These Highlights Do Not Include All The Information Needed To Use Propecia Safely And Effectively. See Full Prescribing Information For Propecia.

These Highlights Do Not Include All The Information Needed To Use Propecia Safely And Effectively. See Full Prescribing Information For Propecia.
SPL v9
SPL
SPL Set ID 6f904709-65aa-44ce-b144-b4c8a0416e36
Route
ORAL
Published
Effective Date 2024-10-14
Document Type 34391-3 HUMAN PRESCRIPTION DRUG LABEL

Drug Facts

Composition & Product

Active Ingredients
Finasteride (1 mg)
Inactive Ingredients
Lactose Monohydrate Microcrystalline Cellulose Starch, Corn Sodium Starch Glycolate Type A Potato Hypromellose, Unspecified Hydroxypropyl Cellulose (1600000 Wamw) Titanium Dioxide Magnesium Stearate Talc Docusate Sodium Ferric Oxide Yellow Ferric Oxide Red

Identifiers & Packaging

Pill Appearance
Imprint: PROPECIA;P Shape: octagon (8 sided) Color: brown Size: 7 mm Score: 1
Marketing Status
NDA Active Since 2021-06-01

Description

PROPECIA ® is indicated for the treatment of male pattern hair loss (androgenetic alopecia) in MEN ONLY . Efficacy in bitemporal recession has not been established. PROPECIA is not indicated for use in women.

Indications and Usage

PROPECIA ® is indicated for the treatment of male pattern hair loss (androgenetic alopecia) in MEN ONLY . Efficacy in bitemporal recession has not been established. PROPECIA is not indicated for use in women.

Dosage and Administration

PROPECIA may be administered with or without meals. The recommended dose of PROPECIA is one tablet (1 mg) taken once daily. In general, daily use for three months or more is necessary before benefit is observed. Continued use is recommended to sustain benefit, which should be re-evaluated periodically. Withdrawal of treatment leads to reversal of effect within 12 months.

Warnings and Precautions

PROPECIA is not indicated for use in women or pediatric patients ( 5.1 , 5.4 ). Women should not handle crushed or broken PROPECIA tablets when they are pregnant or may potentially be pregnant due to potential risk to a male fetus ( 5.1 , 8.1 , 16 ). PROPECIA causes a decrease in serum PSA levels. Any confirmed increase in PSA while on PROPECIA may signal the presence of prostate cancer and should be evaluated, even if those values are still within the normal range for men not taking a 5α-reductase inhibitor ( 5.2 ). 5α-reductase inhibitors may increase the risk of high-grade prostate cancer ( 5.3 , 6.1 ).

Contraindications

PROPECIA is contraindicated in the following: Pregnancy. Finasteride use is contraindicated in women when they are or may potentially be pregnant. Because of the ability of Type II 5α-reductase inhibitors to inhibit the conversion of testosterone to 5α-dihydrotestosterone (DHT), finasteride may cause abnormalities of the external genitalia of a male fetus of a pregnant woman who receives finasteride. If this drug is used during pregnancy, or if pregnancy occurs while taking this drug, the pregnant woman should be apprised of the potential hazard to the male fetus. [See Warnings and Precautions (5.1) , Use in Specific Populations (8.1) , How Supplied/Storage and Handling (16) and Patient Counseling Information (17) .] In female rats, low doses of finasteride administered during pregnancy have produced abnormalities of the external genitalia in male offspring. Hypersensitivity to any component of this medication.

Adverse Reactions

The most common adverse reactions, reported in ≥1% of patients treated with PROPECIA and greater than in patients treated with placebo are: decreased libido, erectile dysfunction and ejaculation disorder ( 6.1 ). To report SUSPECTED ADVERSE REACTIONS, contact Organon LLC, a subsidiary of Organon & Co., at 1-844-674-3200 or FDA at 1-800-FDA-1088 or www.fda.gov/medwatch.

Storage and Handling

PROPECIA tablets, 1 mg, are tan, octagonal, film-coated convex tablets with "stylized P" logo on one side and PROPECIA on the other. They are supplied as follows:   NDC 78206-152-01 bottles of 30 (with desiccant)   NDC 78206-152-02 PROPAK ® bottles of 90 (with desiccant).

How Supplied

PROPECIA tablets, 1 mg, are tan, octagonal, film-coated convex tablets with "stylized P" logo on one side and PROPECIA on the other. They are supplied as follows:   NDC 78206-152-01 bottles of 30 (with desiccant)   NDC 78206-152-02 PROPAK ® bottles of 90 (with desiccant).


Medication Information

Warnings and Precautions

PROPECIA is not indicated for use in women or pediatric patients ( 5.1 , 5.4 ). Women should not handle crushed or broken PROPECIA tablets when they are pregnant or may potentially be pregnant due to potential risk to a male fetus ( 5.1 , 8.1 , 16 ). PROPECIA causes a decrease in serum PSA levels. Any confirmed increase in PSA while on PROPECIA may signal the presence of prostate cancer and should be evaluated, even if those values are still within the normal range for men not taking a 5α-reductase inhibitor ( 5.2 ). 5α-reductase inhibitors may increase the risk of high-grade prostate cancer ( 5.3 , 6.1 ).

Indications and Usage

PROPECIA ® is indicated for the treatment of male pattern hair loss (androgenetic alopecia) in MEN ONLY . Efficacy in bitemporal recession has not been established. PROPECIA is not indicated for use in women.

Dosage and Administration

PROPECIA may be administered with or without meals. The recommended dose of PROPECIA is one tablet (1 mg) taken once daily. In general, daily use for three months or more is necessary before benefit is observed. Continued use is recommended to sustain benefit, which should be re-evaluated periodically. Withdrawal of treatment leads to reversal of effect within 12 months.

Contraindications

PROPECIA is contraindicated in the following: Pregnancy. Finasteride use is contraindicated in women when they are or may potentially be pregnant. Because of the ability of Type II 5α-reductase inhibitors to inhibit the conversion of testosterone to 5α-dihydrotestosterone (DHT), finasteride may cause abnormalities of the external genitalia of a male fetus of a pregnant woman who receives finasteride. If this drug is used during pregnancy, or if pregnancy occurs while taking this drug, the pregnant woman should be apprised of the potential hazard to the male fetus. [See Warnings and Precautions (5.1) , Use in Specific Populations (8.1) , How Supplied/Storage and Handling (16) and Patient Counseling Information (17) .] In female rats, low doses of finasteride administered during pregnancy have produced abnormalities of the external genitalia in male offspring. Hypersensitivity to any component of this medication.

Adverse Reactions

The most common adverse reactions, reported in ≥1% of patients treated with PROPECIA and greater than in patients treated with placebo are: decreased libido, erectile dysfunction and ejaculation disorder ( 6.1 ). To report SUSPECTED ADVERSE REACTIONS, contact Organon LLC, a subsidiary of Organon & Co., at 1-844-674-3200 or FDA at 1-800-FDA-1088 or www.fda.gov/medwatch.

Storage and Handling

PROPECIA tablets, 1 mg, are tan, octagonal, film-coated convex tablets with "stylized P" logo on one side and PROPECIA on the other. They are supplied as follows:   NDC 78206-152-01 bottles of 30 (with desiccant)   NDC 78206-152-02 PROPAK ® bottles of 90 (with desiccant).

How Supplied

PROPECIA tablets, 1 mg, are tan, octagonal, film-coated convex tablets with "stylized P" logo on one side and PROPECIA on the other. They are supplied as follows:   NDC 78206-152-01 bottles of 30 (with desiccant)   NDC 78206-152-02 PROPAK ® bottles of 90 (with desiccant).

Description

PROPECIA ® is indicated for the treatment of male pattern hair loss (androgenetic alopecia) in MEN ONLY . Efficacy in bitemporal recession has not been established. PROPECIA is not indicated for use in women.

Section 34077-8

Pregnancy Category X [see Contraindications (4)]. PROPECIA is contraindicated for use in women who are or may become pregnant. PROPECIA is a Type II 5α-reductase inhibitor that prevents conversion of testosterone to 5α-dihydrotestosterone (DHT), a hormone necessary for normal development of male genitalia. In animal studies, finasteride caused abnormal development of external genitalia in male fetuses. If this drug is used during pregnancy, or if the patient becomes pregnant while taking this drug, the patient should be apprised of the potential hazard to the male fetus.

Abnormal male genital development is an expected consequence when conversion of testosterone to 5α-dihydrotestosterone (DHT) is inhibited by 5α-reductase inhibitors. These outcomes are similar to those reported in male infants with genetic 5α-reductase deficiency. Women could be exposed to finasteride through contact with crushed or broken PROPECIA tablets or semen from a male partner taking PROPECIA. With regard to finasteride exposure through the skin, PROPECIA tablets are coated and will prevent skin contact with finasteride during normal handling if the tablets have not been crushed or broken. Women who are pregnant or may become pregnant should not handle crushed or broken PROPECIA tablets because of possible exposure of a male fetus. If a pregnant woman comes in contact with crushed or broken PROPECIA tablets, the contact area should be washed immediately with soap and water. With regard to potential finasteride exposure through semen, a study has been conducted in men receiving PROPECIA 1 mg/day that measured finasteride concentrations in semen [see Clinical Pharmacology (12.3)].

