will use COSENTYX.
  • are breastfeeding or plan to breastfeed. It is not known if COSENTYX passes into your breast milk.
Tell your healthcare provider about all the medicines you take, including prescription and over-the-counter medicines, vitamins, and herbal supplements.

Know the medicines you take. Keep a list of your medicines to show your healthcare provider and pharmacist when you get a new medicine.
How will I receive COSENTYX?

When administered subcutaneously (under your skin)


Read the detailed “Instructions for Use” that comes with your COSENTYX for information on how to prepare and inject a dose of COSENTYX, and how to properly throw away (dispose of) used COSENTYX.
  • Use COSENTYX exactly as prescribed by your healthcare provider.
  • COSENTYX comes in a single-dose UnoReady pen, single-dose Sensoready pen, or single-dose prefilled syringes (300 mg/2 mL, 150 mg/mL, 75 mg/0.5 mL) that you or your caregiver may use at home to give injections.
  • Your healthcare provider will decide which type of COSENTYX, and which dose is right for you.
  • If your healthcare provider decides that you or a caregiver may give your injections of COSENTYX at home, you should receive training on the right way to prepare and inject COSENTYX. Do not try to inject COSENTYX yourself, until you or your caregiver has been shown how to inject COSENTYX by your healthcare provider.
  • Children should not inject themselves with COSENTYX. An adult caregiver should prepare and inject COSENTYX after receiving training on the right way to prepare and inject COSENTYX.
  • Do not handle the needle cap of the COSENTYX Sensoready pen, or the 75 mg/0.5 mL or 150 mg/mL prefilled syringes if you are sensitive to latex.
  • COSENTYX is given as an injection under your skin (subcutaneous injection), in your upper legs (thighs) or stomach-area (abdomen) by you or a caregiver. A caregiver or healthcare provider may also give you an injection of COSENTYX in your upper outer arm.
  • Do not give an injection in an area of the skin that is tender, bruised, red or hard, or in an area of skin that is affected by psoriasis.
  • Each injection should be given at a different site. Do not use the 2-inch area around your navel (belly button).
  • If you inject more COSENTYX than prescribed, call your healthcare provider or Poison Help line at 1-800-222-1222, or go to the nearest emergency room right away.
When administered intravenously (by vein)
  • You will be given COSENTYX by a healthcare provider through a needle placed in a vein (infusion). It takes about 30 minutes to give you the full dose of COSENTYX.
  • Your healthcare provider will tell you how often you should receive COSENTYX.
  • If you miss an appointment to receive COSENTYX, make another appointment as soon as possible.
What are the possible side effects of COSENTYX?

COSENTYX may cause serious side effects, including:
  • See “What is the most important information I should know about COSENTYX?”
  • Serious allergic reactions. Get emergency medical help right away if you get any of the following symptoms of a serious allergic reaction:
      ◦  feel faint

      ◦  swelling of your face, eyelids, lips, mouth, tongue, or throat
      ◦   trouble breathing or throat tightness

      ◦   chest tightness
      ◦  skin rash

      ◦  hives (red, itchy bumps)
If you have a severe allergic reaction, do not give another injection of COSENTYX.
  • Inflammatory bowel disease. New cases of inflammatory bowel disease or “flare-ups” can happen with COSENTYX and can sometimes be serious. If you have inflammatory bowel disease (ulcerative colitis or Crohn’s disease), tell your healthcare provider if you have worsening disease symptoms during treatment with COSENTYX or develop new symptoms of stomach pain or diarrhea.
  • Severe skin reactions that look like eczema can happen during treatment with COSENTYX from days to months after your first dose and can sometimes lead to hospitalization. Your healthcare provider may temporarily stop treatment with COSENTYX if you develop severe skin reactions. Tell your healthcare provider if you have any of the following signs or symptoms:
      ◦ redness or rash

      ◦ itching

      ◦ small bumps or patches
       ◦ your skin is dry or feels like leather

       ◦ blisters on the hands or feet that ooze or become crusty

       ◦ skin peeling
The most common side effects of COSENTYX include:
      •  cold symptoms       •  diarrhea       •  upper respiratory tract infections
These are not all of the possible side effects of COSENTYX.

Call your doctor for medical advice about side effects. You may report side effects to FDA at 1-800-FDA-1088.
How should I store COSENTYX?
  • Store COSENTYX in a refrigerator, between 36°F to 46°F (2°C to 8°C).
  • Keep COSENTYX in the original carton until ready for use to protect from light.
  • If you use COSENTYX Sensoready pen, or COSENTYX 75 mg/0.5 mL or 150 mg/mL prefilled syringe:
    • It may be stored at room temperature, up to 86°F (30°C), for up to 4 days.
    • Write the date it was removed from and returned to the refrigerator in the space provided on the carton.
    • Throw it away if it has been stored outside of the refrigerator over 4 days.
    • It may be returned to the refrigerator only 1 time and must be stored between 36°F to 46°F (2°C to 8°C) until you use it or until it expires.
  • Do not freeze COSENTYX.
  • Do not shake COSENTYX.
  • Throw away any expired or unused COSENTYX.
Keep COSENTYX and all medicines out of the reach of children.
General information about the safe and effective use of COSENTYX.

Medicines are sometimes prescribed for purposes other than those listed in a Medication Guide. Do not use COSENTYX for a condition for which it was not prescribed. Do not give COSENTYX to other people, even if they have the same symptoms that you have. It may harm them. You can ask your pharmacist or healthcare provider for information about COSENTYX that is written for health professionals.
What are the ingredients in COSENTYX?

Active ingredient: secukinumab.

Inactive ingredients:

L-histidine/histidine hydrochloride monohydrate, L-methionine, polysorbate 80, trehalose dihydrate, and sterile water for injection.

Manufactured by: Novartis Pharmaceuticals Corporation, East Hanover, New Jersey 07936, U.S. License Number 1244

For more information, call 1-888-669-6682 or go to www.COSENTYX.com

T2024-65

Section 43683-2
Contraindications (4) 10/2024
Warnings and Precautions (5.2) 10/2024
Section 59845-8

INSTRUCTIONS FOR USE

COSENTYX® [koe-sen-tix]

(secukinumab)

injection, for subcutaneous use

300 mg/2 mL single-dose prefilled syringe

Be sure that you read, understand, and follow this Instructions for Use before injecting COSENTYX. Your healthcare provider should show you how to prepare and inject COSENTYX properly using the prefilled syringe before you use it for the first time. Talk to your healthcare provider if you have any questions.

Important Information You Need to Know Before Injecting COSENTYX:

  • Do not use the COSENTYX prefilled syringe if either the seal on the outside carton or the seal of the blister are broken. Keep the COSENTYX prefilled syringe in the sealed carton until you are ready to use it.
  • Do not use the COSENTYX prefilled syringe if the syringe has been dropped onto a hard surface or dropped after removing the needle cap.
  • Do not shake the COSENTYX prefilled syringe.
  • The prefilled syringe has a needle guard that will be activated to cover the needle after the injection is finished. The needle guard will help to prevent needle stick injuries to anyone who handles the prefilled syringe.
  • Do not remove the needle cap until just before you give the injection.
  • Avoid touching the syringe guard wings before use. Touching them may cause the syringe guard to be activated too early.
  • Throw away (dispose of) the used COSENTYX prefilled syringe right away after use. Do not re-use the COSENTYX prefilled syringe. See “How should I dispose of the used COSENTYX prefilled syringe?” at the end of this Instructions for Use.

How should I store COSENTYX?

  • Store your carton of COSENTYX prefilled syringe in a refrigerator, between 36°F to 46°F (2°C to 8°C).
  • Keep the COSENTYX prefilled syringe in the original carton until ready to use to protect from light.
  • Do not freeze the COSENTYX prefilled syringe.
  • Throw away (dispose of) any expired or unused COSENTYX prefilled syringes.

Keep COSENTYX and all medicines out of the reach of children.

COSENTYX prefilled syringe parts (see Figure A):

This Instructions for Use has been approved by the U.S. Food and Drug Administration. Issued: July 2023
Figure A
What you need for your injection:



Included in the carton:
A new COSENTYX prefilled syringe.
Each COSENTYX prefilled syringe contains 300 mg of COSENTYX. Check to make sure that you have the correct medicine and dose.
Not included in the carton (see Figure B):

• 1 Alcohol wipe

• 1 Cotton ball or gauze

• Sharps disposal container



See “How should I dispose of the used COSENTYX prefilled syringe?” at the end of this Instructions for Use.



Figure B

Prepare the COSENTYX 300 mg prefilled syringe
Step 1. Find a clean, well-lit, flat work surface.
Step 2. Take the carton containing the COSENTYX prefilled syringe out of the refrigerator and leave it unopened on your work surface for about 30 to 45 minutes so that it reaches room temperature.
Step 3. Wash your hands well with soap and water.
Step 4. Remove the COSENTYX prefilled syringe from the outer carton and take it out of the blister.
Step 5. Look through the viewing window on the COSENTYX prefilled syringe. The liquid inside should be clear. The color may be colorless to slightly yellow. You may see a small air bubble in the liquid. This is normal. Do not use the prefilled syringe if the liquid contains visible particles, or if the liquid is cloudy or discolored.
Step 6. Do not use the COSENTYX prefilled syringe if it is broken. Return the prefilled syringe and the package it came in to the pharmacy.
Step 7. Do not use the COSENTYX prefilled syringe if the expiration date has passed.



Choose and clean the injection site
  • Areas of your body that you may use as injection sites include:
    • the front of your thighs (see Figure C)
    • the lower stomach-area (abdomen), but not the area 2 inches around your navel (belly button) (see Figure C)
    • the upper outer arms, if a caregiver or healthcare provider is giving you the injection (see Figure D)
  • Choose a different site for each injection of COSENTYX.
  • Do not inject into areas where the skin is tender, bruised, red, scaly, or hard, or in an area of skin that is affected by psoriasis. Avoid areas with scars or stretch marks.
Figure C

Step 8. Using a circular motion, clean the injection site with the alcohol wipe. Leave it to dry before injecting. Do not touch the cleaned area again before injecting. Figure D



Giving the injection
Step 9. Carefully remove the needle cap from the COSENTYX prefilled syringe (see Figure E). Throw away the needle cap. You may see a drop of liquid at the end of the needle. This is normal. Figure E

Step 10. With one hand gently pinch the skin at the injection site. With your other hand insert the needle into your skin at a 45-degree angle as shown (see Figure F). Push the needle all the way in to make sure that you inject your full dose. Figure F

Step 11. Hold the COSENTYX prefilled syringe finger grips as shown (see Figure G). Slowly press down on the plunger as far as it will go, so that the plunger head is completely between the syringe guard wings. This will make sure that the syringe guard has been activated.



Step 12. Continue to press fully on the plunger for an additional 5 seconds. Hold the syringe in place for the full 5 seconds.
Figure G

Step 13. Keep the plunger fully depressed while you carefully pull the needle straight out from the injection site (see Figure H). Figure H

Step 14. Slowly release the plunger and allow the syringe guard to automatically cover the exposed needle (see Figure I).



Step 15. There may be a small amount of blood at the injection site. You can press a cotton ball or gauze over the injection site and hold it for 10 seconds. Do not rub the injection site. You may cover the injection site with a small adhesive bandage, if needed.
Figure I

How should I dispose of the used COSENTYX prefilled syringe?


Step 16. Put your used prefilled syringe in an FDA-cleared sharps disposal container right away after use (see Figure J). Do not throw away (dispose of) the prefilled syringe in your household trash.



If you do not have an FDA-cleared sharps disposal container, you may use a household container that is:
  • made of a heavy-duty plastic,
  • can be closed with a tight-fitting, puncture-resistant lid, without sharps being able to come out,
  • upright and stable during use,
  • leak-resistant, and
  • properly labeled to warn of hazardous waste inside the container.
When your sharps disposal container is almost full, you will need to follow your community guidelines for the right way to dispose of your sharps disposal container. There may be state or local laws about how you should throw away used needles, syringes, and prefilled syringes. For more information about safe sharps disposal, and for specific information about sharps disposal in the state that you live in, go to the FDA’s website at: http://www.fda.gov/safesharpsdisposal.
Figure J



Manufactured by:

Novartis Pharmaceuticals Corporation

East Hanover, New Jersey 07936

US License Number 1244


© Novartis

T2023-42

10     overdosage

In the event of overdosage, it is recommended that the patient be monitored for any signs or symptoms of adverse reactions and appropriate symptomatic treatment be instituted. Consider contacting the Poison Help line (1-800-222-1222) or a medical toxicologist for additional overdose management recommendations.

8.1     pregnancy

Risk Summary

Limited available human data with COSENTYX use in pregnant women are insufficient to inform a drug-associated risk of adverse developmental outcomes. In an embryo-fetal development study, no adverse developmental effects were observed in infants born to pregnant monkeys after subcutaneous administration of secukinumab during organogenesis at doses up to 30 times the maximum recommended human dose (MRHD) (see Data).

The background risk of major birth defects and miscarriage for the indicated population is unknown; however, the background risk in the U.S. general population of major birth defects is 2% to 4% and of miscarriage is 15% to 20% of clinically recognized pregnancies.

Data

Animal Data

An embryo-fetal development study was performed in cynomolgus monkeys with secukinumab. No malformations or embryo-fetal toxicity were observed in fetuses from pregnant monkeys that were administered secukinumab weekly by the subcutaneous route during the period of organogenesis at doses up to 30 times the MRHD (on a mg/kg basis at a maternal dose of 150 mg/kg).

A pre- and post-natal development toxicity study was performed in mice with a murine analog of secukinumab. No treatment-related effects on functional, morphological, or immunological development were observed in fetuses from pregnant mice that were administered the murine analog of secukinumab on gestation days 6, 11, and 17 and on postpartum days 4, 10, and 16 at doses up to 150 mg/kg/dose.

8.2     lactation

Risk Summary

It is not known whether secukinumab is excreted in human milk or absorbed systemically after ingestion. There are no data on the effects of COSENTYX on the breastfed child or the effects on milk production. The developmental and health benefits of breastfeeding should be considered along with the mother’s clinical need for COSENTYX and any potential adverse effects on the breastfed child from COSENTYX or from the underlying maternal condition.

11     description

Secukinumab, a recombinant human monoclonal IgG1/κ antibody, is an interleukin-17A antagonist. It is expressed in a recombinant Chinese Hamster Ovary (CHO) cell line. Secukinumab has a molecular mass of approximately 151 kDa; both heavy chains of secukinumab contain oligosaccharide chains.

COSENTYX Injection for Subcutaneous Use

COSENTYX injection is a sterile, preservative-free, clear to slightly opalescent, colorless to slightly yellow solution for subcutaneous use. COSENTYX injection is supplied in a single-dose 300 mg/2 mL UnoReady pen with a 27-gauge fixed ½-inch needle, a single-dose 150 mg/mL Sensoready pen with a 27-gauge fixed ½-inch needle, or a single-dose prefilled syringe (300 mg/2 mL, 150 mg/mL, 75 mg/0.5 mL) with a 27-gauge fixed ½-inch needle. The removable cap of the COSENTYX 150 mg/mL Sensoready pen or 1 mL and 0.5 mL prefilled syringes contains natural rubber latex.

Each COSENTYX 300 mg/2 mL UnoReady pen or 300 mg/2 mL prefilled syringe contains 300 mg of secukinumab formulated in: L-histidine/histidine hydrochloride monohydrate (6.206 mg), L-methionine (1.492 mg), polysorbate 80 (0.4 mg), trehalose dihydrate (151.34 mg), and Sterile Water for Injection, USP, at pH of 5.8.

Each COSENTYX 150 mg/mL Sensoready pen or 150 mg/mL prefilled syringe contains 150 mg of secukinumab formulated in: L-histidine/histidine hydrochloride monohydrate (3.103 mg), L-methionine (0.746 mg), polysorbate 80 (0.2 mg), trehalose dihydrate (75.67 mg), and Sterile Water for Injection, USP, at pH of 5.8.

Each COSENTYX 75 mg/0.5 mL prefilled syringe contains 75 mg of secukinumab formulated in: L-histidine/histidine hydrochloride monohydrate (1.552 mg), L-methionine (0.373 mg), polysorbate 80 (0.1 mg), trehalose dihydrate (37.83 mg), and Sterile Water for Injection, USP, at pH of 5.8.

COSENTYX Injection for Intravenous Use

COSENTYX solution is supplied as a sterile, preservative free, clear to opalescent, colorless to slightly yellowish solution in single-dose vials for intravenous infusion after dilution.

Each COSENTYX vial contains 125 mg of secukinumab formulated in: L-histidine (5.67 mg), L-histidine hydrochloride monohydrate (13.3 mg), L-methionine (3.73 mg), polysorbate 80 (1 mg), trehalose dihydrate (426 mg), and Sterile Water for Injection, USP, at pH of 5.8.

5.1     infections

COSENTYX may increase the risk of infections. In clinical trials, a higher rate of infections was observed in COSENTYX treated subjects compared to placebo-treated subjects. In placebo-controlled clinical trials in subjects with moderate to severe PsO, higher rates of common infections, such as nasopharyngitis (11.4% versus 8.6%), upper respiratory tract infection (2.5% versus 0.7%) and mucocutaneous infections with candida (1.2% versus 0.3%) were observed in subjects treated with COSENTYX compared to placebo-treated subjects. A similar increase in risk of infection in subjects treated with COSENTYX was seen in placebo-controlled trials in subjects with PsA, AS and nr-axSpA. The incidence of some types of infections, including fungal infections, appeared to be dose-dependent in clinical trials [see Adverse Reactions (6.1)].

In the postmarketing setting, serious bacterial, viral, and fungal opportunistic infections, and some fatal infections have been reported in patients receiving IL-17 inhibitors including COSENTYX. Cases of Hepatitis B virus reactivation have been reported [see Adverse Reactions (6.2)].

Exercise caution when considering the use of COSENTYX in patients with a chronic infection or a history of recurrent infection. Instruct patients to seek medical advice if signs or symptoms suggestive of an infection occur. If a patient develops a serious infection, monitor the patient closely and discontinue COSENTYX until the infection resolves.

If signs of Hepatitis B virus reactivation occur, consult a hepatitis specialist. COSENTYX is not recommended for use in patients with active viral hepatitis.

Principal Display Panel

NDC 0078-0639-97

Rx only

Cosentyx®

(secukinumab)

Injection

Single-dose Prefilled Syringe

150 mg/mL

1 Prefilled Syringe

ATTENTION: Dispense with enclosed Medication Guide.

For Subcutaneous Use Only

Sterile Solution - Contains No Preservative

Caution: Contains Natural Rubber Latex Which May Cause Allergic Reaction.

NOVARTIS

5.7     immunizations

Prior to initiating therapy with COSENTYX, consider completion of all age-appropriate immunizations according to current immunization guidelines. COSENTYX may alter a patient's immune response to live vaccines. Avoid use of live vaccines in patients treated with COSENTYX [see Clinical Pharmacology (12.2)].

8.4     pediatric Use

Subcutaneous Administration

Pediatric Plaque Psoriasis

The safety and effectiveness of COSENTYX have been established for the treatment of moderate to severe PsO in pediatric patients aged 6 years and older who are candidates for systemic therapy or phototherapy [see Adverse Reactions (6.1) and Clinical Studies (14.2)].

Safety and effectiveness of COSENTYX in pediatric patients with PsO below the age of 6 years have not been established.

Juvenile Psoriatic Arthritis

The safety and effectiveness of COSENTYX have been established for the treatment of active JPsA in pediatric patients aged 2 years and older who weigh 15 kg or more [see Adverse Reactions (6.1) and Clinical Studies (14.6)].

The safety and effectiveness of COSENTYX in pediatric patients less than 2 years of age with JPsA or with a body weight less than 15 kg has not been established.

Enthesitis-Related Arthritis

The safety and effectiveness of COSENTYX for the treatment of active ERA in pediatric patients aged 4 years and older who weigh 15 kg or more has been established [see Adverse Reactions (6.1) and Clinical Studies (14.6)].

The safety and effectiveness of COSENTYX in pediatric patients below the age of 4 years old or with body weight less than 15 kg have not been established.

Hidradenitis Suppurativa

The safety and effectiveness of COSENTYX in pediatric patients with HS have not been established.

Intravenous Administration

The safety and effectiveness of intravenous COSENTYX in pediatric patients have not been established.

8.5     geriatric Use

Of the 3,430 PsO subjects exposed to subcutaneous COSENTYX in clinical trials, a total of 230 (7%) were 65 years of age or older, and 32 (1%) subjects were 75 years of age or older. Although no differences in safety or efficacy were observed between subjects 65 years of age or older and younger adult subjects, the number of subjects 65 years of age and older was not sufficient to determine whether they respond differently from younger adult subjects.

Of the 1,060 subjects with HS exposed to COSENTYX in clinical trials, a total of 14 (1.3%) were 65 years of age and older. Clinical trials in HS did not include sufficient numbers of subjects 65 years of age and older to determine whether they respond differently from younger adult subjects.

12.6     immunogenicity

The observed incidence of anti-drug antibodies is highly dependent on the sensitivity and specificity of the assay. Differences in assay methods preclude meaningful comparisons of the incidence of anti-drug antibodies (ADA) in the trials described below with the incidence of ADA in other trials, including those of COSENTYX (secukinumab).

The immunogenicity of COSENTYX was evaluated using an electrochemiluminescence-based bridging immunoassay. Less than 1% of subjects treated with COSENTYX developed antibodies to secukinumab in up to 52 weeks of treatment. However, this assay has limitations in detecting anti-secukinumab antibodies in the presence of secukinumab; therefore, the incidence of antibody development might not have been reliably determined.

In up to 52 weeks of treatment in controlled trials in patients with PsO, PsA, AS, nr-axSpA, HS, pediatric PsO, JPsA and ERA [see Clinical Studies (14)], the incidence of anti-secukinumab antibodies (referred as ADA) formation was less than 1% (25 of 6268 total of subjects treated with COSENTYX). Of the subjects treated with COSENTYX who developed ADA, approximately 8% developed neutralizing antibodies. Because of the low occurrence of ADA, the effect of these antibodies on pharmacokinetics, pharmacodynamics, safety, or effectiveness of COSENTYX is unknown.

4     contraindications

COSENTYX is contraindicated in patients with a previous serious hypersensitivity reaction to secukinumab or to any of the excipients in COSENTYX. Cases of anaphylaxis and angioedema have been reported during treatment with COSENTYX [see Warnings and Precautions (5.2)].

6     adverse Reactions

The following adverse reactions are discussed in greater detail elsewhere in the labeling:

  • Infections [see Warnings and Precautions (5.1)]
  • Hypersensitivity Reactions [see Warnings and Precautions (5.2)]
  • Inflammatory Bowel Disease [see Warnings and Precautions (5.4)]
  • Eczematous Eruptions [see Warnings and Precautions (5.5)]
7     drug Interactions

Certain CYP450 Substrates

Increased concentrations of cytokines (e.g., IL-17) during chronic inflammation associated with certain diseases including PsO, PsA, AS, nr-axSpA, ERA, and HS may suppress the formation of CYP enzymes.

Upon initiation or discontinuation of COSENTYX in patients who are receiving concomitant CYP450 substrates, particularly those where minimal decreases in the concentration may reduce CYP substrate effectiveness or minimal increases in the concentration may increase CYP substrate adverse reactions, consider monitoring for therapeutic effect or concentration of the CYP substrate and consider dosage adjustment of the CYP substrate as needed [see Clinical Pharmacology (12.3)].

1.1     plaque Psoriasis

COSENTYX® is indicated for the treatment of moderate to severe plaque psoriasis (PsO) in patients 6 years and older who are candidates for systemic therapy or phototherapy.

12.2     pharmacodynamics

Elevated levels of IL-17A are found in psoriatic plaques and in HS lesions. Treatment with COSENTYX may reduce epidermal neutrophils and IL-17A levels in psoriatic plaques. Serum levels of total IL-17A (free and secukinumab-bound IL-17A) measured at Week 4 and Week 12 were increased following secukinumab treatment. These pharmacodynamic activities are based on small exploratory trials. The relationship between these pharmacodynamic activities and the mechanism(s) by which secukinumab exerts its clinical effects is unknown.

Increased numbers of IL-17A producing lymphocytes and innate immune cells and increased levels of IL-17A have been found in the blood of patients with PsA and AS. Increased numbers of IL-17A producing lymphocytes have also been found in patients with nr-axSpA.

Immune Response to Non-Live Vaccines During Treatment

Healthy individuals who received a single 150 mg dose of COSENTYX 2 weeks prior to vaccination with a non-U.S.-approved group C meningococcal polysaccharide conjugate vaccine and a non-U.S.-approved inactivated seasonal influenza vaccine had similar antibody responses compared to individuals who did not receive COSENTYX prior to vaccination. The clinical effectiveness of meningococcal and influenza vaccines has not been assessed in patients undergoing treatment with COSENTYX [see Warnings and Precautions (5.7)].

12.3     pharmacokinetics

Pharmacokinetics Following Subcutaneous Administration

The observed pharmacokinetics (PK) of secukinumab administered subcutaneously in patients with PsO, PsA, AS and nr-axSpA were similar. The secukinumab PK is also similar in pediatric patients with ERA and PsO for the same weight tiered dosing regimen.

The mean steady-state trough concentration of secukinumab was approximately 26% lower in HS subjects than that of PsO subjects.

Absorption

Following a single subcutaneous dose of either 150 mg or 300 mg (administered as two injections of 150 mg) of COSENTYX in PsO subjects, secukinumab reached peak mean (± SD) serum concentrations (Cmax) of 13.7 ± 4.8 mcg/mL and 27.3 ± 9.5 mcg/mL, respectively, by approximately 6 days post dose.

Following multiple subcutaneous doses of COSENTYX (administered as one or two injections of 150 mg), the mean (± SD) serum trough concentrations of secukinumab ranged from 22.8 ± 10.2 mcg/mL (150 mg) to 45.4 ± 21.2 mcg/mL (300 mg) at Week 12. At the 300 mg dose at Week 4 and Week 12, the mean trough concentrations resulted from the Sensoready pen were approximately 30% higher than those from the prefilled syringe. Following multiple subcutaneous doses of 300 mg administered via the 300 mg/2 mL UnoReady pen, the mean serum trough concentrations of secukinumab were generally consistent with those in the previous Sensoready pen study used to deliver 300 mg.

Steady-state concentrations of secukinumab were achieved by Week 24 following the every 4-week COSENTYX dosing regimens. The mean (± SD) steady-state trough concentrations ranged from 16.7 ± 8.2 mcg/mL (150 mg) to 34.4 ± 16.6 mcg/mL (300 mg administered as two injections of 150 mg).

In healthy subjects and subjects with PsO, secukinumab bioavailability ranged from 55% to 77% following subcutaneous COSENTYX dose of 150 mg or 300 mg (administered as two injections of 150 mg).

Following subcutaneous administrations of 300 mg of COSENTYX at Weeks 0, 1, 2, 3, and 4 and then every 2 weeks thereafter, steady-state concentrations of secukinumab were achieved by Week 24 in both HS trials. The mean (± SD) steady-state trough concentrations were 55.7 ± 28.9 mcg/mL and 50.5 ± 28.2 mcg/mL in HS Trial 1 and HS Trial 2, respectively.

Distribution

The mean volume of distribution during the terminal phase (Vz) following a single intravenous administration ranged from 7.10 to 8.60 L in PsO subjects.

Secukinumab concentrations in interstitial fluid in lesional and non-lesional skin of PsO subjects ranged from 27% to 40% of those in serum at 1 and 2 weeks after a single subcutaneous dose of COSENTYX 300 mg (administered as two injections of 150 mg).

Elimination

Metabolism

The metabolic pathway of secukinumab has not been characterized. As a human IgG1κ monoclonal antibody secukinumab is expected to be degraded into small peptides and amino acids via catabolic pathways in the same manner as endogenous IgG.

Excretion

The mean systemic clearance (CL) ranged from 0.14 L/day to 0.22 L/day and the mean half-life ranged from 22 to 31 days in PsO subjects following intravenous and subcutaneous administration across all PsO trials.

In a population PK analysis, the mean systemic CL in subjects with HS was 0.26 L/day. The mean elimination half-life, as estimated from population PK analysis, was 23 days in HS subjects.

Dose Linearity

Secukinumab exhibited dose-proportional PK in subjects with PsO over a dose range from 25 mg (approximately 0.083 times the recommended dose) to 300 mg following subcutaneous administrations.

Weight

Secukinumab clearance and volume of distribution increase as body weight increases.

Specific Populations

Patients with Hepatic or Renal Impairment

No formal trial of the effect of hepatic or renal impairment on the PK of secukinumab was conducted.

Geriatric Patients

Population PK analysis indicated that the clearance of secukinumab was not significantly influenced by age in adult subjects with PsO, PsA and AS. Subjects who are 65 years or older had apparent clearance of secukinumab similar to subjects less than 65 years old.

Pediatric Patients

In a pool of the two pediatric trials, subjects with moderate to severe PsO (6 years of age and older) were administered subcutaneous COSENTYX at the recommended pediatric dosing regimen. At Week 24, secukinumab steady state mean ± SD serum trough concentrations were 32.6 ± 10.8 mcg/mL (n = 8), 19.8 ± 6.96 mcg/mL (n = 24), and 27.3 ± 10.1 mcg/mL (n = 36), in subjects who weighed less than 25 kg and received 75 mg of subcutaneous COSENTYX, subjects who weighed at least 25 kg and less than 50 kg and received 75 mg of subcutaneous COSENTYX, and subjects who weighed at least 50 kg and received 150 mg of subcutaneous COSENTYX, respectively.

