These Highlights Do Not Include All The Information Needed To Use Letairis®

These Highlights Do Not Include All The Information Needed To Use Letairis®
SPL v27
SPL
SPL Set ID 725d4e73-6c83-477a-adc6-0ae4a133a844
Route
ORAL
Published
Effective Date 2025-04-04
Document Type 34391-3 HUMAN PRESCRIPTION DRUG LABEL

Drug Facts

Composition & Product

Active Ingredients
Ambrisentan (5 mg)
Inactive Ingredients
Croscarmellose Sodium Lactose Monohydrate Magnesium Stearate Microcrystalline Cellulose Fd&c Red No. 40 Aluminum Oxide Soybean Lecithin Polyethylene Glycol 3350 Polyvinyl Alcohol, Unspecified Talc Titanium Dioxide

Identifiers & Packaging

Pill Appearance
Imprint: GSI;10 Shape: square Shape: oval Color: pink Color: red Size: 7 mm Size: 10 mm Score: 1
Marketing Status
NDA Active Since 2007-06-15

Description

Letairis is contraindicated for use during pregnancy because it may cause major birth defects if used by pregnant patients, based on studies in animals [see Contraindications (4.1) , Warnings and Precautions (5.1) , and Use in Specific Populations (8.1) ] . Therefore, for females of reproductive potential, exclude pregnancy before the initiation of treatment with Letairis. Advise use of effective contraception before initiation, during treatment, and for one month after treatment with Letairis [see Dosage and Administration (2.2) Contraindications (4.1) , Warnings and Precautions (5.1) , and Use in Specific Populations (8.1 , 8.3) ]. When pregnancy is detected, discontinue Letairis as soon as possible ( 5.1 ).

Indications and Usage

Letairis is indicated for the treatment of pulmonary arterial hypertension (PAH) (WHO Group 1) in adult patients: To improve exercise ability and delay clinical worsening. In combination with tadalafil to reduce the risks of disease progression and hospitalization for worsening PAH, and to improve exercise ability [see Clinical Studies (14.2) ]. Studies establishing effectiveness included predominantly patients with WHO Functional Class II–III symptoms and etiologies of idiopathic or heritable PAH (60%) or PAH associated with connective tissue diseases (34%).

Dosage and Administration

Initiate treatment at 5 mg once daily ( 2.1 ). May be started with tadalafil ( 2.1 ). Titrate at 4-week intervals as needed and tolerated ( 2.1 ). Do not split, crush, or chew tablets ( 2.1 ).

Warnings and Precautions

Fluid retention may require intervention ( 5.2 ). If patients develop acute pulmonary edema during initiation of therapy with Letairis, consider underlying pulmonary veno-occlusive disease and discontinue treatment if necessary ( 5.3 ). Decreases in sperm count have been observed in patients taking endothelin receptor antagonists ( 5.4 ). Decreases in hemoglobin have been observed within the first few weeks; measure hemoglobin at initiation, at 1 month, and periodically thereafter ( 5.5 ).

Contraindications

Pregnancy ( 4.1 ) Idiopathic Pulmonary Fibrosis ( 4.2 )

Adverse Reactions

Clinically significant adverse reactions that appear in other sections of the labeling include: Embryo-fetal Toxicity [see Warnings and Precautions (5.1) , Use in Specific Populations (8.1) ] Fluid Retention [see Warnings and Precautions (5.2) ] Pulmonary Edema with PVOD [see Warnings and Precautions (5.3) ] Decreased Sperm Count [see Warnings and Precautions (5.4) ] Hematologic Changes [see Warnings and Precautions (5.5) ]

Drug Interactions

Multiple dose coadministration of ambrisentan and cyclosporine resulted in an approximately 2-fold increase in ambrisentan exposure in healthy volunteers; therefore, limit the dose of ambrisentan to 5 mg once daily when coadministered with cyclosporine [see Clinical Pharmacology (12.3) ] .

Storage and Handling

Letairis film - coated tablets are supplied as follows: Tablet Strength Package Configuration NDC No. Description of Tablet; Debossed on Tablet; Size 5 mg 30 count blister 61958 - 0801 - 2 Square convex; pale pink; "5" on side 1 and "GSI" on side 2; 6.6 mm Square 30 count bottle 61958 - 0801 - 1 10 count blister 61958 - 0801 - 3 10 count bottle 61958 - 0801 - 5 10 mg 30 count blister 61958 - 0802 - 2 Oval convex; deep pink; "10" on side 1 and "GSI" on side 2; 9.8 mm × 4.9 mm Oval 30 count bottle 61958 - 0802 - 1 10 count blister 61958 - 0802 - 3 10 count bottle 61958 - 0802 - 5

How Supplied

Letairis film - coated tablets are supplied as follows: Tablet Strength Package Configuration NDC No. Description of Tablet; Debossed on Tablet; Size 5 mg 30 count blister 61958 - 0801 - 2 Square convex; pale pink; "5" on side 1 and "GSI" on side 2; 6.6 mm Square 30 count bottle 61958 - 0801 - 1 10 count blister 61958 - 0801 - 3 10 count bottle 61958 - 0801 - 5 10 mg 30 count blister 61958 - 0802 - 2 Oval convex; deep pink; "10" on side 1 and "GSI" on side 2; 9.8 mm × 4.9 mm Oval 30 count bottle 61958 - 0802 - 1 10 count blister 61958 - 0802 - 3 10 count bottle 61958 - 0802 - 5


Medication Information

Warnings and Precautions

Fluid retention may require intervention ( 5.2 ). If patients develop acute pulmonary edema during initiation of therapy with Letairis, consider underlying pulmonary veno-occlusive disease and discontinue treatment if necessary ( 5.3 ). Decreases in sperm count have been observed in patients taking endothelin receptor antagonists ( 5.4 ). Decreases in hemoglobin have been observed within the first few weeks; measure hemoglobin at initiation, at 1 month, and periodically thereafter ( 5.5 ).

Indications and Usage

Letairis is indicated for the treatment of pulmonary arterial hypertension (PAH) (WHO Group 1) in adult patients: To improve exercise ability and delay clinical worsening. In combination with tadalafil to reduce the risks of disease progression and hospitalization for worsening PAH, and to improve exercise ability [see Clinical Studies (14.2) ]. Studies establishing effectiveness included predominantly patients with WHO Functional Class II–III symptoms and etiologies of idiopathic or heritable PAH (60%) or PAH associated with connective tissue diseases (34%).

Dosage and Administration

Initiate treatment at 5 mg once daily ( 2.1 ). May be started with tadalafil ( 2.1 ). Titrate at 4-week intervals as needed and tolerated ( 2.1 ). Do not split, crush, or chew tablets ( 2.1 ).

Contraindications

Pregnancy ( 4.1 ) Idiopathic Pulmonary Fibrosis ( 4.2 )

Adverse Reactions

Clinically significant adverse reactions that appear in other sections of the labeling include: Embryo-fetal Toxicity [see Warnings and Precautions (5.1) , Use in Specific Populations (8.1) ] Fluid Retention [see Warnings and Precautions (5.2) ] Pulmonary Edema with PVOD [see Warnings and Precautions (5.3) ] Decreased Sperm Count [see Warnings and Precautions (5.4) ] Hematologic Changes [see Warnings and Precautions (5.5) ]

Drug Interactions

Multiple dose coadministration of ambrisentan and cyclosporine resulted in an approximately 2-fold increase in ambrisentan exposure in healthy volunteers; therefore, limit the dose of ambrisentan to 5 mg once daily when coadministered with cyclosporine [see Clinical Pharmacology (12.3) ] .

Storage and Handling

Letairis film - coated tablets are supplied as follows: Tablet Strength Package Configuration NDC No. Description of Tablet; Debossed on Tablet; Size 5 mg 30 count blister 61958 - 0801 - 2 Square convex; pale pink; "5" on side 1 and "GSI" on side 2; 6.6 mm Square 30 count bottle 61958 - 0801 - 1 10 count blister 61958 - 0801 - 3 10 count bottle 61958 - 0801 - 5 10 mg 30 count blister 61958 - 0802 - 2 Oval convex; deep pink; "10" on side 1 and "GSI" on side 2; 9.8 mm × 4.9 mm Oval 30 count bottle 61958 - 0802 - 1 10 count blister 61958 - 0802 - 3 10 count bottle 61958 - 0802 - 5

How Supplied

Letairis film - coated tablets are supplied as follows: Tablet Strength Package Configuration NDC No. Description of Tablet; Debossed on Tablet; Size 5 mg 30 count blister 61958 - 0801 - 2 Square convex; pale pink; "5" on side 1 and "GSI" on side 2; 6.6 mm Square 30 count bottle 61958 - 0801 - 1 10 count blister 61958 - 0801 - 3 10 count bottle 61958 - 0801 - 5 10 mg 30 count blister 61958 - 0802 - 2 Oval convex; deep pink; "10" on side 1 and "GSI" on side 2; 9.8 mm × 4.9 mm Oval 30 count bottle 61958 - 0802 - 1 10 count blister 61958 - 0802 - 3 10 count bottle 61958 - 0802 - 5

Description

Letairis is contraindicated for use during pregnancy because it may cause major birth defects if used by pregnant patients, based on studies in animals [see Contraindications (4.1) , Warnings and Precautions (5.1) , and Use in Specific Populations (8.1) ] . Therefore, for females of reproductive potential, exclude pregnancy before the initiation of treatment with Letairis. Advise use of effective contraception before initiation, during treatment, and for one month after treatment with Letairis [see Dosage and Administration (2.2) Contraindications (4.1) , Warnings and Precautions (5.1) , and Use in Specific Populations (8.1 , 8.3) ]. When pregnancy is detected, discontinue Letairis as soon as possible ( 5.1 ).

