These Highlights Do Not Include All The Information Needed To Use Mupirocin Cream Safely And Effectively. See Full Prescribing Information For Mupirocin Cream.

These Highlights Do Not Include All The Information Needed To Use Mupirocin Cream Safely And Effectively. See Full Prescribing Information For Mupirocin Cream.
SPL v2
SPL
SPL Set ID 6f1c0789-4a3b-473a-96d6-0c479ee32d36
Route
TOPICAL
Published
Effective Date 2020-11-30
Document Type 34391-3 HUMAN PRESCRIPTION DRUG LABEL

Drug Facts

Composition & Product

Active Ingredients
Mupirocin (20 mg)
Inactive Ingredients
Benzyl Alcohol Ceteth-20 Cetyl Alcohol Mineral Oil Phenoxyethanol Water Stearyl Alcohol Xanthan Gum

Identifiers & Packaging

Pill Appearance
Color: white
Marketing Status
ANDA Active Since 2020-11-25

Description

Mupirocin Cream USP, 2% is indicated for the treatment of secondarily infected traumatic skin lesions (up to 10 cm in length or 100 cm 2 in area) due to susceptible isolates of Staphylococcus aureus (S. aureus) and Streptococcus pyogenes (S. pyogenes) .

Indications and Usage

Mupirocin Cream USP, 2% is indicated for the treatment of secondarily infected traumatic skin lesions (up to 10 cm in length or 100 cm 2 in area) due to susceptible isolates of Staphylococcus aureus (S. aureus) and Streptococcus pyogenes (S. pyogenes) .

Dosage and Administration

For Topical Use Only. Apply a small amount of mupirocin cream, with a cotton swab or gauze pad, to the affected area 3 times daily for 10 days. Cover the treated area with gauze dressing if desired. Re-evaluate patients not showing a clinical response within 3 to 5 days. Mupirocin cream is not for intranasal, ophthalmic, or other mucosal use [see Warnings and Precautions (5.2 , 5.6) ] . Do not apply mupirocin cream concurrently with any other lotions, creams or ointments [see Clinical Pharmacology (12.3) ] .

Warnings and Precautions

Severe Allergic Reactions: Anaphylaxis, urticaria, angioedema, and generalized rash have been reported in patients treated with formulations of mupirocin, including mupirocin cream. ( 5.1 ) Eye Irritation: Avoid contact with eyes. ( 5.2 ) Local Irritation: Discontinue in the event of sensitization or severe local irritation. ( 5.3 ) Clostridium difficile- Associated Diarrhea (CDAD): If diarrhea occurs, evaluate patients for CDAD. ( 5.4 ) Potential for Microbial Overgrowth: Prolonged use may result in overgrowth of nonsusceptible microorganisms, including fungi. ( 5.5 ) Risk Associated with Mucosal Use: Mupirocin cream is not formulated for use on mucosal surfaces. A separate formulation, mupirocin nasal ointment, is available for intranasal use. ( 5.6 )

Contraindications

Mupirocin cream is contraindicated in patients with known hypersensitivity to mupirocin or any of the excipients of mupirocin cream.

Adverse Reactions

The following adverse reactions are discussed in more detail in other sections of the labeling: Severe Allergic Reactions [see Warnings and Precautions (5.1) ] Eye Irritation [see Warnings and Precautions (5.2) ] Local Irritation [see Warnings and Precautions (5.3) ] Clostridium difficile -Associated Diarrhea [see Warnings and Precautions (5.4) ]

Storage and Handling

Mupirocin cream is a white cream that contains 20 mg (2% w/w) of mupirocin per gram in an oil- water-based emulsion. Mupirocin Cream USP, 2% is supplied in 15-gram (NDC 16714-055-01) and 30-gram (NDC 16714-055-02) tubes.

How Supplied

Mupirocin cream is a white cream that contains 20 mg (2% w/w) of mupirocin per gram in an oil- water-based emulsion. Mupirocin Cream USP, 2% is supplied in 15-gram (NDC 16714-055-01) and 30-gram (NDC 16714-055-02) tubes.


Medication Information

Warnings and Precautions

Severe Allergic Reactions: Anaphylaxis, urticaria, angioedema, and generalized rash have been reported in patients treated with formulations of mupirocin, including mupirocin cream. ( 5.1 ) Eye Irritation: Avoid contact with eyes. ( 5.2 ) Local Irritation: Discontinue in the event of sensitization or severe local irritation. ( 5.3 ) Clostridium difficile- Associated Diarrhea (CDAD): If diarrhea occurs, evaluate patients for CDAD. ( 5.4 ) Potential for Microbial Overgrowth: Prolonged use may result in overgrowth of nonsusceptible microorganisms, including fungi. ( 5.5 ) Risk Associated with Mucosal Use: Mupirocin cream is not formulated for use on mucosal surfaces. A separate formulation, mupirocin nasal ointment, is available for intranasal use. ( 5.6 )

Indications and Usage

Mupirocin Cream USP, 2% is indicated for the treatment of secondarily infected traumatic skin lesions (up to 10 cm in length or 100 cm 2 in area) due to susceptible isolates of Staphylococcus aureus (S. aureus) and Streptococcus pyogenes (S. pyogenes) .