In a pediatric trial, JPsA and ERA patients (2 to less than 18 years of age) were administered subcutaneous COSENTYX at the recommended pediatric dosing regimen. At Week 24, patients who weighed at least 15 kg and less than 50 kg, and patients who weighed at least 50 kg had a mean ± SD steady-state trough concentration of 25.2 ± 5.45 mcg/mL (n = 10) and 27.9 ± 9.57 mcg/mL (n = 19), respectively.

Drug Interactions

Cytochrome P450 Substrates

In adult subjects with PsO, midazolam (CYP3A4 substrate) PK was similar when administered alone, or when administered following either a single or five weekly subcutaneous administrations of 300 mg of COSENTYX [see Drug Interactions (7)].

Pharmacokinetics Following Intravenous Administration

Following an intravenous administration of 1.75 mg/kg maintenance dose every four weeks, with or without a loading dose of 6 mg/kg at Day 0, the secukinumab concentrations [steady state trough secukinumab concentrations (Cmin,ss), mean secukinumab concentrations (Cavg,ss), and maximum secukinumab concentrations (Cmax,ss)] are estimated to be within the range of the steady state concentrations following subcutaneous administration of 150 mg and 300 mg doses of COSENTYX administered every four weeks.

1.2     psoriatic Arthritis

COSENTYX is indicated for the treatment of active psoriatic arthritis (PsA) in patients 2 years of age and older.

1     indications and Usage

COSENTYX is a human interleukin-17A antagonist indicated for the treatment of:

  • moderate to severe plaque psoriasis (PsO) in patients 6 years and older who are candidates for systemic therapy or phototherapy. (1.1)
  • active psoriatic arthritis (PsA) in patients 2 years of age and older. (1.2)
  • adults with active ankylosing spondylitis (AS). (1.3)
  • adults with active non-radiographic axial spondyloarthritis (nr-axSpA) with objective signs of inflammation. (1.4)
  • active enthesitis-related arthritis (ERA) in pediatric patients 4 years of age and older. (1.5)
  • adults with moderate to severe hidradenitis suppurativa (HS). (1.6)
12.1     mechanism of Action

Secukinumab is a human IgG1 monoclonal antibody that selectively binds to the interleukin-17A (IL-17A) cytokine and inhibits its interaction with the IL-17 receptor. IL-17A is a naturally occurring cytokine that is involved in normal inflammatory and immune responses. Secukinumab inhibits the release of proinflammatory cytokines and chemokines.

5.5     eczematous Eruptions

In postmarketing reports, cases of severe eczematous eruptions, including atopic dermatitis-like eruptions, dyshidrotic eczema, and erythroderma, were reported in patients receiving COSENTYX; some cases resulted in hospitalization. The onset of eczematous eruptions was variable, ranging from days to months after the first dose of COSENTYX.

Treatment may need to be discontinued to resolve the eczematous eruption. Some patients were successfully treated for eczematous eruptions while continuing COSENTYX.

1.3     ankylosing Spondylitis

COSENTYX is indicated for the treatment of adult patients with active ankylosing spondylitis (AS).

5     warnings and Precautions
  • Infections: Serious infections have occurred. Exercise caution when considering the use of COSENTYX in patients with a chronic infection or a history of recurrent infection. If a serious infection develops, discontinue COSENTYX until the infection resolves. (5.1)
  • Hypersensitivity Reactions: If an anaphylactic reaction or other serious allergic reaction occurs, discontinue COSENTYX immediately and initiate appropriate therapy. (5.2)
  • Tuberculosis (TB): Prior to initiating treatment with COSENTYX, evaluate for TB. (5.3)
  • Inflammatory Bowel Disease (IBD): Cases of IBD were observed in clinical trials. Exercise caution when prescribing COSENTYX to patients with IBD. (5.4)
  • Eczematous Eruptions: Cases of severe eczematous eruptions have occurred in patients receiving COSENTYX. (5.5)
  • Immunizations: Avoid use of live vaccines in patients treated with COSENTYX. (5.7)
14.1     adult Plaque Psoriasis

Four multicenter, randomized, double-blind, placebo-controlled trials of subcutaneous COSENTYX (Trials PsO1, PsO2, PsO3, and PsO4) enrolled 2,403 subjects (691 randomized to COSENTYX 300 mg, 692 to COSENTYX 150 mg, 694 to placebo, and 323 to a biologic active control) 18 years of age and older with PsO who had a minimum BSA involvement of 10%, and Psoriasis Area and Severity Index (PASI) score greater than or equal to 12, and who were candidates for phototherapy or systemic therapy. In these studies, each 300 mg dose was administered as two injections of 150 mg.

  • Trial PsO1 (NCT01365455) enrolled 738 subjects (245 randomized to COSENTYX 300 mg, 245 to COSENTYX 150 mg, and 248 to placebo). Subjects received subcutaneous treatment at Weeks 0, 1, 2, 3, and 4 followed by dosing every 4 weeks. Subjects randomized to receive placebo that were non-responders at Week 12 were crossed over to receive COSENTYX (either 300 mg or 150 mg) at Weeks 12, 13, 14, 15, and 16 followed by the same dose every 4 weeks. All subjects were followed for up to 52 weeks following first administration of trial treatment.
  • Trial PsO2 (NCT01358578) enrolled 1306 subjects (327 randomized to COSENTYX 300 mg, 327 to COSENTYX 150 mg, 326 to placebo, and 323 to a biologic active control). Subjects received subcutaneous treatment at Weeks 0, 1, 2, 3, and 4 followed by dosing every 4 weeks. Subjects randomized to receive placebo that were non-responders at Week 12 crossed over to receive COSENTYX (either 300 mg or 150 mg) at Weeks 12, 13, 14, 15, and 16 followed by the same dose every 4 weeks. All subjects were followed for up to 52 weeks following first administration of trial treatment.
  • Trial PsO3 (NCT01555125) enrolled 177 subjects (59 randomized to COSENTYX 300 mg, 59 to COSENTYX 150 mg, and 59 to placebo) and assessed safety, tolerability, and usability of COSENTYX self-administration via prefilled syringe for 12 weeks. Subjects received subcutaneous treatment at Weeks 0, 1, 2, 3, and 4, followed by the same dose every 4 weeks for up to 12 weeks total.
  • Trial PsO4 (NCT01636687) enrolled 182 subjects (60 randomized to COSENTYX 300 mg, 61 to COSENTYX 150 mg, and 61 to placebo) and assessed safety, tolerability, and usability of COSENTYX self-administration via Sensoready pen for 12 weeks. Subjects received subcutaneous treatment at Weeks 0, 1, 2, 3, and 4, followed by the same dose every 4 weeks for up to 12 weeks total.

Endpoints

In all trials, the endpoints were the proportion of subjects who achieved a reduction in PASI score of at least 75% (PASI 75) from baseline to Week 12 and treatment success (clear or almost clear) on the Investigator’s Global Assessment modified 2011 (IGA). Other evaluated outcomes included the proportion of subjects who achieved a reduction in PASI score of at least 90% (PASI 90) from baseline at Week 12, maintenance of efficacy to Week 52, and improvements in itching, pain, and scaling at Week 12 based on the Psoriasis Symptom Diary©.

The PASI is a composite score that takes into consideration both the percentage of BSA affected and the nature and severity of psoriatic changes within the affected regions (induration, erythema, and scaling). The IGA is a 5-category scale, including “0 = clear”, “1 = almost clear”, “2 = mild”, “3 = moderate” or “4 = severe” indicating the physician’s overall assessment of the psoriasis severity focusing on induration, erythema, and scaling. Treatment success of “clear” or “almost clear” consisted of no signs of psoriasis or normal to pink coloration of lesions, no thickening of the plaque, and none to minimal focal scaling.

Baseline Disease Characteristics

Across all treatment groups, the baseline PASI score ranged from 11 to 72 with a median of 20 and the baseline IGA score ranged from “moderate” (62%) to “severe” (38%). Of the 2,077 PsO subjects who were included in the placebo-controlled trials, 79% were biologic-naïve (have never received a prior treatment with biologics) and 45% were non-biologic failures (failed to respond to a prior treatment with non-biologic therapies). Of the subjects who received a prior treatment with biologics, over one-third were biologic failures. Approximately 15% to 25% of trial subjects had a history of psoriatic arthritis.

Clinical Response

The results of Trials PsO1 and PsO2 are presented in Table 3.

Table 3: Clinical Outcomes at Week 12 in Adults With PsO in Trials PsO1 and PsO2 (Subcutaneous Treatment)
Trial PsO1 Trial PsO2
COSENTYX

300 mg

(N = 245)

n (%)
COSENTYX

150 mg

(N = 245)

n (%)
Placebo

(N = 248)

n (%)
COSENTYX

300 mg

(N = 327)

n (%)
COSENTYX

150 mg

(N = 327)

n (%)
Placebo

(N = 326)

n (%)
PASI 75 response 200 (82) 174 (71) 11 (4) 249 (76) 219 (67) 16 (5)
IGA of clear or almost clear 160 (65) 125 (51) 6 (2) 202 (62) 167 (51) 9 (3)

The results of Trials PsO3 and PsO4 are presented in Table 4.

Table 4: Clinical Outcomes at Week 12 in Adults With PsO in Trials PsO3 and PsO4 (Subcutaneous Treatment)
Trial PsO3 Trial PsO4
COSENTYX

300 mg

(N = 59)

n (%)
COSENTYX

150 mg

(N = 59)

n (%)
Placebo

(N = 59)

n (%)
COSENTYX

300 mg

(N = 60)

n (%)
COSENTYX

150 mg

(N = 61)

n (%)
Placebo

(N = 61)

n (%)
PASI 75 response 44 (75) 41 (69) 0 (0) 52 (87) 43 (70) 2 (3)
IGA of clear or almost clear 40 (68) 31 (53) 0 (0) 44 (73) 32 (52) 0 (0)

Examination of age, sex, and racial subgroups did not identify differences in response to COSENTYX among these subgroups. Based on post-hoc subgroup analyses in subjects with moderate to severe PsO, subjects with lower body weight and lower disease severity may achieve an acceptable response with COSENTYX 150 mg.

PASI 90 response at Week 12 was achieved with COSENTYX 300 mg and 150 mg compared to placebo in 59% (145/245) and 39% (95/245) versus 1% (3/248) of subjects, respectively (Trial PsO1) and 54% (175/327) and 42% (137/327) versus 2% (5/326) of subjects, respectively (Trial PsO2). Similar results were seen in Trials PsO3 and PsO4.

  • With continued treatment over 52 weeks, subjects in Trial PsO1 who were PASI 75 responders at Week 12 maintained their responses in 81% (161/200) of the subjects treated with COSENTYX 300 mg and in 72% (126/174) of subjects treated with COSENTYX 150 mg. Trial PsO1 subjects who were clear or almost clear on the IGA at Week 12 also maintained their responses in 74% (119/160) of subjects treated with COSENTYX 300 mg and in 59% (74/125) of subjects treated with COSENTYX 150 mg.
  • Similarly in Trial PsO2, PASI 75 responders maintained their responses in 84% (210/249) of subjects treated with COSENTYX 300 mg and in 82% (180/219) of subjects treated with COSENTYX 150 mg. Trial PsO2 subjects who were clear or almost clear on the IGA also maintained their responses in 80% (161/202) of subjects treated with COSENTYX 300 mg and in 68% (113/167) of subjects treated with COSENTYX 150 mg.

Among the subjects who chose to participate (39%) in assessments of patient reported outcomes, improvements in signs and symptoms related to itching, pain, and scaling at Week 12 compared to placebo (Trials PsO1 and PsO2) were observed using the Psoriasis Symptom Diary©.

Psoriasis Lesions of Scalp

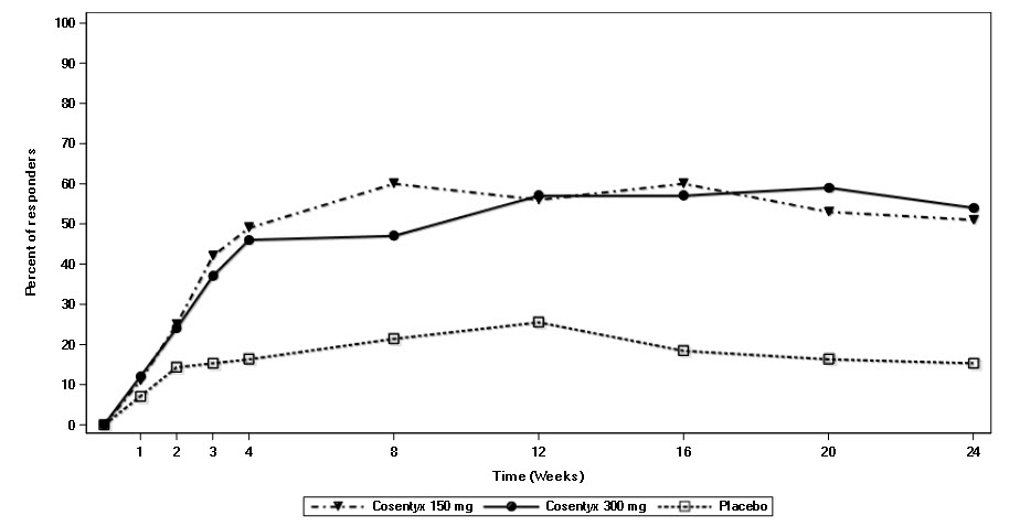
A randomized, placebo-controlled trial (Trial PsO5; NCT02267135) enrolled 102 subjects with moderate to severe psoriasis lesions of scalp, defined as having a Psoriasis Scalp Severity Index (PSSI) score of greater than or equal to 12, an IGA scalp only score of 3 or greater, and at least 30% of the scalp affected. In this trial, 62% of subjects had at least 50% of scalp surface area affected. In this study, each 300 mg dose was administered as two injections of 150 mg. The proportions of subjects achieving an IGA scalp only score of 0 or 1 (clear or almost clear) were 56.9% and 5.9% for the COSENTYX 300 mg and the placebo groups, respectively.

300 mg/2 mL Pre-filled Syringe and 300 mg/2 mL UnoReady Pen

Two randomized, double-blind, placebo-controlled, 52-week trials (PsO6 and PsO7) enrolled 336 subjects at least 18 years of age with moderate to severe PsO who are candidates for systemic therapy or phototherapy to evaluate the safety and efficacy of COSENTYX 300 mg subcutaneously administered with a single 300 mg/2 mL prefilled syringe (Trial PsO6, NCT02748863, 214 patients) or with a single 300 mg/2 mL UnoReady pen (Trial PsO7, NCT03589885, 122 patients) compared to two subcutaneous injections using a 150 mg/1 mL prefilled syringe. The co-primary endpoints for both trials were the proportion of subjects who achieved a PASI 75 response and IGA mod 2011 ‘clear’ or ‘almost clear’ response with at least a two-grade reduction from baseline at Week 12.

Table 5: Clinical Outcomes at Week 12 in Adults With PsO in Trials PsO6 and PsO7 (Subcutaneous Treatment)
Abbreviation: PFS, prefilled syringe.

Missing data was imputed using multiple imputation.
Trial PsO6 Trial PsO7
COSENTYX 300 mg COSENTYX 300 mg
2 mL PFS

(N = 72)

%
Two 1 mL PFS

(N = 71)

%
Placebo

(N = 71)

%
2 mL Pen

(N = 41)

%
Two 1 mL PFS

(N = 41)

%
Placebo

(N = 40)

%
IGA of clear or almost clear 76 69 1 76 68 8
PASI 75 response 89 82 2 95 83 10
PASI 90 response 67 70 2 76 62 5
14.4     ankylosing Spondylitis

The safety and efficacy of subcutaneous COSENTYX were assessed in 816 adult patients (18 years of age and older) with active AS in three randomized, double-blind, placebo-controlled trials (AS1, AS2, and AS3). Patients had active disease as defined by the Bath Ankylosing Spondylitis Disease Activity Index (BASDAI) greater or equal to 4 despite non-steroidal anti-inflammatory drug (NSAID), corticosteroid or disease modifying anti-rheumatic drug (DMARD) therapy.

  • AS1 Study (NCT01649375) evaluated 219 patients, who were treated with 75 mg or 150 mg of subcutaneous COSENTYX treatment at Weeks 0, 1, 2, 3, and 4, followed by the same dose every 4 weeks. At Week 16, patients who received placebo were re-randomized to either 75 mg or 150 mg of subcutaneous COSENTYX every 4 weeks. The primary endpoint was the percentage of patients who achieved an ASAS20 response at Week 16.
  • AS2 Study (NCT01358175) evaluated 371 patients, who were treated with intravenous secukinumab 10 mg/kg at Weeks 0, 2, and 4 (for both treatment arms) or placebo, followed by either 75 mg or 150 mg subcutaneous COSENTYX treatment every 4 weeks or placebo. Patients who received placebo were re-randomized to receive subcutaneous COSENTYX (either 75 mg or 150 mg every 4 weeks) at Week 16 or Week 24 based on responder status.
  • AS3 Study (NCT02008916) evaluated 226 patients, who were treated with intravenous secukinumab 10 mg/kg at Weeks 0, 2, and 4 (for both treatment arms) or placebo, followed by either 150 mg or 300 mg subcutaneous COSENTYX treatment every 4 weeks or placebo. Patients who received placebo were re-randomized to receive subcutaneous COSENTYX (either 150 mg or 300 mg every 4 weeks) at Week 16. The primary endpoint was the percentage of patients who achieved an ASAS20 response at Week 16. Patients were blinded to the treatment regimen up to Week 52, and the trial continued to Week 156. In this study, each 300 mg dose was administered as two injections of 150 mg.

Baseline Disease Characteristics

At baseline, approximately 13% and 25% used concomitant MTX or sulfasalazine, respectively. Overall, 29% of patients discontinued previous treatment with anti-TNFα agents due to either lack of efficacy or intolerance.

Clinical Response

In AS1, patients treated with 150 mg COSENTYX demonstrated greater improvements in ASAS20 and ASAS40 responses compared to patients treated with placebo at Week 16 (Table 10). Responses were similar in patients regardless of concomitant therapies.

Table 10: ASAS20 and ASAS40 Responses in All AS Patients at Week 16 in Study AS1 (Subcutaneous Treatment)
COSENTYX

150 mg

(n = 72)
Placebo



(n = 74)
Difference from placebo

(95% CI)
ASAS20 response, % 61 28 33

(18, 48)
ASAS40 response, % 36 11 25

(12, 38)

The improvements in the main components of the ASAS20 response criteria and other measures of disease activity are shown in Table 11.

Table 11: ASAS20 Components and Other Measures of Disease Activity at Week 16 (AS1 Study) (Subcutaneous Treatment)
  • Percent of subjects with at least a 20%- and 10-unit improvement measured on a Visual Analog Scale (VAS) with 0 = none, 100 = severe.
  • Bath Ankylosing Spondylitis Functional Index.
  • Inflammation is the mean of two patient-reported stiffness self-assessments in BASDAI.
  • Bath Ankylosing Spondylitis Disease Activity Index.
  • Bath Ankylosing Spondylitis Metrology Index.
  • High sensitivity C-reactive protein / mean change based upon observed data.
COSENTYX

150 mg

(N = 72)
Placebo



(N = 74)
Baseline Week 16

change from baseline
Baseline Week 16

change from baseline
ASAS20 response criteria
      -Patient Global Assessment of Disease Activity (0-100 mm)1 67.5 -27.7 70.5 -12.9
      -Total spinal pain (0-100 mm) 66.2 -28.5 69.2 -10.9
      -BASFI (0-10)2 6.2 -2.2 6.1 -0.7
      -Inflammation (0-10)3 6.5 -2.5 6.5 -0.8
     BASDAI score 4 6.6 -2.2 6.8 -0.9
     BASMI 5 3.6 -0.51 3.9 -0.22
     hsCRP 6 (mg/L) mean change at Week 16 27.0 -17.2 15.9 0.8

The percentage of patients who achieved ASAS20 responses by visit is shown in Figure 2. Patients on placebo who received COSENTYX without a loading regimen achieved similar ASAS20 responses over time (data not shown).

Figure 2: ASAS20 Responses in All AS1 Study Patients Over Time Up to Week 16 (Subcutaneous Treatment)

In AS3 Study, patients treated with subcutaneous COSENTYX (150 mg and 300 mg) demonstrated improved signs and symptoms, and had comparable efficacy responses, regardless of dose, that were superior to placebo at Week 16 for the primary and most secondary endpoints. At Week 16, the ASAS20 and ASAS40 responses were 58.1% and 40.5% for 150 mg and 60.5% and 42.1% for 300 mg, respectively. The percent of patients achieving ASAS20 responses by visit is shown in Figure 3.

COSENTYX treated patients showed improvement compared to placebo-treated patients in health-related quality of life as assessed by ASQoL at Week 16.

Figure 3: ASAS20 Responses in All AS3 Study Patients Over Time Up to Week 16 (Subcutaneous Treatment)

Treatment of Adult Patients with Active Ankylosing Spondylitis with Intravenous COSENTYX

The effectiveness of intravenous COSENTYX in the treatment of adult patients with active AS was extrapolated from the established effectiveness of subcutaneous COSENTYX in adult patients with active AS based on pharmacokinetic exposure [see Clinical Pharmacology (12.3)].

2     dosage and Administration
  • Prior to COSENTYX initiation, complete all age-appropriate vaccinations, evaluate patients for tuberculosis (TB). (2.1). See Full Prescribing Information for instructions on preparation and administration of COSENTYX. (2.2, 2.10, 2.11)
  • Administration of Intravenous Formulation: COSENTYX for intravenous use must be diluted prior to administration. Administer as an intravenous infusion after dilution over a period of 30 minutes. (2.11)
  • Plaque Psoriasis:
    • Subcutaneous Dosage in Adults: Recommended dosage is 300 mg by subcutaneous injection at Weeks 0, 1, 2, 3, and 4 followed by 300 mg every 4 weeks. For some patients, a dose of 150 mg may be acceptable. (2.3)
    • Subcutaneous Dosage in Pediatric Patients 6 Years and Older: Recommended weight-based dosage is administered by subcutaneous injection at Weeks 0, 1, 2, 3, and 4 and every 4 weeks thereafter.
      • For patients < 50 kg (at the time of dosing), the dose is 75 mg.
      • For patients ≥ 50 kg (at the time of dosing), the dose is 150 mg. (2.3)
  • Psoriatic Arthritis:

    Adult Patients

    Subcutaneous Dosage:
    • For PsA patients with coexistent moderate to severe PsO, use the dosage and administration for PsO. (2.3)
    • For other PsA patients, administer with or without a loading dosage.
      • With a loading dosage: 150 mg at Weeks 0, 1, 2, 3, and 4 and every 4 weeks thereafter
      • Without a loading dosage: 150 mg every 4 weeks
      • If a patient continues to have active PsA, consider a dosage of 300 mg every 4 weeks. (2.4)

    Intravenous Dosage:

    The recommended intravenous dosages are:
    • With a loading dosage: 6 mg/kg given at Week 0 as a loading dose, followed by 1.75 mg/kg every 4 weeks thereafter (max. maintenance dose 300 mg per infusion).
    • Without a loading dosage: 1.75 mg/kg every 4 weeks (max. maintenance dose 300 mg per infusion). (2.4)

    Pediatric Patients 2 Years and Older

    Subcutaneous Dosages : Administer by subcutaneous injection at Weeks 0, 1, 2, 3, and 4 and every 4 weeks thereafter:

    • For patients ≥ 15 kg and < 50 kg the dose is 75 mg.
    • For patients ≥ 50 kg the dose is 150 mg. (2.5)
  • Ankylosing Spondylitis:

    Subcutaneous Dosage:

    Administer with or without a loading dosage.

    The recommended dosages are:
    • With a loading dosage: 150 mg at Weeks 0, 1, 2, 3, and 4 and every 4 weeks thereafter.
    • Without a loading dosage: 150 mg every 4 weeks.
    • If a patient continues to have active ankylosing spondylitis, consider a dosage of 300 mg every 4 weeks. (2.6)

Intravenous Dosage:

The recommended intravenous dosages are:

  • With a loading dosage: 6 mg/kg given at Week 0 as a loading dose, followed by 1.75 mg/kg every 4 weeks thereafter (max. maintenance dose 300 mg per infusion).
  • Without a loading dosage: 1.75 mg/kg every 4 weeks (max. maintenance dose 300 mg per infusion). (2.6)
  • Non-Radiographic Axial Spondyloarthritis:

    Subcutaneous Dosage:

    Administer with or without a loading dosage. The recommended dosage is:
    • With a loading dosage: 150 mg at Weeks 0, 1, 2, 3, and 4 and every 4 weeks thereafter.
    • Without a loading dosage: 150 mg every 4 weeks. (2.7)

Intravenous Dosage:

The recommended intravenous dosages are:

  • With a loading dosage: 6 mg/kg given at Week 0 as a loading dose, followed by 1.75 mg/kg every 4 weeks thereafter (max. maintenance dose 300 mg per infusion).
  • Without a loading dosage: 1.75 mg/kg every 4 weeks (max. maintenance dose 300 mg per infusion). (2.7)
  • Enthesitis-Related Arthritis: Recommended weight-based dosage is administered by subcutaneous injection at Weeks 0, 1, 2, 3, and 4 and every 4 weeks thereafter.
    • For patients ≥ 15 kg and < 50 kg the dose is 75 mg.
    • For patients ≥ 50 kg the dose is 150 mg. (2.8)
  • Hidradenitis Suppurativa: Recommended dosage is 300 mg administered by subcutaneous injection at Weeks 0, 1, 2, 3 and 4 and every 4 weeks thereafter. If a patient does not adequately respond, consider increasing the dosage to 300 mg every 2 weeks. (2.9)
1.6     hidradenitis Suppurativa

COSENTYX is indicated for the treatment of adult patients with moderate to severe hidradenitis suppurativa (HS).

3     dosage Forms and Strengths

Injection for subcutaneous use:

  • 300 mg/2 mL as a clear to opalescent, colorless to slightly yellowish solution in a single-dose UnoReady pen
  • 300 mg/2 mL as a clear to opalescent, colorless to slightly yellowish solution in a single-dose prefilled syringe
  • 150 mg/mL as a clear to opalescent, colorless to slightly yellowish solution in a single-dose Sensoready pen
  • 150 mg/mL as a clear to opalescent, colorless to slightly yellowish solution in a single-dose prefilled syringe
  • 75 mg/0.5 mL as a clear to opalescent, colorless to slightly yellowish solution in a single-dose prefilled syringe (for pediatric patients less than 50 kg)

Injection for intravenous use:

  • 125 mg/5 mL as a clear to opalescent, colorless to slightly yellowish solution in a single-dose vial for dilution prior to intravenous infusion (for healthcare professional use only).
6.2     postmarketing Experience

The following adverse reactions have been reported during post-approval use of COSENTYX. Because they are reported voluntarily from a population of uncertain size, it is not always possible to reliably estimate their frequency or establish a causal relationship to drug exposure.

Immune system disorders: anaphylaxis, angioedema, systemic vasculitis

Skin and subcutaneous tissue disorders: eczematous eruptions (atopic dermatitis-like eruptions, dyshidrotic eczema, and erythroderma), cutaneous vasculitis, pyoderma gangrenosum

Infections: bacterial, viral, and fungal opportunistic infections, including esophageal candidiasis, tracheobronchial candidiasis, cutaneous aspergillosis, cytomegalovirus gastroenteritis/colitis, herpes simplex encephalitis, herpes simplex keratitis, Pneumocystis jiroveci pneumonia, Hepatitis B virus reactivation, histoplasmosis, toxoplasmosis

14.7     hidradenitis Suppurativa

Two randomized, double-blind, placebo-controlled 52-week Phase 3 trials (i.e., HS Trial 1 [NCT03713619] and HS Trial 2 [NCT03713632]) assessed the efficacy and safety of COSENTYX in the treatment of adult patients with moderate to severe hidradenitis suppurativa (HS). In both trials, subjects were randomized to placebo or COSENTYX 300 mg by subcutaneous injection at Weeks 0, 1, 2, 3 and 4, followed by 300 mg every 2 weeks or every 4 weeks. At Week 16, subjects who were randomized to placebo were reassigned to receive COSENTYX 300 mg at Weeks 16, 17, 18, 19, and 20 followed by either COSENTYX 300 mg every 2 weeks (Q2W) or COSENTYX 300 mg every 4 weeks (Q4W).

Baseline Demographics and Disease Characteristics

HS Trials 1 and 2 included 1,084 adult subjects with moderate to severe HS. HS Trial 1 evaluated 541 subjects and HS Trial 2 evaluated 543 subjects, of whom 13% and 11%, respectively, received concomitant stable dose of systemic antibiotics. In HS Trial 1 and HS Trial 2, 24% and 23% of patients, respectively, were previously treated with a biologic (biologic-exposed patients) and discontinued the biologic agent for either lack of efficacy or intolerance.

Endpoints

The primary endpoint in both trials was the proportion of subjects who achieved a Hidradenitis Suppurativa Clinical Response (HiSCR50) defined as at least a 50% decrease in abscesses and inflammatory nodules (AN) count with no increase in the number of abscesses and/or in the number of draining fistulae relative to baseline at Week 16.

Clinical Response

In HS Trial 1 and HS Trial 2, a statistically significantly higher proportion of subjects treated with COSENTYX 300 mg every 2 weeks (after the first four weeks) achieved a HiSCR50 response at Week 16 compared to patients treated with placebo (see Table 15). In both HS trials, a higher proportion of subjects treated with COSENTYX 300 mg every 4 weeks (after the first four weeks) achieved HiSCR50 at Week 16 compared to subjects treated with placebo (see Table 15), where statistical significance was reached in HS Trial 2. In both trials, the onset of action of COSENTYX occurred as early as Week 2 and the efficacy progressively increased up to Week 16.

