These Highlights Do Not Include All The Information Needed To Use Levalbuterol Inhalation Solution, Usp Safely And Effectively. See Full Prescribing Information For Levalbuterol Inhalation Solution, Usp.

These Highlights Do Not Include All The Information Needed To Use Levalbuterol Inhalation Solution, Usp Safely And Effectively. See Full Prescribing Information For Levalbuterol Inhalation Solution, Usp.
SPL v9
SPL
SPL Set ID 737fe40b-798b-4d7f-bec9-7af952018ab5
Route
RESPIRATORY (INHALATION)
Published
Effective Date 2021-07-01
Document Type 34391-3 HUMAN PRESCRIPTION DRUG LABEL

Drug Facts

Composition & Product

Active Ingredients
Levalbuterol (1.25 mg)

Identifiers & Packaging

Marketing Status
ANDA Active Since 2021-04-01

Description

Levalbuterol Inhalation Solution, USP is indicated for the treatment or prevention of bronchospasm in adults, adolescents, and children 6 years of age and older with reversible obstructive airway disease.

Indications and Usage

Levalbuterol Inhalation Solution, USP is indicated for the treatment or prevention of bronchospasm in adults, adolescents, and children 6 years of age and older with reversible obstructive airway disease.

Dosage and Administration

Levalbuterol Inhalation Solution, USP is for oral inhalation only. Administer by nebulization using with a standard jet nebulizer (with a face mask or mouthpiece) connected to an air compressor. Do not exceed recommended dose. Children 6-11 years old: The recommended dosage of Levalbuterol Inhalation Solution, USP for patients 6-11 years old is 0.31 mg administered three times a day, by nebulization. Routine dosing should not exceed 0.63 mg three times a day. Adults and Adolescents ≥ 12 years old: The recommended starting dosage of Levalbuterol Inhalation Solution, USP for patients 12 years of age and older is 0.63 mg administered three times a day, every 6 to 8 hours, by nebulization. Patients 12 years of age and older with more severe asthma or patients who do not respond adequately to a dose of 0.63 mg of Levalbuterol Inhalation Solution, USP may benefit from a dosage of 1.25 mg three times a day. Patients receiving the highest dose of Levalbuterol Inhalation Solution, USP should be monitored closely for adverse systemic effects, and the risks of such effects should be balanced against the potential for improved efficacy. The use of Levalbuterol Inhalation Solution, USP can be continued as medically indicated to help control recurring bouts of bronchospasm. During this time, most patients gain optimal benefit from regular use of the inhalation solution. If a previously effective dosage regimen fails to provide the usual response this may be a marker of destabilization of asthma and requires reevaluation of the patient and the treatment regimen, giving special consideration to the possible need for anti-inflammatory treatment, e.g., corticosteroids. The drug compatibility (physical and chemical), efficacy, and safety of Levalbuterol Inhalation Solution, USP when mixed with other drugs in a nebulizer have not been established. The safety and efficacy of Levalbuterol Inhalation Solution, USP have been established in clinical trials when administered using the PARI LC Jet™ and PARI LC Plus™ nebulizers, and the PARI Master ® Dura-Neb ® 2000 and Dura-Neb ® 3000 compressors. The safety and efficacy of Levalbuterol Inhalation Solution, USP when administered using other nebulizer systems have not been established.

Warnings and Precautions

Life-threatening paradoxical bronchospasm may occur. Discontinue Levalbuterol Inhalation Solution, USP  immediately and treat with alternative therapy. ( 5.1 ) Need for more doses of  Levalbuterol Inhalation Solution, USP  than usual may be a sign of deterioration of asthma and requires reevaluation of treatment. ( 5.2 ) Levalbuterol Inhalation Solution, USP  is not a substitute for corticosteroids. ( 5.3 ) Cardiovascular effects may occur. Consider discontinuation of Levalbuterol Inhalation Solution, USP  if these effects occur. Use with caution in patients with underlying cardiovascular disorders. ( 5.4 ) Excessive use may be fatal. Do not exceed recommended dose. ( 5.5 ) Immediate hypersensitivity reactions may occur. Discontinue Levalbuterol Inhalation Solution, USP  immediately. ( 5.6 ) Hypokalemia and changes in blood glucose may occur. ( 5.7 , 5.8 )

Contraindications

Levalbuterol Inhalation Solution, USP is contraindicated in patients with a history of hypersensitivity to levalbuterol or racemic albuterol. Reactions have included urticaria, angioedema, rash, bronchospasm, anaphylaxis, and oropharyngeal edema [see Warnings and Precautions ( 5.6 ) ].

Adverse Reactions

The following serious adverse reactions are described below and elsewhere in the labeling: Paradoxical bronchospasm [see Warnings and Precautions ( 5.1) ] Cardiovascular effects [see Warnings and Precautions ( 5.4 ) ] Immediate hypersensitivity reactions [see Warnings and Precautions ( 5.6 ) ] Hypokalemia [see Warnings and Precautions ( 5.8 ) ]

Drug Interactions

Other short-acting sympathomimetic aerosol bronchodilators and adrenergic drugs: May potentiate effect. ( 7.1 ) Beta-blockers: May block bronchodilatory effects of beta-agonists and produce severe bronchospasm. Patients with asthma should not normally be treated with beta-blockers. ( 7.2 ) Diuretic: May worsen electrocardiographic changes or hypokalemia associated with diuretic may worsen. Consider monitoring potassium levels. ( 7.3 ) Digoxin: May decrease serum digoxin levels. Consider monitoring digoxin levels. ( 7.4 ) Monoamine oxidase inhibitors (MAOs) or tricyclic antidepressants: May potentiate effect of albuterol on the cardiovascular system. ( 7.5 )  

Storage and Handling

Levalbuterol Inhalation Solution, USP is supplied in 3 mL unit-dose, low-density polyethylene (LDPE) vials as a clear, colorless, sterile, preservative-free, aqueous solution, in three different strengths of levalbuterol (0.31 mg, 0.63 mg, 1.25 mg). Each strength of Levalbuterol Inhalation Solution, USP is available in a shelf-carton containing one foil pouch of 25 unit-dose LDPE vials. Levalbuterol Inhalation Solution, USP, 0.31 mg/3 mL ( foil pouch label color green ) contains 0.31 mg/3 mL (0.0103%) of levalbuterol (as 0.36 mg/3 mL of levalbuterol HCl) and is available in cartons as listed below. NDC 35573-443-25   25 vials per carton / 25 vials per foil pouch Levalbuterol Inhalation Solution, USP, 0.63 mg/3 mL ( foil pouch label color yellow ) contains 0.63 mg/3 mL (0.021%) of levalbuterol (as 0.73 mg/3 mL of levalbuterol HCl) and is available in cartons as listed below. NDC 35573-444-25   25 vials per carton / 25 vials per foil pouch Levalbuterol Inhalation Solution, USP, 1.25 mg/3 mL ( foil pouch label color red ) contains 1.25 mg/3 mL (0.042%) of levalbuterol (as 1.44 mg/3 mL of levalbuterol HCl) and is available in cartons as listed below. NDC 35573-445-25   25 vials per carton / 25 vials per foil pouch Store Levalbuterol Inhalation Solution, USP in the protective foil pouch at 20°- 25°C (68°- 77°F) [see USP Controlled Room Temperature]. Protect from light and excessive heat. Keep unopened vials in the foil pouch. Once the foil pouch is opened, the vials should be used within 2 weeks. Vials removed from the pouch, if not used immediately, should be protected from light and used within 1 week. Discard any vial if the solution is not colorless. Rx only

How Supplied

Levalbuterol Inhalation Solution, USP is supplied in 3 mL unit-dose, low-density polyethylene (LDPE) vials as a clear, colorless, sterile, preservative-free, aqueous solution, in three different strengths of levalbuterol (0.31 mg, 0.63 mg, 1.25 mg). Each strength of Levalbuterol Inhalation Solution, USP is available in a shelf-carton containing one foil pouch of 25 unit-dose LDPE vials. Levalbuterol Inhalation Solution, USP, 0.31 mg/3 mL ( foil pouch label color green ) contains 0.31 mg/3 mL (0.0103%) of levalbuterol (as 0.36 mg/3 mL of levalbuterol HCl) and is available in cartons as listed below. NDC 35573-443-25   25 vials per carton / 25 vials per foil pouch Levalbuterol Inhalation Solution, USP, 0.63 mg/3 mL ( foil pouch label color yellow ) contains 0.63 mg/3 mL (0.021%) of levalbuterol (as 0.73 mg/3 mL of levalbuterol HCl) and is available in cartons as listed below. NDC 35573-444-25   25 vials per carton / 25 vials per foil pouch Levalbuterol Inhalation Solution, USP, 1.25 mg/3 mL ( foil pouch label color red ) contains 1.25 mg/3 mL (0.042%) of levalbuterol (as 1.44 mg/3 mL of levalbuterol HCl) and is available in cartons as listed below. NDC 35573-445-25   25 vials per carton / 25 vials per foil pouch Store Levalbuterol Inhalation Solution, USP in the protective foil pouch at 20°- 25°C (68°- 77°F) [see USP Controlled Room Temperature]. Protect from light and excessive heat. Keep unopened vials in the foil pouch. Once the foil pouch is opened, the vials should be used within 2 weeks. Vials removed from the pouch, if not used immediately, should be protected from light and used within 1 week. Discard any vial if the solution is not colorless. Rx only

Patient Information

Levalbuterol Inhalation Solution, USP (pronounced lev" al bue' ter ol) 0.31 mg, 0.63 mg, 1.25 mg 3 mL Unit-Dose Vials For Oral Inhalation Only   Rx only Levalbuterol Inhalation Solution, USP is only for use with a nebulizer. Read this Patient Information Leaflet before you start to use Levalbuterol Inhalation Solution, USP and each time you get a refill. There may be new information. This information does not take the place of talking with your doctor about your medical condition or your treatment. What is Levalbuterol Inhalation Solution, USP? Levalbuterol Inhalation Solution, USP is an inhaled prescription medicine used for the treatment or prevention of bronchospasm in people 6 years of age and older. Levalbuterol Inhalation Solution, USP has not been shown to be safe and effective in children younger than 6 years of age. Levalbuterol Inhalation Solution, USP is supplied in 3 mL unit-dose vials in three different strengths of levalbuterol (0.31 mg, 0.63 mg, 1.25 mg). The vials do not require dilution before use. Who should not use Levalbuterol Inhalation Solution, USP? Do not use Levalbuterol Inhalation Solution, USP  if you are allergic to levalbuterol, racemic albuterol, or any of the ingredients in Levalbuterol Inhalation Solution, USP. See the end of this leaflet for a complete list of ingredients in Levalbuterol Inhalation Solution, USP. What should I tell my doctor before using Levalbuterol Inhalation Solution, USP? Before you use Levalbuterol Inhalation Solution, USP, tell your doctor if you have: had an allergic reaction to levalbuterol or racemic albuterol heart problems high blood pressure seizures diabetes thyroid problems any other medical conditions are pregnant or planning to become pregnant. It is not known if Levalbuterol Inhalation Solution, USP will harm your unborn baby. Talk to your doctor if you are pregnant or plan to become pregnant. are breastfeeding or plan to breastfeed. It is not known if Levalbuterol Inhalation Solution, USP passes into your breast milk. You and your doctor should decide if you will use Levalbuterol Inhalation Solution, USP or breastfeed. You should not do both. Tell your doctor about all the medicines you take including prescription and over-the-counter medicines, vitamins, and herbal supplements. Levalbuterol Inhalation Solution, USP may affect the way other medicines work, and other medicines may affect how Levalbuterol Inhalation Solution, USP works. Especially tell your doctor if you take: other asthma medicines heart medicines medicines that increase urination (diuretics) antidepressants medicine to treat chronic obstructive pulmonary disease (COPD) Ask your doctor if you are not sure if any of your medicines are the kinds listed above. Know the medicines you take. Keep a list of them and show it to your doctor and pharmacist when you get a new medicine. How should I use Levalbuterol Inhalation Solution, USP? Read the step-by-step Instructions for Using Levalbuterol Inhalation Solution, USP at the end of this leaflet. Use Levalbuterol Inhalation Solution, USP exactly as your doctor tells you to. Do not change your dose without talking to your doctor first. Your doctor will tell you how many times and when to use your Levalbuterol Inhalation Solution, USP. An adult should help a child use Levalbuterol Inhalation Solution, USP. Do not use your Levalbuterol Inhalation Solution, USP more often than your doctor tells you to. Get medical help right away if Levalbuterol Inhalation Solution, USP:      o does not work as well for your asthma symptoms or      o your asthma symptoms get worse or      o you need to use your Levalbuterol Inhalation Solution, USP more often than usual If you also use another medicine by inhalation, you should ask your doctor for instructions on when to use it while you are also using Levalbuterol Inhalation Solution, USP. Do not mix Levalbuterol Inhalation Solution, USP with other medicines in your nebulizer. Only use Levalbuterol Inhalation Solution, USP if it is colorless. Throw away the Levalbuterol Inhalation Solution, USP vial if the liquid medicine is not colorless. Do not use Levalbuterol Inhalation Solution, USP after the expiration date on the vial. What are the possible side effects of Levalbuterol Inhalation Solution, USP? Levalbuterol Inhalation Solution, USP  can cause serious side effects including: sudden shortness of breath (bronchospasm). Sudden shortness of breath can happen right away after using Levalbuterol Inhalation Solution, USP. worsening asthma heart problems death. If you use too much Levalbuterol Inhalation Solution, USP you can have heart or lung problems that can lead to death. serious allergic reactions. Call your doctor and stop using Levalbuterol Inhalation Solution, USP right away if you have any symptoms of an allergic reaction such as:      o swelling of the face, throat or tongue      o hives      o rash      o breathing problems low potassium levels in your blood Call your doctor or go to the nearest hospital emergency room right away if you have any of the serious side effects listed above or if you have worsening lung symptoms. The most common side effects of Levalbuterol Inhalation Solution, USP  include: palpitations chest pain fast heart rate headache dizziness tremor nervousness Tell your doctor if you have any side effects that bother you or that do not go away. These are not all the possible side effects of Levalbuterol Inhalation Solution, USP. For more information, ask your doctor or pharmacist. Call your doctor for medical advice about side effects. You may report side effects to FDA at 1-800-FDA-1088. How should I store Levalbuterol Inhalation Solution, USP? Store unopened Levalbuterol Inhalation Solution, USP vials in the protective foil pouch they come in at 20°-25°C (68°-77°F). Keep Levalbuterol Inhalation Solution, USP away from light and heat. When a Levalbuterol Inhalation Solution, USP foil pouch is opened, use the vials within 2 weeks. When Levalbuterol Inhalation Solution, USP vials are removed from the foil pouch, use them right away or within 1 week. Keep Levalbuterol Inhalation Solution, USP  and all medicines out of the reach of children. General information about the safe and effective use of Levalbuterol Inhalation Solution, USP. Medicines are sometimes prescribed for purposes other than those listed in a Patient Information Leaflet. Do not use Levalbuterol Inhalation Solution, USP for a condition for which it was not prescribed. Do not give Levalbuterol Inhalation Solution, USP to other people, even if they have the same symptoms that you have. It may harm them. This Patient Information Leaflet summarizes the most important information about Levalbuterol Inhalation Solution, USP. If you would like more information, talk with your doctor. You can ask your pharmacist or doctor for information about Levalbuterol Inhalation Solution, USP that is written for health professionals. To report SUSPECTED ADVERSE REACTIONS, contact The Ritedose Corporation at 1-855-806-3300 or FDA at 1-800-FDA-1088 or www.fda.gov/medwatch . What are the ingredients in Levalbuterol Inhalation Solution, USP? Active ingredient: levalbuterol hydrochloride Inactive ingredients: sodium chloride, edetate disodium, sulfuric acid, and water  Instructions for Using Levalbuterol Inhalation Solution, USP Levalbuterol Inhalation Solution, USP vial (see Figure A):         Figure A Using your Levalbuterol Inhalation Solution, USP: Read the following Steps before using your Levalbuterol Inhalation Solution, USP. If you have any questions, ask your doctor or pharmacist. Step 1. Open the foil pouch by tearing the notched edge along the seam of the pouch ( see Figure B ). Remove 1 vial to be used right away. Keep the rest of the unused vials in the foil pouch to protect them from light and heat.        F igure B Step 2.  Hold the vial in your hands. Make sure your thumb and finger cover the twist-off tabs below the top ( see Figure C ).           Figure C Step 3. While holding the top firmly between your thumb and finger, twist the body of the vial to open the vial ( see Figure C ). Step 4. Throw away the top of the vial and squeeze the entire contents of the vial into the nebulizer reservoir ( see Figure D ).                Figure D Step 5. Connect the nebulizer reservoir to the mouthpiece ( see Figure E.1 ) or face mask ( see Figure E.2 ).             Figure E.1                                     Figure E.2 Step 6. Connect the nebulizer to the compressor ( see Figure F ).               Figure F Step 7. Sit in a comfortable, upright position. Place the mouthpiece in your mouth ( see Figure G.1 ) or put on your face mask ( see Figure G.2 ). Turn on the compressor.                Figure G.1                                   Figure G.2 Step 8. Breathe as calmly, deeply, and evenly as possible until no more mist is seen in the nebulizer reservoir. Your treatment will take about 5 to 15 minutes. When you do not see any mist in the nebulizer reservoir, your treatment is finished. Step 9. Clean and store your nebulizer. See the manufacturer's instructions that come with your nebulizer for how to clean and store your nebulizer. This Patient Information Leaflet and Instructions for Use have been approved by the U.S. Food and Drug Administration. Manufactured for: Burel Pharmaceuticals, LLC Mason, OH 45040 USA Manufactured by: The Ritedose Corporation Columbia, SC 29203 USA To report SUSPECTED ADVERSE REACTIONS, contact The Ritedose Corporation at 1-855-806-3300 or FDA at 1-800-FDA-1088 or www.fda.gov/medwatch . Revised: 07/2021 RPIN0147


Medication Information

Warnings and Precautions

Life-threatening paradoxical bronchospasm may occur. Discontinue Levalbuterol Inhalation Solution, USP  immediately and treat with alternative therapy. ( 5.1 ) Need for more doses of  Levalbuterol Inhalation Solution, USP  than usual may be a sign of deterioration of asthma and requires reevaluation of treatment. ( 5.2 ) Levalbuterol Inhalation Solution, USP  is not a substitute for corticosteroids. ( 5.3 ) Cardiovascular effects may occur. Consider discontinuation of Levalbuterol Inhalation Solution, USP  if these effects occur. Use with caution in patients with underlying cardiovascular disorders. ( 5.4 ) Excessive use may be fatal. Do not exceed recommended dose. ( 5.5 ) Immediate hypersensitivity reactions may occur. Discontinue Levalbuterol Inhalation Solution, USP  immediately. ( 5.6 ) Hypokalemia and changes in blood glucose may occur. ( 5.7 , 5.8 )

Indications and Usage

Levalbuterol Inhalation Solution, USP is indicated for the treatment or prevention of bronchospasm in adults, adolescents, and children 6 years of age and older with reversible obstructive airway disease.