Dosage and Administration

For Topical Use Only. Apply a small amount of mupirocin cream, with a cotton swab or gauze pad, to the affected area 3 times daily for 10 days. Cover the treated area with gauze dressing if desired. Re-evaluate patients not showing a clinical response within 3 to 5 days. Mupirocin cream is not for intranasal, ophthalmic, or other mucosal use [see Warnings and Precautions (5.2 , 5.6) ] . Do not apply mupirocin cream concurrently with any other lotions, creams or ointments [see Clinical Pharmacology (12.3) ] .

Contraindications

Mupirocin cream is contraindicated in patients with known hypersensitivity to mupirocin or any of the excipients of mupirocin cream.

Adverse Reactions

The following adverse reactions are discussed in more detail in other sections of the labeling: Severe Allergic Reactions [see Warnings and Precautions (5.1) ] Eye Irritation [see Warnings and Precautions (5.2) ] Local Irritation [see Warnings and Precautions (5.3) ] Clostridium difficile -Associated Diarrhea [see Warnings and Precautions (5.4) ]

Storage and Handling

Mupirocin cream is a white cream that contains 20 mg (2% w/w) of mupirocin per gram in an oil- water-based emulsion. Mupirocin Cream USP, 2% is supplied in 15-gram (NDC 16714-055-01) and 30-gram (NDC 16714-055-02) tubes.

How Supplied

Mupirocin cream is a white cream that contains 20 mg (2% w/w) of mupirocin per gram in an oil- water-based emulsion. Mupirocin Cream USP, 2% is supplied in 15-gram (NDC 16714-055-01) and 30-gram (NDC 16714-055-02) tubes.

Description

Mupirocin Cream USP, 2% is indicated for the treatment of secondarily infected traumatic skin lesions (up to 10 cm in length or 100 cm 2 in area) due to susceptible isolates of Staphylococcus aureus (S. aureus) and Streptococcus pyogenes (S. pyogenes) .

Section 42229-5

Immune System Disorders

Systemic allergic reactions, including anaphylaxis, urticaria, angioedema, and generalized rash [see Warnings and Precautions (5.1)] .

Section 42230-3
This Patient Information has been approved by the U.S. Food and Drug Administration.

Issued: November 2020    5214500    54
PATIENT INFORMATION

MUPIROCIN (mue pir`oh sin) CREAM, for topical use
What is mupirocin cream?

Mupirocin cream is a prescription medicine used on the skin (topical use) to treat certain skin infections caused by bacteria called Staphylococcus aureusand Streptococcus pyogenes. It is not known if mupirocin cream is safe and effective in children under 3 months of age.
Who should not use mupirocin cream?

Do not use mupirocin cream if:
  • you are allergic to mupirocin or any of the ingredients in mupirocin cream. See the end of this Patient Information leaflet for a complete list of the ingredients in mupirocin cream.
What should I tell my healthcare provider before using mupirocin cream?

Before using mupirocin cream, tell your healthcare provider about all of your medical conditions including if you:
  • are pregnant or plan to become pregnant. It is not known if mupirocin cream will harm your unborn baby.
  • are breastfeeding or plan to breastfeed. It is not known if mupirocin cream passes into your breast milk. You and your healthcare provider should decide if you can use mupirocin cream while breastfeeding.
Tell your healthcare provider about all of the medicines you take,including prescription and over-the-counter medicines, vitamins, and herbal supplements. Do not mix mupirocin cream with other lotions, creams, or ointments.
How should I use mupirocin cream?
  • Mupirocin cream is for use on the skin (topical).Do not get mupirocin cream in your eyes, nose, mouth, or vagina (mucosal surfaces).
  • Use mupirocin cream exactly as your healthcare provider tells you to use it.
  • Apply a small amount of mupirocin cream, with a cotton swab or gauze pad, to the affected area 3 times each day. Apply mupirocin cream for 10 days.
  • It is important that you take the full course of mupirocin cream. Do not stop early because your symptoms may disappear before the infection is fully cleared.
  • Wash your hands before and afterapplying mupirocin cream.
  • After applying mupirocin cream, you may cover the treated area with a clean gauze pad, unless your healthcare provider has told you to leave it uncovered.
  • Talk to your healthcare provider if your skin does not improve after 3 to 5 days of treatment with mupirocin cream.
  • If you are breastfeeding and use mupirocin cream on your breast or nipple, wash the area well before breastfeeding your child.
What are the possible side effects of mupirocin cream?

Mupirocin cream may cause serious side effects, including:
  • severe allergic reactions.Stop using mupirocin cream and call your healthcare provider or go to the nearest emergency room right away if you have any of the following signs or symptoms of a severe allergic reaction:
  • hives
  • swelling of your face, lips, mouth, or tongue
  • a rash over your whole body
  • trouble breathing or wheezing
  • dizziness, fast heartbeat, or pounding in your chest
  • eye irritation.Do not get mupirocin cream in your eyes. If mupirocin cream gets in your eyes, rinse your eyes well with water.
  • irritation in the area mupirocin cream is used.A rash may occur after using mupirocin cream and can be severe. Stop using mupirocin cream and call your healthcare provider if you develop an irritation, severe itching, or a rash while using mupirocin cream.
  • a type of diarrhea called clostridium difficile-associated diarrhea (CDAD). CDAD may happen in people who use or have used medicine to treat bacterial infections. The severity of CDAD can range from mild diarrhea to severe diarrhea that may cause death (fatal colitis). Call your healthcare provider or go to the nearest emergency room right away if you have diarrhea while using or after you stop using mupirocin cream.
The most common side effects of mupirocin cream include:
  • headache
  • rash
  • nausea
These are not all the possible side effects of mupirocin cream. Call your doctor for medical advice about side effects. You may report side effects to FDA at 1-800-FDA-1088.
How should I store mupirocin cream?