In an embryo-fetal development study, pregnant rats received finasteride during the period of major organogenesis (gestation days 6 to 17). At maternal doses of oral finasteride approximately 1 to 684 times the recommended human dose (RHD) of 1 mg/day (based on AUC at animal doses of 0.1 to 100 mg/kg/day) there was a dose-dependent increase in hypospadias that occurred in 3.6 to 100% of male offspring. Exposure multiples were estimated using data from nonpregnant rats. Days 16 to 17 of gestation is a critical period in male fetal rats for differentiation of the external genitalia. At oral maternal doses approximately 0.2 times the RHD (based on AUC at animal dose of 0.03 mg/kg/day), male offspring had decreased prostatic and seminal vesicular weights, delayed preputial separation and transient nipple development. Decreased anogenital distance occurred in male offspring of pregnant rats that received approximately 0.02 times the RHD (based on AUC at animal dose of 0.003 mg/kg/day). No abnormalities were observed in female offspring exposed to any dose of finasteride in utero.

No developmental abnormalities were observed in the offspring of untreated females mated with finasteride-treated male rats that received approximately 488 times the RHD (based on AUC at animal dose of 80 mg/kg/day). Slightly decreased fertility was observed in male offspring after administration of about 20 times the RHD (based on AUC at animal dose of 3 mg/kg/day) to female rats during late gestation and lactation. No effects on fertility were seen in female offspring under these conditions.

No evidence of male external genital malformations or other abnormalities were observed in rabbit fetuses exposed to finasteride during the period of major organogenesis (gestation days 6-18) at maternal doses up to 100 mg/kg/day (finasteride exposure levels were not measured in rabbits). However, this study may not have included the critical period for finasteride effects on development of male external genitalia in the rabbit.

The fetal effects of maternal finasteride exposure during the period of embryonic and fetal development were evaluated in the rhesus monkey (gestation days 20-100), in a species and development period more predictive of specific effects in humans than the studies in rats and rabbits. Intravenous administration of finasteride to pregnant monkeys at doses as high as 800 ng/day (estimated maximal blood concentration of 1.86 ng/mL or about 930 times the highest estimated exposure of pregnant women to finasteride from semen of men taking 1 mg/day) resulted in no abnormalities in male fetuses. In confirmation of the relevance of the rhesus model for human fetal development, oral administration of a dose of finasteride (2 mg/kg/day or approximately 120,000 times the highest estimated blood levels of finasteride from semen of men taking 1 mg/day) to pregnant monkeys resulted in external genital abnormalities in male fetuses. No other abnormalities were observed in male fetuses and no finasteride-related abnormalities were observed in female fetuses at any dose.

Section 42229-5

Clinical Studies for PROPECIA (finasteride 1 mg) in the Treatment of Male Pattern Hair Loss

In three controlled clinical trials for PROPECIA of 12-month duration, 1.4% of patients taking PROPECIA (n=945) were discontinued due to adverse experiences that were considered to be possibly, probably or definitely drug-related (1.6% for placebo; n=934).

Clinical adverse experiences that were reported as possibly, probably or definitely drug-related in ≥1% of patients treated with PROPECIA or placebo are presented in Table 1.

TABLE 1: Drug-Related Adverse Experiences for PROPECIA (finasteride 1 mg) in Year 1 (%) MALE PATTERN HAIR LOSS
PROPECIA

N=945
Placebo

N=934
Decreased Libido 1.8 1.3
Erectile Dysfunction 1.3 0.7
Ejaculation Disorder

  (Decreased Volume of Ejaculate)
1.2

(0.8)
0.7

(0.4)
Discontinuation due to drug-related sexual adverse experiences 1.2 0.9

Integrated analysis of clinical adverse experiences showed that during treatment with PROPECIA, 36 (3.8%) of 945 men had reported one or more of these adverse experiences as compared to 20 (2.1%) of 934 men treated with placebo (p=0.04). Resolution occurred in men who discontinued therapy with PROPECIA due to these side effects and in most of those who continued therapy. The incidence of each of the above adverse experiences decreased to ≤0.3% by the fifth year of treatment with PROPECIA.

In a study of finasteride 1 mg daily in healthy men, a median decrease in ejaculate volume of 0.3 mL (-11%) compared with 0.2 mL (-8%) for placebo was observed after 48 weeks of treatment. Two other studies showed that finasteride at 5 times the dosage of PROPECIA (5 mg daily) produced significant median decreases of approximately 0.5 mL (-25%) compared to placebo in ejaculate volume, but this was reversible after discontinuation of treatment.

In the clinical studies with PROPECIA, the incidences for breast tenderness and enlargement, hypersensitivity reactions, and testicular pain in finasteride-treated patients were not different from those in patients treated with placebo.

Section 42230-3

Patient Information

PROPECIA (Pro-pee-sha)

(finasteride)

Tablets

PROPECIA ® is for use by MEN ONLY and should NOT be used by women or children.

Read this Patient Information before you start taking PROPECIA and each time you get a refill. There may be new information. This information does not take the place of talking with your healthcare provider about your medical condition or treatment.

What is PROPECIA?

PROPECIA is a prescription medicine used for the treatment of male pattern hair loss (androgenetic alopecia).

  •  
    It is not known if PROPECIA works for a receding hairline on either side of and above your forehead (temporal area).



  •  
    PROPECIA is not for use by women and children.

Who should not take PROPECIA?

Do not take PROPECIA if you:

  • are pregnant or may become pregnant. PROPECIA may harm your unborn baby.
    • PROPECIA tablets are coated and will prevent contact with the medicine during handling, as long as the tablets are not broken or crushed. Females who are pregnant or who may become pregnant should not come in contact with broken or crushed PROPECIA tablets. If a pregnant woman comes in contact with crushed or broken PROPECIA tablets, wash the contact area right away with soap and water. If a woman who is pregnant comes into contact with the active ingredient in PROPECIA, a healthcare provider should be consulted.
    • If a woman who is pregnant with a male baby swallows or comes in contact with the medicine in PROPECIA, the male baby may be born with sex organs that are not normal.
  • are allergic to any of the ingredients in PROPECIA. See the end of this leaflet for a complete list of ingredients in PROPECIA.

What should I tell my healthcare provider before taking PROPECIA?

Before taking PROPECIA, tell your healthcare provider if you:

  • have any other medical conditions, including problems with your prostate or liver

Tell your healthcare provider about all the medicines you take, including prescription and non-prescription medicines, vitamins, and herbal supplements.

Know the medicines you take. Keep a list of them to show your healthcare provider and pharmacist when you get a new medicine.

How should I take PROPECIA?

  • Take PROPECIA exactly as your healthcare provider tells you to take it.
  • You may take PROPECIA with or without food.
  • If you forget to take PROPECIA, do not take an extra tablet. Just take the next tablet as usual.

PROPECIA will not work faster or better if you take it more than once a day.

What are the possible side effects of PROPECIA?

  • decrease in your blood Prostate Specific Antigen (PSA) levels. PROPECIA can affect a blood test called PSA (Prostate-Specific Antigen) for the screening of prostate cancer. If you have a PSA test done you should tell your healthcare provider that you are taking PROPECIA because PROPECIA decreases PSA levels. Changes in PSA levels will need to be evaluated by your healthcare provider. Any increase in follow-up PSA levels from their lowest point may signal the presence of prostate cancer and should be evaluated, even if the test results are still within the normal range for men not taking PROPECIA. You should also tell your healthcare provider if you have not been taking PROPECIA as prescribed because this may affect the PSA test results. For more information, talk to your healthcare provider.
  • There may be an increased risk of a more serious form of prostate cancer in men taking finasteride at 5 times the dose of PROPECIA.

The most common side effects of PROPECIA include:

  • decrease in sex drive
  • trouble getting or keeping an erection
  • a decrease in the amount of semen

The following have been reported in general use with PROPECIA:

  • breast tenderness and enlargement. Tell your healthcare provider about any changes in your breasts such as lumps, pain or nipple discharge.
  • depression;
  • suicidal thoughts;
  • decrease in sex drive that continued after stopping the medication;
  • allergic reactions including rash, itching, hives and swelling of the lips, tongue, throat, and face;
  • problems with ejaculation that continued after stopping medication;
  • testicular pain;
  • blood in semen;
  • difficulty in achieving an erection that continued after stopping the medication;
  • male infertility and/or poor quality of semen.
  • in rare cases, male breast cancer.

Tell your healthcare provider if you have any side effect that bothers you or that does not go away.