Section 42229-5

Combination Use with Tadalafil

The mean exposure to Letairis + tadalafil in the AMBITION study was 78.7 weeks. The adverse reactions that occurred in >5% more patients receiving Letairis + tadalafil than receiving Letairis or tadalafil monotherapy in AMBITION are shown in Table 2.

Table 2 Adverse Reactions Reported More Commonly (>5%) on Letairis + Tadalafil than on Letairis or Tadalafil Monotherapy (ITT) in AMBITION
Adverse Reactions Letairis + Tadalafil

Combination Therapy

(N=302)

n (%)
Letairis

Monotherapy

(N=152)

n (%)
Tadalafil Monotherapy

(N=151)

n (%)
Peripheral edema 135 (45%) 58 (38%) 43 (28%)
Headache 125 (41%) 51 (34%) 53 (35%)
Nasal congestion 58 (19%) 25 (16%) 17 (11%)
Cough 53 (18%) 20 (13%) 24 (16%)
Anemia 44 (15%) 11 (7%) 17 (11%)
Dyspepsia 32 (11%) 5 (3%) 18 (12%)
Bronchitis 31 (10%) 6 (4%) 13 (9%)

Peripheral edema was more frequent on combination therapy; however, there was no notable difference observed in the incidence of peripheral edema in elderly patients (≥65 years) versus younger patients (<65 years) on combination therapy (44% vs. 45%) or Letairis monotherapy (37% vs. 39%) in AMBITION.

Treatment discontinuations due to adverse events while on randomized treatment were similar across treatment groups: 16% for Letairis + tadalafil, 14% for Letairis alone, and 13% for tadalafil alone.

Section 42231-1
This Medication Guide has been approved by the U.S. Food and Drug Administration. Revised April 2025
Medication Guide

Letairis® (le-TAIR-is)

(ambrisentan) tablets
Read this Medication Guide before you start taking Letairis and each time you get a refill. There may be new information. This Medication Guide does not take the place of talking with your doctor about your medical condition or your treatment.

What is the most important information I should know about Letairis?

  • Serious birth defects.

    Letairis can cause serious birth defects if taken during pregnancy.
    • Females should not be pregnant when they start taking Letairis or become pregnant during treatment with Letairis.
    • Females who are able to get pregnant should have a negative pregnancy test before beginning treatment with Letairis. Talk to your doctor about your menstrual cycle. Your doctor will decide when to do a pregnancy test, and will order a pregnancy test for you depending on your menstrual cycle.
      • Females who are able to get pregnant are females who:
        • have entered puberty, even if they have not started their menstrual period, and
        • have a uterus, and
        • have not gone through menopause. Menopause means that you have not had a menstrual period for at least 12 months for natural reasons, or that you have had your ovaries removed.
      • Females who are not able to get pregnant are females who:
        • have not yet entered puberty, or
        • do not have a uterus, or
        • have gone through menopause. Menopause means that you have not had a menstrual period for at least 12 months for natural reasons, or that you have had your ovaries removed, or
        • who are infertile for any other medical reason and this infertility is permanent and cannot be reversed
    Females who are able to get pregnant should use effective contraception before beginning Letairis, during treatment with Letairis, and for one month after stopping Letairis because the medicine may still be in the body.
    • Talk with your doctor or gynecologist (a doctor who specializes in female reproduction) to find out about options for acceptable forms of birth control that you may use to prevent pregnancy during treatment with Letairis.
    • If you decide that you want to change the form of birth control that you use, talk with your doctor or gynecologist to be sure that you choose another acceptable form of birth control.
    • Do not have unprotected sex. Talk to your doctor or pharmacist right away if you have unprotected sex or if you think your birth control has failed. Your doctor may tell you to use emergency birth control.
    • Tell your doctor right away if you miss a menstrual period or think you may be pregnant for any reason.
If you are the parent or caregiver of a female child who started taking Letairis before reaching puberty, you should check your child regularly to see if she is developing signs of puberty. Tell your doctor right away if you notice that she is developing breast buds or pubic hair. Your doctor should decide if your child has reached puberty. Your child may reach puberty before having her first menstrual period.
What is Letairis?
  • Letairis is a prescription medicine used to treat pulmonary arterial hypertension (PAH), which is high blood pressure in the arteries of your lungs.
  • Letairis can improve your ability to exercise and it can help slow down the worsening of your physical condition and symptoms.
  • When taken with tadalafil, Letairis is used to reduce the risk of your disease progressing, to reduce the risk of hospitalization due to worsening pulmonary arterial hypertension (PAH), and to improve your ability to exercise.
  • It is not known if Letairis is safe and effective in children.
Who should not take Letairis?

Do not take Letairis if:
What should I tell my doctor before taking Letairis?

Before you take Letairis, tell your doctor if you:
  • have been told that you have a low red blood cell level (anemia)
  • have liver problems
  • have any other medical conditions
Tell your doctor about all the medicines you take, including prescription and over-the-counter medicines, vitamins, and herbal supplements. Letairis and other medicines may affect each other, causing side effects. Do not start any new medicines until you check with your doctor.

Especially tell your doctor if you take the medicine cyclosporine (Gengraf, Neoral, Sandimmune). Your doctor may need to change your dose of Letairis.
How should I take Letairis?
  • Take Letairis exactly as your doctor tells you to take it. Do not stop taking Letairis unless your doctor tells you to stop.
  • You can take Letairis with or without food.
  • Do not split, crush or chew Letairis tablets.
  • It will be easier to remember to take Letairis if you take it at the same time each day.
  • If you take more than your regular dose of Letairis, call your doctor right away.
  • If you miss a dose, take it as soon as you remember that day. Take your next dose at the regular time. Do not take two doses at the same time to make up for a missed dose.
What should I avoid while taking Letairis?
  • Do not get pregnant while taking Letairis. (See the serious birth defects section of the Medication Guide above called What is the most important information I should know about Letairis?) If you miss a menstrual period, or think you might be pregnant, call your doctor right away.
  • It is not known if Letairis passes into your breast milk. You should not breastfeed if you are taking Letairis. Talk to your doctor about the best way to feed your baby if you take Letairis.
What are the possible side effects of Letairis?

Letairis can cause serious side effects including:
  • See What is the most important information I should know about Letairis?
  • Swelling all over the body (fluid retention) can happen within weeks after starting Letairis. Tell your doctor right away if you have any unusual weight gain, tiredness, or trouble breathing while taking Letairis. These may be symptoms of a serious health problem. You may need to be treated with medicine or need to go to the hospital.
  • Decreased sperm count. Decreased sperm counts have happened in some men taking a medicine that is like Letairis. A decreased sperm count may affect the ability to father a child. Tell your doctor if being able to have children is important to you.
  • Low red blood cell levels (anemia) can happen during the first weeks after starting Letairis. If this happens, you may need a blood transfusion. Your doctor will do blood tests to check your red blood cells before starting Letairis. Your doctor may also do these tests during treatment with Letairis.
The most common side effects of Letairis include:
  • swelling of hands, legs, ankles and feet (peripheral edema)
  • stuffy nose (nasal congestion)
  • inflamed nasal passages (sinusitis)
  • hot flashes or getting red in the face (flushing)
Some medicines that are like Letairis can cause liver problems. Tell your doctor if you get any of these symptoms of a liver problem while taking Letairis:
  • loss of appetite
  • nausea or vomiting
  • fever
  • achiness
  • generally do not feel well
  • pain in the upper right stomach (abdominal) area
  • yellowing of your skin or the whites of your eyes
  • dark urine
  • itching
Tell your doctor if you have any side effect that bothers you or that does not go away. These are not all of the possible side effects of Letairis. For more information, ask your doctor or pharmacist.

Call your doctor for medical advice about side effects. You may report side effects to FDA at 1-800-FDA-1088.
How should I store Letairis?

Store Letairis at room temperature between 68°F to 77°F (20°C to 25°C), in the package it comes in.

Keep Letairis and all medicines out of the reach of children.
General information about the safe and effective use of Letairis

Medicines are sometimes prescribed for purposes other than those listed in a Medication Guide. Do not use Letairis for a condition for which it was not prescribed. Do not give Letairis to other people, even if they have the same symptoms that you have. It may harm them.

This Medication Guide summarizes the most important information about Letairis. If you would like more information, ask your doctor. You can ask your doctor or pharmacist for information about Letairis that is written for health professionals.
What are the ingredients in Letairis?

Active ingredient: ambrisentan

Inactive Ingredients: croscarmellose sodium, lactose monohydrate, magnesium stearate and microcrystalline cellulose. The tablets are film-coated with a coating material containing FD&C Red #40 aluminum lake, lecithin, polyethylene glycol, polyvinyl alcohol, talc, and titanium dioxide.

Gilead Sciences, Inc., Foster City, CA 94404

Letairis is a registered trademark of Gilead Sciences, Inc. Gilead and the Gilead logo are trademarks of Gilead Sciences, Inc. Other brands noted herein are the property of their respective owners.

© 2025 Gilead Sciences, Inc.

GS22-081-018

For more information call 1-866-664-5327 or go to www.letairis.com or www.gilead.com.
Section 43683-2
  • Box Warning
  • Indications and Usage (1)
  • Dosage and Administration, Pregnancy Testing in

       Females of Reproductive Potential (2.2)
  • Warnings and Precautions for Use

       Embryo-fetal Toxicity (5.1)

       Ambrisentan Risk Evaluation and Mitigation Strategy (REMS) (5.2)
04/2025

04/2025



04/2025



04/2025



(removed) 04/2025
Section 44425-7

Store at 25° C (77° F); excursions permitted to 1530° C (5986° F) [see USP controlled room temperature]. Store Letairis in its original packaging.

