These Highlights Do Not Include All The Information Needed To Use Zolpidem Tartrate Sublingual Tablets Safely And Effectively. See Full Prescribing Information For Zolpidem Tartrate Sublingual Tablets.

These Highlights Do Not Include All The Information Needed To Use Zolpidem Tartrate Sublingual Tablets Safely And Effectively. See Full Prescribing Information For Zolpidem Tartrate Sublingual Tablets.
SPL v6
SPL
SPL Set ID 6db679f6-b1f8-4fbf-9e87-9cef4650c45a
Route
SUBLINGUAL
Published
Effective Date 2017-11-02
Document Type 34391-3 HUMAN PRESCRIPTION DRUG LABEL

Drug Facts

Composition & Product

Active Ingredients
Zolpidem (1.75 mg)
Inactive Ingredients
Crospovidone Povidone Mannitol Polyvinyl Acetate Phthalate Silicon Dioxide Sodium Carbonate Sodium Bicarbonate Aspartame Magnesium Stearate

Identifiers & Packaging

Pill Appearance
Imprint: NP Shape: round Color: white Size: 7 mm Size: 9 mm Score: 1
Marketing Status
ANDA Active Since 2016-03-22

Description

Complex sleep behaviors including sleep-walking, sleep-driving, and engaging in other activities while not fully awake may occur following use of Zolpidem Tartrate Sublingual Tablets. Some of these events may result in serious injuries, including death. Discontinue Zolpidem Tartrate Sublingual Tablets immediately if a patient experiences a complex sleep behavior [ see Contraindications (4) and Warnings and Precautions (5.1 )].

Indications and Usage

Zolpidem Tartrate is a GABA A agonist indicated for use as needed for the treatment of insomnia when a middle-of-the-night awakening is followed by difficulty returning to sleep ( 1 ) Limitation of Use: Not indicated for the treatment of middle-of-the night awakening when the patient has fewer than 4 hours of bedtime remaining before the planned time of waking ( 1 )

Dosage and Administration

Take only if 4 hours of bedtime remain before the planned time of waking ( 2.1 , 5.1 ) Zolpidem Tartrate Sublingual Tablets should be placed under the tongue and allowed to disintegrate completely before swallowing. The tablet should not be swallowed whole. ( 2.1 ) The effect of Zolpidem Tartrate Sublingual Tablets may be slowed if taken with or immediately after a meal ( 2.1 ) Recommended dose is 1.75 mg for women and 3.5 mg for men, taken only once per night if needed ( 2.2 ) Lower doses of CNS depressants may be necessary when taken concomitantly with Zolpidem Tartrate Sublingual Tablets ( 2.3 ) Co-administration with CNS depressants: Recommended dose is 1.75 mg for men and women ( 2.3 ) Geriatric patients and patients with hepatic impairment: Recommended dose is 1.75 mg for men and women ( 2.4 , 2.5 )

Warnings and Precautions

CNS depressant effects: Impairs alertness and motor coordination, including risk of morning impairment. Risk increases with dose and use with other CNS depressants and alcohol. Instruct patients on correct use (5.2) Evaluate for co-morbid diagnoses: Re-evaluate if insomnia persists after 7 to 10 days of use (5.2) Severe anaphylactic/anaphylactoid reactions: Angioedema and anaphylaxis have been reported. Do not re-challenge if such reactions occur (5.3) Abnormal Thinking and Behavioral Changes: Changes including decreased inhibition, bizarre behavior, agitation and depersonalization have been reported. Immediately evaluate any new onset behavioral changes (5.5) Depression: Worsening of depression or suicidal thinking may occur. Prescribe the least number of tablets feasible to avoid intentional overdose (5.6) Respiratory Depression: Consider this risk before prescribing in patients with compromised respiratory function (5.7)

Contraindications

Patients who have experienced complex sleep behaviors after taking Zolpidem Tartrate Sublingual Tablets (4, 5.1) Known hypersensitivity to zolpidem (4)

Adverse Reactions

Most commonly observed adverse reactions (> 1% in adult patients) are headache, nausea, and fatigue. ( 6.1 ) To report SUSPECTED ADVERSE REACTIONS, contact Lupin Pharmaceuticals, Inc. at 1-866-403-7592 or FDA at 1-800-FDA-1088 or http://www.fda.gov/medwatch

Drug Interactions

CNS depressants, including alcohol: Possible adverse additive CNS depressant effects ( 5.1 , 7.1 ) Imipramine: Decreased alertness observed ( 7.1 ) Chlorpromazine: Impaired alertness and psychomotor performance observed ( 7.1 ) Rifampin: Combination use may decrease effects ( 7.2 ) Ketoconazole: Combination use may increase effects ( 7.2 )

Storage and Handling

Each Zolpidem Tartrate Sublingual Tablet is individually packaged in a blister inside a unit-dose pouch. Zolpidem Tartrate Sublingual Tablets 1.75 mg are white to off white, round, flat faced beveled edged debossed with "N2" on one side and plain on the other side and supplied as: NDC 43386-762-30: Carton of 30 unit-dose pouches Zolpidem Tartrate Sublingual Tablets 3.5 mg are white to off white, round, flat faced beveled edged debossed with "NP" on one side and plain on the other side and supplied as: NDC 43386-761-30: Carton of 30 unit-dose pouches Storage and Handling Store between 20°C to 25°C (68°F to 77°F), [see USP Controlled Room Temperature]. Protect from moisture. The patient should be instructed not to remove the blister from the unit-dose pouch until the patient is ready to consume the sublingual tablet inside. Do not use if blister seal is broken or missing.

How Supplied

Each Zolpidem Tartrate Sublingual Tablet is individually packaged in a blister inside a unit-dose pouch. Zolpidem Tartrate Sublingual Tablets 1.75 mg are white to off white, round, flat faced beveled edged debossed with "N2" on one side and plain on the other side and supplied as: NDC 43386-762-30: Carton of 30 unit-dose pouches Zolpidem Tartrate Sublingual Tablets 3.5 mg are white to off white, round, flat faced beveled edged debossed with "NP" on one side and plain on the other side and supplied as: NDC 43386-761-30: Carton of 30 unit-dose pouches Storage and Handling Store between 20°C to 25°C (68°F to 77°F), [see USP Controlled Room Temperature]. Protect from moisture. The patient should be instructed not to remove the blister from the unit-dose pouch until the patient is ready to consume the sublingual tablet inside. Do not use if blister seal is broken or missing.


Medication Information

Recent Major Changes
Box Warning

08/2019

Contraindications (4)

08/2019

Warnings and Precautions, Complex Sleep Behaviors (5.1)

08/2019

Warnings and Precautions, CNS Depressant Effects and Next-Day Impairment (5.2)

08/2019

Warnings and Precautions

CNS depressant effects: Impairs alertness and motor coordination, including risk of morning impairment. Risk increases with dose and use with other CNS depressants and alcohol. Instruct patients on correct use (5.2) Evaluate for co-morbid diagnoses: Re-evaluate if insomnia persists after 7 to 10 days of use (5.2) Severe anaphylactic/anaphylactoid reactions: Angioedema and anaphylaxis have been reported. Do not re-challenge if such reactions occur (5.3) Abnormal Thinking and Behavioral Changes: Changes including decreased inhibition, bizarre behavior, agitation and depersonalization have been reported. Immediately evaluate any new onset behavioral changes (5.5) Depression: Worsening of depression or suicidal thinking may occur. Prescribe the least number of tablets feasible to avoid intentional overdose (5.6) Respiratory Depression: Consider this risk before prescribing in patients with compromised respiratory function (5.7)

Indications and Usage

Zolpidem Tartrate is a GABA A agonist indicated for use as needed for the treatment of insomnia when a middle-of-the-night awakening is followed by difficulty returning to sleep ( 1 ) Limitation of Use: Not indicated for the treatment of middle-of-the night awakening when the patient has fewer than 4 hours of bedtime remaining before the planned time of waking ( 1 )

Dosage and Administration

Take only if 4 hours of bedtime remain before the planned time of waking ( 2.1 , 5.1 ) Zolpidem Tartrate Sublingual Tablets should be placed under the tongue and allowed to disintegrate completely before swallowing. The tablet should not be swallowed whole. ( 2.1 ) The effect of Zolpidem Tartrate Sublingual Tablets may be slowed if taken with or immediately after a meal ( 2.1 ) Recommended dose is 1.75 mg for women and 3.5 mg for men, taken only once per night if needed ( 2.2 ) Lower doses of CNS depressants may be necessary when taken concomitantly with Zolpidem Tartrate Sublingual Tablets ( 2.3 ) Co-administration with CNS depressants: Recommended dose is 1.75 mg for men and women ( 2.3 ) Geriatric patients and patients with hepatic impairment: Recommended dose is 1.75 mg for men and women ( 2.4 , 2.5 )

Contraindications

Patients who have experienced complex sleep behaviors after taking Zolpidem Tartrate Sublingual Tablets (4, 5.1) Known hypersensitivity to zolpidem (4)

Adverse Reactions

Most commonly observed adverse reactions (> 1% in adult patients) are headache, nausea, and fatigue. ( 6.1 ) To report SUSPECTED ADVERSE REACTIONS, contact Lupin Pharmaceuticals, Inc. at 1-866-403-7592 or FDA at 1-800-FDA-1088 or http://www.fda.gov/medwatch

Drug Interactions

CNS depressants, including alcohol: Possible adverse additive CNS depressant effects ( 5.1 , 7.1 ) Imipramine: Decreased alertness observed ( 7.1 ) Chlorpromazine: Impaired alertness and psychomotor performance observed ( 7.1 ) Rifampin: Combination use may decrease effects ( 7.2 ) Ketoconazole: Combination use may increase effects ( 7.2 )

Storage and Handling

Each Zolpidem Tartrate Sublingual Tablet is individually packaged in a blister inside a unit-dose pouch. Zolpidem Tartrate Sublingual Tablets 1.75 mg are white to off white, round, flat faced beveled edged debossed with "N2" on one side and plain on the other side and supplied as: NDC 43386-762-30: Carton of 30 unit-dose pouches Zolpidem Tartrate Sublingual Tablets 3.5 mg are white to off white, round, flat faced beveled edged debossed with "NP" on one side and plain on the other side and supplied as: NDC 43386-761-30: Carton of 30 unit-dose pouches Storage and Handling Store between 20°C to 25°C (68°F to 77°F), [see USP Controlled Room Temperature]. Protect from moisture. The patient should be instructed not to remove the blister from the unit-dose pouch until the patient is ready to consume the sublingual tablet inside. Do not use if blister seal is broken or missing.

How Supplied

Each Zolpidem Tartrate Sublingual Tablet is individually packaged in a blister inside a unit-dose pouch. Zolpidem Tartrate Sublingual Tablets 1.75 mg are white to off white, round, flat faced beveled edged debossed with "N2" on one side and plain on the other side and supplied as: NDC 43386-762-30: Carton of 30 unit-dose pouches Zolpidem Tartrate Sublingual Tablets 3.5 mg are white to off white, round, flat faced beveled edged debossed with "NP" on one side and plain on the other side and supplied as: NDC 43386-761-30: Carton of 30 unit-dose pouches Storage and Handling Store between 20°C to 25°C (68°F to 77°F), [see USP Controlled Room Temperature]. Protect from moisture. The patient should be instructed not to remove the blister from the unit-dose pouch until the patient is ready to consume the sublingual tablet inside. Do not use if blister seal is broken or missing.

Description

Complex sleep behaviors including sleep-walking, sleep-driving, and engaging in other activities while not fully awake may occur following use of Zolpidem Tartrate Sublingual Tablets. Some of these events may result in serious injuries, including death. Discontinue Zolpidem Tartrate Sublingual Tablets immediately if a patient experiences a complex sleep behavior [ see Contraindications (4) and Warnings and Precautions (5.1 )].

Section 42229-5

Zolpidem Tartrate Sublingual Tablet is indicated for use as needed for the treatment of insomnia when a middle-of-the-night awakening is followed by difficulty returning to sleep.

Limitations of Use: Zolpidem Tartrate Sublingual Tablet is not indicated for the treatment of middle-of-the-night insomnia when the patient has fewer than 4 hours of bedtime remaining before the planned time of waking.

9.2 Abuse

Abuse and addiction are separate and distinct from physical dependence and tolerance. Abuse is characterized by misuse of the drug for non-medical purposes, often in combination with other psychoactive substances. Tolerance is a state of adaptation in which exposure to a drug induces changes that result in diminution of one or more of the drug effects over time. Tolerance may occur to both desired and undesired effects of drugs and may develop at different rates for different effects.

