These Highlights Do Not Include All The Information Needed To Use Levocetirizine Dihydrochloride Tablets Safely And Effectively. See Full Prescribing Information For Levocetirizine Dihydrochloride Tablets.

These Highlights Do Not Include All The Information Needed To Use Levocetirizine Dihydrochloride Tablets Safely And Effectively. See Full Prescribing Information For Levocetirizine Dihydrochloride Tablets.
SPL v2
SPL
SPL Set ID 7108ad0a-af1e-4172-b4ba-e5d9aaadfba7
Route
ORAL
Published
Effective Date 2022-10-01
Document Type 34391-3 HUMAN PRESCRIPTION DRUG LABEL

Drug Facts

Composition & Product

Active Ingredients
Levocetirizine (5 mg)
Inactive Ingredients
Microcrystalline Cellulose Lactose Monohydrate Silicon Dioxide Magnesium Stearate Hypromellose, Unspecified Titanium Dioxide Polyethylene Glycol, Unspecified

Identifiers & Packaging

Pill Appearance
Imprint: SG;136 Shape: oval Color: white Size: 8 mm Score: 1
Marketing Status
ANDA Active Since 2019-09-19

Description

Levocetirizine dihydrochloride is a histamine H 1 -receptor antagonist indicated for: • The treatment of the uncomplicated skin manifestations of chronic idiopathic urticaria ( 1.2 )

Indications and Usage

Levocetirizine dihydrochloride is a histamine H 1 -receptor antagonist indicated for: • The treatment of the uncomplicated skin manifestations of chronic idiopathic urticaria ( 1.2 )

Dosage and Administration

Levocetirizine dihydrochloride tablets are available as 5 mg breakable (scored) tablets, allowing for the administration of 2.5 mg, if needed. Levocetirizine dihydrochloride tablets can be taken without regard to food consumption.

Warnings and Precautions

• Avoid engaging in hazardous occupations requiring complete mental alertness such as driving or operating machinery when taking levocetirizine dihydrochloride. ( 5.1 ) • Avoid concurrent use of alcohol or other central nervous system depressants with levocetirizine dihydrochloride. ( 5.1 ) • Use with caution in patients with predisposing factors of urinary retention (e.g. spinal cord lesion, prostatic hyperplasia). Discontinue levocetirizine dihydrochloride if urinary retention occurs. ( 5.2 )

Contraindications

The use of levocetirizine dihydrochloride is contraindicated in:

Adverse Reactions

Use of levocetirizine dihydrochloride has been associated with somnolence, fatigue, asthenia, and urinary retention [see Warnings and Precautions (5) ].

Drug Interactions

In vitro data indicate that levocetirizine is unlikely to produce pharmacokinetic interactions through inhibition or induction of liver drug-metabolizing enzymes. No in vivo drug-drug interaction studies have been performed with levocetirizine. Drug interaction studies have been performed with racemic cetirizine.

Storage and Handling

Levocetirizine dihydrochloride tablets, USP 5 mg are white, oval, biconvex, film-coated functional scored tablets debossed with "S" on the left side of bisect and "G" on the right side of the bisect and other side "1" on the left side and "36" on the right side of the bisect. They are supplied in unit of use HDPE bottles. 30 tablets (NDC 71205-476-30) 60 tablets (NDC 71205-476-60) 90 tablets (NDC 71205-476-90)

How Supplied

Levocetirizine dihydrochloride tablets, USP 5 mg are white, oval, biconvex, film-coated functional scored tablets debossed with "S" on the left side of bisect and "G" on the right side of the bisect and other side "1" on the left side and "36" on the right side of the bisect. They are supplied in unit of use HDPE bottles. 30 tablets (NDC 71205-476-30) 60 tablets (NDC 71205-476-60) 90 tablets (NDC 71205-476-90)


Medication Information

Warnings and Precautions

• Avoid engaging in hazardous occupations requiring complete mental alertness such as driving or operating machinery when taking levocetirizine dihydrochloride. ( 5.1 ) • Avoid concurrent use of alcohol or other central nervous system depressants with levocetirizine dihydrochloride. ( 5.1 ) • Use with caution in patients with predisposing factors of urinary retention (e.g. spinal cord lesion, prostatic hyperplasia). Discontinue levocetirizine dihydrochloride if urinary retention occurs. ( 5.2 )

Indications and Usage

Levocetirizine dihydrochloride is a histamine H 1 -receptor antagonist indicated for: • The treatment of the uncomplicated skin manifestations of chronic idiopathic urticaria ( 1.2 )

Dosage and Administration

Levocetirizine dihydrochloride tablets are available as 5 mg breakable (scored) tablets, allowing for the administration of 2.5 mg, if needed. Levocetirizine dihydrochloride tablets can be taken without regard to food consumption.

Contraindications

The use of levocetirizine dihydrochloride is contraindicated in:

Adverse Reactions

Use of levocetirizine dihydrochloride has been associated with somnolence, fatigue, asthenia, and urinary retention [see Warnings and Precautions (5) ].

Drug Interactions

In vitro data indicate that levocetirizine is unlikely to produce pharmacokinetic interactions through inhibition or induction of liver drug-metabolizing enzymes. No in vivo drug-drug interaction studies have been performed with levocetirizine. Drug interaction studies have been performed with racemic cetirizine.