10 Overdosage

There is no experience with overdosage of Letairis. The highest single dose of Letairis administered to healthy volunteers was 100 mg, and the highest daily dose administered to patients with PAH was 10 mg once daily. In healthy volunteers, single doses of 50 mg and 100 mg (5 to 10 times the maximum recommended dose) were associated with headache, flushing, dizziness, nausea, and nasal congestion. Massive overdosage could potentially result in hypotension that may require intervention.

4.1 Pregnancy

Letairis may cause fetal harm when administered to a pregnant female. Letairis is contraindicated in females who are pregnant. Letairis was consistently shown to have teratogenic effects when administered to animals. If this drug is used during pregnancy, or if the patient becomes pregnant while taking this drug, the patient should be apprised of the potential hazard to a fetus [see Dosage and Administration (2.2), Warnings and Precautions (5.1), and Use in Specific Populations (8.1)].

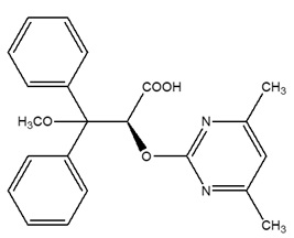
11 Description

Letairis contains ambrisentan, an endothelin receptor antagonist. The chemical name of ambrisentan is (+)-(2S)-2-[(4,6-dimethylpyrimidin-2-yl)oxy]-3-methoxy-3,3-diphenylpropanoic acid. It has a molecular formula of C22H22N2O4 and a molecular weight of 378.42 and has the following structural formula:

Figure 1 Ambrisentan Structural Formula

Ambrisentan is a white to off-white, crystalline solid. It is a carboxylic acid with a pKa of 4.0. Ambrisentan is practically insoluble in water and in aqueous solutions at low pH. Solubility increases in aqueous solutions at higher pH. In the solid state ambrisentan is very stable, is not hygroscopic, and is not light sensitive.

Letairis is available as 5 mg and 10 mg film-coated tablets for once daily oral administration. The tablets include the following inactive ingredients: croscarmellose sodium, lactose monohydrate, magnesium stearate and microcrystalline cellulose. The tablets are film-coated with a coating material containing FD&C Red #40 aluminum lake, lecithin, polyethylene glycol, polyvinyl alcohol, talc, and titanium dioxide. Each square, pale pink Letairis tablet contains 5 mg of ambrisentan. Each oval, deep pink Letairis tablet contains 10 mg of ambrisentan. Letairis tablets are unscored.

2.1 Adult Dosage

Initiate treatment at 5 mg once daily, with or without tadalafil 20 mg once daily. At 4-week intervals, either the dose of Letairis or tadalafil can be increased, as needed and tolerated, to Letairis 10 mg or tadalafil 40 mg.

Do not split, crush, or chew tablets.

8.4 Pediatric Use

Safety and effectiveness of Letairis in pediatric patients have not been established.

8.5 Geriatric Use

In the two placebo-controlled clinical studies of Letairis, 21% of patients were ≥65 years old and 5% were ≥75 years old. The elderly (age ≥65 years) showed less improvement in walk distances with Letairis than younger patients did, but the results of such subgroup analyses must be interpreted cautiously. Peripheral edema was more common in the elderly than in younger patients.

4 Contraindications
  • Pregnancy (4.1)
  • Idiopathic Pulmonary Fibrosis (4.2)
5.2 Fluid Retention

Peripheral edema is a known class effect of endothelin receptor antagonists, and is also a clinical consequence of PAH and worsening PAH. In the placebo-controlled studies, there was an increased incidence of peripheral edema in patients treated with doses of 5 or 10 mg Letairis compared to placebo [see Adverse Reactions (6.1)]. Most edema was mild to moderate in severity.

In addition, there have been postmarketing reports of fluid retention in patients with pulmonary hypertension, occurring within weeks after starting Letairis. Patients required intervention with a diuretic, fluid management, or, in some cases, hospitalization for decompensating heart failure.

If clinically significant fluid retention develops, with or without associated weight gain, further evaluation should be undertaken to determine the cause, such as Letairis or underlying heart failure, and the possible need for specific treatment or discontinuation of Letairis therapy.

Peripheral edema/fluid retention is more common with Letairis plus tadalafil than with Letairis or tadalafil alone.

6 Adverse Reactions

Clinically significant adverse reactions that appear in other sections of the labeling include:

7 Drug Interactions

Multiple dose coadministration of ambrisentan and cyclosporine resulted in an approximately 2-fold increase in ambrisentan exposure in healthy volunteers; therefore, limit the dose of ambrisentan to 5 mg once daily when coadministered with cyclosporine [see Clinical Pharmacology (12.3)].

8.6 Renal Impairment

The impact of renal impairment on the pharmacokinetics of ambrisentan has been examined using a population pharmacokinetic approach in PAH patients with creatinine clearances ranging between 20 and 150 mL/min. There was no significant impact of mild or moderate renal impairment on exposure to ambrisentan [see Clinical Pharmacology (12.3)]. Dose adjustment of Letairis in patients with mild or moderate renal impairment is therefore not required. There is no information on the exposure to ambrisentan in patients with severe renal impairment.

The impact of hemodialysis on the disposition of ambrisentan has not been investigated.

12.3 Pharmacokinetics

The pharmacokinetics of ambrisentan (S-ambrisentan) in healthy subjects is dose proportional. The absolute bioavailability of ambrisentan is not known. Ambrisentan is absorbed with peak concentrations occurring approximately 2 hours after oral administration in healthy subjects and PAH patients. Food does not affect its bioavailability. In vitro studies indicate that ambrisentan is a substrate of P-gp. Ambrisentan is highly bound to plasma proteins (99%). The elimination of ambrisentan is predominantly by non-renal pathways, but the relative contributions of metabolism and biliary elimination have not been well characterized. In plasma, the AUC of 4-hydroxymethyl ambrisentan accounts for approximately 4% relative to parent ambrisentan AUC. The in vivo inversion of S-ambrisentan to R-ambrisentan is negligible. The mean oral clearance of ambrisentan is 38 mL/min and 19 mL/min in healthy subjects and in PAH patients, respectively. Although ambrisentan has a 15-hour terminal half-life, the mean trough concentration of ambrisentan at steady-state is about 15% of the mean peak concentration and the accumulation factor is about 1.2 after long-term daily dosing, indicating that the effective half-life of ambrisentan is about 9 hours.

1 Indications and Usage

Letairis is indicated for the treatment of pulmonary arterial hypertension (PAH) (WHO Group 1) in adult patients:

  • To improve exercise ability and delay clinical worsening.
  • In combination with tadalafil to reduce the risks of disease progression and hospitalization for worsening PAH, and to improve exercise ability [see Clinical Studies (14.2)].

Studies establishing effectiveness included predominantly patients with WHO Functional Class II–III symptoms and etiologies of idiopathic or heritable PAH (60%) or PAH associated with connective tissue diseases (34%).

12.1 Mechanism of Action

Endothelin-1 (ET-1) is a potent autocrine and paracrine peptide. Two receptor subtypes, ETA and ETB, mediate the effects of ET-1 in the vascular smooth muscle and endothelium. The primary actions of ETA are vasoconstriction and cell proliferation, while the predominant actions of ETB are vasodilation, antiproliferation, and ET-1 clearance.

In patients with PAH, plasma ET-1 concentrations are increased as much as 10-fold and correlate with increased mean right atrial pressure and disease severity. ET-1 and ET-1 mRNA concentrations are increased as much as 9-fold in the lung tissue of patients with PAH, primarily in the endothelium of pulmonary arteries. These findings suggest that ET-1 may play a critical role in the pathogenesis and progression of PAH.

Ambrisentan is a high-affinity (Ki=0.011 nM) ETA receptor antagonist with a high selectivity for the ETA versus ETB receptor (>4000-fold). The clinical impact of high selectivity for ETA is not known.

5.1 Embryo Fetal Toxicity

Based on data from animal reproduction studies, Letairis may cause fetal harm when administered during pregnancy and is contraindicated during pregnancy. The available human data for endothelin receptor antagonists do not establish the presence or absence of major birth defects related to the use of Letairis. Advise patients who can become pregnant of the potential risk to a fetus. Obtain a pregnancy test prior to initiation of treatment with Letairis. Advise patients who can become pregnant to use effective contraception prior to initiation of treatment, during treatment, and for one month after discontinuation of treatment with Letairis. When pregnancy is detected, discontinue use as soon as possible [see Dosage and Administration (2.2), and Use in Specific Populations (8.1, 8.3)].

5.5 Hematological Changes

Decreases in hemoglobin concentration and hematocrit have followed administration of other endothelin receptor antagonists and were observed in clinical studies with Letairis. These decreases were observed within the first few weeks of treatment with Letairis, and stabilized thereafter. The mean decrease in hemoglobin from baseline to end of treatment for those patients receiving Letairis in the 12-week placebo-controlled studies was 0.8 g/dL.

Marked decreases in hemoglobin (>15% decrease from baseline resulting in a value below the lower limit of normal) were observed in 7% of all patients receiving Letairis (and 10% of patients receiving 10 mg) compared to 4% of patients receiving placebo. The cause of the decrease in hemoglobin is unknown, but it does not appear to result from hemorrhage or hemolysis.

In the long-term open-label extension of the two pivotal clinical studies, mean decreases from baseline (ranging from 0.9 to 1.2 g/dL) in hemoglobin concentrations persisted for up to 4 years of treatment.

There have been postmarketing reports of decreases in hemoglobin concentration and hematocrit that have resulted in anemia requiring transfusion.

Measure hemoglobin prior to initiation of Letairis, at one month, and periodically thereafter. Initiation of Letairis therapy is not recommended for patients with clinically significant anemia. If a clinically significant decrease in hemoglobin is observed and other causes have been excluded, consider discontinuing Letairis.