  • Store mupirocin cream at room temperature between 68°F to 77°F (20°C to 25°C).
  • Do not freeze mupirocin cream.
  • Keep mupirocin cream and all medicines out of the reach of children.
General information about the safe and effective use of mupirocin cream.

Medicines are sometimes prescribed for purposes other than those listed in a Patient Information leaflet. Do not use mupirocin cream for a condition for which it was not prescribed. Do not give mupirocin cream to other people, even if they have the same symptoms that you have. It may harm them. You can ask your pharmacist or healthcare provider for information about mupirocin cream that is written for health professionals.
What are the ingredients in mupirocin cream?

Active Ingredient:
mupirocin calcium

Inactive Ingredients:benzyl alcohol, cetomacrogol 1000, cetyl alcohol, mineral oil, phenoxyethanol, purified water, stearyl alcohol, and xanthan gum

Manufactured for: Northstar RxLLC, Memphis, TN 38141.

Manufactured by: Taro Pharmaceuticals Inc., Brampton, Ontario, Canada L6T 1C1.

For more information, call 1-800-206-7821.
Section 44425-7

Store at 20° to 25°C (68° to 77°F)[see USP Controlled Room Temperature]. Do not freeze.

15 References
  • Clinical and Laboratory Standards Institute (CLSI). Performance Standards for Antimicrobial Susceptibility Testing; Twenty-sixth Informational Supplement.CLSI document M100-S26. Clinical and Laboratory Standards Institute, 950 West Valley Rd., Suite 2500, Wayne, PA 19087, USA, 2016.
  • Patel J, Gorwitz RJ, et al. Mupirocin Resistance. Clinical Infectious Diseases.2009; 49(6):935-41.
  • Clinical and Laboratory Standards Institute (CLSI). Methods for Dilution Antimicrobial Susceptibility Tests for Bacteria that Grow Aerobically; Approved Standard– Tenth Edition. CLSI document M07-A10. Clinical and Laboratory Standards Institute, 950 West Valley Road, Suite 2500, Wayne, Pennsylvania 19087, USA, 2015.
  • Clinical and Laboratory Standards Institute (CLSI). Performance Standards for Antimicrobial Disk Diffusion Susceptibility Tests; Approved Standard – Twelfth Edition.CLSI document M02-A12. Clinical and Laboratory Standards Institute, 950 West Valley Road, Suite 2500, Wayne, Pennsylvania 19087, USA, 2015.
  • Finlay JE, Miller LA, Poupard JA. Interpretive criteria for testing susceptibility of staphylococci to mupirocin. Antimicrob Agents Chemother1997;41(5):1137-1139.
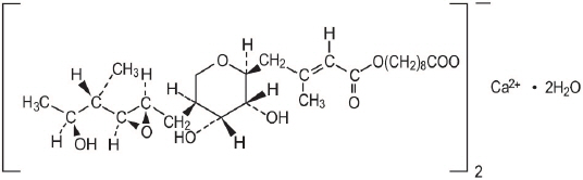
11 Description

Mupirocin Cream USP, 2% contains the dihydrate crystalline calcium hemi-salt of the RNA synthetase inhibitor antibacterial, mupirocin. Chemically, it is (αE,2S,3R,4R,5S)-5-[(2S,3S,4S,5S)-2,3-epoxy-5-hydroxy-4-methylhexyl]tetrahydro-3,4-dihydroxy-ß-methyl-2H-pyran-2-crotonic acid, ester with 9-hydroxynonanoic acid, calcium salt (2:1), dihydrate.

The molecular formula of mupirocin calcium is (C 26H 43O 9) 2Ca∙2H 2O, and the molecular weight is 1075.3. The molecular weight of mupirocin free acid is 500.6. The structural formula of mupirocin calcium is:

Each gram of mupirocin cream contains 20 mg (2% w/w) of mupirocin equivalent to 21.5 mg (2.15% w/w) of mupirocin calcium. The inactive ingredients are benzyl alcohol, cetomacrogol 1000, cetyl alcohol, mineral oil, phenoxyethanol, purified water, stearyl alcohol, and xanthan gum.

12.4 Microbiology

Mupirocin is an RNA synthetase inhibitor antibacterial produced by fermentation using the organism Pseudomonas fluorescens.

8.4 Pediatric Use

The safety and effectiveness of mupirocin cream have been established in the age-groups 3 months to 16 years. Use of mupirocin cream in these age-groups is supported by evidence from adequate and well-controlled trials of mupirocin cream in adults with additional data from 93 pediatric subjects studied as part of the pivotal trials in adults [see Clinical Studies (14)] .

8.5 Geriatric Use

In 2 adequate and well-controlled trials, 30 subjects older than 65 years were treated with mupirocin cream. No overall difference in the efficacy or safety of mupirocin cream was observed in this patient population when compared with that observed in younger patients.

5.2 Eye Irritation

Avoid contact with the eyes. In case of accidental contact, rinse well with water.