Storage and Handling

Levocetirizine dihydrochloride tablets, USP 5 mg are white, oval, biconvex, film-coated functional scored tablets debossed with "S" on the left side of bisect and "G" on the right side of the bisect and other side "1" on the left side and "36" on the right side of the bisect. They are supplied in unit of use HDPE bottles. 30 tablets (NDC 71205-476-30) 60 tablets (NDC 71205-476-60) 90 tablets (NDC 71205-476-90)

How Supplied

Levocetirizine dihydrochloride tablets, USP 5 mg are white, oval, biconvex, film-coated functional scored tablets debossed with "S" on the left side of bisect and "G" on the right side of the bisect and other side "1" on the left side and "36" on the right side of the bisect. They are supplied in unit of use HDPE bottles. 30 tablets (NDC 71205-476-30) 60 tablets (NDC 71205-476-60) 90 tablets (NDC 71205-476-90)

Description

Levocetirizine dihydrochloride is a histamine H 1 -receptor antagonist indicated for: • The treatment of the uncomplicated skin manifestations of chronic idiopathic urticaria ( 1.2 )

Section 42229-5

Adults and Children 12 Years of Age and Older

The recommended dose of levocetirizine dihydrochloride tablets is 5 mg (1 tablet) once daily in the evening. Some patients may be adequately controlled by 2.5 mg (1/2 tablet) once daily in the evening.

Section 44425-7

Storage

Store at 20°C to 25°C (68°F to 77°F); excursions permitted to 15°C to 30°C (59°F to 86°F) [see USP Controlled Room Temperature].

10 Overdosage

Overdosage has been reported with levocetirizine dihydrochloride.

Symptoms of overdose may include drowsiness in adults. In children agitation and restlessness may initially occur, followed by drowsiness. There is no known specific antidote to levocetirizine dihydrochloride. Should overdose occur, symptomatic or supportive treatment is recommended. Levocetirizine dihydrochloride is not effectively removed by dialysis, and dialysis will be ineffective unless a dialyzable agent has been concomitantly ingested.

The acute maximal non-lethal oral dose of levocetirizine was 240 mg/kg in mice (approximately 190 times the maximum recommended daily oral dose in adults, approximately 230 times the maximum recommended daily oral dose in children 6 to 11 years of age, and approximately 180 times the maximum recommended daily oral dose in children 6 months to 5 years of age on a mg/m2 basis). In rats the maximal non-lethal oral dose was 240 mg/kg (approximately 390 times the maximum recommended daily oral dose in adults, approximately 460 times the maximum recommended daily oral dose in children 6 to 11 years of age, and approximately 370 times the maximum recommended daily oral dose in children 6 months to 5 years of age on a mg/m2 basis).

7.2 Ritonavir

Ritonavir increased the plasma AUC of cetirizine by about 42% accompanied by an increase in half-life (53%) and a decrease in clearance (29%) of cetirizine. The disposition of ritonavir was not altered by concomitant cetirizine administration.

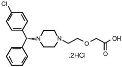
11 Description

Levocetirizine dihydrochloride, USP the active component of levocetirizine dihydrochloride tablets, USP is an orally active H1-receptor antagonist. The chemical name is (R)-[2-[4-[(4-chlorophenyl) phenylmethyl]-1-piperazinyl] ethoxy] acetic acid dihydrochloride. Levocetirizine dihydrochloride is the R enantiomer of cetirizine hydrochloride, a racemic compound with antihistaminic properties. The empirical formula of levocetirizine dihydrochloride is C21H25ClN2O3∙2HCl. The molecular weight is 461.82 and the chemical structure is shown below:

Levocetirizine dihydrochloride, USP is a white, or almost white powder and is freely soluble in water, practically insoluble in acetone and methylene chloride.

Levocetirizine hydrochloride tablets, USP 5 mg are formulated as immediate release, white, film-coated, oval, scored tablets for oral administration. The tablets are debossed with "S" on the left side of bisect and "G" on the right side of the bisect and other side "1" on the left side and "36" on the right side of the bisect. Inactive ingredients are: microcrystalline cellulose, lactose monohydrate, colloidal silicon dioxide, and magnesium stearate. The film coating contains hypromellose, titanium dioxide, and polyethylene glycol.

5.1 Somnolence

In clinical trials the occurrence of somnolence, fatigue, and asthenia has been reported in some patients under therapy with levocetirizine dihydrochloride. Patients should be cautioned against engaging in hazardous occupations requiring complete mental alertness, and motor coordination such as operating machinery or driving a motor vehicle after ingestion of levocetirizine dihydrochloride. Concurrent use of levocetirizine dihydrochloride with alcohol or other central nervous system depressants should be avoided because additional reductions in alertness and additional impairment of central nervous system performance may occur.

8.4 Pediatric Use

The recommended dose of levocetirizine dihydrochloride for the treatment of the uncomplicated skin manifestations of chronic idiopathic urticaria in patients 6 months to 17 years of age is based on extrapolation of efficacy from adults 18 years of age and older [see Clinical Studies (14)].

The recommended dose of levocetirizine dihydrochloride in patients 6 months to 2 years of age for the treatment of the symptoms of perennial allergic rhinitis and 6 months to 11 years of age with chronic idiopathic urticaria is based on cross-study comparisons of the systemic exposure of levocetirizine dihydrochloride in adults and pediatric patients and on the safety profile of levocetirizine dihydrochloride in both adult and pediatric patients at doses equal to or higher than the recommended dose for patients 6 months to 11 years of age.

The safety of levocetirizine dihydrochloride 5 mg once daily was evaluated in 243 pediatric patients 6 to 12 years of age in two placebo-controlled clinical trials lasting 4 and 6 weeks. The safety of levocetirizine dihydrochloride 1.25 mg twice daily was evaluated in one 2-week clinical trial in 114 pediatric patients 1 to 5 years of age and the safety of levocetirizine dihydrochloride 1.25 mg once daily was evaluated in one 2-week clinical trial in 45 pediatric patients 6 to 11 months of age [see Adverse Reactions (6.1)].

