Hydrocortisone Acetate, 25 Mg

Hydrocortisone Acetate, 25 Mg
SPL v4
SPL
SPL Set ID 7743779d-1e42-4b23-bde5-0d77fe95bb2b
Route
RECTAL
Published
Effective Date 2023-08-28
Document Type 34391-3 HUMAN PRESCRIPTION DRUG LABEL

Drug Facts

Composition & Product

Active Ingredients
Hydrocortisone (25 mg)
Inactive Ingredients
Hydrogenated Palm Kernel Oil

Identifiers & Packaging

Pill Appearance
Shape: bullet Color: white Score: 1
Marketing Status
UNAPPROVED DRUG OTHER Active Since 2020-05-15

Description

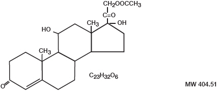
Hydrocortisone Acetate is a corticosteroid designated chemically as pregn-4-ene 3, 20-dione, 21-(acetyloxy)-11,17-dihydroxy-(11β) with the following structural formula: Each rectal suppository contains hydrocortisone acetate, USP 25 mg in a specially blended hydrogenated vegetable oil base.

Indications and Usage

Hydrocortisone acetate suppositories are indicated for use in inflamed hemorrhoids, post-irradiation (factitial) proctitis; as an adjunct in the treatment of chronic ulcerative colitis; cryptitis; and other inflammatory conditions of anorectum and pruritus ani.

Dosage and Administration

For rectal administration. Detach one suppository from strip of suppositories. Hold suppository upright. Separate tabs at top opening and pull downward from the pointed end. Continue pulling downward to almost the full length of the suppository. Carefully remove the suppository from the pocket. Avoid excessive handling of the suppository which is designed to melt at body temperature. Insert suppository into the rectum with gentle pressure, pointed end first. Insert one suppository in the rectum twice daily, morning and night for two weeks, in nonspecific proctitis. In more severe cases, one suppository three times a day or two suppositories twice daily. In factitial proctitis, the recommended duration of therapy is six to eight weeks or less, according to the response of the individual case.

Contraindications

Hydrocortisone acetate suppositories are contraindicated in those patients having a history of hypersensitivity to hydrocortisone acetate or any of the components.

Adverse Reactions

The following local adverse reactions have been reported with hydrocortisone acetate suppositories: burning, itching, irritation, dryness, folliculitis, hypopigmentation, allergic contact dermatitis, secondary infection. To report SUSPECTED ADVERSE REACTIONS, contact FDA at 1-800-FDA-1088 or www.fda.gov/medwatch .

Storage and Handling

Store at 20°-25°C (68°-77°F) [See USP Controlled Room Temperature]. Store away from heat. Protect From Freezing.

How Supplied

Boxes of 12 suppositories NDC 75834-147-12 Boxes of 24 suppositories NDC 75834-147-24 Rx only.


Medication Information

Indications and Usage

Hydrocortisone acetate suppositories are indicated for use in inflamed hemorrhoids, post-irradiation (factitial) proctitis; as an adjunct in the treatment of chronic ulcerative colitis; cryptitis; and other inflammatory conditions of anorectum and pruritus ani.

Dosage and Administration

For rectal administration. Detach one suppository from strip of suppositories. Hold suppository upright. Separate tabs at top opening and pull downward from the pointed end. Continue pulling downward to almost the full length of the suppository. Carefully remove the suppository from the pocket. Avoid excessive handling of the suppository which is designed to melt at body temperature. Insert suppository into the rectum with gentle pressure, pointed end first. Insert one suppository in the rectum twice daily, morning and night for two weeks, in nonspecific proctitis. In more severe cases, one suppository three times a day or two suppositories twice daily. In factitial proctitis, the recommended duration of therapy is six to eight weeks or less, according to the response of the individual case.

Contraindications

Hydrocortisone acetate suppositories are contraindicated in those patients having a history of hypersensitivity to hydrocortisone acetate or any of the components.