5 Warnings and Precautions
  • Fluid retention may require intervention (5.2).
  • If patients develop acute pulmonary edema during initiation of therapy with Letairis, consider underlying pulmonary veno-occlusive disease and discontinue treatment if necessary (5.3).
  • Decreases in sperm count have been observed in patients taking endothelin receptor antagonists (5.4).
  • Decreases in hemoglobin have been observed within the first few weeks; measure hemoglobin at initiation, at 1 month, and periodically thereafter (5.5).
5.4 Decreased Sperm Counts

Decreased sperm counts have been observed in human and animal studies with another endothelin receptor antagonist and in animal fertility studies with ambrisentan. Letairis may have an adverse effect on spermatogenesis. Counsel patients about potential effects on fertility [see Use in Specific Populations (8.6) and Nonclinical Toxicology (13.1)].

2 Dosage and Administration
  • Initiate treatment at 5 mg once daily (2.1).
  • May be started with tadalafil (2.1).
  • Titrate at 4-week intervals as needed and tolerated (2.1).
  • Do not split, crush, or chew tablets (2.1).
3 Dosage Forms and Strengths

5 mg and 10 mg film-coated tablets for oral administration

  • Each 5 mg tablet is square convex, pale pink, with “5” on one side and “GSI” on the other side.
  • Each 10 mg tablet is oval convex, deep pink, with “10” on one side and “GSI” on the other side.
6.2 Postmarketing Experience

The following adverse reactions were identified during post-approval use of Letairis. Because these reactions were reported voluntarily from a population of uncertain size, it is not possible to estimate reliably the frequency or to establish a causal relationship to drug exposure: anemia requiring transfusion [see Warnings and Precautions (5.5)] heart failure (associated with fluid retention), symptomatic hypotension, and hypersensitivity (e.g., angioedema, rash).

Elevations of liver aminotransferases (ALT, AST) have been reported with Letairis use; in most cases alternative causes of the liver injury could be identified (heart failure, hepatic congestion, hepatitis, alcohol use, hepatotoxic medications). Other endothelin receptor antagonists have been associated with elevations of aminotransferases, hepatotoxicity, and cases of liver failure [see Adverse Reactions (6.1)].

8 Use in Specific Populations
  • Breastfeeding: Choose Letairis or breastfeeding (8.2).
  • Not recommended in patients with moderate or severe hepatic impairment (8.7).
6.1 Clinical Trials Experience

Because clinical trials are conducted under widely varying conditions, adverse reaction rates observed in the clinical trials of a drug cannot be directly compared to rates in the clinical trials of another drug and may not reflect the rates observed in practice.

Safety data for Letairis are presented from two 12-week, placebo-controlled studies (ARIES-1 and ARIES-2) in patients with pulmonary arterial hypertension (PAH), and one randomized, double-blind, active-controlled trial in 605 patients with PAH (AMBITION) comparing Letairis plus tadalafil to Letairis or tadalafil alone. The exposure to Letairis in these studies ranged from 1 day to 4 years (N=357 for at least 6 months and N=279 for at least 1 year).

In ARIES-1 and ARIES-2, a total of 261 patients received Letairis at doses of 2.5, 5, or 10 mg once daily and 132 patients received placebo. The adverse reactions that occurred in >3% more patients receiving Letairis than receiving placebo are shown in Table 1.

Table 1 Adverse Reactions with Placebo-Adjusted Rates >3% in ARIES-1 and ARIES-2
Placebo

(N=132)
Letairis

(N=261)
Adverse Reaction n (%) n (%) Placebo-adjusted (%)
Peripheral edema 14 (11) 45 (17) 6
Nasal congestion 2 (2) 15 (6) 4
Sinusitis 0 (0) 8 (3) 3
Flushing 1 (1) 10 (4) 3

Most adverse drug reactions were mild to moderate and only nasal congestion was dose-dependent.

Few notable differences in the incidence of adverse reactions were observed for patients by age or sex. Peripheral edema was similar in younger patients (<65 years) receiving Letairis (14%; 29/205) or placebo (13%; 13/104), and was greater in elderly patients (≥65 years) receiving Letairis (29%; 16/56) compared to placebo (4%; 1/28). The results of such subgroup analyses must be interpreted cautiously.

The incidence of treatment discontinuations due to adverse events other than those related to PAH during the clinical trials in patients with PAH was similar for Letairis (2%; 5/261 patients) and placebo (2%; 3/132 patients). The incidence of patients with serious adverse events other than those related to PAH during the clinical trials in patients with PAH was similar for placebo (7%; 9/132 patients) and for Letairis (5%; 13/261 patients).

During 12-week controlled clinical trials, the incidence of aminotransferase elevations >3 × upper limit of normal (ULN) were 0% on Letairis and 2.3% on placebo. In practice, cases of hepatic injury should be carefully evaluated for cause.

Warning: Embryo Fetal Toxicity

Letairis is contraindicated for use during pregnancy because it may cause major birth defects if used by pregnant patients, based on studies in animals [see Contraindications (4.1), Warnings and Precautions (5.1), and Use in Specific Populations (8.1)].

Therefore, for females of reproductive potential, exclude pregnancy before the initiation of treatment with Letairis. Advise use of effective contraception before initiation, during treatment, and for one month after treatment with Letairis [see Dosage and Administration (2.2) Contraindications (4.1), Warnings and Precautions (5.1), and Use in Specific Populations (8.1, 8.3)]. When pregnancy is detected, discontinue Letairis as soon as possible (5.1).

14.3 Long Term Treatment of Pah

In long-term follow-up of patients who were treated with Letairis (2.5 mg, 5 mg, or 10 mg once daily) in the two pivotal studies and their open-label extension (N=383), Kaplan-Meier estimates of survival at 1, 2, and 3 years were 93%, 85%, and 79%, respectively. Of the patients who remained on Letairis for up to 3 years, the majority received no other treatment for PAH. These uncontrolled observations do not allow comparison with a group not given Letairis and cannot be used to determine the long-term effect of Letairis on mortality.

14.2 Combination Treatment of Pah

In a randomized, double-blind, active-controlled trial (AMBITION), 605 patients with WHO Functional Class II or III PAH were randomized 2:1:1 to once daily Letairis plus tadalafil or to Letairis or tadalafil alone. Treatment was initiated with Letairis 5 mg and tadalafil 20 mg. If tolerated, tadalafil was increased to 40 mg at 4 weeks and Letairis was increased to 10 mg at 8 weeks.

The primary endpoint was time to first occurrence of (a) death, (b) hospitalization for worsening PAH, (c) >15% decrease from baseline in 6MWD combined with WHO Functional Class III or IV symptoms sustained over 14 days (short term clinical worsening), or (d) reduction in 6MWD sustained over 14 days combined with WHO Functional Class III or IV symptoms sustained over 6 months (inadequate long term clinical response).

Patients had idiopathic PAH (55%), heritable PAH (3%), or PAH associated with connective tissue diseases, congenital heart disease, stable HIV infection, or drugs or toxins (APAH, 43%). Median time from diagnosis to first study drug administration was 25 days. Approximately 32% and 68% of patients were in WHO Functional Class II and III, respectively. The mean patient age was 55.7 years (34% were ≥65 years old). Most patients were white (90%) and female (76%); 45% were North American.

Principal results are shown in Figures 6 and 7.

Figure 6 Time to Primary Endpoint Event (AMBITION)

Figure 7 Primary Endpoint Events and First Occurrences of Each Component at Any Time (AMBITION)

The treatment effect of Letairis plus tadalafil compared with individual monotherapy on time to first primary endpoint event was consistent across subgroups. (Figure 8).

Figure 8 Primary Endpoint by Subgroups (AMBITION)

Note: The figure above presents effects in various subgroups all of which are baseline characteristics and all of which were pre-specified, if not the groupings. The 95% confidence limits that are shown do not take into account how many comparisons were made, nor do they reflect the effect of a particular factor after adjustment for all other factors. Apparent homogeneity or heterogeneity among groups should not be over interpreted.

17 Patient Counseling Information

Advise patients to read the FDA-approved patient labeling (Medication Guide).

4.2 Idiopathic Pulmonary Fibrosis

Letairis is contraindicated in patients with Idiopathic Pulmonary Fibrosis (IPF), including IPF patients with pulmonary hypertension (WHO Group 3) [see Clinical Studies (14.4)].

16 How Supplied/storage and Handling

Letairis film-coated tablets are supplied as follows:

Tablet Strength Package Configuration NDC No. Description of Tablet;

Debossed on Tablet;

Size
5 mg 30 count blister 61958-0801-2 Square convex; pale pink;

"5" on side 1 and "GSI" on side 2;

6.6 mm Square
30 count bottle 61958-0801-1
10 count blister 61958-0801-3
10 count bottle 61958-0801-5
10 mg 30 count blister 61958-0802-2 Oval convex; deep pink;

"10" on side 1 and "GSI" on side 2;

9.8 mm × 4.9 mm Oval
30 count bottle 61958-0802-1
10 count blister 61958-0802-3
10 count bottle 61958-0802-5
14.1 Pulmonary Arterial Hypertension (pah)

Two 12-week, randomized, double-blind, placebo-controlled, multicenter studies were conducted in 393 patients with PAH (WHO Group 1). The two studies were identical in design except for the doses of Letairis and the geographic region of the investigational sites. ARIES-1 compared once-daily doses of 5 mg and 10 mg Letairis to placebo, while ARIES-2 compared once-daily doses of 2.5 mg and 5 mg Letairis to placebo. In both studies, Letairis or placebo was added to current therapy, which could have included a combination of anticoagulants, diuretics, calcium channel blockers, or digoxin, but not epoprostenol, treprostinil, iloprost, bosentan, or sildenafil. The primary study endpoint was 6-minute walk distance. In addition, clinical worsening, WHO functional class, dyspnea, and SF-36® Health Survey were assessed.