The effectiveness of levocetirizine dihydrochloride 1.25 mg once daily (6 months to 5 years of age) and 2.5 mg once daily (6 to 11 years of age) for the treatment of the symptoms of perennial allergic rhinitis and chronic idiopathic urticaria is supported by the extrapolation of demonstrated efficacy of levocetirizine dihydrochloride 5 mg once daily in patients 12 years of age and older based on the pharmacokinetic comparison between adults and children.

Cross-study comparisons indicate that administration of a 5 mg dose of levocetirizine dihydrochloride to 6 to 12 year old pediatric patients resulted in about 2-fold the systemic exposure (AUC) observed when 5 mg of levocetirizine dihydrochloride was administered to healthy adults. Therefore, in children 6 to 11 years of age the recommended dose of 2.5 mg once daily should not be exceeded. In a population pharmacokinetics study the administration of 1.25 mg once daily in children 6 months to 5 years of age resulted in systemic exposure comparable to 5 mg once daily in adults. [see Dosage and Administration (2.2), Clinical Studies (14), and Clinical Pharmacology (12.3)].

8.5 Geriatric Use

Clinical studies of levocetirizine dihydrochloride for each approved indication did not include sufficient numbers of patients aged 65 years and older to determine whether they respond differently than younger patients. Other reported clinical experience has not identified differences in responses between the elderly and younger patients. In general, dose selection for an elderly patient should be cautious, usually starting at the low end of the dosing range reflecting the greater frequency of decreased hepatic, renal, or cardiac function and of concomitant disease or other drug therapy.

4 Contraindications

The use of levocetirizine dihydrochloride is contraindicated in:

6 Adverse Reactions

Use of levocetirizine dihydrochloride has been associated with somnolence, fatigue, asthenia, and urinary retention [see Warnings and Precautions (5)].

7 Drug Interactions

In vitro data indicate that levocetirizine is unlikely to produce pharmacokinetic interactions through inhibition or induction of liver drug-metabolizing enzymes. No in vivo drug-drug interaction studies have been performed with levocetirizine. Drug interaction studies have been performed with racemic cetirizine.

8.6 Renal Impairment

Levocetirizine dihydrochloride is known to be substantially excreted by the kidneys and the risk of adverse reactions to this drug may be greater in patients with impaired renal function. Because elderly patients are more likely to have decreased renal function, care should be taken in dose selection and it may be useful to monitor renal function [see Dosage and Administration (2) and Clinical Pharmacology (12.3)].

12.2 Pharmacodynamics

Studies in adult healthy subjects showed that levocetirizine at doses of 2.5 mg and 5 mg inhibited the skin wheal and flare caused by the intradermal injection of histamine. In contrast, dextrocetirizine exhibited no clear change in the inhibition of the wheal and flare reaction.

Levocetirizine at a dose of 5 mg inhibited the wheal and flare caused by intradermal injection of histamine in 14 pediatric subjects (aged 6 to 11 years) and the activity persisted for at least 24 hours. The clinical relevance of histamine wheal skin testing is unknown.

A QT/QTc study using a single dose of 30 mg of levocetirizine did not demonstrate an effect on the QTc interval. While a single dose of levocetirizine had no effect, the effects of levocetirizine may not be at steady state following single dose. The effect of levocetirizine on the QTc interval following multiple dose administration is unknown. Levocetirizine is not expected to have QT/QTc effects because of the results of QTc studies with cetirizine and the long postmarketing history of cetirizine without reports of QT prolongation.

12.3 Pharmacokinetics

Levocetirizine exhibited linear pharmacokinetics over the therapeutic dose range in adult healthy subjects.

5.2 Urinary Retention

Urinary retention has been reported post marketing with levocetirizine dihydrochloride. Levocetirizine dihydrochloride should be used with caution in patients with predisposing factors of urinary retention (e.g. spinal cord lesion, prostatic hyperplasia) as levocetirizine dihydrochloride may increase the risk of urinary retention. Discontinue levocetirizine dihydrochloride if urinary retention occurs.

8.7 Hepatic Impairment

As levocetirizine is mainly excreted unchanged by the kidneys, it is unlikely that the clearance of levocetirizine is significantly decreased in patients with solely hepatic impairment [see Clinical Pharmacology (12.3)].

1 Indications and Usage

Levocetirizine dihydrochloride is a histamine H1-receptor antagonist indicated for:

  • The treatment of the uncomplicated skin manifestations of chronic idiopathic urticaria (1.2)
12.1 Mechanism of Action

Levocetirizine, the active enantiomer of cetirizine, is an antihistamine; its principal effects are mediated via selective inhibition of H1 receptors. The antihistaminic activity of levocetirizine has been documented in a variety of animal and human models. In vitro binding studies revealed that levocetirizine has an affinity for the human H1-receptor 2-fold higher than that of cetirizine (Ki = 3 nmol/L vs. 6 nmol/L, respectively). The clinical relevance of this finding is unknown.

5 Warnings and Precautions
  • Avoid engaging in hazardous occupations requiring complete mental alertness such as driving or operating machinery when taking levocetirizine dihydrochloride. (5.1)
  • Avoid concurrent use of alcohol or other central nervous system depressants with levocetirizine dihydrochloride. (5.1)
  • Use with caution in patients with predisposing factors of urinary retention (e.g. spinal cord lesion, prostatic hyperplasia). Discontinue levocetirizine dihydrochloride if urinary retention occurs. (5.2)
2 Dosage and Administration

Levocetirizine dihydrochloride tablets are available as 5 mg breakable (scored) tablets, allowing for the administration of 2.5 mg, if needed. Levocetirizine dihydrochloride tablets can be taken without regard to food consumption.