14 Clinical Studies

The efficacy of topical mupirocin cream for the treatment of secondarily infected traumatic skin lesions (e.g., lacerations, sutured wounds, and abrasions not more than 10 cm in length or 100 cm 2in total area) was compared with that of oral cephalexin in 2 randomized, double-blind, double-dummy clinical trials. Clinical efficacy rates at follow-up in the per-protocol populations (adults and pediatric subjects included) were 96.1% for mupirocin cream (n = 231) and 93.1% for oral cephalexin (n = 219). Pathogen eradication rates at follow-up in the per-protocol populations were 100% for both mupirocin cream and oral cephalexin.

4 Contraindications

Mupirocin cream is contraindicated in patients with known hypersensitivity to mupirocin or any of the excipients of mupirocin cream.

6 Adverse Reactions

The following adverse reactions are discussed in more detail in other sections of the labeling:

5.3 Local Irritation

In the event of a sensitization or severe local irritation from mupirocin cream, usage should be discontinued, and appropriate alternative therapy for the infection instituted.

1 Indications and Usage

Mupirocin Cream USP, 2% is indicated for the treatment of secondarily infected traumatic skin lesions (up to 10 cm in length or 100 cm 2in area) due to susceptible isolates of Staphylococcus aureus (S. aureus)and Streptococcus pyogenes (S. pyogenes).

12.1 Mechanism of Action

Mupirocin is an RNA synthetase inhibitor antibacterial [see Microbiology (12.4)] .

5.4 Clostridium Difficile

Clostridium difficile-associated diarrhea (CDAD) has been reported with use of nearly all antibacterial agents and may range in severity from mild diarrhea to fatal colitis. Treatment with antibacterial agents alters the normal flora of the colon leading to overgrowth of C. difficile.

C. difficileproduces toxins A and B which contribute to the development of CDAD. Hypertoxin-producing strains of C. difficilecause increased morbidity and mortality, as these infections can be refractory to antimicrobial therapy and may require colectomy. CDAD must be considered in all patients who present with diarrhea following antibacterial drug use. Careful medical history is necessary since CDAD has been reported to occur over 2 months after the administration of antibacterial agents.

If CDAD is suspected or confirmed, ongoing antibacterial drug use not directed against C. difficilemay need to be discontinued. Appropriate fluid and electrolyte management, protein supplementation, antibacterial treatment of C. difficile, and surgical evaluation should be instituted as clinically indicated.

5 Warnings and Precautions
  • Severe Allergic Reactions: Anaphylaxis, urticaria, angioedema, and generalized rash have been reported in patients treated with formulations of mupirocin, including mupirocin cream. ( 5.1)
  • Eye Irritation: Avoid contact with eyes. ( 5.2)
  • Local Irritation: Discontinue in the event of sensitization or severe local irritation. ( 5.3)
  • Clostridium difficile-Associated Diarrhea (CDAD): If diarrhea occurs, evaluate patients for CDAD. ( 5.4)
  • Potential for Microbial Overgrowth: Prolonged use may result in overgrowth of nonsusceptible microorganisms, including fungi. ( 5.5)
  • Risk Associated with Mucosal Use: Mupirocin cream is not formulated for use on mucosal surfaces. A separate formulation, mupirocin nasal ointment, is available for intranasal use. ( 5.6)
2 Dosage and Administration
  • For Topical Use Only.
  • Apply a small amount of mupirocin cream, with a cotton swab or gauze pad, to the affected area 3 times daily for 10 days.
  • Cover the treated area with gauze dressing if desired.
  • Re-evaluate patients not showing a clinical response within 3 to 5 days.
  • Mupirocin cream is not for intranasal, ophthalmic, or other mucosal use [see Warnings and Precautions (5.2, 5.6)] .
  • Do not apply mupirocin cream concurrently with any other lotions, creams or ointments [see Clinical Pharmacology (12.3)] .
3 Dosage Forms and Strengths

Mupirocin Cream USP, 2% is a white cream that contains 20 mg (2% w/w) of mupirocin per gram in an oil- and water-based emulsion, supplied in 15-gram and 30-gram tubes.

6.2 Postmarketing Experience

In addition to adverse reactions reported from clinical trials, the following reactions have been identified during postmarketing use of mupirocin cream. Because they are reported voluntarily from a population of unknown size, estimates of frequency cannot be made. These reactions have been chosen for inclusion due to a combination of their seriousness, frequency of reporting, or potential causal relationship to mupirocin cream.

5.1 Severe Allergic Reactions

Systemic allergic reactions, including anaphylaxis, urticaria, angioedema, and generalized rash, have been reported in patients treated with formulations of mupirocin, including mupirocin cream [see Adverse Reactions (6.2)] .

6.1 Clinical Trials Experience

Because clinical trials are conducted under widely varying conditions, adverse reaction rates observed in the clinical trials of a drug cannot be directly compared with rates in the clinical trials of another drug and may not reflect the rates observed in practice.

In 2 randomized, double-blind, double-dummy trials, 339 subjects were treated with topical mupirocin cream plus oral placebo. Adverse reactions occurred in 28 (8.3%) subjects. The following adverse reactions were reported by at least 1% of subjects in connection with the use of mupirocin cream in clinical trials: headache (1.7%), rash (1.1%), and nausea (1.1%).