Dosage and Administration

Levalbuterol Inhalation Solution, USP is for oral inhalation only. Administer by nebulization using with a standard jet nebulizer (with a face mask or mouthpiece) connected to an air compressor. Do not exceed recommended dose. Children 6-11 years old: The recommended dosage of Levalbuterol Inhalation Solution, USP for patients 6-11 years old is 0.31 mg administered three times a day, by nebulization. Routine dosing should not exceed 0.63 mg three times a day. Adults and Adolescents ≥ 12 years old: The recommended starting dosage of Levalbuterol Inhalation Solution, USP for patients 12 years of age and older is 0.63 mg administered three times a day, every 6 to 8 hours, by nebulization. Patients 12 years of age and older with more severe asthma or patients who do not respond adequately to a dose of 0.63 mg of Levalbuterol Inhalation Solution, USP may benefit from a dosage of 1.25 mg three times a day. Patients receiving the highest dose of Levalbuterol Inhalation Solution, USP should be monitored closely for adverse systemic effects, and the risks of such effects should be balanced against the potential for improved efficacy. The use of Levalbuterol Inhalation Solution, USP can be continued as medically indicated to help control recurring bouts of bronchospasm. During this time, most patients gain optimal benefit from regular use of the inhalation solution. If a previously effective dosage regimen fails to provide the usual response this may be a marker of destabilization of asthma and requires reevaluation of the patient and the treatment regimen, giving special consideration to the possible need for anti-inflammatory treatment, e.g., corticosteroids. The drug compatibility (physical and chemical), efficacy, and safety of Levalbuterol Inhalation Solution, USP when mixed with other drugs in a nebulizer have not been established. The safety and efficacy of Levalbuterol Inhalation Solution, USP have been established in clinical trials when administered using the PARI LC Jet™ and PARI LC Plus™ nebulizers, and the PARI Master ® Dura-Neb ® 2000 and Dura-Neb ® 3000 compressors. The safety and efficacy of Levalbuterol Inhalation Solution, USP when administered using other nebulizer systems have not been established.

Contraindications

Levalbuterol Inhalation Solution, USP is contraindicated in patients with a history of hypersensitivity to levalbuterol or racemic albuterol. Reactions have included urticaria, angioedema, rash, bronchospasm, anaphylaxis, and oropharyngeal edema [see Warnings and Precautions ( 5.6 ) ].

Adverse Reactions

The following serious adverse reactions are described below and elsewhere in the labeling: Paradoxical bronchospasm [see Warnings and Precautions ( 5.1) ] Cardiovascular effects [see Warnings and Precautions ( 5.4 ) ] Immediate hypersensitivity reactions [see Warnings and Precautions ( 5.6 ) ] Hypokalemia [see Warnings and Precautions ( 5.8 ) ]

Drug Interactions

Other short-acting sympathomimetic aerosol bronchodilators and adrenergic drugs: May potentiate effect. ( 7.1 ) Beta-blockers: May block bronchodilatory effects of beta-agonists and produce severe bronchospasm. Patients with asthma should not normally be treated with beta-blockers. ( 7.2 ) Diuretic: May worsen electrocardiographic changes or hypokalemia associated with diuretic may worsen. Consider monitoring potassium levels. ( 7.3 ) Digoxin: May decrease serum digoxin levels. Consider monitoring digoxin levels. ( 7.4 ) Monoamine oxidase inhibitors (MAOs) or tricyclic antidepressants: May potentiate effect of albuterol on the cardiovascular system. ( 7.5 )  

Storage and Handling

Levalbuterol Inhalation Solution, USP is supplied in 3 mL unit-dose, low-density polyethylene (LDPE) vials as a clear, colorless, sterile, preservative-free, aqueous solution, in three different strengths of levalbuterol (0.31 mg, 0.63 mg, 1.25 mg). Each strength of Levalbuterol Inhalation Solution, USP is available in a shelf-carton containing one foil pouch of 25 unit-dose LDPE vials. Levalbuterol Inhalation Solution, USP, 0.31 mg/3 mL ( foil pouch label color green ) contains 0.31 mg/3 mL (0.0103%) of levalbuterol (as 0.36 mg/3 mL of levalbuterol HCl) and is available in cartons as listed below. NDC 35573-443-25   25 vials per carton / 25 vials per foil pouch Levalbuterol Inhalation Solution, USP, 0.63 mg/3 mL ( foil pouch label color yellow ) contains 0.63 mg/3 mL (0.021%) of levalbuterol (as 0.73 mg/3 mL of levalbuterol HCl) and is available in cartons as listed below. NDC 35573-444-25   25 vials per carton / 25 vials per foil pouch Levalbuterol Inhalation Solution, USP, 1.25 mg/3 mL ( foil pouch label color red ) contains 1.25 mg/3 mL (0.042%) of levalbuterol (as 1.44 mg/3 mL of levalbuterol HCl) and is available in cartons as listed below. NDC 35573-445-25   25 vials per carton / 25 vials per foil pouch Store Levalbuterol Inhalation Solution, USP in the protective foil pouch at 20°- 25°C (68°- 77°F) [see USP Controlled Room Temperature]. Protect from light and excessive heat. Keep unopened vials in the foil pouch. Once the foil pouch is opened, the vials should be used within 2 weeks. Vials removed from the pouch, if not used immediately, should be protected from light and used within 1 week. Discard any vial if the solution is not colorless. Rx only

How Supplied

Levalbuterol Inhalation Solution, USP is supplied in 3 mL unit-dose, low-density polyethylene (LDPE) vials as a clear, colorless, sterile, preservative-free, aqueous solution, in three different strengths of levalbuterol (0.31 mg, 0.63 mg, 1.25 mg). Each strength of Levalbuterol Inhalation Solution, USP is available in a shelf-carton containing one foil pouch of 25 unit-dose LDPE vials. Levalbuterol Inhalation Solution, USP, 0.31 mg/3 mL ( foil pouch label color green ) contains 0.31 mg/3 mL (0.0103%) of levalbuterol (as 0.36 mg/3 mL of levalbuterol HCl) and is available in cartons as listed below. NDC 35573-443-25   25 vials per carton / 25 vials per foil pouch Levalbuterol Inhalation Solution, USP, 0.63 mg/3 mL ( foil pouch label color yellow ) contains 0.63 mg/3 mL (0.021%) of levalbuterol (as 0.73 mg/3 mL of levalbuterol HCl) and is available in cartons as listed below. NDC 35573-444-25   25 vials per carton / 25 vials per foil pouch Levalbuterol Inhalation Solution, USP, 1.25 mg/3 mL ( foil pouch label color red ) contains 1.25 mg/3 mL (0.042%) of levalbuterol (as 1.44 mg/3 mL of levalbuterol HCl) and is available in cartons as listed below. NDC 35573-445-25   25 vials per carton / 25 vials per foil pouch Store Levalbuterol Inhalation Solution, USP in the protective foil pouch at 20°- 25°C (68°- 77°F) [see USP Controlled Room Temperature]. Protect from light and excessive heat. Keep unopened vials in the foil pouch. Once the foil pouch is opened, the vials should be used within 2 weeks. Vials removed from the pouch, if not used immediately, should be protected from light and used within 1 week. Discard any vial if the solution is not colorless. Rx only

Patient Information

Levalbuterol Inhalation Solution, USP (pronounced lev" al bue' ter ol) 0.31 mg, 0.63 mg, 1.25 mg 3 mL Unit-Dose Vials For Oral Inhalation Only   Rx only Levalbuterol Inhalation Solution, USP is only for use with a nebulizer. Read this Patient Information Leaflet before you start to use Levalbuterol Inhalation Solution, USP and each time you get a refill. There may be new information. This information does not take the place of talking with your doctor about your medical condition or your treatment. What is Levalbuterol Inhalation Solution, USP? Levalbuterol Inhalation Solution, USP is an inhaled prescription medicine used for the treatment or prevention of bronchospasm in people 6 years of age and older. Levalbuterol Inhalation Solution, USP has not been shown to be safe and effective in children younger than 6 years of age. Levalbuterol Inhalation Solution, USP is supplied in 3 mL unit-dose vials in three different strengths of levalbuterol (0.31 mg, 0.63 mg, 1.25 mg). The vials do not require dilution before use. Who should not use Levalbuterol Inhalation Solution, USP? Do not use Levalbuterol Inhalation Solution, USP  if you are allergic to levalbuterol, racemic albuterol, or any of the ingredients in Levalbuterol Inhalation Solution, USP. See the end of this leaflet for a complete list of ingredients in Levalbuterol Inhalation Solution, USP. What should I tell my doctor before using Levalbuterol Inhalation Solution, USP? Before you use Levalbuterol Inhalation Solution, USP, tell your doctor if you have: had an allergic reaction to levalbuterol or racemic albuterol heart problems high blood pressure seizures diabetes thyroid problems any other medical conditions are pregnant or planning to become pregnant. It is not known if Levalbuterol Inhalation Solution, USP will harm your unborn baby. Talk to your doctor if you are pregnant or plan to become pregnant. are breastfeeding or plan to breastfeed. It is not known if Levalbuterol Inhalation Solution, USP passes into your breast milk. You and your doctor should decide if you will use Levalbuterol Inhalation Solution, USP or breastfeed. You should not do both. Tell your doctor about all the medicines you take including prescription and over-the-counter medicines, vitamins, and herbal supplements. Levalbuterol Inhalation Solution, USP may affect the way other medicines work, and other medicines may affect how Levalbuterol Inhalation Solution, USP works. Especially tell your doctor if you take: other asthma medicines heart medicines medicines that increase urination (diuretics) antidepressants medicine to treat chronic obstructive pulmonary disease (COPD) Ask your doctor if you are not sure if any of your medicines are the kinds listed above. Know the medicines you take. Keep a list of them and show it to your doctor and pharmacist when you get a new medicine. How should I use Levalbuterol Inhalation Solution, USP? Read the step-by-step Instructions for Using Levalbuterol Inhalation Solution, USP at the end of this leaflet. Use Levalbuterol Inhalation Solution, USP exactly as your doctor tells you to. Do not change your dose without talking to your doctor first. Your doctor will tell you how many times and when to use your Levalbuterol Inhalation Solution, USP. An adult should help a child use Levalbuterol Inhalation Solution, USP. Do not use your Levalbuterol Inhalation Solution, USP more often than your doctor tells you to. Get medical help right away if Levalbuterol Inhalation Solution, USP:      o does not work as well for your asthma symptoms or      o your asthma symptoms get worse or      o you need to use your Levalbuterol Inhalation Solution, USP more often than usual If you also use another medicine by inhalation, you should ask your doctor for instructions on when to use it while you are also using Levalbuterol Inhalation Solution, USP. Do not mix Levalbuterol Inhalation Solution, USP with other medicines in your nebulizer. Only use Levalbuterol Inhalation Solution, USP if it is colorless. Throw away the Levalbuterol Inhalation Solution, USP vial if the liquid medicine is not colorless. Do not use Levalbuterol Inhalation Solution, USP after the expiration date on the vial. What are the possible side effects of Levalbuterol Inhalation Solution, USP? Levalbuterol Inhalation Solution, USP  can cause serious side effects including: sudden shortness of breath (bronchospasm). Sudden shortness of breath can happen right away after using Levalbuterol Inhalation Solution, USP. worsening asthma heart problems death. If you use too much Levalbuterol Inhalation Solution, USP you can have heart or lung problems that can lead to death. serious allergic reactions. Call your doctor and stop using Levalbuterol Inhalation Solution, USP right away if you have any symptoms of an allergic reaction such as:      o swelling of the face, throat or tongue      o hives      o rash      o breathing problems low potassium levels in your blood Call your doctor or go to the nearest hospital emergency room right away if you have any of the serious side effects listed above or if you have worsening lung symptoms. The most common side effects of Levalbuterol Inhalation Solution, USP  include: palpitations chest pain fast heart rate headache dizziness tremor nervousness Tell your doctor if you have any side effects that bother you or that do not go away. These are not all the possible side effects of Levalbuterol Inhalation Solution, USP. For more information, ask your doctor or pharmacist. Call your doctor for medical advice about side effects. You may report side effects to FDA at 1-800-FDA-1088. How should I store Levalbuterol Inhalation Solution, USP? Store unopened Levalbuterol Inhalation Solution, USP vials in the protective foil pouch they come in at 20°-25°C (68°-77°F). Keep Levalbuterol Inhalation Solution, USP away from light and heat. When a Levalbuterol Inhalation Solution, USP foil pouch is opened, use the vials within 2 weeks. When Levalbuterol Inhalation Solution, USP vials are removed from the foil pouch, use them right away or within 1 week. Keep Levalbuterol Inhalation Solution, USP  and all medicines out of the reach of children. General information about the safe and effective use of Levalbuterol Inhalation Solution, USP. Medicines are sometimes prescribed for purposes other than those listed in a Patient Information Leaflet. Do not use Levalbuterol Inhalation Solution, USP for a condition for which it was not prescribed. Do not give Levalbuterol Inhalation Solution, USP to other people, even if they have the same symptoms that you have. It may harm them. This Patient Information Leaflet summarizes the most important information about Levalbuterol Inhalation Solution, USP. If you would like more information, talk with your doctor. You can ask your pharmacist or doctor for information about Levalbuterol Inhalation Solution, USP that is written for health professionals. To report SUSPECTED ADVERSE REACTIONS, contact The Ritedose Corporation at 1-855-806-3300 or FDA at 1-800-FDA-1088 or www.fda.gov/medwatch . What are the ingredients in Levalbuterol Inhalation Solution, USP? Active ingredient: levalbuterol hydrochloride Inactive ingredients: sodium chloride, edetate disodium, sulfuric acid, and water  Instructions for Using Levalbuterol Inhalation Solution, USP Levalbuterol Inhalation Solution, USP vial (see Figure A):         Figure A Using your Levalbuterol Inhalation Solution, USP: Read the following Steps before using your Levalbuterol Inhalation Solution, USP. If you have any questions, ask your doctor or pharmacist. Step 1. Open the foil pouch by tearing the notched edge along the seam of the pouch ( see Figure B ). Remove 1 vial to be used right away. Keep the rest of the unused vials in the foil pouch to protect them from light and heat.        F igure B Step 2.  Hold the vial in your hands. Make sure your thumb and finger cover the twist-off tabs below the top ( see Figure C ).           Figure C Step 3. While holding the top firmly between your thumb and finger, twist the body of the vial to open the vial ( see Figure C ). Step 4. Throw away the top of the vial and squeeze the entire contents of the vial into the nebulizer reservoir ( see Figure D ).                Figure D Step 5. Connect the nebulizer reservoir to the mouthpiece ( see Figure E.1 ) or face mask ( see Figure E.2 ).             Figure E.1                                     Figure E.2 Step 6. Connect the nebulizer to the compressor ( see Figure F ).               Figure F Step 7. Sit in a comfortable, upright position. Place the mouthpiece in your mouth ( see Figure G.1 ) or put on your face mask ( see Figure G.2 ). Turn on the compressor.                Figure G.1                                   Figure G.2 Step 8. Breathe as calmly, deeply, and evenly as possible until no more mist is seen in the nebulizer reservoir. Your treatment will take about 5 to 15 minutes. When you do not see any mist in the nebulizer reservoir, your treatment is finished. Step 9. Clean and store your nebulizer. See the manufacturer's instructions that come with your nebulizer for how to clean and store your nebulizer. This Patient Information Leaflet and Instructions for Use have been approved by the U.S. Food and Drug Administration. Manufactured for: Burel Pharmaceuticals, LLC Mason, OH 45040 USA Manufactured by: The Ritedose Corporation Columbia, SC 29203 USA To report SUSPECTED ADVERSE REACTIONS, contact The Ritedose Corporation at 1-855-806-3300 or FDA at 1-800-FDA-1088 or www.fda.gov/medwatch . Revised: 07/2021 RPIN0147

Description

Levalbuterol Inhalation Solution, USP is indicated for the treatment or prevention of bronchospasm in adults, adolescents, and children 6 years of age and older with reversible obstructive airway disease.

7.4 Digoxin

Mean decreases of 16% and 22% in serum digoxin levels were demonstrated after single-dose intravenous and oral administration of racemic albuterol, respectively, to normal volunteers who had received digoxin for 10 days. The clinical significance of these findings for patients with obstructive airway disease who are receiving Levalbuterol Inhalation Solution, USP and digoxin on a chronic basis is unclear. Nevertheless, it would be prudent to carefully evaluate the serum digoxin levels in patients who are currently receiving digoxin and Levalbuterol Inhalation Solution, USP.

10 Overdosage

The expected symptoms with overdosage are those of excessive beta-adrenergic receptor stimulation and/or occurrence or exaggeration of any of the symptoms listed under Adverse Reactions (6), e.g., seizures, angina, hypertension or hypotension, tachycardia with rates up to 200 beats/min., arrhythmias, nervousness, headache, tremor, dry mouth, palpitation, nausea, dizziness, fatigue, malaise, and sleeplessness. Hypokalemia also may occur. As with all sympathomimetic medications, cardiac arrest and even death may be associated with the abuse of Levalbuterol Inhalation Solution, USP. Treatment consists of discontinuation of Levalbuterol Inhalation Solution, USP together with appropriate symptomatic therapy. The judicious use of a cardioselective beta-receptor blocker may be considered, bearing in mind that such medication can produce bronchospasm. There is insufficient evidence to determine if dialysis is beneficial for overdosage of Levalbuterol Inhalation Solution, USP.

7.3 Diuretics

The ECG changes or hypokalemia that may result from the administration of non-potassium-sparing diuretics (such as loop and thiazide diuretics) can be acutely worsened by beta-agonists, especially when the recommended dose of the beta-agonist is exceeded. Although the clinical significance of these effects is not known, caution is advised in the coadministration of beta-agonists with non-potassium-sparing diuretics. Consider monitoring potassium levels.

8.1 Pregnancy

Risk Summary

There are no adequate and well-controlled studies of Levalbuterol Inhalation Solution, USP in pregnant women. There are clinical considerations with the use of Levalbuterol Inhalation Solution, USP in pregnant women [see Clinical Considerations].

Following oral administration of levalbuterol HCl to pregnant rabbits, there was no evidence of teratogenicity at doses up to 25 mg/kg/day [approximately 108 times the maximum recommended human daily inhalation dose (MRHDID) of levalbuterol HCl for adults on a mg/m2 basis]; however, racemic albuterol sulfate was teratogenic in mice (cleft palate) and rabbits (cramioschisis) at doses slightly higher than the human therapeutic range (see Data).

The estimated background risk of major birth defects and miscarriage for the indicated population(s) are unknown. In the U.S. general population, the estimated risk of major birth defects and miscarriage in clinically recognized pregnancies is 2 to 4% and 15 to 20% respectively.

Clinical Considerations

Disease-Associated Maternal and/or Embryo/Fetal Risk

In women with poorly or moderately controlled asthma, there is an increased risk of preeclampsia in the mother and prematurity, low birth weight, and small for gestational age in the neonate. Pregnant women should be closely monitored and medication adjusted as necessary to maintain optimal control.

Labor or Delivery

Because of the potential for beta-adrenergic agonists to interfere with uterine contractility, the use of Levalbuterol Inhalation Solution, USP for the treatment of bronchospasm during labor should be restricted to those patients for whom the benefits clearly outweigh the risk.

Levalbuterol Inhalation Solution, USP has not been approved for the management of preterm labor. The benefit-risk ratio when Levalbuterol Inhalation Solution, USP is administered for tocolysis has not been established. Serious adverse reactions, including maternal pulmonary edema, have been reported during or following treatment of premature labor with beta2-agonists, including racemic albuterol.

Data

Animal Data

The oral administration of levalbuterol HCl to pregnant New Zealand White rabbits during the period of organogenesis found no evidence of teratogenicity at doses up to 25 mg/kg/day (approximately 108 times the MRHDID of levalbuterol HCl for adults on a mg/m2 basis). In a rat developmental study, racemic albuterol sulfate administered by inhalation did not produce any teratogenic effects at exposures approximately 63 times the MRHDID (on a mg/m2 basis at a maternal dose of 10.5 mg/kg).