Patients had idiopathic or heritable PAH (64%) or PAH associated with connective tissue diseases (32%), HIV infection (3%), or anorexigen use (1%). There were no patients with PAH associated with congenital heart disease.

Patients had WHO functional class I (2%), II (38%), III (55%), or IV (5%) symptoms at baseline. The mean age of patients was 50 years, 79% of patients were female, and 77% were Caucasian.

Principal Display Panel 5 Mg Tablet Carton

NDC 61958- 0801-3

Letairis ®



(ambrisentan) Tablets, 5 mg

R x only

Each tablet contains 5 mg of ambrisentan.

10 tablets

Note to Authorized Dispenser: Provide a copy of the Letairis Medication



Guide included in this carton to each patient.

GILEAD

Principal Display Panel 10 Mg Tablet Carton

NDC 61958- 0802-3

Letairis ®



(ambrisentan) Tablets, 10 mg

R x only

Each tablet contains 10 mg of ambrisentan.

10 tablets

Note to Authorized Dispenser: Provide a copy of the Letairis Medication



Guide included in this carton to each patient.

GILEAD

13.1 Carcinogenesis, Mutagenesis, Impairment of Fertility

Oral carcinogenicity studies of up to two years duration were conducted at starting doses of 10, 30, and 60 mg/kg/day in rats (8 to 48 times the maximum recommended human dose [MRHD] on a mg/m2 basis) and at 50, 150, and 250 mg/kg/day in mice (28 to 140 times the MRHD). In the rat study, the high- and mid-dose male and female groups had their doses lowered to 40 and 20 mg/kg/day, respectively, in week 51 because of effects on survival. The high-dose males and females were taken off drug completely in weeks 69 and 93, respectively. The only evidence of ambrisentan-related carcinogenicity was a positive trend in male rats, for the combined incidence of benign basal cell tumor and basal cell carcinoma of skin/subcutis in the mid-dose group (high-dose group excluded from analysis), and the occurrence of mammary fibroadenomas in males in the high-dose group. In the mouse study, high-dose male and female groups had their doses lowered to 150 mg/kg/day in week 39 and were taken off drug completely in week 96 (males) or week 76 (females). In mice, ambrisentan was not associated with excess tumors in any dosed group.

Positive findings of clastogenicity were detected, at drug concentrations producing moderate to high toxicity, in the chromosome aberration assay in cultured human lymphocytes. There was no evidence for genetic toxicity of ambrisentan when tested in vitro in bacteria (Ames test) or in vivo in rats (micronucleus assay, unscheduled DNA synthesis assay).

The development of testicular tubular atrophy and impaired fertility has been linked to the chronic administration of endothelin receptor antagonists in rodents. Testicular tubular degeneration was observed in rats treated with ambrisentan for two years at doses ≥10 mg/kg/day (8-fold MRHD). Increased incidences of testicular findings were also observed in mice treated for two years at doses ≥50 mg/kg/day (28-fold MRHD). Effects on sperm count, sperm morphology, mating performance, and fertility were observed in fertility studies in which male rats were treated with ambrisentan at oral doses of 300 mg/kg/day (236-fold MRHD). At doses of ≥10 mg/kg/day, observations of testicular histopathology in the absence of fertility and sperm effects were also present.

2.2 Pregnancy Testing in Females of Reproductive Potential

Exclude pregnancy before initiating treatment with Letairis in females of reproductive potential [see Warnings and Precautions (5.1), Use in Specific Populations (8.1, 8.3)].

14.4 Adverse Effects in Idiopathic Pulmonary Fibrosis (ipf)

A randomized controlled study in patients with IPF, with or without pulmonary hypertension (WHO Group 3), compared Letairis (N=329) to placebo (N=163). The study was terminated after 34 weeks for lack of efficacy, and was found to demonstrate a greater risk of disease progression or death on Letairis. More patients taking Letairis died (8% vs. 4%), had a respiratory hospitalization (13% vs. 6%), and had a decrease in FVC/DLCO (17% vs. 12%) [see Contraindications (4.2)].

5.3 Pulmonary Edema With Pulmonary Veno Occlusive Disease (pvod)

If patients develop acute pulmonary edema during initiation of therapy with vasodilating agents such as Letairis, the possibility of PVOD should be considered, and if confirmed Letairis should be discontinued.


Structured Label Content

Section 42229-5 (42229-5)

Combination Use with Tadalafil

The mean exposure to Letairis + tadalafil in the AMBITION study was 78.7 weeks. The adverse reactions that occurred in >5% more patients receiving Letairis + tadalafil than receiving Letairis or tadalafil monotherapy in AMBITION are shown in Table 2.

Table 2 Adverse Reactions Reported More Commonly (>5%) on Letairis + Tadalafil than on Letairis or Tadalafil Monotherapy (ITT) in AMBITION
Adverse Reactions Letairis + Tadalafil

Combination Therapy

(N=302)

n (%)
Letairis

Monotherapy

(N=152)

n (%)
Tadalafil Monotherapy

(N=151)

n (%)
Peripheral edema 135 (45%) 58 (38%) 43 (28%)
Headache 125 (41%) 51 (34%) 53 (35%)
Nasal congestion 58 (19%) 25 (16%) 17 (11%)
Cough 53 (18%) 20 (13%) 24 (16%)
Anemia 44 (15%) 11 (7%) 17 (11%)
Dyspepsia 32 (11%) 5 (3%) 18 (12%)
Bronchitis 31 (10%) 6 (4%) 13 (9%)

Peripheral edema was more frequent on combination therapy; however, there was no notable difference observed in the incidence of peripheral edema in elderly patients (≥65 years) versus younger patients (<65 years) on combination therapy (44% vs. 45%) or Letairis monotherapy (37% vs. 39%) in AMBITION.

Treatment discontinuations due to adverse events while on randomized treatment were similar across treatment groups: 16% for Letairis + tadalafil, 14% for Letairis alone, and 13% for tadalafil alone.

Section 42231-1 (42231-1)
This Medication Guide has been approved by the U.S. Food and Drug Administration. Revised April 2025
Medication Guide

Letairis® (le-TAIR-is)

(ambrisentan) tablets
Read this Medication Guide before you start taking Letairis and each time you get a refill. There may be new information. This Medication Guide does not take the place of talking with your doctor about your medical condition or your treatment.

What is the most important information I should know about Letairis?

  • Serious birth defects.

    Letairis can cause serious birth defects if taken during pregnancy.
    • Females should not be pregnant when they start taking Letairis or become pregnant during treatment with Letairis.
    • Females who are able to get pregnant should have a negative pregnancy test before beginning treatment with Letairis. Talk to your doctor about your menstrual cycle. Your doctor will decide when to do a pregnancy test, and will order a pregnancy test for you depending on your menstrual cycle.
      • Females who are able to get pregnant are females who:
        • have entered puberty, even if they have not started their menstrual period, and
        • have a uterus, and
        • have not gone through menopause. Menopause means that you have not had a menstrual period for at least 12 months for natural reasons, or that you have had your ovaries removed.
      • Females who are not able to get pregnant are females who:
        • have not yet entered puberty, or
        • do not have a uterus, or
        • have gone through menopause. Menopause means that you have not had a menstrual period for at least 12 months for natural reasons, or that you have had your ovaries removed, or
        • who are infertile for any other medical reason and this infertility is permanent and cannot be reversed
    Females who are able to get pregnant should use effective contraception before beginning Letairis, during treatment with Letairis, and for one month after stopping Letairis because the medicine may still be in the body.
    • Talk with your doctor or gynecologist (a doctor who specializes in female reproduction) to find out about options for acceptable forms of birth control that you may use to prevent pregnancy during treatment with Letairis.
    • If you decide that you want to change the form of birth control that you use, talk with your doctor or gynecologist to be sure that you choose another acceptable form of birth control.
    • Do not have unprotected sex. Talk to your doctor or pharmacist right away if you have unprotected sex or if you think your birth control has failed. Your doctor may tell you to use emergency birth control.
    • Tell your doctor right away if you miss a menstrual period or think you may be pregnant for any reason.
If you are the parent or caregiver of a female child who started taking Letairis before reaching puberty, you should check your child regularly to see if she is developing signs of puberty. Tell your doctor right away if you notice that she is developing breast buds or pubic hair. Your doctor should decide if your child has reached puberty. Your child may reach puberty before having her first menstrual period.
What is Letairis?
  • Letairis is a prescription medicine used to treat pulmonary arterial hypertension (PAH), which is high blood pressure in the arteries of your lungs.
  • Letairis can improve your ability to exercise and it can help slow down the worsening of your physical condition and symptoms.
  • When taken with tadalafil, Letairis is used to reduce the risk of your disease progressing, to reduce the risk of hospitalization due to worsening pulmonary arterial hypertension (PAH), and to improve your ability to exercise.
  • It is not known if Letairis is safe and effective in children.
Who should not take Letairis?

Do not take Letairis if:
What should I tell my doctor before taking Letairis?

Before you take Letairis, tell your doctor if you:
  • have been told that you have a low red blood cell level (anemia)
  • have liver problems
  • have any other medical conditions
Tell your doctor about all the medicines you take, including prescription and over-the-counter medicines, vitamins, and herbal supplements. Letairis and other medicines may affect each other, causing side effects. Do not start any new medicines until you check with your doctor.