Other adverse reactions which occurred in less than 1% of subjects were: abdominal pain, burning at application site, cellulitis, dermatitis, dizziness, pruritus, secondary wound infection, and ulcerative stomatitis.

In a supportive trial in the treatment of secondarily infected eczema, 82 subjects were treated with mupirocin cream. The incidence of adverse reactions was as follows: nausea (4.9%), headache and burning at application site (3.6% each), pruritus (2.4%), and 1 report each of abdominal pain, bleeding secondary to eczema, pain secondary to eczema, hives, dry skin, and rash.

17 Patient Counseling Information

Advise the patient to read the FDA-approved patient labeling (Patient Information).

Advise the patient to administer mupirocin cream as follows:

  • Use mupirocin cream only as directed by the healthcare provider. It is for external use only. Avoid contact of mupirocin cream with the eyes. If mupirocin cream gets in the eyes, rinse thoroughly with water.
  • Do not use mupirocin cream in the nose.
  • Wash your hands before and after applying mupirocin cream.
  • Use a gauze pad or cotton swab to apply a small amount of mupirocin cream to the affected area. The treated area may be covered by gauze dressing if desired.
  • Report to the healthcare provider any signs of local adverse reactions. Mupirocin cream should be stopped and the healthcare provider contacted if irritation, severe itching, or rash occurs.
  • Report to the healthcare provider or go to the nearest emergency room if severe allergic reactions, such as swelling of the lips, face, or tongue, or wheezing occur [see Warnings and Precautions (5.1)] .
  • If no improvement is seen in 3 to 5 days, contact the healthcare provider.
16 How Supplied/storage and Handling

Mupirocin cream is a white cream that contains 20 mg (2% w/w) of mupirocin per gram in an oil- water-based emulsion.

Mupirocin Cream USP, 2% is supplied in 15-gram (NDC 16714-055-01) and 30-gram (NDC 16714-055-02) tubes.

5.6 Risk Associated With Mucosal Use

Mupirocin cream is not formulated for use on mucosal surfaces. A separate formulation, mupirocin calcium nasal ointment, is available for intranasal use.

5.5 Potential for Microbial Overgrowth

As with other antibacterial products, prolonged use of mupirocin cream may result in overgrowth of nonsusceptible microorganisms, including fungi [see Dosage and Administration (2)] .

Principal Display Panel 30 G Tube Carton

NDC 16714-055-02

Rx only

Mupirocin Cream USP

2%

FOR DERMATOLOGIC USE ONLY.

NORTHSTARx ®

30 g

13.1 Carcinogenesis, Mutagenesis, Impairment of Fertility

Long-term studies in animals to evaluate carcinogenic potential of mupirocin calcium have not been conducted.

Results of the following studies performed with mupirocin calcium or mupirocin sodium in vitroand in vivodid not indicate a potential for genotoxicity: rat primary hepatocyte unscheduled DNA synthesis, sediment analysis for DNA strand breaks, Salmonellareversion test (Ames), Escherichia colimutation assay, metaphase analysis of human lymphocytes, mouse lymphoma assay, and bone marrow micronuclei assay in mice.

In a fertility/reproductive performance study (with dosing through lactation), mupirocin administered subcutaneously to male and female rats at doses up to 100 mg per kg per day which is 14 times the human topical dose (approximately 60 mg mupirocin per day) based on calculations of dose divided by the entire body surface area, did not result in impaired fertility or impaired reproductive performance attributable to mupirocin.


Structured Label Content

Section 42229-5 (42229-5)

Immune System Disorders

Systemic allergic reactions, including anaphylaxis, urticaria, angioedema, and generalized rash [see Warnings and Precautions (5.1)] .

Section 42230-3 (42230-3)
This Patient Information has been approved by the U.S. Food and Drug Administration.

Issued: November 2020    5214500    54
PATIENT INFORMATION

MUPIROCIN (mue pir`oh sin) CREAM, for topical use
What is mupirocin cream?

Mupirocin cream is a prescription medicine used on the skin (topical use) to treat certain skin infections caused by bacteria called Staphylococcus aureusand Streptococcus pyogenes. It is not known if mupirocin cream is safe and effective in children under 3 months of age.
Who should not use mupirocin cream?

Do not use mupirocin cream if:
  • you are allergic to mupirocin or any of the ingredients in mupirocin cream. See the end of this Patient Information leaflet for a complete list of the ingredients in mupirocin cream.
What should I tell my healthcare provider before using mupirocin cream?

Before using mupirocin cream, tell your healthcare provider about all of your medical conditions including if you:
  • are pregnant or plan to become pregnant. It is not known if mupirocin cream will harm your unborn baby.
  • are breastfeeding or plan to breastfeed. It is not known if mupirocin cream passes into your breast milk. You and your healthcare provider should decide if you can use mupirocin cream while breastfeeding.
Tell your healthcare provider about all of the medicines you take,including prescription and over-the-counter medicines, vitamins, and herbal supplements. Do not mix mupirocin cream with other lotions, creams, or ointments.
How should I use mupirocin cream?
  • Mupirocin cream is for use on the skin (topical).Do not get mupirocin cream in your eyes, nose, mouth, or vagina (mucosal surfaces).
  • Use mupirocin cream exactly as your healthcare provider tells you to use it.
  • Apply a small amount of mupirocin cream, with a cotton swab or gauze pad, to the affected area 3 times each day. Apply mupirocin cream for 10 days.
  • It is important that you take the full course of mupirocin cream. Do not stop early because your symptoms may disappear before the infection is fully cleared.
  • Wash your hands before and afterapplying mupirocin cream.
  • After applying mupirocin cream, you may cover the treated area with a clean gauze pad, unless your healthcare provider has told you to leave it uncovered.
  • Talk to your healthcare provider if your skin does not improve after 3 to 5 days of treatment with mupirocin cream.
  • If you are breastfeeding and use mupirocin cream on your breast or nipple, wash the area well before breastfeeding your child.
What are the possible side effects of mupirocin cream?