However, other developmental studies with the racemic albuterol sulfate, did result in teratogenic effects in mice and rabbits at doses slightly higher than the human therapeutic range. In a rabbit developmental study, orally administered albuterol sulfate induced cranioschisis in 7 of 19 fetuses (37%) at approximately 215 times the MRHDID for adults (on a mg/m2 basis at a maternal dose of 50 mg/kg). In a mouse developmental study, subcutaneously administered albuterol sulfate produced cleft palate formation in 5 of 111 (4.5%) fetuses at an exposure approximately 0.3 times the MRHDID for adults (on a mg/m2 basis at a maternal dose of 0.25 mg/kg/day) and in 10 of 108 (9.3%) fetuses at approximately 3 times the MRHDID (on a mg/m2 basis at a maternal dose of 2.5 mg/kg/day). Similar effects were not observed at approximately 0.03 times the MRHDID for adults on a mg/m2 basis at a maternal dose of 0.025 mg/kg/day (i.e., less than the therapeutic dose). Cleft palate also occurred in 22 of 72 (30.5%) fetuses from females treated subcutaneously with isoproterenol (positive control).

8.2 Lactation

Risk Summary

There are no available data on the presence of levalbuterol in human milk, the effects on the breastfed child, or the effects on milk production.

The developmental and health benefits of breastfeeding should be considered along with the mother’s clinical need for Levalbuterol Inhalation Solution, USP and any potential adverse effects on the breastfed child from Levalbuterol Inhalation Solution, USP or from the underlying maternal condition.

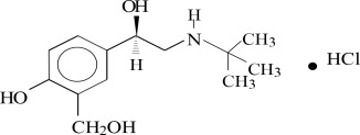
11 Description

Levalbuterol Inhalation Solution, USP is a sterile, clear, colorless, preservative-free solution of the hydrochloride salt of levalbuterol, the (R)-enantiomer of the drug substance racemic albuterol. Levalbuterol HCl is a relatively selective beta2-adrenergic receptor agonist [see Clinical Pharmacology (12)]. The chemical name for levalbuterol HCl is (R)-α1-[[(1,1-dimethylethyl)amino]methyl]-4-hydroxy-1,3-benzenedimethanol hydrochloride, and its established chemical structure is as follows:

The molecular weight of levalbuterol HCl is 275.8, and its empirical formula is C13H21NO3•HCl. It is a white to off-white, crystalline solid, with a melting point of approximately 187°C and solubility of approximately 180 mg/mL in water.

Levalbuterol HCl is the USAN modified name for (R)-albuterol HCl in the United States.

Levalbuterol Inhalation Solution, USP is supplied in unit-dose vials and requires no dilution before administration by nebulization. Each 3 mL unit-dose vial contains 0.31 mg/3 mL (0.0103%) of levalbuterol (as 0.36 mg/3 mL of levalbuterol HCl) or 0.63 mg/3 mL (0.021%) of levalbuterol (as 0.73 mg/3 mL of levalbuterol HCl) or 1.25 mg/3 mL (0.042%) of levalbuterol (as 1.44 mg/3 mL of levalbuterol HCl), sodium chloride to adjust tonicity, edetate disodium (EDTA) as a stabilizer for the active pharmaceutical ingredient, and sulfuric acid to adjust the pH to 4.0 (3.3 to 4.5).

5.8 Hypokalemia

As with other beta-adrenergic agonist medications, Levalbuterol Inhalation Solution, USP may produce significant hypokalemia in some patients, possibly through intracellular shunting, which has the potential to produce adverse cardiovascular effects. The decrease is usually transient, not requiring supplementation.

7.2 Beta Blockers

Beta-adrenergic receptor blocking agents not only block the pulmonary effect of beta-adrenergic agonists such as Levalbuterol Inhalation Solution, USP, but may produce severe bronchospasm in asthmatic patients. Therefore, patients with asthma should not normally be treated with beta-blockers. However, under certain circumstances, e.g., prophylaxis after myocardial infarction, there may be no acceptable alternatives to the use of beta-adrenergic blocking agents in patients with asthma. In this setting, cardioselective beta-blockers should be considered, although they should be administered with caution.

8.4 Pediatric Use

Pediatric Patients 6 Years of Age and Older

The safety and efficacy of Levalbuterol Inhalation Solution, USP have been established in pediatric patients 6 years of age and older in an adequate and well-controlled clinical trial [see Adverse Reactions (6) and Clinical Studies (14)].

Pediatric Patients less than 6 Years of Age

Levalbuterol Inhalation Solution, USP is not indicated for pediatric patients less than 6 years of age.

Clinical trials with Levalbuterol Inhalation Solution, USP in this age group failed to meet the primary efficacy endpoint and demonstrated an increased number of asthma-related adverse reactions following chronic Levalbuterol Inhalation Solution, USP treatment.

Levalbuterol Inhalation Solution, USP was studied in 379 pediatric patients less than 6 years of age with asthma or reactive airway disease - (291 patients 2 to 5 years of age, and 88 patients from birth to less than 2 years of age). Efficacy and safety data for Levalbuterol Inhalation Solution, USP in this age group are primarily available from one 3-week, multicenter, randomized, double-blind, active and placebo-controlled study (Study 1) in 211 pediatric patients between the ages of 2 and 5 years, of whom 119 received Levalbuterol Inhalation Solution, USP. Over the 3 week treatment period, there were no significant treatment differences in the Pediatric Asthma Questionnaire (PAQ) total score between groups receiving Levalbuterol Inhalation Solution, USP 0.31 mg, Levalbuterol Inhalation Solution, USP 0.63 mg, racemic albuterol, and placebo. Additional safety data following chronic dosing is available from a 4-week, multicenter, randomized, modified-blind, placebo-controlled study (Study 2) of 196 patients between the ages of birth and 3 years, of whom 63 received open-label Levalbuterol Inhalation Solution, USP. In these two studies, treatment-emergent asthma exacerbations or asthma-related adverse reactions and treatment discontinuations due to asthma occurred at a higher frequency in Levalbuterol Inhalation-treated subjects compared to control (Table 5). Other adverse reactions were consistent with those observed in the clinical trial population of patients 6 years of age and older [see Adverse Reactions (6.1)].

Table 5 - Asthma-related Adverse Reactions in 3-and 4-Week Clinical Trials in Children Birth to <6 Years of Age
 Asthma Exacerbations*

n (%)
 Treatment Discontinuations due to Asthma

n (%)
 Asthma-related Adverse Reactions**

n (%)
Study 1
 Levalbuterol Inhalation Solution,

 USP 0.31 mg, n=58
 6 (10)  4 (7)  --
 Levalbuterol Inhalation Solution,

 USP 0.63 mg, n=51
 7 (14)  6 (12)  --
 Racemic albuterol, n=52  3 (6)  2 (4)  --
 Placebo, n=50  2 (4)  2 (4)  --
Study 2
 Levalbuterol Inhalation Solution,

 USP 0.31 mg, n=63
 --  2 (3)  6 (10)
 Levalbuterol HFA inhalation aerosol,

 n=65
 --  1 (2)  8 (12)
 Placebo, n=68  --  0  3 (4)

 * Asthma exacerbation defined as worsening of asthma symptoms or pulmonary function that required any of the following: emergency department visit, hospitalization, therapeutic intervention with oral or parenteral steroids, unscheduled clinic visit to treat acute asthma symptoms.

** Includes the following Preferred Terms (whether considered by the investigator to be related or unrelated to drug): asthma, cough, hypoxia, status asthmaticus, tachypnea.

8.5 Geriatric Use

Clinical studies of Levalbuterol Inhalation Solution, USP did not include sufficient numbers of subjects aged 65 years and older to determine whether they respond differently from younger subjects. Only 5 patients 65 years of age and older were treated with Levalbuterol Inhalation Solution, USP in a 4-week clinical study [see Clinical Pharmacology (12) and Clinical Studies (14)] (n = 2 for 0.63 mg and n = 3 for 1.25 mg). In these patients, bronchodilation was observed after the first dose on day 1 and after 4 weeks of treatment. In general, patients 65 years of age and older should be started at a dose of 0.63 mg of Levalbuterol Inhalation Solution, USP. If clinically warranted due to insufficient bronchodilator response, the dose of Levalbuterol Inhalation Solution, USP may be increased in elderly patients as tolerated, in conjunction with frequent clinical and laboratory monitoring, to the maximum recommended daily dose [see Dosage and Administration (2)].

14 Clinical Studies

Adults and Adolescents ≥ 12 Years Old

The safety and efficacy of Levalbuterol Inhalation Solution, USP were evaluated in a 4-week, multicenter, randomized, double-blind, placebo-controlled, parallel-group study in 362 adult and adolescent patients 12 years of age and older, with mild-to-moderate asthma (mean baseline FEV1 60% of predicted). Approximately half of the patients were also receiving inhaled corticosteroids. Patients were randomized to receive Levalbuterol Inhalation Solution, USP 0.63 mg, Levalbuterol Inhalation Solution, USP 1.25 mg, racemic albuterol sulfate 1.25 mg, racemic albuterol sulfate 2.5 mg, or placebo three times a day administered via a PARI LC Plus™ nebulizer and a Dura-Neb® portable compressor. Racemic albuterol delivered by a chlorofluorocarbon (CFC) metered-dose inhaler (MDI) was used on an as-needed basis as the rescue medication.

Efficacy, as measured by the mean percent change from baseline FEV1, was demonstrated for all active treatment regimens compared with placebo on day 1 and day 29. On both day 1 (see Figure 1) and day 29 (see Figure 2), 1.25 mg of Levalbuterol Inhalation Solution, USP demonstrated the largest mean percent change from baseline FEV1 compared with the other active treatments. A dose of 0.63 mg of Levalbuterol Inhalation Solution, USP and 2.5 mg of racemic albuterol sulfate produced a clinically comparable mean percent change from baseline FEV1 on both day 1 and day 29.

Figure 1: Mean Percent Change from Baseline FEV1 on Day 1, Adults and Adolescents ≥ 12 years old

Figure 2: Mean Percent Change from Baseline FEV 1 on Day 29, Adults and Adolescents ≥ 12 years old

The mean time to onset of a 15% increase in FEV1 over baseline for levalbuterol at doses of 0.63 mg and 1.25 mg was approximately 17 minutes and 10 minutes, respectively, and the mean time to peak effect for both doses was approximately 1.5 hours after 4 weeks of treatment. The mean duration of effect, as measured by a > 15% increase from baseline FEV1, was approximately 5 hours after administration of 0.63 mg of levalbuterol and approximately 6 hours after administration of 1.25 mg of levalbuterol after 4 weeks of treatment. In some patients, the duration of effect was as long as 8 hours.

Children 6-11 Years Old

A multicenter, randomized, double-blind, placebo- and active-controlled study was conducted in children with mild-to-moderate asthma (mean baseline FEV1 73% of predicted) (n = 316). Following a 1-week placebo run-in, subjects were randomized to Levalbuterol Inhalation Solution, USP (0.31 mg or 0.63 mg), racemic albuterol (1.25 mg or 2.5 mg), or placebo, which were delivered three times a day for 3 weeks using a PARI LC Plus™ nebulizer and a Dura-Neb® 3000 compressor.

Efficacy, as measured by mean peak percent change from baseline FEV1, was demonstrated for all active treatment regimens compared with placebo on day 1 and day 21. Time profile FEV1 curves for day 1 and day 21 are shown in Figure 3 and Figure 4, respectively. The onset of effect (time to a 15% increase in FEV1 over test-day baseline) and duration of effect (maintenance of a > 15% increase in FEV1 over test-day baseline) of levalbuterol were clinically comparable to those of racemic albuterol.

Figure 3: Mean Percent Change from Baseline FEV1 on Day 1, Children 6-11 Years of Age

Figure 4: Mean Percent Change from Baseline FEV 1 on Day 21, Children 6-11 Years of Age

4 Contraindications

Levalbuterol Inhalation Solution, USP is contraindicated in patients with a history of hypersensitivity to levalbuterol or racemic albuterol. Reactions have included urticaria, angioedema, rash, bronchospasm, anaphylaxis, and oropharyngeal edema [see Warnings and Precautions (5.6)].

6 Adverse Reactions

The following serious adverse reactions are described below and elsewhere in the labeling:

  • Paradoxical bronchospasm [see Warnings and Precautions (5.1) ]
  • Cardiovascular effects [see Warnings and Precautions (5.4)]
  • Immediate hypersensitivity reactions [see Warnings and Precautions (5.6)]
  • Hypokalemia [see Warnings and Precautions (5.8)]
7 Drug Interactions
  • Other short-acting sympathomimetic aerosol bronchodilators and adrenergic drugs: May potentiate effect. (7.1)



  • Beta-blockers: May block bronchodilatory effects of beta-agonists and produce severe bronchospasm. Patients with asthma should not normally be treated with beta-blockers. (7.2)



  • Diuretic: May worsen electrocardiographic changes or hypokalemia associated with diuretic may worsen. Consider monitoring potassium levels. (7.3)



  • Digoxin: May decrease serum digoxin levels. Consider monitoring digoxin levels. (7.4)



  • Monoamine oxidase inhibitors (MAOs) or tricyclic antidepressants: May potentiate effect of albuterol on the cardiovascular system. (7.5)

 

8.6 Renal Impairment

Albuterol is known to be substantially excreted by the kidney, and the risk of toxic reactions may be greater in patients with impaired renal function. Because elderly patients are more likely to have decreased renal function, care should be taken in dose selection, and it may be useful to monitor renal function.

12.2 Pharmacodynamics

Adults and Adolescents ≥ 12 Years Old

 In a randomized, double-blind, placebo-controlled, cross-over study, 20 adults with mild-to-moderate asthma received single doses of Levalbuterol Inhalation Solution, USP (0.31 mg, 0.63 mg, and 1.25 mg) and racemic albuterol sulfate inhalation solution (2.5 mg). All doses of active treatment produced a significantly greater degree of bronchodilation (as measured by percent change from pre-dose mean FEV1) than placebo, and there were no significant differences between any of the active treatment arms. The bronchodilator responses to 1.25 mg of Levalbuterol Inhalation Solution, USP and 2.5 mg of racemic albuterol sulfate inhalation solution were clinically comparable over the 6-hour evaluation period, except for a slightly longer duration of action (> 15% increase in FEV1 from baseline) after administration of 1.25 mg of Levalbuterol Inhalation Solution, USP. Systemic beta-adrenergic adverse effects were observed with all active doses and were generally dose-related for (R)-albuterol. Levalbuterol Inhalation Solution, USP at a dose of 1.25 mg produced a slightly higher rate of systemic beta-adrenergic adverse effects than the 2.5 mg dose of racemic albuterol sulfate inhalation solution.

In a randomized, double-blind, placebo-controlled, cross-over study, 12 adults with mild-to-moderate asthma were challenged with inhaled methacholine chloride 20 and 180 minutes following administration of a single dose of 2.5 mg of racemic albuterol sulfate, 1.25 mg of Levalbuterol Inhalation Solution, USP, 1.25 mg of (S)-albuterol, or placebo using a Pari LC Jet™ nebulizer. Racemic albuterol sulfate, Levalbuterol Inhalation Solution, USP, and (S)-albuterol had a protective effect against methacholine-induced bronchoconstriction 20 minutes after administration, although the effect of (S)-albuterol was minimal. At 180 minutes after administration, the bronchoprotective effect of 1.25 mg of Levalbuterol Inhalation Solution, USP was comparable to that of 2.5 mg of racemic albuterol sulfate. At 180 minutes after administration, 1.25 mg of (S)-albuterol had no bronchoprotective effect.

In a clinical study in adults with mild-to-moderate asthma, comparable efficacy (as measured by change from baseline FEV1) and safety (as measured by heart rate, blood pressure, ECG, serum potassium, and tremor) were demonstrated after a cumulative dose of 5 mg of Levalbuterol Inhalation Solution, USP (four consecutive doses of 1.25 mg administered every 30 minutes) and 10 mg of racemic albuterol sulfate inhalation solution (four consecutive doses of 2.5 mg administered every 30 minutes).

12.3 Pharmacokinetics

Adults and Adolescents ≥ 12 Years Old

The inhalation pharmacokinetics of Levalbuterol Inhalation Solution, USP were investigated in a randomized cross-over study in 30 healthy adults following administration of a single dose of 1.25 mg and a cumulative dose of 5 mg of Levalbuterol Inhalation Solution, USP and a single dose of 2.5 mg and a cumulative dose of 10 mg of racemic albuterol sulfate inhalation solution by nebulization using a PARI LC Jet™ nebulizer with a Dura-Neb® 2000 compressor.

Following administration of a single 1.25 mg dose of Levalbuterol Inhalation Solution, USP, exposure to (R)-albuterol (AUC of 3.3 ng•hr/mL) was approximately 2-fold higher than following administration of a single 2.5 mg dose of racemic albuterol inhalation solution (AUC of 1.7 ng•hr/mL) (see Table 6). Following administration of a cumulative 5 mg dose of Levalbuterol Inhalation Solution, USP (1.25 mg given every 30 minutes for a total of four doses) or a cumulative 10 mg dose of racemic albuterol inhalation solution (2.5 mg given every 30 minutes for a total of four doses), Cmax and AUC of (R)-albuterol were comparable (see Table 6).

Table 6 - Mean (SD) Values for Pharmacokinetic Parameters in Healthy Adults
 Single Dose  Cumulative Dose
Levalbuterol

Inhalation

Solution, USP

1.25 mg
Racemic

albuterol

sulfate

2.5 mg
Levalbuterol

Inhalation

Solution, USP

5 mg
Racemic

albuterol

sulfate

10 mg
 Cmax (ng/mL)

(R)-albuterol
 1.1 (0.45)  0.8 (0.41)**  4.5 (2.20)  4.2 (1.51)**
 Tmax (h)γ

(R)-albuterol
 0.2 (0.17, 0.37)  0.2 (0.17, 1.50)  0.2 (-0.18*, 1.25)  0.2 (-0.28*, 1.00)
 AUC (ng•h/mL)

(R)-albuterol
 3.3 (1.58)  1.7 (0.99)**  17.4 (8.56)  16.0 (7.12)**
 T½ (h)

(R)-albuterol
 3.3 (2.48)  1.5 (0.61)  4.0 (1.05)  4.1 (0.97)

γMedian (Min, Max) reported for Tmax.

*A negative Tmax  indicates Cmax occurred between first and last nebulizations.

**Values reflect only (R)-albuterol and do not include (S)-albuterol.

Children 6-11 Years Old

The pharmacokinetic parameters of (R)-and (S)-albuterol in children with asthma were obtained using population pharmacokinetic analysis. These data are presented in Table 7. For comparison, adult data obtained by conventional pharmacokinetic analysis from a different study also are presented in Table 7.

In children, AUC and Cmax of (R)-albuterol following administration of 0.63 mg Levalbuterol Inhalation Solution, USP were comparable to those following administration of 1.25 mg racemic albuterol sulfate inhalation solution.

When the same dose of 0.63 mg of Levalbuterol Inhalation Solution, USP was given to children and adults, the predicted Cmax of (R)-albuterol in children was similar to that in adults (0.52 vs. 0.56 ng/mL), while predicted AUC in children (2.55 ng•hr/mL) was about 1.5-fold higher than that in adults (1.65 ng•hr/mL). These data support lower doses for children 6-11 years old compared with the adult doses [see Dosage and Administration (2)].