For the primary endpoint, HiSCR50, subjects who received any rescue medication or lesion intervention were considered treatment failures and handled as non-responders (n = 20 in Placebo, 11 in Q4W, and 8 in Q2W in HS Trial 1; n = 23 in Placebo, 17 in Q4W, and 13 in Q2W in HS Trial 2).

Improvements were seen for the primary endpoint in HS subjects regardless of previous or concomitant antibiotic treatment or previous biologic exposure.

Table 15: Clinical Response at Week 16 in Adults with Hidradenitis Suppurativa in HS Trial 1 and HS Trial 21
1Multiple imputation was implemented for missing data.

2Subjects received COSENTYX 300 mg by subcutaneous injection at Weeks 0, 1, 2, 3 and 4, followed by 300 mg every 4 weeks (Q4W) or every 2 weeks (Q2W).

*Statistically significant versus placebo based on the pre-defined hierarchy with overall alpha = 0.05 (two-sided).
HS Trial 1 HS Trial 2
Placebo

(n = 180)
COSENTYX 300 mg every 4 weeks2

(n = 180)
COSENTYX 300 mg every 2 weeks2

(n = 181)
Placebo

(n = 183)
COSENTYX 300 mg every 4 weeks2

(n = 180)
COSENTYX 300 mg every 2 weeks2

(n = 180)
HiSCR50 29.4% 41.3% 44.5%* 26.1% 42.5%* 38.3%*
14.3     adult Psoriatic Arthritis

The safety and efficacy of COSENTYX were assessed in 1,999 patients, in 3 randomized, double-blind, placebo-controlled trials (PsA1, PsA2, and PsA3) in adult patients, age 18 years and older with active PsA (greater than or equal to 3 swollen and greater than or equal to 3 tender joints) despite non-steroidal anti-inflammatory drug (NSAID), corticosteroid or disease modifying anti-rheumatic drug (DMARD) therapy. Patients in these trials had a diagnosis of PsA of at least 5 years across all trials.

  • PsA1 Study (NCT 01752634) evaluated 397 patients, who were treated with 75 mg, 150 mg or 300 mg of COSENTYX (administered as two subcutaneous injections of 150 mg) at Weeks 0, 1, 2, 3, and 4, followed by the same subcutaneous dose every 4 weeks. Patients who received placebo were re-randomized to receive subcutaneous COSENTYX (either 150 mg or 300 mg every 4 weeks) at Week 16 or Week 24 based on responder status. The primary endpoint was the percentage of patients achieving an ACR20 response at Week 24.
  • PsA2 Study (NCT 01392326) evaluated 606 patients, who were treated with intravenous secukinumab 10 mg/kg, or placebo at Weeks 0, 2, and 4, followed by either 75 mg or 150 mg of subcutaneous COSENTYX treatment (or placebo) every 4 weeks. Patients who received placebo were re-randomized to receive subcutaneous COSENTYX (either 75 mg or 150 mg every 4 weeks) at Week 16 or Week 24 based on responder status.
  • PsA3 Study (NCT 02404350) evaluated 996 patients, who were treated with 150 mg or 300 mg of COSENTYX (administered as two subcutaneous injections of 150 mg) at Weeks 0, 1, 2, 3, and 4 followed by the same subcutaneous dose every 4 weeks, or once every 4 weeks of COSENTYX 150 mg. Patients treated with placebo received subcutaneous COSENTYX, either 150 mg or 300 mg, per baseline randomization, at Week 16 or Week 24 based upon responder status. The primary endpoint was ACR20 response at Week 16 with the key secondary endpoint the change from baseline in modified Total Sharp Score (mTSS) at Week 24.

Baseline Disease Characteristics

At baseline, over 61% and 42% of the patients had enthesitis and dactylitis, respectively. Overall, 31% of patients discontinued previous treatment with anti-TNFα agents due to either lack of efficacy or intolerance. In addition, approximately 53% of patients from both studies had concomitant methotrexate (MTX) use. Patients with different subtypes of PsA were enrolled, including polyarticular arthritis with no evidence of rheumatoid nodules (80%), asymmetric peripheral arthritis (63%), distal interphalangeal involvement (58%), spondylitis with peripheral arthritis (20%), and arthritis mutilans (7%).

Clinical Response

In PsA1, patients treated with 150 mg or 300 mg COSENTYX demonstrated a greater clinical response, including ACR20, ACR50, and ACR70 compared to patients treated with placebo at Week 24 (Table 7). Responses were similar in patients regardless of concomitant MTX treatment. Responses were seen regardless of prior anti-TNFα exposure.

In patients with coexistent PsO receiving COSENTYX (n = 99), the skin lesions of psoriasis improved with treatment, relative to placebo, as measured by the Psoriasis Area Severity Index (PASI).

Table 7: Responsesa in PsA1 Study at Week 16 and Week 24 (Subcutaneous Treatment)
aPatients who met escape criteria (less than 20% improvement in tender or swollen joint counts) at Week 16 were considered non-responders.
COSENTYX COSENTYX Placebo Difference from placebo (95% CI)
150 mg

(N = 100)
300 mg

(N = 100)


(N = 98)
COSENTYX

150 mg
COSENTYX

300 mg
ACR20 response
Week 16 (%) 60 57 18 42

(30, 54)
38

(26, 51)
Week 24 (%) 51 54 15 36

(24, 48)
39

(27, 51)
ACR50 response
Week 16 (%) 37 35 6 31

(21, 42)
28

(18, 39)
Week 24 (%) 35 35 7 28

(18, 38)
28

(17, 38)
ACR70 response
Week 16 (%) 17 15 2 15

(7, 23)
13

(5, 20)
Week 24 (%) 21 20 1 20

(12, 28)
19

(11, 27)

The percentage of patients who achieved a ACR20 response by visit is shown in Figure 1. Patients on placebo who received COSENTYX without a loading regimen achieved similar ACR20 responses over time (data not shown).

Figure 1: Percent of Adult Patients Who Achieved ACR 20 Responsea in PsA1 Study Through Week 24 (Subcutaneous Treatment)

aPatients who met escape criteria (less than 20% improvement in tender or swollen joint counts) at Week 16 were considered non-responders.





The improvements in the components of the ACR response criteria in the PsA1 study are shown in Table 8.

Table 8: Mean Change From Baseline in ACR Components at Week 16a (PsA1 Study) (Subcutaneous Treatment)
aWeek 16 rather than Week 24 data are displayed to provide comparison between arms prior to placebo escape to COSENTYX.

bMean change based upon observed data.
COSENTYX

150 mg


(N = 100)
COSENTYX

300 mg


(N = 100)
Placebo

(N = 98)
Number of swollen joints
Baseline 12.0 11.2 12.1
Mean change at Week 16 -4.86 -5.83 -3.22
Number of tender joints
Baseline 24.1 20.2 23.5
Mean change at Week 16 -10.70 -10.01 -1.77
Patient’s assessment of pain
Baseline 58.9 57.7 55.4
Mean change at Week 16 -22.91 -23.97 -7.98
Patient global assessment
Baseline 62.0 60.7 57.6
Mean change at Week 16 -25.47 -25.40 -8.25
Physician global assessment
Baseline 56.7 55.0 55.0
Mean change at Week 16 -29.24 -34.71 -14.95
Disability index (HAQ)
Baseline 1.2200 1.2828 1.1684
Mean change at Week 16 -0.45 -0.55 -0.23
CRP (mg/L)
Baseline 14.15 10.88 7.87
Mean change at Week 16b -8.41 -7.21 0.79

Improvements in enthesitis and dactylitis scores were observed in each COSENTYX group compared to placebo at Week 24.

Radiographic Response

In PsA3 Study, inhibition of progression of structural damage was assessed radiographically and expressed by the modified mTSS and its components, the Erosion Score (ES) and Joint Space Narrowing Score (JSN), at Week 24 compared to baseline. Radiographs of hands, wrists, and feet were obtained at baseline, Week 16 and/or Week 24 and scored independently by at least two readers who were blinded to treatment group and visit number. Treatment with subcutaneous COSENTYX 150 mg without a loading dose, 150 mg with a loading dose and 300 mg with a loading dose significantly inhibited progression of peripheral joint damage compared with treatment with placebo as measured by change from baseline in mTSS at Week 24. The percentage of patients with no disease progression (defined as a change from baseline in mTSS of less than or equal to 0.0) from randomization to Week 24 was 75.7%, 70.9%, and 76.5% for COSENTYX 150 mg without a loading dose, 150 mg, 300 mg, respectively versus 68.2% for placebo.

Table 9: Rate of Change per 24 Weeks in Modified Total Sharp Score (Subcutaneous Treatment)
Results from a linear mixed effects model that excluded data after escape for placebo subjects who received escape therapy at Week 16. The model assumes approximately linear progression over time and estimates a difference in rates (slopes) of progression over 24 weeks to compare treatment arms.
Treatment N Rate of change per 24 weeks Difference from placebo

(95% CI)
COSENTYX 150 mg without a loading dose 210 -0.10 -0.61 (-0.95, -0.26)
COSENTYX 150 mg with a loading dose 213 0.14 -0.37 (-0.71, -0.03)
COSENTYX 300 mg with a loading dose 217 0.03 -0.48 (-0.82, -0.14)
Placebo 296 0.51 --

Physical Function

Improvement in physical function as assessed by Health Assessment Questionnaire-Disability Index (HAQ-DI) demonstrated that the proportion of patients who achieved at least -0.3 improvement in HAQ-DI score from baseline was greater in the subcutaneous COSENTYX 150 mg and 300 mg groups compared to the placebo group at Weeks 16 and 24. At Week 16 in PsA1 study, estimated mean change from baseline was -0.23 in the placebo group compared with -0.45 in the COSENTYX 150 mg group and -0.55 in the COSENTYX 300 mg group.

Treatment of Adult Patients with Active Psoriatic Arthritis with Intravenous COSENTYX

The effectiveness of intravenous COSENTYX in the treatment of adult patients with active PsA was extrapolated from the established effectiveness of subcutaneous COSENTYX in adult patients with active PsA based on pharmacokinetic exposure [see Clinical Pharmacology (12.3)].

5.2     hypersensitivity Reactions

Serious hypersensitivity reactions including anaphylaxis, angioedema, and urticaria have been reported in COSENTYX treated subjects in clinical trials and in the post-marketing setting [see Adverse Reactions (6.1, 6.2)]. If an anaphylactic or other serious allergic reaction occurs, immediately discontinue administration of COSENTYX and initiate appropriate therapy [see Contraindications (4)].

5.4     inflammatory Bowel Disease

Inflammatory Bowel Disease (IBD) exacerbations, in some cases serious and/or leading to discontinuation of COSENTYX, occurred in COSENTYX treated subjects during clinical trials in PsO, PsA, AS, nr-axSpA, and HS. In adult subjects with HS, the incidence of IBD was higher in subjects who received COSENTYX 300 mg every 2 weeks (Ulcerative Colitis [UC] 1 case, EAIR 0.2/100 subject-years; Crohn`s Disease [CD] 1 case, EAIR 0.2/100 subject-years) compared to subjects who received COSENTYX 300 mg every 4 weeks (IBD 1 case, EAIR 0.2/100 subject-years). In addition, new onset IBD cases occurred in subjects treated with COSENTYX in clinical trials. In an exploratory trial in 59 subjects with active Crohn’s disease [COSENTYX is not approved for the treatment of Crohn`s disease], there were trends toward greater disease activity and increased adverse reactions in subjects treated with COSENTYX as compared to placebo-treated subjects.

Exercise caution when prescribing COSENTYX to patients with IBD. Patients treated with COSENTYX should be monitored for signs and symptoms of IBD [see Adverse Reactions (6.1)].

6.1     clinical Trials Experience

Because clinical trials are conducted under widely varying conditions, adverse reaction rates observed in the clinical trials of a drug cannot be directly compared to rates in the clinical trials of another drug and may not reflect the rates observed in practice.

Adverse Reactions in Clinical Trials of Subcutaneous COSENTYX

Adverse Reactions from Clinical Trials in Adults with PsO

A total of 3,430 adult subjects with PsO were treated with COSENTYX in controlled and uncontrolled clinical trials. Of these, 1,641 subjects were treated with COSENTYX for at least 1 year.

Four placebo-controlled Phase 3 trials in PsO subjects (Trials PsO1, PsO2, PsO3, and PsO4) were pooled to evaluate the safety of COSENTYX in comparison to placebo up to 12 weeks after treatment initiation. In total, 2,077 subjects were evaluated (691 in the COSENTYX 300 mg group, 692 in the COSENTYX 150 mg group, and 694 in the placebo group). Subjects randomized to COSENTYX received 300 mg or 150 mg doses subcutaneously at Weeks 0, 1, 2, 3, and 4 followed by the same dose every 4 weeks [see Clinical Studies (14)].

Table 2 summarizes the adverse reactions that occurred at a rate of at least 1% and at a higher rate in the COSENTYX groups than the placebo group during the 12-week placebo-controlled period of these trials.

Table 2: Adverse Reactions Reported by Greater Than 1% of Adult Subjects With PsO (and at a Higher Rate in Subjects Treated with COSENTYX) Through Week 12 in Trials PsO1, PsO2, PsO3, and PsO4
COSENTYX
Adverse reactions 300 mg

(N = 691)

n (%)
150 mg

(N = 692)

n (%)
Placebo

(N = 694)

n (%)
Nasopharyngitis 79 (11.4) 85 (12.3) 60 (8.6)
Diarrhea 28 (4.1) 18 (2.6) 10 (1.4)
Upper respiratory tract infection 17 (2.5) 22 (3.2) 5 (0.7)
Rhinitis 10 (1.4) 10 (1.4) 5 (0.7)
Oral herpes 9 (1.3) 1 (0.1) 2 (0.3)
Pharyngitis 8 (1.2) 7 (1.0) 0 (0)
Urticaria 4 (0.6) 8 (1.2) 1 (0.1)
Rhinorrhea 8 (1.2) 2 (0.3) 1 (0.1)

Adverse reactions that occurred in subjects treated with COSENTYX at rates less than 1% in the placebo-controlled period of Trials PsO1, PsO2, PsO3, and PsO4 through Week 12 included: sinusitis, tinea pedis, conjunctivitis, tonsillitis, oral candidiasis, impetigo, otitis media, otitis externa, IBD, increased liver transaminases, and neutropenia.

Infections

In the placebo-controlled period of the clinical trials in PsO (a total of 1,382 subjects treated with COSENTYX and 694 subjects treated with placebo up to 12 weeks), infections were reported in 28.7% of subjects treated with COSENTYX compared with 18.9% of subjects treated with placebo.

Over the entire treatment period (a total of 3,430 PsO subjects treated with COSENTYX for up to 52 weeks for the majority of subjects), infections were reported in 47.5% of subjects treated with COSENTYX (0.9 per subject-year of follow-up) and serious infections were reported in 1.2% of subjects treated with COSENTYX (0.015 per subject-year of follow-up).

Phase 3 data showed an increasing trend for some types of infection with increasing serum secukinumab concentrations. Candida infections, herpes viral infections, staphylococcal skin infections, and infections requiring treatment increased as serum secukinumab concentration increased.

In the PsO open-label extension of Trials PsO1 and PsO2 (median follow-up of 3.9 years), representing 3,582 subject-years of exposure, 74% of COSENTYX treated subjects reported infections (55 per 100 subject-years) and serious infections were reported in 4.5% of COSENTYX treated subjects (1.4 per 100 subject-years). Sepsis was reported in 5 COSENTYX treated subjects (0.2 per 100 subject-years).

Neutropenia was observed in controlled portion of clinical trials. Most cases of COSENTYX associated neutropenia were transient and reversible. No serious infections were associated with cases of neutropenia.

In the open-label extension of Trials PsO1 and PsO2, neutropenia (ANC < 1 x 109/L) was reported in 1% of COSENTYX treated subjects (0.3 per 100 subject-years). Some cases of serious infections were associated with neutropenia; however, the causal relationship was not established.

Inflammatory Bowel Disease

Cases of IBD, in some cases serious, were observed in subjects treated with COSENTYX in clinical trials. In the PsO program, with 3,430 subjects exposed to COSENTYX over the entire treatment period for up to 52 weeks (2,725 subject-years), there were 3 cases (0.11 per 100 subject-years) of exacerbation of CD, 2 cases (0.08 per 100 subject-years) of exacerbation of UC, and 2 cases (0.08 per 100 subject-years) of new onset UC. There were no IBD cases in placebo-treated subjects (N = 793; 176 subject-years) during the 12-week placebo-controlled period.

One case of exacerbation of Crohn’s disease in a subject treated with COSENTYX subject was reported in open-label portions of clinical trials in PsO.

Adverse Reactions from Clinical Trials in Pediatric Subjects with PsO

The safety of COSENTYX was assessed in two Phase 3 trials in pediatric subjects with PsO.

  • The first was a randomized, double-blind, placebo and active-controlled, 236-week trial (Trial PsO8) that enrolled 162 pediatric subjects 6 years of age and older, with severe PsO (defined by PASI score ≥ 20, an IGA modified 2011 score of 4, and involving ≥ 10% of the body surface area [BSA]) who were candidates for systemic therapy. The 162 subjects were randomized to receive placebo, a biologic active control, or COSENTYX. In the COSENTYX groups, subjects with body weight (BW) less than 25 kg received 75 mg, subjects with BW 25 to less than 50 kg received either 75 mg or 150 mg (2 times the recommended dose), and subjects with BW of at least 50 kg received either 150 mg or 300 mg (2 times the recommended dose). Subjects were dosed at Weeks 0, 1, 2, 3, and 4 and every 4 weeks thereafter.
  • The second trial was a randomized, open-label, 208-week trial (Trial PsO9; NCT03668613) of 84 pediatric subjects 6 years of age and older with moderate to severe PsO (defined by a PASI score ≥ 12, IGA mod 2011 score of ≥ 3, and BSA involvement of ≥ 10% at randomization) who were randomized into two COSENTYX arms [Arm 1: 75 mg for BW < 50 kg or 150 mg for ≥ 50 kg; and Arm 2: 75 mg for BW < 25 kg, 150 mg for BW ≥ 25 kg and < 50 kg, or 300 mg for BW ≥ 50 kg]. Subjects were dosed at Weeks 0, 1, 2, 3, and 4 and every 4 weeks thereafter.

The safety profile of COSENTYX reported in these trials was consistent with the safety profile reported in adult PsO trials.

Infections

One case of methicillin-resistant Staphylococcus aureus (MRSA) toxic shock syndrome (TSS) was reported in a COSENTYX treated pediatric subject during the placebo-controlled period.

In the pediatric safety pool, which includes all subjects who took at least one dose of COSENTYX during the treatment periods [198 subjects (287 subject-years)], 22 (11%) subjects reported ≥ Common Terminology Criteria for Adverse Events (CTCAE) Grade 2 neutropenia (≥ 1,000 to < 1,500 cells/mm3) with 57% of subjects followed for one year or more and 30% of subjects followed for two years or more. During the placebo-controlled period, which included a total of 80 pediatric subjects treated with COSENTYX and 41 subjects treated with placebo up to 12 weeks, ≥ CTCAE Grade 2 neutropenia was reported in 3 (4%) of the subjects treated with COSENTYX compared with no subjects treated with placebo. No serious infections were associated with cases of neutropenia.

Adverse Reactions from Clinical Trials in Adults with PsA

COSENTYX was studied in two placebo-controlled PsA trials with 1,003 adult patients (703 patients on COSENTYX and 300 patients on placebo). Of the 703 patients who received COSENTYX, 299 patients received a subcutaneous loading dose of COSENTYX (PsA1) and 404 patients received an intravenous loading dose of secukinumab (PsA2) followed by COSENTYX administered by subcutaneous injection every four weeks. During the 16-week placebo-controlled period of the trials in patients with PsA, the overall proportion of patients with adverse events was similar in the secukinumab and placebo-treatment groups (59% and 58%, respectively). The adverse events that occurred at a proportion of at least 2% and at a higher proportion in the COSENTYX groups than the placebo groups during the 16-week placebo-controlled period were nasopharyngitis, upper respiratory tract infection, headache, nausea, and hypercholesterolemia. The safety profile observed in adult patients with PsA treated with COSENTYX is consistent with the safety profile in the PsO trials in adults.

Similar to the clinical trials in patients with PsO, there was an increased proportion of patients with infections in the COSENTYX groups (29%) compared to placebo group (26%).

There were cases of CD and UC in the secukinumab group that included patients who experienced either exacerbations or the development of new disease. There were three cases of IBD, of which two patients received secukinumab and one received placebo.

Adverse Reactions from Clinical Trials in Adults with AS

COSENTYX was studied in two placebo-controlled AS trials with 590 adult patients (394 patients on COSENTYX and 196 patients on placebo). Of the 394 patients who received COSENTYX, 145 patients received a subcutaneous load of COSENTYX (study AS1), and 249 received an intravenous loading dose of secukinumab (study AS2) followed by COSENTYX administered by subcutaneous injection every four weeks. During the 16-week placebo-controlled period of the trials in patients with AS, the overall proportion of patients with adverse events was higher in the secukinumab groups than the placebo-treatment groups (66% and 59%, respectively). The adverse events that occurred at a proportion of at least 2% and at a higher proportion in the COSENTYX groups than the placebo groups during the 16-week placebo-controlled period were nasopharyngitis, nausea, and upper respiratory tract infection. The safety profile observed in patients with AS treated with COSENTYX is consistent with the safety profile in PsO clinical trials. In a third controlled trial of AS (study AS3), the safety profile of the 300 mg dose of COSENTYX was consistent with the safety profile of the 150 mg dose of COSENTYX.

Similar to clinical trials in patients with PsO, there was an increased proportion of patients with infections in the COSENTYX groups (31%) compared to the placebo group (18%).

In the original AS program, with 571 patients exposed to COSENTYX, there were 8 cases of IBD during the entire treatment period [5 cases of Crohn’s (0.7 per 100 patient-years) and 3 cases of UC (0.4 per 100 patient-years)]. During the placebo-controlled 16-week period, there were 2 Crohn’s disease exacerbations and 1 new onset UC case that was a serious adverse event in patients treated with COSENTYX compared to none of the patients treated with placebo. During the remainder of the trial when all patients received COSENTYX, 1 patient developed Crohn’s disease, 2 patients had Crohn’s exacerbations, 1 patient developed UC, and 1 patient had an UC exacerbation.

Adverse Reactions from Clinical Trials in Adults with nr-axSpA

COSENTYX was studied in one randomized, double-blind, placebo-controlled nr-axSpA trial with 555 adult patients (185 patients received a loading COSENTYX dose, 184 patients did not receive a loading COSENTYX dose, and 186 patients received placebo). The safety profile for patients with nr-axSpA treated with COSENTYX was overall similar to the safety profile seen in patients with AS and other previous experience with COSENTYX. Patients in nr-axSpA1 trial who received the loading dosing regimen compared to those without the loading regimen, had higher incidence of infections and infestations (92 per 100 patient-years versus 72 per 100 patient-years), including nasopharyngitis, upper respiratory tract infection and urinary tract infection, and gastrointestinal disorders (27 per 100 patient-years versus 22 per 100 patient-years), including gastritis, lower abdominal pain, colitis, diarrhea, and hematochezia.

Adverse Reactions from Clinical Trials in Pediatric Patients with Juvenile Psoriatic Arthritis (JPsA) and ERA

COSENTYX was studied in one double-blind, placebo-controlled, event-driven, randomized trial in 86 pediatric patients aged 2 to less than 18 years old with JPsA and ERA. The safety profile reported in this trial was consistent with the safety profile of secukinumab.

Adverse Reactions from Clinical Trials in Adults with HS

COSENTYX was studied in two 52-week, randomized, double-blind, placebo-controlled HS trials with 1,084 adult subjects (361 subjects received COSENTYX 300 mg every 2 weeks, 360 subjects received COSENTYX 300 mg every 4 weeks, and 363 subjects received placebo) with a total of 901 subject-years of COSENTYX exposure (the median duration of exposure for subjects treated with COSENTYX was 360 days). The safety profile of COSENTYX observed in these HS trials was consistent with the known safety profile of COSENTYX observed in the PsO trials.

Infections

During the 16-week placebo-controlled period, subjects who received COSENTYX 300 mg every 2 weeks had the highest incidence of fungal infections (5.3%), compared to subjects who received COSENTYX 300 mg every 4 weeks (4.2%) and subjects who received placebo (2.8%). With longer exposure, the rate of fungal infections remained higher for subjects who received COSENTYX 300 mg every 2 weeks (14.7/100 subject-years) compared to subjects who received COSENTYX 300 mg every 4 weeks (10.1/100 subject-years). The majority of the cases were reported as non-serious, non-severe, and resolved with anti-fungal treatment.

Inflammatory Bowel Disease

In the open-labeled portion of HS clinical trials, five (0.7%) IBD adverse reactions were reported, all of which were serious and led to withdrawal of trial drug, and occurred only in subjects treated with COSENTYX 300 mg every 2 weeks. There were no IBD cases in subjects treated with COSENTYX 300 mg every 4 weeks.

Adverse Reactions of Intravenous COSENTYX

The safety of intravenous COSENTYX is based on the pharmacokinetic exposure and extrapolation of the established safety of subcutaneous COSENTYX in PsA, AS and nr-axSpA patients [see Clinical Pharmacology (12.3)].

14.2     pediatric Plaque Psoriasis

A 52-week, multicenter randomized, double-blind, placebo and active-controlled trial (Trial PsO8; NCT02471144) enrolled 162 pediatric subjects 6 years of age and older, with severe plaque psoriasis (as defined by a PASI score ≥ 20, an IGA modified 2011 score of 4, and involving ≥ 10% of the BSA) who were candidates for systemic therapy.

Subjects were randomized to receive subcutaneous placebo, COSENTYX, or a biologic active control. In the COSENTYX groups, subjects with BW less than 25 kg received 75 mg, subjects with BW 25 to less than 50 kg received either 75 mg or 150 mg (2 times the recommended dose), and subjects with BW at least 50 kg received either 150 mg or 300 mg (2 times the recommended dose). In this study, each 300 mg dose was administered as two subcutaneous injections of 150 mg. Subjects in the COSENTYX and placebo groups received subcutaneous treatment at Weeks 0, 1, 2, 3, and 4 followed by dosing every 4 weeks. At Week 12, subjects randomized to placebo who were non-responders were switched to COSENTYX (dose based on body weight) and received COSENTYX at Weeks 12, 13, 14, and 15, followed by the same dose every 4 weeks starting at Week 16.

Baseline Characteristics

Overall, 60% of the subjects were female, 83% were White, the median BW was 50.6 kg, and the mean age was 13.5 years with 23% of the subjects less than 12 years. At baseline, the median PASI score was 26 (ranged from 17 to 60), and 99% of the subjects had an IGA modified 2011 score of 4 (‘severe’). Approximately 43% of the subjects had prior exposure to phototherapy, 53% to conventional systemic therapy, 3% to biologics, and 9% had concomitant psoriatic arthritis.

Endpoints

The co-primary endpoints were the proportion of subjects who achieved a reduction in PASI score of at least 75% (PASI 75) from baseline to Week 12 and the proportion of subjects who achieved an IGA modified 2011 score of ‘clear’ or ‘almost clear’ (0 or 1) with at least a 2-point improvement from baseline to Week 12. The key secondary endpoint was the proportion of subjects who achieved a reduction in PASI score of at least 90% (PASI 90) from baseline to Week 12.

Clinical Response

Table 6 presents the efficacy results at Week 12 by baseline weight strata for the approved dosage in Trial PsO8.

Table 6: Clinical Outcomes at Week 12 in Pediatric Subjects With Severe PsO in Trial PsO8 (Subcutaneous Treatment)
Non-responder imputation was used to handle missing values.

aCOSENTYX treated subjects received 75 mg for subjects less than 50 kg and 150 mg for subjects at least 50 kg body weight.
Body weight < 50 kg Body weight ≥ 50 kg Total
COSENTYX

75 mg

(N = 22)

n (%)
Placebo



(N = 20)

n (%)
COSENTYX

150 mg

(N = 21)

n (%)
Placebo



(N = 21)

n (%)
COSENTYXa



(N = 43)

n (%)
Placebo



(N = 41)

n (%)
IGA of clear or almost clear 7 (32) 1 (5) 17 (81) 1 (5) 24 (56) 2 (5)
PASI 75 response 12 (55) 2 (10) 18 (86) 4 (19) 30 (70) 6 (15)
PASI 90 response 9 (41) 1 (5) 17 (81) 0 (0) 26 (60) 1 (2)
1.5     enthesitis Related Arthritis

COSENTYX is indicated for the treatment of active enthesitis-related arthritis (ERA) in pediatric patients 4 years of age and older.

17     patient Counseling Information

Advise the patient to read the FDA-approved patient labeling (Medication Guide and Instructions for Use).

Infections

Inform patients that COSENTYX may lower the ability of their immune system to fight infections and that serious infections, including opportunistic infections, may occur with the use of COSENTYX. Instruct patients of the importance of communicating any history of infections to the doctor and contacting their doctor if they develop any symptoms of infection [see Warnings and Precautions (5.1, 5.3)].

Hypersensitivity

Advise patients to seek immediate medical attention if they experience any symptoms of serious hypersensitivity reactions [see Warnings and Precautions (5.2)].

Eczematous Eruptions

Inform patients that skin reactions resembling eczema may occur with the use of COSENTYX. Instruct patients to seek medical advice if they develop signs or symptoms of eczema [see Warnings and Precautions (5.5)].