Mupirocin cream may cause serious side effects, including:
  • severe allergic reactions.Stop using mupirocin cream and call your healthcare provider or go to the nearest emergency room right away if you have any of the following signs or symptoms of a severe allergic reaction:
  • hives
  • swelling of your face, lips, mouth, or tongue
  • a rash over your whole body
  • trouble breathing or wheezing
  • dizziness, fast heartbeat, or pounding in your chest
  • eye irritation.Do not get mupirocin cream in your eyes. If mupirocin cream gets in your eyes, rinse your eyes well with water.
  • irritation in the area mupirocin cream is used.A rash may occur after using mupirocin cream and can be severe. Stop using mupirocin cream and call your healthcare provider if you develop an irritation, severe itching, or a rash while using mupirocin cream.
  • a type of diarrhea called clostridium difficile-associated diarrhea (CDAD). CDAD may happen in people who use or have used medicine to treat bacterial infections. The severity of CDAD can range from mild diarrhea to severe diarrhea that may cause death (fatal colitis). Call your healthcare provider or go to the nearest emergency room right away if you have diarrhea while using or after you stop using mupirocin cream.
The most common side effects of mupirocin cream include:
  • headache
  • rash
  • nausea
These are not all the possible side effects of mupirocin cream. Call your doctor for medical advice about side effects. You may report side effects to FDA at 1-800-FDA-1088.
How should I store mupirocin cream?

  • Store mupirocin cream at room temperature between 68°F to 77°F (20°C to 25°C).
  • Do not freeze mupirocin cream.
  • Keep mupirocin cream and all medicines out of the reach of children.
General information about the safe and effective use of mupirocin cream.

Medicines are sometimes prescribed for purposes other than those listed in a Patient Information leaflet. Do not use mupirocin cream for a condition for which it was not prescribed. Do not give mupirocin cream to other people, even if they have the same symptoms that you have. It may harm them. You can ask your pharmacist or healthcare provider for information about mupirocin cream that is written for health professionals.
What are the ingredients in mupirocin cream?

Active Ingredient:
mupirocin calcium

Inactive Ingredients:benzyl alcohol, cetomacrogol 1000, cetyl alcohol, mineral oil, phenoxyethanol, purified water, stearyl alcohol, and xanthan gum

Manufactured for: Northstar RxLLC, Memphis, TN 38141.

Manufactured by: Taro Pharmaceuticals Inc., Brampton, Ontario, Canada L6T 1C1.

For more information, call 1-800-206-7821.
Section 44425-7 (44425-7)

Store at 20° to 25°C (68° to 77°F)[see USP Controlled Room Temperature]. Do not freeze.

15 References (15 REFERENCES)
  • Clinical and Laboratory Standards Institute (CLSI). Performance Standards for Antimicrobial Susceptibility Testing; Twenty-sixth Informational Supplement.CLSI document M100-S26. Clinical and Laboratory Standards Institute, 950 West Valley Rd., Suite 2500, Wayne, PA 19087, USA, 2016.
  • Patel J, Gorwitz RJ, et al. Mupirocin Resistance. Clinical Infectious Diseases.2009; 49(6):935-41.
  • Clinical and Laboratory Standards Institute (CLSI). Methods for Dilution Antimicrobial Susceptibility Tests for Bacteria that Grow Aerobically; Approved Standard– Tenth Edition. CLSI document M07-A10. Clinical and Laboratory Standards Institute, 950 West Valley Road, Suite 2500, Wayne, Pennsylvania 19087, USA, 2015.
  • Clinical and Laboratory Standards Institute (CLSI). Performance Standards for Antimicrobial Disk Diffusion Susceptibility Tests; Approved Standard – Twelfth Edition.CLSI document M02-A12. Clinical and Laboratory Standards Institute, 950 West Valley Road, Suite 2500, Wayne, Pennsylvania 19087, USA, 2015.
  • Finlay JE, Miller LA, Poupard JA. Interpretive criteria for testing susceptibility of staphylococci to mupirocin. Antimicrob Agents Chemother1997;41(5):1137-1139.
11 Description (11 DESCRIPTION)

Mupirocin Cream USP, 2% contains the dihydrate crystalline calcium hemi-salt of the RNA synthetase inhibitor antibacterial, mupirocin. Chemically, it is (αE,2S,3R,4R,5S)-5-[(2S,3S,4S,5S)-2,3-epoxy-5-hydroxy-4-methylhexyl]tetrahydro-3,4-dihydroxy-ß-methyl-2H-pyran-2-crotonic acid, ester with 9-hydroxynonanoic acid, calcium salt (2:1), dihydrate.