Table 7 - (R)-Albuterol Exposure in Adults and Pediatric Subjects (6-11 years)
Children 6- 11 years  Adults ≥ 12 years
 Treatment     Levalbuterol   

Inhalation 

Solution, USP

0.31 mg

   Levalbuterol    

Inhalation

Solution, USP

0.63 mg



 Racemic

albuterol

   1.25 mg   


Racemic

albuterol

   2.5 mg    

   Levalbuterol    

Inhalation 

Solution, USP

0.63 mg

   Levalbuterol   

Inhalation 

Solution,USP

1.25 mg

 AUC0-∞ (ng•hr/mL)c  1.36  2.55  2.65  5.02  1.65a  3.3b
 Cmax (ng/mL)d  0.303  0.521  0.553  1.08  0.56a  1.1b

a The values are predicted by assuming linear pharmacokinetics

b The data obtained from Table 6

c Area under the plasma concentration curve from time 0 to infinity

d Maximum plasma concentration

Metabolism and Elimination

Information available in the published literature suggests that the primary enzyme responsible for the metabolism of albuterol enantiomers in humans is SULT1A3 (sulfotransferase). When racemic albuterol was administered either intravenously or via inhalation after oral charcoal administration, there was a 3- to 4-fold difference in the area under the concentration-time curves between the (R)- and (S)-albuterol enantiomers, with (S)-albuterol concentrations being consistently higher. However, without charcoal pretreatment, after either oral or inhalation administration the differences were 8- to 24-fold, suggesting that (R)-albuterol is preferentially metabolized in the gastrointestinal tract, presumably by SULT1A3.

The primary route of elimination of albuterol enantiomers is through renal excretion (80% to 100%) of either the parent compound or the primary metabolite. Less than 20% of the drug is detected in the feces. Following intravenous administration of racemic albuterol, between 25% and 46% of the (R)-albuterol fraction of the dose was excreted as unchanged (R)-albuterol in the urine.

Special Populations

Hepatic Impairment

 The effect of hepatic impairment on the pharmacokinetics of Levalbuterol Inhalation Solution, USP has not been evaluated.

Renal Impairment

The effect of renal impairment on the pharmacokinetics of racemic albuterol was evaluated in 5 subjects with creatinine clearance of 7 to 53 mL/min, and the results were compared with those from healthy volunteers. Renal disease had no effect on the half-life, but there was a 67% decline in racemic albuterol clearance. Caution should be used when administering high doses of Levalbuterol Inhalation Solution, USP to patients with renal impairment [see Use in Specific Populations (8.6)].

1 Indications and Usage

Levalbuterol Inhalation Solution, USP is indicated for the treatment or prevention of bronchospasm in adults, adolescents, and children 6 years of age and older with reversible obstructive airway disease.

12.1 Mechanism of Action

Activation of beta2-adrenergic receptors on airway smooth muscle leads to the activation of adenylate cyclase and to an increase in the intracellular concentration of cyclic-3′, 5′-adenosine monophosphate (cyclic AMP). The increase in cyclic AMP is associated with the activation of protein kinase A, which in turn inhibits the phosphorylation of myosin and lowers intracellular ionic calcium concentrations, resulting in muscle relaxation. Levalbuterol relaxes the smooth muscles of all airways, from the trachea to the terminal bronchioles. Increased cyclic AMP concentrations are also associated with the inhibition of release of mediators from mast cells in the airway. Levalbuterol acts as a functional antagonist to relax the airway irrespective of the spasmogen involved, thus protecting against all bronchoconstrictor challenges. While it is recognized that beta2-adrenergic receptors are the predominant receptors on bronchial smooth muscle, data indicate that there are beta-receptors in the human heart, 10% to 50% of which are beta2-adrenergic receptors. The precise function of these receptors has not been established [see Warnings and Precautions (5.4)]. However, all beta-adrenergic agonist drugs can produce a significant cardiovascular effect in some patients, as measured by pulse rate, blood pressure, symptoms, and/or electrocardiographic changes.

5.7 Coexisting Conditions

Levalbuterol Inhalation Solution, USP, like all sympathomimetic amines, should be used with caution in patients with cardiovascular disorders, especially coronary insufficiency, hypertension, and cardiac arrhythmias; in patients with convulsive disorders, hyperthyroidism, or diabetes mellitus; and in patients who are unusually responsive to sympathomimetic amines. Clinically significant changes in systolic and diastolic blood pressure have been seen in individual patients and could be expected to occur in some patients after the use of any beta-adrenergic bronchodilator.

Changes in blood glucose may occur. Large doses of intravenous racemic albuterol have been reported to aggravate preexisting diabetes mellitus and ketoacidosis.

5 Warnings and Precautions
  • Life-threatening paradoxical bronchospasm may occur. Discontinue Levalbuterol Inhalation Solution, USP  immediately and treat with alternative therapy. (5.1)



  • Need for more doses of  Levalbuterol Inhalation Solution, USP  than usual may be a sign of deterioration of asthma and requires reevaluation of treatment. (5.2)



  • Levalbuterol Inhalation Solution, USP  is not a substitute for corticosteroids. (5.3)



  • Cardiovascular effects may occur. Consider discontinuation of Levalbuterol Inhalation Solution, USP  if these effects occur. Use with caution in patients with underlying cardiovascular disorders. (5.4)



  • Excessive use may be fatal. Do not exceed recommended dose. (5.5)



  • Immediate hypersensitivity reactions may occur. Discontinue Levalbuterol Inhalation Solution, USP  immediately. (5.6)



  • Hypokalemia and changes in blood glucose may occur. (5.7, 5.8)
5.4 Cardiovascular Effects

Levalbuterol Inhalation Solution, USP, like other beta-adrenergic agonists, can produce clinically significant cardiovascular effects in some patients, as measured by heart rate, blood pressure, and symptoms. Although such effects are uncommon after administration of Levalbuterol Inhalation Solution, USP at recommended doses, if they occur, the drug may need to be discontinued. In addition, beta-agonists have been reported to produce electrocardiogram (ECG) changes, such as flattening of the t-wave, prolongation of the QTc interval, and ST segment depression. The clinical significance of these findings is unknown. Therefore, Levalbuterol Inhalation Solution, USP, like all sympathomimetic amines, should be used with caution in patients with cardiovascular disorders, especially coronary insufficiency, cardiac arrhythmias, and hypertension.

2 Dosage and Administration

Levalbuterol Inhalation Solution, USP is for oral inhalation only. Administer by nebulization using with a standard jet nebulizer (with a face mask or mouthpiece) connected to an air compressor. Do not exceed recommended dose.

Children 6-11 years old: The recommended dosage of Levalbuterol Inhalation Solution, USP for patients 6-11 years old is 0.31 mg administered three times a day, by nebulization. Routine dosing should not exceed 0.63 mg three times a day.

Adults and Adolescents ≥ 12 years old: The recommended starting dosage of Levalbuterol Inhalation Solution, USP for patients 12 years of age and older is 0.63 mg administered three times a day, every 6 to 8 hours, by nebulization.

Patients 12 years of age and older with more severe asthma or patients who do not respond adequately to a dose of 0.63 mg of Levalbuterol Inhalation Solution, USP may benefit from a dosage of 1.25 mg three times a day.

Patients receiving the highest dose of Levalbuterol Inhalation Solution, USP should be monitored closely for adverse systemic effects, and the risks of such effects should be balanced against the potential for improved efficacy.

The use of Levalbuterol Inhalation Solution, USP can be continued as medically indicated to help control recurring bouts of bronchospasm. During this time, most patients gain optimal benefit from regular use of the inhalation solution.

If a previously effective dosage regimen fails to provide the usual response this may be a marker of destabilization of asthma and requires reevaluation of the patient and the treatment regimen, giving special consideration to the possible need for anti-inflammatory treatment, e.g., corticosteroids.

The drug compatibility (physical and chemical), efficacy, and safety of Levalbuterol Inhalation Solution, USP when mixed with other drugs in a nebulizer have not been established.

The safety and efficacy of Levalbuterol Inhalation Solution, USP have been established in clinical trials when administered using the PARI LC Jet™ and PARI LC Plus™ nebulizers, and the PARI Master® Dura-Neb® 2000 and Dura-Neb® 3000 compressors. The safety and efficacy of Levalbuterol Inhalation Solution, USP when administered using other nebulizer systems have not been established.

5.2 Deterioration of Asthma

Asthma may deteriorate acutely over a period of hours or chronically over several days or longer. If the patient needs more doses of Levalbuterol Inhalation Solution, USP than usual, this may be a marker of destabilization of asthma and requires reevaluation of the patient and treatment regimen, giving special consideration to the possible need for anti-inflammatory treatment, e.g., corticosteroids.

Patient Information Leaflet

Levalbuterol Inhalation Solution, USP

(pronounced lev" al bue' ter ol)

0.31 mg, 0.63 mg, 1.25 mg

3 mL Unit-Dose Vials

For Oral Inhalation Only

  Rx only

Levalbuterol Inhalation Solution, USP is only for use with a nebulizer.

Read this Patient Information Leaflet before you start to use Levalbuterol Inhalation Solution, USP and each time you get a refill. There may be new information. This information does not take the place of talking with your doctor about your medical condition or your treatment.

What is Levalbuterol Inhalation Solution, USP?

Levalbuterol Inhalation Solution, USP is an inhaled prescription medicine used for the treatment or prevention of bronchospasm in people 6 years of age and older.

Levalbuterol Inhalation Solution, USP has not been shown to be safe and effective in children younger than 6 years of age.

Levalbuterol Inhalation Solution, USP is supplied in 3 mL unit-dose vials in three different strengths of levalbuterol (0.31 mg, 0.63 mg, 1.25 mg). The vials do not require dilution before use.

Who should not use Levalbuterol Inhalation Solution, USP?

Do not use Levalbuterol Inhalation Solution, USP  if you are allergic to levalbuterol, racemic albuterol, or any of the ingredients in Levalbuterol Inhalation Solution, USP. See the end of this leaflet for a complete list of ingredients in Levalbuterol Inhalation Solution, USP.

What should I tell my doctor before using Levalbuterol Inhalation Solution, USP?

Before you use Levalbuterol Inhalation Solution, USP, tell your doctor if you have:

  • had an allergic reaction to levalbuterol or racemic albuterol



  • heart problems



  • high blood pressure



  • seizures



  • diabetes



  • thyroid problems



  • any other medical conditions



  • are pregnant or planning to become pregnant. It is not known if Levalbuterol Inhalation Solution, USP will harm your unborn baby. Talk to your doctor if you are pregnant or plan to become pregnant.



  • are breastfeeding or plan to breastfeed. It is not known if Levalbuterol Inhalation Solution, USP passes into your breast milk. You and your doctor should decide if you will use Levalbuterol Inhalation Solution, USP or breastfeed. You should not do both.

Tell your doctor about all the medicines you take including prescription and over-the-counter medicines, vitamins, and herbal supplements. Levalbuterol Inhalation Solution, USP may affect the way other medicines work, and other medicines may affect how Levalbuterol Inhalation Solution, USP works.

Especially tell your doctor if you take:

  • other asthma medicines



  • heart medicines



  • medicines that increase urination (diuretics)



  • antidepressants



  • medicine to treat chronic obstructive pulmonary disease (COPD)

Ask your doctor if you are not sure if any of your medicines are the kinds listed above.

Know the medicines you take. Keep a list of them and show it to your doctor and pharmacist when you get a new medicine.

How should I use Levalbuterol Inhalation Solution, USP?

  • Read the step-by-step Instructions for Using Levalbuterol Inhalation Solution, USP at the end of this leaflet.



  • Use Levalbuterol Inhalation Solution, USP exactly as your doctor tells you to. Do not change your dose without talking to your doctor first.



  • Your doctor will tell you how many times and when to use your Levalbuterol Inhalation Solution, USP.



  • An adult should help a child use Levalbuterol Inhalation Solution, USP.



  • Do not use your Levalbuterol Inhalation Solution, USP more often than your doctor tells you to.



  • Get medical help right away if Levalbuterol Inhalation Solution, USP:



         o does not work as well for your asthma symptoms or



         o your asthma symptoms get worse or



         o you need to use your Levalbuterol Inhalation Solution, USP more often than usual
  • If you also use another medicine by inhalation, you should ask your doctor for instructions on when to use it while you are also using Levalbuterol Inhalation Solution, USP.



  • Do not mix Levalbuterol Inhalation Solution, USP with other medicines in your nebulizer.



  • Only use Levalbuterol Inhalation Solution, USP if it is colorless. Throw away the Levalbuterol Inhalation Solution, USP vial if the liquid medicine is not colorless.



  • Do not use Levalbuterol Inhalation Solution, USP after the expiration date on the vial.

What are the possible side effects of Levalbuterol Inhalation Solution, USP?

Levalbuterol Inhalation Solution, USP  can cause serious side effects including:

  • sudden shortness of breath (bronchospasm). Sudden shortness of breath can happen right away after using Levalbuterol Inhalation Solution, USP.



  • worsening asthma



  • heart problems



  • death. If you use too much Levalbuterol Inhalation Solution, USP you can have heart or lung problems that can lead to death.



  • serious allergic reactions. Call your doctor and stop using Levalbuterol Inhalation Solution, USP right away if you have any symptoms of an allergic reaction such as:



         o swelling of the face, throat or tongue



         o hives



         o rash



         o breathing problems



  • low potassium levels in your blood

Call your doctor or go to the nearest hospital emergency room right away if you have any of the serious side effects listed above or if you have worsening lung symptoms.

The most common side effects of Levalbuterol Inhalation Solution, USP  include:

  • palpitations



  • chest pain



  • fast heart rate



  • headache



  • dizziness



  • tremor



  • nervousness

Tell your doctor if you have any side effects that bother you or that do not go away.

These are not all the possible side effects of Levalbuterol Inhalation Solution, USP. For more information, ask your doctor or pharmacist.

Call your doctor for medical advice about side effects. You may report side effects to FDA at 1-800-FDA-1088.

How should I store Levalbuterol Inhalation Solution, USP?

  • Store unopened Levalbuterol Inhalation Solution, USP vials in the protective foil pouch they come in at 20°-25°C (68°-77°F).



  • Keep Levalbuterol Inhalation Solution, USP away from light and heat.



  • When a Levalbuterol Inhalation Solution, USP foil pouch is opened, use the vials within 2 weeks.



  • When Levalbuterol Inhalation Solution, USP vials are removed from the foil pouch, use them right away or within 1 week.

Keep Levalbuterol Inhalation Solution, USP  and all medicines out of the reach of children.

General information about the safe and effective use of Levalbuterol Inhalation Solution, USP.

Medicines are sometimes prescribed for purposes other than those listed in a Patient Information Leaflet. Do not use Levalbuterol Inhalation Solution, USP for a condition for which it was not prescribed. Do not give Levalbuterol Inhalation Solution, USP to other people, even if they have the same symptoms that you have. It may harm them.

This Patient Information Leaflet summarizes the most important information about Levalbuterol Inhalation Solution, USP. If you would like more information, talk with your doctor. You can ask your pharmacist or doctor for information about Levalbuterol Inhalation Solution, USP that is written for health professionals.

To report SUSPECTED ADVERSE REACTIONS, contact The Ritedose Corporation at 1-855-806-3300 or FDA at 1-800-FDA-1088 or www.fda.gov/medwatch.

What are the ingredients in Levalbuterol Inhalation Solution, USP?

Active ingredient: levalbuterol hydrochloride

Inactive ingredients: sodium chloride, edetate disodium, sulfuric acid, and water

 Instructions for Using Levalbuterol

Inhalation Solution, USP

Levalbuterol Inhalation Solution, USP vial (see Figure A):



        Figure A

Using your Levalbuterol Inhalation Solution, USP:

Read the following Steps before using your Levalbuterol Inhalation Solution, USP. If you have any questions, ask your doctor or pharmacist.

Step 1. Open the foil pouch by tearing the notched edge along the seam of the pouch (see Figure B). Remove 1 vial to be used right away. Keep the rest of the unused vials in the foil pouch to protect them from light and heat.

       F igure B

Step 2.  Hold the vial in your hands. Make sure your thumb and finger cover the twist-off tabs below the top (see Figure C).

          Figure C

Step 3. While holding the top firmly between your thumb and finger, twist the body of the vial to open the vial (see Figure C).

Step 4. Throw away the top of the vial and squeeze the entire contents of the vial into the nebulizer reservoir (see Figure D).

               Figure D

Step 5. Connect the nebulizer reservoir to the mouthpiece (see Figure E.1) or face mask (see Figure E.2).

            Figure E.1                                     Figure E.2

Step 6. Connect the nebulizer to the compressor (see Figure F).

              Figure F

Step 7. Sit in a comfortable, upright position. Place the mouthpiece in your mouth (see Figure G.1) or put on your face mask (see Figure G.2). Turn on the compressor.

               Figure G.1                                   Figure G.2

Step 8. Breathe as calmly, deeply, and evenly as possible until no more mist is seen in the nebulizer reservoir. Your treatment will take about 5 to 15 minutes. When you do not see any mist in the nebulizer reservoir, your treatment is finished.

Step 9. Clean and store your nebulizer. See the manufacturer's instructions that come with your nebulizer for how to clean and store your nebulizer.

This Patient Information Leaflet and Instructions for Use have been approved by the U.S. Food and Drug Administration.



Manufactured for:

Burel Pharmaceuticals, LLC


Mason, OH 45040 USA



Manufactured by:

The Ritedose Corporation

Columbia, SC 29203 USA

To report SUSPECTED ADVERSE REACTIONS, contact The Ritedose Corporation at 1-855-806-3300 or FDA at 1-800-FDA-1088 or www.fda.gov/medwatch.

Revised: 07/2021

RPIN0147

3 Dosage Forms and Strengths

Inhalation Solution  3 mL unit-dose, vials in three dosage strengths of levalbuterol; 0.31 mg, 0.63 mg, 1.25 mg. Each strength of Levalbuterol Inhalation Solution, USP is available in a shelf carton containing one or more foil pouches, each pouch containing one or more unit-dose vials.

5.1 Paradoxical Bronchospasm

Levalbuterol Inhalation Solution, USP can produce paradoxical bronchospasm, which may be life-threatening. If paradoxical bronchospasm occurs, Levalbuterol Inhalation Solution, USP should be discontinued immediately and alternative therapy instituted. It should be recognized that paradoxical bronchospasm, when associated with inhaled formulations, frequently occurs with the first use of a new vial.

6.2 Post Marketing Experience

In addition to the adverse reactions reported in clinical trials, the following adverse reactions have been observed in postapproval use of Levalbuterol Inhalation Solution, USP. Because these reactions are reported voluntarily from a population of uncertain size, it is not always possible to reliably estimate their frequency or establish a causal relationship to drug exposure. These events have been chosen for inclusion due to their seriousness, their frequency of reporting, or their likely beta-mediated mechanism: angioedema, anaphylaxis, arrhythmias (including atrial fibrillation, supraventricular tachycardia, extrasystoles), asthma, chest pain, cough increased, dysphonia, dyspnea, gastroesophageal reflux disease (GERD), metabolic acidosis, nausea, nervousness, rash, tachycardia, tremor, urticaria.

In addition, Levalbuterol Inhalation Solution, USP, like other sympathomimetic agents, can cause adverse reactions such as hypertension, angina, vertigo, central nervous system stimulation, sleeplessness, headache, and drying or irritation of the oropharynx.

6.1 Clinical Trials Experience

Because clinical trials are conducted under widely varying conditions, adverse reaction rates observed in the clinical trials of the drug cannot be directly compared with rates in the clinical trials of another drug and may not reflect the rates observed in practice.

Adults and Adolescents 12 Years of Age and Older

Adverse reaction information concerning Levalbuterol Inhalation Solution, USP in adults and adolescents is derived from one 4-week, multicenter, randomized, double-blind, active-, and placebo-controlled trial in 362 patients with asthma 12 years of age and older. Adverse reactions reported in ≥ 2% of patients receiving Levalbuterol Inhalation Solution, USP or racemic albuterol and more frequently than in patients receiving placebo are listed in Table 1.