Addiction is a primary, chronic, neurobiological disease with genetic, psychosocial, and environmental factors influencing its development and manifestations. It is characterized by behaviors that include one or more of the following: impaired control over drug use, compulsive use, continued use despite harm, and craving. Drug addiction is a treatable disease, using a multidisciplinary approach, but relapse is common.

Studies of abuse potential in former drug abusers found that the effects of single doses of 40 mg of oral zolpidem tartrate were similar, but not identical, to diazepam 20 mg, while 10 mg of oral zolpidem tartrate was difficult to distinguish from placebo.

Because persons with a history of addiction to or abuse of drugs or alcohol are at increased risk for misuse, abuse and addiction of zolpidem, they should be monitored carefully when receiving Zolpidem Tartrate Sublingual Tablets.

8.1 Pregnancy

Pregnancy Category C

There are no adequate and well-controlled studies of zolpidem in pregnant women. Studies in children to assess the effects of prenatal exposure to zolpidem have not been conducted; however, cases of severe neonatal respiratory depression have been reported when zolpidem was used at the end of pregnancy, especially when taken with other CNS-depressants. Children born to mothers taking sedative-hypnotic drugs may be at risk for withdrawal symptoms during the postnatal period. Neonatal flaccidity has also been reported in infants born to mothers who received sedative-hypnotic drugs during pregnancy. Zolpidem Tartrate Sublingual Tablets should be used during pregnancy only if the potential benefit outweighs the potential risk to the fetus.

Administration of zolpidem to pregnant rats and rabbits resulted in adverse effects on offspring at doses greater than the recommended human dose (RHD) of 3.5 mg/day (approximately 2.8 mg/day zolpidem base); however, teratogenicity was not observed.

When zolpidem was administered at oral doses of 4, 20, and 100 mg base/kg/day to pregnant rats during the period of organogenesis, dose-related decreases in fetal skull ossification were observed at all but the lowest dose, which is approximately 15 times the RHD on a mg/m 2 basis. In rabbits treated during organogenesis with zolpidem at oral doses of 1, 4, and 16 mg base/kg/day, increased embryo-fetal death and incomplete fetal skull ossification were seen at the highest dose tested. The no-effect dose for embryo-fetal toxicity in rabbits is approximately 30 times the RHD on a mg/m 2 basis.

Administration of zolpidem to rats at oral doses of 4, 20, and 100 mg base/kg/day during the latter part of pregnancy and throughout lactation produced decreased offspring growth and survival at all but the lowest dose, which is approximately 15 times the RHD on a mg/m2 basis.

11 Description

Zolpidem Tartrate Sublingual Tablets contains zolpidem tartrate, a non-benzodiazepine hypnotic of the imidazopyridine class. Zolpidem Tartrate Sublingual Tablets are available in 1.75 mg and 3.5 mg strength tablets for sublingual administration. Zolpidem Tartrate Sublingual Tablets are intended to be placed under the tongue where they will disintegrate.

Zolpidem Tartrate Sublingual Tablets contain a bicarbonate-carbonate buffer.

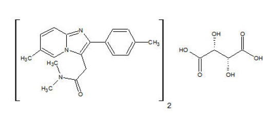
Chemically, zolpidem tartrate is N,N-6-trimethyl-2- p-tolylimidazo[1,2- α]pyridine-3-acetamide L-(+)-tartrate (2:1).

Zolpidem tartrate is a white to almost white crystalline powder that is sparingly soluble in water, alcohol, and propylene glycol. It has a molecular weight of 764.88.

Each Zolpidem Tartrate Sublingual Tablet includes the following inactive ingredients: Crospovidone, Povidone, Mannitol, Polyvinylacetate, colloidal silicon dioxide, sodium carbonate anhydrous, sodium bicarbonate, natural and artificial spearmint flavor, aspartame, and magnesium stearate.

9.3 Dependence

Physical dependence is a state of adaptation that is manifested by a specific withdrawal syndrome that can be produced by abrupt cessation, rapid dose reduction, decreasing blood level of the drug, and/or administration of an antagonist.

Sedative-hypnotics have produced withdrawal signs and symptoms following abrupt discontinuation. These reported symptoms range from mild dysphoria and insomnia to a withdrawal syndrome that may include abdominal and muscle cramps, vomiting, sweating, tremors, and convulsions. The following adverse events which are considered to meet the DSM-III-R criteria for uncomplicated sedative-hypnotic withdrawal were reported during U.S. clinical trials with other oral zolpidem formulations following placebo substitution occurring within 48 hours following the last zolpidem treatment: fatigue, nausea, flushing, lightheadedness, uncontrolled crying, emesis, stomach cramps, panic attack, nervousness, and abdominal discomfort. These reported adverse events occurred at an incidence of 1% or less. However, available data cannot provide a reliable estimate of the incidence, if any, of dependence during treatment at recommended doses. Post-marketing reports of abuse, dependence, and withdrawal resulting from use of oral zolpidem tartrate have been received.

Medication Guide

Zolpidem Tartrate ((zol' pi dem tar' trate)) Sublingual Tablet CIV

8.4 Pediatric Use

Zolpidem Tartrate Sublingual Tablets are not recommended for use in children. Safety and effectiveness of Zolpidem Tartrate Sublingual Tablets have not been established in pediatric patients below the age of 18.

In an 8-week study in pediatric patients (aged 6 to 17 years) with insomnia associated with ADHD, an oral solution of zolpidem tartrate dosed at 0.25 mg/kg at bedtime did not decrease sleep latency compared to placebo. Hallucinations were reported in 7% of the pediatric patients who received zolpidem; none of the pediatric patients who received placebo reported hallucinations.

8.5 Geriatric Use

Zolpidem Tartrate Sublingual Tablets dosage adjustment is necessary in geriatric patients. Sedating drugs may cause confusion and over-sedation in the elderly; elderly patients generally should be started on low doses of Zolpidem Tartrate Sublingual Tablets and observed closely [see Dosage and Administration (2.4), and Clinical Pharmacology (12.3)].

Clinical trial experience with other zolpidem formulations (5 mg to 10 mg oral zolpidem tartrate) given at bedtime:

A total of 154 patients in U.S.-controlled clinical trials and 897 patients in non-U.S. clinical trials who received oral zolpidem were ≥ 60 years of age. For a pool of U.S. patients receiving oral zolpidem tartrate at doses of ≤ 10 mg or placebo, there were three adverse reactions occurring at an incidence of at least 3% for zolpidem and for which the zolpidem incidence was at least twice the placebo incidence (see Table 2).

Falls in geriatric patients:

A total of 30/1,959 (2%) non-U.S. patients receiving other zolpidem formulations (5 mg to 10 mg oral zolpidem tartrate) reported falls, including 28/30 (93%) who were ≥ 70 years of age. Of these 28 patients, 23 (82%) were receiving zolpidem tartrate doses > 10 mg. A total of 24/1,959 (1%) non-U.S. patients receiving zolpidem reported confusion, including 18/24 (75%) who were ≥70 years of age. Of these 18 patients, 14 (78%) were receiving zolpidem tartrate doses >10 mg.

The dose of Zolpidem Tartrate Sublingual Tablets in elderly patients is 1.75 mg to minimize adverse effects related to impaired motor and/or cognitive performance and unusual sensitivity to sedative-hypnotic drugs.

Table 2: Adverse Reactions in Geriatric Patients in Pooled Trials of 5 mg to 10 mg of Oral Zolpidem Tartrate Given at Bedtime

Adverse Reaction

5 to 10 mg Oral

Zolpidem Tartrate

Placebo



Dizziness

3%

0%

Drowsiness

5%

2%

Diarrhea

3%

1%

4 Contraindications
  • Patients who have experienced complex sleep behaviors after taking Zolpidem Tartrate Sublingual Tablets (4, 5.1)
  • Known hypersensitivity to zolpidem (4)
6 Adverse Reactions

Most commonly observed adverse reactions (> 1% in adult patients) are headache, nausea, and fatigue. ( 6.1)

To report SUSPECTED ADVERSE REACTIONS, contact Lupin Pharmaceuticals, Inc. at 1-866-403-7592 or FDA at 1-800-FDA-1088 or http://www.fda.gov/medwatch

7 Drug Interactions
  • CNS depressants, including alcohol: Possible adverse additive CNS depressant effects ( 5.1, 7.1)
  • Imipramine: Decreased alertness observed ( 7.1)
  • Chlorpromazine: Impaired alertness and psychomotor performance observed ( 7.1)
  • Rifampin: Combination use may decrease effects ( 7.2)
  • Ketoconazole: Combination use may increase effects ( 7.2)
8.3 Nursing Mothers

Zolpidem is excreted in human milk. The effect of zolpidem on the nursing infant is not known.

7.1 Cns Active Drugs

Co-administration of zolpidem with other CNS depressants increases the risk of CNS depression [see Warnings and Precautions (5.2)]. Zolpidem tartrate was evaluated in healthy volunteers in single-dose interaction studies for several CNS drugs.

Imipramine

Imipramine in combination with zolpidem produced no pharmacokinetic interaction other than a 20% decrease in peak levels of imipramine, but there was an additive effect of decreased alertness. Similarly, chlorpromazine in combination with zolpidem produced no pharmacokinetic interaction, but there was an additive effect of decreased alertness and psychomotor performance.

Haloperidol

A study involving haloperidol and zolpidem revealed no effect of haloperidol on the pharmacokinetics or pharmacodynamics of zolpidem. The lack of a drug interaction following single-dose administration does not predict the absence of an effect following chronic administration.

Alcohol

An additive adverse effect on psychomotor performance between alcohol and oral zolpidem was demonstrated [see Warnings and Precautions (5.2)].

Sertraline

Concomitant administration of zolpidem and sertraline increases exposure to zolpidem and may increase the pharmacodynamic effect of zolpidem.

Fluoxetine

After multiple doses of zolpidem tartrate and fluoxetine, an increase in the zolpidem halflife (17%) was observed. There was no evidence of an additive effect in psychomotor performance [see Clinical Pharmacology (12.3)].

12.3 Pharmacokinetics

Absorption

Zolpidem Tartrate Sublingual Tablets disintegrates in the sublingual cavity after administration. On average, Zolpidem Tartrate Sublingual Tablets are rapidly absorbed in both genders, with a mean T max across studies of about 35 minutes to about 75 minutes.

In healthy normal volunteers (age 21 to 45 years) dosed with 3.5 mg Zolpidem Tartrate Sublingual Tablets, the average C max and AUC were 77 ng/mL and 296 ng·h/mL, respectively in women. The average C max and AUC were 53 ng/mL and 198 ng·h/mL, respectively in men. In women, the average C max and AUC of the 1.75 mg Zolpidem Tartrate Sublingual Tablets dose were 37 ng/mL and 151 ng·h/mL, respectively.

Food decreased the overall C max and AUC of Zolpidem Tartrate Sublingual Tablets 3.5 mg by 42% and 19%, respectively, and increased the time to peak exposure (T max) to nearly 3 hours. For optimal effect, Zolpidem Tartrate Sublingual Tablets should not be administered with or immediately after a meal.

Distribution

Based on data obtained with oral zolpidem, the total protein binding was found to be 93% ± 0.1% and remained constant independent of concentration between 40 ng/mL and 790 ng/mL.

Metabolism

Based on data obtained with oral zolpidem, zolpidem tartrate is converted to inactive metabolites that are eliminated primarily by renal excretion.

Elimination

The elimination half-life of a single dose of a 3.5 mg Zolpidem Tartrate Sublingual Tablet is approximately 2.5 hours (range 1.4 to 3.6 hours).

Special Populations

Elderly: The recommended dose for Zolpidem Tartrate Sublingual Tablets is 1.75 mg. A pharmacokinetic study of 1.75 mg and 3.5 mg doses of Zolpidem Tartrate Sublingual Tablets showed that the plasma C max and AUC 0-4hr in elderly subjects following the 3.5 mg dose was higher by 34% and 30%, respectively, than the non-elderly subjects. The C max and AUC of 1.75 mg in elderly subjects were consistently lower than those observed for the 3.5 mg dose in non-elderly subjects but consistently higher than the 1.75 mg dose in non-elderly subjects. The elimination half-life remained unchanged.

Hepatic Impairment: The pharmacokinetics of oral zolpidem tartrate in eight patients with chronic hepatic insufficiency were compared to results in subjects with normal hepatic function. Following a single 20 mg oral zolpidem tartrate dose, mean C max and AUC were found to be two times (250 ng/mL vs. 499 ng/mL) and five times (788 ng·hr/mL vs. 4203 ng·hr/mL) higher, respectively, in hepatically compromised patients compared to subjects with normal hepatic function. T max did not change. The mean half-life in cirrhotic patients of 9.9 hr (range: 4.1 to 25.8 hr) was greater than that observed in subjects with normal hepatic function of 2.2 hr (range: 1.6 to 2.4 hr). Dosing should be modified accordingly in patients with hepatic insufficiency [see Dosage and

Administration (2.5)].