Especially tell your doctor if you take the medicine cyclosporine (Gengraf, Neoral, Sandimmune). Your doctor may need to change your dose of Letairis.
How should I take Letairis?
  • Take Letairis exactly as your doctor tells you to take it. Do not stop taking Letairis unless your doctor tells you to stop.
  • You can take Letairis with or without food.
  • Do not split, crush or chew Letairis tablets.
  • It will be easier to remember to take Letairis if you take it at the same time each day.
  • If you take more than your regular dose of Letairis, call your doctor right away.
  • If you miss a dose, take it as soon as you remember that day. Take your next dose at the regular time. Do not take two doses at the same time to make up for a missed dose.
What should I avoid while taking Letairis?
  • Do not get pregnant while taking Letairis. (See the serious birth defects section of the Medication Guide above called What is the most important information I should know about Letairis?) If you miss a menstrual period, or think you might be pregnant, call your doctor right away.
  • It is not known if Letairis passes into your breast milk. You should not breastfeed if you are taking Letairis. Talk to your doctor about the best way to feed your baby if you take Letairis.
What are the possible side effects of Letairis?

Letairis can cause serious side effects including:
  • See What is the most important information I should know about Letairis?
  • Swelling all over the body (fluid retention) can happen within weeks after starting Letairis. Tell your doctor right away if you have any unusual weight gain, tiredness, or trouble breathing while taking Letairis. These may be symptoms of a serious health problem. You may need to be treated with medicine or need to go to the hospital.
  • Decreased sperm count. Decreased sperm counts have happened in some men taking a medicine that is like Letairis. A decreased sperm count may affect the ability to father a child. Tell your doctor if being able to have children is important to you.
  • Low red blood cell levels (anemia) can happen during the first weeks after starting Letairis. If this happens, you may need a blood transfusion. Your doctor will do blood tests to check your red blood cells before starting Letairis. Your doctor may also do these tests during treatment with Letairis.
The most common side effects of Letairis include:
  • swelling of hands, legs, ankles and feet (peripheral edema)
  • stuffy nose (nasal congestion)
  • inflamed nasal passages (sinusitis)
  • hot flashes or getting red in the face (flushing)
Some medicines that are like Letairis can cause liver problems. Tell your doctor if you get any of these symptoms of a liver problem while taking Letairis:
  • loss of appetite
  • nausea or vomiting
  • fever
  • achiness
  • generally do not feel well
  • pain in the upper right stomach (abdominal) area
  • yellowing of your skin or the whites of your eyes
  • dark urine
  • itching
Tell your doctor if you have any side effect that bothers you or that does not go away. These are not all of the possible side effects of Letairis. For more information, ask your doctor or pharmacist.

Call your doctor for medical advice about side effects. You may report side effects to FDA at 1-800-FDA-1088.
How should I store Letairis?

Store Letairis at room temperature between 68°F to 77°F (20°C to 25°C), in the package it comes in.

Keep Letairis and all medicines out of the reach of children.
General information about the safe and effective use of Letairis

Medicines are sometimes prescribed for purposes other than those listed in a Medication Guide. Do not use Letairis for a condition for which it was not prescribed. Do not give Letairis to other people, even if they have the same symptoms that you have. It may harm them.

This Medication Guide summarizes the most important information about Letairis. If you would like more information, ask your doctor. You can ask your doctor or pharmacist for information about Letairis that is written for health professionals.
What are the ingredients in Letairis?

Active ingredient: ambrisentan

Inactive Ingredients: croscarmellose sodium, lactose monohydrate, magnesium stearate and microcrystalline cellulose. The tablets are film-coated with a coating material containing FD&C Red #40 aluminum lake, lecithin, polyethylene glycol, polyvinyl alcohol, talc, and titanium dioxide.

Gilead Sciences, Inc., Foster City, CA 94404

Letairis is a registered trademark of Gilead Sciences, Inc. Gilead and the Gilead logo are trademarks of Gilead Sciences, Inc. Other brands noted herein are the property of their respective owners.

© 2025 Gilead Sciences, Inc.

GS22-081-018

For more information call 1-866-664-5327 or go to www.letairis.com or www.gilead.com.
Section 43683-2 (43683-2)
  • Box Warning
  • Indications and Usage (1)
  • Dosage and Administration, Pregnancy Testing in

       Females of Reproductive Potential (2.2)
  • Warnings and Precautions for Use

       Embryo-fetal Toxicity (5.1)

       Ambrisentan Risk Evaluation and Mitigation Strategy (REMS) (5.2)
04/2025

04/2025



04/2025



04/2025



(removed) 04/2025
Section 44425-7 (44425-7)

Store at 25° C (77° F); excursions permitted to 1530° C (5986° F) [see USP controlled room temperature]. Store Letairis in its original packaging.

10 Overdosage (10 OVERDOSAGE)

There is no experience with overdosage of Letairis. The highest single dose of Letairis administered to healthy volunteers was 100 mg, and the highest daily dose administered to patients with PAH was 10 mg once daily. In healthy volunteers, single doses of 50 mg and 100 mg (5 to 10 times the maximum recommended dose) were associated with headache, flushing, dizziness, nausea, and nasal congestion. Massive overdosage could potentially result in hypotension that may require intervention.

4.1 Pregnancy

Letairis may cause fetal harm when administered to a pregnant female. Letairis is contraindicated in females who are pregnant. Letairis was consistently shown to have teratogenic effects when administered to animals. If this drug is used during pregnancy, or if the patient becomes pregnant while taking this drug, the patient should be apprised of the potential hazard to a fetus [see Dosage and Administration (2.2), Warnings and Precautions (5.1), and Use in Specific Populations (8.1)].

11 Description (11 DESCRIPTION)

Letairis contains ambrisentan, an endothelin receptor antagonist. The chemical name of ambrisentan is (+)-(2S)-2-[(4,6-dimethylpyrimidin-2-yl)oxy]-3-methoxy-3,3-diphenylpropanoic acid. It has a molecular formula of C22H22N2O4 and a molecular weight of 378.42 and has the following structural formula:

Figure 1 Ambrisentan Structural Formula

Ambrisentan is a white to off-white, crystalline solid. It is a carboxylic acid with a pKa of 4.0. Ambrisentan is practically insoluble in water and in aqueous solutions at low pH. Solubility increases in aqueous solutions at higher pH. In the solid state ambrisentan is very stable, is not hygroscopic, and is not light sensitive.

Letairis is available as 5 mg and 10 mg film-coated tablets for once daily oral administration. The tablets include the following inactive ingredients: croscarmellose sodium, lactose monohydrate, magnesium stearate and microcrystalline cellulose. The tablets are film-coated with a coating material containing FD&C Red #40 aluminum lake, lecithin, polyethylene glycol, polyvinyl alcohol, talc, and titanium dioxide. Each square, pale pink Letairis tablet contains 5 mg of ambrisentan. Each oval, deep pink Letairis tablet contains 10 mg of ambrisentan. Letairis tablets are unscored.

2.1 Adult Dosage

Initiate treatment at 5 mg once daily, with or without tadalafil 20 mg once daily. At 4-week intervals, either the dose of Letairis or tadalafil can be increased, as needed and tolerated, to Letairis 10 mg or tadalafil 40 mg.

Do not split, crush, or chew tablets.

8.4 Pediatric Use

Safety and effectiveness of Letairis in pediatric patients have not been established.

8.5 Geriatric Use

In the two placebo-controlled clinical studies of Letairis, 21% of patients were ≥65 years old and 5% were ≥75 years old. The elderly (age ≥65 years) showed less improvement in walk distances with Letairis than younger patients did, but the results of such subgroup analyses must be interpreted cautiously. Peripheral edema was more common in the elderly than in younger patients.

4 Contraindications (4 CONTRAINDICATIONS)
  • Pregnancy (4.1)
  • Idiopathic Pulmonary Fibrosis (4.2)
5.2 Fluid Retention

Peripheral edema is a known class effect of endothelin receptor antagonists, and is also a clinical consequence of PAH and worsening PAH. In the placebo-controlled studies, there was an increased incidence of peripheral edema in patients treated with doses of 5 or 10 mg Letairis compared to placebo [see Adverse Reactions (6.1)]. Most edema was mild to moderate in severity.

In addition, there have been postmarketing reports of fluid retention in patients with pulmonary hypertension, occurring within weeks after starting Letairis. Patients required intervention with a diuretic, fluid management, or, in some cases, hospitalization for decompensating heart failure.

If clinically significant fluid retention develops, with or without associated weight gain, further evaluation should be undertaken to determine the cause, such as Letairis or underlying heart failure, and the possible need for specific treatment or discontinuation of Letairis therapy.

Peripheral edema/fluid retention is more common with Letairis plus tadalafil than with Letairis or tadalafil alone.

6 Adverse Reactions (6 ADVERSE REACTIONS)

Clinically significant adverse reactions that appear in other sections of the labeling include:

7 Drug Interactions (7 DRUG INTERACTIONS)

Multiple dose coadministration of ambrisentan and cyclosporine resulted in an approximately 2-fold increase in ambrisentan exposure in healthy volunteers; therefore, limit the dose of ambrisentan to 5 mg once daily when coadministered with cyclosporine [see Clinical Pharmacology (12.3)].

8.6 Renal Impairment

The impact of renal impairment on the pharmacokinetics of ambrisentan has been examined using a population pharmacokinetic approach in PAH patients with creatinine clearances ranging between 20 and 150 mL/min. There was no significant impact of mild or moderate renal impairment on exposure to ambrisentan [see Clinical Pharmacology (12.3)]. Dose adjustment of Letairis in patients with mild or moderate renal impairment is therefore not required. There is no information on the exposure to ambrisentan in patients with severe renal impairment.

The impact of hemodialysis on the disposition of ambrisentan has not been investigated.