These are not all the possible side effects of PROPECIA. For more information, ask your healthcare provider or pharmacist.

Call your doctor for medical advice about side effects. You may report side effects to FDA at 1-800-FDA-1088.

How should I store PROPECIA?

  • Store PROPECIA at room temperature between 59°F to 86°F (15°C to 30°C).
  • Keep PROPECIA in a closed container and keep PROPECIA tablets dry (protect from moisture).

Keep PROPECIA and all medicines out of the reach of children.

General information about the safe and effective use of PROPECIA.

Medicines are sometimes prescribed for purposes other than those listed in this Patient Information leaflet. Do not use PROPECIA for a condition for which it was not prescribed. Do not give PROPECIA to other people, even if they have the same symptoms you have. It may harm them.

This Patient Information leaflet summarizes the most important information about PROPECIA. If you would like more information, talk with your healthcare provider. You can ask your pharmacist or healthcare provider for information about PROPECIA that is written for health professionals. For more information, call 1-844-674-3200.

What are the ingredients in PROPECIA?

Active ingredient: finasteride.

Inactive ingredients: lactose monohydrate, microcrystalline cellulose, pregelatinized starch, sodium starch glycolate, hydroxypropyl methylcellulose, hydroxypropyl cellulose, titanium dioxide, magnesium stearate, talc, docusate sodium, yellow ferric oxide, and red ferric oxide.

This Patient Information has been approved by the U.S. Food and Drug Administration.

Section 44425-7

Storage and Handling

Store at room temperature, 15-30°C (59-86°F). Keep container closed and protect from moisture.

Women should not handle crushed or broken PROPECIA tablets when they are pregnant or may potentially be pregnant because of the possibility of absorption of finasteride and the subsequent potential risk to a male fetus. PROPECIA tablets are coated and will prevent contact with the active ingredient during normal handling, provided that the tablets are not broken or crushed [see Warnings and Precautions (5.1), Use in Specific Populations (8.1) and Patient Counseling Information (17)].

10 Overdosage

In clinical studies, single doses of finasteride up to 400 mg and multiple doses of finasteride up to 80 mg/day for three months did not result in adverse reactions. Until further experience is obtained, no specific treatment for an overdose with finasteride can be recommended.

Significant lethality was observed in male and female mice at single oral doses of 1500 mg/m2 (500 mg/kg) and in female and male rats at single oral doses of 2360 mg/m2 (400 mg/kg) and 5900 mg/m2 (1000 mg/kg), respectively.

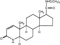
11 Description

PROPECIA (finasteride) tablets contain finasteride as the active ingredient. Finasteride, a synthetic 4-azasteroid compound, is a specific inhibitor of steroid Type II 5α-reductase, an intracellular enzyme that converts the androgen testosterone into 5α-dihydrotestosterone (DHT).

The chemical name of finasteride is N-tert-Butyl-3-oxo-4-aza-5α-androst-1-ene-17β-carboxamide. The empirical formula of finasteride is C23H36N2O2 and its molecular weight is 372.55. Its structural formula is:

Finasteride is a white crystalline powder with a melting point near 250°C. It is freely soluble in chloroform and in lower alcohol solvents but is practically insoluble in water.

PROPECIA (finasteride) tablets are film-coated tablets for oral administration. Each tablet contains 1 mg of finasteride and the following inactive ingredients: lactose monohydrate, microcrystalline cellulose, pregelatinized starch, sodium starch glycolate, hydroxypropyl methylcellulose, hydroxypropyl cellulose, titanium dioxide, magnesium stearate, talc, docusate sodium, yellow ferric oxide, and red ferric oxide.

8.4 Pediatric Use

PROPECIA is not indicated for use in pediatric patients.

Safety and effectiveness in pediatric patients have not been established.

8.5 Geriatric Use

Clinical efficacy studies with PROPECIA did not include subjects aged 65 and over. Based on the pharmacokinetics of finasteride 5 mg, no dosage adjustment is necessary in the elderly for PROPECIA [see Clinical Pharmacology (12.3)]. However, the efficacy of PROPECIA in the elderly has not been established.

14.1 Studies in Men

The efficacy of PROPECIA was demonstrated in men (88% Caucasian) with mild to moderate androgenetic alopecia (male pattern hair loss) between 18 and 41 years of age. In order to prevent seborrheic dermatitis which might confound the assessment of hair growth in these studies, all men, whether treated with finasteride or placebo, were instructed to use a specified, medicated, tar-based shampoo (Neutrogena T/Gel® Shampoo) during the first 2 years of the studies.

There were three double-blind, randomized, placebo-controlled studies of 12-month duration. The two primary endpoints were hair count and patient self-assessment; the two secondary endpoints were investigator assessment and ratings of photographs. In addition, information was collected regarding sexual function (based on a self-administered questionnaire) and non-scalp body hair growth. The three studies were conducted in 1879 men with mild to moderate, but not complete, hair loss. Two of the studies enrolled men with predominantly mild to moderate vertex hair loss (n=1553). The third enrolled men having mild to moderate hair loss in the anterior mid-scalp area with or without vertex balding (n=326).

14.2 Study in Women

In a study involving 137 postmenopausal women with androgenetic alopecia who were treated with PROPECIA (n=67) or placebo (n=70) for 12 months, effectiveness could not be demonstrated. There was no improvement in hair counts, patient self-assessment, investigator assessment, or ratings of standardized photographs in the women treated with PROPECIA when compared with the placebo group [see Indications and Usage (1)].

4 Contraindications

PROPECIA is contraindicated in the following:

  • Pregnancy. Finasteride use is contraindicated in women when they are or may potentially be pregnant. Because of the ability of Type II 5α-reductase inhibitors to inhibit the conversion of testosterone to 5α-dihydrotestosterone (DHT), finasteride may cause abnormalities of the external genitalia of a male fetus of a pregnant woman who receives finasteride. If this drug is used during pregnancy, or if pregnancy occurs while taking this drug, the pregnant woman should be apprised of the potential hazard to the male fetus. [See Warnings and Precautions (5.1), Use in Specific Populations (8.1), How Supplied/Storage and Handling (16) and Patient Counseling Information (17).] In female rats, low doses of finasteride administered during pregnancy have produced abnormalities of the external genitalia in male offspring.
  • Hypersensitivity to any component of this medication.
6 Adverse Reactions

The most common adverse reactions, reported in ≥1% of patients treated with PROPECIA and greater than in patients treated with placebo are: decreased libido, erectile dysfunction and ejaculation disorder (6.1).



To report SUSPECTED ADVERSE REACTIONS, contact Organon LLC, a subsidiary of Organon & Co., at 1-844-674-3200 or FDA at 1-800-FDA-1088 or www.fda.gov/medwatch.

8.3 Nursing Mothers

PROPECIA is not indicated for use in women.

It is not known whether finasteride is excreted in human milk.

8.7 Renal Impairment

No dosage adjustment is necessary in patients with renal impairment [see Clinical Pharmacology (12.3)].

12.2 Pharmacodynamics

Finasteride produces a rapid reduction in serum DHT concentration, reaching 65% suppression within 24 hours of oral dosing with a 1-mg tablet. Mean circulating levels of testosterone and estradiol were increased by approximately 15% as compared to baseline, but these remained within the physiologic range.

Finasteride has no affinity for the androgen receptor and has no androgenic, antiandrogenic, estrogenic, antiestrogenic, or progestational effects. The relationship between these pharmacodynamic activities and the mechanisms(s) by which PROPECIA exerts its clinical effect is unknown. In studies with finasteride, no clinically meaningful changes in luteinizing hormone (LH), follicle-stimulating hormone (FSH) or prolactin were detected. In healthy volunteers, treatment with finasteride did not alter the response of LH and FSH to gonadotropin-releasing hormone indicating that the hypothalamic-pituitary-testicular axis was not affected. Finasteride had no effect on circulating levels of cortisol, thyroid-stimulating hormone, or thyroxine, nor did it affect the plasma lipid profile (e.g., total cholesterol, low-density lipoproteins, high-density lipoproteins and triglycerides) or bone mineral density.

5.4 Pediatric Patients

PROPECIA is not indicated for use in pediatric patients [see Use in Specific Populations (8.4)].

8.6 Hepatic Impairment

Caution should be exercised in the administration of PROPECIA in those patients with liver function abnormalities, as finasteride is metabolized extensively in the liver [see Clinical Pharmacology (12.3)].

1 Indications and Usage

PROPECIA® is indicated for the treatment of male pattern hair loss (androgenetic alopecia) in MEN ONLY.

Efficacy in bitemporal recession has not been established.

PROPECIA is not indicated for use in women.