Renal Impairment: The pharmacokinetics of zolpidem tartrate were studied in 11 patients with end-stage renal failure (mean Cl Cr = 6.5 ± 1.5 mL/min) undergoing hemodialysis three times a week, who were dosed with zolpidem tartrate 10 mg orally each day for 14 or 21 days. No statistically significant differences were observed for C max, T max, half-life, and AUC between the first and last day of drug administration when baseline concentration adjustments were made. Zolpidem was not hemodialyzable. No accumulation of unchanged drug appeared after 14 or 21 days. Zolpidem pharmacokinetics were not significantly different in renally-impaired patients. No dosage adjustment is necessary in patients with renal impairment.

Drug Interactions

CNS-depressants

Co-administration of zolpidem with other CNS depressants increases the risk of CNS depression [see Warnings and Precautions (5.1)]. Zolpidem tartrate was evaluated in healthy volunteers in single-dose interaction studies for several CNS drugs. Imipramine in combination with zolpidem produced no pharmacokinetic interaction other than a 20% decrease in peak levels of imipramine, but there was an additive effect of decreased alertness. Similarly, chlorpromazine in combination with zolpidem produced no pharmacokinetic interaction, but there was an additive effect of decreased alertness and psychomotor performance.

A study involving haloperidol and zolpidem revealed no effect of haloperidol on the pharmacokinetics or pharmacodynamics of zolpidem. The lack of a drug interaction following single-dose administration does not predict the absence of an effect following chronic administration.

An additive adverse effect on psychomotor performance between alcohol and oral zolpidem was demonstrated [see Warnings and Precautions (5.1)].

Following five consecutive nightly doses at bedtime of oral zolpidem tartrate 10 mg in the presence of sertraline 50 mg (17 consecutive daily doses, at 7:00 am, in healthy female volunteers), zolpidem C max was significantly higher (43%) and Tmax was significantly decreased (-53%). Pharmacokinetics of sertraline and N-desmethylsertraline were unaffected by zolpidem.

A single-dose interaction study with zolpidem tartrate 10 mg and fluoxetine 20 mg at steady-state levels in male volunteers did not demonstrate any clinically significant pharmacokinetic or pharmacodynamic interactions. When multiple doses of zolpidem and fluoxetine were given at steady state and the concentrations evaluated in healthy females, an increase in the zolpidem half-life (17%) was observed. There was no evidence of an additive effect in psychomotor performance.

Drugs that Affect Drug Metabolism via Cytochrome P450

Some compounds known to inhibit CYP3A may increase exposure to zolpidem. The effect of inhibitors of other P450 enzymes on the pharmacokinetics of zolpidem is unknown.

A single-dose interaction study with zolpidem tartrate 10 mg and itraconazole 200 mg at steady-state levels in male volunteers resulted in a 34% increase in AUC 0-∞ of zolpidem tartrate. There were no pharmacodynamic effects of zolpidem detected on subjective drowsiness, postural sway, or psychomotor performance.

A single-dose interaction study with zolpidem tartrate 10 mg and rifampin 600 mg at steady-state levels in female subjects showed significant reductions of the AUC (-73%), C max (-58%), and T 1/2 (-36 %) of zolpidem together with significant reductions in the pharmacodynamic effects of zolpidem tartrate. Rifampin, a CYP3A4 inducer, significantly reduced the exposure to and the pharmacodynamic effects of zolpidem.

A single-dose interaction study with zolpidem tartrate 5 mg and ketoconazole, a potent CYP3A4 inhibitor, given as 200 mg twice daily for 2 days increased C max of zolpidem (30%) and the total AUC of zolpidem (70%) compared to zolpidem alone and prolonged the elimination half-life (30 %) along with an increase in the pharmacodynamic effects of zolpidem. Consideration should be given to using a lower dose of zolpidem when ketoconazole and zolpidem are given together.

Other Drugs with No Interactions with Zolpidem

A study involving cimetidine/zolpidem tartrate and ranitidine/zolpidem tartrate combinations revealed no effect of either drug on the pharmacokinetics or pharmacodynamics of zolpidem.

Zolpidem tartrate had no effect on digoxin pharmacokinetics and did not affect prothrombin time when given with warfarin in healthy subjects.

5.8 Withdrawal Effects

There have been reports of withdrawal signs and symptoms following the rapid dose decrease or abrupt discontinuation of zolpidem. Monitor patients for tolerance, abuse, and dependence [see Drug Abuse and Dependence (9.2) and (9.3)].

Phenylketonurics

Phenylalanine is a component of aspartame. Each 3.5 mg and 1.75 mg Zolpidem Tartarate Sublingual Tablets contains 4.48 mg and 2.24 mg of phenylalanine.

1 Indications and Usage

Zolpidem Tartrate is a GABA A agonist indicated for use as needed for the treatment of insomnia when a middle-of-the-night awakening is followed by difficulty returning to sleep ( 1)

Limitation of Use: Not indicated for the treatment of middle-of-the night awakening when the patient has fewer than 4 hours of bedtime remaining before the planned time of waking ( 1)

10.1 Signs and Symptoms

In post-marketing experience of overdose with oral zolpidem tartrate alone, or in combination with CNS-depressant agents, impairment of consciousness ranging from somnolence to coma, cardiovascular and/or respiratory compromise, and fatal outcomes have been reported.

12.1 Mechanism of Action

Zolpidem, the active moiety of zolpidem tartrate, is a hypnotic agent with a chemical structure unrelated to benzodiazepines, barbiturates, or other drugs with known hypnotic properties. It interacts with a GABA-BZ complex and shares some of the pharmacological properties of the benzodiazepines. In contrast to the benzodiazepines, which nonselectively bind to and activate all BZ receptor subtypes, zolpidem in vitro binds the BZ 1 receptor preferentially with a high affinity ratio of the alpha 1/alpha 5 subunits. This selective binding of zolpidem on the BZ 1 receptor is not absolute, but it may explain the relative absence of myorelaxant and anticonvulsant effects in animal studies as well as the preservation of deep sleep (stages 3 and 4) in human studies of zolpidem at hypnotic doses.

9.1 Controlled Substance

Zolpidem tartrate is classified as a Schedule IV controlled substance by federal regulation.

10.2 Recommended Treatment

General symptomatic and supportive measures should be used along with immediate gastric lavage where appropriate. Intravenous fluids should be administered as needed. Zolpidem's sedative-hypnotic effect was shown to be reduced by flumazenil and therefore flumazenil may be useful; however, flumazenil administration may contribute to the appearance of neurological symptoms (convulsions). As in all cases of drug overdose, respiration, pulse, blood pressure, and other appropriate signs should be monitored and general supportive measures employed. Hypotension and CNS depression should be treated by appropriate medical intervention. Sedating drugs should be withheld following zolpidem overdosage, even if excitation occurs. The value of dialysis in the treatment of overdosage has not been determined, although hemodialysis studies in patients with renal failure receiving therapeutic doses have demonstrated that zolpidem is not dialyzable.

As with management of all overdosage, the possibility of multiple drug ingestion should be considered. The healthcare provider may wish to consider contacting a poison control center for up-to-date information on the management of hypnotic drug overdosage.

5 Warnings and Precautions
  • CNS depressant effects: Impairs alertness and motor coordination, including risk of morning impairment. Risk increases with dose and use with other CNS depressants and alcohol. Instruct patients on correct use (5.2)
  • Evaluate for co-morbid diagnoses: Re-evaluate if insomnia persists after 7 to 10 days of use (5.2)
  • Severe anaphylactic/anaphylactoid reactions: Angioedema and anaphylaxis have been reported. Do not re-challenge if such reactions occur (5.3)
  • Abnormal Thinking and Behavioral Changes: Changes including decreased inhibition, bizarre behavior, agitation and depersonalization have been reported. Immediately evaluate any new onset behavioral changes (5.5)
  • Depression: Worsening of depression or suicidal thinking may occur. Prescribe the least number of tablets feasible to avoid intentional overdose (5.6)
  • Respiratory Depression: Consider this risk before prescribing in patients with compromised respiratory function (5.7)
5.7 Respiratory Depression

Although studies with 10 mg zolpidem tartrate did not reveal respiratory depressant effects at hypnotic doses in healthy subjects or in patients with mild-to-moderate chronic obstructive pulmonary disease (COPD), a reduction in the Total Arousal Index, together with a reduction in lowest oxygen saturation and increase in the times of oxygen desaturation below 80% and 90%, was observed in patients with mild-to-moderate sleep apnea when treated with zolpidem compared to placebo. Since sedative-hypnotics have the capacity to depress respiratory drive, precautions should be taken if Zolpidem Tartrate Sublingual Tablets are prescribed to patients with compromised respiratory function. Post-marketing reports of respiratory insufficiency in patients receiving 10 mg of zolpidem tartrate, most of whom had pre-existing respiratory impairment, have been reported. The risks of respiratory depression should be considered prior to prescribing Zolpidem Tartrate Sublingual Tablets in patients with respiratory impairment including sleep apnea and myasthenia gravis.

14.2 Special Safety Studies

Driving Study

A randomized, double-blind, placebo-controlled, active-control, single-center, four-period, crossover study in 40 healthy subjects was conducted to evaluate the effects of middle-of-the-night administration of Zolpidem Tartrate Sublingual Tablets on next-morning driving performance. The four randomized treatments included Zolpidem Tartrate Sublingual Tablets 3.5 mg four hours before driving, Zolpidem Tartrate Sublingual Tablets 3.5 mg three hours before driving, placebo, and a positive control (an unapproved sedative-hypnotic) given nine hours before driving.

The primary outcome measure was the change in the standard deviation of lateral position (SDLP), a measure of driving impairment. The results were analyzed using a symmetry analysis, which determined the proportion of subjects whose change from their own SDLP in the placebo condition was statistically significantly above a threshold thought to reflect clinically meaningful driving impairment.

When driving began 3 hours after taking Zolpidem Tartrate Sublingual Tablets, testing had to be terminated for one subject (a 23-year old woman) due to somnolence. Overall, the symmetry analysis showed a statistically significant impairing effect at 3 hours. When driving began 4 hours after taking Zolpidem Tartrate Sublingual Tablets, statistically significant impairment was not found, but numerically Zolpidem Tartrate Sublingual Tablets was worse than placebo. Zolpidem blood levels were not measured in the driving study, and the study was not designed to correlate specific blood level with degree of impairment. However, the estimated blood level of zolpidem in patients whose SDLP worsened according to the symmetry analysis is considered to present a risk for driving impairment. In some women, the 3.5 mg dose of Zolpidem Tartrate Sublingual Tablets results in zolpidem blood levels that remain at or sometimes considerably above this level 4 or more hours after dosing. Therefore, the recommended dose for women is 1.75 mg. A small negative effect on SDLP may remain in some patients 4 hours after the 1.75 mg dose in women, and after the 3.5 mg dose in men, such that a potential negative effect on driving cannot be completely excluded.

Rebound effects

In studies performed with other zolpidem formulations (5 mg to 10 mg oral zolpidem tartrate) given at bedtime, there was no objective (polysomnographic) evidence of rebound insomnia at recommended doses seen in studies evaluating sleep on the nights following discontinuation. There was subjective evidence of impaired sleep in the elderly on the first post-treatment night at doses above the recommended elderly dose of 5 mg oral zolpidem tartrate.

Memory impairment in controlled studies

Controlled studies in adults utilizing objective measures of memory yielded no consistent evidence of next-day memory impairment following the administration at bedtime of 5 mg to 10 mg oral zolpidem tartrate. However, in one study involving zolpidem tartrate doses of 10 mg and 20 mg, there was a significant decrease in next-morning recall of information presented to subjects during peak drug effect (90 minutes post-dose), i.e., these subjects experienced anterograde amnesia. There was also subjective evidence from adverse event data for anterograde amnesia occurring in association with the administration of oral zolpidem tartrate, predominantly at doses above 10 mg.

2 Dosage and Administration
  • Take only if 4 hours of bedtime remain before the planned time of waking ( 2.1, 5.1)
  • Zolpidem Tartrate Sublingual Tablets should be placed under the tongue and allowed to disintegrate completely before swallowing. The tablet should not be swallowed whole. ( 2.1)
  • The effect of Zolpidem Tartrate Sublingual Tablets may be slowed if taken with or immediately after a meal ( 2.1)
  • Recommended dose is 1.75 mg for women and 3.5 mg for men, taken only once per night if needed ( 2.2)
  • Lower doses of CNS depressants may be necessary when taken concomitantly with Zolpidem Tartrate Sublingual Tablets ( 2.3)
  • Co-administration with CNS depressants: Recommended dose is 1.75 mg for men and women ( 2.3)
  • Geriatric patients and patients with hepatic impairment: Recommended dose is 1.75 mg for men and women ( 2.4, 2.5)
5.1 Complex Sleep Behaviors

Complex sleep behaviors including sleep-walking, sleep-driving, and engaging in other activities while not fully awake may occur following the first or any subsequent use of zolpidem. Patients can be seriously injured or injure others during complex sleep behaviors. Such injuries may result in a fatal outcome. Other complex sleep behaviors (e.g., preparing and eating food, making phone calls, or having sex) have also been reported.