3 Dosage Forms and Strengths

Levocetirizine dihydrochloride tablets, USP 5 mg are white, oval, biconvex, film-coated functional scored tablets debossed with "S" on the left side of bisect and "G" on the right side of bisect and other side "1" on the left side and "36" on the right side of the bisect.

6.2 Postmarketing Experience

In addition to the adverse reactions reported during clinical trials and listed above, the following adverse reactions have also been identified during postapproval use of levocetrizine dihydrochloride. Because these reactions are reported voluntarily from a population of uncertain size, it is not always possible to reliably estimate their frequency or establish a causal relationship to drug exposure.

  • Cardiac disorders: palpitations, tachycardia
  • Ear and labyrinth disorders: vertigo
  • Eye disorders: blurred vision, visual disturbances
  • Gastrointestinal disorders: nausea, vomiting
  • General disorders and administration site conditions: edema
  • Hepatobiliary disorders: hepatitis
  • Immune system disorders: anaphylaxis and hypersensitivity
  • Metabolism and nutrition disorders: increased appetite
  • Musculoskeletal, connective tissues, and bone disorders: arthralgia, myalgia
  • Nervous system disorders: dizziness, dysgeusia, febrile seizure, movement disorders (including dystonia and oculogyric crisis), paresthesia, seizure (reported in subjects with and without a known seizure disorder), tremor
  • Psychiatric disorders: aggression and agitation, depression, hallucinations, insomnia, nightmare, suicidal ideation
  • Renal and urinary disorders: dysuria, urinary retention
  • Respiratory, thoracic, and mediastinal disorders: dyspnea
  • Skin and subcutaneous tissue disorders: angioedema, fixed drug eruption, pruritis, rash and urticaria

Besides these reactions reported under treatment with levocetirizine dihydrochloride, other potentially severe adverse events have been reported from the postmarketing experience with cetirizine. Since levocetirizine is the principal pharmacologically active component of cetirizine, one should take into account the fact that the following adverse events could also potentially occur under treatment with levocetirizine dihydrochloride.

  • Cardiac disorders: severe hypotension
  • Gastrointestinal disorders: cholestasis
  • Nervous system disorders: extrapyramidal symptoms, myoclonus, orofacial dyskinesia, tic
  • Pregnancy, puerperium and perinatal conditions: stillbirth
  • Renal and urinary disorders: glomerulonephritis
  • Skin and subcutaneous tissue disorders: acute generalized exanthematous pustulosis (AGEP); rebound pruritus - pruritus within a few days after discontinuation of cetirizine, usually after long-term use (e.g. months to years) of cetirizine.
8 Use in Specific Populations
  • Renal Impairment

    Because levocetirizine dihydrochloride is substantially excreted by the kidneys, the risk of adverse reactions to this drug may be greater in patients with impaired renal function. (8.6, 12.3)
  • Pediatric Use

    Do not exceed the recommended doses of 2.5 mg once daily in children 6 to 11 years of age. Systemic exposure with these doses in respective pediatric age groups is comparable to that from a 5 mg once daily dose in adults. (12.3)
6.1 Clinical Trials Experience

The safety data described below reflect exposure to levocetirizine dihydrochloride in 2,708 patients with allergic rhinitis or chronic idiopathic urticaria in 14 controlled clinical trials of 1 week to 6 months duration.

The short-term (exposure up to 6 weeks) safety data for adults and adolescents are based upon eight clinical trials in which 1,896 patients (825 males and 1,071 females aged 12 years and older) were treated with levocetirizine dihydrochloride 2.5 mg, 5 mg, or 10 mg once daily in the evening.

The short-term safety data from pediatric patients are based upon two clinical trials in which 243 children with allergic rhinitis (162 males and 81 females 6 to 12 years of age) were treated with levocetirizine dihydrochloride 5 mg once daily for 4 to 6 weeks, one clinical trial in which 114 children (65 males and 49 females 1 to 5 years of age) with allergic rhinitis or chronic idiopathic urticaria were treated with levocetirizine dihydrochloride 1.25 mg twice daily for 2 weeks, and one clinical trial in which 45 children (28 males and 17 females 6 to 11 months of age) with symptoms of allergic rhinitis or chronic urticaria were treated with levocetirizine dihydrochloride 1.25 mg once daily for 2 weeks.

The long-term (exposure of 4 or 6 months) safety data in adults and adolescents are based upon two clinical trials in which 428 patients (190 males and 238 females) with allergic rhinitis were exposed to treatment with levocetirizine dihydrochloride 5 mg once daily. Long term safety data are also available from an 18-month trial in 255 levocetirizine dihydrochloride-treated subjects 12 to 24 months of age.

Because clinical trials are conducted under widely varying conditions, adverse reaction rates observed in the clinical trials of a drug cannot be directly compared to rates in the clinical trial of another drug and may not reflect the rates observed in practice.

1.2 Chronic Idiopathic Urticaria

Levocetirizine dihydrochloride tablets are indicated for the treatment of the uncomplicated skin manifestations of chronic idiopathic urticaria in adults and children 6 years of age and older.

16 How Supplied/storage and Handling

Levocetirizine dihydrochloride tablets, USP 5 mg are white, oval, biconvex, film-coated functional scored tablets debossed with "S" on the left side of bisect and "G" on the right side of the bisect and other side "1" on the left side and "36" on the right side of the bisect. They are supplied in unit of use HDPE bottles.

30 tablets (NDC 71205-476-30)

60 tablets (NDC 71205-476-60)

90 tablets (NDC 71205-476-90)

4.1 Patients With Known Hypersensitivity

Patients with known hypersensitivity to levocetirizine or any of the ingredients of levocetirizine dihydrochloride tablets, or to cetirizine. Observed reactions range from urticaria to anaphylaxis [see Adverse Reactions (6.2)].