Risk of Hypersensitivity in Latex-Sensitive Individuals

Advise latex-sensitive patients that the removal caps of the COSENTYX 150 mg/mL Sensoready pen and the COSENTYX 1 mL and 0.5 mL prefilled syringes contain natural rubber latex, which may cause an allergic reaction in latex-sensitive individuals [see Warnings and Precautions (5.6)].

Immunization

Advise patients that vaccination with live vaccines is not recommended during COSENTYX treatment. Instruct patients to inform the healthcare practitioner that they are taking COSENTYX prior to a potential vaccination [see Warnings and Precautions (5.7)].

Instructions on Subcutaneous Injection Technique

If a patient or caregiver is to subcutaneously administer COSENTYX using the UnoReady pen, Sensoready pen, or the prefilled syringe, instruct him/her in injection techniques and assess their ability to inject subcutaneously to ensure the proper administration of COSENTYX [see Dosage and Administration (2.2, 2.9), Medication Guide, and Instructions for Use].

For pediatric patients, inform patients and caregivers that pediatric patients should not self-administer COSENTYX.

Instruct patients or caregivers in the technique of proper syringe and needle disposal and advise them not to reuse these items. Instruct patients to inject the full amount of COSENTYX according to the directions provided in the Medication Guide and Instructions for Use.

Storage

Instruct patients to store COSENTYX in a refrigerator at 2°C to 8°C (36ºF to 46ºF) and to discard expired or unused COSENTYX.

Inform patients that if removed from refrigeration, COSENTYX 150 mg/mL Sensoready pens, 150 mg/mL and 75 mg/0.5 mL prefilled syringes may be stored for up to 4 days at room temperature not to exceed 86°F (30°C). Instruct patients to discard if kept outside of the refrigerator over 4 days [see How Supplied/Storage and Handling (16)].

Manufactured by:

Novartis Pharmaceuticals Corporation

East Hanover, New Jersey 07936

US License Number 1244

© Novartis

T2025-48

16     how Supplied/storage and Handling

How Supplied

COSENTYX (secukinumab) injection is a clear to opalescent, colorless to slightly yellowish solution available as follows:

COSENTYX injection for subcutaneous use

COSENTYX 300 mg/2 mL UnoReady pen

  • NDC 0078-1070-68: Carton of one 300 mg/2 mL (300 mg dose) single-dose UnoReady pen (injection)

COSENTYX 300 mg/2 mL (150 mg/mL) prefilled syringe

  • NDC 0078-1070-97: Carton of one 300 mg/2 mL (150 mg/mL) single-dose prefilled syringe (injection)

COSENTYX 150 mg/mL Sensoready pen

  • NDC 0078-0639-41: Carton of two 150 mg/mL (300 mg dose) single-dose Sensoready pens (injection)
  • NDC 0078-0639-68: Carton of one 150 mg/mL single-dose Sensoready pen (injection)

COSENTYX 150 mg/mL prefilled syringe

  • NDC 0078-0639-98: Carton of two 150 mg/mL (300 mg dose) single-dose prefilled syringes (injection)
  • NDC 0078-0639-97: Carton of one 150 mg/mL single-dose prefilled syringe (injection)

COSENTYX 75 mg/0.5 mL prefilled syringe (for pediatric patients less than 50 kg)

  • NDC 0078-1056-97: Carton of one 75 mg/0.5 mL single-dose prefilled syringe (injection)

The removable cap of the COSENTYX 150 mg/mL Sensoready pen and prefilled syringe, and 75 mg/0.5 mL prefilled syringe contains natural rubber latex. Each 300 mg/2 mL UnoReady pen, 150 mg/mL Sensoready pen and 300 mg/2 mL, 150 mg/mL, and 75 mg/0.5 mL prefilled syringe is equipped with a needle safety guard.

COSENTYX injection for intravenous use

  • NDC 0078-1168-61: Carton containing one 125 mg/5 mL (25 mg/mL) solution in a single-dose vial for dilution prior to intravenous infusion.

Storage and Handling

Refrigerate COSENTYX injection for subcutaneous use (300 mg/2 mL UnoReady Pen, 150 mg/mL Sensoready Pens, and 150 mg/mL and 75 mg/0.5 mL Prefilled Syringes), and COSENTYX injection for intravenous use at 2ºC to 8ºC (36ºF to 46ºF). Keep the products in the original carton to protect from light until the time of use. Do not freeze. To avoid foaming, do not shake. COSENTYX does not contain a preservative; discard any unused portion.

If removed from refrigeration, COSENTYX 150 mg/mL Sensoready Pens, and 150 mg/mL and 75 mg/0.5 mL Prefilled Syringes:

  • May be stored for up to 4 days at room temperature not to exceed 30°C (86°F).
  • Write the date COSENTYX is removed from and returned to the refrigerator in the space provided on the carton.
  • Discard if stored outside of the refrigerator over 4 days.
  • May be returned to the refrigerator only one time and must be stored at 2ºC to 8ºC (36ºF to 46ºF) until used or expired.
2.2     important Administration Instructions
  • COSENTYX is for use under the guidance and supervision of a healthcare provider.
  • UnoReady pens, Sensoready pens, and prefilled syringes are for subcutaneous use only.
  • Solution in vials is for intravenous use in adult patients only.

Important Subcutaneous Administration Instructions

Adult patients may self-administer COSENTYX or be injected by a caregiver after proper training in subcutaneous injection technique.

Pediatric patients should not self-administer COSENTYX. An adult caregiver should prepare and inject COSENTYX after proper training in subcutaneous injection technique.

Administer each subcutaneous injection at a different anatomic location (such as upper arms, thighs, or any quadrant of abdomen) than the previous injection, and not into areas where the skin is tender, bruised, erythematous, indurated, or affected by psoriasis. Administration of subcutaneous COSENTYX in the upper, outer arm may be performed by a caregiver or healthcare provider.

The COSENTYX “Instructions for Use” for each presentation and strength contains more detailed instructions on the preparation and administration of COSENTYX for patients and caregivers [see Instructions for Use].

Important Intravenous Infusion Instructions

Intravenous infusion is only for use by a healthcare professional in a healthcare setting. Prepare COSENTYX intravenous infusion by diluting COSENTYX injection in vial(s) and administering based on patient body weight [see Dosage and Administration (2.11)]. Intravenous infusion may be administered only in adults with PsA, AS, and nr-axSPA.

2.3     recommended Dosage in Plaque Psoriasis

Recommended Subcutaneous Dosage in Adults with PsO

The recommended dosage in adults with PsO is 300 mg by subcutaneous injection at Weeks 0, 1, 2, 3, and 4 and every 4 weeks thereafter. Each 300 mg dosage is given as one subcutaneous injection of 300 mg or as two subcutaneous injections of 150 mg.

For some patients, a dosage of 150 mg by subcutaneous injection at Weeks 0, 1, 2, 3, and 4 and every 4 weeks thereafter may be acceptable.

Recommended Subcutaneous Dosage in Pediatric Patients 6 Years of Age and Older with PsO

The recommended weight-based dosage in pediatric patients 6 years of age and older with PsO is administered by subcutaneous injection at Weeks 0, 1, 2, 3, and 4 and every 4 weeks thereafter.

  • For patients < 50 kg (at the time of dosing), the recommended dose is 75 mg.
  • For patients ≥ 50 kg (at the time of dosing), the recommended dose is 150 mg.
1.4     non Radiographic Axial Spondyloarthritis

COSENTYX is indicated for the treatment of adult patients with active non-radiographic axial spondyloarthritis (nr-axSpA) with objective signs of inflammation.

14.5     non Radiographic Axial Spondyloarthritis

The safety and efficacy of COSENTYX were assessed in 555 adult patients (18 years of age and older) with active nr-axSpA in one randomized, double-blind, placebo-controlled Phase 3 study (nr-axSpA1, NCT02696031). Patients met ASAS criteria for axSpA with objective signs of inflammation and had active disease as defined by a BASDAI greater or equal to 4, a Visual Analogue Scale (VAS) for total back pain greater or equal to 40 (on a scale of 0-100 mm) despite NSAID therapy and no evidence of radiographic changes in the sacroiliac joints that would meet the modified New York criteria for AS. Patients also had to have objective signs of inflammation with a C-reactive protein (CRP) level above the upper limit of normal and/or evidence of sacroiliitis on Magnetic Resonance Imaging (MRI).

Patients were treated with 150 mg of subcutaneous COSENTYX treatment with a loading dosage (Weeks 0, 1, 2, 3, and 4) or without a loading dosage (Weeks 0 and 4) followed by the same dose every 4 weeks or placebo. In the double-blind period, patients (n = 555) received either placebo or COSENTYX for 52 weeks. Starting Week 16, dosage adjustment or addition of concomitant NSAIDs and DMARDs was permitted. Starting at Week 20, patients were allowed to switch to open-label 150 mg of subcutaneous COSENTYX monthly or other biologic at the discretion of the investigator and patient. The primary endpoint was at least 40% improvement in Assessment of Spondyloarthritis International Society (ASAS40) at Week 52.

Baseline Disease Characteristics

Approximately 10% and 15% of patients used concomitant MTX or sulfasalazine, respectively. Overall, 10% of patients had received previous treatment with anti-TNFα agents and discontinued these due to either lack of efficacy or intolerance.

Clinical Response

In nr-axSpA1 Study, treatment with COSENTYX 150 mg resulted in significant improvements in the measure of disease activity compared to treatment with placebo at Week 16 and Week 52 (Table 12).

Table 12: Clinical Response in the nr-axSpA1 Study at Week 16 and Week 52 (Subcutaneous Treatment)
Difference in proportions with 95% CI based on normal approximation.
Number of subjects with ASAS40 response (%) COSENTYX

150 mg without load

(n = 184)
COSENTYX

150 mg with load

(n = 185)
Difference from placebo (95% CI)
Placebo

(n = 186)
COSENTYX

150 mg

without load
COSENTYX

150 mg

with load
Week 16 75 (41) 74 (40) 52 (28) 13 (3, 22) 12 (2, 22)
Week 52 70 (38) 62 (34) 36 (19) 19 (10, 28) 14 (5, 23)

The results of the main components of the ASAS40 response criteria in the nr-axSpA1 Study are shown in Table 13.

Table 13: Main Components of the ASAS40 Response Criteria and Other Measures of Disease Activity in nr-axSpA Patients at Baseline and Week 16 in the nr-axSpA1 Study (Subcutaneous Treatment)
COSENTYX

150 mg without loading dosage

(N = 184)
COSENTYX

150 mg with a loading dosage

(N = 185)
Placebo



(N = 186)
Baseline Week 16

change from baseline
Baseline Week 16

change from baseline
Baseline Week 16

change from baseline
ASAS40 response criteria
     -Patient Global Assessment of Disease Activity (0-100 mm) 71.0 -26.2 72.6 -24.1 68.8 -13.8
     -Total back pain (0-100 mm) 72.0 -25.5 73.3 -25.0 70.9 -15.6
     -BASFI (0-10) 5.9 -1.6 6.2 -1.8 5.9 -1.0
     -Inflammation (0-10) 6.8 -2.8 7.2 -2.8 6.6 -1.7
hsCRP (mg/L) mean change at Week 16 9.8 -4.7 13.4 -7.9 9.2 -2.4
BASDAI (0-10) 6.9 -2.4 7.1 -2.4 6.8 -1.5
     -Spinal pain 7.6 -3.0 7.8 -3.0 7.5 -2.0
     -Peripheral pain and swelling (0-10) 6.6 -2.4 6.3 -2.3 6.1 -1.6
BASMI 2.8 -0.3 2.9 -0.3 2.8 -0.1

The percentage of patients achieving an ASAS40 response by visit is shown in Figure 4.

Figure 4: ASAS40 Responses in nr-axSpA1 Study Over Time up to Week 16 (Subcutaneous Treatment)

Health-Related Quality of Life

COSENTYX treated patients showed improvement in both loading and without loading dosage arms compared to placebo-treated patients at Week 16 in health-related quality of life as measured by ASQoL (LS mean change: Week 16: -3.5 and -3.6 versus -1.8, respectively).

Treatment of Adult Patients with Active Non-radiographic Axial Spondyloarthritis with Intravenous COSENTYX

The effectiveness of intravenous COSENTYX in the treatment of adult patients with active nr-axSpA was extrapolated from the established effectiveness of subcutaneous COSENTYX in adult patients with active nr-axSpA based on pharmacokinetic exposure [see Clinical Pharmacology (12.3)].

5.3     pre Treatment Evaluation for Tuberculosis

Evaluate patients for active or latent TB infection prior to initiating treatment with COSENTYX. Avoid administration of COSENTYX to patients with active TB infection. Initiate treatment of latent TB prior to administering COSENTYX. Consider anti-TB therapy prior to initiation of COSENTYX in patients with a past history of latent or active TB in whom an adequate course of treatment cannot be confirmed. Monitor patients closely for signs and symptoms of active TB during and after treatment.

In the postmarketing setting, cases were reported where patients with a history of latent tuberculosis (TB) who were treated with COSENTYX developed active TB.

2.9     recommended Dosage in Hidradenitis Suppurativa

The recommended dose in adult patients with moderate to severe HS is 300 mg by subcutaneous injection at Weeks 0, 1, 2, 3 and 4 and every 4 weeks thereafter.

If a patient does not adequately respond, consider increasing the dosage to 300 mg every 2 weeks. Each 300 mg dosage is given as one subcutaneous injection of 300 mg or as two subcutaneous injections of 150 mg.

2.8     recommended Dosage in Enthesitis Related Arthritis

COSENTYX may only be administered as a subcutaneous injection in pediatric patients aged 4 years and older with active ERA.

The recommended weight-based dosage in pediatric patients 4 years of age and older with ERA is administered by subcutaneous injection at Weeks 0, 1, 2, 3, and 4 and every 4 weeks thereafter:

  • For patients ≥ 15 kg and < 50 kg, the recommended dose is 75 mg.
  • For patients ≥ 50 kg, the recommended dose is 150 mg.
2.1     testing and Procedures Prior to Treatment Initiation

Perform the following evaluations prior to COSENTYX initiation:

  • Evaluate for active or latent tuberculosis (TB). COSENTYX initiation is not recommended in patients with active TB infection. Initiate treatment of latent TB prior to initiation of COSENTYX [see Warnings and Precautions (5.3)].
  • Complete all age-appropriate vaccinations as recommended by current immunization guidelines prior to initiating treatment with COSENTYX [see Warnings and Precautions (5.7)].
13.1     carcinogenesis, Mutagenesis, Impairment of Fertility

Animal studies have not been conducted to evaluate the carcinogenic or mutagenic potential of COSENTYX. Some published literature suggests that IL-17A directly promotes cancer cell invasion in vitro, whereas other reports indicate IL-17A promotes T-cell mediated tumor rejection. Depletion of IL-17A with a neutralizing antibody inhibited tumor development in mice. The relevance of experimental findings in mouse models for malignancy risk in humans is unknown.

No effects on fertility were observed in male and female mice that were administered a murine analog of secukinumab at subcutaneous doses up to 150 mg/kg once weekly prior to and during the mating period.

2.4     recommended Dosage in Adults With Psoriatic Arthritis

COSENTYX may be administered with or without methotrexate.

Recommended Subcutaneous Dosage

For adult patients with PsA and with coexistent moderate to severe PsO, use the dosage and administration recommendations for adults with PsO [see Dosage and Administration (2.3)].

For other adult patients with PsA, administer COSENTYX with or without a loading dosage by subcutaneous injection.

The recommended dosage in adults with PsA:

  • With a loading dosage is 150 mg at Weeks 0, 1, 2, 3, and 4 and every 4 weeks thereafter.
  • Without a loading dosage is 150 mg every 4 weeks.
  • If a patient continues to have active PsA, consider increasing the dosage to 300 mg by subcutaneous injection every 4 weeks. Each 300 mg dosage is given as one subcutaneous injection of 300 mg or as two subcutaneous injections of 150 mg.

Recommended Intravenous Dosage

COSENTYX injection for intravenous use (solution in vials) requires dilution prior to intravenous administration. The recommended intravenous dosage regimen in adults with PsA:

  • With a loading dosage is 6 mg/kg loading dose given at Week 0, followed by 1.75 mg/kg every 4 weeks thereafter (maintenance dosage).
  • Without a loading dosage is 1.75 mg/kg every 4 weeks.

Administer as an intravenous infusion over a period of 30 minutes [see Dosage and Administration (2.11)].

Total doses exceeding 300 mg per infusion are not recommended for the 1.75 mg/kg maintenance dose in adults with PsA [see Dosage and Administration (2.11)].

5.6     risk of Hypersensitivity in Latex Sensitive Individuals

The removable caps of the COSENTYX 150 mg/mL Sensoready pen and the COSENTYX 1 mL and 0.5 mL prefilled syringes contain natural rubber latex, which may cause a hypersensitivity reaction in latex-sensitive individuals. The safe use of COSENTYX 150 mg/mL Sensoready pen or 1 mL and 0.5 mL prefilled syringes in latex-sensitive individuals has not been studied.

2.6     recommended Dosage in Adults With Ankylosing Spondylitis

Recommended Subcutaneous Dosage

Administer COSENTYX with or without a loading dosage by subcutaneous injection in adult patients with active AS. The recommended dosage:

  • With a loading dosage is 150 mg at Weeks 0, 1, 2, 3, and 4 and every 4 weeks thereafter.
  • Without a loading dosage is 150 mg every 4 weeks.
  • If a patient continues to have active AS, consider increasing the dosage to 300 mg every 4 weeks by subcutaneous injection. Each 300 mg dosage is given as one subcutaneous injection of 300 mg or as two subcutaneous injections of 150 mg.

Recommended Intravenous Dosage

COSENTYX injection for intravenous use (solution in vials) requires dilution prior to intravenous administration. The recommended intravenous dosage regimen in adult patients with active AS:

  • With a loading dosage is 6 mg/kg loading dose given at Week 0, followed by 1.75 mg/kg every 4 weeks thereafter (maintenance dosage).
  • Without a loading dosage is 1.75 mg/kg every 4 weeks.

Administer as an intravenous infusion over a period of 30 minutes [see Dosage and Administration (2.11)].

Total doses exceeding 300 mg per infusion are not recommended for the 1.75 mg/kg maintenance dose in patients with AS [see Dosage and Administration (2.11)].

14.6     juvenile Psoriatic Arthritis and Enthesitis Related Arthritis

The efficacy and safety of subcutaneous secukinumab were assessed in a two-year, 3-part, double-blind, placebo-controlled, event-driven, randomized, Phase 3 study (NCT03031782) in 86 pediatric patients (2 to less than 18 years of age) with active ERA or JPsA as diagnosed based on a modified International League of Associations for Rheumatology (ILAR) Juvenile Idiopathic Arthritis (JIA) classification criteria. The trial consisted of an open-label portion (Part 1) followed by randomized withdrawal (Part 2) followed by open-label treatment (Part 3). Patients were given subcutaneous doses of 75 mg if they weighed less than 50 kg, or subcutaneous doses of 150 mg if they weighed at least 50 kg or greater, administered by subcutaneous injection at Weeks 0, 1, 2, 3, and 4, and every 4 weeks thereafter.

The primary endpoint was time to flare in Part 2. Disease flare was defined as at least 30% worsening in at least three of the six JIA ACR response criteria and at least 30% improvement in not more than one of the six JIA ACR response criteria and a minimum of two active joints.

In open-label Part 1, all patients received subcutaneous secukinumab until Week 12. Patients classified as responders (achieving JIA ACR30 response) at Week 12 entered into the Part 2 double-blind phase and were randomized 1:1 to continue treatment with secukinumab or begin treatment with placebo.

Baseline Disease Characteristics

The JIA patient subtypes at study entry were: 60.5% ERA and 39.5% JPsA. In the study, 67.6% of patients with JPsA, and 63.5% of patients with ERA, were treated concomitantly with MTX.

Clinical Response

Similar responses were seen in each JIA subtype (JPsA and ERA). The JIA ACR 30, 50, 70, and 90 responses for patients with JPsA and ERA at Week 12 are presented below in Table 14.

Table 14: JIA ACR 30, 50, 70, and 90 Responses at Week 12 (Subcutaneous Treatment)
Number of subjects with response (%) JIA ACR 30 JIA ACR 50 JIA ACR 70 JIA ACR 90
JPsA (N = 34) 31 (91) 31 (91) 24 (71) 16 (47)
ERA (N = 52) 44 (85) 41 (79) 34 (65) 17 (33)

Juvenile Psoriatic Arthritis Results

During Part 2, a total of 11 JPsA patients in the placebo group experienced a flare event compared with 4 JPsA patients in the secukinumab group. The risk of flare was reduced by 85% for patients who received secukinumab compared with patients who received placebo (Hazard Ratio = 0.15, 95% CI: 0.04 to 0.56) (Figure 5).

Figure 5: Kaplan-Meier Estimates of the Time to Disease Flare in Part 2 for JPsA Patients (Subcutaneous Treatment)

Enthesitis-Related Arthritis Results

During Part 2, a total of 10 ERA patients in the placebo group experienced a flare event compared with 6 ERA patients in the secukinumab group. The risk of flare was reduced by 53% for patients who received secukinumab compared with patients who received placebo (Hazard Ratio = 0.47, 95% CI: 0.17 to 1.32) (Figure 6). Supplementary analyses provided confirmatory evidence of the treatment effect in ERA.

Figure 6: Kaplan-Meier Estimates of the Time to Disease Flare in Part 2 for ERA Patients (Subcutaneous Treatment)

2.11     preparation and Administration of Cosentyx for Intravenous Use

COSENTYX (for intravenous use) must be diluted prior to infusion. Using aseptic technique, prepare COSENTYX (for intravenous use) as follows:

Step 1. Volume Calculation

  • Calculate the total volume of COSENTYX for intravenous use solution (in mL) required based on the patient’s actual body weight as follows:
    • Loading dose (6 mg/kg) is 0.24 mL/kg
    • Maintenance dose (1.75 mg/kg) is 0.07 mL/kg
  • Use the number of vials based on total volume needed (one vial contains 5 mL of COSENTYX solution).

Step 2. Dilution

  • Parenteral drug product should be inspected visually for particulate matter and discoloration prior to administration, whenever solution and container permit. Do not use if particulates or discolorations are noted.
  • Follow Table 1 for recommended infusion bag size based on patient's body weight.
Table 1: Recommended Infusion Bags for Dilution and Preparation of COSENTYX for Intravenous Use Based on Body Weight and Dose
*If a 50 mL infusion bag is unavailable, then use a 100 mL infusion bag and withdraw and discard 50 mL of saline using aseptic technique and continue to follow the preparation and administration steps.
Body weight at time of dosing For the loading dose (6 mg/kg)

recommended infusion bag
For maintenance dose (1.75 mg/kg)

recommended infusion bag
Greater than 52 kg 100 mL 100 mL
Less than or equal to 52 kg 100 mL 50 mL*
  • From the infusion bag, withdraw and discard a volume of 0.9% Sodium Chloride Injection, USP, equal to the calculated volume of the COSENTYX solution required for the patient’s dose [see Dosage and Administration (2.4, 2.6, 2.7)].
  • From the vial(s), withdraw the calculated volume (mL) of COSENTYX solution and add slowly into the 0.9% Sodium Chloride Injection, USP infusion bag. To mix the solution, gently invert the bag to avoid foaming. Do not shake.
  • Discard unused COSENTYX product in vials because it does not contain preservatives.

Allow the diluted COSENTYX solution for infusion to warm to room temperature prior to the start of the intravenous infusion. Administer the diluted COSENTYX solution for infusion as soon as possible. If not administered immediately, store the diluted solution either:

  • At room temperature 20ºC to 25ºC (68ºF to 77ºF) for no more than 4.5 hours from the start of the preparation (piercing the first vial) to the completion of infusion.
  • Under refrigeration at 2°C to 8°C (36°F to 46°F) for no more than 24 hours, from the start of the time of the preparation (piercing the first vial) to the completion of infusion. This time includes the refrigeration of the diluted solution and the time to allow the diluted solution to warm to room temperature. Protect the diluted solution from light during storage under refrigeration.

Step 3. Administration

  • Use only an infusion set with an in-line, sterile, non-pyrogenic, low protein-binding filter (pore size 0.2 micrometer).
  • Administer the infusion at a flow rate of about 3.3 mL/minute for a 100 mL bag or 1.7 mL/min for a 50 mL bag (total administration time: 30 minutes).
  • When administration is complete, flush the line with 0.9% Sodium Chloride Injection, USP to guarantee that all the COSENTYX solution for infusion in the line has been administered.
  • Do not infuse COSENTYX concomitantly in the same intravenous line with other drugs. No physical or biochemical compatibility studies have been conducted to evaluate the IV coadministration of COSENTYX with other drugs.
2.7     recommended Dosage in Adults With Non Radiographic Axial Spondyloarthritis

Recommended Subcutaneous Dosage

Administer COSENTYX with or without a loading dosage by subcutaneous injection in adult patients with active nr-axSpA.

The recommended dosage:

  • With a loading dosage is 150 mg at Weeks 0, 1, 2, 3, and 4 and every 4 weeks thereafter.
  • Without a loading dosage is 150 mg every 4 weeks.

Recommended Intravenous Dosage

COSENTYX injection for intravenous use (solution in vials) requires dilution prior to intravenous administration. The recommended intravenous dosage regimen in adult patients with active nr-axSpA:

  • With a loading dosage is 6 mg/kg loading dose given at Week 0, followed by 1.75 mg/kg every 4 weeks thereafter (maintenance dosage).
  • Without a loading dosage is 1.75 mg/kg every 4 weeks.

Administer as an intravenous infusion over a period of 30 minutes [see Dosage and Administration (2.11)].

Total doses exceeding 300 mg per infusion are not recommended for the 1.75 mg/kg maintenance dose in patients with nr-axSpA [see Dosage and Administration (2.11)].

2.10     preparation for Use of Cosentyx Unoready Pen, Sensoready Pen and Prefilled Syringes

COSENTYX UnoReady pens, Sensoready pens and prefilled syringes are for subcutaneous injection only.

Before subcutaneous injection, remove COSENTYX from the refrigerator and allow COSENTYX to reach room temperature (15 to 30 minutes for the Sensoready pen, the 150 mg/mL and 75 mg/0.5 mL prefilled syringes; 30 to 45 minutes for the UnoReady pen and the 300 mg/2 mL prefilled syringe) without removing the needle cap.

The removable cap of the COSENTYX 150 mg/mL Sensoready pen and the COSENTYX prefilled syringes (150 mg/mL, 75 mg/0.5 mL) contain natural rubber latex and should not be handled by latex-sensitive individuals [see Warnings and Precautions (5.6)].

Inspect COSENTYX visually for particulate matter and discoloration prior to administration. COSENTYX injection is a clear to slightly opalescent, colorless to slightly yellow solution. Do not use if the liquid contains visible particles, is discolored or cloudy. Discard any unused product.

2.5     recommended Dosage in Pediatric Patients 2 Years of Age and Older With Juvenile Psoriatic Arthritis

COSENTYX may be administered with or without methotrexate.

The recommended weight-based subcutaneous dosage in pediatric patients 2 years of age and older with PsA at Weeks 0, 1, 2, 3, and 4 and every 4 weeks thereafter is as follows:

  • For patients ≥ 15 kg and < 50 kg, the recommended dose is 75 mg.
  • For patients ≥ 50 kg, the recommended dose is 150 mg.

Structured Label Content

Section 42231-1 (42231-1)
This Medication Guide has been approved by the U.S. Food and Drug Administration. Revised: August 2024
MEDICATION GUIDE

COSENTYX® (koe-sen-tix)

(secukinumab)

injection, for subcutaneous or intravenous use
What is the most important information I should know about COSENTYX?

COSENTYX is a medicine that affects your immune system. COSENTYX may increase your risk of having serious side effects such as:



Infections. COSENTYX may lower the ability of your immune system to fight infections and may increase your risk of infections. Some people have had serious infections while taking COSENTYX, including tuberculosis (TB), and infections caused by bacteria, fungi, or viruses. Some people have died from these infections.
  • Your healthcare provider should check you for TB before starting treatment with COSENTYX.
  • If your healthcare provider feels that you are at risk for TB, you may be treated with medicine for TB before you begin treatment with COSENTYX and during treatment with COSENTYX.
  • Your healthcare provider should watch you closely for signs and symptoms of TB during treatment with COSENTYX. Do not use COSENTYX if you have an active TB infection.
Before starting COSENTYX, tell your healthcare provider if you:
  • are being treated for an infection
  • have an infection that does not go away or that keeps coming back
  • have TB or have been in close contact with someone with TB
  • think you have an infection or have symptoms of an infection such as:
      ◦  fever, sweats, or chills

      ◦  muscle aches

      ◦  cough

      ◦  shortness of breath

      ◦  blood in your phlegm
       ◦  weight loss

       ◦  warm, red, or painful skin or sores on your body

       ◦  diarrhea or stomach pain

       ◦  burning when you urinate or urinate more often than normal
After starting COSENTYX, call your healthcare provider right away if you have any of the signs of infection listed above. Do not use COSENTYX if you have any signs of infection unless you are instructed to by your healthcare provider.

See “What are the possible side effects of COSENTYX?” for more information about side effects.
What is COSENTYX?