Patients usually do not remember these events. Post-marketing reports have shown that complex sleep behaviors may occur with zolpidem alone at recommended dosages, with or without the concomitant use of alcohol or other central nervous system (CNS) depressants [ see Drug Interactions (7.1)], .].

Discontinue Zolpidem Tartrate Sublingual Tablets immediately if a patient experiences a complex sleep behavior

2.2 Basic Dosing Information

The recommended and maximum dose of Zolpidem Tartrate Sublingual Tablet is 1.75 mg for women and 3.5 mg for men, taken only once per night as needed if a middle-of-the-night awakening is followed by difficulty returning to sleep. The recommended doses for women and men are different because women clear zolpidem from the body at a lower rate than men [see Use in Specific Populations (8.6)] .

2.3 Use With Cns Depressants

The recommended Zolpidem Tartrate Sublingual Tablet dose for men and women who are taking concomitant CNS depressants is 1.75 mg. Dose adjustment of concomitant CNS depressants may be necessary when co-administered with Zolpidem Tartrate Sublingual Tablet because of potentially additive effects. The use of Zolpidem Tartrate Sublingual Tablet with other sedative-hypnotics (including other zolpidem products) at bedtime or the middle of the night is not recommended [see Warnings and Precautions (5.1)].

3 Dosage Forms and Strengths

1.75 mg and 3.5 mg sublingual tablets ( 3)

2.4 Use in Geriatric Patients

Geriatric patients may be especially sensitive to the effects of zolpidem. The recommended dose of Zolpidem Tartrate Sublingual Tablets in men and women over 65 years old is 1.75 mg, taken only once per night if needed [see Use in Specific Populations (8.5)].

8 Use in Specific Populations
  • Pregnancy: Based on animal data, zolpidem may cause fetal harm. ( 8.1)
  • Pediatric use: Safety and effectiveness of zolpidem not established. With bedtime dosing of zolpidem, hallucinations observed (incidence 7%) ( 8.4)
6.1 Clinical Trials Experience

The safety data described below are based on two double-blind placebo-controlled trials of Zolpidem Tartrate Sublingual Tablets in adult patients with insomnia characterized by difficulty returning to sleep after a middle-of-the-night awakening [see Clinical Studies (14.1)]. These two trials included 230 and 82 patients treated with 3.5 mg and 1.75 mg of Zolpidem Tartrate Sublingual Tablets, respectively. The first study was a 3-way crossover sleep-laboratory study in 82 patients (58 female and 24 male; median age 47 years; 51% Caucasian, 44% African-American) of 1.75 mg and 3.5 mg of Zolpidem Tartrate Sublingual Tablets compared to placebo (Study 1). The second study was a 4-week, parallel-group at-home study in 295 patients (201 female and 94 male; median age 43 years) of 3.5 mg of Zolpidem Tartrate Sublingual Tablets compared to placebo, used on an as needed basis after spontaneous middle-of-the-night awakenings (Study 2). In Study 2, patients took Zolpidem Tartrate Sublingual Tablets during the night on 62% of study nights.

Because clinical trials are conducted under widely varying conditions, adverse reaction rates observed in the clinical trials of a drug cannot be directly compared to rates in the clinical trials of another drug and may not reflect the rates observed in actual practice.

Table 1 shows the incidence of adverse reactions reported in Study 2 that occurred in 2% or more of Zolpidem Tartrate Sublingual Tablet-treated (3.5 mg) patients in which the incidence was greater than the incidence in placebo-treated patients. For women and other patients taking the 1.75 mg dose in Study 1, the incidence of adverse reactions was similar to the incidence seen with 3.5 mg of Zolpidem Tartrate Sublingual Tablets in Table 1.

The most commonly reported adverse reactions in all treatment groups were headache, nausea, and fatigue.

Table 1: Summary of Adverse Reactions (≥ 2%) in Outpatient, Double-Blind, Parallel-Group, Placebo-Controlled Study (Study 2)

MedDRA  System  Organ  Class  Preferred  Term



3 . mg  Zolpidem  Tartrate  Sublingual  Tablets

( n = 150 )

Placebo

( n = 145 )



Gastrointestinal  Disorders

4 %

2 %

 Nausea

1%

1%

General  Disorders  and  Administration  Site  Conditions

3 %

0 %

 Fatigue

1%

0%

Nervous  System  Disorders

5 %

3 %

 Headache

3%

1%

Warning Complex Sleep Behaviors

Complex sleep behaviors including sleep-walking, sleep-driving, and engaging in other activities while not fully awake may occur following use of Zolpidem Tartrate Sublingual Tablets. Some of these events may result in serious injuries, including death. Discontinue Zolpidem Tartrate Sublingual Tablets immediately if a patient experiences a complex sleep behavior [ see Contraindications (4) and Warnings and Precautions (5.1)].

17 Patient Counseling Information

See FDA-approved patient labeling (Medication Guide).

Inform patients and their families about the benefits and risks of treatment with Zolpidem Tartrate Sublingual Tablets. Inform patients of the availability of a Medication Guide and instruct them to read the Medication Guide prior to initiating treatment with Zolpidem Tartrate Sublingual Tablets and with each prescription refill. Review the Zolpidem Tartrate Sublingual Tablets Medication Guide with every patient prior to initiation of treatment. Instruct patients or caregivers that Zolpidem Tartrate Sublingual Tablets should be taken only as prescribed.

Complex Sleep Behaviors

Instruct patients and their families that Zolpidem Tartrate Sublingual Tablets may cause complex sleep behaviors, including sleep-walking, sleep-driving, preparing and eating food, making phone calls, or having sex while not being fully awake. Serious injuries and death have occurred during complex sleep behavior episodes. Tell patients to discontinue Zolpidem Tartrate Sublingual Tablets and notify their healthcare provider immediately if they develop any of these symptoms [see Boxed Warning, Warnings and Precautions (5.1)]

CNS depressant Effects and Next-Day Impairment

Tell patients that Zolpidem Tartrate Sublingual Tablets has the potential to cause next-day impairment, and that this risk is increased if dosing instructions are not carefully followed. Tell patients to wait for at least 4 hours after dosing and until they feel fully awake before driving or engaging in other activities requiring full mental alertness.

Severe Anaphylactic and Anaphylactoid Reactions

Inform patients that severe anaphylactic and anaphylactoid reactions have occurred with zolpidem. Describe the signs/symptoms of these reactions and advise patients to seek medical attention immediately if any of them occur.

Suicide

Tell patients to immediately report any suicidal thoughts.

Administration Instructions

For detailed instructions on how to use Zolpidem Tartrate Sublingual Tablets, tell patients to refer to the Patient Instructions for Use.

Tell patients that Zolpidem Tartrate Sublingual Tablets are to be taken only once per night if needed if they wake in the middle of the night and have difficulty returning to sleep. Tell patients that Zolpidem Tartrate Sublingual Tablets should only be taken if they have 4 hours of bedtime remaining before the planned time of waking.

Instruct the patient to place the tablet under the tongue, allowing it to disintegrate completely before swallowing. Tell the patient that Zolpidem Tartrate Sublingual Tablets should not be swallowed whole.

Tell patients that the effect of Zolpidem Tartrate Sublingual Tablets may be slowed if taken with or immediately after a meal.

Instruct patients to remove the blister from the unit-dose pouch just prior to dosing.

Advise patients NOT to take Zolpidem Tartrate Sublingual Tablets if they drank alcohol that day or before bed.

Manufactured by:

Novel Laboratories. Inc.

Somerset, NJ 08873

Manufactured for:

Lupin Pharmaceuticals, Inc.

Baltimore, MD 21202

Rev. 12/2019

PI7610000205

SAP code: 263479

5.6 Use in Patients With Depression

In primarily depressed patients treated with sedative-hypnotics, worsening of depression, and suicidal thoughts and actions (including completed suicides), have been reported. Suicidal tendencies may be present in such patients and protective measures may be required. Intentional overdosage is more common in this group of patients; therefore, the lowest number of tablets that is feasible should be prescribed for the patient at any one time.

16 How Supplied/storage and Handling

Each Zolpidem Tartrate Sublingual Tablet is individually packaged in a blister inside a unit-dose pouch.

Zolpidem Tartrate Sublingual Tablets 1.75 mg are white to off white, round, flat faced beveled edged debossed with "N2" on one side and plain on the other side and supplied as:

NDC 43386-762-30: Carton of 30 unit-dose pouches

Zolpidem Tartrate Sublingual Tablets 3.5 mg are white to off white, round, flat faced beveled edged debossed with "NP" on one side and plain on the other side and supplied as:

NDC 43386-761-30: Carton of 30 unit-dose pouches

Storage and Handling

Store between 20°C to 25°C (68°F to 77°F), [see USP Controlled Room Temperature]. Protect from moisture.

The patient should be instructed not to remove the blister from the unit-dose pouch until the patient is ready to consume the sublingual tablet inside.

Do not use if blister seal is broken or missing.

Package Label.principal Display Panel

1.75 mg - Carton

3.5 mg – Carton

1.75 mg – Pouch

3.5 mg – Pouch

1.75 mg – Blister

3.5 mg – Blister

14.1 Middle of the Night Awakening Trials

Zolpidem Tartrate Sublingual Tablets were evaluated in two randomized, double-blind, placebo-controlled studies (Studies 1 and 2) in patients with insomnia characterized by difficulty returning to sleep after a middle-of-the-night (MOTN) awakening. In these studies, patients met the diagnosis for primary insomnia as defined by the Diagnostic and Statistical Manual of Mental Disorders (DSM-IV-TR) and had at least three prolonged MOTN awakenings per week that were at least 30 minutes in duration.

Sleep Laboratory Study (Scheduled Dosing)

Adult patients aged 19 to 64 years (N=82; 58 female, 24 male) with a history of difficulty returning to sleep after middle-of-the-night awakenings were evaluated in a double-blind, placebo-controlled, 3-period cross-over sleep laboratory study (Study 1). The primary outcome measure was latency to persistent sleep (LPS).

Doses of 3.5 mg and 1.75 mg of Zolpidem Tartrate Sublingual Tablets significantly decreased both objective (by polysomnography) and subjective (patient-estimated) sleep latency after a scheduled middle-of-the-night awakening as compared to placebo. The effect on sleep latency was similar for females receiving 1.75 mg of Zolpidem Tartrate Sublingual Tablets and males receiving 3.5 mg of Zolpidem Tartrate Sublingual Tablets.

Outpatient Study (As-needed Dosing)

Adult patients aged 18 to 64 years (N=295; 201 women, 94 men) with difficulty returning to sleep after middle-of-the-night awakenings were evaluated in a double-blind, placebo-controlled 4-week outpatient study of Zolpidem Tartrate Sublingual Tablets. Patients took study drug (3.5 mg of Zolpidem Tartrate Sublingual Tablets or placebo) on an as needed (prn) basis, when they had difficulty returning to sleep after waking in the middle of the night, provided they had at least 4 hours time remaining in bed. Subjective (patient-estimated) time to fall back to sleep after middleof-the-night awakening was significantly shorter for Zolpidem Tartrate Sublingual Tablets 3.5 mg compared to placebo.

2.1 Important Administration Instructions

Zolpidem Tartrate Sublingual Tablet is to be taken in bed when a patient wakes in the middle of the night and has difficulty returning to sleep. Zolpidem Tartrate Sublingual Tablet should only be taken if the patient has at least 4 hours of bedtime remaining before the planned time of waking [see Warnings and Precautions (5.1)].

Zolpidem Tartrate Sublingual Tablet should be placed under the tongue and allowed to disintegrate completely before swallowing. The tablet should not be swallowed whole. For optimal effect, Zolpidem Tartrate Sublingual Tablet should not be administered with or immediately after a meal. The blister should be removed from the pouch just prior to dosing.

8.6 Gender Difference in Pharmacokinetics

Women cleared zolpidem tartrate from the body after sublingual administration of a 3.5 mg dose of Zolpidem Tartrate Sublingual Tablets at a lower rate than men (2.7 mL/min/kg vs. 4.0 mL/min/kg). C max and AUC parameters of zolpidem were approximately 45% higher at the same dose in female subjects compared with male subjects. Given the higher blood levels of zolpidem tartrate in women compared to men at a given dose, the recommended dose of Zolpidem Tartrate Sublingual Tablets for women is 1.75 mg, and the recommended dose for adult men is 3.5 mg.