The molecular formula of mupirocin calcium is (C 26H 43O 9) 2Ca∙2H 2O, and the molecular weight is 1075.3. The molecular weight of mupirocin free acid is 500.6. The structural formula of mupirocin calcium is:

Each gram of mupirocin cream contains 20 mg (2% w/w) of mupirocin equivalent to 21.5 mg (2.15% w/w) of mupirocin calcium. The inactive ingredients are benzyl alcohol, cetomacrogol 1000, cetyl alcohol, mineral oil, phenoxyethanol, purified water, stearyl alcohol, and xanthan gum.

12.4 Microbiology

Mupirocin is an RNA synthetase inhibitor antibacterial produced by fermentation using the organism Pseudomonas fluorescens.

8.4 Pediatric Use

The safety and effectiveness of mupirocin cream have been established in the age-groups 3 months to 16 years. Use of mupirocin cream in these age-groups is supported by evidence from adequate and well-controlled trials of mupirocin cream in adults with additional data from 93 pediatric subjects studied as part of the pivotal trials in adults [see Clinical Studies (14)] .

8.5 Geriatric Use

In 2 adequate and well-controlled trials, 30 subjects older than 65 years were treated with mupirocin cream. No overall difference in the efficacy or safety of mupirocin cream was observed in this patient population when compared with that observed in younger patients.

5.2 Eye Irritation

Avoid contact with the eyes. In case of accidental contact, rinse well with water.

14 Clinical Studies (14 CLINICAL STUDIES)

The efficacy of topical mupirocin cream for the treatment of secondarily infected traumatic skin lesions (e.g., lacerations, sutured wounds, and abrasions not more than 10 cm in length or 100 cm 2in total area) was compared with that of oral cephalexin in 2 randomized, double-blind, double-dummy clinical trials. Clinical efficacy rates at follow-up in the per-protocol populations (adults and pediatric subjects included) were 96.1% for mupirocin cream (n = 231) and 93.1% for oral cephalexin (n = 219). Pathogen eradication rates at follow-up in the per-protocol populations were 100% for both mupirocin cream and oral cephalexin.

4 Contraindications (4 CONTRAINDICATIONS)

Mupirocin cream is contraindicated in patients with known hypersensitivity to mupirocin or any of the excipients of mupirocin cream.

6 Adverse Reactions (6 ADVERSE REACTIONS)

The following adverse reactions are discussed in more detail in other sections of the labeling:

5.3 Local Irritation

In the event of a sensitization or severe local irritation from mupirocin cream, usage should be discontinued, and appropriate alternative therapy for the infection instituted.

1 Indications and Usage (1 INDICATIONS AND USAGE)

Mupirocin Cream USP, 2% is indicated for the treatment of secondarily infected traumatic skin lesions (up to 10 cm in length or 100 cm 2in area) due to susceptible isolates of Staphylococcus aureus (S. aureus)and Streptococcus pyogenes (S. pyogenes).

12.1 Mechanism of Action

Mupirocin is an RNA synthetase inhibitor antibacterial [see Microbiology (12.4)] .

5.4 Clostridium Difficile (5.4 Clostridium difficile)

Clostridium difficile-associated diarrhea (CDAD) has been reported with use of nearly all antibacterial agents and may range in severity from mild diarrhea to fatal colitis. Treatment with antibacterial agents alters the normal flora of the colon leading to overgrowth of C. difficile.

C. difficileproduces toxins A and B which contribute to the development of CDAD. Hypertoxin-producing strains of C. difficilecause increased morbidity and mortality, as these infections can be refractory to antimicrobial therapy and may require colectomy. CDAD must be considered in all patients who present with diarrhea following antibacterial drug use. Careful medical history is necessary since CDAD has been reported to occur over 2 months after the administration of antibacterial agents.

If CDAD is suspected or confirmed, ongoing antibacterial drug use not directed against C. difficilemay need to be discontinued. Appropriate fluid and electrolyte management, protein supplementation, antibacterial treatment of C. difficile, and surgical evaluation should be instituted as clinically indicated.

5 Warnings and Precautions (5 WARNINGS AND PRECAUTIONS)
  • Severe Allergic Reactions: Anaphylaxis, urticaria, angioedema, and generalized rash have been reported in patients treated with formulations of mupirocin, including mupirocin cream. ( 5.1)
  • Eye Irritation: Avoid contact with eyes. ( 5.2)
  • Local Irritation: Discontinue in the event of sensitization or severe local irritation. ( 5.3)
  • Clostridium difficile-Associated Diarrhea (CDAD): If diarrhea occurs, evaluate patients for CDAD. ( 5.4)
  • Potential for Microbial Overgrowth: Prolonged use may result in overgrowth of nonsusceptible microorganisms, including fungi. ( 5.5)
  • Risk Associated with Mucosal Use: Mupirocin cream is not formulated for use on mucosal surfaces. A separate formulation, mupirocin nasal ointment, is available for intranasal use. ( 5.6)
2 Dosage and Administration (2 DOSAGE AND ADMINISTRATION)
  • For Topical Use Only.
  • Apply a small amount of mupirocin cream, with a cotton swab or gauze pad, to the affected area 3 times daily for 10 days.
  • Cover the treated area with gauze dressing if desired.
  • Re-evaluate patients not showing a clinical response within 3 to 5 days.
  • Mupirocin cream is not for intranasal, ophthalmic, or other mucosal use [see Warnings and Precautions (5.2, 5.6)] .
  • Do not apply mupirocin cream concurrently with any other lotions, creams or ointments [see Clinical Pharmacology (12.3)] .
3 Dosage Forms and Strengths (3 DOSAGE FORMS AND STRENGTHS)

Mupirocin Cream USP, 2% is a white cream that contains 20 mg (2% w/w) of mupirocin per gram in an oil- and water-based emulsion, supplied in 15-gram and 30-gram tubes.