Table 1 - Adverse Reactions Reported in a 4-Week, Controlled Clinical Trial in Adults and Adolescents ≥ 12 Years Old
Percent of Patientsa
 Body System

     Preferred Term
 Placebo

(n = 75)
 Levalbuterol

Inhalation

   Solution, USP    

1.25 mg

(n = 73)
 Levalbuterol

Inhalation

   Solution, USP   

0.63 mg

(n = 72)
 Racemic

   albuterol 2.5 mg   

(n = 74)
 Body as a Whole
     Allergic reaction  1.3  0 0 2.7
     Flu syndrome  0  1.4  4.2  2.7
     Accidental injury  0  2.7  0  0
     Pain  1.3  1.4  2.8  2.7
     Back pain  0  0  0  2.7
 Cardiovascular System
     Tachycardia 0 2.7  2.8 2.7
     Migraine  0  2.7 0  0
 Digestive System
     Dyspepsia  1.3  2.7 1.4 1.4
 Musculoskeletal System
     Leg cramps  1.3 2.7 0 1.4
 Central Nervous System
     Dizziness  1.3  2.7  1.4  0
     Hypertonia  0  0  0  2.7
     Nervousness  0  9.6  2.8  8.1
     Tremor  0  6.8  0  2.7
     Anxiety  0  2.7  0  0
 Respiratory System
     Cough increased  2.7  4.1  1.4  2.7
     Infection viral  9.3  12.3  6.9  12.2
     Rhinitis  2.7  2.7  11.1  6.8
     Sinusitis  2.7  1.4  4.2  2.7
     Turbinate edema  0  1.4  2.8  0

a One treatment group, racemic albuterol 1.25 mg, with 68 subjects is omitted.

The incidence of certain systemic beta-adrenergic adverse reactions (e.g., tremor, nervousness) was slightly less in the Levalbuterol Inhalation Solution, USP 0.63 mg group compared with the other active treatment groups. The clinical significance of these small differences is unknown.

Changes in heart rate 15 minutes after drug administration and in plasma glucose and potassium 1 hour after drug administration on day 1 and day 29 were clinically comparable in the Levalbuterol Inhalation Solution, USP 1.25 mg and racemic albuterol 2.5 mg groups (see Table 2). Changes in heart rate and plasma glucose were slightly less in the Levalbuterol Inhalation Solution, USP 0.63 mg group compared with the other active treatment groups (see Table 2). The clinical significance of these small differences is unknown. After 4 weeks, effects on heart rate, plasma glucose, and plasma potassium were generally diminished compared with day 1 in all active treatment groups.

Table 2 - Mean Changes from Baseline Heart Rate at 15 Minutes and Glucose and Potassium at 1 Hour after First Dose (Day 1) in Adults and Adolescents ≥ 12 Years Old
 Mean Changes (Day 1)
 Treatment

 Heart Rate

(bpm)

    Glucose   

(mg/dL)

   Potassium   

(mEq/L)

 Levalbuterol Inhalation Solution, USP 0.63 mg, n = 72  2.4  4.6  -0.2
 Levalbuterol Inhalation Solution, USP 1.25 mg, n = 73  6.9  10.3  -0.3
 Racemic albuterol 2.5 mg, n = 74  5.7  8.2  -0.3
 Placebo, n = 75  -2.8  -0.2  -0.2

No other clinically relevant laboratory abnormalities related to administration of Levalbuterol Inhalation Solution, USP were observed in this study.

In the clinical trials, a slightly greater number of serious adverse events, discontinuations due to adverse events, and clinically significant ECG changes were reported in patients who received Levalbuterol Inhalation Solution, USP 1.25 mg compared with the other active treatment groups.

The following adverse reactions, considered potentially related to Levalbuterol Inhalation Solution, USP, occurred in less than 2% of the 292 subjects who received Levalbuterol Inhalation Solution, USP and more frequently than in patients who received placebo in any clinical trial:

 Body as a Whole:  chills, pain, chest pain
 Cardiovascular System:  ECG abnormal, ECG change, hypertension, hypotension, syncope
 Digestive System:  diarrhea, dry mouth, dry throat, dyspepsia, gastroenteritis, nausea
 Hemic and Lymphatic System:  lymphadenopathy
 Musculoskeletal System:  leg cramps, myalgia
 Nervous System:  anxiety, hyperesthesia of the hand, insomnia, paresthesia, tremor
 Special Senses:  eye itch

 The following reactions, considered potentially related to Levalbuterol Inhalation Solution, USP, occurred in less than 2% of the treated subjects but at a frequency less than in patients who received placebo: asthma exacerbation, cough increased, wheezing, sweating, and vomiting.

Pediatric Patients 6 to 11 Years of Age

Adverse reaction information concerning Levalbuterol Inhalation Solution, USP in pediatric patients is derived from one 3-week, multicenter, randomized, double-blind, active-, and placebo-controlled trial in 316 pediatric patients 6 to 11 years of age. Adverse reactions reported in ≥ 2% of patients in any treatment group and more frequently than in patients receiving placebo are listed in Table 3.

Table 3 - Most Frequently Reported Adverse Reactions ( ≥ 2% in Any Treatment Group) and Those Reported More Frequently Than in Placebo during the Double-Blind Period (ITT Population, 6-11 Years Old)
Percent of Patients
 Body System

     Preferred Term
 Placebo

(n = 59)

 Levalbuterol

Inhalation

   Solution, USP   

0.31 mg

(n = 66)

 Levalbuterol

Inhalation

   Solution, USP   

0.63 mg

(n = 67)

Racemic

albuterol

1.25 mg

     (n = 64)     
Racemic

albuterol

2.5 mg

    (n = 60)     
 Body as a Whole          
     Abdominal pain 3.4 0 1.5 3.1 6.7
     Accidental injury  3.4 6.1 4.5  3.1 5.0
     Asthenia  0  3.0  3.0  1.6  1.7
     Fever  5.1  9.1  3.0  1.6  6.7
     Headache  8.5  7.6  11.9  9.4  3.3
     Pain  3.4  3.0  1.5  4.7  6.7
     Viral infection  5.1  7.6     9.0  4.7 8.3
 Digestive System
     Diarrhea  0  1.5  6.0  1.6
 Hemic and Lymphatic
     Lymphadenopathy  0  3.0  0  1.6  0
 Musculoskeletal System
     Myalgia  0  0  1.5  1.6  3.3
 Respiratory System
     Asthma  5.1  9.1  9.0  6.3  10.0
     Pharyngitis  6.8  3.0  10.4  0  6.7
     Rhinitis  1.7  6.1  10.4  3.1  5.0
 Skin and Appendages
     Eczema  0  0  0  0  3.3
     Rash  0  0  7.5  1.6  0
     Urticaria  0  0  3.0  0  0
 Special Senses
     Otitis media  1.7  0  0  0  3.3

 Note: Subjects may have more than one adverse event per body system and preferred term.

Changes in heart rate, plasma glucose, and serum potassium are shown in Table 4. The clinical significance of these small differences is unknown.

Table 4: Mean Changes from Baseline Heart Rate at 30 Minutes and Glucose and Potassium at 1 Hour after First Dose (Day 1) and Last Dose (Day 21) in Children 6-11 Years Old
Mean Changes (Day 1)
 Treatment     Heart Rate   

(bpm)
    Glucose   

(mg/dL)
    Potassium   

(mEq/L)
 Levalbuterol Inhalation Solution, USP 0.31 mg, n = 66  0.8  4.9  -0.31
 Levalbuterol Inhalation Solution, USP 0.63 mg, n = 67  6.7  5.2  -0.36
 Racemic albuterol 1.25 mg, n = 64  6.4  8.0  -0.27
 Racemic albuterol 2.5 mg, n = 60  10.9  10.8  -0.56
 Placebo, n = 59  -1.8  0.6  -0.05
   Mean Changes (Day 21)
 Treatment Heart Rate

(bpm) 
 Glucose

(mg/dL)
 Potassium

(mEq/L)
 Levalbuterol Inhalation Solution, USP 0.31 mg, n = 60  0  2.6  -0.32
 Levalbuterol Inhalation Solution, USP 0.63 mg, n = 66  3.8  5.8  -0.34
 Racemic albuterol 1.25 mg, n = 62  5.8  1.7  -0.18
 Racemic albuterol 2.5 mg, n = 54  5.7  11.8  -0.26
 Placebo, n = 55  -1.7  1.1  -0.04
7.1 Short Acting Bronchodilators

Avoid concomitant use of other short-acting sympathomimetic bronchodilators or epinephrine in patients being treated with Levalbuterol Inhalation Solution, USP. If additional adrenergic drugs are to be administered by any route, they should be used with caution to avoid deleterious cardiovascular effects.

17 Patient Counseling Information

See FDA-approved patient labeling (Patient Information Leaflet and Instructions for Using Levalbuterol Inhalation Solution, USP).

Patients should be given the following information:

Hypersensitivity

Query patients about previously experienced hypersensitivity to levalbuterol or racemic albuterol and counsel patients to report any hypersensitivity reactions to their physician.

Frequency of Use

Inform patients not to increase the dose or use Levalbuterol Inhalation Solution, USP more frequently than recommended without consulting their physician. If patients find that treatment with Levalbuterol Inhalation Solution, USP becomes less effective for symptomatic relief, symptoms become worse, or they need to use the product more frequently than usual, they should seek medical attention immediately.

Paradoxical Bronchospasm

Inform patients that Levalbuterol Inhalation Solution, USP can produce paradoxical bronchospasm. Instruct patients to discontinue Levalbuterol Inhalation Solution, USP if paradoxical bronchospasm occurs.

Concomitant Drug Use

Inform patients using Levalbuterol Inhalation Solution, USP, that other inhaled drugs and asthma medications should be taken only as directed by their physician.

Common Adverse Reactions

Advise patients of the common adverse reactions of treatment with Levalbuterol Inhalation Solution, USP include palpitations, chest pain, fast heart rate, headache, dizziness, tremor and nervousness.

Pregnancy

Advise patients who are pregnant or nursing to contact their physician about the use of Levalbuterol Inhalation Solution, USP.

General Information on Storage and Use

Advise patients to store Levalbuterol Inhalation Solution, USP in the foil pouch at 20°- 25°C (68°-77°F) protected from light and excessive heat. Do not use after the expiration date stamped on the container. Store unused vials in the protective foil pouch. Once the foil pouch is opened, use the vials within 2 weeks. Use vials removed from the pouch immediately, or protect from light and use within 1 week. Discard any vial if the solution is not colorless.

Advise patients not to mix Levalbuterol Inhalation Solution, USP with other drugs in a nebulizer.





Manufactured for: 

Burel Pharmaceuticals,LLC

Mason, OH 45040 USA

Manufactured by:

The Ritedose Corporation

Columbia, SC 29203 USA

To report SUSPECTED ADVERSE REACTIONS, contact The Ritedose Corporation at 1-855-806-3300 or FDA at 1-800-FDA-1088 or www.fda.gov/medwatch.

Revised: 07/2021



RPIN0147

5.5 Do Not Exceed Recommended Dose

Do not exceed the recommended dose. Fatalities have been reported in association with excessive use of inhaled sympathomimetic drugs in patients with asthma. The exact cause of death is unknown, but cardiac arrest following an unexpected development of a severe acute asthmatic crisis and subsequent hypoxia is suspected.

5.3 Use of Anti Inflammatory Agents

Levalbuterol Inhalation Solution, USP is not a substitute for corticosteroids. The use of beta-adrenergic agonist alone may not be adequate to control asthma in many patients. Early consideration should be given to adding anti-inflammatory agents, e.g., corticosteroids, to the therapeutic regimen.

16 How Supplied/storage and Handling

Levalbuterol Inhalation Solution, USP is supplied in 3 mL unit-dose, low-density polyethylene (LDPE) vials as a clear, colorless, sterile, preservative-free, aqueous solution, in three different strengths of levalbuterol (0.31 mg, 0.63 mg, 1.25 mg). Each strength of Levalbuterol Inhalation Solution, USP is available in a shelf-carton containing one foil pouch of 25 unit-dose LDPE vials.

Levalbuterol Inhalation Solution, USP, 0.31 mg/3 mL (foil pouch label color green) contains 0.31 mg/3 mL (0.0103%) of levalbuterol (as 0.36 mg/3 mL of levalbuterol HCl) and is available in cartons as listed below.

NDC 35573-443-25   25 vials per carton / 25 vials per foil pouch

Levalbuterol Inhalation Solution, USP, 0.63 mg/3 mL (foil pouch label color yellow) contains 0.63 mg/3 mL (0.021%) of levalbuterol (as 0.73 mg/3 mL of levalbuterol HCl) and is available in cartons as listed below.

NDC 35573-444-25   25 vials per carton / 25 vials per foil pouch

Levalbuterol Inhalation Solution, USP, 1.25 mg/3 mL (foil pouch label color red) contains 1.25 mg/3 mL (0.042%) of levalbuterol (as 1.44 mg/3 mL of levalbuterol HCl) and is available in cartons as listed below.

NDC 35573-445-25   25 vials per carton / 25 vials per foil pouch

Store Levalbuterol Inhalation Solution, USP in the protective foil pouch at 20°- 25°C (68°- 77°F) [see USP Controlled Room Temperature]. Protect from light and excessive heat. Keep unopened vials in the foil pouch. Once the foil pouch is opened, the vials should be used within 2 weeks. Vials removed from the pouch, if not used immediately, should be protected from light and used within 1 week. Discard any vial if the solution is not colorless.

Rx only

5.6 Immediate Hypersensitivity Reactions

Immediate hypersensitivity reactions may occur after administration of levalbuterol or racemic albuterol. Reactions have included urticaria, angioedema, rash, bronchospasm, anaphylaxis, and oropharyngeal edema. The potential for hypersensitivity must be considered in the clinical evaluation of patients who experience immediate hypersensitivity reactions while receiving Levalbuterol Inhalation Solution, USP.

Package/label Principal Display Panel 0.31 Mg/3 Ml

NDC 35573-443-25



Burelpharma




Levalbuterol Inhalation

Solution, USP




0.31 mg (0.0103%)

0.31 mg/3 mL




For Oral Inhalation Only



25 x 3 mL Sterile Unit-Dose Vials

(1 pouch of 25 - 3 mL vials) 




Rx only



Package/label Principal Display Panel 0.63 Mg/3 Ml

NDC 35573-444-25



Burelpharma




Levalbuterol Inhalation

Solution, USP




0.63 mg (0.021%)

0.63 mg/3 mL




For Oral Inhalation Only



25 x 3 mL Sterile Unit-Dose Vials

(1 pouch of 25 - 3 mL vials) 




Rx only





Package/label Principal Display Panel 1.25 Mg/3 Ml

NDC 35573-445-25



Burelpharma




Levalbuterol Inhalation

Solution, USP




1.25 mg (0.042%)

1.25 mg/3 mL




For Oral Inhalation Only



25 x 3 mL Sterile Unit-Dose Vials

(1 pouch of 25 - 3 mL vials) 




Rx only





13.1 Carcinogenesis, Mutagenesis, Impairment of Fertility

Although there have been no carcinogenesis studies with levalbuterol HCl, racemic albuterol sulfate has been evaluated for its carcinogenic potential.

In a 2-year study in Sprague-Dawley rats, dietary administration of racemic albuterol sulfate resulted in a significant dose-related increase in the incidence of benign leiomyomas of the mesovarium at doses of 2 mg/kg/day and greater (approximately 4 times the MRHDID of levalbuterol HCl for adults and approximately 5 times the MRHDID of levalbuterol HCl for children on a mg/m2 basis). In an 18-month study in CD-1 mice and a 22-month study in the golden hamster, dietary administration of racemic albuterol sulfate showed no evidence of tumorigenicity. Dietary doses in CD-1 mice were up to 500 mg/kg/day (approximately 540 times the MRHDID of levalbuterol HCl for adults and approximately 630 times the MRHDID of levalbuterol HCl for children on a mg/m2 basis) and doses in the golden hamster study were up to 50 mg/kg/day (approximately 90 times the MRHDID of levalbuterol HCl for adults on a mg/m2 basis and approximately 105 times the MRHDID of levalbuterol HCl for children on a mg/m2 basis).

Levalbuterol HCl was not mutagenic in the Ames test or the CHO/HPRT Mammalian Forward Gene Mutation Assay. Levalbuterol HCl was not clastogenic in the in vivo micronucleus test in mouse bone marrow. Racemic albuterol sulfate was not clastogenic in an in vitro chromosomal aberration assay in CHO cell cultures.

No fertility studies have been conducted with levalbuterol hydrochloride. Reproduction studies in rats using racemic albuterol sulfate demonstrated no evidence of impaired fertility at oral doses up to 50 mg/kg/day (approximately 108 times the maximum recommended daily inhalation dose of levalbuterol HCl for adults on a mg/m2 basis).

7.5 Monoamine Oxidase Inhibitors Or Tricyclic Antidepressants

Levalbuterol Inhalation Solution, USP should be administered with extreme caution to patients being treated with monoamine oxidase inhibitors or tricyclic antidepressants, or within 2 weeks of discontinuation of such agents, because the action of levalbuterol on the vascular system may be potentiated. Consider alternative therapy in patients taking MAO inhibitors or tricyclic antidepressants.


Structured Label Content

7.4 Digoxin

Mean decreases of 16% and 22% in serum digoxin levels were demonstrated after single-dose intravenous and oral administration of racemic albuterol, respectively, to normal volunteers who had received digoxin for 10 days. The clinical significance of these findings for patients with obstructive airway disease who are receiving Levalbuterol Inhalation Solution, USP and digoxin on a chronic basis is unclear. Nevertheless, it would be prudent to carefully evaluate the serum digoxin levels in patients who are currently receiving digoxin and Levalbuterol Inhalation Solution, USP.

10 Overdosage (10 OVERDOSAGE)

The expected symptoms with overdosage are those of excessive beta-adrenergic receptor stimulation and/or occurrence or exaggeration of any of the symptoms listed under Adverse Reactions (6), e.g., seizures, angina, hypertension or hypotension, tachycardia with rates up to 200 beats/min., arrhythmias, nervousness, headache, tremor, dry mouth, palpitation, nausea, dizziness, fatigue, malaise, and sleeplessness. Hypokalemia also may occur. As with all sympathomimetic medications, cardiac arrest and even death may be associated with the abuse of Levalbuterol Inhalation Solution, USP. Treatment consists of discontinuation of Levalbuterol Inhalation Solution, USP together with appropriate symptomatic therapy. The judicious use of a cardioselective beta-receptor blocker may be considered, bearing in mind that such medication can produce bronchospasm. There is insufficient evidence to determine if dialysis is beneficial for overdosage of Levalbuterol Inhalation Solution, USP.

7.3 Diuretics

The ECG changes or hypokalemia that may result from the administration of non-potassium-sparing diuretics (such as loop and thiazide diuretics) can be acutely worsened by beta-agonists, especially when the recommended dose of the beta-agonist is exceeded. Although the clinical significance of these effects is not known, caution is advised in the coadministration of beta-agonists with non-potassium-sparing diuretics. Consider monitoring potassium levels.

8.1 Pregnancy

Risk Summary

There are no adequate and well-controlled studies of Levalbuterol Inhalation Solution, USP in pregnant women. There are clinical considerations with the use of Levalbuterol Inhalation Solution, USP in pregnant women [see Clinical Considerations].

Following oral administration of levalbuterol HCl to pregnant rabbits, there was no evidence of teratogenicity at doses up to 25 mg/kg/day [approximately 108 times the maximum recommended human daily inhalation dose (MRHDID) of levalbuterol HCl for adults on a mg/m2 basis]; however, racemic albuterol sulfate was teratogenic in mice (cleft palate) and rabbits (cramioschisis) at doses slightly higher than the human therapeutic range (see Data).

The estimated background risk of major birth defects and miscarriage for the indicated population(s) are unknown. In the U.S. general population, the estimated risk of major birth defects and miscarriage in clinically recognized pregnancies is 2 to 4% and 15 to 20% respectively.