2.5 Use in Patients With Hepatic Impairment

The recommended dose of Zolpidem Tartrate Sublingual Tablet in patients with hepatic impairment is 1.75 mg, taken only once per night if needed [see Clinical Pharmacology (12.3)].

5.3 Need to Evaluate for Co Morbid Diagnoses

Because sleep disturbances may be the presenting manifestation of a physical and/or psychiatric disorder, symptomatic treatment of insomnia should be initiated only after a careful evaluation of the patient. The failure of insomnia to remit after 7 to 10 days of treatment may indicate the presence of a primary psychiatric and/or medical illness that should be evaluated. Worsening of insomnia or the emergence of new thinking or behavior abnormalities may be the consequence of an unrecognized psychiatric or physical disorder. Such findings have emerged during the course of treatment with sedative-hypnotic drugs, including zolpidem.

5.5 Abnormal Thinking and Behavioral Changes

Abnormal thinking and behavior changes have been reported in patients treated with sedative-hypnotics including zolpidem. Some of these changes included decreased inhibition (e.g., aggressiveness and extroversion that seemed out of character), bizarre behavior, agitation, and depersonalization. Visual and auditory hallucinations have also been reported.

In controlled trials of zolpidem tartrate 10 mg taken at bedtime, < 1% of adults with insomnia who received zolpidem reported hallucinations. In a clinical trial, 7% of pediatric patients treated with zolpidem tartrate 0.25 mg/kg taken at bedtime, reported hallucinations, versus 0% treated with placebo [see Use in Specific Populations (8.4)].

The emergence of any new behavioral sign or symptom of concern requires careful and immediate evaluation.

5.2 Cns Depressant Effects and Next Day Impairment

Zolpidem Tartrate Sublingual Tablets, like other sedative-hypnotic drugs, has central nervous system (CNS) depressant effects. Co-administration with other CNS depressants (e.g., benzodiazepines, opioids, tricyclic antidepressants, alcohol) increases the risk of CNS depression. Dosage adjustments of Zolpidem Tartrate Sublingual Tablets and of other concomitant CNS depressants may be necessary when Zolpidem Tartrate Sublingual Tablets are administered with such agents because of the potentially additive effects. The use of Zolpidem Tartrate Sublingual Tablets with other sedative-hypnotics (including other zolpidem products) at bedtime or the middle of the night is not recommended [ see Dosage and Administration (2.3) ]

In a driving study, healthy subjects who received Zolpidem Tartrate Sublingual Tablets with fewer than four hours of bedtime remaining had evidence of impaired driving compared to subjects who received placebo [see Clinical Studies (14.2) ]. The risk of next-day driving impairment (and psychomotor impairment) is increased if Zolpidem Tartrate Sublingual Tablets is taken with less than 4 hours of bedtime remaining, if higher than recommended dose is taken, if co-administered with other CNS depressants, or co-administered with other drugs that increase the blood levels of zolpidem.

Because Zolpidem Tartrate Sublingual Tablets can cause drowsiness and a decreased level of consciousness, patients, particularly the elderly, are at a higher risk of falls.

5.4 Severe Anaphylactic and Anaphylactoid Reactions

Cases of angioedema involving the tongue, glottis, or larynx have been reported in patients after taking the first or subsequent doses of zolpidem. Some patients have had additional symptoms such as dyspnea, throat closing, or nausea and vomiting that suggest anaphylaxis. Some patients have required medical therapy in the emergency department. If angioedema involves the throat, glottis or larynx, airway obstruction may occur and be fatal. Patients who develop angioedema or anaphylaxis after treatment with zolpidem should not be rechallenged with Zolpidem Tartrate Sublingual Tablets.

13.3 Carcinogenesis, Mutagenesis, Impairment of Fertility

Carcinogenesis: Zolpidem was administered in the diet to rats and mice for 2 years at doses of 4, 18, and 80 mg base/kg/day. In mice, these doses are approximately 7, 30, and 140 times, respectively, the recommended human dose (RHD) of 3.5 mg/day (approximately 2.8 mg zolpidem base) on a mg/m 2 basis. In rats, these doses are approximately 15, 60, and 280 times, respectively, the RHD on a mg/m 2 basis. No evidence of carcinogenic potential was observed in mice. In rats, renal tumors (lipoma, liposarcoma) were seen at the mid- and high doses.

Mutagenesis: Zolpidem was negative in in vitro (bacterial reverse mutation, mouse lymphoma, and chromosomal aberration) and in vivo (mouse micronucleus) genetic toxicology assays.

Impairment of fertility: Oral administration of zolpidem (doses of 4, 20, and 100 mg base/kg/day) to rats prior to and during mating, and continuing in females through postpartum day 25, resulted in irregular estrus cycles and prolonged precoital intervals at the highest dose tested. The no-effect dose for these findings is approximately 70 times the RHD on a mg/m 2 basis. There was no impairment of fertility at any dose tested.

7.2 Drugs That Affect Drug Metabolism Via Cytochrome P450

Some compounds known to inhibit CYP3A may increase exposure to zolpidem. The effect of other P450 enzymes on the exposure to zolpidem is not known.

Rifampin

Rifampin, a CYP3A4 inducer, significantly reduced the exposure to and the pharmacodynamic effects of zolpidem. Use of Rifampin in combination with zolpidem may decrease the efficacy of zolpidem.

Ketoconazole

Ketoconazole, a potent CYP3A4 inhibitor, increased the pharmacodynamic effects of zolpidem. Consideration should be given to using a lower dose of zolpidem when ketoconazole and zolpidem are given together.


Structured Label Content

Section 42229-5 (42229-5)

Zolpidem Tartrate Sublingual Tablet is indicated for use as needed for the treatment of insomnia when a middle-of-the-night awakening is followed by difficulty returning to sleep.

Limitations of Use: Zolpidem Tartrate Sublingual Tablet is not indicated for the treatment of middle-of-the-night insomnia when the patient has fewer than 4 hours of bedtime remaining before the planned time of waking.

9.2 Abuse

Abuse and addiction are separate and distinct from physical dependence and tolerance. Abuse is characterized by misuse of the drug for non-medical purposes, often in combination with other psychoactive substances. Tolerance is a state of adaptation in which exposure to a drug induces changes that result in diminution of one or more of the drug effects over time. Tolerance may occur to both desired and undesired effects of drugs and may develop at different rates for different effects.

Addiction is a primary, chronic, neurobiological disease with genetic, psychosocial, and environmental factors influencing its development and manifestations. It is characterized by behaviors that include one or more of the following: impaired control over drug use, compulsive use, continued use despite harm, and craving. Drug addiction is a treatable disease, using a multidisciplinary approach, but relapse is common.

Studies of abuse potential in former drug abusers found that the effects of single doses of 40 mg of oral zolpidem tartrate were similar, but not identical, to diazepam 20 mg, while 10 mg of oral zolpidem tartrate was difficult to distinguish from placebo.

Because persons with a history of addiction to or abuse of drugs or alcohol are at increased risk for misuse, abuse and addiction of zolpidem, they should be monitored carefully when receiving Zolpidem Tartrate Sublingual Tablets.

8.1 Pregnancy

Pregnancy Category C

There are no adequate and well-controlled studies of zolpidem in pregnant women. Studies in children to assess the effects of prenatal exposure to zolpidem have not been conducted; however, cases of severe neonatal respiratory depression have been reported when zolpidem was used at the end of pregnancy, especially when taken with other CNS-depressants. Children born to mothers taking sedative-hypnotic drugs may be at risk for withdrawal symptoms during the postnatal period. Neonatal flaccidity has also been reported in infants born to mothers who received sedative-hypnotic drugs during pregnancy. Zolpidem Tartrate Sublingual Tablets should be used during pregnancy only if the potential benefit outweighs the potential risk to the fetus.

Administration of zolpidem to pregnant rats and rabbits resulted in adverse effects on offspring at doses greater than the recommended human dose (RHD) of 3.5 mg/day (approximately 2.8 mg/day zolpidem base); however, teratogenicity was not observed.

When zolpidem was administered at oral doses of 4, 20, and 100 mg base/kg/day to pregnant rats during the period of organogenesis, dose-related decreases in fetal skull ossification were observed at all but the lowest dose, which is approximately 15 times the RHD on a mg/m 2 basis. In rabbits treated during organogenesis with zolpidem at oral doses of 1, 4, and 16 mg base/kg/day, increased embryo-fetal death and incomplete fetal skull ossification were seen at the highest dose tested. The no-effect dose for embryo-fetal toxicity in rabbits is approximately 30 times the RHD on a mg/m 2 basis.

Administration of zolpidem to rats at oral doses of 4, 20, and 100 mg base/kg/day during the latter part of pregnancy and throughout lactation produced decreased offspring growth and survival at all but the lowest dose, which is approximately 15 times the RHD on a mg/m2 basis.

11 Description (11 DESCRIPTION)

Zolpidem Tartrate Sublingual Tablets contains zolpidem tartrate, a non-benzodiazepine hypnotic of the imidazopyridine class. Zolpidem Tartrate Sublingual Tablets are available in 1.75 mg and 3.5 mg strength tablets for sublingual administration. Zolpidem Tartrate Sublingual Tablets are intended to be placed under the tongue where they will disintegrate.

Zolpidem Tartrate Sublingual Tablets contain a bicarbonate-carbonate buffer.

Chemically, zolpidem tartrate is N,N-6-trimethyl-2- p-tolylimidazo[1,2- α]pyridine-3-acetamide L-(+)-tartrate (2:1).

Zolpidem tartrate is a white to almost white crystalline powder that is sparingly soluble in water, alcohol, and propylene glycol. It has a molecular weight of 764.88.

Each Zolpidem Tartrate Sublingual Tablet includes the following inactive ingredients: Crospovidone, Povidone, Mannitol, Polyvinylacetate, colloidal silicon dioxide, sodium carbonate anhydrous, sodium bicarbonate, natural and artificial spearmint flavor, aspartame, and magnesium stearate.

9.3 Dependence

Physical dependence is a state of adaptation that is manifested by a specific withdrawal syndrome that can be produced by abrupt cessation, rapid dose reduction, decreasing blood level of the drug, and/or administration of an antagonist.

Sedative-hypnotics have produced withdrawal signs and symptoms following abrupt discontinuation. These reported symptoms range from mild dysphoria and insomnia to a withdrawal syndrome that may include abdominal and muscle cramps, vomiting, sweating, tremors, and convulsions. The following adverse events which are considered to meet the DSM-III-R criteria for uncomplicated sedative-hypnotic withdrawal were reported during U.S. clinical trials with other oral zolpidem formulations following placebo substitution occurring within 48 hours following the last zolpidem treatment: fatigue, nausea, flushing, lightheadedness, uncontrolled crying, emesis, stomach cramps, panic attack, nervousness, and abdominal discomfort. These reported adverse events occurred at an incidence of 1% or less. However, available data cannot provide a reliable estimate of the incidence, if any, of dependence during treatment at recommended doses. Post-marketing reports of abuse, dependence, and withdrawal resulting from use of oral zolpidem tartrate have been received.

Medication Guide (MEDICATION GUIDE)

Zolpidem Tartrate ((zol' pi dem tar' trate)) Sublingual Tablet CIV

8.4 Pediatric Use

Zolpidem Tartrate Sublingual Tablets are not recommended for use in children. Safety and effectiveness of Zolpidem Tartrate Sublingual Tablets have not been established in pediatric patients below the age of 18.

In an 8-week study in pediatric patients (aged 6 to 17 years) with insomnia associated with ADHD, an oral solution of zolpidem tartrate dosed at 0.25 mg/kg at bedtime did not decrease sleep latency compared to placebo. Hallucinations were reported in 7% of the pediatric patients who received zolpidem; none of the pediatric patients who received placebo reported hallucinations.

8.5 Geriatric Use

Zolpidem Tartrate Sublingual Tablets dosage adjustment is necessary in geriatric patients. Sedating drugs may cause confusion and over-sedation in the elderly; elderly patients generally should be started on low doses of Zolpidem Tartrate Sublingual Tablets and observed closely [see Dosage and Administration (2.4), and Clinical Pharmacology (12.3)].

Clinical trial experience with other zolpidem formulations (5 mg to 10 mg oral zolpidem tartrate) given at bedtime:

A total of 154 patients in U.S.-controlled clinical trials and 897 patients in non-U.S. clinical trials who received oral zolpidem were ≥ 60 years of age. For a pool of U.S. patients receiving oral zolpidem tartrate at doses of ≤ 10 mg or placebo, there were three adverse reactions occurring at an incidence of at least 3% for zolpidem and for which the zolpidem incidence was at least twice the placebo incidence (see Table 2).