12.3 Pharmacokinetics

The pharmacokinetics of ambrisentan (S-ambrisentan) in healthy subjects is dose proportional. The absolute bioavailability of ambrisentan is not known. Ambrisentan is absorbed with peak concentrations occurring approximately 2 hours after oral administration in healthy subjects and PAH patients. Food does not affect its bioavailability. In vitro studies indicate that ambrisentan is a substrate of P-gp. Ambrisentan is highly bound to plasma proteins (99%). The elimination of ambrisentan is predominantly by non-renal pathways, but the relative contributions of metabolism and biliary elimination have not been well characterized. In plasma, the AUC of 4-hydroxymethyl ambrisentan accounts for approximately 4% relative to parent ambrisentan AUC. The in vivo inversion of S-ambrisentan to R-ambrisentan is negligible. The mean oral clearance of ambrisentan is 38 mL/min and 19 mL/min in healthy subjects and in PAH patients, respectively. Although ambrisentan has a 15-hour terminal half-life, the mean trough concentration of ambrisentan at steady-state is about 15% of the mean peak concentration and the accumulation factor is about 1.2 after long-term daily dosing, indicating that the effective half-life of ambrisentan is about 9 hours.

1 Indications and Usage (1 INDICATIONS AND USAGE)

Letairis is indicated for the treatment of pulmonary arterial hypertension (PAH) (WHO Group 1) in adult patients:

  • To improve exercise ability and delay clinical worsening.
  • In combination with tadalafil to reduce the risks of disease progression and hospitalization for worsening PAH, and to improve exercise ability [see Clinical Studies (14.2)].

Studies establishing effectiveness included predominantly patients with WHO Functional Class II–III symptoms and etiologies of idiopathic or heritable PAH (60%) or PAH associated with connective tissue diseases (34%).

12.1 Mechanism of Action

Endothelin-1 (ET-1) is a potent autocrine and paracrine peptide. Two receptor subtypes, ETA and ETB, mediate the effects of ET-1 in the vascular smooth muscle and endothelium. The primary actions of ETA are vasoconstriction and cell proliferation, while the predominant actions of ETB are vasodilation, antiproliferation, and ET-1 clearance.

In patients with PAH, plasma ET-1 concentrations are increased as much as 10-fold and correlate with increased mean right atrial pressure and disease severity. ET-1 and ET-1 mRNA concentrations are increased as much as 9-fold in the lung tissue of patients with PAH, primarily in the endothelium of pulmonary arteries. These findings suggest that ET-1 may play a critical role in the pathogenesis and progression of PAH.

Ambrisentan is a high-affinity (Ki=0.011 nM) ETA receptor antagonist with a high selectivity for the ETA versus ETB receptor (>4000-fold). The clinical impact of high selectivity for ETA is not known.

5.1 Embryo Fetal Toxicity (5.1 Embryo-fetal Toxicity)

Based on data from animal reproduction studies, Letairis may cause fetal harm when administered during pregnancy and is contraindicated during pregnancy. The available human data for endothelin receptor antagonists do not establish the presence or absence of major birth defects related to the use of Letairis. Advise patients who can become pregnant of the potential risk to a fetus. Obtain a pregnancy test prior to initiation of treatment with Letairis. Advise patients who can become pregnant to use effective contraception prior to initiation of treatment, during treatment, and for one month after discontinuation of treatment with Letairis. When pregnancy is detected, discontinue use as soon as possible [see Dosage and Administration (2.2), and Use in Specific Populations (8.1, 8.3)].

5.5 Hematological Changes

Decreases in hemoglobin concentration and hematocrit have followed administration of other endothelin receptor antagonists and were observed in clinical studies with Letairis. These decreases were observed within the first few weeks of treatment with Letairis, and stabilized thereafter. The mean decrease in hemoglobin from baseline to end of treatment for those patients receiving Letairis in the 12-week placebo-controlled studies was 0.8 g/dL.

Marked decreases in hemoglobin (>15% decrease from baseline resulting in a value below the lower limit of normal) were observed in 7% of all patients receiving Letairis (and 10% of patients receiving 10 mg) compared to 4% of patients receiving placebo. The cause of the decrease in hemoglobin is unknown, but it does not appear to result from hemorrhage or hemolysis.

In the long-term open-label extension of the two pivotal clinical studies, mean decreases from baseline (ranging from 0.9 to 1.2 g/dL) in hemoglobin concentrations persisted for up to 4 years of treatment.

There have been postmarketing reports of decreases in hemoglobin concentration and hematocrit that have resulted in anemia requiring transfusion.

Measure hemoglobin prior to initiation of Letairis, at one month, and periodically thereafter. Initiation of Letairis therapy is not recommended for patients with clinically significant anemia. If a clinically significant decrease in hemoglobin is observed and other causes have been excluded, consider discontinuing Letairis.

5 Warnings and Precautions (5 WARNINGS AND PRECAUTIONS)
  • Fluid retention may require intervention (5.2).
  • If patients develop acute pulmonary edema during initiation of therapy with Letairis, consider underlying pulmonary veno-occlusive disease and discontinue treatment if necessary (5.3).
  • Decreases in sperm count have been observed in patients taking endothelin receptor antagonists (5.4).
  • Decreases in hemoglobin have been observed within the first few weeks; measure hemoglobin at initiation, at 1 month, and periodically thereafter (5.5).
5.4 Decreased Sperm Counts

Decreased sperm counts have been observed in human and animal studies with another endothelin receptor antagonist and in animal fertility studies with ambrisentan. Letairis may have an adverse effect on spermatogenesis. Counsel patients about potential effects on fertility [see Use in Specific Populations (8.6) and Nonclinical Toxicology (13.1)].

2 Dosage and Administration (2 DOSAGE AND ADMINISTRATION)
  • Initiate treatment at 5 mg once daily (2.1).
  • May be started with tadalafil (2.1).
  • Titrate at 4-week intervals as needed and tolerated (2.1).
  • Do not split, crush, or chew tablets (2.1).
3 Dosage Forms and Strengths (3 DOSAGE FORMS AND STRENGTHS)

5 mg and 10 mg film-coated tablets for oral administration

  • Each 5 mg tablet is square convex, pale pink, with “5” on one side and “GSI” on the other side.
  • Each 10 mg tablet is oval convex, deep pink, with “10” on one side and “GSI” on the other side.
6.2 Postmarketing Experience

The following adverse reactions were identified during post-approval use of Letairis. Because these reactions were reported voluntarily from a population of uncertain size, it is not possible to estimate reliably the frequency or to establish a causal relationship to drug exposure: anemia requiring transfusion [see Warnings and Precautions (5.5)] heart failure (associated with fluid retention), symptomatic hypotension, and hypersensitivity (e.g., angioedema, rash).

Elevations of liver aminotransferases (ALT, AST) have been reported with Letairis use; in most cases alternative causes of the liver injury could be identified (heart failure, hepatic congestion, hepatitis, alcohol use, hepatotoxic medications). Other endothelin receptor antagonists have been associated with elevations of aminotransferases, hepatotoxicity, and cases of liver failure [see Adverse Reactions (6.1)].

8 Use in Specific Populations (8 USE IN SPECIFIC POPULATIONS)
  • Breastfeeding: Choose Letairis or breastfeeding (8.2).
  • Not recommended in patients with moderate or severe hepatic impairment (8.7).
6.1 Clinical Trials Experience

Because clinical trials are conducted under widely varying conditions, adverse reaction rates observed in the clinical trials of a drug cannot be directly compared to rates in the clinical trials of another drug and may not reflect the rates observed in practice.

Safety data for Letairis are presented from two 12-week, placebo-controlled studies (ARIES-1 and ARIES-2) in patients with pulmonary arterial hypertension (PAH), and one randomized, double-blind, active-controlled trial in 605 patients with PAH (AMBITION) comparing Letairis plus tadalafil to Letairis or tadalafil alone. The exposure to Letairis in these studies ranged from 1 day to 4 years (N=357 for at least 6 months and N=279 for at least 1 year).

In ARIES-1 and ARIES-2, a total of 261 patients received Letairis at doses of 2.5, 5, or 10 mg once daily and 132 patients received placebo. The adverse reactions that occurred in >3% more patients receiving Letairis than receiving placebo are shown in Table 1.

Table 1 Adverse Reactions with Placebo-Adjusted Rates >3% in ARIES-1 and ARIES-2
Placebo

(N=132)
Letairis

(N=261)
Adverse Reaction n (%) n (%) Placebo-adjusted (%)
Peripheral edema 14 (11) 45 (17) 6
Nasal congestion 2 (2) 15 (6) 4
Sinusitis 0 (0) 8 (3) 3
Flushing 1 (1) 10 (4) 3

Most adverse drug reactions were mild to moderate and only nasal congestion was dose-dependent.

Few notable differences in the incidence of adverse reactions were observed for patients by age or sex. Peripheral edema was similar in younger patients (<65 years) receiving Letairis (14%; 29/205) or placebo (13%; 13/104), and was greater in elderly patients (≥65 years) receiving Letairis (29%; 16/56) compared to placebo (4%; 1/28). The results of such subgroup analyses must be interpreted cautiously.

The incidence of treatment discontinuations due to adverse events other than those related to PAH during the clinical trials in patients with PAH was similar for Letairis (2%; 5/261 patients) and placebo (2%; 3/132 patients). The incidence of patients with serious adverse events other than those related to PAH during the clinical trials in patients with PAH was similar for placebo (7%; 9/132 patients) and for Letairis (5%; 13/261 patients).

During 12-week controlled clinical trials, the incidence of aminotransferase elevations >3 × upper limit of normal (ULN) were 0% on Letairis and 2.3% on placebo. In practice, cases of hepatic injury should be carefully evaluated for cause.

Warning: Embryo Fetal Toxicity (WARNING: EMBRYO-FETAL TOXICITY)

Letairis is contraindicated for use during pregnancy because it may cause major birth defects if used by pregnant patients, based on studies in animals [see Contraindications (4.1), Warnings and Precautions (5.1), and Use in Specific Populations (8.1)].