12.1 Mechanism of Action

Finasteride is a competitive and specific inhibitor of Type II 5α-reductase, an intracellular enzyme that converts the androgen testosterone into DHT. Two distinct isozymes are found in mice, rats, monkeys, and humans: Type I and II. Each of these isozymes is differentially expressed in tissues and developmental stages. In humans, Type I 5α-reductase is predominant in the sebaceous glands of most regions of skin, including scalp, and liver. Type I 5α-reductase is responsible for approximately one-third of circulating DHT. The Type II 5α-reductase isozyme is primarily found in prostate, seminal vesicles, epididymides, and hair follicles as well as liver, and is responsible for two-thirds of circulating DHT.

In humans, the mechanism of action of finasteride is based on its preferential inhibition of the Type II isozyme. Using native tissues (scalp and prostate), in vitro binding studies examining the potential of finasteride to inhibit either isozyme revealed a 100-fold selectivity for the human Type II 5α-reductase over Type I isozyme (IC50=500 and 4.2 nM for Type I and II, respectively). For both isozymes, the inhibition by finasteride is accompanied by reduction of the inhibitor to dihydrofinasteride and adduct formation with NADP+. The turnover for the enzyme complex is slow (t1/2 approximately 30 days for the Type II enzyme complex and 14 days for the Type I complex). Inhibition of Type II 5α-reductase blocks the peripheral conversion of testosterone to DHT, resulting in significant decreases in serum and tissue DHT concentrations.

In men with male pattern hair loss (androgenetic alopecia), the balding scalp contains miniaturized hair follicles and increased amounts of DHT compared with hairy scalp. Administration of finasteride decreases scalp and serum DHT concentrations in these men. The relative contributions of these reductions to the treatment effect of finasteride have not been defined. By this mechanism, finasteride appears to interrupt a key factor in the development of androgenetic alopecia in those patients genetically predisposed.

5 Warnings and Precautions
  • PROPECIA is not indicated for use in women or pediatric patients (5.1, 5.4).
  • Women should not handle crushed or broken PROPECIA tablets when they are pregnant or may potentially be pregnant due to potential risk to a male fetus (5.1, 8.1, 16).
  • PROPECIA causes a decrease in serum PSA levels. Any confirmed increase in PSA while on PROPECIA may signal the presence of prostate cancer and should be evaluated, even if those values are still within the normal range for men not taking a 5α-reductase inhibitor (5.2).
  • 5α-reductase inhibitors may increase the risk of high-grade prostate cancer (5.3, 6.1).
2 Dosage and Administration

PROPECIA may be administered with or without meals.

The recommended dose of PROPECIA is one tablet (1 mg) taken once daily.

In general, daily use for three months or more is necessary before benefit is observed. Continued use is recommended to sustain benefit, which should be re-evaluated periodically. Withdrawal of treatment leads to reversal of effect within 12 months.

3 Dosage Forms and Strengths

PROPECIA tablets (1 mg) are tan, octagonal, film-coated convex tablets with "stylized P" logo on one side and PROPECIA on the other.

6.2 Postmarketing Experience

The following adverse reactions have been identified during post approval use of PROPECIA. Because these reactions are reported voluntarily from a population of uncertain size, it is not always possible to reliably estimate their frequency or establish a causal relationship to drug exposure:

Hypersensitivity Reaction : hypersensitivity reactions such as rash, pruritus, urticaria, and angioedema (including swelling of the lips, tongue, throat, and face);

Reproductive System: sexual dysfunction that continued after discontinuation of treatment, including erectile dysfunction, libido disorders, ejaculation disorders, and orgasm disorders; male infertility and/or poor seminal quality (normalization or improvement of seminal quality has been reported after discontinuation of finasteride); testicular pain; hematospermia.

Neoplasms: male breast cancer;

Breast disorders: breast tenderness and enlargement;

Nervous System/Psychiatric: depression, suicidal ideation and behavior.

7.2 Other Concomitant Therapy

Although specific interaction studies were not performed, finasteride doses of 1 mg or more were concomitantly used in clinical studies with acetaminophen, acetylsalicylic acid, α-blockers, analgesics, angiotensin-converting enzyme (ACE) inhibitors, anticonvulsants, benzodiazepines, beta blockers, calcium-channel blockers, cardiac nitrates, diuretics, H2 antagonists, HMG-CoA reductase inhibitors, prostaglandin synthetase inhibitors (also referred to as NSAIDs), and quinolone anti-infectives without evidence of clinically significant adverse interactions.

6.1 Clinical Trials Experience

Because clinical trials are conducted under widely varying conditions, adverse reaction rates observed in the clinical trials of a drug cannot be directly compared to rates in the clinical trials of another drug and may not reflect the rates observed in clinical practice.

17 Patient Counseling Information

Advise the patient to read the FDA-approved patient labeling (Patient Information).

Exposure of Women — Risk to Male Fetus

Physicians should inform patients that women who are pregnant or may potentially be pregnant should not handle crushed or broken PROPECIA tablets because of the possibility of absorption of finasteride and the subsequent potential risk to a male fetus. PROPECIA tablets are coated and will prevent contact with the active ingredient during normal handling, provided that the tablets have not been broken or crushed. If a woman who is pregnant or may potentially be pregnant comes in contact with crushed or broken PROPECIA tablets, the contact area should be washed immediately with soap and water [see Contraindications (4), Warnings and Precautions (5.1), Use in Specific Populations (8.1) and How Supplied/Storage and Handling (16)].

Increased Risk of High-Grade Prostate Cancer

Patients should be informed that there was an increase in high-grade prostate cancer in men treated with 5α-reductase inhibitors indicated for BPH treatment, compared to those treated with placebo in studies looking at the use of these drugs to prevent prostate cancer [see Warnings and Precautions (5.3) and Adverse Reactions (6.1)].

Sexual Adverse events

Physicians should inform the patients that PROPECIA may cause symptoms of sexual dysfunction such as decreased libido, erectile dysfunction, and ejaculation disorder, including decreased ejaculate volume.

Additional Instructions

Physicians should instruct their patients to promptly report any changes in their breasts such as lumps, pain or nipple discharge. Breast changes including breast enlargement, tenderness and neoplasm have been reported [see Adverse Reactions (6.1)].

Physicians should instruct their patients to read the patient package insert before starting therapy with PROPECIA and to read it again each time the prescription is renewed so that they are aware of current information for patients regarding PROPECIA.

16 How Supplied/storage and Handling

PROPECIA tablets, 1 mg, are tan, octagonal, film-coated convex tablets with "stylized P" logo on one side and PROPECIA on the other. They are supplied as follows:

  •  
    NDC 78206-152-01 bottles of 30 (with desiccant)
  •  
    NDC 78206-152-02 PROPAK® bottles of 90 (with desiccant).
5.1 Exposure of Women — Risk to Male Fetus

PROPECIA is not indicated for use in women. Women should not handle crushed or broken PROPECIA tablets when they are pregnant or may potentially be pregnant because of the possibility of absorption of finasteride and the subsequent potential risk to a male fetus. PROPECIA tablets are coated and will prevent contact with the active ingredient during normal handling, provided that the tablets have not been broken or crushed. [See Indications and Usage (1), Contraindications (4), Use in Specific Populations (8.1), How Supplied/Storage and Handling (16) and Patient Counseling Information (17).]

5.2 Effects On Prostate Specific Antigen (psa)

In clinical studies with PROPECIA (finasteride, 1 mg) in men 18-41 years of age, the mean value of serum prostate specific antigen (PSA) decreased from 0.7 ng/mL at baseline to 0.5 ng/mL at Month 12. Further, in clinical studies with PROSCAR (finasteride, 5 mg) when used in older men who have benign prostatic hyperplasia (BPH), PSA levels are decreased by approximately 50%. Other studies with PROSCAR showed it may also cause decreases in serum PSA in the presence of prostate cancer. These findings should be taken into account for proper interpretation of serum PSA when evaluating men treated with finasteride. Any confirmed increase from the lowest PSA value while on PROPECIA may signal the presence of prostate cancer and should be evaluated, even if PSA levels are still within the normal range for men not taking a 5α-reductase inhibitor. Non-compliance to therapy with PROPECIA may also affect PSA test results.

Principal Display Panel 1 Mg Tablet Bottle Label

NDC 78206-152-01

Propecia®

(finasteride) Tablets

1 mg

Each tablet contains 1 mg finasteride.

Warning: PROPECIA® (finasteride) should

not be used by women or children. Women

who are or may potentially be pregnant

must not use PROPECIA. They should also

not handle crushed or broken tablets of

PROPECIA. (See Package Insert.)

Rx only

30 Tablets

13.1 Carcinogenesis, Mutagenesis, Impairment of Fertility

No evidence of a tumorigenic effect was observed in a 24-month study in Sprague-Dawley rats receiving doses of finasteride up to 160 mg/kg/day in males and 320 mg/kg/day in females. These doses produced respective systemic exposure in rats of 888 and 2192 times those observed in man receiving the recommended human dose of 1 mg/day. All exposure calculations were based on calculated AUC(0-24 hr) for animals and mean AUC(0-24 hr) for man (0.05 µg∙hr/mL).