Adverse Reactions

The following local adverse reactions have been reported with hydrocortisone acetate suppositories: burning, itching, irritation, dryness, folliculitis, hypopigmentation, allergic contact dermatitis, secondary infection.

To report SUSPECTED ADVERSE REACTIONS, contact FDA at 1-800-FDA-1088 or www.fda.gov/medwatch.

Storage and Handling

Store at 20°-25°C (68°-77°F) [See USP Controlled Room Temperature]. Store away from heat. Protect From Freezing.

How Supplied
Boxes of 12 suppositories NDC 75834-147-12
Boxes of 24 suppositories NDC 75834-147-24

Rx only.

Description

Hydrocortisone Acetate is a corticosteroid designated chemically as pregn-4-ene 3, 20-dione, 21-(acetyloxy)-11,17-dihydroxy-(11β) with the following structural formula:

Each rectal suppository contains hydrocortisone acetate, USP 25 mg in a specially blended hydrogenated vegetable oil base.

Section 34077-8

In laboratory animals, topical steroids have been associated with an increase in the incidence of fetal abnormalities when gestating females have been exposed to rather low dosage levels. There are no adequate and well controlled studies in pregnant women.

Hydrocortisone acetate suppositories should only be used during pregnancy if the potential benefit justifies the risk to the fetus. Drugs of this class should not be used extensively on pregnant patients, in large amounts, or for prolonged periods of time.

It is not known whether this drug is excreted in human milk and because many drugs are excreted in human milk and because of the potential for serious adverse reactions in nursing infants from hydrocortisone acetate suppositories, a decision should be made whether to discontinue nursing or to discontinue the drug, taking into account the importance of the drug to the mother.

Section 42229-5

Manufactured for:

Nivagen Pharmaceuticals, Inc.

Sacramento, CA 95827 USA

Toll Free 1-877-977-0687

Rev. 04/20

Overdosage

If signs and symptoms of systemic overdosage occur, discontinue use.

Precautions

Do not use hydrocortisone acetate suppositories unless adequate proctologic examination is made.

If irritation develops, the product should be discontinued and appropriate therapy instituted.

In the presence of an infection, the use of an appropriate antifungal or antibacterial agent should be instituted. If a favorable response does not occur promptly, hydrocortisone acetate should be discontinued until the infection has been adequately controlled.

Carcinogenesis

No long term studies in animals have been performed to evaluate the carcinogenic potential of corticosteroid suppositories.

Clinical Pharmacology

In normal subjects, about 26% of hydrocortisone acetate is absorbed when the suppository is applied to the rectum. Absorption of hydrocortisone acetate may vary across abraded or inflamed surfaces. Topical steroids are primarily effective because of their anti-inflammatory, anti-pruritic and vasoconstrictive action.

Information for Patients

Staining of fabric may occur with use of the suppository. Precautionary measures are recommended.

Drug Abuse and Dependence

Drug abuse and dependence have not been reported in patients treated with hydrocortisone acetate suppositories.

Principal Display Panel 25 Mg Suppository Blister Pack Carton

NIVAGEN

NDC 75834-147-24

Hydrocortisone Acetate

Suppositories 25 mg

24 Adult Suppositories

Rx only

For Rectal Administration


Structured Label Content

Section 34077-8 (34077-8)

In laboratory animals, topical steroids have been associated with an increase in the incidence of fetal abnormalities when gestating females have been exposed to rather low dosage levels. There are no adequate and well controlled studies in pregnant women.

Hydrocortisone acetate suppositories should only be used during pregnancy if the potential benefit justifies the risk to the fetus. Drugs of this class should not be used extensively on pregnant patients, in large amounts, or for prolonged periods of time.

It is not known whether this drug is excreted in human milk and because many drugs are excreted in human milk and because of the potential for serious adverse reactions in nursing infants from hydrocortisone acetate suppositories, a decision should be made whether to discontinue nursing or to discontinue the drug, taking into account the importance of the drug to the mother.

Section 42229-5 (42229-5)

Manufactured for:

Nivagen Pharmaceuticals, Inc.