Falls in geriatric patients:

A total of 30/1,959 (2%) non-U.S. patients receiving other zolpidem formulations (5 mg to 10 mg oral zolpidem tartrate) reported falls, including 28/30 (93%) who were ≥ 70 years of age. Of these 28 patients, 23 (82%) were receiving zolpidem tartrate doses > 10 mg. A total of 24/1,959 (1%) non-U.S. patients receiving zolpidem reported confusion, including 18/24 (75%) who were ≥70 years of age. Of these 18 patients, 14 (78%) were receiving zolpidem tartrate doses >10 mg.

The dose of Zolpidem Tartrate Sublingual Tablets in elderly patients is 1.75 mg to minimize adverse effects related to impaired motor and/or cognitive performance and unusual sensitivity to sedative-hypnotic drugs.

Table 2: Adverse Reactions in Geriatric Patients in Pooled Trials of 5 mg to 10 mg of Oral Zolpidem Tartrate Given at Bedtime

Adverse Reaction

5 to 10 mg Oral

Zolpidem Tartrate

Placebo



Dizziness

3%

0%

Drowsiness

5%

2%

Diarrhea

3%

1%

4 Contraindications (4 CONTRAINDICATIONS)
  • Patients who have experienced complex sleep behaviors after taking Zolpidem Tartrate Sublingual Tablets (4, 5.1)
  • Known hypersensitivity to zolpidem (4)
6 Adverse Reactions (6 ADVERSE REACTIONS)

Most commonly observed adverse reactions (> 1% in adult patients) are headache, nausea, and fatigue. ( 6.1)

To report SUSPECTED ADVERSE REACTIONS, contact Lupin Pharmaceuticals, Inc. at 1-866-403-7592 or FDA at 1-800-FDA-1088 or http://www.fda.gov/medwatch

7 Drug Interactions (7 DRUG INTERACTIONS)
  • CNS depressants, including alcohol: Possible adverse additive CNS depressant effects ( 5.1, 7.1)
  • Imipramine: Decreased alertness observed ( 7.1)
  • Chlorpromazine: Impaired alertness and psychomotor performance observed ( 7.1)
  • Rifampin: Combination use may decrease effects ( 7.2)
  • Ketoconazole: Combination use may increase effects ( 7.2)
8.3 Nursing Mothers

Zolpidem is excreted in human milk. The effect of zolpidem on the nursing infant is not known.

7.1 Cns Active Drugs (7.1 CNS-active Drugs)

Co-administration of zolpidem with other CNS depressants increases the risk of CNS depression [see Warnings and Precautions (5.2)]. Zolpidem tartrate was evaluated in healthy volunteers in single-dose interaction studies for several CNS drugs.

Imipramine

Imipramine in combination with zolpidem produced no pharmacokinetic interaction other than a 20% decrease in peak levels of imipramine, but there was an additive effect of decreased alertness. Similarly, chlorpromazine in combination with zolpidem produced no pharmacokinetic interaction, but there was an additive effect of decreased alertness and psychomotor performance.

Haloperidol

A study involving haloperidol and zolpidem revealed no effect of haloperidol on the pharmacokinetics or pharmacodynamics of zolpidem. The lack of a drug interaction following single-dose administration does not predict the absence of an effect following chronic administration.

Alcohol

An additive adverse effect on psychomotor performance between alcohol and oral zolpidem was demonstrated [see Warnings and Precautions (5.2)].

Sertraline

Concomitant administration of zolpidem and sertraline increases exposure to zolpidem and may increase the pharmacodynamic effect of zolpidem.

Fluoxetine

After multiple doses of zolpidem tartrate and fluoxetine, an increase in the zolpidem halflife (17%) was observed. There was no evidence of an additive effect in psychomotor performance [see Clinical Pharmacology (12.3)].

Recent Major Changes (RECENT MAJOR CHANGES)
Box Warning

08/2019

Contraindications (4)

08/2019

Warnings and Precautions, Complex Sleep Behaviors (5.1)

08/2019

Warnings and Precautions, CNS Depressant Effects and Next-Day Impairment (5.2)

08/2019

12.3 Pharmacokinetics

Absorption

Zolpidem Tartrate Sublingual Tablets disintegrates in the sublingual cavity after administration. On average, Zolpidem Tartrate Sublingual Tablets are rapidly absorbed in both genders, with a mean T max across studies of about 35 minutes to about 75 minutes.

In healthy normal volunteers (age 21 to 45 years) dosed with 3.5 mg Zolpidem Tartrate Sublingual Tablets, the average C max and AUC were 77 ng/mL and 296 ng·h/mL, respectively in women. The average C max and AUC were 53 ng/mL and 198 ng·h/mL, respectively in men. In women, the average C max and AUC of the 1.75 mg Zolpidem Tartrate Sublingual Tablets dose were 37 ng/mL and 151 ng·h/mL, respectively.

Food decreased the overall C max and AUC of Zolpidem Tartrate Sublingual Tablets 3.5 mg by 42% and 19%, respectively, and increased the time to peak exposure (T max) to nearly 3 hours. For optimal effect, Zolpidem Tartrate Sublingual Tablets should not be administered with or immediately after a meal.

Distribution

Based on data obtained with oral zolpidem, the total protein binding was found to be 93% ± 0.1% and remained constant independent of concentration between 40 ng/mL and 790 ng/mL.

Metabolism

Based on data obtained with oral zolpidem, zolpidem tartrate is converted to inactive metabolites that are eliminated primarily by renal excretion.

Elimination

The elimination half-life of a single dose of a 3.5 mg Zolpidem Tartrate Sublingual Tablet is approximately 2.5 hours (range 1.4 to 3.6 hours).

Special Populations

Elderly: The recommended dose for Zolpidem Tartrate Sublingual Tablets is 1.75 mg. A pharmacokinetic study of 1.75 mg and 3.5 mg doses of Zolpidem Tartrate Sublingual Tablets showed that the plasma C max and AUC 0-4hr in elderly subjects following the 3.5 mg dose was higher by 34% and 30%, respectively, than the non-elderly subjects. The C max and AUC of 1.75 mg in elderly subjects were consistently lower than those observed for the 3.5 mg dose in non-elderly subjects but consistently higher than the 1.75 mg dose in non-elderly subjects. The elimination half-life remained unchanged.

Hepatic Impairment: The pharmacokinetics of oral zolpidem tartrate in eight patients with chronic hepatic insufficiency were compared to results in subjects with normal hepatic function. Following a single 20 mg oral zolpidem tartrate dose, mean C max and AUC were found to be two times (250 ng/mL vs. 499 ng/mL) and five times (788 ng·hr/mL vs. 4203 ng·hr/mL) higher, respectively, in hepatically compromised patients compared to subjects with normal hepatic function. T max did not change. The mean half-life in cirrhotic patients of 9.9 hr (range: 4.1 to 25.8 hr) was greater than that observed in subjects with normal hepatic function of 2.2 hr (range: 1.6 to 2.4 hr). Dosing should be modified accordingly in patients with hepatic insufficiency [see Dosage and

Administration (2.5)].

Renal Impairment: The pharmacokinetics of zolpidem tartrate were studied in 11 patients with end-stage renal failure (mean Cl Cr = 6.5 ± 1.5 mL/min) undergoing hemodialysis three times a week, who were dosed with zolpidem tartrate 10 mg orally each day for 14 or 21 days. No statistically significant differences were observed for C max, T max, half-life, and AUC between the first and last day of drug administration when baseline concentration adjustments were made. Zolpidem was not hemodialyzable. No accumulation of unchanged drug appeared after 14 or 21 days. Zolpidem pharmacokinetics were not significantly different in renally-impaired patients. No dosage adjustment is necessary in patients with renal impairment.

Drug Interactions

CNS-depressants

Co-administration of zolpidem with other CNS depressants increases the risk of CNS depression [see Warnings and Precautions (5.1)]. Zolpidem tartrate was evaluated in healthy volunteers in single-dose interaction studies for several CNS drugs. Imipramine in combination with zolpidem produced no pharmacokinetic interaction other than a 20% decrease in peak levels of imipramine, but there was an additive effect of decreased alertness. Similarly, chlorpromazine in combination with zolpidem produced no pharmacokinetic interaction, but there was an additive effect of decreased alertness and psychomotor performance.

A study involving haloperidol and zolpidem revealed no effect of haloperidol on the pharmacokinetics or pharmacodynamics of zolpidem. The lack of a drug interaction following single-dose administration does not predict the absence of an effect following chronic administration.

An additive adverse effect on psychomotor performance between alcohol and oral zolpidem was demonstrated [see Warnings and Precautions (5.1)].

Following five consecutive nightly doses at bedtime of oral zolpidem tartrate 10 mg in the presence of sertraline 50 mg (17 consecutive daily doses, at 7:00 am, in healthy female volunteers), zolpidem C max was significantly higher (43%) and Tmax was significantly decreased (-53%). Pharmacokinetics of sertraline and N-desmethylsertraline were unaffected by zolpidem.

A single-dose interaction study with zolpidem tartrate 10 mg and fluoxetine 20 mg at steady-state levels in male volunteers did not demonstrate any clinically significant pharmacokinetic or pharmacodynamic interactions. When multiple doses of zolpidem and fluoxetine were given at steady state and the concentrations evaluated in healthy females, an increase in the zolpidem half-life (17%) was observed. There was no evidence of an additive effect in psychomotor performance.

Drugs that Affect Drug Metabolism via Cytochrome P450

Some compounds known to inhibit CYP3A may increase exposure to zolpidem. The effect of inhibitors of other P450 enzymes on the pharmacokinetics of zolpidem is unknown.

A single-dose interaction study with zolpidem tartrate 10 mg and itraconazole 200 mg at steady-state levels in male volunteers resulted in a 34% increase in AUC 0-∞ of zolpidem tartrate. There were no pharmacodynamic effects of zolpidem detected on subjective drowsiness, postural sway, or psychomotor performance.

A single-dose interaction study with zolpidem tartrate 10 mg and rifampin 600 mg at steady-state levels in female subjects showed significant reductions of the AUC (-73%), C max (-58%), and T 1/2 (-36 %) of zolpidem together with significant reductions in the pharmacodynamic effects of zolpidem tartrate. Rifampin, a CYP3A4 inducer, significantly reduced the exposure to and the pharmacodynamic effects of zolpidem.

A single-dose interaction study with zolpidem tartrate 5 mg and ketoconazole, a potent CYP3A4 inhibitor, given as 200 mg twice daily for 2 days increased C max of zolpidem (30%) and the total AUC of zolpidem (70%) compared to zolpidem alone and prolonged the elimination half-life (30 %) along with an increase in the pharmacodynamic effects of zolpidem. Consideration should be given to using a lower dose of zolpidem when ketoconazole and zolpidem are given together.

Other Drugs with No Interactions with Zolpidem

A study involving cimetidine/zolpidem tartrate and ranitidine/zolpidem tartrate combinations revealed no effect of either drug on the pharmacokinetics or pharmacodynamics of zolpidem.

Zolpidem tartrate had no effect on digoxin pharmacokinetics and did not affect prothrombin time when given with warfarin in healthy subjects.

5.8 Withdrawal Effects

There have been reports of withdrawal signs and symptoms following the rapid dose decrease or abrupt discontinuation of zolpidem. Monitor patients for tolerance, abuse, and dependence [see Drug Abuse and Dependence (9.2) and (9.3)].

Phenylketonurics

Phenylalanine is a component of aspartame. Each 3.5 mg and 1.75 mg Zolpidem Tartarate Sublingual Tablets contains 4.48 mg and 2.24 mg of phenylalanine.

1 Indications and Usage (1 INDICATIONS AND USAGE)

Zolpidem Tartrate is a GABA A agonist indicated for use as needed for the treatment of insomnia when a middle-of-the-night awakening is followed by difficulty returning to sleep ( 1)

Limitation of Use: Not indicated for the treatment of middle-of-the night awakening when the patient has fewer than 4 hours of bedtime remaining before the planned time of waking ( 1)

10.1 Signs and Symptoms

In post-marketing experience of overdose with oral zolpidem tartrate alone, or in combination with CNS-depressant agents, impairment of consciousness ranging from somnolence to coma, cardiovascular and/or respiratory compromise, and fatal outcomes have been reported.

12.1 Mechanism of Action

Zolpidem, the active moiety of zolpidem tartrate, is a hypnotic agent with a chemical structure unrelated to benzodiazepines, barbiturates, or other drugs with known hypnotic properties. It interacts with a GABA-BZ complex and shares some of the pharmacological properties of the benzodiazepines. In contrast to the benzodiazepines, which nonselectively bind to and activate all BZ receptor subtypes, zolpidem in vitro binds the BZ 1 receptor preferentially with a high affinity ratio of the alpha 1/alpha 5 subunits. This selective binding of zolpidem on the BZ 1 receptor is not absolute, but it may explain the relative absence of myorelaxant and anticonvulsant effects in animal studies as well as the preservation of deep sleep (stages 3 and 4) in human studies of zolpidem at hypnotic doses.