In a 19-month carcinogenicity study in CD-1 mice, a statistically significant (p≤0.05) increase in the incidence of testicular Leydig cell adenomas was observed at 1824 times the human exposure (250 mg/kg/day). In mice at 184 times the human exposure, estimated (25 mg/kg/day) and in rats at 312 times the human exposure (≥40 mg/kg/day) an increase in the incidence of Leydig cell hyperplasia was observed. A positive correlation between the proliferative changes in the Leydig cells and an increase in serum LH levels (2- to 3-fold above control) has been demonstrated in both rodent species treated with high doses of finasteride. No drug-related Leydig cell changes were seen in either rats or dogs treated with finasteride for 1 year at 240 and 2800 times (20 mg/kg/day and 45 mg/kg/day, respectively), or in mice treated for 19 months at 18.4 times the human exposure, estimated (2.5 mg/kg/day).

No evidence of mutagenicity was observed in an in vitro bacterial mutagenesis assay, a mammalian cell mutagenesis assay, or in an in vitro alkaline elution assay. In an in vitro chromosome aberration assay, using Chinese hamster ovary cells, there was a slight increase in chromosome aberrations. In an in vivo chromosome aberration assay in mice, no treatment-related increase in chromosome aberration was observed with finasteride at the maximum tolerated dose of 250 mg/kg/day (1824 times the human exposure) as determined in the carcinogenicity studies.

In sexually mature male rabbits treated with finasteride at 4344 times the human exposure (80 mg/kg/day) for up to 12 weeks, no effect on fertility, sperm count, or ejaculate volume was seen. In sexually mature male rats treated with 488 times the human exposure (80 mg/kg/day), there were no significant effects on fertility after 6 or 12 weeks of treatment; however, when treatment was continued for up to 24 or 30 weeks, there was an apparent decrease in fertility, fecundity, and an associated significant decrease in the weights of the seminal vesicles and prostate. All these effects were reversible within 6 weeks of discontinuation of treatment. No drug-related effect on testes or on mating performance has been seen in rats or rabbits. This decrease in fertility in finasteride-treated rats is secondary to its effect on accessory sex organs (prostate and seminal vesicles) resulting in failure to form a seminal plug. The seminal plug is essential for normal fertility in rats but is not relevant in man.

7.1 Cytochrome P450 Linked Drug Metabolizing Enzyme System

No drug interactions of clinical importance have been identified. Finasteride does not appear to affect the cytochrome P450-linked drug-metabolizing enzyme system. Compounds that have been tested in man include antipyrine, digoxin, propranolol, theophylline, and warfarin and no clinically meaningful interactions were found.

5.3 Increased Risk of High Grade Prostate Cancer With 5α Reductase Inhibitors

Men aged 55 and over with a normal digital rectal examination and PSA ≤3.0 ng/mL at baseline taking finasteride 5 mg/day (5 times the dose of PROPECIA) in the 7-year Prostate Cancer Prevention Trial (PCPT) had an increased risk of Gleason score 8-10 prostate cancer (finasteride 1.8% vs placebo 1.1%). [See Adverse Reactions (6.1) .] Similar results were observed in a 4-year placebo-controlled clinical trial with another 5α-reductase inhibitor (dutasteride, AVODART) (1% dutasteride vs 0.5% placebo). 5α-reductase inhibitors may increase the risk of development of high-grade prostate cancer. Whether the effect of 5α-reductase inhibitors to reduce prostate volume, or study-related factors, impacted the results of these studies has not been established.


Structured Label Content

Section 34077-8 (34077-8)

Pregnancy Category X [see Contraindications (4)]. PROPECIA is contraindicated for use in women who are or may become pregnant. PROPECIA is a Type II 5α-reductase inhibitor that prevents conversion of testosterone to 5α-dihydrotestosterone (DHT), a hormone necessary for normal development of male genitalia. In animal studies, finasteride caused abnormal development of external genitalia in male fetuses. If this drug is used during pregnancy, or if the patient becomes pregnant while taking this drug, the patient should be apprised of the potential hazard to the male fetus.

Abnormal male genital development is an expected consequence when conversion of testosterone to 5α-dihydrotestosterone (DHT) is inhibited by 5α-reductase inhibitors. These outcomes are similar to those reported in male infants with genetic 5α-reductase deficiency. Women could be exposed to finasteride through contact with crushed or broken PROPECIA tablets or semen from a male partner taking PROPECIA. With regard to finasteride exposure through the skin, PROPECIA tablets are coated and will prevent skin contact with finasteride during normal handling if the tablets have not been crushed or broken. Women who are pregnant or may become pregnant should not handle crushed or broken PROPECIA tablets because of possible exposure of a male fetus. If a pregnant woman comes in contact with crushed or broken PROPECIA tablets, the contact area should be washed immediately with soap and water. With regard to potential finasteride exposure through semen, a study has been conducted in men receiving PROPECIA 1 mg/day that measured finasteride concentrations in semen [see Clinical Pharmacology (12.3)].

In an embryo-fetal development study, pregnant rats received finasteride during the period of major organogenesis (gestation days 6 to 17). At maternal doses of oral finasteride approximately 1 to 684 times the recommended human dose (RHD) of 1 mg/day (based on AUC at animal doses of 0.1 to 100 mg/kg/day) there was a dose-dependent increase in hypospadias that occurred in 3.6 to 100% of male offspring. Exposure multiples were estimated using data from nonpregnant rats. Days 16 to 17 of gestation is a critical period in male fetal rats for differentiation of the external genitalia. At oral maternal doses approximately 0.2 times the RHD (based on AUC at animal dose of 0.03 mg/kg/day), male offspring had decreased prostatic and seminal vesicular weights, delayed preputial separation and transient nipple development. Decreased anogenital distance occurred in male offspring of pregnant rats that received approximately 0.02 times the RHD (based on AUC at animal dose of 0.003 mg/kg/day). No abnormalities were observed in female offspring exposed to any dose of finasteride in utero.

No developmental abnormalities were observed in the offspring of untreated females mated with finasteride-treated male rats that received approximately 488 times the RHD (based on AUC at animal dose of 80 mg/kg/day). Slightly decreased fertility was observed in male offspring after administration of about 20 times the RHD (based on AUC at animal dose of 3 mg/kg/day) to female rats during late gestation and lactation. No effects on fertility were seen in female offspring under these conditions.

No evidence of male external genital malformations or other abnormalities were observed in rabbit fetuses exposed to finasteride during the period of major organogenesis (gestation days 6-18) at maternal doses up to 100 mg/kg/day (finasteride exposure levels were not measured in rabbits). However, this study may not have included the critical period for finasteride effects on development of male external genitalia in the rabbit.

The fetal effects of maternal finasteride exposure during the period of embryonic and fetal development were evaluated in the rhesus monkey (gestation days 20-100), in a species and development period more predictive of specific effects in humans than the studies in rats and rabbits. Intravenous administration of finasteride to pregnant monkeys at doses as high as 800 ng/day (estimated maximal blood concentration of 1.86 ng/mL or about 930 times the highest estimated exposure of pregnant women to finasteride from semen of men taking 1 mg/day) resulted in no abnormalities in male fetuses. In confirmation of the relevance of the rhesus model for human fetal development, oral administration of a dose of finasteride (2 mg/kg/day or approximately 120,000 times the highest estimated blood levels of finasteride from semen of men taking 1 mg/day) to pregnant monkeys resulted in external genital abnormalities in male fetuses. No other abnormalities were observed in male fetuses and no finasteride-related abnormalities were observed in female fetuses at any dose.

Section 42229-5 (42229-5)

Clinical Studies for PROPECIA (finasteride 1 mg) in the Treatment of Male Pattern Hair Loss

In three controlled clinical trials for PROPECIA of 12-month duration, 1.4% of patients taking PROPECIA (n=945) were discontinued due to adverse experiences that were considered to be possibly, probably or definitely drug-related (1.6% for placebo; n=934).

Clinical adverse experiences that were reported as possibly, probably or definitely drug-related in ≥1% of patients treated with PROPECIA or placebo are presented in Table 1.

TABLE 1: Drug-Related Adverse Experiences for PROPECIA (finasteride 1 mg) in Year 1 (%) MALE PATTERN HAIR LOSS
PROPECIA

N=945
Placebo

N=934
Decreased Libido 1.8 1.3
Erectile Dysfunction 1.3 0.7
Ejaculation Disorder

  (Decreased Volume of Ejaculate)
1.2

(0.8)
0.7

(0.4)
Discontinuation due to drug-related sexual adverse experiences 1.2 0.9

Integrated analysis of clinical adverse experiences showed that during treatment with PROPECIA, 36 (3.8%) of 945 men had reported one or more of these adverse experiences as compared to 20 (2.1%) of 934 men treated with placebo (p=0.04). Resolution occurred in men who discontinued therapy with PROPECIA due to these side effects and in most of those who continued therapy. The incidence of each of the above adverse experiences decreased to ≤0.3% by the fifth year of treatment with PROPECIA.