Sacramento, CA 95827 USA

Toll Free 1-877-977-0687

Rev. 04/20

Overdosage (OVERDOSAGE)

If signs and symptoms of systemic overdosage occur, discontinue use.

Description (DESCRIPTION)

Hydrocortisone Acetate is a corticosteroid designated chemically as pregn-4-ene 3, 20-dione, 21-(acetyloxy)-11,17-dihydroxy-(11β) with the following structural formula:

Each rectal suppository contains hydrocortisone acetate, USP 25 mg in a specially blended hydrogenated vegetable oil base.

Precautions (PRECAUTIONS)

Do not use hydrocortisone acetate suppositories unless adequate proctologic examination is made.

If irritation develops, the product should be discontinued and appropriate therapy instituted.

In the presence of an infection, the use of an appropriate antifungal or antibacterial agent should be instituted. If a favorable response does not occur promptly, hydrocortisone acetate should be discontinued until the infection has been adequately controlled.

How Supplied (HOW SUPPLIED)
Boxes of 12 suppositories NDC 75834-147-12
Boxes of 24 suppositories NDC 75834-147-24

Rx only.

Carcinogenesis

No long term studies in animals have been performed to evaluate the carcinogenic potential of corticosteroid suppositories.

Adverse Reactions (ADVERSE REACTIONS)

The following local adverse reactions have been reported with hydrocortisone acetate suppositories: burning, itching, irritation, dryness, folliculitis, hypopigmentation, allergic contact dermatitis, secondary infection.

To report SUSPECTED ADVERSE REACTIONS, contact FDA at 1-800-FDA-1088 or www.fda.gov/medwatch.

Contraindications (CONTRAINDICATIONS)

Hydrocortisone acetate suppositories are contraindicated in those patients having a history of hypersensitivity to hydrocortisone acetate or any of the components.

Storage and Handling (STORAGE AND HANDLING)

Store at 20°-25°C (68°-77°F) [See USP Controlled Room Temperature]. Store away from heat. Protect From Freezing.

Clinical Pharmacology (CLINICAL PHARMACOLOGY)

In normal subjects, about 26% of hydrocortisone acetate is absorbed when the suppository is applied to the rectum. Absorption of hydrocortisone acetate may vary across abraded or inflamed surfaces. Topical steroids are primarily effective because of their anti-inflammatory, anti-pruritic and vasoconstrictive action.

Indications and Usage (INDICATIONS AND USAGE)

Hydrocortisone acetate suppositories are indicated for use in inflamed hemorrhoids, post-irradiation (factitial) proctitis; as an adjunct in the treatment of chronic ulcerative colitis; cryptitis; and other inflammatory conditions of anorectum and pruritus ani.

Information for Patients (INFORMATION FOR PATIENTS)

Staining of fabric may occur with use of the suppository. Precautionary measures are recommended.

Dosage and Administration (DOSAGE AND ADMINISTRATION)

For rectal administration. Detach one suppository from strip of suppositories. Hold suppository upright. Separate tabs at top opening and pull downward from the pointed end. Continue pulling downward to almost the full length of the suppository. Carefully remove the suppository from the pocket. Avoid excessive handling of the suppository which is designed to melt at body temperature. Insert suppository into the rectum with gentle pressure, pointed end first. Insert one suppository in the rectum twice daily, morning and night for two weeks, in nonspecific proctitis. In more severe cases, one suppository three times a day or two suppositories twice daily. In factitial proctitis, the recommended duration of therapy is six to eight weeks or less, according to the response of the individual case.

Drug Abuse and Dependence (DRUG ABUSE AND DEPENDENCE)

Drug abuse and dependence have not been reported in patients treated with hydrocortisone acetate suppositories.

Principal Display Panel 25 Mg Suppository Blister Pack Carton (PRINCIPAL DISPLAY PANEL - 25 mg Suppository Blister Pack Carton)

NIVAGEN

NDC 75834-147-24

Hydrocortisone Acetate

Suppositories 25 mg

24 Adult Suppositories

Rx only

For Rectal Administration


Advanced Ingredient Data


Raw Label Data

All Sections (JSON)