9.1 Controlled Substance

Zolpidem tartrate is classified as a Schedule IV controlled substance by federal regulation.

10.2 Recommended Treatment

General symptomatic and supportive measures should be used along with immediate gastric lavage where appropriate. Intravenous fluids should be administered as needed. Zolpidem's sedative-hypnotic effect was shown to be reduced by flumazenil and therefore flumazenil may be useful; however, flumazenil administration may contribute to the appearance of neurological symptoms (convulsions). As in all cases of drug overdose, respiration, pulse, blood pressure, and other appropriate signs should be monitored and general supportive measures employed. Hypotension and CNS depression should be treated by appropriate medical intervention. Sedating drugs should be withheld following zolpidem overdosage, even if excitation occurs. The value of dialysis in the treatment of overdosage has not been determined, although hemodialysis studies in patients with renal failure receiving therapeutic doses have demonstrated that zolpidem is not dialyzable.

As with management of all overdosage, the possibility of multiple drug ingestion should be considered. The healthcare provider may wish to consider contacting a poison control center for up-to-date information on the management of hypnotic drug overdosage.

5 Warnings and Precautions (5 WARNINGS AND PRECAUTIONS)
  • CNS depressant effects: Impairs alertness and motor coordination, including risk of morning impairment. Risk increases with dose and use with other CNS depressants and alcohol. Instruct patients on correct use (5.2)
  • Evaluate for co-morbid diagnoses: Re-evaluate if insomnia persists after 7 to 10 days of use (5.2)
  • Severe anaphylactic/anaphylactoid reactions: Angioedema and anaphylaxis have been reported. Do not re-challenge if such reactions occur (5.3)
  • Abnormal Thinking and Behavioral Changes: Changes including decreased inhibition, bizarre behavior, agitation and depersonalization have been reported. Immediately evaluate any new onset behavioral changes (5.5)
  • Depression: Worsening of depression or suicidal thinking may occur. Prescribe the least number of tablets feasible to avoid intentional overdose (5.6)
  • Respiratory Depression: Consider this risk before prescribing in patients with compromised respiratory function (5.7)
5.7 Respiratory Depression

Although studies with 10 mg zolpidem tartrate did not reveal respiratory depressant effects at hypnotic doses in healthy subjects or in patients with mild-to-moderate chronic obstructive pulmonary disease (COPD), a reduction in the Total Arousal Index, together with a reduction in lowest oxygen saturation and increase in the times of oxygen desaturation below 80% and 90%, was observed in patients with mild-to-moderate sleep apnea when treated with zolpidem compared to placebo. Since sedative-hypnotics have the capacity to depress respiratory drive, precautions should be taken if Zolpidem Tartrate Sublingual Tablets are prescribed to patients with compromised respiratory function. Post-marketing reports of respiratory insufficiency in patients receiving 10 mg of zolpidem tartrate, most of whom had pre-existing respiratory impairment, have been reported. The risks of respiratory depression should be considered prior to prescribing Zolpidem Tartrate Sublingual Tablets in patients with respiratory impairment including sleep apnea and myasthenia gravis.

14.2 Special Safety Studies

Driving Study

A randomized, double-blind, placebo-controlled, active-control, single-center, four-period, crossover study in 40 healthy subjects was conducted to evaluate the effects of middle-of-the-night administration of Zolpidem Tartrate Sublingual Tablets on next-morning driving performance. The four randomized treatments included Zolpidem Tartrate Sublingual Tablets 3.5 mg four hours before driving, Zolpidem Tartrate Sublingual Tablets 3.5 mg three hours before driving, placebo, and a positive control (an unapproved sedative-hypnotic) given nine hours before driving.

The primary outcome measure was the change in the standard deviation of lateral position (SDLP), a measure of driving impairment. The results were analyzed using a symmetry analysis, which determined the proportion of subjects whose change from their own SDLP in the placebo condition was statistically significantly above a threshold thought to reflect clinically meaningful driving impairment.

When driving began 3 hours after taking Zolpidem Tartrate Sublingual Tablets, testing had to be terminated for one subject (a 23-year old woman) due to somnolence. Overall, the symmetry analysis showed a statistically significant impairing effect at 3 hours. When driving began 4 hours after taking Zolpidem Tartrate Sublingual Tablets, statistically significant impairment was not found, but numerically Zolpidem Tartrate Sublingual Tablets was worse than placebo. Zolpidem blood levels were not measured in the driving study, and the study was not designed to correlate specific blood level with degree of impairment. However, the estimated blood level of zolpidem in patients whose SDLP worsened according to the symmetry analysis is considered to present a risk for driving impairment. In some women, the 3.5 mg dose of Zolpidem Tartrate Sublingual Tablets results in zolpidem blood levels that remain at or sometimes considerably above this level 4 or more hours after dosing. Therefore, the recommended dose for women is 1.75 mg. A small negative effect on SDLP may remain in some patients 4 hours after the 1.75 mg dose in women, and after the 3.5 mg dose in men, such that a potential negative effect on driving cannot be completely excluded.

Rebound effects

In studies performed with other zolpidem formulations (5 mg to 10 mg oral zolpidem tartrate) given at bedtime, there was no objective (polysomnographic) evidence of rebound insomnia at recommended doses seen in studies evaluating sleep on the nights following discontinuation. There was subjective evidence of impaired sleep in the elderly on the first post-treatment night at doses above the recommended elderly dose of 5 mg oral zolpidem tartrate.

Memory impairment in controlled studies

Controlled studies in adults utilizing objective measures of memory yielded no consistent evidence of next-day memory impairment following the administration at bedtime of 5 mg to 10 mg oral zolpidem tartrate. However, in one study involving zolpidem tartrate doses of 10 mg and 20 mg, there was a significant decrease in next-morning recall of information presented to subjects during peak drug effect (90 minutes post-dose), i.e., these subjects experienced anterograde amnesia. There was also subjective evidence from adverse event data for anterograde amnesia occurring in association with the administration of oral zolpidem tartrate, predominantly at doses above 10 mg.

2 Dosage and Administration (2 DOSAGE AND ADMINISTRATION)
  • Take only if 4 hours of bedtime remain before the planned time of waking ( 2.1, 5.1)
  • Zolpidem Tartrate Sublingual Tablets should be placed under the tongue and allowed to disintegrate completely before swallowing. The tablet should not be swallowed whole. ( 2.1)
  • The effect of Zolpidem Tartrate Sublingual Tablets may be slowed if taken with or immediately after a meal ( 2.1)
  • Recommended dose is 1.75 mg for women and 3.5 mg for men, taken only once per night if needed ( 2.2)
  • Lower doses of CNS depressants may be necessary when taken concomitantly with Zolpidem Tartrate Sublingual Tablets ( 2.3)
  • Co-administration with CNS depressants: Recommended dose is 1.75 mg for men and women ( 2.3)
  • Geriatric patients and patients with hepatic impairment: Recommended dose is 1.75 mg for men and women ( 2.4, 2.5)
5.1 Complex Sleep Behaviors (5.1 COMPLEX SLEEP BEHAVIORS)

Complex sleep behaviors including sleep-walking, sleep-driving, and engaging in other activities while not fully awake may occur following the first or any subsequent use of zolpidem. Patients can be seriously injured or injure others during complex sleep behaviors. Such injuries may result in a fatal outcome. Other complex sleep behaviors (e.g., preparing and eating food, making phone calls, or having sex) have also been reported.

Patients usually do not remember these events. Post-marketing reports have shown that complex sleep behaviors may occur with zolpidem alone at recommended dosages, with or without the concomitant use of alcohol or other central nervous system (CNS) depressants [ see Drug Interactions (7.1)], .].

Discontinue Zolpidem Tartrate Sublingual Tablets immediately if a patient experiences a complex sleep behavior

2.2 Basic Dosing Information

The recommended and maximum dose of Zolpidem Tartrate Sublingual Tablet is 1.75 mg for women and 3.5 mg for men, taken only once per night as needed if a middle-of-the-night awakening is followed by difficulty returning to sleep. The recommended doses for women and men are different because women clear zolpidem from the body at a lower rate than men [see Use in Specific Populations (8.6)] .

2.3 Use With Cns Depressants (2.3 Use with CNS Depressants)

The recommended Zolpidem Tartrate Sublingual Tablet dose for men and women who are taking concomitant CNS depressants is 1.75 mg. Dose adjustment of concomitant CNS depressants may be necessary when co-administered with Zolpidem Tartrate Sublingual Tablet because of potentially additive effects. The use of Zolpidem Tartrate Sublingual Tablet with other sedative-hypnotics (including other zolpidem products) at bedtime or the middle of the night is not recommended [see Warnings and Precautions (5.1)].

3 Dosage Forms and Strengths (3 DOSAGE FORMS AND STRENGTHS)

1.75 mg and 3.5 mg sublingual tablets ( 3)

2.4 Use in Geriatric Patients

Geriatric patients may be especially sensitive to the effects of zolpidem. The recommended dose of Zolpidem Tartrate Sublingual Tablets in men and women over 65 years old is 1.75 mg, taken only once per night if needed [see Use in Specific Populations (8.5)].

8 Use in Specific Populations (8 USE IN SPECIFIC POPULATIONS)
  • Pregnancy: Based on animal data, zolpidem may cause fetal harm. ( 8.1)
  • Pediatric use: Safety and effectiveness of zolpidem not established. With bedtime dosing of zolpidem, hallucinations observed (incidence 7%) ( 8.4)
6.1 Clinical Trials Experience

The safety data described below are based on two double-blind placebo-controlled trials of Zolpidem Tartrate Sublingual Tablets in adult patients with insomnia characterized by difficulty returning to sleep after a middle-of-the-night awakening [see Clinical Studies (14.1)]. These two trials included 230 and 82 patients treated with 3.5 mg and 1.75 mg of Zolpidem Tartrate Sublingual Tablets, respectively. The first study was a 3-way crossover sleep-laboratory study in 82 patients (58 female and 24 male; median age 47 years; 51% Caucasian, 44% African-American) of 1.75 mg and 3.5 mg of Zolpidem Tartrate Sublingual Tablets compared to placebo (Study 1). The second study was a 4-week, parallel-group at-home study in 295 patients (201 female and 94 male; median age 43 years) of 3.5 mg of Zolpidem Tartrate Sublingual Tablets compared to placebo, used on an as needed basis after spontaneous middle-of-the-night awakenings (Study 2). In Study 2, patients took Zolpidem Tartrate Sublingual Tablets during the night on 62% of study nights.

Because clinical trials are conducted under widely varying conditions, adverse reaction rates observed in the clinical trials of a drug cannot be directly compared to rates in the clinical trials of another drug and may not reflect the rates observed in actual practice.

Table 1 shows the incidence of adverse reactions reported in Study 2 that occurred in 2% or more of Zolpidem Tartrate Sublingual Tablet-treated (3.5 mg) patients in which the incidence was greater than the incidence in placebo-treated patients. For women and other patients taking the 1.75 mg dose in Study 1, the incidence of adverse reactions was similar to the incidence seen with 3.5 mg of Zolpidem Tartrate Sublingual Tablets in Table 1.

The most commonly reported adverse reactions in all treatment groups were headache, nausea, and fatigue.

Table 1: Summary of Adverse Reactions (≥ 2%) in Outpatient, Double-Blind, Parallel-Group, Placebo-Controlled Study (Study 2)

MedDRA  System  Organ  Class  Preferred  Term



3 . mg  Zolpidem  Tartrate  Sublingual  Tablets

( n = 150 )

Placebo

( n = 145 )



Gastrointestinal  Disorders

4 %

2 %

 Nausea

1%

1%

General  Disorders  and  Administration  Site  Conditions

3 %

0 %

 Fatigue

1%

0%

Nervous  System  Disorders

5 %

3 %

 Headache

3%

1%

Warning Complex Sleep Behaviors (WARNING COMPLEX SLEEP BEHAVIORS)

Complex sleep behaviors including sleep-walking, sleep-driving, and engaging in other activities while not fully awake may occur following use of Zolpidem Tartrate Sublingual Tablets. Some of these events may result in serious injuries, including death. Discontinue Zolpidem Tartrate Sublingual Tablets immediately if a patient experiences a complex sleep behavior [ see Contraindications (4) and Warnings and Precautions (5.1)].

17 Patient Counseling Information (17 PATIENT COUNSELING INFORMATION)

See FDA-approved patient labeling (Medication Guide).