In a study of finasteride 1 mg daily in healthy men, a median decrease in ejaculate volume of 0.3 mL (-11%) compared with 0.2 mL (-8%) for placebo was observed after 48 weeks of treatment. Two other studies showed that finasteride at 5 times the dosage of PROPECIA (5 mg daily) produced significant median decreases of approximately 0.5 mL (-25%) compared to placebo in ejaculate volume, but this was reversible after discontinuation of treatment.

In the clinical studies with PROPECIA, the incidences for breast tenderness and enlargement, hypersensitivity reactions, and testicular pain in finasteride-treated patients were not different from those in patients treated with placebo.

Section 42230-3 (42230-3)

Patient Information

PROPECIA (Pro-pee-sha)

(finasteride)

Tablets

PROPECIA ® is for use by MEN ONLY and should NOT be used by women or children.

Read this Patient Information before you start taking PROPECIA and each time you get a refill. There may be new information. This information does not take the place of talking with your healthcare provider about your medical condition or treatment.

What is PROPECIA?

PROPECIA is a prescription medicine used for the treatment of male pattern hair loss (androgenetic alopecia).

  •  
    It is not known if PROPECIA works for a receding hairline on either side of and above your forehead (temporal area).



  •  
    PROPECIA is not for use by women and children.

Who should not take PROPECIA?

Do not take PROPECIA if you:

  • are pregnant or may become pregnant. PROPECIA may harm your unborn baby.
    • PROPECIA tablets are coated and will prevent contact with the medicine during handling, as long as the tablets are not broken or crushed. Females who are pregnant or who may become pregnant should not come in contact with broken or crushed PROPECIA tablets. If a pregnant woman comes in contact with crushed or broken PROPECIA tablets, wash the contact area right away with soap and water. If a woman who is pregnant comes into contact with the active ingredient in PROPECIA, a healthcare provider should be consulted.
    • If a woman who is pregnant with a male baby swallows or comes in contact with the medicine in PROPECIA, the male baby may be born with sex organs that are not normal.
  • are allergic to any of the ingredients in PROPECIA. See the end of this leaflet for a complete list of ingredients in PROPECIA.

What should I tell my healthcare provider before taking PROPECIA?

Before taking PROPECIA, tell your healthcare provider if you:

  • have any other medical conditions, including problems with your prostate or liver

Tell your healthcare provider about all the medicines you take, including prescription and non-prescription medicines, vitamins, and herbal supplements.

Know the medicines you take. Keep a list of them to show your healthcare provider and pharmacist when you get a new medicine.

How should I take PROPECIA?

  • Take PROPECIA exactly as your healthcare provider tells you to take it.
  • You may take PROPECIA with or without food.
  • If you forget to take PROPECIA, do not take an extra tablet. Just take the next tablet as usual.

PROPECIA will not work faster or better if you take it more than once a day.

What are the possible side effects of PROPECIA?

  • decrease in your blood Prostate Specific Antigen (PSA) levels. PROPECIA can affect a blood test called PSA (Prostate-Specific Antigen) for the screening of prostate cancer. If you have a PSA test done you should tell your healthcare provider that you are taking PROPECIA because PROPECIA decreases PSA levels. Changes in PSA levels will need to be evaluated by your healthcare provider. Any increase in follow-up PSA levels from their lowest point may signal the presence of prostate cancer and should be evaluated, even if the test results are still within the normal range for men not taking PROPECIA. You should also tell your healthcare provider if you have not been taking PROPECIA as prescribed because this may affect the PSA test results. For more information, talk to your healthcare provider.
  • There may be an increased risk of a more serious form of prostate cancer in men taking finasteride at 5 times the dose of PROPECIA.

The most common side effects of PROPECIA include:

  • decrease in sex drive
  • trouble getting or keeping an erection
  • a decrease in the amount of semen

The following have been reported in general use with PROPECIA:

  • breast tenderness and enlargement. Tell your healthcare provider about any changes in your breasts such as lumps, pain or nipple discharge.
  • depression;
  • suicidal thoughts;
  • decrease in sex drive that continued after stopping the medication;
  • allergic reactions including rash, itching, hives and swelling of the lips, tongue, throat, and face;
  • problems with ejaculation that continued after stopping medication;
  • testicular pain;
  • blood in semen;
  • difficulty in achieving an erection that continued after stopping the medication;
  • male infertility and/or poor quality of semen.
  • in rare cases, male breast cancer.

Tell your healthcare provider if you have any side effect that bothers you or that does not go away.

These are not all the possible side effects of PROPECIA. For more information, ask your healthcare provider or pharmacist.

Call your doctor for medical advice about side effects. You may report side effects to FDA at 1-800-FDA-1088.

How should I store PROPECIA?

  • Store PROPECIA at room temperature between 59°F to 86°F (15°C to 30°C).
  • Keep PROPECIA in a closed container and keep PROPECIA tablets dry (protect from moisture).

Keep PROPECIA and all medicines out of the reach of children.

General information about the safe and effective use of PROPECIA.

Medicines are sometimes prescribed for purposes other than those listed in this Patient Information leaflet. Do not use PROPECIA for a condition for which it was not prescribed. Do not give PROPECIA to other people, even if they have the same symptoms you have. It may harm them.

This Patient Information leaflet summarizes the most important information about PROPECIA. If you would like more information, talk with your healthcare provider. You can ask your pharmacist or healthcare provider for information about PROPECIA that is written for health professionals. For more information, call 1-844-674-3200.

What are the ingredients in PROPECIA?

Active ingredient: finasteride.

Inactive ingredients: lactose monohydrate, microcrystalline cellulose, pregelatinized starch, sodium starch glycolate, hydroxypropyl methylcellulose, hydroxypropyl cellulose, titanium dioxide, magnesium stearate, talc, docusate sodium, yellow ferric oxide, and red ferric oxide.

This Patient Information has been approved by the U.S. Food and Drug Administration.

Section 44425-7 (44425-7)

Storage and Handling

Store at room temperature, 15-30°C (59-86°F). Keep container closed and protect from moisture.

Women should not handle crushed or broken PROPECIA tablets when they are pregnant or may potentially be pregnant because of the possibility of absorption of finasteride and the subsequent potential risk to a male fetus. PROPECIA tablets are coated and will prevent contact with the active ingredient during normal handling, provided that the tablets are not broken or crushed [see Warnings and Precautions (5.1), Use in Specific Populations (8.1) and Patient Counseling Information (17)].

10 Overdosage (10 OVERDOSAGE)

In clinical studies, single doses of finasteride up to 400 mg and multiple doses of finasteride up to 80 mg/day for three months did not result in adverse reactions. Until further experience is obtained, no specific treatment for an overdose with finasteride can be recommended.

Significant lethality was observed in male and female mice at single oral doses of 1500 mg/m2 (500 mg/kg) and in female and male rats at single oral doses of 2360 mg/m2 (400 mg/kg) and 5900 mg/m2 (1000 mg/kg), respectively.

11 Description (11 DESCRIPTION)

PROPECIA (finasteride) tablets contain finasteride as the active ingredient. Finasteride, a synthetic 4-azasteroid compound, is a specific inhibitor of steroid Type II 5α-reductase, an intracellular enzyme that converts the androgen testosterone into 5α-dihydrotestosterone (DHT).

The chemical name of finasteride is N-tert-Butyl-3-oxo-4-aza-5α-androst-1-ene-17β-carboxamide. The empirical formula of finasteride is C23H36N2O2 and its molecular weight is 372.55. Its structural formula is:

Finasteride is a white crystalline powder with a melting point near 250°C. It is freely soluble in chloroform and in lower alcohol solvents but is practically insoluble in water.

PROPECIA (finasteride) tablets are film-coated tablets for oral administration. Each tablet contains 1 mg of finasteride and the following inactive ingredients: lactose monohydrate, microcrystalline cellulose, pregelatinized starch, sodium starch glycolate, hydroxypropyl methylcellulose, hydroxypropyl cellulose, titanium dioxide, magnesium stearate, talc, docusate sodium, yellow ferric oxide, and red ferric oxide.

8.4 Pediatric Use

PROPECIA is not indicated for use in pediatric patients.

Safety and effectiveness in pediatric patients have not been established.

8.5 Geriatric Use

Clinical efficacy studies with PROPECIA did not include subjects aged 65 and over. Based on the pharmacokinetics of finasteride 5 mg, no dosage adjustment is necessary in the elderly for PROPECIA [see Clinical Pharmacology (12.3)]. However, the efficacy of PROPECIA in the elderly has not been established.

14.1 Studies in Men

The efficacy of PROPECIA was demonstrated in men (88% Caucasian) with mild to moderate androgenetic alopecia (male pattern hair loss) between 18 and 41 years of age. In order to prevent seborrheic dermatitis which might confound the assessment of hair growth in these studies, all men, whether treated with finasteride or placebo, were instructed to use a specified, medicated, tar-based shampoo (Neutrogena T/Gel® Shampoo) during the first 2 years of the studies.