Clinical Considerations

Disease-Associated Maternal and/or Embryo/Fetal Risk

In women with poorly or moderately controlled asthma, there is an increased risk of preeclampsia in the mother and prematurity, low birth weight, and small for gestational age in the neonate. Pregnant women should be closely monitored and medication adjusted as necessary to maintain optimal control.

Labor or Delivery

Because of the potential for beta-adrenergic agonists to interfere with uterine contractility, the use of Levalbuterol Inhalation Solution, USP for the treatment of bronchospasm during labor should be restricted to those patients for whom the benefits clearly outweigh the risk.

Levalbuterol Inhalation Solution, USP has not been approved for the management of preterm labor. The benefit-risk ratio when Levalbuterol Inhalation Solution, USP is administered for tocolysis has not been established. Serious adverse reactions, including maternal pulmonary edema, have been reported during or following treatment of premature labor with beta2-agonists, including racemic albuterol.

Data

Animal Data

The oral administration of levalbuterol HCl to pregnant New Zealand White rabbits during the period of organogenesis found no evidence of teratogenicity at doses up to 25 mg/kg/day (approximately 108 times the MRHDID of levalbuterol HCl for adults on a mg/m2 basis). In a rat developmental study, racemic albuterol sulfate administered by inhalation did not produce any teratogenic effects at exposures approximately 63 times the MRHDID (on a mg/m2 basis at a maternal dose of 10.5 mg/kg).

However, other developmental studies with the racemic albuterol sulfate, did result in teratogenic effects in mice and rabbits at doses slightly higher than the human therapeutic range. In a rabbit developmental study, orally administered albuterol sulfate induced cranioschisis in 7 of 19 fetuses (37%) at approximately 215 times the MRHDID for adults (on a mg/m2 basis at a maternal dose of 50 mg/kg). In a mouse developmental study, subcutaneously administered albuterol sulfate produced cleft palate formation in 5 of 111 (4.5%) fetuses at an exposure approximately 0.3 times the MRHDID for adults (on a mg/m2 basis at a maternal dose of 0.25 mg/kg/day) and in 10 of 108 (9.3%) fetuses at approximately 3 times the MRHDID (on a mg/m2 basis at a maternal dose of 2.5 mg/kg/day). Similar effects were not observed at approximately 0.03 times the MRHDID for adults on a mg/m2 basis at a maternal dose of 0.025 mg/kg/day (i.e., less than the therapeutic dose). Cleft palate also occurred in 22 of 72 (30.5%) fetuses from females treated subcutaneously with isoproterenol (positive control).

8.2 Lactation

Risk Summary

There are no available data on the presence of levalbuterol in human milk, the effects on the breastfed child, or the effects on milk production.

The developmental and health benefits of breastfeeding should be considered along with the mother’s clinical need for Levalbuterol Inhalation Solution, USP and any potential adverse effects on the breastfed child from Levalbuterol Inhalation Solution, USP or from the underlying maternal condition.

11 Description (11 DESCRIPTION)

Levalbuterol Inhalation Solution, USP is a sterile, clear, colorless, preservative-free solution of the hydrochloride salt of levalbuterol, the (R)-enantiomer of the drug substance racemic albuterol. Levalbuterol HCl is a relatively selective beta2-adrenergic receptor agonist [see Clinical Pharmacology (12)]. The chemical name for levalbuterol HCl is (R)-α1-[[(1,1-dimethylethyl)amino]methyl]-4-hydroxy-1,3-benzenedimethanol hydrochloride, and its established chemical structure is as follows:

The molecular weight of levalbuterol HCl is 275.8, and its empirical formula is C13H21NO3•HCl. It is a white to off-white, crystalline solid, with a melting point of approximately 187°C and solubility of approximately 180 mg/mL in water.

Levalbuterol HCl is the USAN modified name for (R)-albuterol HCl in the United States.

Levalbuterol Inhalation Solution, USP is supplied in unit-dose vials and requires no dilution before administration by nebulization. Each 3 mL unit-dose vial contains 0.31 mg/3 mL (0.0103%) of levalbuterol (as 0.36 mg/3 mL of levalbuterol HCl) or 0.63 mg/3 mL (0.021%) of levalbuterol (as 0.73 mg/3 mL of levalbuterol HCl) or 1.25 mg/3 mL (0.042%) of levalbuterol (as 1.44 mg/3 mL of levalbuterol HCl), sodium chloride to adjust tonicity, edetate disodium (EDTA) as a stabilizer for the active pharmaceutical ingredient, and sulfuric acid to adjust the pH to 4.0 (3.3 to 4.5).

5.8 Hypokalemia

As with other beta-adrenergic agonist medications, Levalbuterol Inhalation Solution, USP may produce significant hypokalemia in some patients, possibly through intracellular shunting, which has the potential to produce adverse cardiovascular effects. The decrease is usually transient, not requiring supplementation.

7.2 Beta Blockers (7.2 Beta-blockers)

Beta-adrenergic receptor blocking agents not only block the pulmonary effect of beta-adrenergic agonists such as Levalbuterol Inhalation Solution, USP, but may produce severe bronchospasm in asthmatic patients. Therefore, patients with asthma should not normally be treated with beta-blockers. However, under certain circumstances, e.g., prophylaxis after myocardial infarction, there may be no acceptable alternatives to the use of beta-adrenergic blocking agents in patients with asthma. In this setting, cardioselective beta-blockers should be considered, although they should be administered with caution.

8.4 Pediatric Use

Pediatric Patients 6 Years of Age and Older

The safety and efficacy of Levalbuterol Inhalation Solution, USP have been established in pediatric patients 6 years of age and older in an adequate and well-controlled clinical trial [see Adverse Reactions (6) and Clinical Studies (14)].

Pediatric Patients less than 6 Years of Age

Levalbuterol Inhalation Solution, USP is not indicated for pediatric patients less than 6 years of age.

Clinical trials with Levalbuterol Inhalation Solution, USP in this age group failed to meet the primary efficacy endpoint and demonstrated an increased number of asthma-related adverse reactions following chronic Levalbuterol Inhalation Solution, USP treatment.

Levalbuterol Inhalation Solution, USP was studied in 379 pediatric patients less than 6 years of age with asthma or reactive airway disease - (291 patients 2 to 5 years of age, and 88 patients from birth to less than 2 years of age). Efficacy and safety data for Levalbuterol Inhalation Solution, USP in this age group are primarily available from one 3-week, multicenter, randomized, double-blind, active and placebo-controlled study (Study 1) in 211 pediatric patients between the ages of 2 and 5 years, of whom 119 received Levalbuterol Inhalation Solution, USP. Over the 3 week treatment period, there were no significant treatment differences in the Pediatric Asthma Questionnaire (PAQ) total score between groups receiving Levalbuterol Inhalation Solution, USP 0.31 mg, Levalbuterol Inhalation Solution, USP 0.63 mg, racemic albuterol, and placebo. Additional safety data following chronic dosing is available from a 4-week, multicenter, randomized, modified-blind, placebo-controlled study (Study 2) of 196 patients between the ages of birth and 3 years, of whom 63 received open-label Levalbuterol Inhalation Solution, USP. In these two studies, treatment-emergent asthma exacerbations or asthma-related adverse reactions and treatment discontinuations due to asthma occurred at a higher frequency in Levalbuterol Inhalation-treated subjects compared to control (Table 5). Other adverse reactions were consistent with those observed in the clinical trial population of patients 6 years of age and older [see Adverse Reactions (6.1)].

Table 5 - Asthma-related Adverse Reactions in 3-and 4-Week Clinical Trials in Children Birth to <6 Years of Age
 Asthma Exacerbations*

n (%)
 Treatment Discontinuations due to Asthma

n (%)
 Asthma-related Adverse Reactions**

n (%)
Study 1
 Levalbuterol Inhalation Solution,

 USP 0.31 mg, n=58
 6 (10)  4 (7)  --
 Levalbuterol Inhalation Solution,

 USP 0.63 mg, n=51
 7 (14)  6 (12)  --
 Racemic albuterol, n=52  3 (6)  2 (4)  --
 Placebo, n=50  2 (4)  2 (4)  --
Study 2
 Levalbuterol Inhalation Solution,

 USP 0.31 mg, n=63
 --  2 (3)  6 (10)
 Levalbuterol HFA inhalation aerosol,

 n=65
 --  1 (2)  8 (12)
 Placebo, n=68  --  0  3 (4)

 * Asthma exacerbation defined as worsening of asthma symptoms or pulmonary function that required any of the following: emergency department visit, hospitalization, therapeutic intervention with oral or parenteral steroids, unscheduled clinic visit to treat acute asthma symptoms.

** Includes the following Preferred Terms (whether considered by the investigator to be related or unrelated to drug): asthma, cough, hypoxia, status asthmaticus, tachypnea.

8.5 Geriatric Use

Clinical studies of Levalbuterol Inhalation Solution, USP did not include sufficient numbers of subjects aged 65 years and older to determine whether they respond differently from younger subjects. Only 5 patients 65 years of age and older were treated with Levalbuterol Inhalation Solution, USP in a 4-week clinical study [see Clinical Pharmacology (12) and Clinical Studies (14)] (n = 2 for 0.63 mg and n = 3 for 1.25 mg). In these patients, bronchodilation was observed after the first dose on day 1 and after 4 weeks of treatment. In general, patients 65 years of age and older should be started at a dose of 0.63 mg of Levalbuterol Inhalation Solution, USP. If clinically warranted due to insufficient bronchodilator response, the dose of Levalbuterol Inhalation Solution, USP may be increased in elderly patients as tolerated, in conjunction with frequent clinical and laboratory monitoring, to the maximum recommended daily dose [see Dosage and Administration (2)].

14 Clinical Studies (14 CLINICAL STUDIES)

Adults and Adolescents ≥ 12 Years Old

The safety and efficacy of Levalbuterol Inhalation Solution, USP were evaluated in a 4-week, multicenter, randomized, double-blind, placebo-controlled, parallel-group study in 362 adult and adolescent patients 12 years of age and older, with mild-to-moderate asthma (mean baseline FEV1 60% of predicted). Approximately half of the patients were also receiving inhaled corticosteroids. Patients were randomized to receive Levalbuterol Inhalation Solution, USP 0.63 mg, Levalbuterol Inhalation Solution, USP 1.25 mg, racemic albuterol sulfate 1.25 mg, racemic albuterol sulfate 2.5 mg, or placebo three times a day administered via a PARI LC Plus™ nebulizer and a Dura-Neb® portable compressor. Racemic albuterol delivered by a chlorofluorocarbon (CFC) metered-dose inhaler (MDI) was used on an as-needed basis as the rescue medication.

Efficacy, as measured by the mean percent change from baseline FEV1, was demonstrated for all active treatment regimens compared with placebo on day 1 and day 29. On both day 1 (see Figure 1) and day 29 (see Figure 2), 1.25 mg of Levalbuterol Inhalation Solution, USP demonstrated the largest mean percent change from baseline FEV1 compared with the other active treatments. A dose of 0.63 mg of Levalbuterol Inhalation Solution, USP and 2.5 mg of racemic albuterol sulfate produced a clinically comparable mean percent change from baseline FEV1 on both day 1 and day 29.

Figure 1: Mean Percent Change from Baseline FEV1 on Day 1, Adults and Adolescents ≥ 12 years old

Figure 2: Mean Percent Change from Baseline FEV 1 on Day 29, Adults and Adolescents ≥ 12 years old

The mean time to onset of a 15% increase in FEV1 over baseline for levalbuterol at doses of 0.63 mg and 1.25 mg was approximately 17 minutes and 10 minutes, respectively, and the mean time to peak effect for both doses was approximately 1.5 hours after 4 weeks of treatment. The mean duration of effect, as measured by a > 15% increase from baseline FEV1, was approximately 5 hours after administration of 0.63 mg of levalbuterol and approximately 6 hours after administration of 1.25 mg of levalbuterol after 4 weeks of treatment. In some patients, the duration of effect was as long as 8 hours.

Children 6-11 Years Old

A multicenter, randomized, double-blind, placebo- and active-controlled study was conducted in children with mild-to-moderate asthma (mean baseline FEV1 73% of predicted) (n = 316). Following a 1-week placebo run-in, subjects were randomized to Levalbuterol Inhalation Solution, USP (0.31 mg or 0.63 mg), racemic albuterol (1.25 mg or 2.5 mg), or placebo, which were delivered three times a day for 3 weeks using a PARI LC Plus™ nebulizer and a Dura-Neb® 3000 compressor.

Efficacy, as measured by mean peak percent change from baseline FEV1, was demonstrated for all active treatment regimens compared with placebo on day 1 and day 21. Time profile FEV1 curves for day 1 and day 21 are shown in Figure 3 and Figure 4, respectively. The onset of effect (time to a 15% increase in FEV1 over test-day baseline) and duration of effect (maintenance of a > 15% increase in FEV1 over test-day baseline) of levalbuterol were clinically comparable to those of racemic albuterol.

Figure 3: Mean Percent Change from Baseline FEV1 on Day 1, Children 6-11 Years of Age

Figure 4: Mean Percent Change from Baseline FEV 1 on Day 21, Children 6-11 Years of Age

4 Contraindications (4 CONTRAINDICATIONS)

Levalbuterol Inhalation Solution, USP is contraindicated in patients with a history of hypersensitivity to levalbuterol or racemic albuterol. Reactions have included urticaria, angioedema, rash, bronchospasm, anaphylaxis, and oropharyngeal edema [see Warnings and Precautions (5.6)].

6 Adverse Reactions (6 ADVERSE REACTIONS)

The following serious adverse reactions are described below and elsewhere in the labeling:

  • Paradoxical bronchospasm [see Warnings and Precautions (5.1) ]
  • Cardiovascular effects [see Warnings and Precautions (5.4)]
  • Immediate hypersensitivity reactions [see Warnings and Precautions (5.6)]
  • Hypokalemia [see Warnings and Precautions (5.8)]
7 Drug Interactions (7 DRUG INTERACTIONS)
  • Other short-acting sympathomimetic aerosol bronchodilators and adrenergic drugs: May potentiate effect. (7.1)



  • Beta-blockers: May block bronchodilatory effects of beta-agonists and produce severe bronchospasm. Patients with asthma should not normally be treated with beta-blockers. (7.2)



  • Diuretic: May worsen electrocardiographic changes or hypokalemia associated with diuretic may worsen. Consider monitoring potassium levels. (7.3)



  • Digoxin: May decrease serum digoxin levels. Consider monitoring digoxin levels. (7.4)



  • Monoamine oxidase inhibitors (MAOs) or tricyclic antidepressants: May potentiate effect of albuterol on the cardiovascular system. (7.5)

 

8.6 Renal Impairment

Albuterol is known to be substantially excreted by the kidney, and the risk of toxic reactions may be greater in patients with impaired renal function. Because elderly patients are more likely to have decreased renal function, care should be taken in dose selection, and it may be useful to monitor renal function.

12.2 Pharmacodynamics

Adults and Adolescents ≥ 12 Years Old

 In a randomized, double-blind, placebo-controlled, cross-over study, 20 adults with mild-to-moderate asthma received single doses of Levalbuterol Inhalation Solution, USP (0.31 mg, 0.63 mg, and 1.25 mg) and racemic albuterol sulfate inhalation solution (2.5 mg). All doses of active treatment produced a significantly greater degree of bronchodilation (as measured by percent change from pre-dose mean FEV1) than placebo, and there were no significant differences between any of the active treatment arms. The bronchodilator responses to 1.25 mg of Levalbuterol Inhalation Solution, USP and 2.5 mg of racemic albuterol sulfate inhalation solution were clinically comparable over the 6-hour evaluation period, except for a slightly longer duration of action (> 15% increase in FEV1 from baseline) after administration of 1.25 mg of Levalbuterol Inhalation Solution, USP. Systemic beta-adrenergic adverse effects were observed with all active doses and were generally dose-related for (R)-albuterol. Levalbuterol Inhalation Solution, USP at a dose of 1.25 mg produced a slightly higher rate of systemic beta-adrenergic adverse effects than the 2.5 mg dose of racemic albuterol sulfate inhalation solution.

In a randomized, double-blind, placebo-controlled, cross-over study, 12 adults with mild-to-moderate asthma were challenged with inhaled methacholine chloride 20 and 180 minutes following administration of a single dose of 2.5 mg of racemic albuterol sulfate, 1.25 mg of Levalbuterol Inhalation Solution, USP, 1.25 mg of (S)-albuterol, or placebo using a Pari LC Jet™ nebulizer. Racemic albuterol sulfate, Levalbuterol Inhalation Solution, USP, and (S)-albuterol had a protective effect against methacholine-induced bronchoconstriction 20 minutes after administration, although the effect of (S)-albuterol was minimal. At 180 minutes after administration, the bronchoprotective effect of 1.25 mg of Levalbuterol Inhalation Solution, USP was comparable to that of 2.5 mg of racemic albuterol sulfate. At 180 minutes after administration, 1.25 mg of (S)-albuterol had no bronchoprotective effect.

In a clinical study in adults with mild-to-moderate asthma, comparable efficacy (as measured by change from baseline FEV1) and safety (as measured by heart rate, blood pressure, ECG, serum potassium, and tremor) were demonstrated after a cumulative dose of 5 mg of Levalbuterol Inhalation Solution, USP (four consecutive doses of 1.25 mg administered every 30 minutes) and 10 mg of racemic albuterol sulfate inhalation solution (four consecutive doses of 2.5 mg administered every 30 minutes).

12.3 Pharmacokinetics

Adults and Adolescents ≥ 12 Years Old

The inhalation pharmacokinetics of Levalbuterol Inhalation Solution, USP were investigated in a randomized cross-over study in 30 healthy adults following administration of a single dose of 1.25 mg and a cumulative dose of 5 mg of Levalbuterol Inhalation Solution, USP and a single dose of 2.5 mg and a cumulative dose of 10 mg of racemic albuterol sulfate inhalation solution by nebulization using a PARI LC Jet™ nebulizer with a Dura-Neb® 2000 compressor.

Following administration of a single 1.25 mg dose of Levalbuterol Inhalation Solution, USP, exposure to (R)-albuterol (AUC of 3.3 ng•hr/mL) was approximately 2-fold higher than following administration of a single 2.5 mg dose of racemic albuterol inhalation solution (AUC of 1.7 ng•hr/mL) (see Table 6). Following administration of a cumulative 5 mg dose of Levalbuterol Inhalation Solution, USP (1.25 mg given every 30 minutes for a total of four doses) or a cumulative 10 mg dose of racemic albuterol inhalation solution (2.5 mg given every 30 minutes for a total of four doses), Cmax and AUC of (R)-albuterol were comparable (see Table 6).

Table 6 - Mean (SD) Values for Pharmacokinetic Parameters in Healthy Adults
 Single Dose  Cumulative Dose
Levalbuterol

Inhalation

Solution, USP

1.25 mg
Racemic

albuterol

sulfate

2.5 mg
Levalbuterol

Inhalation

Solution, USP

5 mg
Racemic

albuterol

sulfate

10 mg
 Cmax (ng/mL)

(R)-albuterol
 1.1 (0.45)  0.8 (0.41)**  4.5 (2.20)  4.2 (1.51)**
 Tmax (h)γ

(R)-albuterol
 0.2 (0.17, 0.37)  0.2 (0.17, 1.50)  0.2 (-0.18*, 1.25)  0.2 (-0.28*, 1.00)
 AUC (ng•h/mL)

(R)-albuterol
 3.3 (1.58)  1.7 (0.99)**  17.4 (8.56)  16.0 (7.12)**
 T½ (h)

(R)-albuterol
 3.3 (2.48)  1.5 (0.61)  4.0 (1.05)  4.1 (0.97)

γMedian (Min, Max) reported for Tmax.