COSENTYX is a prescription medicine used to treat:
  • people 6 years of age and older with moderate to severe plaque psoriasis (PsO) that involves large areas or many areas of the body, and who may benefit from taking injections or pills (systemic therapy) or phototherapy (treatment using ultraviolet or UV light alone or with systemic therapy)
  • people 2 years of age and older with active psoriatic arthritis (PsA)
  • adults with active ankylosing spondylitis (AS)
  • adults with active non-radiographic axial spondyloarthritis (nr-axSpA) and objective signs of inflammation
  • people 4 years of age and older with active enthesitis-related arthritis (ERA)
  • adults with moderate to severe hidradenitis suppurativa (HS)
It is not known if COSENTYX is safe and effective in children:
  • under 6 years of age with PsO
  • under 2 years of age and weighing less than 33 pounds (15 kg) with active PsA
  • under 4 years of age and weighing less than 33 pounds (15 kg) with active ERA
  • with HS
Do not use COSENTYX if you:
  • have had a severe allergic reaction to secukinumab or any of the other ingredients in COSENTYX. See the end of this Medication Guide for a complete list of ingredients in COSENTYX.
Before using COSENTYX, tell your healthcare provider about all of your medical conditions, including if you:
  • have any of the conditions or symptoms listed in the section “What is the most important information I should know about COSENTYX?”
  • have inflammatory bowel disease (Crohn’s disease or ulcerative colitis).
  • are allergic to latex. The needle cap on the COSENTYX Sensoready pen, and 150 mg/mL and 75 mg/0.5 mL prefilled syringes contains latex.
  • have recently received or are scheduled to receive an immunization (vaccine). People who take COSENTYX should not receive live vaccines. Children should be brought up to date with all vaccines before starting COSENTYX.
  • are pregnant or plan to become pregnant. It is not known if COSENTYX can harm your unborn baby. You and your healthcare provider should decide if you will use COSENTYX.
  • are breastfeeding or plan to breastfeed. It is not known if COSENTYX passes into your breast milk.
Tell your healthcare provider about all the medicines you take, including prescription and over-the-counter medicines, vitamins, and herbal supplements.

Know the medicines you take. Keep a list of your medicines to show your healthcare provider and pharmacist when you get a new medicine.
How will I receive COSENTYX?

When administered subcutaneously (under your skin)


Read the detailed “Instructions for Use” that comes with your COSENTYX for information on how to prepare and inject a dose of COSENTYX, and how to properly throw away (dispose of) used COSENTYX.
  • Use COSENTYX exactly as prescribed by your healthcare provider.
  • COSENTYX comes in a single-dose UnoReady pen, single-dose Sensoready pen, or single-dose prefilled syringes (300 mg/2 mL, 150 mg/mL, 75 mg/0.5 mL) that you or your caregiver may use at home to give injections.
  • Your healthcare provider will decide which type of COSENTYX, and which dose is right for you.
  • If your healthcare provider decides that you or a caregiver may give your injections of COSENTYX at home, you should receive training on the right way to prepare and inject COSENTYX. Do not try to inject COSENTYX yourself, until you or your caregiver has been shown how to inject COSENTYX by your healthcare provider.
  • Children should not inject themselves with COSENTYX. An adult caregiver should prepare and inject COSENTYX after receiving training on the right way to prepare and inject COSENTYX.
  • Do not handle the needle cap of the COSENTYX Sensoready pen, or the 75 mg/0.5 mL or 150 mg/mL prefilled syringes if you are sensitive to latex.
  • COSENTYX is given as an injection under your skin (subcutaneous injection), in your upper legs (thighs) or stomach-area (abdomen) by you or a caregiver. A caregiver or healthcare provider may also give you an injection of COSENTYX in your upper outer arm.
  • Do not give an injection in an area of the skin that is tender, bruised, red or hard, or in an area of skin that is affected by psoriasis.
  • Each injection should be given at a different site. Do not use the 2-inch area around your navel (belly button).
  • If you inject more COSENTYX than prescribed, call your healthcare provider or Poison Help line at 1-800-222-1222, or go to the nearest emergency room right away.
When administered intravenously (by vein)
  • You will be given COSENTYX by a healthcare provider through a needle placed in a vein (infusion). It takes about 30 minutes to give you the full dose of COSENTYX.
  • Your healthcare provider will tell you how often you should receive COSENTYX.
  • If you miss an appointment to receive COSENTYX, make another appointment as soon as possible.
What are the possible side effects of COSENTYX?

COSENTYX may cause serious side effects, including:
  • See “What is the most important information I should know about COSENTYX?”
  • Serious allergic reactions. Get emergency medical help right away if you get any of the following symptoms of a serious allergic reaction:
      ◦  feel faint

      ◦  swelling of your face, eyelids, lips, mouth, tongue, or throat
      ◦   trouble breathing or throat tightness

      ◦   chest tightness
      ◦  skin rash

      ◦  hives (red, itchy bumps)
If you have a severe allergic reaction, do not give another injection of COSENTYX.
  • Inflammatory bowel disease. New cases of inflammatory bowel disease or “flare-ups” can happen with COSENTYX and can sometimes be serious. If you have inflammatory bowel disease (ulcerative colitis or Crohn’s disease), tell your healthcare provider if you have worsening disease symptoms during treatment with COSENTYX or develop new symptoms of stomach pain or diarrhea.
  • Severe skin reactions that look like eczema can happen during treatment with COSENTYX from days to months after your first dose and can sometimes lead to hospitalization. Your healthcare provider may temporarily stop treatment with COSENTYX if you develop severe skin reactions. Tell your healthcare provider if you have any of the following signs or symptoms:
      ◦ redness or rash

      ◦ itching

      ◦ small bumps or patches
       ◦ your skin is dry or feels like leather

       ◦ blisters on the hands or feet that ooze or become crusty

       ◦ skin peeling
The most common side effects of COSENTYX include:
      •  cold symptoms       •  diarrhea       •  upper respiratory tract infections
These are not all of the possible side effects of COSENTYX.

Call your doctor for medical advice about side effects. You may report side effects to FDA at 1-800-FDA-1088.
How should I store COSENTYX?
  • Store COSENTYX in a refrigerator, between 36°F to 46°F (2°C to 8°C).
  • Keep COSENTYX in the original carton until ready for use to protect from light.
  • If you use COSENTYX Sensoready pen, or COSENTYX 75 mg/0.5 mL or 150 mg/mL prefilled syringe:
    • It may be stored at room temperature, up to 86°F (30°C), for up to 4 days.
    • Write the date it was removed from and returned to the refrigerator in the space provided on the carton.
    • Throw it away if it has been stored outside of the refrigerator over 4 days.
    • It may be returned to the refrigerator only 1 time and must be stored between 36°F to 46°F (2°C to 8°C) until you use it or until it expires.
  • Do not freeze COSENTYX.
  • Do not shake COSENTYX.
  • Throw away any expired or unused COSENTYX.
Keep COSENTYX and all medicines out of the reach of children.
General information about the safe and effective use of COSENTYX.

Medicines are sometimes prescribed for purposes other than those listed in a Medication Guide. Do not use COSENTYX for a condition for which it was not prescribed. Do not give COSENTYX to other people, even if they have the same symptoms that you have. It may harm them. You can ask your pharmacist or healthcare provider for information about COSENTYX that is written for health professionals.
What are the ingredients in COSENTYX?

Active ingredient: secukinumab.

Inactive ingredients:

L-histidine/histidine hydrochloride monohydrate, L-methionine, polysorbate 80, trehalose dihydrate, and sterile water for injection.

Manufactured by: Novartis Pharmaceuticals Corporation, East Hanover, New Jersey 07936, U.S. License Number 1244

For more information, call 1-888-669-6682 or go to www.COSENTYX.com

T2024-65

Section 43683-2 (43683-2)
Contraindications (4) 10/2024
Warnings and Precautions (5.2) 10/2024
Section 59845-8 (59845-8)

INSTRUCTIONS FOR USE

COSENTYX® [koe-sen-tix]

(secukinumab)

injection, for subcutaneous use

300 mg/2 mL single-dose prefilled syringe

Be sure that you read, understand, and follow this Instructions for Use before injecting COSENTYX. Your healthcare provider should show you how to prepare and inject COSENTYX properly using the prefilled syringe before you use it for the first time. Talk to your healthcare provider if you have any questions.

Important Information You Need to Know Before Injecting COSENTYX:

  • Do not use the COSENTYX prefilled syringe if either the seal on the outside carton or the seal of the blister are broken. Keep the COSENTYX prefilled syringe in the sealed carton until you are ready to use it.
  • Do not use the COSENTYX prefilled syringe if the syringe has been dropped onto a hard surface or dropped after removing the needle cap.
  • Do not shake the COSENTYX prefilled syringe.
  • The prefilled syringe has a needle guard that will be activated to cover the needle after the injection is finished. The needle guard will help to prevent needle stick injuries to anyone who handles the prefilled syringe.
  • Do not remove the needle cap until just before you give the injection.
  • Avoid touching the syringe guard wings before use. Touching them may cause the syringe guard to be activated too early.
  • Throw away (dispose of) the used COSENTYX prefilled syringe right away after use. Do not re-use the COSENTYX prefilled syringe. See “How should I dispose of the used COSENTYX prefilled syringe?” at the end of this Instructions for Use.

How should I store COSENTYX?

  • Store your carton of COSENTYX prefilled syringe in a refrigerator, between 36°F to 46°F (2°C to 8°C).
  • Keep the COSENTYX prefilled syringe in the original carton until ready to use to protect from light.
  • Do not freeze the COSENTYX prefilled syringe.
  • Throw away (dispose of) any expired or unused COSENTYX prefilled syringes.

Keep COSENTYX and all medicines out of the reach of children.

COSENTYX prefilled syringe parts (see Figure A):

This Instructions for Use has been approved by the U.S. Food and Drug Administration. Issued: July 2023
Figure A
What you need for your injection:



Included in the carton:
A new COSENTYX prefilled syringe.
Each COSENTYX prefilled syringe contains 300 mg of COSENTYX. Check to make sure that you have the correct medicine and dose.
Not included in the carton (see Figure B):

• 1 Alcohol wipe

• 1 Cotton ball or gauze

• Sharps disposal container



See “How should I dispose of the used COSENTYX prefilled syringe?” at the end of this Instructions for Use.



Figure B

Prepare the COSENTYX 300 mg prefilled syringe
Step 1. Find a clean, well-lit, flat work surface.
Step 2. Take the carton containing the COSENTYX prefilled syringe out of the refrigerator and leave it unopened on your work surface for about 30 to 45 minutes so that it reaches room temperature.
Step 3. Wash your hands well with soap and water.
Step 4. Remove the COSENTYX prefilled syringe from the outer carton and take it out of the blister.
Step 5. Look through the viewing window on the COSENTYX prefilled syringe. The liquid inside should be clear. The color may be colorless to slightly yellow. You may see a small air bubble in the liquid. This is normal. Do not use the prefilled syringe if the liquid contains visible particles, or if the liquid is cloudy or discolored.
Step 6. Do not use the COSENTYX prefilled syringe if it is broken. Return the prefilled syringe and the package it came in to the pharmacy.
Step 7. Do not use the COSENTYX prefilled syringe if the expiration date has passed.



Choose and clean the injection site
  • Areas of your body that you may use as injection sites include:
    • the front of your thighs (see Figure C)
    • the lower stomach-area (abdomen), but not the area 2 inches around your navel (belly button) (see Figure C)
    • the upper outer arms, if a caregiver or healthcare provider is giving you the injection (see Figure D)
  • Choose a different site for each injection of COSENTYX.
  • Do not inject into areas where the skin is tender, bruised, red, scaly, or hard, or in an area of skin that is affected by psoriasis. Avoid areas with scars or stretch marks.
Figure C

Step 8. Using a circular motion, clean the injection site with the alcohol wipe. Leave it to dry before injecting. Do not touch the cleaned area again before injecting. Figure D



Giving the injection
Step 9. Carefully remove the needle cap from the COSENTYX prefilled syringe (see Figure E). Throw away the needle cap. You may see a drop of liquid at the end of the needle. This is normal. Figure E

Step 10. With one hand gently pinch the skin at the injection site. With your other hand insert the needle into your skin at a 45-degree angle as shown (see Figure F). Push the needle all the way in to make sure that you inject your full dose. Figure F

Step 11. Hold the COSENTYX prefilled syringe finger grips as shown (see Figure G). Slowly press down on the plunger as far as it will go, so that the plunger head is completely between the syringe guard wings. This will make sure that the syringe guard has been activated.



Step 12. Continue to press fully on the plunger for an additional 5 seconds. Hold the syringe in place for the full 5 seconds.
Figure G

Step 13. Keep the plunger fully depressed while you carefully pull the needle straight out from the injection site (see Figure H). Figure H

Step 14. Slowly release the plunger and allow the syringe guard to automatically cover the exposed needle (see Figure I).



Step 15. There may be a small amount of blood at the injection site. You can press a cotton ball or gauze over the injection site and hold it for 10 seconds. Do not rub the injection site. You may cover the injection site with a small adhesive bandage, if needed.
Figure I

How should I dispose of the used COSENTYX prefilled syringe?


Step 16. Put your used prefilled syringe in an FDA-cleared sharps disposal container right away after use (see Figure J). Do not throw away (dispose of) the prefilled syringe in your household trash.



If you do not have an FDA-cleared sharps disposal container, you may use a household container that is:
  • made of a heavy-duty plastic,
  • can be closed with a tight-fitting, puncture-resistant lid, without sharps being able to come out,
  • upright and stable during use,
  • leak-resistant, and
  • properly labeled to warn of hazardous waste inside the container.
When your sharps disposal container is almost full, you will need to follow your community guidelines for the right way to dispose of your sharps disposal container. There may be state or local laws about how you should throw away used needles, syringes, and prefilled syringes. For more information about safe sharps disposal, and for specific information about sharps disposal in the state that you live in, go to the FDA’s website at: http://www.fda.gov/safesharpsdisposal.
Figure J



Manufactured by:

Novartis Pharmaceuticals Corporation

East Hanover, New Jersey 07936

US License Number 1244


© Novartis

T2023-42

10     overdosage (10     OVERDOSAGE)

In the event of overdosage, it is recommended that the patient be monitored for any signs or symptoms of adverse reactions and appropriate symptomatic treatment be instituted. Consider contacting the Poison Help line (1-800-222-1222) or a medical toxicologist for additional overdose management recommendations.

8.1     pregnancy (8.1     Pregnancy)

Risk Summary

Limited available human data with COSENTYX use in pregnant women are insufficient to inform a drug-associated risk of adverse developmental outcomes. In an embryo-fetal development study, no adverse developmental effects were observed in infants born to pregnant monkeys after subcutaneous administration of secukinumab during organogenesis at doses up to 30 times the maximum recommended human dose (MRHD) (see Data).

The background risk of major birth defects and miscarriage for the indicated population is unknown; however, the background risk in the U.S. general population of major birth defects is 2% to 4% and of miscarriage is 15% to 20% of clinically recognized pregnancies.

Data

Animal Data

An embryo-fetal development study was performed in cynomolgus monkeys with secukinumab. No malformations or embryo-fetal toxicity were observed in fetuses from pregnant monkeys that were administered secukinumab weekly by the subcutaneous route during the period of organogenesis at doses up to 30 times the MRHD (on a mg/kg basis at a maternal dose of 150 mg/kg).

A pre- and post-natal development toxicity study was performed in mice with a murine analog of secukinumab. No treatment-related effects on functional, morphological, or immunological development were observed in fetuses from pregnant mice that were administered the murine analog of secukinumab on gestation days 6, 11, and 17 and on postpartum days 4, 10, and 16 at doses up to 150 mg/kg/dose.

8.2     lactation (8.2     Lactation)

Risk Summary

It is not known whether secukinumab is excreted in human milk or absorbed systemically after ingestion. There are no data on the effects of COSENTYX on the breastfed child or the effects on milk production. The developmental and health benefits of breastfeeding should be considered along with the mother’s clinical need for COSENTYX and any potential adverse effects on the breastfed child from COSENTYX or from the underlying maternal condition.

11     description (11     DESCRIPTION)

Secukinumab, a recombinant human monoclonal IgG1/κ antibody, is an interleukin-17A antagonist. It is expressed in a recombinant Chinese Hamster Ovary (CHO) cell line. Secukinumab has a molecular mass of approximately 151 kDa; both heavy chains of secukinumab contain oligosaccharide chains.

COSENTYX Injection for Subcutaneous Use

COSENTYX injection is a sterile, preservative-free, clear to slightly opalescent, colorless to slightly yellow solution for subcutaneous use. COSENTYX injection is supplied in a single-dose 300 mg/2 mL UnoReady pen with a 27-gauge fixed ½-inch needle, a single-dose 150 mg/mL Sensoready pen with a 27-gauge fixed ½-inch needle, or a single-dose prefilled syringe (300 mg/2 mL, 150 mg/mL, 75 mg/0.5 mL) with a 27-gauge fixed ½-inch needle. The removable cap of the COSENTYX 150 mg/mL Sensoready pen or 1 mL and 0.5 mL prefilled syringes contains natural rubber latex.

Each COSENTYX 300 mg/2 mL UnoReady pen or 300 mg/2 mL prefilled syringe contains 300 mg of secukinumab formulated in: L-histidine/histidine hydrochloride monohydrate (6.206 mg), L-methionine (1.492 mg), polysorbate 80 (0.4 mg), trehalose dihydrate (151.34 mg), and Sterile Water for Injection, USP, at pH of 5.8.

Each COSENTYX 150 mg/mL Sensoready pen or 150 mg/mL prefilled syringe contains 150 mg of secukinumab formulated in: L-histidine/histidine hydrochloride monohydrate (3.103 mg), L-methionine (0.746 mg), polysorbate 80 (0.2 mg), trehalose dihydrate (75.67 mg), and Sterile Water for Injection, USP, at pH of 5.8.

Each COSENTYX 75 mg/0.5 mL prefilled syringe contains 75 mg of secukinumab formulated in: L-histidine/histidine hydrochloride monohydrate (1.552 mg), L-methionine (0.373 mg), polysorbate 80 (0.1 mg), trehalose dihydrate (37.83 mg), and Sterile Water for Injection, USP, at pH of 5.8.

COSENTYX Injection for Intravenous Use

COSENTYX solution is supplied as a sterile, preservative free, clear to opalescent, colorless to slightly yellowish solution in single-dose vials for intravenous infusion after dilution.

Each COSENTYX vial contains 125 mg of secukinumab formulated in: L-histidine (5.67 mg), L-histidine hydrochloride monohydrate (13.3 mg), L-methionine (3.73 mg), polysorbate 80 (1 mg), trehalose dihydrate (426 mg), and Sterile Water for Injection, USP, at pH of 5.8.

5.1     infections (5.1     Infections)

COSENTYX may increase the risk of infections. In clinical trials, a higher rate of infections was observed in COSENTYX treated subjects compared to placebo-treated subjects. In placebo-controlled clinical trials in subjects with moderate to severe PsO, higher rates of common infections, such as nasopharyngitis (11.4% versus 8.6%), upper respiratory tract infection (2.5% versus 0.7%) and mucocutaneous infections with candida (1.2% versus 0.3%) were observed in subjects treated with COSENTYX compared to placebo-treated subjects. A similar increase in risk of infection in subjects treated with COSENTYX was seen in placebo-controlled trials in subjects with PsA, AS and nr-axSpA. The incidence of some types of infections, including fungal infections, appeared to be dose-dependent in clinical trials [see Adverse Reactions (6.1)].

In the postmarketing setting, serious bacterial, viral, and fungal opportunistic infections, and some fatal infections have been reported in patients receiving IL-17 inhibitors including COSENTYX. Cases of Hepatitis B virus reactivation have been reported [see Adverse Reactions (6.2)].

Exercise caution when considering the use of COSENTYX in patients with a chronic infection or a history of recurrent infection. Instruct patients to seek medical advice if signs or symptoms suggestive of an infection occur. If a patient develops a serious infection, monitor the patient closely and discontinue COSENTYX until the infection resolves.

If signs of Hepatitis B virus reactivation occur, consult a hepatitis specialist. COSENTYX is not recommended for use in patients with active viral hepatitis.

Principal Display Panel (PRINCIPAL DISPLAY PANEL)

NDC 0078-0639-97

Rx only

Cosentyx®

(secukinumab)

Injection

Single-dose Prefilled Syringe

150 mg/mL

1 Prefilled Syringe

ATTENTION: Dispense with enclosed Medication Guide.

For Subcutaneous Use Only

Sterile Solution - Contains No Preservative

Caution: Contains Natural Rubber Latex Which May Cause Allergic Reaction.

NOVARTIS

5.7     immunizations (5.7     Immunizations)

Prior to initiating therapy with COSENTYX, consider completion of all age-appropriate immunizations according to current immunization guidelines. COSENTYX may alter a patient's immune response to live vaccines. Avoid use of live vaccines in patients treated with COSENTYX [see Clinical Pharmacology (12.2)].

8.4     pediatric Use (8.4     Pediatric Use)

Subcutaneous Administration

Pediatric Plaque Psoriasis

The safety and effectiveness of COSENTYX have been established for the treatment of moderate to severe PsO in pediatric patients aged 6 years and older who are candidates for systemic therapy or phototherapy [see Adverse Reactions (6.1) and Clinical Studies (14.2)].

Safety and effectiveness of COSENTYX in pediatric patients with PsO below the age of 6 years have not been established.

Juvenile Psoriatic Arthritis

The safety and effectiveness of COSENTYX have been established for the treatment of active JPsA in pediatric patients aged 2 years and older who weigh 15 kg or more [see Adverse Reactions (6.1) and Clinical Studies (14.6)].

The safety and effectiveness of COSENTYX in pediatric patients less than 2 years of age with JPsA or with a body weight less than 15 kg has not been established.

Enthesitis-Related Arthritis

The safety and effectiveness of COSENTYX for the treatment of active ERA in pediatric patients aged 4 years and older who weigh 15 kg or more has been established [see Adverse Reactions (6.1) and Clinical Studies (14.6)].

The safety and effectiveness of COSENTYX in pediatric patients below the age of 4 years old or with body weight less than 15 kg have not been established.

Hidradenitis Suppurativa

The safety and effectiveness of COSENTYX in pediatric patients with HS have not been established.

Intravenous Administration

The safety and effectiveness of intravenous COSENTYX in pediatric patients have not been established.

8.5     geriatric Use (8.5     Geriatric Use)

Of the 3,430 PsO subjects exposed to subcutaneous COSENTYX in clinical trials, a total of 230 (7%) were 65 years of age or older, and 32 (1%) subjects were 75 years of age or older. Although no differences in safety or efficacy were observed between subjects 65 years of age or older and younger adult subjects, the number of subjects 65 years of age and older was not sufficient to determine whether they respond differently from younger adult subjects.

Of the 1,060 subjects with HS exposed to COSENTYX in clinical trials, a total of 14 (1.3%) were 65 years of age and older. Clinical trials in HS did not include sufficient numbers of subjects 65 years of age and older to determine whether they respond differently from younger adult subjects.

12.6     immunogenicity (12.6     Immunogenicity)

The observed incidence of anti-drug antibodies is highly dependent on the sensitivity and specificity of the assay. Differences in assay methods preclude meaningful comparisons of the incidence of anti-drug antibodies (ADA) in the trials described below with the incidence of ADA in other trials, including those of COSENTYX (secukinumab).

The immunogenicity of COSENTYX was evaluated using an electrochemiluminescence-based bridging immunoassay. Less than 1% of subjects treated with COSENTYX developed antibodies to secukinumab in up to 52 weeks of treatment. However, this assay has limitations in detecting anti-secukinumab antibodies in the presence of secukinumab; therefore, the incidence of antibody development might not have been reliably determined.

In up to 52 weeks of treatment in controlled trials in patients with PsO, PsA, AS, nr-axSpA, HS, pediatric PsO, JPsA and ERA [see Clinical Studies (14)], the incidence of anti-secukinumab antibodies (referred as ADA) formation was less than 1% (25 of 6268 total of subjects treated with COSENTYX). Of the subjects treated with COSENTYX who developed ADA, approximately 8% developed neutralizing antibodies. Because of the low occurrence of ADA, the effect of these antibodies on pharmacokinetics, pharmacodynamics, safety, or effectiveness of COSENTYX is unknown.

4     contraindications (4     CONTRAINDICATIONS)

COSENTYX is contraindicated in patients with a previous serious hypersensitivity reaction to secukinumab or to any of the excipients in COSENTYX. Cases of anaphylaxis and angioedema have been reported during treatment with COSENTYX [see Warnings and Precautions (5.2)].

6     adverse Reactions (6     ADVERSE REACTIONS)

The following adverse reactions are discussed in greater detail elsewhere in the labeling:

  • Infections [see Warnings and Precautions (5.1)]
  • Hypersensitivity Reactions [see Warnings and Precautions (5.2)]
  • Inflammatory Bowel Disease [see Warnings and Precautions (5.4)]
  • Eczematous Eruptions [see Warnings and Precautions (5.5)]
7     drug Interactions (7     DRUG INTERACTIONS)

Certain CYP450 Substrates

Increased concentrations of cytokines (e.g., IL-17) during chronic inflammation associated with certain diseases including PsO, PsA, AS, nr-axSpA, ERA, and HS may suppress the formation of CYP enzymes.

Upon initiation or discontinuation of COSENTYX in patients who are receiving concomitant CYP450 substrates, particularly those where minimal decreases in the concentration may reduce CYP substrate effectiveness or minimal increases in the concentration may increase CYP substrate adverse reactions, consider monitoring for therapeutic effect or concentration of the CYP substrate and consider dosage adjustment of the CYP substrate as needed [see Clinical Pharmacology (12.3)].

1.1     plaque Psoriasis (1.1     Plaque Psoriasis)

COSENTYX® is indicated for the treatment of moderate to severe plaque psoriasis (PsO) in patients 6 years and older who are candidates for systemic therapy or phototherapy.

12.2     pharmacodynamics (12.2     Pharmacodynamics)

Elevated levels of IL-17A are found in psoriatic plaques and in HS lesions. Treatment with COSENTYX may reduce epidermal neutrophils and IL-17A levels in psoriatic plaques. Serum levels of total IL-17A (free and secukinumab-bound IL-17A) measured at Week 4 and Week 12 were increased following secukinumab treatment. These pharmacodynamic activities are based on small exploratory trials. The relationship between these pharmacodynamic activities and the mechanism(s) by which secukinumab exerts its clinical effects is unknown.

Increased numbers of IL-17A producing lymphocytes and innate immune cells and increased levels of IL-17A have been found in the blood of patients with PsA and AS. Increased numbers of IL-17A producing lymphocytes have also been found in patients with nr-axSpA.

Immune Response to Non-Live Vaccines During Treatment

Healthy individuals who received a single 150 mg dose of COSENTYX 2 weeks prior to vaccination with a non-U.S.-approved group C meningococcal polysaccharide conjugate vaccine and a non-U.S.-approved inactivated seasonal influenza vaccine had similar antibody responses compared to individuals who did not receive COSENTYX prior to vaccination. The clinical effectiveness of meningococcal and influenza vaccines has not been assessed in patients undergoing treatment with COSENTYX [see Warnings and Precautions (5.7)].

12.3     pharmacokinetics (12.3     Pharmacokinetics)

Pharmacokinetics Following Subcutaneous Administration

The observed pharmacokinetics (PK) of secukinumab administered subcutaneously in patients with PsO, PsA, AS and nr-axSpA were similar. The secukinumab PK is also similar in pediatric patients with ERA and PsO for the same weight tiered dosing regimen.

The mean steady-state trough concentration of secukinumab was approximately 26% lower in HS subjects than that of PsO subjects.

Absorption

Following a single subcutaneous dose of either 150 mg or 300 mg (administered as two injections of 150 mg) of COSENTYX in PsO subjects, secukinumab reached peak mean (± SD) serum concentrations (Cmax) of 13.7 ± 4.8 mcg/mL and 27.3 ± 9.5 mcg/mL, respectively, by approximately 6 days post dose.

Following multiple subcutaneous doses of COSENTYX (administered as one or two injections of 150 mg), the mean (± SD) serum trough concentrations of secukinumab ranged from 22.8 ± 10.2 mcg/mL (150 mg) to 45.4 ± 21.2 mcg/mL (300 mg) at Week 12. At the 300 mg dose at Week 4 and Week 12, the mean trough concentrations resulted from the Sensoready pen were approximately 30% higher than those from the prefilled syringe. Following multiple subcutaneous doses of 300 mg administered via the 300 mg/2 mL UnoReady pen, the mean serum trough concentrations of secukinumab were generally consistent with those in the previous Sensoready pen study used to deliver 300 mg.

Steady-state concentrations of secukinumab were achieved by Week 24 following the every 4-week COSENTYX dosing regimens. The mean (± SD) steady-state trough concentrations ranged from 16.7 ± 8.2 mcg/mL (150 mg) to 34.4 ± 16.6 mcg/mL (300 mg administered as two injections of 150 mg).

In healthy subjects and subjects with PsO, secukinumab bioavailability ranged from 55% to 77% following subcutaneous COSENTYX dose of 150 mg or 300 mg (administered as two injections of 150 mg).

Following subcutaneous administrations of 300 mg of COSENTYX at Weeks 0, 1, 2, 3, and 4 and then every 2 weeks thereafter, steady-state concentrations of secukinumab were achieved by Week 24 in both HS trials. The mean (± SD) steady-state trough concentrations were 55.7 ± 28.9 mcg/mL and 50.5 ± 28.2 mcg/mL in HS Trial 1 and HS Trial 2, respectively.

Distribution

The mean volume of distribution during the terminal phase (Vz) following a single intravenous administration ranged from 7.10 to 8.60 L in PsO subjects.

Secukinumab concentrations in interstitial fluid in lesional and non-lesional skin of PsO subjects ranged from 27% to 40% of those in serum at 1 and 2 weeks after a single subcutaneous dose of COSENTYX 300 mg (administered as two injections of 150 mg).

Elimination

Metabolism

The metabolic pathway of secukinumab has not been characterized. As a human IgG1κ monoclonal antibody secukinumab is expected to be degraded into small peptides and amino acids via catabolic pathways in the same manner as endogenous IgG.