Therefore, for females of reproductive potential, exclude pregnancy before the initiation of treatment with Letairis. Advise use of effective contraception before initiation, during treatment, and for one month after treatment with Letairis [see Dosage and Administration (2.2) Contraindications (4.1), Warnings and Precautions (5.1), and Use in Specific Populations (8.1, 8.3)]. When pregnancy is detected, discontinue Letairis as soon as possible (5.1).

14.3 Long Term Treatment of Pah (14.3 Long-term Treatment of PAH)

In long-term follow-up of patients who were treated with Letairis (2.5 mg, 5 mg, or 10 mg once daily) in the two pivotal studies and their open-label extension (N=383), Kaplan-Meier estimates of survival at 1, 2, and 3 years were 93%, 85%, and 79%, respectively. Of the patients who remained on Letairis for up to 3 years, the majority received no other treatment for PAH. These uncontrolled observations do not allow comparison with a group not given Letairis and cannot be used to determine the long-term effect of Letairis on mortality.

14.2 Combination Treatment of Pah (14.2 Combination Treatment of PAH)

In a randomized, double-blind, active-controlled trial (AMBITION), 605 patients with WHO Functional Class II or III PAH were randomized 2:1:1 to once daily Letairis plus tadalafil or to Letairis or tadalafil alone. Treatment was initiated with Letairis 5 mg and tadalafil 20 mg. If tolerated, tadalafil was increased to 40 mg at 4 weeks and Letairis was increased to 10 mg at 8 weeks.

The primary endpoint was time to first occurrence of (a) death, (b) hospitalization for worsening PAH, (c) >15% decrease from baseline in 6MWD combined with WHO Functional Class III or IV symptoms sustained over 14 days (short term clinical worsening), or (d) reduction in 6MWD sustained over 14 days combined with WHO Functional Class III or IV symptoms sustained over 6 months (inadequate long term clinical response).

Patients had idiopathic PAH (55%), heritable PAH (3%), or PAH associated with connective tissue diseases, congenital heart disease, stable HIV infection, or drugs or toxins (APAH, 43%). Median time from diagnosis to first study drug administration was 25 days. Approximately 32% and 68% of patients were in WHO Functional Class II and III, respectively. The mean patient age was 55.7 years (34% were ≥65 years old). Most patients were white (90%) and female (76%); 45% were North American.

Principal results are shown in Figures 6 and 7.

Figure 6 Time to Primary Endpoint Event (AMBITION)

Figure 7 Primary Endpoint Events and First Occurrences of Each Component at Any Time (AMBITION)

The treatment effect of Letairis plus tadalafil compared with individual monotherapy on time to first primary endpoint event was consistent across subgroups. (Figure 8).

Figure 8 Primary Endpoint by Subgroups (AMBITION)

Note: The figure above presents effects in various subgroups all of which are baseline characteristics and all of which were pre-specified, if not the groupings. The 95% confidence limits that are shown do not take into account how many comparisons were made, nor do they reflect the effect of a particular factor after adjustment for all other factors. Apparent homogeneity or heterogeneity among groups should not be over interpreted.

17 Patient Counseling Information (17 PATIENT COUNSELING INFORMATION)

Advise patients to read the FDA-approved patient labeling (Medication Guide).

4.2 Idiopathic Pulmonary Fibrosis

Letairis is contraindicated in patients with Idiopathic Pulmonary Fibrosis (IPF), including IPF patients with pulmonary hypertension (WHO Group 3) [see Clinical Studies (14.4)].

16 How Supplied/storage and Handling (16 HOW SUPPLIED/STORAGE AND HANDLING)

Letairis film-coated tablets are supplied as follows:

Tablet Strength Package Configuration NDC No. Description of Tablet;

Debossed on Tablet;

Size
5 mg 30 count blister 61958-0801-2 Square convex; pale pink;

"5" on side 1 and "GSI" on side 2;

6.6 mm Square
30 count bottle 61958-0801-1
10 count blister 61958-0801-3
10 count bottle 61958-0801-5
10 mg 30 count blister 61958-0802-2 Oval convex; deep pink;

"10" on side 1 and "GSI" on side 2;

9.8 mm × 4.9 mm Oval
30 count bottle 61958-0802-1
10 count blister 61958-0802-3
10 count bottle 61958-0802-5
14.1 Pulmonary Arterial Hypertension (pah) (14.1 Pulmonary Arterial Hypertension (PAH))

Two 12-week, randomized, double-blind, placebo-controlled, multicenter studies were conducted in 393 patients with PAH (WHO Group 1). The two studies were identical in design except for the doses of Letairis and the geographic region of the investigational sites. ARIES-1 compared once-daily doses of 5 mg and 10 mg Letairis to placebo, while ARIES-2 compared once-daily doses of 2.5 mg and 5 mg Letairis to placebo. In both studies, Letairis or placebo was added to current therapy, which could have included a combination of anticoagulants, diuretics, calcium channel blockers, or digoxin, but not epoprostenol, treprostinil, iloprost, bosentan, or sildenafil. The primary study endpoint was 6-minute walk distance. In addition, clinical worsening, WHO functional class, dyspnea, and SF-36® Health Survey were assessed.

Patients had idiopathic or heritable PAH (64%) or PAH associated with connective tissue diseases (32%), HIV infection (3%), or anorexigen use (1%). There were no patients with PAH associated with congenital heart disease.

Patients had WHO functional class I (2%), II (38%), III (55%), or IV (5%) symptoms at baseline. The mean age of patients was 50 years, 79% of patients were female, and 77% were Caucasian.

Principal Display Panel 5 Mg Tablet Carton (PRINCIPAL DISPLAY PANEL - 5 mg Tablet Carton)

NDC 61958- 0801-3

Letairis ®



(ambrisentan) Tablets, 5 mg

R x only

Each tablet contains 5 mg of ambrisentan.

10 tablets

Note to Authorized Dispenser: Provide a copy of the Letairis Medication



Guide included in this carton to each patient.

GILEAD

Principal Display Panel 10 Mg Tablet Carton (PRINCIPAL DISPLAY PANEL - 10 mg Tablet Carton)

NDC 61958- 0802-3

Letairis ®



(ambrisentan) Tablets, 10 mg

R x only

Each tablet contains 10 mg of ambrisentan.

10 tablets

Note to Authorized Dispenser: Provide a copy of the Letairis Medication



Guide included in this carton to each patient.

GILEAD

13.1 Carcinogenesis, Mutagenesis, Impairment of Fertility

Oral carcinogenicity studies of up to two years duration were conducted at starting doses of 10, 30, and 60 mg/kg/day in rats (8 to 48 times the maximum recommended human dose [MRHD] on a mg/m2 basis) and at 50, 150, and 250 mg/kg/day in mice (28 to 140 times the MRHD). In the rat study, the high- and mid-dose male and female groups had their doses lowered to 40 and 20 mg/kg/day, respectively, in week 51 because of effects on survival. The high-dose males and females were taken off drug completely in weeks 69 and 93, respectively. The only evidence of ambrisentan-related carcinogenicity was a positive trend in male rats, for the combined incidence of benign basal cell tumor and basal cell carcinoma of skin/subcutis in the mid-dose group (high-dose group excluded from analysis), and the occurrence of mammary fibroadenomas in males in the high-dose group. In the mouse study, high-dose male and female groups had their doses lowered to 150 mg/kg/day in week 39 and were taken off drug completely in week 96 (males) or week 76 (females). In mice, ambrisentan was not associated with excess tumors in any dosed group.

Positive findings of clastogenicity were detected, at drug concentrations producing moderate to high toxicity, in the chromosome aberration assay in cultured human lymphocytes. There was no evidence for genetic toxicity of ambrisentan when tested in vitro in bacteria (Ames test) or in vivo in rats (micronucleus assay, unscheduled DNA synthesis assay).

The development of testicular tubular atrophy and impaired fertility has been linked to the chronic administration of endothelin receptor antagonists in rodents. Testicular tubular degeneration was observed in rats treated with ambrisentan for two years at doses ≥10 mg/kg/day (8-fold MRHD). Increased incidences of testicular findings were also observed in mice treated for two years at doses ≥50 mg/kg/day (28-fold MRHD). Effects on sperm count, sperm morphology, mating performance, and fertility were observed in fertility studies in which male rats were treated with ambrisentan at oral doses of 300 mg/kg/day (236-fold MRHD). At doses of ≥10 mg/kg/day, observations of testicular histopathology in the absence of fertility and sperm effects were also present.

2.2 Pregnancy Testing in Females of Reproductive Potential

Exclude pregnancy before initiating treatment with Letairis in females of reproductive potential [see Warnings and Precautions (5.1), Use in Specific Populations (8.1, 8.3)].

14.4 Adverse Effects in Idiopathic Pulmonary Fibrosis (ipf) (14.4 Adverse Effects in Idiopathic Pulmonary Fibrosis (IPF))

A randomized controlled study in patients with IPF, with or without pulmonary hypertension (WHO Group 3), compared Letairis (N=329) to placebo (N=163). The study was terminated after 34 weeks for lack of efficacy, and was found to demonstrate a greater risk of disease progression or death on Letairis. More patients taking Letairis died (8% vs. 4%), had a respiratory hospitalization (13% vs. 6%), and had a decrease in FVC/DLCO (17% vs. 12%) [see Contraindications (4.2)].

5.3 Pulmonary Edema With Pulmonary Veno Occlusive Disease (pvod) (5.3 Pulmonary Edema with Pulmonary Veno-occlusive Disease (PVOD))

If patients develop acute pulmonary edema during initiation of therapy with vasodilating agents such as Letairis, the possibility of PVOD should be considered, and if confirmed Letairis should be discontinued.


Advanced Ingredient Data


Raw Label Data

All Sections (JSON)