There were three double-blind, randomized, placebo-controlled studies of 12-month duration. The two primary endpoints were hair count and patient self-assessment; the two secondary endpoints were investigator assessment and ratings of photographs. In addition, information was collected regarding sexual function (based on a self-administered questionnaire) and non-scalp body hair growth. The three studies were conducted in 1879 men with mild to moderate, but not complete, hair loss. Two of the studies enrolled men with predominantly mild to moderate vertex hair loss (n=1553). The third enrolled men having mild to moderate hair loss in the anterior mid-scalp area with or without vertex balding (n=326).

14.2 Study in Women

In a study involving 137 postmenopausal women with androgenetic alopecia who were treated with PROPECIA (n=67) or placebo (n=70) for 12 months, effectiveness could not be demonstrated. There was no improvement in hair counts, patient self-assessment, investigator assessment, or ratings of standardized photographs in the women treated with PROPECIA when compared with the placebo group [see Indications and Usage (1)].

4 Contraindications (4 CONTRAINDICATIONS)

PROPECIA is contraindicated in the following:

  • Pregnancy. Finasteride use is contraindicated in women when they are or may potentially be pregnant. Because of the ability of Type II 5α-reductase inhibitors to inhibit the conversion of testosterone to 5α-dihydrotestosterone (DHT), finasteride may cause abnormalities of the external genitalia of a male fetus of a pregnant woman who receives finasteride. If this drug is used during pregnancy, or if pregnancy occurs while taking this drug, the pregnant woman should be apprised of the potential hazard to the male fetus. [See Warnings and Precautions (5.1), Use in Specific Populations (8.1), How Supplied/Storage and Handling (16) and Patient Counseling Information (17).] In female rats, low doses of finasteride administered during pregnancy have produced abnormalities of the external genitalia in male offspring.
  • Hypersensitivity to any component of this medication.
6 Adverse Reactions (6 ADVERSE REACTIONS)

The most common adverse reactions, reported in ≥1% of patients treated with PROPECIA and greater than in patients treated with placebo are: decreased libido, erectile dysfunction and ejaculation disorder (6.1).



To report SUSPECTED ADVERSE REACTIONS, contact Organon LLC, a subsidiary of Organon & Co., at 1-844-674-3200 or FDA at 1-800-FDA-1088 or www.fda.gov/medwatch.

8.3 Nursing Mothers

PROPECIA is not indicated for use in women.

It is not known whether finasteride is excreted in human milk.

8.7 Renal Impairment

No dosage adjustment is necessary in patients with renal impairment [see Clinical Pharmacology (12.3)].

12.2 Pharmacodynamics

Finasteride produces a rapid reduction in serum DHT concentration, reaching 65% suppression within 24 hours of oral dosing with a 1-mg tablet. Mean circulating levels of testosterone and estradiol were increased by approximately 15% as compared to baseline, but these remained within the physiologic range.

Finasteride has no affinity for the androgen receptor and has no androgenic, antiandrogenic, estrogenic, antiestrogenic, or progestational effects. The relationship between these pharmacodynamic activities and the mechanisms(s) by which PROPECIA exerts its clinical effect is unknown. In studies with finasteride, no clinically meaningful changes in luteinizing hormone (LH), follicle-stimulating hormone (FSH) or prolactin were detected. In healthy volunteers, treatment with finasteride did not alter the response of LH and FSH to gonadotropin-releasing hormone indicating that the hypothalamic-pituitary-testicular axis was not affected. Finasteride had no effect on circulating levels of cortisol, thyroid-stimulating hormone, or thyroxine, nor did it affect the plasma lipid profile (e.g., total cholesterol, low-density lipoproteins, high-density lipoproteins and triglycerides) or bone mineral density.

5.4 Pediatric Patients

PROPECIA is not indicated for use in pediatric patients [see Use in Specific Populations (8.4)].

8.6 Hepatic Impairment

Caution should be exercised in the administration of PROPECIA in those patients with liver function abnormalities, as finasteride is metabolized extensively in the liver [see Clinical Pharmacology (12.3)].

1 Indications and Usage (1 INDICATIONS AND USAGE)

PROPECIA® is indicated for the treatment of male pattern hair loss (androgenetic alopecia) in MEN ONLY.

Efficacy in bitemporal recession has not been established.

PROPECIA is not indicated for use in women.

12.1 Mechanism of Action

Finasteride is a competitive and specific inhibitor of Type II 5α-reductase, an intracellular enzyme that converts the androgen testosterone into DHT. Two distinct isozymes are found in mice, rats, monkeys, and humans: Type I and II. Each of these isozymes is differentially expressed in tissues and developmental stages. In humans, Type I 5α-reductase is predominant in the sebaceous glands of most regions of skin, including scalp, and liver. Type I 5α-reductase is responsible for approximately one-third of circulating DHT. The Type II 5α-reductase isozyme is primarily found in prostate, seminal vesicles, epididymides, and hair follicles as well as liver, and is responsible for two-thirds of circulating DHT.

In humans, the mechanism of action of finasteride is based on its preferential inhibition of the Type II isozyme. Using native tissues (scalp and prostate), in vitro binding studies examining the potential of finasteride to inhibit either isozyme revealed a 100-fold selectivity for the human Type II 5α-reductase over Type I isozyme (IC50=500 and 4.2 nM for Type I and II, respectively). For both isozymes, the inhibition by finasteride is accompanied by reduction of the inhibitor to dihydrofinasteride and adduct formation with NADP+. The turnover for the enzyme complex is slow (t1/2 approximately 30 days for the Type II enzyme complex and 14 days for the Type I complex). Inhibition of Type II 5α-reductase blocks the peripheral conversion of testosterone to DHT, resulting in significant decreases in serum and tissue DHT concentrations.

In men with male pattern hair loss (androgenetic alopecia), the balding scalp contains miniaturized hair follicles and increased amounts of DHT compared with hairy scalp. Administration of finasteride decreases scalp and serum DHT concentrations in these men. The relative contributions of these reductions to the treatment effect of finasteride have not been defined. By this mechanism, finasteride appears to interrupt a key factor in the development of androgenetic alopecia in those patients genetically predisposed.

5 Warnings and Precautions (5 WARNINGS AND PRECAUTIONS)
  • PROPECIA is not indicated for use in women or pediatric patients (5.1, 5.4).
  • Women should not handle crushed or broken PROPECIA tablets when they are pregnant or may potentially be pregnant due to potential risk to a male fetus (5.1, 8.1, 16).
  • PROPECIA causes a decrease in serum PSA levels. Any confirmed increase in PSA while on PROPECIA may signal the presence of prostate cancer and should be evaluated, even if those values are still within the normal range for men not taking a 5α-reductase inhibitor (5.2).
  • 5α-reductase inhibitors may increase the risk of high-grade prostate cancer (5.3, 6.1).
2 Dosage and Administration (2 DOSAGE AND ADMINISTRATION)

PROPECIA may be administered with or without meals.

The recommended dose of PROPECIA is one tablet (1 mg) taken once daily.

In general, daily use for three months or more is necessary before benefit is observed. Continued use is recommended to sustain benefit, which should be re-evaluated periodically. Withdrawal of treatment leads to reversal of effect within 12 months.

3 Dosage Forms and Strengths (3 DOSAGE FORMS AND STRENGTHS)

PROPECIA tablets (1 mg) are tan, octagonal, film-coated convex tablets with "stylized P" logo on one side and PROPECIA on the other.

6.2 Postmarketing Experience

The following adverse reactions have been identified during post approval use of PROPECIA. Because these reactions are reported voluntarily from a population of uncertain size, it is not always possible to reliably estimate their frequency or establish a causal relationship to drug exposure:

Hypersensitivity Reaction : hypersensitivity reactions such as rash, pruritus, urticaria, and angioedema (including swelling of the lips, tongue, throat, and face);

Reproductive System: sexual dysfunction that continued after discontinuation of treatment, including erectile dysfunction, libido disorders, ejaculation disorders, and orgasm disorders; male infertility and/or poor seminal quality (normalization or improvement of seminal quality has been reported after discontinuation of finasteride); testicular pain; hematospermia.

Neoplasms: male breast cancer;

Breast disorders: breast tenderness and enlargement;

Nervous System/Psychiatric: depression, suicidal ideation and behavior.

7.2 Other Concomitant Therapy

Although specific interaction studies were not performed, finasteride doses of 1 mg or more were concomitantly used in clinical studies with acetaminophen, acetylsalicylic acid, α-blockers, analgesics, angiotensin-converting enzyme (ACE) inhibitors, anticonvulsants, benzodiazepines, beta blockers, calcium-channel blockers, cardiac nitrates, diuretics, H2 antagonists, HMG-CoA reductase inhibitors, prostaglandin synthetase inhibitors (also referred to as NSAIDs), and quinolone anti-infectives without evidence of clinically significant adverse interactions.