Excretion

The mean systemic clearance (CL) ranged from 0.14 L/day to 0.22 L/day and the mean half-life ranged from 22 to 31 days in PsO subjects following intravenous and subcutaneous administration across all PsO trials.

In a population PK analysis, the mean systemic CL in subjects with HS was 0.26 L/day. The mean elimination half-life, as estimated from population PK analysis, was 23 days in HS subjects.

Dose Linearity

Secukinumab exhibited dose-proportional PK in subjects with PsO over a dose range from 25 mg (approximately 0.083 times the recommended dose) to 300 mg following subcutaneous administrations.

Weight

Secukinumab clearance and volume of distribution increase as body weight increases.

Specific Populations

Patients with Hepatic or Renal Impairment

No formal trial of the effect of hepatic or renal impairment on the PK of secukinumab was conducted.

Geriatric Patients

Population PK analysis indicated that the clearance of secukinumab was not significantly influenced by age in adult subjects with PsO, PsA and AS. Subjects who are 65 years or older had apparent clearance of secukinumab similar to subjects less than 65 years old.

Pediatric Patients

In a pool of the two pediatric trials, subjects with moderate to severe PsO (6 years of age and older) were administered subcutaneous COSENTYX at the recommended pediatric dosing regimen. At Week 24, secukinumab steady state mean ± SD serum trough concentrations were 32.6 ± 10.8 mcg/mL (n = 8), 19.8 ± 6.96 mcg/mL (n = 24), and 27.3 ± 10.1 mcg/mL (n = 36), in subjects who weighed less than 25 kg and received 75 mg of subcutaneous COSENTYX, subjects who weighed at least 25 kg and less than 50 kg and received 75 mg of subcutaneous COSENTYX, and subjects who weighed at least 50 kg and received 150 mg of subcutaneous COSENTYX, respectively.

In a pediatric trial, JPsA and ERA patients (2 to less than 18 years of age) were administered subcutaneous COSENTYX at the recommended pediatric dosing regimen. At Week 24, patients who weighed at least 15 kg and less than 50 kg, and patients who weighed at least 50 kg had a mean ± SD steady-state trough concentration of 25.2 ± 5.45 mcg/mL (n = 10) and 27.9 ± 9.57 mcg/mL (n = 19), respectively.

Drug Interactions

Cytochrome P450 Substrates

In adult subjects with PsO, midazolam (CYP3A4 substrate) PK was similar when administered alone, or when administered following either a single or five weekly subcutaneous administrations of 300 mg of COSENTYX [see Drug Interactions (7)].

Pharmacokinetics Following Intravenous Administration

Following an intravenous administration of 1.75 mg/kg maintenance dose every four weeks, with or without a loading dose of 6 mg/kg at Day 0, the secukinumab concentrations [steady state trough secukinumab concentrations (Cmin,ss), mean secukinumab concentrations (Cavg,ss), and maximum secukinumab concentrations (Cmax,ss)] are estimated to be within the range of the steady state concentrations following subcutaneous administration of 150 mg and 300 mg doses of COSENTYX administered every four weeks.

1.2     psoriatic Arthritis (1.2     Psoriatic Arthritis)

COSENTYX is indicated for the treatment of active psoriatic arthritis (PsA) in patients 2 years of age and older.

1     indications and Usage (1     INDICATIONS AND USAGE)

COSENTYX is a human interleukin-17A antagonist indicated for the treatment of:

  • moderate to severe plaque psoriasis (PsO) in patients 6 years and older who are candidates for systemic therapy or phototherapy. (1.1)
  • active psoriatic arthritis (PsA) in patients 2 years of age and older. (1.2)
  • adults with active ankylosing spondylitis (AS). (1.3)
  • adults with active non-radiographic axial spondyloarthritis (nr-axSpA) with objective signs of inflammation. (1.4)
  • active enthesitis-related arthritis (ERA) in pediatric patients 4 years of age and older. (1.5)
  • adults with moderate to severe hidradenitis suppurativa (HS). (1.6)
12.1     mechanism of Action (12.1     Mechanism of Action)

Secukinumab is a human IgG1 monoclonal antibody that selectively binds to the interleukin-17A (IL-17A) cytokine and inhibits its interaction with the IL-17 receptor. IL-17A is a naturally occurring cytokine that is involved in normal inflammatory and immune responses. Secukinumab inhibits the release of proinflammatory cytokines and chemokines.

5.5     eczematous Eruptions (5.5     Eczematous Eruptions)

In postmarketing reports, cases of severe eczematous eruptions, including atopic dermatitis-like eruptions, dyshidrotic eczema, and erythroderma, were reported in patients receiving COSENTYX; some cases resulted in hospitalization. The onset of eczematous eruptions was variable, ranging from days to months after the first dose of COSENTYX.

Treatment may need to be discontinued to resolve the eczematous eruption. Some patients were successfully treated for eczematous eruptions while continuing COSENTYX.

1.3     ankylosing Spondylitis (1.3     Ankylosing Spondylitis)

COSENTYX is indicated for the treatment of adult patients with active ankylosing spondylitis (AS).

5     warnings and Precautions (5     WARNINGS AND PRECAUTIONS)
  • Infections: Serious infections have occurred. Exercise caution when considering the use of COSENTYX in patients with a chronic infection or a history of recurrent infection. If a serious infection develops, discontinue COSENTYX until the infection resolves. (5.1)
  • Hypersensitivity Reactions: If an anaphylactic reaction or other serious allergic reaction occurs, discontinue COSENTYX immediately and initiate appropriate therapy. (5.2)
  • Tuberculosis (TB): Prior to initiating treatment with COSENTYX, evaluate for TB. (5.3)
  • Inflammatory Bowel Disease (IBD): Cases of IBD were observed in clinical trials. Exercise caution when prescribing COSENTYX to patients with IBD. (5.4)
  • Eczematous Eruptions: Cases of severe eczematous eruptions have occurred in patients receiving COSENTYX. (5.5)
  • Immunizations: Avoid use of live vaccines in patients treated with COSENTYX. (5.7)
14.1     adult Plaque Psoriasis (14.1     Adult Plaque Psoriasis)

Four multicenter, randomized, double-blind, placebo-controlled trials of subcutaneous COSENTYX (Trials PsO1, PsO2, PsO3, and PsO4) enrolled 2,403 subjects (691 randomized to COSENTYX 300 mg, 692 to COSENTYX 150 mg, 694 to placebo, and 323 to a biologic active control) 18 years of age and older with PsO who had a minimum BSA involvement of 10%, and Psoriasis Area and Severity Index (PASI) score greater than or equal to 12, and who were candidates for phototherapy or systemic therapy. In these studies, each 300 mg dose was administered as two injections of 150 mg.

  • Trial PsO1 (NCT01365455) enrolled 738 subjects (245 randomized to COSENTYX 300 mg, 245 to COSENTYX 150 mg, and 248 to placebo). Subjects received subcutaneous treatment at Weeks 0, 1, 2, 3, and 4 followed by dosing every 4 weeks. Subjects randomized to receive placebo that were non-responders at Week 12 were crossed over to receive COSENTYX (either 300 mg or 150 mg) at Weeks 12, 13, 14, 15, and 16 followed by the same dose every 4 weeks. All subjects were followed for up to 52 weeks following first administration of trial treatment.
  • Trial PsO2 (NCT01358578) enrolled 1306 subjects (327 randomized to COSENTYX 300 mg, 327 to COSENTYX 150 mg, 326 to placebo, and 323 to a biologic active control). Subjects received subcutaneous treatment at Weeks 0, 1, 2, 3, and 4 followed by dosing every 4 weeks. Subjects randomized to receive placebo that were non-responders at Week 12 crossed over to receive COSENTYX (either 300 mg or 150 mg) at Weeks 12, 13, 14, 15, and 16 followed by the same dose every 4 weeks. All subjects were followed for up to 52 weeks following first administration of trial treatment.
  • Trial PsO3 (NCT01555125) enrolled 177 subjects (59 randomized to COSENTYX 300 mg, 59 to COSENTYX 150 mg, and 59 to placebo) and assessed safety, tolerability, and usability of COSENTYX self-administration via prefilled syringe for 12 weeks. Subjects received subcutaneous treatment at Weeks 0, 1, 2, 3, and 4, followed by the same dose every 4 weeks for up to 12 weeks total.
  • Trial PsO4 (NCT01636687) enrolled 182 subjects (60 randomized to COSENTYX 300 mg, 61 to COSENTYX 150 mg, and 61 to placebo) and assessed safety, tolerability, and usability of COSENTYX self-administration via Sensoready pen for 12 weeks. Subjects received subcutaneous treatment at Weeks 0, 1, 2, 3, and 4, followed by the same dose every 4 weeks for up to 12 weeks total.

Endpoints

In all trials, the endpoints were the proportion of subjects who achieved a reduction in PASI score of at least 75% (PASI 75) from baseline to Week 12 and treatment success (clear or almost clear) on the Investigator’s Global Assessment modified 2011 (IGA). Other evaluated outcomes included the proportion of subjects who achieved a reduction in PASI score of at least 90% (PASI 90) from baseline at Week 12, maintenance of efficacy to Week 52, and improvements in itching, pain, and scaling at Week 12 based on the Psoriasis Symptom Diary©.

The PASI is a composite score that takes into consideration both the percentage of BSA affected and the nature and severity of psoriatic changes within the affected regions (induration, erythema, and scaling). The IGA is a 5-category scale, including “0 = clear”, “1 = almost clear”, “2 = mild”, “3 = moderate” or “4 = severe” indicating the physician’s overall assessment of the psoriasis severity focusing on induration, erythema, and scaling. Treatment success of “clear” or “almost clear” consisted of no signs of psoriasis or normal to pink coloration of lesions, no thickening of the plaque, and none to minimal focal scaling.

Baseline Disease Characteristics

Across all treatment groups, the baseline PASI score ranged from 11 to 72 with a median of 20 and the baseline IGA score ranged from “moderate” (62%) to “severe” (38%). Of the 2,077 PsO subjects who were included in the placebo-controlled trials, 79% were biologic-naïve (have never received a prior treatment with biologics) and 45% were non-biologic failures (failed to respond to a prior treatment with non-biologic therapies). Of the subjects who received a prior treatment with biologics, over one-third were biologic failures. Approximately 15% to 25% of trial subjects had a history of psoriatic arthritis.

Clinical Response

The results of Trials PsO1 and PsO2 are presented in Table 3.

Table 3: Clinical Outcomes at Week 12 in Adults With PsO in Trials PsO1 and PsO2 (Subcutaneous Treatment)
Trial PsO1 Trial PsO2
COSENTYX

300 mg

(N = 245)

n (%)
COSENTYX

150 mg

(N = 245)

n (%)
Placebo

(N = 248)

n (%)
COSENTYX

300 mg

(N = 327)

n (%)
COSENTYX

150 mg

(N = 327)

n (%)
Placebo

(N = 326)

n (%)
PASI 75 response 200 (82) 174 (71) 11 (4) 249 (76) 219 (67) 16 (5)
IGA of clear or almost clear 160 (65) 125 (51) 6 (2) 202 (62) 167 (51) 9 (3)

The results of Trials PsO3 and PsO4 are presented in Table 4.

Table 4: Clinical Outcomes at Week 12 in Adults With PsO in Trials PsO3 and PsO4 (Subcutaneous Treatment)
Trial PsO3 Trial PsO4
COSENTYX

300 mg

(N = 59)

n (%)
COSENTYX

150 mg

(N = 59)

n (%)
Placebo

(N = 59)

n (%)
COSENTYX

300 mg

(N = 60)

n (%)
COSENTYX

150 mg

(N = 61)

n (%)
Placebo

(N = 61)

n (%)
PASI 75 response 44 (75) 41 (69) 0 (0) 52 (87) 43 (70) 2 (3)
IGA of clear or almost clear 40 (68) 31 (53) 0 (0) 44 (73) 32 (52) 0 (0)

Examination of age, sex, and racial subgroups did not identify differences in response to COSENTYX among these subgroups. Based on post-hoc subgroup analyses in subjects with moderate to severe PsO, subjects with lower body weight and lower disease severity may achieve an acceptable response with COSENTYX 150 mg.

PASI 90 response at Week 12 was achieved with COSENTYX 300 mg and 150 mg compared to placebo in 59% (145/245) and 39% (95/245) versus 1% (3/248) of subjects, respectively (Trial PsO1) and 54% (175/327) and 42% (137/327) versus 2% (5/326) of subjects, respectively (Trial PsO2). Similar results were seen in Trials PsO3 and PsO4.

  • With continued treatment over 52 weeks, subjects in Trial PsO1 who were PASI 75 responders at Week 12 maintained their responses in 81% (161/200) of the subjects treated with COSENTYX 300 mg and in 72% (126/174) of subjects treated with COSENTYX 150 mg. Trial PsO1 subjects who were clear or almost clear on the IGA at Week 12 also maintained their responses in 74% (119/160) of subjects treated with COSENTYX 300 mg and in 59% (74/125) of subjects treated with COSENTYX 150 mg.
  • Similarly in Trial PsO2, PASI 75 responders maintained their responses in 84% (210/249) of subjects treated with COSENTYX 300 mg and in 82% (180/219) of subjects treated with COSENTYX 150 mg. Trial PsO2 subjects who were clear or almost clear on the IGA also maintained their responses in 80% (161/202) of subjects treated with COSENTYX 300 mg and in 68% (113/167) of subjects treated with COSENTYX 150 mg.

Among the subjects who chose to participate (39%) in assessments of patient reported outcomes, improvements in signs and symptoms related to itching, pain, and scaling at Week 12 compared to placebo (Trials PsO1 and PsO2) were observed using the Psoriasis Symptom Diary©.

Psoriasis Lesions of Scalp

A randomized, placebo-controlled trial (Trial PsO5; NCT02267135) enrolled 102 subjects with moderate to severe psoriasis lesions of scalp, defined as having a Psoriasis Scalp Severity Index (PSSI) score of greater than or equal to 12, an IGA scalp only score of 3 or greater, and at least 30% of the scalp affected. In this trial, 62% of subjects had at least 50% of scalp surface area affected. In this study, each 300 mg dose was administered as two injections of 150 mg. The proportions of subjects achieving an IGA scalp only score of 0 or 1 (clear or almost clear) were 56.9% and 5.9% for the COSENTYX 300 mg and the placebo groups, respectively.

300 mg/2 mL Pre-filled Syringe and 300 mg/2 mL UnoReady Pen

Two randomized, double-blind, placebo-controlled, 52-week trials (PsO6 and PsO7) enrolled 336 subjects at least 18 years of age with moderate to severe PsO who are candidates for systemic therapy or phototherapy to evaluate the safety and efficacy of COSENTYX 300 mg subcutaneously administered with a single 300 mg/2 mL prefilled syringe (Trial PsO6, NCT02748863, 214 patients) or with a single 300 mg/2 mL UnoReady pen (Trial PsO7, NCT03589885, 122 patients) compared to two subcutaneous injections using a 150 mg/1 mL prefilled syringe. The co-primary endpoints for both trials were the proportion of subjects who achieved a PASI 75 response and IGA mod 2011 ‘clear’ or ‘almost clear’ response with at least a two-grade reduction from baseline at Week 12.

Table 5: Clinical Outcomes at Week 12 in Adults With PsO in Trials PsO6 and PsO7 (Subcutaneous Treatment)
Abbreviation: PFS, prefilled syringe.

Missing data was imputed using multiple imputation.
Trial PsO6 Trial PsO7
COSENTYX 300 mg COSENTYX 300 mg
2 mL PFS

(N = 72)

%
Two 1 mL PFS

(N = 71)

%
Placebo

(N = 71)

%
2 mL Pen

(N = 41)

%
Two 1 mL PFS

(N = 41)

%
Placebo

(N = 40)

%
IGA of clear or almost clear 76 69 1 76 68 8
PASI 75 response 89 82 2 95 83 10
PASI 90 response 67 70 2 76 62 5
14.4     ankylosing Spondylitis (14.4     Ankylosing Spondylitis)

The safety and efficacy of subcutaneous COSENTYX were assessed in 816 adult patients (18 years of age and older) with active AS in three randomized, double-blind, placebo-controlled trials (AS1, AS2, and AS3). Patients had active disease as defined by the Bath Ankylosing Spondylitis Disease Activity Index (BASDAI) greater or equal to 4 despite non-steroidal anti-inflammatory drug (NSAID), corticosteroid or disease modifying anti-rheumatic drug (DMARD) therapy.

  • AS1 Study (NCT01649375) evaluated 219 patients, who were treated with 75 mg or 150 mg of subcutaneous COSENTYX treatment at Weeks 0, 1, 2, 3, and 4, followed by the same dose every 4 weeks. At Week 16, patients who received placebo were re-randomized to either 75 mg or 150 mg of subcutaneous COSENTYX every 4 weeks. The primary endpoint was the percentage of patients who achieved an ASAS20 response at Week 16.
  • AS2 Study (NCT01358175) evaluated 371 patients, who were treated with intravenous secukinumab 10 mg/kg at Weeks 0, 2, and 4 (for both treatment arms) or placebo, followed by either 75 mg or 150 mg subcutaneous COSENTYX treatment every 4 weeks or placebo. Patients who received placebo were re-randomized to receive subcutaneous COSENTYX (either 75 mg or 150 mg every 4 weeks) at Week 16 or Week 24 based on responder status.
  • AS3 Study (NCT02008916) evaluated 226 patients, who were treated with intravenous secukinumab 10 mg/kg at Weeks 0, 2, and 4 (for both treatment arms) or placebo, followed by either 150 mg or 300 mg subcutaneous COSENTYX treatment every 4 weeks or placebo. Patients who received placebo were re-randomized to receive subcutaneous COSENTYX (either 150 mg or 300 mg every 4 weeks) at Week 16. The primary endpoint was the percentage of patients who achieved an ASAS20 response at Week 16. Patients were blinded to the treatment regimen up to Week 52, and the trial continued to Week 156. In this study, each 300 mg dose was administered as two injections of 150 mg.

Baseline Disease Characteristics

At baseline, approximately 13% and 25% used concomitant MTX or sulfasalazine, respectively. Overall, 29% of patients discontinued previous treatment with anti-TNFα agents due to either lack of efficacy or intolerance.

Clinical Response

In AS1, patients treated with 150 mg COSENTYX demonstrated greater improvements in ASAS20 and ASAS40 responses compared to patients treated with placebo at Week 16 (Table 10). Responses were similar in patients regardless of concomitant therapies.

Table 10: ASAS20 and ASAS40 Responses in All AS Patients at Week 16 in Study AS1 (Subcutaneous Treatment)
COSENTYX

150 mg

(n = 72)
Placebo



(n = 74)
Difference from placebo

(95% CI)
ASAS20 response, % 61 28 33

(18, 48)
ASAS40 response, % 36 11 25

(12, 38)

The improvements in the main components of the ASAS20 response criteria and other measures of disease activity are shown in Table 11.

Table 11: ASAS20 Components and Other Measures of Disease Activity at Week 16 (AS1 Study) (Subcutaneous Treatment)
  • Percent of subjects with at least a 20%- and 10-unit improvement measured on a Visual Analog Scale (VAS) with 0 = none, 100 = severe.
  • Bath Ankylosing Spondylitis Functional Index.
  • Inflammation is the mean of two patient-reported stiffness self-assessments in BASDAI.
  • Bath Ankylosing Spondylitis Disease Activity Index.
  • Bath Ankylosing Spondylitis Metrology Index.
  • High sensitivity C-reactive protein / mean change based upon observed data.
COSENTYX

150 mg

(N = 72)
Placebo



(N = 74)
Baseline Week 16

change from baseline
Baseline Week 16

change from baseline
ASAS20 response criteria
      -Patient Global Assessment of Disease Activity (0-100 mm)1 67.5 -27.7 70.5 -12.9
      -Total spinal pain (0-100 mm) 66.2 -28.5 69.2 -10.9
      -BASFI (0-10)2 6.2 -2.2 6.1 -0.7
      -Inflammation (0-10)3 6.5 -2.5 6.5 -0.8
     BASDAI score 4 6.6 -2.2 6.8 -0.9
     BASMI 5 3.6 -0.51 3.9 -0.22
     hsCRP 6 (mg/L) mean change at Week 16 27.0 -17.2 15.9 0.8

The percentage of patients who achieved ASAS20 responses by visit is shown in Figure 2. Patients on placebo who received COSENTYX without a loading regimen achieved similar ASAS20 responses over time (data not shown).

Figure 2: ASAS20 Responses in All AS1 Study Patients Over Time Up to Week 16 (Subcutaneous Treatment)

In AS3 Study, patients treated with subcutaneous COSENTYX (150 mg and 300 mg) demonstrated improved signs and symptoms, and had comparable efficacy responses, regardless of dose, that were superior to placebo at Week 16 for the primary and most secondary endpoints. At Week 16, the ASAS20 and ASAS40 responses were 58.1% and 40.5% for 150 mg and 60.5% and 42.1% for 300 mg, respectively. The percent of patients achieving ASAS20 responses by visit is shown in Figure 3.

COSENTYX treated patients showed improvement compared to placebo-treated patients in health-related quality of life as assessed by ASQoL at Week 16.

Figure 3: ASAS20 Responses in All AS3 Study Patients Over Time Up to Week 16 (Subcutaneous Treatment)

Treatment of Adult Patients with Active Ankylosing Spondylitis with Intravenous COSENTYX

The effectiveness of intravenous COSENTYX in the treatment of adult patients with active AS was extrapolated from the established effectiveness of subcutaneous COSENTYX in adult patients with active AS based on pharmacokinetic exposure [see Clinical Pharmacology (12.3)].

2     dosage and Administration (2     DOSAGE AND ADMINISTRATION)
  • Prior to COSENTYX initiation, complete all age-appropriate vaccinations, evaluate patients for tuberculosis (TB). (2.1). See Full Prescribing Information for instructions on preparation and administration of COSENTYX. (2.2, 2.10, 2.11)
  • Administration of Intravenous Formulation: COSENTYX for intravenous use must be diluted prior to administration. Administer as an intravenous infusion after dilution over a period of 30 minutes. (2.11)
  • Plaque Psoriasis:
    • Subcutaneous Dosage in Adults: Recommended dosage is 300 mg by subcutaneous injection at Weeks 0, 1, 2, 3, and 4 followed by 300 mg every 4 weeks. For some patients, a dose of 150 mg may be acceptable. (2.3)
    • Subcutaneous Dosage in Pediatric Patients 6 Years and Older: Recommended weight-based dosage is administered by subcutaneous injection at Weeks 0, 1, 2, 3, and 4 and every 4 weeks thereafter.
      • For patients < 50 kg (at the time of dosing), the dose is 75 mg.
      • For patients ≥ 50 kg (at the time of dosing), the dose is 150 mg. (2.3)
  • Psoriatic Arthritis:

    Adult Patients

    Subcutaneous Dosage:
    • For PsA patients with coexistent moderate to severe PsO, use the dosage and administration for PsO. (2.3)
    • For other PsA patients, administer with or without a loading dosage.
      • With a loading dosage: 150 mg at Weeks 0, 1, 2, 3, and 4 and every 4 weeks thereafter
      • Without a loading dosage: 150 mg every 4 weeks
      • If a patient continues to have active PsA, consider a dosage of 300 mg every 4 weeks. (2.4)

    Intravenous Dosage:

    The recommended intravenous dosages are:
    • With a loading dosage: 6 mg/kg given at Week 0 as a loading dose, followed by 1.75 mg/kg every 4 weeks thereafter (max. maintenance dose 300 mg per infusion).
    • Without a loading dosage: 1.75 mg/kg every 4 weeks (max. maintenance dose 300 mg per infusion). (2.4)

    Pediatric Patients 2 Years and Older

    Subcutaneous Dosages : Administer by subcutaneous injection at Weeks 0, 1, 2, 3, and 4 and every 4 weeks thereafter:

    • For patients ≥ 15 kg and < 50 kg the dose is 75 mg.
    • For patients ≥ 50 kg the dose is 150 mg. (2.5)
  • Ankylosing Spondylitis:

    Subcutaneous Dosage:

    Administer with or without a loading dosage.

    The recommended dosages are:
    • With a loading dosage: 150 mg at Weeks 0, 1, 2, 3, and 4 and every 4 weeks thereafter.
    • Without a loading dosage: 150 mg every 4 weeks.
    • If a patient continues to have active ankylosing spondylitis, consider a dosage of 300 mg every 4 weeks. (2.6)

Intravenous Dosage:

The recommended intravenous dosages are:

  • With a loading dosage: 6 mg/kg given at Week 0 as a loading dose, followed by 1.75 mg/kg every 4 weeks thereafter (max. maintenance dose 300 mg per infusion).
  • Without a loading dosage: 1.75 mg/kg every 4 weeks (max. maintenance dose 300 mg per infusion). (2.6)
  • Non-Radiographic Axial Spondyloarthritis:

    Subcutaneous Dosage:

    Administer with or without a loading dosage. The recommended dosage is:
    • With a loading dosage: 150 mg at Weeks 0, 1, 2, 3, and 4 and every 4 weeks thereafter.
    • Without a loading dosage: 150 mg every 4 weeks. (2.7)

Intravenous Dosage:

The recommended intravenous dosages are:

  • With a loading dosage: 6 mg/kg given at Week 0 as a loading dose, followed by 1.75 mg/kg every 4 weeks thereafter (max. maintenance dose 300 mg per infusion).
  • Without a loading dosage: 1.75 mg/kg every 4 weeks (max. maintenance dose 300 mg per infusion). (2.7)
  • Enthesitis-Related Arthritis: Recommended weight-based dosage is administered by subcutaneous injection at Weeks 0, 1, 2, 3, and 4 and every 4 weeks thereafter.
    • For patients ≥ 15 kg and < 50 kg the dose is 75 mg.
    • For patients ≥ 50 kg the dose is 150 mg. (2.8)
  • Hidradenitis Suppurativa: Recommended dosage is 300 mg administered by subcutaneous injection at Weeks 0, 1, 2, 3 and 4 and every 4 weeks thereafter. If a patient does not adequately respond, consider increasing the dosage to 300 mg every 2 weeks. (2.9)
1.6     hidradenitis Suppurativa (1.6     Hidradenitis Suppurativa)

COSENTYX is indicated for the treatment of adult patients with moderate to severe hidradenitis suppurativa (HS).

3     dosage Forms and Strengths (3     DOSAGE FORMS AND STRENGTHS)

Injection for subcutaneous use:

  • 300 mg/2 mL as a clear to opalescent, colorless to slightly yellowish solution in a single-dose UnoReady pen
  • 300 mg/2 mL as a clear to opalescent, colorless to slightly yellowish solution in a single-dose prefilled syringe
  • 150 mg/mL as a clear to opalescent, colorless to slightly yellowish solution in a single-dose Sensoready pen
  • 150 mg/mL as a clear to opalescent, colorless to slightly yellowish solution in a single-dose prefilled syringe
  • 75 mg/0.5 mL as a clear to opalescent, colorless to slightly yellowish solution in a single-dose prefilled syringe (for pediatric patients less than 50 kg)

Injection for intravenous use:

  • 125 mg/5 mL as a clear to opalescent, colorless to slightly yellowish solution in a single-dose vial for dilution prior to intravenous infusion (for healthcare professional use only).
6.2     postmarketing Experience (6.2     Postmarketing Experience)

The following adverse reactions have been reported during post-approval use of COSENTYX. Because they are reported voluntarily from a population of uncertain size, it is not always possible to reliably estimate their frequency or establish a causal relationship to drug exposure.

Immune system disorders: anaphylaxis, angioedema, systemic vasculitis

Skin and subcutaneous tissue disorders: eczematous eruptions (atopic dermatitis-like eruptions, dyshidrotic eczema, and erythroderma), cutaneous vasculitis, pyoderma gangrenosum

Infections: bacterial, viral, and fungal opportunistic infections, including esophageal candidiasis, tracheobronchial candidiasis, cutaneous aspergillosis, cytomegalovirus gastroenteritis/colitis, herpes simplex encephalitis, herpes simplex keratitis, Pneumocystis jiroveci pneumonia, Hepatitis B virus reactivation, histoplasmosis, toxoplasmosis

14.7     hidradenitis Suppurativa (14.7     Hidradenitis Suppurativa)

Two randomized, double-blind, placebo-controlled 52-week Phase 3 trials (i.e., HS Trial 1 [NCT03713619] and HS Trial 2 [NCT03713632]) assessed the efficacy and safety of COSENTYX in the treatment of adult patients with moderate to severe hidradenitis suppurativa (HS). In both trials, subjects were randomized to placebo or COSENTYX 300 mg by subcutaneous injection at Weeks 0, 1, 2, 3 and 4, followed by 300 mg every 2 weeks or every 4 weeks. At Week 16, subjects who were randomized to placebo were reassigned to receive COSENTYX 300 mg at Weeks 16, 17, 18, 19, and 20 followed by either COSENTYX 300 mg every 2 weeks (Q2W) or COSENTYX 300 mg every 4 weeks (Q4W).

Baseline Demographics and Disease Characteristics

HS Trials 1 and 2 included 1,084 adult subjects with moderate to severe HS. HS Trial 1 evaluated 541 subjects and HS Trial 2 evaluated 543 subjects, of whom 13% and 11%, respectively, received concomitant stable dose of systemic antibiotics. In HS Trial 1 and HS Trial 2, 24% and 23% of patients, respectively, were previously treated with a biologic (biologic-exposed patients) and discontinued the biologic agent for either lack of efficacy or intolerance.

Endpoints

The primary endpoint in both trials was the proportion of subjects who achieved a Hidradenitis Suppurativa Clinical Response (HiSCR50) defined as at least a 50% decrease in abscesses and inflammatory nodules (AN) count with no increase in the number of abscesses and/or in the number of draining fistulae relative to baseline at Week 16.