6.2 Postmarketing Experience

In addition to adverse reactions reported from clinical trials, the following reactions have been identified during postmarketing use of mupirocin cream. Because they are reported voluntarily from a population of unknown size, estimates of frequency cannot be made. These reactions have been chosen for inclusion due to a combination of their seriousness, frequency of reporting, or potential causal relationship to mupirocin cream.

5.1 Severe Allergic Reactions

Systemic allergic reactions, including anaphylaxis, urticaria, angioedema, and generalized rash, have been reported in patients treated with formulations of mupirocin, including mupirocin cream [see Adverse Reactions (6.2)] .

6.1 Clinical Trials Experience

Because clinical trials are conducted under widely varying conditions, adverse reaction rates observed in the clinical trials of a drug cannot be directly compared with rates in the clinical trials of another drug and may not reflect the rates observed in practice.

In 2 randomized, double-blind, double-dummy trials, 339 subjects were treated with topical mupirocin cream plus oral placebo. Adverse reactions occurred in 28 (8.3%) subjects. The following adverse reactions were reported by at least 1% of subjects in connection with the use of mupirocin cream in clinical trials: headache (1.7%), rash (1.1%), and nausea (1.1%).

Other adverse reactions which occurred in less than 1% of subjects were: abdominal pain, burning at application site, cellulitis, dermatitis, dizziness, pruritus, secondary wound infection, and ulcerative stomatitis.

In a supportive trial in the treatment of secondarily infected eczema, 82 subjects were treated with mupirocin cream. The incidence of adverse reactions was as follows: nausea (4.9%), headache and burning at application site (3.6% each), pruritus (2.4%), and 1 report each of abdominal pain, bleeding secondary to eczema, pain secondary to eczema, hives, dry skin, and rash.

17 Patient Counseling Information (17 PATIENT COUNSELING INFORMATION)

Advise the patient to read the FDA-approved patient labeling (Patient Information).

Advise the patient to administer mupirocin cream as follows:

  • Use mupirocin cream only as directed by the healthcare provider. It is for external use only. Avoid contact of mupirocin cream with the eyes. If mupirocin cream gets in the eyes, rinse thoroughly with water.
  • Do not use mupirocin cream in the nose.
  • Wash your hands before and after applying mupirocin cream.
  • Use a gauze pad or cotton swab to apply a small amount of mupirocin cream to the affected area. The treated area may be covered by gauze dressing if desired.
  • Report to the healthcare provider any signs of local adverse reactions. Mupirocin cream should be stopped and the healthcare provider contacted if irritation, severe itching, or rash occurs.
  • Report to the healthcare provider or go to the nearest emergency room if severe allergic reactions, such as swelling of the lips, face, or tongue, or wheezing occur [see Warnings and Precautions (5.1)] .
  • If no improvement is seen in 3 to 5 days, contact the healthcare provider.
16 How Supplied/storage and Handling (16 HOW SUPPLIED/STORAGE AND HANDLING)

Mupirocin cream is a white cream that contains 20 mg (2% w/w) of mupirocin per gram in an oil- water-based emulsion.

Mupirocin Cream USP, 2% is supplied in 15-gram (NDC 16714-055-01) and 30-gram (NDC 16714-055-02) tubes.

5.6 Risk Associated With Mucosal Use (5.6 Risk Associated with Mucosal Use)

Mupirocin cream is not formulated for use on mucosal surfaces. A separate formulation, mupirocin calcium nasal ointment, is available for intranasal use.

5.5 Potential for Microbial Overgrowth

As with other antibacterial products, prolonged use of mupirocin cream may result in overgrowth of nonsusceptible microorganisms, including fungi [see Dosage and Administration (2)] .

Principal Display Panel 30 G Tube Carton (PRINCIPAL DISPLAY PANEL - 30 g Tube Carton)

NDC 16714-055-02

Rx only

Mupirocin Cream USP

2%

FOR DERMATOLOGIC USE ONLY.

NORTHSTARx ®

30 g

13.1 Carcinogenesis, Mutagenesis, Impairment of Fertility

Long-term studies in animals to evaluate carcinogenic potential of mupirocin calcium have not been conducted.

Results of the following studies performed with mupirocin calcium or mupirocin sodium in vitroand in vivodid not indicate a potential for genotoxicity: rat primary hepatocyte unscheduled DNA synthesis, sediment analysis for DNA strand breaks, Salmonellareversion test (Ames), Escherichia colimutation assay, metaphase analysis of human lymphocytes, mouse lymphoma assay, and bone marrow micronuclei assay in mice.

In a fertility/reproductive performance study (with dosing through lactation), mupirocin administered subcutaneously to male and female rats at doses up to 100 mg per kg per day which is 14 times the human topical dose (approximately 60 mg mupirocin per day) based on calculations of dose divided by the entire body surface area, did not result in impaired fertility or impaired reproductive performance attributable to mupirocin.


Advanced Ingredient Data


Raw Label Data

All Sections (JSON)