*A negative Tmax  indicates Cmax occurred between first and last nebulizations.

**Values reflect only (R)-albuterol and do not include (S)-albuterol.

Children 6-11 Years Old

The pharmacokinetic parameters of (R)-and (S)-albuterol in children with asthma were obtained using population pharmacokinetic analysis. These data are presented in Table 7. For comparison, adult data obtained by conventional pharmacokinetic analysis from a different study also are presented in Table 7.

In children, AUC and Cmax of (R)-albuterol following administration of 0.63 mg Levalbuterol Inhalation Solution, USP were comparable to those following administration of 1.25 mg racemic albuterol sulfate inhalation solution.

When the same dose of 0.63 mg of Levalbuterol Inhalation Solution, USP was given to children and adults, the predicted Cmax of (R)-albuterol in children was similar to that in adults (0.52 vs. 0.56 ng/mL), while predicted AUC in children (2.55 ng•hr/mL) was about 1.5-fold higher than that in adults (1.65 ng•hr/mL). These data support lower doses for children 6-11 years old compared with the adult doses [see Dosage and Administration (2)].

Table 7 - (R)-Albuterol Exposure in Adults and Pediatric Subjects (6-11 years)
Children 6- 11 years  Adults ≥ 12 years
 Treatment     Levalbuterol   

Inhalation 

Solution, USP

0.31 mg

   Levalbuterol    

Inhalation

Solution, USP

0.63 mg



 Racemic

albuterol

   1.25 mg   


Racemic

albuterol

   2.5 mg    

   Levalbuterol    

Inhalation 

Solution, USP

0.63 mg

   Levalbuterol   

Inhalation 

Solution,USP

1.25 mg

 AUC0-∞ (ng•hr/mL)c  1.36  2.55  2.65  5.02  1.65a  3.3b
 Cmax (ng/mL)d  0.303  0.521  0.553  1.08  0.56a  1.1b

a The values are predicted by assuming linear pharmacokinetics

b The data obtained from Table 6

c Area under the plasma concentration curve from time 0 to infinity

d Maximum plasma concentration

Metabolism and Elimination

Information available in the published literature suggests that the primary enzyme responsible for the metabolism of albuterol enantiomers in humans is SULT1A3 (sulfotransferase). When racemic albuterol was administered either intravenously or via inhalation after oral charcoal administration, there was a 3- to 4-fold difference in the area under the concentration-time curves between the (R)- and (S)-albuterol enantiomers, with (S)-albuterol concentrations being consistently higher. However, without charcoal pretreatment, after either oral or inhalation administration the differences were 8- to 24-fold, suggesting that (R)-albuterol is preferentially metabolized in the gastrointestinal tract, presumably by SULT1A3.

The primary route of elimination of albuterol enantiomers is through renal excretion (80% to 100%) of either the parent compound or the primary metabolite. Less than 20% of the drug is detected in the feces. Following intravenous administration of racemic albuterol, between 25% and 46% of the (R)-albuterol fraction of the dose was excreted as unchanged (R)-albuterol in the urine.

Special Populations

Hepatic Impairment

 The effect of hepatic impairment on the pharmacokinetics of Levalbuterol Inhalation Solution, USP has not been evaluated.

Renal Impairment

The effect of renal impairment on the pharmacokinetics of racemic albuterol was evaluated in 5 subjects with creatinine clearance of 7 to 53 mL/min, and the results were compared with those from healthy volunteers. Renal disease had no effect on the half-life, but there was a 67% decline in racemic albuterol clearance. Caution should be used when administering high doses of Levalbuterol Inhalation Solution, USP to patients with renal impairment [see Use in Specific Populations (8.6)].

1 Indications and Usage (1 INDICATIONS AND USAGE)

Levalbuterol Inhalation Solution, USP is indicated for the treatment or prevention of bronchospasm in adults, adolescents, and children 6 years of age and older with reversible obstructive airway disease.

12.1 Mechanism of Action

Activation of beta2-adrenergic receptors on airway smooth muscle leads to the activation of adenylate cyclase and to an increase in the intracellular concentration of cyclic-3′, 5′-adenosine monophosphate (cyclic AMP). The increase in cyclic AMP is associated with the activation of protein kinase A, which in turn inhibits the phosphorylation of myosin and lowers intracellular ionic calcium concentrations, resulting in muscle relaxation. Levalbuterol relaxes the smooth muscles of all airways, from the trachea to the terminal bronchioles. Increased cyclic AMP concentrations are also associated with the inhibition of release of mediators from mast cells in the airway. Levalbuterol acts as a functional antagonist to relax the airway irrespective of the spasmogen involved, thus protecting against all bronchoconstrictor challenges. While it is recognized that beta2-adrenergic receptors are the predominant receptors on bronchial smooth muscle, data indicate that there are beta-receptors in the human heart, 10% to 50% of which are beta2-adrenergic receptors. The precise function of these receptors has not been established [see Warnings and Precautions (5.4)]. However, all beta-adrenergic agonist drugs can produce a significant cardiovascular effect in some patients, as measured by pulse rate, blood pressure, symptoms, and/or electrocardiographic changes.

5.7 Coexisting Conditions

Levalbuterol Inhalation Solution, USP, like all sympathomimetic amines, should be used with caution in patients with cardiovascular disorders, especially coronary insufficiency, hypertension, and cardiac arrhythmias; in patients with convulsive disorders, hyperthyroidism, or diabetes mellitus; and in patients who are unusually responsive to sympathomimetic amines. Clinically significant changes in systolic and diastolic blood pressure have been seen in individual patients and could be expected to occur in some patients after the use of any beta-adrenergic bronchodilator.

Changes in blood glucose may occur. Large doses of intravenous racemic albuterol have been reported to aggravate preexisting diabetes mellitus and ketoacidosis.

5 Warnings and Precautions (5 WARNINGS AND PRECAUTIONS)
  • Life-threatening paradoxical bronchospasm may occur. Discontinue Levalbuterol Inhalation Solution, USP  immediately and treat with alternative therapy. (5.1)



  • Need for more doses of  Levalbuterol Inhalation Solution, USP  than usual may be a sign of deterioration of asthma and requires reevaluation of treatment. (5.2)



  • Levalbuterol Inhalation Solution, USP  is not a substitute for corticosteroids. (5.3)



  • Cardiovascular effects may occur. Consider discontinuation of Levalbuterol Inhalation Solution, USP  if these effects occur. Use with caution in patients with underlying cardiovascular disorders. (5.4)



  • Excessive use may be fatal. Do not exceed recommended dose. (5.5)



  • Immediate hypersensitivity reactions may occur. Discontinue Levalbuterol Inhalation Solution, USP  immediately. (5.6)



  • Hypokalemia and changes in blood glucose may occur. (5.7, 5.8)
5.4 Cardiovascular Effects

Levalbuterol Inhalation Solution, USP, like other beta-adrenergic agonists, can produce clinically significant cardiovascular effects in some patients, as measured by heart rate, blood pressure, and symptoms. Although such effects are uncommon after administration of Levalbuterol Inhalation Solution, USP at recommended doses, if they occur, the drug may need to be discontinued. In addition, beta-agonists have been reported to produce electrocardiogram (ECG) changes, such as flattening of the t-wave, prolongation of the QTc interval, and ST segment depression. The clinical significance of these findings is unknown. Therefore, Levalbuterol Inhalation Solution, USP, like all sympathomimetic amines, should be used with caution in patients with cardiovascular disorders, especially coronary insufficiency, cardiac arrhythmias, and hypertension.

2 Dosage and Administration (2 DOSAGE AND ADMINISTRATION)

Levalbuterol Inhalation Solution, USP is for oral inhalation only. Administer by nebulization using with a standard jet nebulizer (with a face mask or mouthpiece) connected to an air compressor. Do not exceed recommended dose.

Children 6-11 years old: The recommended dosage of Levalbuterol Inhalation Solution, USP for patients 6-11 years old is 0.31 mg administered three times a day, by nebulization. Routine dosing should not exceed 0.63 mg three times a day.

Adults and Adolescents ≥ 12 years old: The recommended starting dosage of Levalbuterol Inhalation Solution, USP for patients 12 years of age and older is 0.63 mg administered three times a day, every 6 to 8 hours, by nebulization.

Patients 12 years of age and older with more severe asthma or patients who do not respond adequately to a dose of 0.63 mg of Levalbuterol Inhalation Solution, USP may benefit from a dosage of 1.25 mg three times a day.

Patients receiving the highest dose of Levalbuterol Inhalation Solution, USP should be monitored closely for adverse systemic effects, and the risks of such effects should be balanced against the potential for improved efficacy.

The use of Levalbuterol Inhalation Solution, USP can be continued as medically indicated to help control recurring bouts of bronchospasm. During this time, most patients gain optimal benefit from regular use of the inhalation solution.

If a previously effective dosage regimen fails to provide the usual response this may be a marker of destabilization of asthma and requires reevaluation of the patient and the treatment regimen, giving special consideration to the possible need for anti-inflammatory treatment, e.g., corticosteroids.

The drug compatibility (physical and chemical), efficacy, and safety of Levalbuterol Inhalation Solution, USP when mixed with other drugs in a nebulizer have not been established.

The safety and efficacy of Levalbuterol Inhalation Solution, USP have been established in clinical trials when administered using the PARI LC Jet™ and PARI LC Plus™ nebulizers, and the PARI Master® Dura-Neb® 2000 and Dura-Neb® 3000 compressors. The safety and efficacy of Levalbuterol Inhalation Solution, USP when administered using other nebulizer systems have not been established.

5.2 Deterioration of Asthma

Asthma may deteriorate acutely over a period of hours or chronically over several days or longer. If the patient needs more doses of Levalbuterol Inhalation Solution, USP than usual, this may be a marker of destabilization of asthma and requires reevaluation of the patient and treatment regimen, giving special consideration to the possible need for anti-inflammatory treatment, e.g., corticosteroids.

Patient Information Leaflet (PATIENT INFORMATION LEAFLET)

Levalbuterol Inhalation Solution, USP

(pronounced lev" al bue' ter ol)

0.31 mg, 0.63 mg, 1.25 mg

3 mL Unit-Dose Vials

For Oral Inhalation Only

  Rx only

Levalbuterol Inhalation Solution, USP is only for use with a nebulizer.

Read this Patient Information Leaflet before you start to use Levalbuterol Inhalation Solution, USP and each time you get a refill. There may be new information. This information does not take the place of talking with your doctor about your medical condition or your treatment.

What is Levalbuterol Inhalation Solution, USP?

Levalbuterol Inhalation Solution, USP is an inhaled prescription medicine used for the treatment or prevention of bronchospasm in people 6 years of age and older.

Levalbuterol Inhalation Solution, USP has not been shown to be safe and effective in children younger than 6 years of age.

Levalbuterol Inhalation Solution, USP is supplied in 3 mL unit-dose vials in three different strengths of levalbuterol (0.31 mg, 0.63 mg, 1.25 mg). The vials do not require dilution before use.

Who should not use Levalbuterol Inhalation Solution, USP?

Do not use Levalbuterol Inhalation Solution, USP  if you are allergic to levalbuterol, racemic albuterol, or any of the ingredients in Levalbuterol Inhalation Solution, USP. See the end of this leaflet for a complete list of ingredients in Levalbuterol Inhalation Solution, USP.

What should I tell my doctor before using Levalbuterol Inhalation Solution, USP?

Before you use Levalbuterol Inhalation Solution, USP, tell your doctor if you have:

  • had an allergic reaction to levalbuterol or racemic albuterol



  • heart problems



  • high blood pressure



  • seizures



  • diabetes



  • thyroid problems



  • any other medical conditions



  • are pregnant or planning to become pregnant. It is not known if Levalbuterol Inhalation Solution, USP will harm your unborn baby. Talk to your doctor if you are pregnant or plan to become pregnant.



  • are breastfeeding or plan to breastfeed. It is not known if Levalbuterol Inhalation Solution, USP passes into your breast milk. You and your doctor should decide if you will use Levalbuterol Inhalation Solution, USP or breastfeed. You should not do both.

Tell your doctor about all the medicines you take including prescription and over-the-counter medicines, vitamins, and herbal supplements. Levalbuterol Inhalation Solution, USP may affect the way other medicines work, and other medicines may affect how Levalbuterol Inhalation Solution, USP works.

Especially tell your doctor if you take:

  • other asthma medicines



  • heart medicines



  • medicines that increase urination (diuretics)



  • antidepressants



  • medicine to treat chronic obstructive pulmonary disease (COPD)

Ask your doctor if you are not sure if any of your medicines are the kinds listed above.

Know the medicines you take. Keep a list of them and show it to your doctor and pharmacist when you get a new medicine.

How should I use Levalbuterol Inhalation Solution, USP?

  • Read the step-by-step Instructions for Using Levalbuterol Inhalation Solution, USP at the end of this leaflet.



  • Use Levalbuterol Inhalation Solution, USP exactly as your doctor tells you to. Do not change your dose without talking to your doctor first.



  • Your doctor will tell you how many times and when to use your Levalbuterol Inhalation Solution, USP.



  • An adult should help a child use Levalbuterol Inhalation Solution, USP.



  • Do not use your Levalbuterol Inhalation Solution, USP more often than your doctor tells you to.



  • Get medical help right away if Levalbuterol Inhalation Solution, USP:



         o does not work as well for your asthma symptoms or



         o your asthma symptoms get worse or



         o you need to use your Levalbuterol Inhalation Solution, USP more often than usual
  • If you also use another medicine by inhalation, you should ask your doctor for instructions on when to use it while you are also using Levalbuterol Inhalation Solution, USP.



  • Do not mix Levalbuterol Inhalation Solution, USP with other medicines in your nebulizer.



  • Only use Levalbuterol Inhalation Solution, USP if it is colorless. Throw away the Levalbuterol Inhalation Solution, USP vial if the liquid medicine is not colorless.



  • Do not use Levalbuterol Inhalation Solution, USP after the expiration date on the vial.

What are the possible side effects of Levalbuterol Inhalation Solution, USP?

Levalbuterol Inhalation Solution, USP  can cause serious side effects including:

  • sudden shortness of breath (bronchospasm). Sudden shortness of breath can happen right away after using Levalbuterol Inhalation Solution, USP.



  • worsening asthma



  • heart problems



  • death. If you use too much Levalbuterol Inhalation Solution, USP you can have heart or lung problems that can lead to death.



  • serious allergic reactions. Call your doctor and stop using Levalbuterol Inhalation Solution, USP right away if you have any symptoms of an allergic reaction such as:



         o swelling of the face, throat or tongue



         o hives



         o rash



         o breathing problems



  • low potassium levels in your blood

Call your doctor or go to the nearest hospital emergency room right away if you have any of the serious side effects listed above or if you have worsening lung symptoms.

The most common side effects of Levalbuterol Inhalation Solution, USP  include:

  • palpitations



  • chest pain



  • fast heart rate



  • headache



  • dizziness



  • tremor



  • nervousness

Tell your doctor if you have any side effects that bother you or that do not go away.

These are not all the possible side effects of Levalbuterol Inhalation Solution, USP. For more information, ask your doctor or pharmacist.

Call your doctor for medical advice about side effects. You may report side effects to FDA at 1-800-FDA-1088.

How should I store Levalbuterol Inhalation Solution, USP?

  • Store unopened Levalbuterol Inhalation Solution, USP vials in the protective foil pouch they come in at 20°-25°C (68°-77°F).



  • Keep Levalbuterol Inhalation Solution, USP away from light and heat.



  • When a Levalbuterol Inhalation Solution, USP foil pouch is opened, use the vials within 2 weeks.



  • When Levalbuterol Inhalation Solution, USP vials are removed from the foil pouch, use them right away or within 1 week.

Keep Levalbuterol Inhalation Solution, USP  and all medicines out of the reach of children.

General information about the safe and effective use of Levalbuterol Inhalation Solution, USP.

Medicines are sometimes prescribed for purposes other than those listed in a Patient Information Leaflet. Do not use Levalbuterol Inhalation Solution, USP for a condition for which it was not prescribed. Do not give Levalbuterol Inhalation Solution, USP to other people, even if they have the same symptoms that you have. It may harm them.

This Patient Information Leaflet summarizes the most important information about Levalbuterol Inhalation Solution, USP. If you would like more information, talk with your doctor. You can ask your pharmacist or doctor for information about Levalbuterol Inhalation Solution, USP that is written for health professionals.

To report SUSPECTED ADVERSE REACTIONS, contact The Ritedose Corporation at 1-855-806-3300 or FDA at 1-800-FDA-1088 or www.fda.gov/medwatch.

What are the ingredients in Levalbuterol Inhalation Solution, USP?

Active ingredient: levalbuterol hydrochloride

Inactive ingredients: sodium chloride, edetate disodium, sulfuric acid, and water

 Instructions for Using Levalbuterol

Inhalation Solution, USP

Levalbuterol Inhalation Solution, USP vial (see Figure A):



        Figure A

Using your Levalbuterol Inhalation Solution, USP:

Read the following Steps before using your Levalbuterol Inhalation Solution, USP. If you have any questions, ask your doctor or pharmacist.

Step 1. Open the foil pouch by tearing the notched edge along the seam of the pouch (see Figure B). Remove 1 vial to be used right away. Keep the rest of the unused vials in the foil pouch to protect them from light and heat.

       F igure B

Step 2.  Hold the vial in your hands. Make sure your thumb and finger cover the twist-off tabs below the top (see Figure C).

          Figure C

Step 3. While holding the top firmly between your thumb and finger, twist the body of the vial to open the vial (see Figure C).

Step 4. Throw away the top of the vial and squeeze the entire contents of the vial into the nebulizer reservoir (see Figure D).

               Figure D

Step 5. Connect the nebulizer reservoir to the mouthpiece (see Figure E.1) or face mask (see Figure E.2).

            Figure E.1                                     Figure E.2

Step 6. Connect the nebulizer to the compressor (see Figure F).

              Figure F

Step 7. Sit in a comfortable, upright position. Place the mouthpiece in your mouth (see Figure G.1) or put on your face mask (see Figure G.2). Turn on the compressor.

               Figure G.1                                   Figure G.2

Step 8. Breathe as calmly, deeply, and evenly as possible until no more mist is seen in the nebulizer reservoir. Your treatment will take about 5 to 15 minutes. When you do not see any mist in the nebulizer reservoir, your treatment is finished.

Step 9. Clean and store your nebulizer. See the manufacturer's instructions that come with your nebulizer for how to clean and store your nebulizer.

This Patient Information Leaflet and Instructions for Use have been approved by the U.S. Food and Drug Administration.



Manufactured for:

Burel Pharmaceuticals, LLC


Mason, OH 45040 USA



Manufactured by:

The Ritedose Corporation

Columbia, SC 29203 USA

To report SUSPECTED ADVERSE REACTIONS, contact The Ritedose Corporation at 1-855-806-3300 or FDA at 1-800-FDA-1088 or www.fda.gov/medwatch.

Revised: 07/2021

RPIN0147

3 Dosage Forms and Strengths (3 DOSAGE FORMS AND STRENGTHS)

Inhalation Solution  3 mL unit-dose, vials in three dosage strengths of levalbuterol; 0.31 mg, 0.63 mg, 1.25 mg. Each strength of Levalbuterol Inhalation Solution, USP is available in a shelf carton containing one or more foil pouches, each pouch containing one or more unit-dose vials.

5.1 Paradoxical Bronchospasm

Levalbuterol Inhalation Solution, USP can produce paradoxical bronchospasm, which may be life-threatening. If paradoxical bronchospasm occurs, Levalbuterol Inhalation Solution, USP should be discontinued immediately and alternative therapy instituted. It should be recognized that paradoxical bronchospasm, when associated with inhaled formulations, frequently occurs with the first use of a new vial.