4.2 Patients With End Stage Renal Disease

Patients with end-stage renal disease (CLCR < 10 mL/min) and patients undergoing hemodialysis

Principal Display Panel 5 Mg Tablet Bottle Label

NDC 71205-476-30

Rx Only

Levocetirizine

Dihydrochloride Tablets, USP

5 mg

For oral administration

30 Tablets

4.3 Pediatric Patients With Impaired Renal Function

Children 6 months to 11 years of age with impaired renal function

13.1 Carcinogenesis, Mutagenesis, Impairment of Fertility

No carcinogenicity studies have been performed with levocetirizine. However, evaluation of cetirizine carcinogenicity studies is relevant for determination of the carcinogenic potential of levocetirizine. In a 2-year carcinogenicity study, in rats, cetirizine was not carcinogenic at dietary doses up to 20 mg/kg (approximately 40, 40, 25, and 10 times the MRHDs in adults, children 6 to 11 years of age, children 2 to 5 years, and children 6 months to 2 years of age, respectively, on a mg/m2 basis). In a 2-year carcinogenicity study in mice, cetirizine caused an increased incidence of benign hepatic tumors in males at a dietary dose of 16 mg/kg (approximately 15, 15, 9, and 5 times the MRHDs in adults, children 6 to 11 years of age, children 2 to 5 years, and children 6 months to 2 years of age, respectively, on a mg/m2 basis). No increased incidence of benign tumors was observed at a dietary dose of 4 mg/kg (approximately 4, 4, 2, and 1 times the MRHDs in adults, children 6 to 11 years of age, children 2 to 5 years, and children 6 months to 2 years of age, respectively on a mg/m2 basis). The clinical significance of these findings during long-term use of levocetirizine dihydrochloride is not known.

Levocetirizine was not mutagenic in the Ames test, and not clastogenic in the human lymphocyte assay, the mouse lymphoma assay, and in vivo micronucleus test in mice.

Fertility and reproductive performance were unaffected in male and female mice and rats that received cetirizine at oral doses up to 64 and 200 mg/kg/day, respectively (approximately 60 and 390 times the MRHD in adults on a mg/m2 basis).

7.1 Antipyrine, Azithromycin, Cimetidine, Erythromycin, Ketoconazole, Theophylline, and Pseudoephedrine

Pharmacokinetic interaction studies performed with racemic cetirizine demonstrated that cetirizine did not interact with antipyrine, pseudoephedrine, erythromycin, azithromycin, ketoconazole, and cimetidine. There was a small decrease (~16%) in the clearance of cetirizine caused by a 400 mg dose of theophylline. It is possible that higher theophylline doses could have a greater effect.


Structured Label Content

Section 42229-5 (42229-5)

Adults and Children 12 Years of Age and Older

The recommended dose of levocetirizine dihydrochloride tablets is 5 mg (1 tablet) once daily in the evening. Some patients may be adequately controlled by 2.5 mg (1/2 tablet) once daily in the evening.

Section 44425-7 (44425-7)

Storage

Store at 20°C to 25°C (68°F to 77°F); excursions permitted to 15°C to 30°C (59°F to 86°F) [see USP Controlled Room Temperature].

10 Overdosage (10 OVERDOSAGE)

Overdosage has been reported with levocetirizine dihydrochloride.

Symptoms of overdose may include drowsiness in adults. In children agitation and restlessness may initially occur, followed by drowsiness. There is no known specific antidote to levocetirizine dihydrochloride. Should overdose occur, symptomatic or supportive treatment is recommended. Levocetirizine dihydrochloride is not effectively removed by dialysis, and dialysis will be ineffective unless a dialyzable agent has been concomitantly ingested.

The acute maximal non-lethal oral dose of levocetirizine was 240 mg/kg in mice (approximately 190 times the maximum recommended daily oral dose in adults, approximately 230 times the maximum recommended daily oral dose in children 6 to 11 years of age, and approximately 180 times the maximum recommended daily oral dose in children 6 months to 5 years of age on a mg/m2 basis). In rats the maximal non-lethal oral dose was 240 mg/kg (approximately 390 times the maximum recommended daily oral dose in adults, approximately 460 times the maximum recommended daily oral dose in children 6 to 11 years of age, and approximately 370 times the maximum recommended daily oral dose in children 6 months to 5 years of age on a mg/m2 basis).

7.2 Ritonavir

Ritonavir increased the plasma AUC of cetirizine by about 42% accompanied by an increase in half-life (53%) and a decrease in clearance (29%) of cetirizine. The disposition of ritonavir was not altered by concomitant cetirizine administration.

11 Description (11 DESCRIPTION)

Levocetirizine dihydrochloride, USP the active component of levocetirizine dihydrochloride tablets, USP is an orally active H1-receptor antagonist. The chemical name is (R)-[2-[4-[(4-chlorophenyl) phenylmethyl]-1-piperazinyl] ethoxy] acetic acid dihydrochloride. Levocetirizine dihydrochloride is the R enantiomer of cetirizine hydrochloride, a racemic compound with antihistaminic properties. The empirical formula of levocetirizine dihydrochloride is C21H25ClN2O3∙2HCl. The molecular weight is 461.82 and the chemical structure is shown below:

Levocetirizine dihydrochloride, USP is a white, or almost white powder and is freely soluble in water, practically insoluble in acetone and methylene chloride.