Clinical Response

In HS Trial 1 and HS Trial 2, a statistically significantly higher proportion of subjects treated with COSENTYX 300 mg every 2 weeks (after the first four weeks) achieved a HiSCR50 response at Week 16 compared to patients treated with placebo (see Table 15). In both HS trials, a higher proportion of subjects treated with COSENTYX 300 mg every 4 weeks (after the first four weeks) achieved HiSCR50 at Week 16 compared to subjects treated with placebo (see Table 15), where statistical significance was reached in HS Trial 2. In both trials, the onset of action of COSENTYX occurred as early as Week 2 and the efficacy progressively increased up to Week 16.

For the primary endpoint, HiSCR50, subjects who received any rescue medication or lesion intervention were considered treatment failures and handled as non-responders (n = 20 in Placebo, 11 in Q4W, and 8 in Q2W in HS Trial 1; n = 23 in Placebo, 17 in Q4W, and 13 in Q2W in HS Trial 2).

Improvements were seen for the primary endpoint in HS subjects regardless of previous or concomitant antibiotic treatment or previous biologic exposure.

Table 15: Clinical Response at Week 16 in Adults with Hidradenitis Suppurativa in HS Trial 1 and HS Trial 21
1Multiple imputation was implemented for missing data.

2Subjects received COSENTYX 300 mg by subcutaneous injection at Weeks 0, 1, 2, 3 and 4, followed by 300 mg every 4 weeks (Q4W) or every 2 weeks (Q2W).

*Statistically significant versus placebo based on the pre-defined hierarchy with overall alpha = 0.05 (two-sided).
HS Trial 1 HS Trial 2
Placebo

(n = 180)
COSENTYX 300 mg every 4 weeks2

(n = 180)
COSENTYX 300 mg every 2 weeks2

(n = 181)
Placebo

(n = 183)
COSENTYX 300 mg every 4 weeks2

(n = 180)
COSENTYX 300 mg every 2 weeks2

(n = 180)
HiSCR50 29.4% 41.3% 44.5%* 26.1% 42.5%* 38.3%*
14.3     adult Psoriatic Arthritis (14.3     Adult Psoriatic Arthritis)

The safety and efficacy of COSENTYX were assessed in 1,999 patients, in 3 randomized, double-blind, placebo-controlled trials (PsA1, PsA2, and PsA3) in adult patients, age 18 years and older with active PsA (greater than or equal to 3 swollen and greater than or equal to 3 tender joints) despite non-steroidal anti-inflammatory drug (NSAID), corticosteroid or disease modifying anti-rheumatic drug (DMARD) therapy. Patients in these trials had a diagnosis of PsA of at least 5 years across all trials.

  • PsA1 Study (NCT 01752634) evaluated 397 patients, who were treated with 75 mg, 150 mg or 300 mg of COSENTYX (administered as two subcutaneous injections of 150 mg) at Weeks 0, 1, 2, 3, and 4, followed by the same subcutaneous dose every 4 weeks. Patients who received placebo were re-randomized to receive subcutaneous COSENTYX (either 150 mg or 300 mg every 4 weeks) at Week 16 or Week 24 based on responder status. The primary endpoint was the percentage of patients achieving an ACR20 response at Week 24.
  • PsA2 Study (NCT 01392326) evaluated 606 patients, who were treated with intravenous secukinumab 10 mg/kg, or placebo at Weeks 0, 2, and 4, followed by either 75 mg or 150 mg of subcutaneous COSENTYX treatment (or placebo) every 4 weeks. Patients who received placebo were re-randomized to receive subcutaneous COSENTYX (either 75 mg or 150 mg every 4 weeks) at Week 16 or Week 24 based on responder status.
  • PsA3 Study (NCT 02404350) evaluated 996 patients, who were treated with 150 mg or 300 mg of COSENTYX (administered as two subcutaneous injections of 150 mg) at Weeks 0, 1, 2, 3, and 4 followed by the same subcutaneous dose every 4 weeks, or once every 4 weeks of COSENTYX 150 mg. Patients treated with placebo received subcutaneous COSENTYX, either 150 mg or 300 mg, per baseline randomization, at Week 16 or Week 24 based upon responder status. The primary endpoint was ACR20 response at Week 16 with the key secondary endpoint the change from baseline in modified Total Sharp Score (mTSS) at Week 24.

Baseline Disease Characteristics

At baseline, over 61% and 42% of the patients had enthesitis and dactylitis, respectively. Overall, 31% of patients discontinued previous treatment with anti-TNFα agents due to either lack of efficacy or intolerance. In addition, approximately 53% of patients from both studies had concomitant methotrexate (MTX) use. Patients with different subtypes of PsA were enrolled, including polyarticular arthritis with no evidence of rheumatoid nodules (80%), asymmetric peripheral arthritis (63%), distal interphalangeal involvement (58%), spondylitis with peripheral arthritis (20%), and arthritis mutilans (7%).

Clinical Response

In PsA1, patients treated with 150 mg or 300 mg COSENTYX demonstrated a greater clinical response, including ACR20, ACR50, and ACR70 compared to patients treated with placebo at Week 24 (Table 7). Responses were similar in patients regardless of concomitant MTX treatment. Responses were seen regardless of prior anti-TNFα exposure.

In patients with coexistent PsO receiving COSENTYX (n = 99), the skin lesions of psoriasis improved with treatment, relative to placebo, as measured by the Psoriasis Area Severity Index (PASI).

Table 7: Responsesa in PsA1 Study at Week 16 and Week 24 (Subcutaneous Treatment)
aPatients who met escape criteria (less than 20% improvement in tender or swollen joint counts) at Week 16 were considered non-responders.
COSENTYX COSENTYX Placebo Difference from placebo (95% CI)
150 mg

(N = 100)
300 mg

(N = 100)


(N = 98)
COSENTYX

150 mg
COSENTYX

300 mg
ACR20 response
Week 16 (%) 60 57 18 42

(30, 54)
38

(26, 51)
Week 24 (%) 51 54 15 36

(24, 48)
39

(27, 51)
ACR50 response
Week 16 (%) 37 35 6 31

(21, 42)
28

(18, 39)
Week 24 (%) 35 35 7 28

(18, 38)
28

(17, 38)
ACR70 response
Week 16 (%) 17 15 2 15

(7, 23)
13

(5, 20)
Week 24 (%) 21 20 1 20

(12, 28)
19

(11, 27)

The percentage of patients who achieved a ACR20 response by visit is shown in Figure 1. Patients on placebo who received COSENTYX without a loading regimen achieved similar ACR20 responses over time (data not shown).

Figure 1: Percent of Adult Patients Who Achieved ACR 20 Responsea in PsA1 Study Through Week 24 (Subcutaneous Treatment)

aPatients who met escape criteria (less than 20% improvement in tender or swollen joint counts) at Week 16 were considered non-responders.





The improvements in the components of the ACR response criteria in the PsA1 study are shown in Table 8.

Table 8: Mean Change From Baseline in ACR Components at Week 16a (PsA1 Study) (Subcutaneous Treatment)
aWeek 16 rather than Week 24 data are displayed to provide comparison between arms prior to placebo escape to COSENTYX.

bMean change based upon observed data.
COSENTYX

150 mg


(N = 100)
COSENTYX

300 mg


(N = 100)
Placebo

(N = 98)
Number of swollen joints
Baseline 12.0 11.2 12.1
Mean change at Week 16 -4.86 -5.83 -3.22
Number of tender joints
Baseline 24.1 20.2 23.5
Mean change at Week 16 -10.70 -10.01 -1.77
Patient’s assessment of pain
Baseline 58.9 57.7 55.4
Mean change at Week 16 -22.91 -23.97 -7.98
Patient global assessment
Baseline 62.0 60.7 57.6
Mean change at Week 16 -25.47 -25.40 -8.25
Physician global assessment
Baseline 56.7 55.0 55.0
Mean change at Week 16 -29.24 -34.71 -14.95
Disability index (HAQ)
Baseline 1.2200 1.2828 1.1684
Mean change at Week 16 -0.45 -0.55 -0.23
CRP (mg/L)
Baseline 14.15 10.88 7.87
Mean change at Week 16b -8.41 -7.21 0.79

Improvements in enthesitis and dactylitis scores were observed in each COSENTYX group compared to placebo at Week 24.

Radiographic Response

In PsA3 Study, inhibition of progression of structural damage was assessed radiographically and expressed by the modified mTSS and its components, the Erosion Score (ES) and Joint Space Narrowing Score (JSN), at Week 24 compared to baseline. Radiographs of hands, wrists, and feet were obtained at baseline, Week 16 and/or Week 24 and scored independently by at least two readers who were blinded to treatment group and visit number. Treatment with subcutaneous COSENTYX 150 mg without a loading dose, 150 mg with a loading dose and 300 mg with a loading dose significantly inhibited progression of peripheral joint damage compared with treatment with placebo as measured by change from baseline in mTSS at Week 24. The percentage of patients with no disease progression (defined as a change from baseline in mTSS of less than or equal to 0.0) from randomization to Week 24 was 75.7%, 70.9%, and 76.5% for COSENTYX 150 mg without a loading dose, 150 mg, 300 mg, respectively versus 68.2% for placebo.

Table 9: Rate of Change per 24 Weeks in Modified Total Sharp Score (Subcutaneous Treatment)
Results from a linear mixed effects model that excluded data after escape for placebo subjects who received escape therapy at Week 16. The model assumes approximately linear progression over time and estimates a difference in rates (slopes) of progression over 24 weeks to compare treatment arms.
Treatment N Rate of change per 24 weeks Difference from placebo

(95% CI)
COSENTYX 150 mg without a loading dose 210 -0.10 -0.61 (-0.95, -0.26)
COSENTYX 150 mg with a loading dose 213 0.14 -0.37 (-0.71, -0.03)
COSENTYX 300 mg with a loading dose 217 0.03 -0.48 (-0.82, -0.14)
Placebo 296 0.51 --

Physical Function

Improvement in physical function as assessed by Health Assessment Questionnaire-Disability Index (HAQ-DI) demonstrated that the proportion of patients who achieved at least -0.3 improvement in HAQ-DI score from baseline was greater in the subcutaneous COSENTYX 150 mg and 300 mg groups compared to the placebo group at Weeks 16 and 24. At Week 16 in PsA1 study, estimated mean change from baseline was -0.23 in the placebo group compared with -0.45 in the COSENTYX 150 mg group and -0.55 in the COSENTYX 300 mg group.

Treatment of Adult Patients with Active Psoriatic Arthritis with Intravenous COSENTYX

The effectiveness of intravenous COSENTYX in the treatment of adult patients with active PsA was extrapolated from the established effectiveness of subcutaneous COSENTYX in adult patients with active PsA based on pharmacokinetic exposure [see Clinical Pharmacology (12.3)].

5.2     hypersensitivity Reactions (5.2     Hypersensitivity Reactions)

Serious hypersensitivity reactions including anaphylaxis, angioedema, and urticaria have been reported in COSENTYX treated subjects in clinical trials and in the post-marketing setting [see Adverse Reactions (6.1, 6.2)]. If an anaphylactic or other serious allergic reaction occurs, immediately discontinue administration of COSENTYX and initiate appropriate therapy [see Contraindications (4)].

5.4     inflammatory Bowel Disease (5.4     Inflammatory Bowel Disease)

Inflammatory Bowel Disease (IBD) exacerbations, in some cases serious and/or leading to discontinuation of COSENTYX, occurred in COSENTYX treated subjects during clinical trials in PsO, PsA, AS, nr-axSpA, and HS. In adult subjects with HS, the incidence of IBD was higher in subjects who received COSENTYX 300 mg every 2 weeks (Ulcerative Colitis [UC] 1 case, EAIR 0.2/100 subject-years; Crohn`s Disease [CD] 1 case, EAIR 0.2/100 subject-years) compared to subjects who received COSENTYX 300 mg every 4 weeks (IBD 1 case, EAIR 0.2/100 subject-years). In addition, new onset IBD cases occurred in subjects treated with COSENTYX in clinical trials. In an exploratory trial in 59 subjects with active Crohn’s disease [COSENTYX is not approved for the treatment of Crohn`s disease], there were trends toward greater disease activity and increased adverse reactions in subjects treated with COSENTYX as compared to placebo-treated subjects.

Exercise caution when prescribing COSENTYX to patients with IBD. Patients treated with COSENTYX should be monitored for signs and symptoms of IBD [see Adverse Reactions (6.1)].

6.1     clinical Trials Experience (6.1     Clinical Trials Experience)

Because clinical trials are conducted under widely varying conditions, adverse reaction rates observed in the clinical trials of a drug cannot be directly compared to rates in the clinical trials of another drug and may not reflect the rates observed in practice.

Adverse Reactions in Clinical Trials of Subcutaneous COSENTYX

Adverse Reactions from Clinical Trials in Adults with PsO

A total of 3,430 adult subjects with PsO were treated with COSENTYX in controlled and uncontrolled clinical trials. Of these, 1,641 subjects were treated with COSENTYX for at least 1 year.

Four placebo-controlled Phase 3 trials in PsO subjects (Trials PsO1, PsO2, PsO3, and PsO4) were pooled to evaluate the safety of COSENTYX in comparison to placebo up to 12 weeks after treatment initiation. In total, 2,077 subjects were evaluated (691 in the COSENTYX 300 mg group, 692 in the COSENTYX 150 mg group, and 694 in the placebo group). Subjects randomized to COSENTYX received 300 mg or 150 mg doses subcutaneously at Weeks 0, 1, 2, 3, and 4 followed by the same dose every 4 weeks [see Clinical Studies (14)].

Table 2 summarizes the adverse reactions that occurred at a rate of at least 1% and at a higher rate in the COSENTYX groups than the placebo group during the 12-week placebo-controlled period of these trials.

Table 2: Adverse Reactions Reported by Greater Than 1% of Adult Subjects With PsO (and at a Higher Rate in Subjects Treated with COSENTYX) Through Week 12 in Trials PsO1, PsO2, PsO3, and PsO4
COSENTYX
Adverse reactions 300 mg

(N = 691)

n (%)
150 mg

(N = 692)

n (%)
Placebo

(N = 694)

n (%)
Nasopharyngitis 79 (11.4) 85 (12.3) 60 (8.6)
Diarrhea 28 (4.1) 18 (2.6) 10 (1.4)
Upper respiratory tract infection 17 (2.5) 22 (3.2) 5 (0.7)
Rhinitis 10 (1.4) 10 (1.4) 5 (0.7)
Oral herpes 9 (1.3) 1 (0.1) 2 (0.3)
Pharyngitis 8 (1.2) 7 (1.0) 0 (0)
Urticaria 4 (0.6) 8 (1.2) 1 (0.1)
Rhinorrhea 8 (1.2) 2 (0.3) 1 (0.1)

Adverse reactions that occurred in subjects treated with COSENTYX at rates less than 1% in the placebo-controlled period of Trials PsO1, PsO2, PsO3, and PsO4 through Week 12 included: sinusitis, tinea pedis, conjunctivitis, tonsillitis, oral candidiasis, impetigo, otitis media, otitis externa, IBD, increased liver transaminases, and neutropenia.

Infections

In the placebo-controlled period of the clinical trials in PsO (a total of 1,382 subjects treated with COSENTYX and 694 subjects treated with placebo up to 12 weeks), infections were reported in 28.7% of subjects treated with COSENTYX compared with 18.9% of subjects treated with placebo.

Over the entire treatment period (a total of 3,430 PsO subjects treated with COSENTYX for up to 52 weeks for the majority of subjects), infections were reported in 47.5% of subjects treated with COSENTYX (0.9 per subject-year of follow-up) and serious infections were reported in 1.2% of subjects treated with COSENTYX (0.015 per subject-year of follow-up).

Phase 3 data showed an increasing trend for some types of infection with increasing serum secukinumab concentrations. Candida infections, herpes viral infections, staphylococcal skin infections, and infections requiring treatment increased as serum secukinumab concentration increased.

In the PsO open-label extension of Trials PsO1 and PsO2 (median follow-up of 3.9 years), representing 3,582 subject-years of exposure, 74% of COSENTYX treated subjects reported infections (55 per 100 subject-years) and serious infections were reported in 4.5% of COSENTYX treated subjects (1.4 per 100 subject-years). Sepsis was reported in 5 COSENTYX treated subjects (0.2 per 100 subject-years).

Neutropenia was observed in controlled portion of clinical trials. Most cases of COSENTYX associated neutropenia were transient and reversible. No serious infections were associated with cases of neutropenia.

In the open-label extension of Trials PsO1 and PsO2, neutropenia (ANC < 1 x 109/L) was reported in 1% of COSENTYX treated subjects (0.3 per 100 subject-years). Some cases of serious infections were associated with neutropenia; however, the causal relationship was not established.

Inflammatory Bowel Disease

Cases of IBD, in some cases serious, were observed in subjects treated with COSENTYX in clinical trials. In the PsO program, with 3,430 subjects exposed to COSENTYX over the entire treatment period for up to 52 weeks (2,725 subject-years), there were 3 cases (0.11 per 100 subject-years) of exacerbation of CD, 2 cases (0.08 per 100 subject-years) of exacerbation of UC, and 2 cases (0.08 per 100 subject-years) of new onset UC. There were no IBD cases in placebo-treated subjects (N = 793; 176 subject-years) during the 12-week placebo-controlled period.

One case of exacerbation of Crohn’s disease in a subject treated with COSENTYX subject was reported in open-label portions of clinical trials in PsO.

Adverse Reactions from Clinical Trials in Pediatric Subjects with PsO

The safety of COSENTYX was assessed in two Phase 3 trials in pediatric subjects with PsO.

  • The first was a randomized, double-blind, placebo and active-controlled, 236-week trial (Trial PsO8) that enrolled 162 pediatric subjects 6 years of age and older, with severe PsO (defined by PASI score ≥ 20, an IGA modified 2011 score of 4, and involving ≥ 10% of the body surface area [BSA]) who were candidates for systemic therapy. The 162 subjects were randomized to receive placebo, a biologic active control, or COSENTYX. In the COSENTYX groups, subjects with body weight (BW) less than 25 kg received 75 mg, subjects with BW 25 to less than 50 kg received either 75 mg or 150 mg (2 times the recommended dose), and subjects with BW of at least 50 kg received either 150 mg or 300 mg (2 times the recommended dose). Subjects were dosed at Weeks 0, 1, 2, 3, and 4 and every 4 weeks thereafter.
  • The second trial was a randomized, open-label, 208-week trial (Trial PsO9; NCT03668613) of 84 pediatric subjects 6 years of age and older with moderate to severe PsO (defined by a PASI score ≥ 12, IGA mod 2011 score of ≥ 3, and BSA involvement of ≥ 10% at randomization) who were randomized into two COSENTYX arms [Arm 1: 75 mg for BW < 50 kg or 150 mg for ≥ 50 kg; and Arm 2: 75 mg for BW < 25 kg, 150 mg for BW ≥ 25 kg and < 50 kg, or 300 mg for BW ≥ 50 kg]. Subjects were dosed at Weeks 0, 1, 2, 3, and 4 and every 4 weeks thereafter.

The safety profile of COSENTYX reported in these trials was consistent with the safety profile reported in adult PsO trials.

Infections

One case of methicillin-resistant Staphylococcus aureus (MRSA) toxic shock syndrome (TSS) was reported in a COSENTYX treated pediatric subject during the placebo-controlled period.

In the pediatric safety pool, which includes all subjects who took at least one dose of COSENTYX during the treatment periods [198 subjects (287 subject-years)], 22 (11%) subjects reported ≥ Common Terminology Criteria for Adverse Events (CTCAE) Grade 2 neutropenia (≥ 1,000 to < 1,500 cells/mm3) with 57% of subjects followed for one year or more and 30% of subjects followed for two years or more. During the placebo-controlled period, which included a total of 80 pediatric subjects treated with COSENTYX and 41 subjects treated with placebo up to 12 weeks, ≥ CTCAE Grade 2 neutropenia was reported in 3 (4%) of the subjects treated with COSENTYX compared with no subjects treated with placebo. No serious infections were associated with cases of neutropenia.

Adverse Reactions from Clinical Trials in Adults with PsA

COSENTYX was studied in two placebo-controlled PsA trials with 1,003 adult patients (703 patients on COSENTYX and 300 patients on placebo). Of the 703 patients who received COSENTYX, 299 patients received a subcutaneous loading dose of COSENTYX (PsA1) and 404 patients received an intravenous loading dose of secukinumab (PsA2) followed by COSENTYX administered by subcutaneous injection every four weeks. During the 16-week placebo-controlled period of the trials in patients with PsA, the overall proportion of patients with adverse events was similar in the secukinumab and placebo-treatment groups (59% and 58%, respectively). The adverse events that occurred at a proportion of at least 2% and at a higher proportion in the COSENTYX groups than the placebo groups during the 16-week placebo-controlled period were nasopharyngitis, upper respiratory tract infection, headache, nausea, and hypercholesterolemia. The safety profile observed in adult patients with PsA treated with COSENTYX is consistent with the safety profile in the PsO trials in adults.

Similar to the clinical trials in patients with PsO, there was an increased proportion of patients with infections in the COSENTYX groups (29%) compared to placebo group (26%).

There were cases of CD and UC in the secukinumab group that included patients who experienced either exacerbations or the development of new disease. There were three cases of IBD, of which two patients received secukinumab and one received placebo.

Adverse Reactions from Clinical Trials in Adults with AS

COSENTYX was studied in two placebo-controlled AS trials with 590 adult patients (394 patients on COSENTYX and 196 patients on placebo). Of the 394 patients who received COSENTYX, 145 patients received a subcutaneous load of COSENTYX (study AS1), and 249 received an intravenous loading dose of secukinumab (study AS2) followed by COSENTYX administered by subcutaneous injection every four weeks. During the 16-week placebo-controlled period of the trials in patients with AS, the overall proportion of patients with adverse events was higher in the secukinumab groups than the placebo-treatment groups (66% and 59%, respectively). The adverse events that occurred at a proportion of at least 2% and at a higher proportion in the COSENTYX groups than the placebo groups during the 16-week placebo-controlled period were nasopharyngitis, nausea, and upper respiratory tract infection. The safety profile observed in patients with AS treated with COSENTYX is consistent with the safety profile in PsO clinical trials. In a third controlled trial of AS (study AS3), the safety profile of the 300 mg dose of COSENTYX was consistent with the safety profile of the 150 mg dose of COSENTYX.

Similar to clinical trials in patients with PsO, there was an increased proportion of patients with infections in the COSENTYX groups (31%) compared to the placebo group (18%).

In the original AS program, with 571 patients exposed to COSENTYX, there were 8 cases of IBD during the entire treatment period [5 cases of Crohn’s (0.7 per 100 patient-years) and 3 cases of UC (0.4 per 100 patient-years)]. During the placebo-controlled 16-week period, there were 2 Crohn’s disease exacerbations and 1 new onset UC case that was a serious adverse event in patients treated with COSENTYX compared to none of the patients treated with placebo. During the remainder of the trial when all patients received COSENTYX, 1 patient developed Crohn’s disease, 2 patients had Crohn’s exacerbations, 1 patient developed UC, and 1 patient had an UC exacerbation.

Adverse Reactions from Clinical Trials in Adults with nr-axSpA

COSENTYX was studied in one randomized, double-blind, placebo-controlled nr-axSpA trial with 555 adult patients (185 patients received a loading COSENTYX dose, 184 patients did not receive a loading COSENTYX dose, and 186 patients received placebo). The safety profile for patients with nr-axSpA treated with COSENTYX was overall similar to the safety profile seen in patients with AS and other previous experience with COSENTYX. Patients in nr-axSpA1 trial who received the loading dosing regimen compared to those without the loading regimen, had higher incidence of infections and infestations (92 per 100 patient-years versus 72 per 100 patient-years), including nasopharyngitis, upper respiratory tract infection and urinary tract infection, and gastrointestinal disorders (27 per 100 patient-years versus 22 per 100 patient-years), including gastritis, lower abdominal pain, colitis, diarrhea, and hematochezia.

Adverse Reactions from Clinical Trials in Pediatric Patients with Juvenile Psoriatic Arthritis (JPsA) and ERA

COSENTYX was studied in one double-blind, placebo-controlled, event-driven, randomized trial in 86 pediatric patients aged 2 to less than 18 years old with JPsA and ERA. The safety profile reported in this trial was consistent with the safety profile of secukinumab.

Adverse Reactions from Clinical Trials in Adults with HS

COSENTYX was studied in two 52-week, randomized, double-blind, placebo-controlled HS trials with 1,084 adult subjects (361 subjects received COSENTYX 300 mg every 2 weeks, 360 subjects received COSENTYX 300 mg every 4 weeks, and 363 subjects received placebo) with a total of 901 subject-years of COSENTYX exposure (the median duration of exposure for subjects treated with COSENTYX was 360 days). The safety profile of COSENTYX observed in these HS trials was consistent with the known safety profile of COSENTYX observed in the PsO trials.

Infections

During the 16-week placebo-controlled period, subjects who received COSENTYX 300 mg every 2 weeks had the highest incidence of fungal infections (5.3%), compared to subjects who received COSENTYX 300 mg every 4 weeks (4.2%) and subjects who received placebo (2.8%). With longer exposure, the rate of fungal infections remained higher for subjects who received COSENTYX 300 mg every 2 weeks (14.7/100 subject-years) compared to subjects who received COSENTYX 300 mg every 4 weeks (10.1/100 subject-years). The majority of the cases were reported as non-serious, non-severe, and resolved with anti-fungal treatment.

Inflammatory Bowel Disease

In the open-labeled portion of HS clinical trials, five (0.7%) IBD adverse reactions were reported, all of which were serious and led to withdrawal of trial drug, and occurred only in subjects treated with COSENTYX 300 mg every 2 weeks. There were no IBD cases in subjects treated with COSENTYX 300 mg every 4 weeks.

Adverse Reactions of Intravenous COSENTYX

The safety of intravenous COSENTYX is based on the pharmacokinetic exposure and extrapolation of the established safety of subcutaneous COSENTYX in PsA, AS and nr-axSpA patients [see Clinical Pharmacology (12.3)].

14.2     pediatric Plaque Psoriasis (14.2     Pediatric Plaque Psoriasis)

A 52-week, multicenter randomized, double-blind, placebo and active-controlled trial (Trial PsO8; NCT02471144) enrolled 162 pediatric subjects 6 years of age and older, with severe plaque psoriasis (as defined by a PASI score ≥ 20, an IGA modified 2011 score of 4, and involving ≥ 10% of the BSA) who were candidates for systemic therapy.

Subjects were randomized to receive subcutaneous placebo, COSENTYX, or a biologic active control. In the COSENTYX groups, subjects with BW less than 25 kg received 75 mg, subjects with BW 25 to less than 50 kg received either 75 mg or 150 mg (2 times the recommended dose), and subjects with BW at least 50 kg received either 150 mg or 300 mg (2 times the recommended dose). In this study, each 300 mg dose was administered as two subcutaneous injections of 150 mg. Subjects in the COSENTYX and placebo groups received subcutaneous treatment at Weeks 0, 1, 2, 3, and 4 followed by dosing every 4 weeks. At Week 12, subjects randomized to placebo who were non-responders were switched to COSENTYX (dose based on body weight) and received COSENTYX at Weeks 12, 13, 14, and 15, followed by the same dose every 4 weeks starting at Week 16.

Baseline Characteristics

Overall, 60% of the subjects were female, 83% were White, the median BW was 50.6 kg, and the mean age was 13.5 years with 23% of the subjects less than 12 years. At baseline, the median PASI score was 26 (ranged from 17 to 60), and 99% of the subjects had an IGA modified 2011 score of 4 (‘severe’). Approximately 43% of the subjects had prior exposure to phototherapy, 53% to conventional systemic therapy, 3% to biologics, and 9% had concomitant psoriatic arthritis.

Endpoints

The co-primary endpoints were the proportion of subjects who achieved a reduction in PASI score of at least 75% (PASI 75) from baseline to Week 12 and the proportion of subjects who achieved an IGA modified 2011 score of ‘clear’ or ‘almost clear’ (0 or 1) with at least a 2-point improvement from baseline to Week 12. The key secondary endpoint was the proportion of subjects who achieved a reduction in PASI score of at least 90% (PASI 90) from baseline to Week 12.

Clinical Response

Table 6 presents the efficacy results at Week 12 by baseline weight strata for the approved dosage in Trial PsO8.

Table 6: Clinical Outcomes at Week 12 in Pediatric Subjects With Severe PsO in Trial PsO8 (Subcutaneous Treatment)
Non-responder imputation was used to handle missing values.

aCOSENTYX treated subjects received 75 mg for subjects less than 50 kg and 150 mg for subjects at least 50 kg body weight.
Body weight < 50 kg Body weight ≥ 50 kg Total
COSENTYX

75 mg

(N = 22)

n (%)
Placebo



(N = 20)

n (%)
COSENTYX

150 mg

(N = 21)

n (%)
Placebo



(N = 21)

n (%)
COSENTYXa



(N = 43)

n (%)
Placebo



(N = 41)

n (%)
IGA of clear or almost clear 7 (32) 1 (5) 17 (81) 1 (5) 24 (56) 2 (5)
PASI 75 response 12 (55) 2 (10) 18 (86) 4 (19) 30 (70) 6 (15)
PASI 90 response 9 (41) 1 (5) 17 (81) 0 (0) 26 (60) 1 (2)
1.5     enthesitis Related Arthritis (1.5     Enthesitis-Related Arthritis)

COSENTYX is indicated for the treatment of active enthesitis-related arthritis (ERA) in pediatric patients 4 years of age and older.