6.2 Post Marketing Experience (6.2 Post-marketing Experience)

In addition to the adverse reactions reported in clinical trials, the following adverse reactions have been observed in postapproval use of Levalbuterol Inhalation Solution, USP. Because these reactions are reported voluntarily from a population of uncertain size, it is not always possible to reliably estimate their frequency or establish a causal relationship to drug exposure. These events have been chosen for inclusion due to their seriousness, their frequency of reporting, or their likely beta-mediated mechanism: angioedema, anaphylaxis, arrhythmias (including atrial fibrillation, supraventricular tachycardia, extrasystoles), asthma, chest pain, cough increased, dysphonia, dyspnea, gastroesophageal reflux disease (GERD), metabolic acidosis, nausea, nervousness, rash, tachycardia, tremor, urticaria.

In addition, Levalbuterol Inhalation Solution, USP, like other sympathomimetic agents, can cause adverse reactions such as hypertension, angina, vertigo, central nervous system stimulation, sleeplessness, headache, and drying or irritation of the oropharynx.

6.1 Clinical Trials Experience

Because clinical trials are conducted under widely varying conditions, adverse reaction rates observed in the clinical trials of the drug cannot be directly compared with rates in the clinical trials of another drug and may not reflect the rates observed in practice.

Adults and Adolescents 12 Years of Age and Older

Adverse reaction information concerning Levalbuterol Inhalation Solution, USP in adults and adolescents is derived from one 4-week, multicenter, randomized, double-blind, active-, and placebo-controlled trial in 362 patients with asthma 12 years of age and older. Adverse reactions reported in ≥ 2% of patients receiving Levalbuterol Inhalation Solution, USP or racemic albuterol and more frequently than in patients receiving placebo are listed in Table 1.

Table 1 - Adverse Reactions Reported in a 4-Week, Controlled Clinical Trial in Adults and Adolescents ≥ 12 Years Old
Percent of Patientsa
 Body System

     Preferred Term
 Placebo

(n = 75)
 Levalbuterol

Inhalation

   Solution, USP    

1.25 mg

(n = 73)
 Levalbuterol

Inhalation

   Solution, USP   

0.63 mg

(n = 72)
 Racemic

   albuterol 2.5 mg   

(n = 74)
 Body as a Whole
     Allergic reaction  1.3  0 0 2.7
     Flu syndrome  0  1.4  4.2  2.7
     Accidental injury  0  2.7  0  0
     Pain  1.3  1.4  2.8  2.7
     Back pain  0  0  0  2.7
 Cardiovascular System
     Tachycardia 0 2.7  2.8 2.7
     Migraine  0  2.7 0  0
 Digestive System
     Dyspepsia  1.3  2.7 1.4 1.4
 Musculoskeletal System
     Leg cramps  1.3 2.7 0 1.4
 Central Nervous System
     Dizziness  1.3  2.7  1.4  0
     Hypertonia  0  0  0  2.7
     Nervousness  0  9.6  2.8  8.1
     Tremor  0  6.8  0  2.7
     Anxiety  0  2.7  0  0
 Respiratory System
     Cough increased  2.7  4.1  1.4  2.7
     Infection viral  9.3  12.3  6.9  12.2
     Rhinitis  2.7  2.7  11.1  6.8
     Sinusitis  2.7  1.4  4.2  2.7
     Turbinate edema  0  1.4  2.8  0

a One treatment group, racemic albuterol 1.25 mg, with 68 subjects is omitted.

The incidence of certain systemic beta-adrenergic adverse reactions (e.g., tremor, nervousness) was slightly less in the Levalbuterol Inhalation Solution, USP 0.63 mg group compared with the other active treatment groups. The clinical significance of these small differences is unknown.

Changes in heart rate 15 minutes after drug administration and in plasma glucose and potassium 1 hour after drug administration on day 1 and day 29 were clinically comparable in the Levalbuterol Inhalation Solution, USP 1.25 mg and racemic albuterol 2.5 mg groups (see Table 2). Changes in heart rate and plasma glucose were slightly less in the Levalbuterol Inhalation Solution, USP 0.63 mg group compared with the other active treatment groups (see Table 2). The clinical significance of these small differences is unknown. After 4 weeks, effects on heart rate, plasma glucose, and plasma potassium were generally diminished compared with day 1 in all active treatment groups.

Table 2 - Mean Changes from Baseline Heart Rate at 15 Minutes and Glucose and Potassium at 1 Hour after First Dose (Day 1) in Adults and Adolescents ≥ 12 Years Old
 Mean Changes (Day 1)
 Treatment

 Heart Rate

(bpm)

    Glucose   

(mg/dL)

   Potassium   

(mEq/L)

 Levalbuterol Inhalation Solution, USP 0.63 mg, n = 72  2.4  4.6  -0.2
 Levalbuterol Inhalation Solution, USP 1.25 mg, n = 73  6.9  10.3  -0.3
 Racemic albuterol 2.5 mg, n = 74  5.7  8.2  -0.3
 Placebo, n = 75  -2.8  -0.2  -0.2

No other clinically relevant laboratory abnormalities related to administration of Levalbuterol Inhalation Solution, USP were observed in this study.

In the clinical trials, a slightly greater number of serious adverse events, discontinuations due to adverse events, and clinically significant ECG changes were reported in patients who received Levalbuterol Inhalation Solution, USP 1.25 mg compared with the other active treatment groups.

The following adverse reactions, considered potentially related to Levalbuterol Inhalation Solution, USP, occurred in less than 2% of the 292 subjects who received Levalbuterol Inhalation Solution, USP and more frequently than in patients who received placebo in any clinical trial:

 Body as a Whole:  chills, pain, chest pain
 Cardiovascular System:  ECG abnormal, ECG change, hypertension, hypotension, syncope
 Digestive System:  diarrhea, dry mouth, dry throat, dyspepsia, gastroenteritis, nausea
 Hemic and Lymphatic System:  lymphadenopathy
 Musculoskeletal System:  leg cramps, myalgia
 Nervous System:  anxiety, hyperesthesia of the hand, insomnia, paresthesia, tremor
 Special Senses:  eye itch

 The following reactions, considered potentially related to Levalbuterol Inhalation Solution, USP, occurred in less than 2% of the treated subjects but at a frequency less than in patients who received placebo: asthma exacerbation, cough increased, wheezing, sweating, and vomiting.

Pediatric Patients 6 to 11 Years of Age

Adverse reaction information concerning Levalbuterol Inhalation Solution, USP in pediatric patients is derived from one 3-week, multicenter, randomized, double-blind, active-, and placebo-controlled trial in 316 pediatric patients 6 to 11 years of age. Adverse reactions reported in ≥ 2% of patients in any treatment group and more frequently than in patients receiving placebo are listed in Table 3.

Table 3 - Most Frequently Reported Adverse Reactions ( ≥ 2% in Any Treatment Group) and Those Reported More Frequently Than in Placebo during the Double-Blind Period (ITT Population, 6-11 Years Old)
Percent of Patients
 Body System

     Preferred Term
 Placebo

(n = 59)

 Levalbuterol

Inhalation

   Solution, USP   

0.31 mg

(n = 66)

 Levalbuterol

Inhalation

   Solution, USP   

0.63 mg

(n = 67)

Racemic

albuterol

1.25 mg

     (n = 64)     
Racemic

albuterol

2.5 mg

    (n = 60)     
 Body as a Whole          
     Abdominal pain 3.4 0 1.5 3.1 6.7
     Accidental injury  3.4 6.1 4.5  3.1 5.0
     Asthenia  0  3.0  3.0  1.6  1.7
     Fever  5.1  9.1  3.0  1.6  6.7
     Headache  8.5  7.6  11.9  9.4  3.3
     Pain  3.4  3.0  1.5  4.7  6.7
     Viral infection  5.1  7.6     9.0  4.7 8.3
 Digestive System
     Diarrhea  0  1.5  6.0  1.6
 Hemic and Lymphatic
     Lymphadenopathy  0  3.0  0  1.6  0
 Musculoskeletal System
     Myalgia  0  0  1.5  1.6  3.3
 Respiratory System
     Asthma  5.1  9.1  9.0  6.3  10.0
     Pharyngitis  6.8  3.0  10.4  0  6.7
     Rhinitis  1.7  6.1  10.4  3.1  5.0
 Skin and Appendages
     Eczema  0  0  0  0  3.3
     Rash  0  0  7.5  1.6  0
     Urticaria  0  0  3.0  0  0
 Special Senses
     Otitis media  1.7  0  0  0  3.3

 Note: Subjects may have more than one adverse event per body system and preferred term.

Changes in heart rate, plasma glucose, and serum potassium are shown in Table 4. The clinical significance of these small differences is unknown.

Table 4: Mean Changes from Baseline Heart Rate at 30 Minutes and Glucose and Potassium at 1 Hour after First Dose (Day 1) and Last Dose (Day 21) in Children 6-11 Years Old
Mean Changes (Day 1)
 Treatment     Heart Rate   

(bpm)
    Glucose   

(mg/dL)
    Potassium   

(mEq/L)
 Levalbuterol Inhalation Solution, USP 0.31 mg, n = 66  0.8  4.9  -0.31
 Levalbuterol Inhalation Solution, USP 0.63 mg, n = 67  6.7  5.2  -0.36
 Racemic albuterol 1.25 mg, n = 64  6.4  8.0  -0.27
 Racemic albuterol 2.5 mg, n = 60  10.9  10.8  -0.56
 Placebo, n = 59  -1.8  0.6  -0.05
   Mean Changes (Day 21)
 Treatment Heart Rate

(bpm) 
 Glucose

(mg/dL)
 Potassium

(mEq/L)
 Levalbuterol Inhalation Solution, USP 0.31 mg, n = 60  0  2.6  -0.32
 Levalbuterol Inhalation Solution, USP 0.63 mg, n = 66  3.8  5.8  -0.34
 Racemic albuterol 1.25 mg, n = 62  5.8  1.7  -0.18
 Racemic albuterol 2.5 mg, n = 54  5.7  11.8  -0.26
 Placebo, n = 55  -1.7  1.1  -0.04
7.1 Short Acting Bronchodilators (7.1 Short-Acting Bronchodilators)

Avoid concomitant use of other short-acting sympathomimetic bronchodilators or epinephrine in patients being treated with Levalbuterol Inhalation Solution, USP. If additional adrenergic drugs are to be administered by any route, they should be used with caution to avoid deleterious cardiovascular effects.

17 Patient Counseling Information (17 PATIENT COUNSELING INFORMATION)

See FDA-approved patient labeling (Patient Information Leaflet and Instructions for Using Levalbuterol Inhalation Solution, USP).

Patients should be given the following information:

Hypersensitivity

Query patients about previously experienced hypersensitivity to levalbuterol or racemic albuterol and counsel patients to report any hypersensitivity reactions to their physician.

Frequency of Use

Inform patients not to increase the dose or use Levalbuterol Inhalation Solution, USP more frequently than recommended without consulting their physician. If patients find that treatment with Levalbuterol Inhalation Solution, USP becomes less effective for symptomatic relief, symptoms become worse, or they need to use the product more frequently than usual, they should seek medical attention immediately.

Paradoxical Bronchospasm

Inform patients that Levalbuterol Inhalation Solution, USP can produce paradoxical bronchospasm. Instruct patients to discontinue Levalbuterol Inhalation Solution, USP if paradoxical bronchospasm occurs.

Concomitant Drug Use

Inform patients using Levalbuterol Inhalation Solution, USP, that other inhaled drugs and asthma medications should be taken only as directed by their physician.

Common Adverse Reactions

Advise patients of the common adverse reactions of treatment with Levalbuterol Inhalation Solution, USP include palpitations, chest pain, fast heart rate, headache, dizziness, tremor and nervousness.

Pregnancy

Advise patients who are pregnant or nursing to contact their physician about the use of Levalbuterol Inhalation Solution, USP.

General Information on Storage and Use

Advise patients to store Levalbuterol Inhalation Solution, USP in the foil pouch at 20°- 25°C (68°-77°F) protected from light and excessive heat. Do not use after the expiration date stamped on the container. Store unused vials in the protective foil pouch. Once the foil pouch is opened, use the vials within 2 weeks. Use vials removed from the pouch immediately, or protect from light and use within 1 week. Discard any vial if the solution is not colorless.

Advise patients not to mix Levalbuterol Inhalation Solution, USP with other drugs in a nebulizer.





Manufactured for: 

Burel Pharmaceuticals,LLC

Mason, OH 45040 USA

Manufactured by:

The Ritedose Corporation

Columbia, SC 29203 USA

To report SUSPECTED ADVERSE REACTIONS, contact The Ritedose Corporation at 1-855-806-3300 or FDA at 1-800-FDA-1088 or www.fda.gov/medwatch.

Revised: 07/2021



RPIN0147

5.5 Do Not Exceed Recommended Dose

Do not exceed the recommended dose. Fatalities have been reported in association with excessive use of inhaled sympathomimetic drugs in patients with asthma. The exact cause of death is unknown, but cardiac arrest following an unexpected development of a severe acute asthmatic crisis and subsequent hypoxia is suspected.

5.3 Use of Anti Inflammatory Agents (5.3 Use of Anti-Inflammatory Agents)

Levalbuterol Inhalation Solution, USP is not a substitute for corticosteroids. The use of beta-adrenergic agonist alone may not be adequate to control asthma in many patients. Early consideration should be given to adding anti-inflammatory agents, e.g., corticosteroids, to the therapeutic regimen.

16 How Supplied/storage and Handling (16 HOW SUPPLIED/STORAGE AND HANDLING)

Levalbuterol Inhalation Solution, USP is supplied in 3 mL unit-dose, low-density polyethylene (LDPE) vials as a clear, colorless, sterile, preservative-free, aqueous solution, in three different strengths of levalbuterol (0.31 mg, 0.63 mg, 1.25 mg). Each strength of Levalbuterol Inhalation Solution, USP is available in a shelf-carton containing one foil pouch of 25 unit-dose LDPE vials.

Levalbuterol Inhalation Solution, USP, 0.31 mg/3 mL (foil pouch label color green) contains 0.31 mg/3 mL (0.0103%) of levalbuterol (as 0.36 mg/3 mL of levalbuterol HCl) and is available in cartons as listed below.

NDC 35573-443-25   25 vials per carton / 25 vials per foil pouch

Levalbuterol Inhalation Solution, USP, 0.63 mg/3 mL (foil pouch label color yellow) contains 0.63 mg/3 mL (0.021%) of levalbuterol (as 0.73 mg/3 mL of levalbuterol HCl) and is available in cartons as listed below.

NDC 35573-444-25   25 vials per carton / 25 vials per foil pouch

Levalbuterol Inhalation Solution, USP, 1.25 mg/3 mL (foil pouch label color red) contains 1.25 mg/3 mL (0.042%) of levalbuterol (as 1.44 mg/3 mL of levalbuterol HCl) and is available in cartons as listed below.

NDC 35573-445-25   25 vials per carton / 25 vials per foil pouch

Store Levalbuterol Inhalation Solution, USP in the protective foil pouch at 20°- 25°C (68°- 77°F) [see USP Controlled Room Temperature]. Protect from light and excessive heat. Keep unopened vials in the foil pouch. Once the foil pouch is opened, the vials should be used within 2 weeks. Vials removed from the pouch, if not used immediately, should be protected from light and used within 1 week. Discard any vial if the solution is not colorless.

Rx only

5.6 Immediate Hypersensitivity Reactions

Immediate hypersensitivity reactions may occur after administration of levalbuterol or racemic albuterol. Reactions have included urticaria, angioedema, rash, bronchospasm, anaphylaxis, and oropharyngeal edema. The potential for hypersensitivity must be considered in the clinical evaluation of patients who experience immediate hypersensitivity reactions while receiving Levalbuterol Inhalation Solution, USP.

Package/label Principal Display Panel 0.31 Mg/3 Ml (PACKAGE/LABEL PRINCIPAL DISPLAY PANEL 0.31 mg/3 mL)

NDC 35573-443-25



Burelpharma




Levalbuterol Inhalation

Solution, USP




0.31 mg (0.0103%)

0.31 mg/3 mL




For Oral Inhalation Only



25 x 3 mL Sterile Unit-Dose Vials

(1 pouch of 25 - 3 mL vials) 




Rx only



Package/label Principal Display Panel 0.63 Mg/3 Ml (PACKAGE/LABEL PRINCIPAL DISPLAY PANEL 0.63 mg/3 mL)

NDC 35573-444-25



Burelpharma




Levalbuterol Inhalation

Solution, USP




0.63 mg (0.021%)

0.63 mg/3 mL




For Oral Inhalation Only



25 x 3 mL Sterile Unit-Dose Vials

(1 pouch of 25 - 3 mL vials) 




Rx only





Package/label Principal Display Panel 1.25 Mg/3 Ml (PACKAGE/LABEL PRINCIPAL DISPLAY PANEL 1.25 mg/3 mL)

NDC 35573-445-25



Burelpharma




Levalbuterol Inhalation

Solution, USP




1.25 mg (0.042%)

1.25 mg/3 mL




For Oral Inhalation Only



25 x 3 mL Sterile Unit-Dose Vials

(1 pouch of 25 - 3 mL vials) 




Rx only





13.1 Carcinogenesis, Mutagenesis, Impairment of Fertility

Although there have been no carcinogenesis studies with levalbuterol HCl, racemic albuterol sulfate has been evaluated for its carcinogenic potential.

In a 2-year study in Sprague-Dawley rats, dietary administration of racemic albuterol sulfate resulted in a significant dose-related increase in the incidence of benign leiomyomas of the mesovarium at doses of 2 mg/kg/day and greater (approximately 4 times the MRHDID of levalbuterol HCl for adults and approximately 5 times the MRHDID of levalbuterol HCl for children on a mg/m2 basis). In an 18-month study in CD-1 mice and a 22-month study in the golden hamster, dietary administration of racemic albuterol sulfate showed no evidence of tumorigenicity. Dietary doses in CD-1 mice were up to 500 mg/kg/day (approximately 540 times the MRHDID of levalbuterol HCl for adults and approximately 630 times the MRHDID of levalbuterol HCl for children on a mg/m2 basis) and doses in the golden hamster study were up to 50 mg/kg/day (approximately 90 times the MRHDID of levalbuterol HCl for adults on a mg/m2 basis and approximately 105 times the MRHDID of levalbuterol HCl for children on a mg/m2 basis).

Levalbuterol HCl was not mutagenic in the Ames test or the CHO/HPRT Mammalian Forward Gene Mutation Assay. Levalbuterol HCl was not clastogenic in the in vivo micronucleus test in mouse bone marrow. Racemic albuterol sulfate was not clastogenic in an in vitro chromosomal aberration assay in CHO cell cultures.

No fertility studies have been conducted with levalbuterol hydrochloride. Reproduction studies in rats using racemic albuterol sulfate demonstrated no evidence of impaired fertility at oral doses up to 50 mg/kg/day (approximately 108 times the maximum recommended daily inhalation dose of levalbuterol HCl for adults on a mg/m2 basis).

7.5 Monoamine Oxidase Inhibitors Or Tricyclic Antidepressants (7.5 Monoamine Oxidase Inhibitors or Tricyclic Antidepressants)

Levalbuterol Inhalation Solution, USP should be administered with extreme caution to patients being treated with monoamine oxidase inhibitors or tricyclic antidepressants, or within 2 weeks of discontinuation of such agents, because the action of levalbuterol on the vascular system may be potentiated. Consider alternative therapy in patients taking MAO inhibitors or tricyclic antidepressants.


Advanced Ingredient Data


Raw Label Data

All Sections (JSON)