Levocetirizine hydrochloride tablets, USP 5 mg are formulated as immediate release, white, film-coated, oval, scored tablets for oral administration. The tablets are debossed with "S" on the left side of bisect and "G" on the right side of the bisect and other side "1" on the left side and "36" on the right side of the bisect. Inactive ingredients are: microcrystalline cellulose, lactose monohydrate, colloidal silicon dioxide, and magnesium stearate. The film coating contains hypromellose, titanium dioxide, and polyethylene glycol.

5.1 Somnolence

In clinical trials the occurrence of somnolence, fatigue, and asthenia has been reported in some patients under therapy with levocetirizine dihydrochloride. Patients should be cautioned against engaging in hazardous occupations requiring complete mental alertness, and motor coordination such as operating machinery or driving a motor vehicle after ingestion of levocetirizine dihydrochloride. Concurrent use of levocetirizine dihydrochloride with alcohol or other central nervous system depressants should be avoided because additional reductions in alertness and additional impairment of central nervous system performance may occur.

8.4 Pediatric Use

The recommended dose of levocetirizine dihydrochloride for the treatment of the uncomplicated skin manifestations of chronic idiopathic urticaria in patients 6 months to 17 years of age is based on extrapolation of efficacy from adults 18 years of age and older [see Clinical Studies (14)].

The recommended dose of levocetirizine dihydrochloride in patients 6 months to 2 years of age for the treatment of the symptoms of perennial allergic rhinitis and 6 months to 11 years of age with chronic idiopathic urticaria is based on cross-study comparisons of the systemic exposure of levocetirizine dihydrochloride in adults and pediatric patients and on the safety profile of levocetirizine dihydrochloride in both adult and pediatric patients at doses equal to or higher than the recommended dose for patients 6 months to 11 years of age.

The safety of levocetirizine dihydrochloride 5 mg once daily was evaluated in 243 pediatric patients 6 to 12 years of age in two placebo-controlled clinical trials lasting 4 and 6 weeks. The safety of levocetirizine dihydrochloride 1.25 mg twice daily was evaluated in one 2-week clinical trial in 114 pediatric patients 1 to 5 years of age and the safety of levocetirizine dihydrochloride 1.25 mg once daily was evaluated in one 2-week clinical trial in 45 pediatric patients 6 to 11 months of age [see Adverse Reactions (6.1)].

The effectiveness of levocetirizine dihydrochloride 1.25 mg once daily (6 months to 5 years of age) and 2.5 mg once daily (6 to 11 years of age) for the treatment of the symptoms of perennial allergic rhinitis and chronic idiopathic urticaria is supported by the extrapolation of demonstrated efficacy of levocetirizine dihydrochloride 5 mg once daily in patients 12 years of age and older based on the pharmacokinetic comparison between adults and children.

Cross-study comparisons indicate that administration of a 5 mg dose of levocetirizine dihydrochloride to 6 to 12 year old pediatric patients resulted in about 2-fold the systemic exposure (AUC) observed when 5 mg of levocetirizine dihydrochloride was administered to healthy adults. Therefore, in children 6 to 11 years of age the recommended dose of 2.5 mg once daily should not be exceeded. In a population pharmacokinetics study the administration of 1.25 mg once daily in children 6 months to 5 years of age resulted in systemic exposure comparable to 5 mg once daily in adults. [see Dosage and Administration (2.2), Clinical Studies (14), and Clinical Pharmacology (12.3)].

8.5 Geriatric Use

Clinical studies of levocetirizine dihydrochloride for each approved indication did not include sufficient numbers of patients aged 65 years and older to determine whether they respond differently than younger patients. Other reported clinical experience has not identified differences in responses between the elderly and younger patients. In general, dose selection for an elderly patient should be cautious, usually starting at the low end of the dosing range reflecting the greater frequency of decreased hepatic, renal, or cardiac function and of concomitant disease or other drug therapy.

4 Contraindications (4 CONTRAINDICATIONS)

The use of levocetirizine dihydrochloride is contraindicated in:

6 Adverse Reactions (6 ADVERSE REACTIONS)

Use of levocetirizine dihydrochloride has been associated with somnolence, fatigue, asthenia, and urinary retention [see Warnings and Precautions (5)].

7 Drug Interactions (7 DRUG INTERACTIONS)

In vitro data indicate that levocetirizine is unlikely to produce pharmacokinetic interactions through inhibition or induction of liver drug-metabolizing enzymes. No in vivo drug-drug interaction studies have been performed with levocetirizine. Drug interaction studies have been performed with racemic cetirizine.

8.6 Renal Impairment

Levocetirizine dihydrochloride is known to be substantially excreted by the kidneys and the risk of adverse reactions to this drug may be greater in patients with impaired renal function. Because elderly patients are more likely to have decreased renal function, care should be taken in dose selection and it may be useful to monitor renal function [see Dosage and Administration (2) and Clinical Pharmacology (12.3)].

12.2 Pharmacodynamics

Studies in adult healthy subjects showed that levocetirizine at doses of 2.5 mg and 5 mg inhibited the skin wheal and flare caused by the intradermal injection of histamine. In contrast, dextrocetirizine exhibited no clear change in the inhibition of the wheal and flare reaction.

Levocetirizine at a dose of 5 mg inhibited the wheal and flare caused by intradermal injection of histamine in 14 pediatric subjects (aged 6 to 11 years) and the activity persisted for at least 24 hours. The clinical relevance of histamine wheal skin testing is unknown.

A QT/QTc study using a single dose of 30 mg of levocetirizine did not demonstrate an effect on the QTc interval. While a single dose of levocetirizine had no effect, the effects of levocetirizine may not be at steady state following single dose. The effect of levocetirizine on the QTc interval following multiple dose administration is unknown. Levocetirizine is not expected to have QT/QTc effects because of the results of QTc studies with cetirizine and the long postmarketing history of cetirizine without reports of QT prolongation.