17     patient Counseling Information (17     PATIENT COUNSELING INFORMATION)

Advise the patient to read the FDA-approved patient labeling (Medication Guide and Instructions for Use).

Infections

Inform patients that COSENTYX may lower the ability of their immune system to fight infections and that serious infections, including opportunistic infections, may occur with the use of COSENTYX. Instruct patients of the importance of communicating any history of infections to the doctor and contacting their doctor if they develop any symptoms of infection [see Warnings and Precautions (5.1, 5.3)].

Hypersensitivity

Advise patients to seek immediate medical attention if they experience any symptoms of serious hypersensitivity reactions [see Warnings and Precautions (5.2)].

Eczematous Eruptions

Inform patients that skin reactions resembling eczema may occur with the use of COSENTYX. Instruct patients to seek medical advice if they develop signs or symptoms of eczema [see Warnings and Precautions (5.5)].

Risk of Hypersensitivity in Latex-Sensitive Individuals

Advise latex-sensitive patients that the removal caps of the COSENTYX 150 mg/mL Sensoready pen and the COSENTYX 1 mL and 0.5 mL prefilled syringes contain natural rubber latex, which may cause an allergic reaction in latex-sensitive individuals [see Warnings and Precautions (5.6)].

Immunization

Advise patients that vaccination with live vaccines is not recommended during COSENTYX treatment. Instruct patients to inform the healthcare practitioner that they are taking COSENTYX prior to a potential vaccination [see Warnings and Precautions (5.7)].

Instructions on Subcutaneous Injection Technique

If a patient or caregiver is to subcutaneously administer COSENTYX using the UnoReady pen, Sensoready pen, or the prefilled syringe, instruct him/her in injection techniques and assess their ability to inject subcutaneously to ensure the proper administration of COSENTYX [see Dosage and Administration (2.2, 2.9), Medication Guide, and Instructions for Use].

For pediatric patients, inform patients and caregivers that pediatric patients should not self-administer COSENTYX.

Instruct patients or caregivers in the technique of proper syringe and needle disposal and advise them not to reuse these items. Instruct patients to inject the full amount of COSENTYX according to the directions provided in the Medication Guide and Instructions for Use.

Storage

Instruct patients to store COSENTYX in a refrigerator at 2°C to 8°C (36ºF to 46ºF) and to discard expired or unused COSENTYX.

Inform patients that if removed from refrigeration, COSENTYX 150 mg/mL Sensoready pens, 150 mg/mL and 75 mg/0.5 mL prefilled syringes may be stored for up to 4 days at room temperature not to exceed 86°F (30°C). Instruct patients to discard if kept outside of the refrigerator over 4 days [see How Supplied/Storage and Handling (16)].

Manufactured by:

Novartis Pharmaceuticals Corporation

East Hanover, New Jersey 07936

US License Number 1244

© Novartis

T2025-48

16     how Supplied/storage and Handling (16     HOW SUPPLIED/STORAGE AND HANDLING)

How Supplied

COSENTYX (secukinumab) injection is a clear to opalescent, colorless to slightly yellowish solution available as follows:

COSENTYX injection for subcutaneous use

COSENTYX 300 mg/2 mL UnoReady pen

  • NDC 0078-1070-68: Carton of one 300 mg/2 mL (300 mg dose) single-dose UnoReady pen (injection)

COSENTYX 300 mg/2 mL (150 mg/mL) prefilled syringe

  • NDC 0078-1070-97: Carton of one 300 mg/2 mL (150 mg/mL) single-dose prefilled syringe (injection)

COSENTYX 150 mg/mL Sensoready pen

  • NDC 0078-0639-41: Carton of two 150 mg/mL (300 mg dose) single-dose Sensoready pens (injection)
  • NDC 0078-0639-68: Carton of one 150 mg/mL single-dose Sensoready pen (injection)

COSENTYX 150 mg/mL prefilled syringe

  • NDC 0078-0639-98: Carton of two 150 mg/mL (300 mg dose) single-dose prefilled syringes (injection)
  • NDC 0078-0639-97: Carton of one 150 mg/mL single-dose prefilled syringe (injection)

COSENTYX 75 mg/0.5 mL prefilled syringe (for pediatric patients less than 50 kg)

  • NDC 0078-1056-97: Carton of one 75 mg/0.5 mL single-dose prefilled syringe (injection)

The removable cap of the COSENTYX 150 mg/mL Sensoready pen and prefilled syringe, and 75 mg/0.5 mL prefilled syringe contains natural rubber latex. Each 300 mg/2 mL UnoReady pen, 150 mg/mL Sensoready pen and 300 mg/2 mL, 150 mg/mL, and 75 mg/0.5 mL prefilled syringe is equipped with a needle safety guard.

COSENTYX injection for intravenous use

  • NDC 0078-1168-61: Carton containing one 125 mg/5 mL (25 mg/mL) solution in a single-dose vial for dilution prior to intravenous infusion.

Storage and Handling

Refrigerate COSENTYX injection for subcutaneous use (300 mg/2 mL UnoReady Pen, 150 mg/mL Sensoready Pens, and 150 mg/mL and 75 mg/0.5 mL Prefilled Syringes), and COSENTYX injection for intravenous use at 2ºC to 8ºC (36ºF to 46ºF). Keep the products in the original carton to protect from light until the time of use. Do not freeze. To avoid foaming, do not shake. COSENTYX does not contain a preservative; discard any unused portion.

If removed from refrigeration, COSENTYX 150 mg/mL Sensoready Pens, and 150 mg/mL and 75 mg/0.5 mL Prefilled Syringes:

  • May be stored for up to 4 days at room temperature not to exceed 30°C (86°F).
  • Write the date COSENTYX is removed from and returned to the refrigerator in the space provided on the carton.
  • Discard if stored outside of the refrigerator over 4 days.
  • May be returned to the refrigerator only one time and must be stored at 2ºC to 8ºC (36ºF to 46ºF) until used or expired.
2.2     important Administration Instructions (2.2     Important Administration Instructions)
  • COSENTYX is for use under the guidance and supervision of a healthcare provider.
  • UnoReady pens, Sensoready pens, and prefilled syringes are for subcutaneous use only.
  • Solution in vials is for intravenous use in adult patients only.

Important Subcutaneous Administration Instructions

Adult patients may self-administer COSENTYX or be injected by a caregiver after proper training in subcutaneous injection technique.

Pediatric patients should not self-administer COSENTYX. An adult caregiver should prepare and inject COSENTYX after proper training in subcutaneous injection technique.

Administer each subcutaneous injection at a different anatomic location (such as upper arms, thighs, or any quadrant of abdomen) than the previous injection, and not into areas where the skin is tender, bruised, erythematous, indurated, or affected by psoriasis. Administration of subcutaneous COSENTYX in the upper, outer arm may be performed by a caregiver or healthcare provider.

The COSENTYX “Instructions for Use” for each presentation and strength contains more detailed instructions on the preparation and administration of COSENTYX for patients and caregivers [see Instructions for Use].

Important Intravenous Infusion Instructions

Intravenous infusion is only for use by a healthcare professional in a healthcare setting. Prepare COSENTYX intravenous infusion by diluting COSENTYX injection in vial(s) and administering based on patient body weight [see Dosage and Administration (2.11)]. Intravenous infusion may be administered only in adults with PsA, AS, and nr-axSPA.

2.3     recommended Dosage in Plaque Psoriasis (2.3     Recommended Dosage in Plaque Psoriasis)

Recommended Subcutaneous Dosage in Adults with PsO

The recommended dosage in adults with PsO is 300 mg by subcutaneous injection at Weeks 0, 1, 2, 3, and 4 and every 4 weeks thereafter. Each 300 mg dosage is given as one subcutaneous injection of 300 mg or as two subcutaneous injections of 150 mg.

For some patients, a dosage of 150 mg by subcutaneous injection at Weeks 0, 1, 2, 3, and 4 and every 4 weeks thereafter may be acceptable.

Recommended Subcutaneous Dosage in Pediatric Patients 6 Years of Age and Older with PsO

The recommended weight-based dosage in pediatric patients 6 years of age and older with PsO is administered by subcutaneous injection at Weeks 0, 1, 2, 3, and 4 and every 4 weeks thereafter.

  • For patients < 50 kg (at the time of dosing), the recommended dose is 75 mg.
  • For patients ≥ 50 kg (at the time of dosing), the recommended dose is 150 mg.
1.4     non Radiographic Axial Spondyloarthritis (1.4     Non-Radiographic Axial Spondyloarthritis)

COSENTYX is indicated for the treatment of adult patients with active non-radiographic axial spondyloarthritis (nr-axSpA) with objective signs of inflammation.

14.5     non Radiographic Axial Spondyloarthritis (14.5     Non-Radiographic Axial Spondyloarthritis)

The safety and efficacy of COSENTYX were assessed in 555 adult patients (18 years of age and older) with active nr-axSpA in one randomized, double-blind, placebo-controlled Phase 3 study (nr-axSpA1, NCT02696031). Patients met ASAS criteria for axSpA with objective signs of inflammation and had active disease as defined by a BASDAI greater or equal to 4, a Visual Analogue Scale (VAS) for total back pain greater or equal to 40 (on a scale of 0-100 mm) despite NSAID therapy and no evidence of radiographic changes in the sacroiliac joints that would meet the modified New York criteria for AS. Patients also had to have objective signs of inflammation with a C-reactive protein (CRP) level above the upper limit of normal and/or evidence of sacroiliitis on Magnetic Resonance Imaging (MRI).

Patients were treated with 150 mg of subcutaneous COSENTYX treatment with a loading dosage (Weeks 0, 1, 2, 3, and 4) or without a loading dosage (Weeks 0 and 4) followed by the same dose every 4 weeks or placebo. In the double-blind period, patients (n = 555) received either placebo or COSENTYX for 52 weeks. Starting Week 16, dosage adjustment or addition of concomitant NSAIDs and DMARDs was permitted. Starting at Week 20, patients were allowed to switch to open-label 150 mg of subcutaneous COSENTYX monthly or other biologic at the discretion of the investigator and patient. The primary endpoint was at least 40% improvement in Assessment of Spondyloarthritis International Society (ASAS40) at Week 52.

Baseline Disease Characteristics

Approximately 10% and 15% of patients used concomitant MTX or sulfasalazine, respectively. Overall, 10% of patients had received previous treatment with anti-TNFα agents and discontinued these due to either lack of efficacy or intolerance.

Clinical Response

In nr-axSpA1 Study, treatment with COSENTYX 150 mg resulted in significant improvements in the measure of disease activity compared to treatment with placebo at Week 16 and Week 52 (Table 12).

Table 12: Clinical Response in the nr-axSpA1 Study at Week 16 and Week 52 (Subcutaneous Treatment)
Difference in proportions with 95% CI based on normal approximation.
Number of subjects with ASAS40 response (%) COSENTYX

150 mg without load

(n = 184)
COSENTYX

150 mg with load

(n = 185)
Difference from placebo (95% CI)
Placebo

(n = 186)
COSENTYX

150 mg

without load
COSENTYX

150 mg

with load
Week 16 75 (41) 74 (40) 52 (28) 13 (3, 22) 12 (2, 22)
Week 52 70 (38) 62 (34) 36 (19) 19 (10, 28) 14 (5, 23)

The results of the main components of the ASAS40 response criteria in the nr-axSpA1 Study are shown in Table 13.

Table 13: Main Components of the ASAS40 Response Criteria and Other Measures of Disease Activity in nr-axSpA Patients at Baseline and Week 16 in the nr-axSpA1 Study (Subcutaneous Treatment)
COSENTYX

150 mg without loading dosage

(N = 184)
COSENTYX

150 mg with a loading dosage

(N = 185)
Placebo



(N = 186)
Baseline Week 16

change from baseline
Baseline Week 16

change from baseline
Baseline Week 16

change from baseline
ASAS40 response criteria
     -Patient Global Assessment of Disease Activity (0-100 mm) 71.0 -26.2 72.6 -24.1 68.8 -13.8
     -Total back pain (0-100 mm) 72.0 -25.5 73.3 -25.0 70.9 -15.6
     -BASFI (0-10) 5.9 -1.6 6.2 -1.8 5.9 -1.0
     -Inflammation (0-10) 6.8 -2.8 7.2 -2.8 6.6 -1.7
hsCRP (mg/L) mean change at Week 16 9.8 -4.7 13.4 -7.9 9.2 -2.4
BASDAI (0-10) 6.9 -2.4 7.1 -2.4 6.8 -1.5
     -Spinal pain 7.6 -3.0 7.8 -3.0 7.5 -2.0
     -Peripheral pain and swelling (0-10) 6.6 -2.4 6.3 -2.3 6.1 -1.6
BASMI 2.8 -0.3 2.9 -0.3 2.8 -0.1

The percentage of patients achieving an ASAS40 response by visit is shown in Figure 4.

Figure 4: ASAS40 Responses in nr-axSpA1 Study Over Time up to Week 16 (Subcutaneous Treatment)

Health-Related Quality of Life

COSENTYX treated patients showed improvement in both loading and without loading dosage arms compared to placebo-treated patients at Week 16 in health-related quality of life as measured by ASQoL (LS mean change: Week 16: -3.5 and -3.6 versus -1.8, respectively).

Treatment of Adult Patients with Active Non-radiographic Axial Spondyloarthritis with Intravenous COSENTYX

The effectiveness of intravenous COSENTYX in the treatment of adult patients with active nr-axSpA was extrapolated from the established effectiveness of subcutaneous COSENTYX in adult patients with active nr-axSpA based on pharmacokinetic exposure [see Clinical Pharmacology (12.3)].

5.3     pre Treatment Evaluation for Tuberculosis (5.3     Pre-Treatment Evaluation for Tuberculosis)

Evaluate patients for active or latent TB infection prior to initiating treatment with COSENTYX. Avoid administration of COSENTYX to patients with active TB infection. Initiate treatment of latent TB prior to administering COSENTYX. Consider anti-TB therapy prior to initiation of COSENTYX in patients with a past history of latent or active TB in whom an adequate course of treatment cannot be confirmed. Monitor patients closely for signs and symptoms of active TB during and after treatment.

In the postmarketing setting, cases were reported where patients with a history of latent tuberculosis (TB) who were treated with COSENTYX developed active TB.

2.9     recommended Dosage in Hidradenitis Suppurativa (2.9     Recommended Dosage in Hidradenitis Suppurativa)

The recommended dose in adult patients with moderate to severe HS is 300 mg by subcutaneous injection at Weeks 0, 1, 2, 3 and 4 and every 4 weeks thereafter.

If a patient does not adequately respond, consider increasing the dosage to 300 mg every 2 weeks. Each 300 mg dosage is given as one subcutaneous injection of 300 mg or as two subcutaneous injections of 150 mg.

2.8     recommended Dosage in Enthesitis Related Arthritis (2.8     Recommended Dosage in Enthesitis-Related Arthritis)

COSENTYX may only be administered as a subcutaneous injection in pediatric patients aged 4 years and older with active ERA.

The recommended weight-based dosage in pediatric patients 4 years of age and older with ERA is administered by subcutaneous injection at Weeks 0, 1, 2, 3, and 4 and every 4 weeks thereafter:

  • For patients ≥ 15 kg and < 50 kg, the recommended dose is 75 mg.
  • For patients ≥ 50 kg, the recommended dose is 150 mg.
2.1     testing and Procedures Prior to Treatment Initiation (2.1     Testing and Procedures Prior to Treatment Initiation)

Perform the following evaluations prior to COSENTYX initiation:

  • Evaluate for active or latent tuberculosis (TB). COSENTYX initiation is not recommended in patients with active TB infection. Initiate treatment of latent TB prior to initiation of COSENTYX [see Warnings and Precautions (5.3)].
  • Complete all age-appropriate vaccinations as recommended by current immunization guidelines prior to initiating treatment with COSENTYX [see Warnings and Precautions (5.7)].
13.1     carcinogenesis, Mutagenesis, Impairment of Fertility (13.1     Carcinogenesis, Mutagenesis, Impairment of Fertility)

Animal studies have not been conducted to evaluate the carcinogenic or mutagenic potential of COSENTYX. Some published literature suggests that IL-17A directly promotes cancer cell invasion in vitro, whereas other reports indicate IL-17A promotes T-cell mediated tumor rejection. Depletion of IL-17A with a neutralizing antibody inhibited tumor development in mice. The relevance of experimental findings in mouse models for malignancy risk in humans is unknown.

No effects on fertility were observed in male and female mice that were administered a murine analog of secukinumab at subcutaneous doses up to 150 mg/kg once weekly prior to and during the mating period.

2.4     recommended Dosage in Adults With Psoriatic Arthritis (2.4     Recommended Dosage in Adults with Psoriatic Arthritis)

COSENTYX may be administered with or without methotrexate.

Recommended Subcutaneous Dosage

For adult patients with PsA and with coexistent moderate to severe PsO, use the dosage and administration recommendations for adults with PsO [see Dosage and Administration (2.3)].

For other adult patients with PsA, administer COSENTYX with or without a loading dosage by subcutaneous injection.

The recommended dosage in adults with PsA:

  • With a loading dosage is 150 mg at Weeks 0, 1, 2, 3, and 4 and every 4 weeks thereafter.
  • Without a loading dosage is 150 mg every 4 weeks.
  • If a patient continues to have active PsA, consider increasing the dosage to 300 mg by subcutaneous injection every 4 weeks. Each 300 mg dosage is given as one subcutaneous injection of 300 mg or as two subcutaneous injections of 150 mg.

Recommended Intravenous Dosage

COSENTYX injection for intravenous use (solution in vials) requires dilution prior to intravenous administration. The recommended intravenous dosage regimen in adults with PsA:

  • With a loading dosage is 6 mg/kg loading dose given at Week 0, followed by 1.75 mg/kg every 4 weeks thereafter (maintenance dosage).
  • Without a loading dosage is 1.75 mg/kg every 4 weeks.

Administer as an intravenous infusion over a period of 30 minutes [see Dosage and Administration (2.11)].

Total doses exceeding 300 mg per infusion are not recommended for the 1.75 mg/kg maintenance dose in adults with PsA [see Dosage and Administration (2.11)].

5.6     risk of Hypersensitivity in Latex Sensitive Individuals (5.6     Risk of Hypersensitivity in Latex-Sensitive Individuals)

The removable caps of the COSENTYX 150 mg/mL Sensoready pen and the COSENTYX 1 mL and 0.5 mL prefilled syringes contain natural rubber latex, which may cause a hypersensitivity reaction in latex-sensitive individuals. The safe use of COSENTYX 150 mg/mL Sensoready pen or 1 mL and 0.5 mL prefilled syringes in latex-sensitive individuals has not been studied.

2.6     recommended Dosage in Adults With Ankylosing Spondylitis (2.6     Recommended Dosage in Adults with Ankylosing Spondylitis)

Recommended Subcutaneous Dosage

Administer COSENTYX with or without a loading dosage by subcutaneous injection in adult patients with active AS. The recommended dosage:

  • With a loading dosage is 150 mg at Weeks 0, 1, 2, 3, and 4 and every 4 weeks thereafter.
  • Without a loading dosage is 150 mg every 4 weeks.
  • If a patient continues to have active AS, consider increasing the dosage to 300 mg every 4 weeks by subcutaneous injection. Each 300 mg dosage is given as one subcutaneous injection of 300 mg or as two subcutaneous injections of 150 mg.

Recommended Intravenous Dosage

COSENTYX injection for intravenous use (solution in vials) requires dilution prior to intravenous administration. The recommended intravenous dosage regimen in adult patients with active AS:

  • With a loading dosage is 6 mg/kg loading dose given at Week 0, followed by 1.75 mg/kg every 4 weeks thereafter (maintenance dosage).
  • Without a loading dosage is 1.75 mg/kg every 4 weeks.

Administer as an intravenous infusion over a period of 30 minutes [see Dosage and Administration (2.11)].

Total doses exceeding 300 mg per infusion are not recommended for the 1.75 mg/kg maintenance dose in patients with AS [see Dosage and Administration (2.11)].

14.6     juvenile Psoriatic Arthritis and Enthesitis Related Arthritis (14.6     Juvenile Psoriatic Arthritis and Enthesitis-Related Arthritis)

The efficacy and safety of subcutaneous secukinumab were assessed in a two-year, 3-part, double-blind, placebo-controlled, event-driven, randomized, Phase 3 study (NCT03031782) in 86 pediatric patients (2 to less than 18 years of age) with active ERA or JPsA as diagnosed based on a modified International League of Associations for Rheumatology (ILAR) Juvenile Idiopathic Arthritis (JIA) classification criteria. The trial consisted of an open-label portion (Part 1) followed by randomized withdrawal (Part 2) followed by open-label treatment (Part 3). Patients were given subcutaneous doses of 75 mg if they weighed less than 50 kg, or subcutaneous doses of 150 mg if they weighed at least 50 kg or greater, administered by subcutaneous injection at Weeks 0, 1, 2, 3, and 4, and every 4 weeks thereafter.

The primary endpoint was time to flare in Part 2. Disease flare was defined as at least 30% worsening in at least three of the six JIA ACR response criteria and at least 30% improvement in not more than one of the six JIA ACR response criteria and a minimum of two active joints.

In open-label Part 1, all patients received subcutaneous secukinumab until Week 12. Patients classified as responders (achieving JIA ACR30 response) at Week 12 entered into the Part 2 double-blind phase and were randomized 1:1 to continue treatment with secukinumab or begin treatment with placebo.

Baseline Disease Characteristics

The JIA patient subtypes at study entry were: 60.5% ERA and 39.5% JPsA. In the study, 67.6% of patients with JPsA, and 63.5% of patients with ERA, were treated concomitantly with MTX.

Clinical Response

Similar responses were seen in each JIA subtype (JPsA and ERA). The JIA ACR 30, 50, 70, and 90 responses for patients with JPsA and ERA at Week 12 are presented below in Table 14.

Table 14: JIA ACR 30, 50, 70, and 90 Responses at Week 12 (Subcutaneous Treatment)
Number of subjects with response (%) JIA ACR 30 JIA ACR 50 JIA ACR 70 JIA ACR 90
JPsA (N = 34) 31 (91) 31 (91) 24 (71) 16 (47)
ERA (N = 52) 44 (85) 41 (79) 34 (65) 17 (33)

Juvenile Psoriatic Arthritis Results

During Part 2, a total of 11 JPsA patients in the placebo group experienced a flare event compared with 4 JPsA patients in the secukinumab group. The risk of flare was reduced by 85% for patients who received secukinumab compared with patients who received placebo (Hazard Ratio = 0.15, 95% CI: 0.04 to 0.56) (Figure 5).

Figure 5: Kaplan-Meier Estimates of the Time to Disease Flare in Part 2 for JPsA Patients (Subcutaneous Treatment)

Enthesitis-Related Arthritis Results

During Part 2, a total of 10 ERA patients in the placebo group experienced a flare event compared with 6 ERA patients in the secukinumab group. The risk of flare was reduced by 53% for patients who received secukinumab compared with patients who received placebo (Hazard Ratio = 0.47, 95% CI: 0.17 to 1.32) (Figure 6). Supplementary analyses provided confirmatory evidence of the treatment effect in ERA.

Figure 6: Kaplan-Meier Estimates of the Time to Disease Flare in Part 2 for ERA Patients (Subcutaneous Treatment)

2.11     preparation and Administration of Cosentyx for Intravenous Use (2.11     Preparation and Administration of COSENTYX for Intravenous Use)

COSENTYX (for intravenous use) must be diluted prior to infusion. Using aseptic technique, prepare COSENTYX (for intravenous use) as follows:

Step 1. Volume Calculation

  • Calculate the total volume of COSENTYX for intravenous use solution (in mL) required based on the patient’s actual body weight as follows:
    • Loading dose (6 mg/kg) is 0.24 mL/kg
    • Maintenance dose (1.75 mg/kg) is 0.07 mL/kg
  • Use the number of vials based on total volume needed (one vial contains 5 mL of COSENTYX solution).

Step 2. Dilution

  • Parenteral drug product should be inspected visually for particulate matter and discoloration prior to administration, whenever solution and container permit. Do not use if particulates or discolorations are noted.
  • Follow Table 1 for recommended infusion bag size based on patient's body weight.
Table 1: Recommended Infusion Bags for Dilution and Preparation of COSENTYX for Intravenous Use Based on Body Weight and Dose
*If a 50 mL infusion bag is unavailable, then use a 100 mL infusion bag and withdraw and discard 50 mL of saline using aseptic technique and continue to follow the preparation and administration steps.
Body weight at time of dosing For the loading dose (6 mg/kg)

recommended infusion bag
For maintenance dose (1.75 mg/kg)

recommended infusion bag
Greater than 52 kg 100 mL 100 mL
Less than or equal to 52 kg 100 mL 50 mL*
  • From the infusion bag, withdraw and discard a volume of 0.9% Sodium Chloride Injection, USP, equal to the calculated volume of the COSENTYX solution required for the patient’s dose [see Dosage and Administration (2.4, 2.6, 2.7)].
  • From the vial(s), withdraw the calculated volume (mL) of COSENTYX solution and add slowly into the 0.9% Sodium Chloride Injection, USP infusion bag. To mix the solution, gently invert the bag to avoid foaming. Do not shake.
  • Discard unused COSENTYX product in vials because it does not contain preservatives.

Allow the diluted COSENTYX solution for infusion to warm to room temperature prior to the start of the intravenous infusion. Administer the diluted COSENTYX solution for infusion as soon as possible. If not administered immediately, store the diluted solution either:

  • At room temperature 20ºC to 25ºC (68ºF to 77ºF) for no more than 4.5 hours from the start of the preparation (piercing the first vial) to the completion of infusion.
  • Under refrigeration at 2°C to 8°C (36°F to 46°F) for no more than 24 hours, from the start of the time of the preparation (piercing the first vial) to the completion of infusion. This time includes the refrigeration of the diluted solution and the time to allow the diluted solution to warm to room temperature. Protect the diluted solution from light during storage under refrigeration.

Step 3. Administration

  • Use only an infusion set with an in-line, sterile, non-pyrogenic, low protein-binding filter (pore size 0.2 micrometer).
  • Administer the infusion at a flow rate of about 3.3 mL/minute for a 100 mL bag or 1.7 mL/min for a 50 mL bag (total administration time: 30 minutes).
  • When administration is complete, flush the line with 0.9% Sodium Chloride Injection, USP to guarantee that all the COSENTYX solution for infusion in the line has been administered.
  • Do not infuse COSENTYX concomitantly in the same intravenous line with other drugs. No physical or biochemical compatibility studies have been conducted to evaluate the IV coadministration of COSENTYX with other drugs.
2.7     recommended Dosage in Adults With Non Radiographic Axial Spondyloarthritis (2.7     Recommended Dosage in Adults with Non-Radiographic Axial Spondyloarthritis)

Recommended Subcutaneous Dosage

Administer COSENTYX with or without a loading dosage by subcutaneous injection in adult patients with active nr-axSpA.

The recommended dosage:

  • With a loading dosage is 150 mg at Weeks 0, 1, 2, 3, and 4 and every 4 weeks thereafter.
  • Without a loading dosage is 150 mg every 4 weeks.

Recommended Intravenous Dosage

COSENTYX injection for intravenous use (solution in vials) requires dilution prior to intravenous administration. The recommended intravenous dosage regimen in adult patients with active nr-axSpA:

  • With a loading dosage is 6 mg/kg loading dose given at Week 0, followed by 1.75 mg/kg every 4 weeks thereafter (maintenance dosage).
  • Without a loading dosage is 1.75 mg/kg every 4 weeks.

Administer as an intravenous infusion over a period of 30 minutes [see Dosage and Administration (2.11)].

Total doses exceeding 300 mg per infusion are not recommended for the 1.75 mg/kg maintenance dose in patients with nr-axSpA [see Dosage and Administration (2.11)].

2.10     preparation for Use of Cosentyx Unoready Pen, Sensoready Pen and Prefilled Syringes (2.10     Preparation for Use of COSENTYX UnoReady Pen, Sensoready Pen and Prefilled Syringes)

COSENTYX UnoReady pens, Sensoready pens and prefilled syringes are for subcutaneous injection only.

Before subcutaneous injection, remove COSENTYX from the refrigerator and allow COSENTYX to reach room temperature (15 to 30 minutes for the Sensoready pen, the 150 mg/mL and 75 mg/0.5 mL prefilled syringes; 30 to 45 minutes for the UnoReady pen and the 300 mg/2 mL prefilled syringe) without removing the needle cap.

The removable cap of the COSENTYX 150 mg/mL Sensoready pen and the COSENTYX prefilled syringes (150 mg/mL, 75 mg/0.5 mL) contain natural rubber latex and should not be handled by latex-sensitive individuals [see Warnings and Precautions (5.6)].

Inspect COSENTYX visually for particulate matter and discoloration prior to administration. COSENTYX injection is a clear to slightly opalescent, colorless to slightly yellow solution. Do not use if the liquid contains visible particles, is discolored or cloudy. Discard any unused product.

2.5     recommended Dosage in Pediatric Patients 2 Years of Age and Older With Juvenile Psoriatic Arthritis (2.5     Recommended Dosage in Pediatric Patients 2 Years of Age and Older with Juvenile Psoriatic Arthritis)

COSENTYX may be administered with or without methotrexate.

The recommended weight-based subcutaneous dosage in pediatric patients 2 years of age and older with PsA at Weeks 0, 1, 2, 3, and 4 and every 4 weeks thereafter is as follows:

  • For patients ≥ 15 kg and < 50 kg, the recommended dose is 75 mg.
  • For patients ≥ 50 kg, the recommended dose is 150 mg.

Advanced Ingredient Data


Raw Label Data

All Sections (JSON)