6.1 Clinical Trials Experience

Because clinical trials are conducted under widely varying conditions, adverse reaction rates observed in the clinical trials of a drug cannot be directly compared to rates in the clinical trials of another drug and may not reflect the rates observed in clinical practice.

17 Patient Counseling Information (17 PATIENT COUNSELING INFORMATION)

Advise the patient to read the FDA-approved patient labeling (Patient Information).

Exposure of Women — Risk to Male Fetus

Physicians should inform patients that women who are pregnant or may potentially be pregnant should not handle crushed or broken PROPECIA tablets because of the possibility of absorption of finasteride and the subsequent potential risk to a male fetus. PROPECIA tablets are coated and will prevent contact with the active ingredient during normal handling, provided that the tablets have not been broken or crushed. If a woman who is pregnant or may potentially be pregnant comes in contact with crushed or broken PROPECIA tablets, the contact area should be washed immediately with soap and water [see Contraindications (4), Warnings and Precautions (5.1), Use in Specific Populations (8.1) and How Supplied/Storage and Handling (16)].

Increased Risk of High-Grade Prostate Cancer

Patients should be informed that there was an increase in high-grade prostate cancer in men treated with 5α-reductase inhibitors indicated for BPH treatment, compared to those treated with placebo in studies looking at the use of these drugs to prevent prostate cancer [see Warnings and Precautions (5.3) and Adverse Reactions (6.1)].

Sexual Adverse events

Physicians should inform the patients that PROPECIA may cause symptoms of sexual dysfunction such as decreased libido, erectile dysfunction, and ejaculation disorder, including decreased ejaculate volume.

Additional Instructions

Physicians should instruct their patients to promptly report any changes in their breasts such as lumps, pain or nipple discharge. Breast changes including breast enlargement, tenderness and neoplasm have been reported [see Adverse Reactions (6.1)].

Physicians should instruct their patients to read the patient package insert before starting therapy with PROPECIA and to read it again each time the prescription is renewed so that they are aware of current information for patients regarding PROPECIA.

16 How Supplied/storage and Handling (16 HOW SUPPLIED/STORAGE AND HANDLING)

PROPECIA tablets, 1 mg, are tan, octagonal, film-coated convex tablets with "stylized P" logo on one side and PROPECIA on the other. They are supplied as follows:

  •  
    NDC 78206-152-01 bottles of 30 (with desiccant)
  •  
    NDC 78206-152-02 PROPAK® bottles of 90 (with desiccant).
5.1 Exposure of Women — Risk to Male Fetus

PROPECIA is not indicated for use in women. Women should not handle crushed or broken PROPECIA tablets when they are pregnant or may potentially be pregnant because of the possibility of absorption of finasteride and the subsequent potential risk to a male fetus. PROPECIA tablets are coated and will prevent contact with the active ingredient during normal handling, provided that the tablets have not been broken or crushed. [See Indications and Usage (1), Contraindications (4), Use in Specific Populations (8.1), How Supplied/Storage and Handling (16) and Patient Counseling Information (17).]

5.2 Effects On Prostate Specific Antigen (psa) (5.2 Effects on Prostate Specific Antigen (PSA))

In clinical studies with PROPECIA (finasteride, 1 mg) in men 18-41 years of age, the mean value of serum prostate specific antigen (PSA) decreased from 0.7 ng/mL at baseline to 0.5 ng/mL at Month 12. Further, in clinical studies with PROSCAR (finasteride, 5 mg) when used in older men who have benign prostatic hyperplasia (BPH), PSA levels are decreased by approximately 50%. Other studies with PROSCAR showed it may also cause decreases in serum PSA in the presence of prostate cancer. These findings should be taken into account for proper interpretation of serum PSA when evaluating men treated with finasteride. Any confirmed increase from the lowest PSA value while on PROPECIA may signal the presence of prostate cancer and should be evaluated, even if PSA levels are still within the normal range for men not taking a 5α-reductase inhibitor. Non-compliance to therapy with PROPECIA may also affect PSA test results.

Principal Display Panel 1 Mg Tablet Bottle Label (PRINCIPAL DISPLAY PANEL - 1 mg Tablet Bottle Label)

NDC 78206-152-01

Propecia®

(finasteride) Tablets

1 mg

Each tablet contains 1 mg finasteride.

Warning: PROPECIA® (finasteride) should

not be used by women or children. Women

who are or may potentially be pregnant

must not use PROPECIA. They should also

not handle crushed or broken tablets of

PROPECIA. (See Package Insert.)

Rx only

30 Tablets

13.1 Carcinogenesis, Mutagenesis, Impairment of Fertility

No evidence of a tumorigenic effect was observed in a 24-month study in Sprague-Dawley rats receiving doses of finasteride up to 160 mg/kg/day in males and 320 mg/kg/day in females. These doses produced respective systemic exposure in rats of 888 and 2192 times those observed in man receiving the recommended human dose of 1 mg/day. All exposure calculations were based on calculated AUC(0-24 hr) for animals and mean AUC(0-24 hr) for man (0.05 µg∙hr/mL).

In a 19-month carcinogenicity study in CD-1 mice, a statistically significant (p≤0.05) increase in the incidence of testicular Leydig cell adenomas was observed at 1824 times the human exposure (250 mg/kg/day). In mice at 184 times the human exposure, estimated (25 mg/kg/day) and in rats at 312 times the human exposure (≥40 mg/kg/day) an increase in the incidence of Leydig cell hyperplasia was observed. A positive correlation between the proliferative changes in the Leydig cells and an increase in serum LH levels (2- to 3-fold above control) has been demonstrated in both rodent species treated with high doses of finasteride. No drug-related Leydig cell changes were seen in either rats or dogs treated with finasteride for 1 year at 240 and 2800 times (20 mg/kg/day and 45 mg/kg/day, respectively), or in mice treated for 19 months at 18.4 times the human exposure, estimated (2.5 mg/kg/day).

No evidence of mutagenicity was observed in an in vitro bacterial mutagenesis assay, a mammalian cell mutagenesis assay, or in an in vitro alkaline elution assay. In an in vitro chromosome aberration assay, using Chinese hamster ovary cells, there was a slight increase in chromosome aberrations. In an in vivo chromosome aberration assay in mice, no treatment-related increase in chromosome aberration was observed with finasteride at the maximum tolerated dose of 250 mg/kg/day (1824 times the human exposure) as determined in the carcinogenicity studies.

In sexually mature male rabbits treated with finasteride at 4344 times the human exposure (80 mg/kg/day) for up to 12 weeks, no effect on fertility, sperm count, or ejaculate volume was seen. In sexually mature male rats treated with 488 times the human exposure (80 mg/kg/day), there were no significant effects on fertility after 6 or 12 weeks of treatment; however, when treatment was continued for up to 24 or 30 weeks, there was an apparent decrease in fertility, fecundity, and an associated significant decrease in the weights of the seminal vesicles and prostate. All these effects were reversible within 6 weeks of discontinuation of treatment. No drug-related effect on testes or on mating performance has been seen in rats or rabbits. This decrease in fertility in finasteride-treated rats is secondary to its effect on accessory sex organs (prostate and seminal vesicles) resulting in failure to form a seminal plug. The seminal plug is essential for normal fertility in rats but is not relevant in man.

7.1 Cytochrome P450 Linked Drug Metabolizing Enzyme System (7.1 Cytochrome P450-Linked Drug Metabolizing Enzyme System)

No drug interactions of clinical importance have been identified. Finasteride does not appear to affect the cytochrome P450-linked drug-metabolizing enzyme system. Compounds that have been tested in man include antipyrine, digoxin, propranolol, theophylline, and warfarin and no clinically meaningful interactions were found.

5.3 Increased Risk of High Grade Prostate Cancer With 5α Reductase Inhibitors (5.3 Increased Risk of High-Grade Prostate Cancer with 5α-Reductase Inhibitors)

Men aged 55 and over with a normal digital rectal examination and PSA ≤3.0 ng/mL at baseline taking finasteride 5 mg/day (5 times the dose of PROPECIA) in the 7-year Prostate Cancer Prevention Trial (PCPT) had an increased risk of Gleason score 8-10 prostate cancer (finasteride 1.8% vs placebo 1.1%). [See Adverse Reactions (6.1) .] Similar results were observed in a 4-year placebo-controlled clinical trial with another 5α-reductase inhibitor (dutasteride, AVODART) (1% dutasteride vs 0.5% placebo). 5α-reductase inhibitors may increase the risk of development of high-grade prostate cancer. Whether the effect of 5α-reductase inhibitors to reduce prostate volume, or study-related factors, impacted the results of these studies has not been established.


Advanced Ingredient Data


Raw Label Data

All Sections (JSON)