12.3 Pharmacokinetics

Levocetirizine exhibited linear pharmacokinetics over the therapeutic dose range in adult healthy subjects.

5.2 Urinary Retention

Urinary retention has been reported post marketing with levocetirizine dihydrochloride. Levocetirizine dihydrochloride should be used with caution in patients with predisposing factors of urinary retention (e.g. spinal cord lesion, prostatic hyperplasia) as levocetirizine dihydrochloride may increase the risk of urinary retention. Discontinue levocetirizine dihydrochloride if urinary retention occurs.

8.7 Hepatic Impairment

As levocetirizine is mainly excreted unchanged by the kidneys, it is unlikely that the clearance of levocetirizine is significantly decreased in patients with solely hepatic impairment [see Clinical Pharmacology (12.3)].

1 Indications and Usage (1 INDICATIONS AND USAGE)

Levocetirizine dihydrochloride is a histamine H1-receptor antagonist indicated for:

  • The treatment of the uncomplicated skin manifestations of chronic idiopathic urticaria (1.2)
12.1 Mechanism of Action

Levocetirizine, the active enantiomer of cetirizine, is an antihistamine; its principal effects are mediated via selective inhibition of H1 receptors. The antihistaminic activity of levocetirizine has been documented in a variety of animal and human models. In vitro binding studies revealed that levocetirizine has an affinity for the human H1-receptor 2-fold higher than that of cetirizine (Ki = 3 nmol/L vs. 6 nmol/L, respectively). The clinical relevance of this finding is unknown.

5 Warnings and Precautions (5 WARNINGS AND PRECAUTIONS)
  • Avoid engaging in hazardous occupations requiring complete mental alertness such as driving or operating machinery when taking levocetirizine dihydrochloride. (5.1)
  • Avoid concurrent use of alcohol or other central nervous system depressants with levocetirizine dihydrochloride. (5.1)
  • Use with caution in patients with predisposing factors of urinary retention (e.g. spinal cord lesion, prostatic hyperplasia). Discontinue levocetirizine dihydrochloride if urinary retention occurs. (5.2)
2 Dosage and Administration (2 DOSAGE AND ADMINISTRATION)

Levocetirizine dihydrochloride tablets are available as 5 mg breakable (scored) tablets, allowing for the administration of 2.5 mg, if needed. Levocetirizine dihydrochloride tablets can be taken without regard to food consumption.

3 Dosage Forms and Strengths (3 DOSAGE FORMS AND STRENGTHS)

Levocetirizine dihydrochloride tablets, USP 5 mg are white, oval, biconvex, film-coated functional scored tablets debossed with "S" on the left side of bisect and "G" on the right side of bisect and other side "1" on the left side and "36" on the right side of the bisect.

6.2 Postmarketing Experience

In addition to the adverse reactions reported during clinical trials and listed above, the following adverse reactions have also been identified during postapproval use of levocetrizine dihydrochloride. Because these reactions are reported voluntarily from a population of uncertain size, it is not always possible to reliably estimate their frequency or establish a causal relationship to drug exposure.

  • Cardiac disorders: palpitations, tachycardia
  • Ear and labyrinth disorders: vertigo
  • Eye disorders: blurred vision, visual disturbances
  • Gastrointestinal disorders: nausea, vomiting
  • General disorders and administration site conditions: edema
  • Hepatobiliary disorders: hepatitis
  • Immune system disorders: anaphylaxis and hypersensitivity
  • Metabolism and nutrition disorders: increased appetite
  • Musculoskeletal, connective tissues, and bone disorders: arthralgia, myalgia
  • Nervous system disorders: dizziness, dysgeusia, febrile seizure, movement disorders (including dystonia and oculogyric crisis), paresthesia, seizure (reported in subjects with and without a known seizure disorder), tremor
  • Psychiatric disorders: aggression and agitation, depression, hallucinations, insomnia, nightmare, suicidal ideation
  • Renal and urinary disorders: dysuria, urinary retention
  • Respiratory, thoracic, and mediastinal disorders: dyspnea
  • Skin and subcutaneous tissue disorders: angioedema, fixed drug eruption, pruritis, rash and urticaria

Besides these reactions reported under treatment with levocetirizine dihydrochloride, other potentially severe adverse events have been reported from the postmarketing experience with cetirizine. Since levocetirizine is the principal pharmacologically active component of cetirizine, one should take into account the fact that the following adverse events could also potentially occur under treatment with levocetirizine dihydrochloride.

  • Cardiac disorders: severe hypotension
  • Gastrointestinal disorders: cholestasis
  • Nervous system disorders: extrapyramidal symptoms, myoclonus, orofacial dyskinesia, tic
  • Pregnancy, puerperium and perinatal conditions: stillbirth
  • Renal and urinary disorders: glomerulonephritis
  • Skin and subcutaneous tissue disorders: acute generalized exanthematous pustulosis (AGEP); rebound pruritus - pruritus within a few days after discontinuation of cetirizine, usually after long-term use (e.g. months to years) of cetirizine.
8 Use in Specific Populations (8 USE IN SPECIFIC POPULATIONS)
  • Renal Impairment

    Because levocetirizine dihydrochloride is substantially excreted by the kidneys, the risk of adverse reactions to this drug may be greater in patients with impaired renal function. (8.6, 12.3)
  • Pediatric Use

    Do not exceed the recommended doses of 2.5 mg once daily in children 6 to 11 years of age. Systemic exposure with these doses in respective pediatric age groups is comparable to that from a 5 mg once daily dose in adults. (12.3)
6.1 Clinical Trials Experience

The safety data described below reflect exposure to levocetirizine dihydrochloride in 2,708 patients with allergic rhinitis or chronic idiopathic urticaria in 14 controlled clinical trials of 1 week to 6 months duration.

The short-term (exposure up to 6 weeks) safety data for adults and adolescents are based upon eight clinical trials in which 1,896 patients (825 males and 1,071 females aged 12 years and older) were treated with levocetirizine dihydrochloride 2.5 mg, 5 mg, or 10 mg once daily in the evening.

The short-term safety data from pediatric patients are based upon two clinical trials in which 243 children with allergic rhinitis (162 males and 81 females 6 to 12 years of age) were treated with levocetirizine dihydrochloride 5 mg once daily for 4 to 6 weeks, one clinical trial in which 114 children (65 males and 49 females 1 to 5 years of age) with allergic rhinitis or chronic idiopathic urticaria were treated with levocetirizine dihydrochloride 1.25 mg twice daily for 2 weeks, and one clinical trial in which 45 children (28 males and 17 females 6 to 11 months of age) with symptoms of allergic rhinitis or chronic urticaria were treated with levocetirizine dihydrochloride 1.25 mg once daily for 2 weeks.

The long-term (exposure of 4 or 6 months) safety data in adults and adolescents are based upon two clinical trials in which 428 patients (190 males and 238 females) with allergic rhinitis were exposed to treatment with levocetirizine dihydrochloride 5 mg once daily. Long term safety data are also available from an 18-month trial in 255 levocetirizine dihydrochloride-treated subjects 12 to 24 months of age.

Because clinical trials are conducted under widely varying conditions, adverse reaction rates observed in the clinical trials of a drug cannot be directly compared to rates in the clinical trial of another drug and may not reflect the rates observed in practice.

1.2 Chronic Idiopathic Urticaria

Levocetirizine dihydrochloride tablets are indicated for the treatment of the uncomplicated skin manifestations of chronic idiopathic urticaria in adults and children 6 years of age and older.

16 How Supplied/storage and Handling (16 HOW SUPPLIED/STORAGE AND HANDLING)

Levocetirizine dihydrochloride tablets, USP 5 mg are white, oval, biconvex, film-coated functional scored tablets debossed with "S" on the left side of bisect and "G" on the right side of the bisect and other side "1" on the left side and "36" on the right side of the bisect. They are supplied in unit of use HDPE bottles.

30 tablets (NDC 71205-476-30)

60 tablets (NDC 71205-476-60)

90 tablets (NDC 71205-476-90)

4.1 Patients With Known Hypersensitivity (4.1 Patients with Known Hypersensitivity)

Patients with known hypersensitivity to levocetirizine or any of the ingredients of levocetirizine dihydrochloride tablets, or to cetirizine. Observed reactions range from urticaria to anaphylaxis [see Adverse Reactions (6.2)].

4.2 Patients With End Stage Renal Disease (4.2 Patients with End-Stage Renal Disease)

Patients with end-stage renal disease (CLCR < 10 mL/min) and patients undergoing hemodialysis

Principal Display Panel 5 Mg Tablet Bottle Label (PRINCIPAL DISPLAY PANEL - 5 mg Tablet Bottle Label)

NDC 71205-476-30

Rx Only

Levocetirizine

Dihydrochloride Tablets, USP

5 mg

For oral administration

30 Tablets

4.3 Pediatric Patients With Impaired Renal Function (4.3 Pediatric Patients with Impaired Renal Function)

Children 6 months to 11 years of age with impaired renal function

13.1 Carcinogenesis, Mutagenesis, Impairment of Fertility

No carcinogenicity studies have been performed with levocetirizine. However, evaluation of cetirizine carcinogenicity studies is relevant for determination of the carcinogenic potential of levocetirizine. In a 2-year carcinogenicity study, in rats, cetirizine was not carcinogenic at dietary doses up to 20 mg/kg (approximately 40, 40, 25, and 10 times the MRHDs in adults, children 6 to 11 years of age, children 2 to 5 years, and children 6 months to 2 years of age, respectively, on a mg/m2 basis). In a 2-year carcinogenicity study in mice, cetirizine caused an increased incidence of benign hepatic tumors in males at a dietary dose of 16 mg/kg (approximately 15, 15, 9, and 5 times the MRHDs in adults, children 6 to 11 years of age, children 2 to 5 years, and children 6 months to 2 years of age, respectively, on a mg/m2 basis). No increased incidence of benign tumors was observed at a dietary dose of 4 mg/kg (approximately 4, 4, 2, and 1 times the MRHDs in adults, children 6 to 11 years of age, children 2 to 5 years, and children 6 months to 2 years of age, respectively on a mg/m2 basis). The clinical significance of these findings during long-term use of levocetirizine dihydrochloride is not known.

Levocetirizine was not mutagenic in the Ames test, and not clastogenic in the human lymphocyte assay, the mouse lymphoma assay, and in vivo micronucleus test in mice.

Fertility and reproductive performance were unaffected in male and female mice and rats that received cetirizine at oral doses up to 64 and 200 mg/kg/day, respectively (approximately 60 and 390 times the MRHD in adults on a mg/m2 basis).

7.1 Antipyrine, Azithromycin, Cimetidine, Erythromycin, Ketoconazole, Theophylline, and Pseudoephedrine

Pharmacokinetic interaction studies performed with racemic cetirizine demonstrated that cetirizine did not interact with antipyrine, pseudoephedrine, erythromycin, azithromycin, ketoconazole, and cimetidine. There was a small decrease (~16%) in the clearance of cetirizine caused by a 400 mg dose of theophylline. It is possible that higher theophylline doses could have a greater effect.


Advanced Ingredient Data


Raw Label Data

All Sections (JSON)