Inform patients and their families about the benefits and risks of treatment with Zolpidem Tartrate Sublingual Tablets. Inform patients of the availability of a Medication Guide and instruct them to read the Medication Guide prior to initiating treatment with Zolpidem Tartrate Sublingual Tablets and with each prescription refill. Review the Zolpidem Tartrate Sublingual Tablets Medication Guide with every patient prior to initiation of treatment. Instruct patients or caregivers that Zolpidem Tartrate Sublingual Tablets should be taken only as prescribed.

Complex Sleep Behaviors

Instruct patients and their families that Zolpidem Tartrate Sublingual Tablets may cause complex sleep behaviors, including sleep-walking, sleep-driving, preparing and eating food, making phone calls, or having sex while not being fully awake. Serious injuries and death have occurred during complex sleep behavior episodes. Tell patients to discontinue Zolpidem Tartrate Sublingual Tablets and notify their healthcare provider immediately if they develop any of these symptoms [see Boxed Warning, Warnings and Precautions (5.1)]

CNS depressant Effects and Next-Day Impairment

Tell patients that Zolpidem Tartrate Sublingual Tablets has the potential to cause next-day impairment, and that this risk is increased if dosing instructions are not carefully followed. Tell patients to wait for at least 4 hours after dosing and until they feel fully awake before driving or engaging in other activities requiring full mental alertness.

Severe Anaphylactic and Anaphylactoid Reactions

Inform patients that severe anaphylactic and anaphylactoid reactions have occurred with zolpidem. Describe the signs/symptoms of these reactions and advise patients to seek medical attention immediately if any of them occur.

Suicide

Tell patients to immediately report any suicidal thoughts.

Administration Instructions

For detailed instructions on how to use Zolpidem Tartrate Sublingual Tablets, tell patients to refer to the Patient Instructions for Use.

Tell patients that Zolpidem Tartrate Sublingual Tablets are to be taken only once per night if needed if they wake in the middle of the night and have difficulty returning to sleep. Tell patients that Zolpidem Tartrate Sublingual Tablets should only be taken if they have 4 hours of bedtime remaining before the planned time of waking.

Instruct the patient to place the tablet under the tongue, allowing it to disintegrate completely before swallowing. Tell the patient that Zolpidem Tartrate Sublingual Tablets should not be swallowed whole.

Tell patients that the effect of Zolpidem Tartrate Sublingual Tablets may be slowed if taken with or immediately after a meal.

Instruct patients to remove the blister from the unit-dose pouch just prior to dosing.

Advise patients NOT to take Zolpidem Tartrate Sublingual Tablets if they drank alcohol that day or before bed.

Manufactured by:

Novel Laboratories. Inc.

Somerset, NJ 08873

Manufactured for:

Lupin Pharmaceuticals, Inc.

Baltimore, MD 21202

Rev. 12/2019

PI7610000205

SAP code: 263479

5.6 Use in Patients With Depression (5.6 Use in Patients with Depression)

In primarily depressed patients treated with sedative-hypnotics, worsening of depression, and suicidal thoughts and actions (including completed suicides), have been reported. Suicidal tendencies may be present in such patients and protective measures may be required. Intentional overdosage is more common in this group of patients; therefore, the lowest number of tablets that is feasible should be prescribed for the patient at any one time.

16 How Supplied/storage and Handling (16 HOW SUPPLIED/STORAGE AND HANDLING)

Each Zolpidem Tartrate Sublingual Tablet is individually packaged in a blister inside a unit-dose pouch.

Zolpidem Tartrate Sublingual Tablets 1.75 mg are white to off white, round, flat faced beveled edged debossed with "N2" on one side and plain on the other side and supplied as:

NDC 43386-762-30: Carton of 30 unit-dose pouches

Zolpidem Tartrate Sublingual Tablets 3.5 mg are white to off white, round, flat faced beveled edged debossed with "NP" on one side and plain on the other side and supplied as:

NDC 43386-761-30: Carton of 30 unit-dose pouches

Storage and Handling

Store between 20°C to 25°C (68°F to 77°F), [see USP Controlled Room Temperature]. Protect from moisture.

The patient should be instructed not to remove the blister from the unit-dose pouch until the patient is ready to consume the sublingual tablet inside.

Do not use if blister seal is broken or missing.

Package Label.principal Display Panel (PACKAGE LABEL.PRINCIPAL DISPLAY PANEL)

1.75 mg - Carton

3.5 mg – Carton

1.75 mg – Pouch

3.5 mg – Pouch

1.75 mg – Blister

3.5 mg – Blister

14.1 Middle of the Night Awakening Trials (14.1 Middle-of-the-Night Awakening Trials)

Zolpidem Tartrate Sublingual Tablets were evaluated in two randomized, double-blind, placebo-controlled studies (Studies 1 and 2) in patients with insomnia characterized by difficulty returning to sleep after a middle-of-the-night (MOTN) awakening. In these studies, patients met the diagnosis for primary insomnia as defined by the Diagnostic and Statistical Manual of Mental Disorders (DSM-IV-TR) and had at least three prolonged MOTN awakenings per week that were at least 30 minutes in duration.

Sleep Laboratory Study (Scheduled Dosing)

Adult patients aged 19 to 64 years (N=82; 58 female, 24 male) with a history of difficulty returning to sleep after middle-of-the-night awakenings were evaluated in a double-blind, placebo-controlled, 3-period cross-over sleep laboratory study (Study 1). The primary outcome measure was latency to persistent sleep (LPS).

Doses of 3.5 mg and 1.75 mg of Zolpidem Tartrate Sublingual Tablets significantly decreased both objective (by polysomnography) and subjective (patient-estimated) sleep latency after a scheduled middle-of-the-night awakening as compared to placebo. The effect on sleep latency was similar for females receiving 1.75 mg of Zolpidem Tartrate Sublingual Tablets and males receiving 3.5 mg of Zolpidem Tartrate Sublingual Tablets.

Outpatient Study (As-needed Dosing)

Adult patients aged 18 to 64 years (N=295; 201 women, 94 men) with difficulty returning to sleep after middle-of-the-night awakenings were evaluated in a double-blind, placebo-controlled 4-week outpatient study of Zolpidem Tartrate Sublingual Tablets. Patients took study drug (3.5 mg of Zolpidem Tartrate Sublingual Tablets or placebo) on an as needed (prn) basis, when they had difficulty returning to sleep after waking in the middle of the night, provided they had at least 4 hours time remaining in bed. Subjective (patient-estimated) time to fall back to sleep after middleof-the-night awakening was significantly shorter for Zolpidem Tartrate Sublingual Tablets 3.5 mg compared to placebo.

2.1 Important Administration Instructions

Zolpidem Tartrate Sublingual Tablet is to be taken in bed when a patient wakes in the middle of the night and has difficulty returning to sleep. Zolpidem Tartrate Sublingual Tablet should only be taken if the patient has at least 4 hours of bedtime remaining before the planned time of waking [see Warnings and Precautions (5.1)].

Zolpidem Tartrate Sublingual Tablet should be placed under the tongue and allowed to disintegrate completely before swallowing. The tablet should not be swallowed whole. For optimal effect, Zolpidem Tartrate Sublingual Tablet should not be administered with or immediately after a meal. The blister should be removed from the pouch just prior to dosing.

8.6 Gender Difference in Pharmacokinetics

Women cleared zolpidem tartrate from the body after sublingual administration of a 3.5 mg dose of Zolpidem Tartrate Sublingual Tablets at a lower rate than men (2.7 mL/min/kg vs. 4.0 mL/min/kg). C max and AUC parameters of zolpidem were approximately 45% higher at the same dose in female subjects compared with male subjects. Given the higher blood levels of zolpidem tartrate in women compared to men at a given dose, the recommended dose of Zolpidem Tartrate Sublingual Tablets for women is 1.75 mg, and the recommended dose for adult men is 3.5 mg.

2.5 Use in Patients With Hepatic Impairment (2.5 Use in Patients with Hepatic Impairment)

The recommended dose of Zolpidem Tartrate Sublingual Tablet in patients with hepatic impairment is 1.75 mg, taken only once per night if needed [see Clinical Pharmacology (12.3)].

5.3 Need to Evaluate for Co Morbid Diagnoses (5.3 Need to Evaluate for Co-morbid Diagnoses)

Because sleep disturbances may be the presenting manifestation of a physical and/or psychiatric disorder, symptomatic treatment of insomnia should be initiated only after a careful evaluation of the patient. The failure of insomnia to remit after 7 to 10 days of treatment may indicate the presence of a primary psychiatric and/or medical illness that should be evaluated. Worsening of insomnia or the emergence of new thinking or behavior abnormalities may be the consequence of an unrecognized psychiatric or physical disorder. Such findings have emerged during the course of treatment with sedative-hypnotic drugs, including zolpidem.

5.5 Abnormal Thinking and Behavioral Changes

Abnormal thinking and behavior changes have been reported in patients treated with sedative-hypnotics including zolpidem. Some of these changes included decreased inhibition (e.g., aggressiveness and extroversion that seemed out of character), bizarre behavior, agitation, and depersonalization. Visual and auditory hallucinations have also been reported.

In controlled trials of zolpidem tartrate 10 mg taken at bedtime, < 1% of adults with insomnia who received zolpidem reported hallucinations. In a clinical trial, 7% of pediatric patients treated with zolpidem tartrate 0.25 mg/kg taken at bedtime, reported hallucinations, versus 0% treated with placebo [see Use in Specific Populations (8.4)].

The emergence of any new behavioral sign or symptom of concern requires careful and immediate evaluation.

5.2 Cns Depressant Effects and Next Day Impairment (5.2 CNS Depressant Effects and Next-Day Impairment)

Zolpidem Tartrate Sublingual Tablets, like other sedative-hypnotic drugs, has central nervous system (CNS) depressant effects. Co-administration with other CNS depressants (e.g., benzodiazepines, opioids, tricyclic antidepressants, alcohol) increases the risk of CNS depression. Dosage adjustments of Zolpidem Tartrate Sublingual Tablets and of other concomitant CNS depressants may be necessary when Zolpidem Tartrate Sublingual Tablets are administered with such agents because of the potentially additive effects. The use of Zolpidem Tartrate Sublingual Tablets with other sedative-hypnotics (including other zolpidem products) at bedtime or the middle of the night is not recommended [ see Dosage and Administration (2.3) ]

In a driving study, healthy subjects who received Zolpidem Tartrate Sublingual Tablets with fewer than four hours of bedtime remaining had evidence of impaired driving compared to subjects who received placebo [see Clinical Studies (14.2) ]. The risk of next-day driving impairment (and psychomotor impairment) is increased if Zolpidem Tartrate Sublingual Tablets is taken with less than 4 hours of bedtime remaining, if higher than recommended dose is taken, if co-administered with other CNS depressants, or co-administered with other drugs that increase the blood levels of zolpidem.

Because Zolpidem Tartrate Sublingual Tablets can cause drowsiness and a decreased level of consciousness, patients, particularly the elderly, are at a higher risk of falls.

5.4 Severe Anaphylactic and Anaphylactoid Reactions

Cases of angioedema involving the tongue, glottis, or larynx have been reported in patients after taking the first or subsequent doses of zolpidem. Some patients have had additional symptoms such as dyspnea, throat closing, or nausea and vomiting that suggest anaphylaxis. Some patients have required medical therapy in the emergency department. If angioedema involves the throat, glottis or larynx, airway obstruction may occur and be fatal. Patients who develop angioedema or anaphylaxis after treatment with zolpidem should not be rechallenged with Zolpidem Tartrate Sublingual Tablets.

13.3 Carcinogenesis, Mutagenesis, Impairment of Fertility

Carcinogenesis: Zolpidem was administered in the diet to rats and mice for 2 years at doses of 4, 18, and 80 mg base/kg/day. In mice, these doses are approximately 7, 30, and 140 times, respectively, the recommended human dose (RHD) of 3.5 mg/day (approximately 2.8 mg zolpidem base) on a mg/m 2 basis. In rats, these doses are approximately 15, 60, and 280 times, respectively, the RHD on a mg/m 2 basis. No evidence of carcinogenic potential was observed in mice. In rats, renal tumors (lipoma, liposarcoma) were seen at the mid- and high doses.

Mutagenesis: Zolpidem was negative in in vitro (bacterial reverse mutation, mouse lymphoma, and chromosomal aberration) and in vivo (mouse micronucleus) genetic toxicology assays.

Impairment of fertility: Oral administration of zolpidem (doses of 4, 20, and 100 mg base/kg/day) to rats prior to and during mating, and continuing in females through postpartum day 25, resulted in irregular estrus cycles and prolonged precoital intervals at the highest dose tested. The no-effect dose for these findings is approximately 70 times the RHD on a mg/m 2 basis. There was no impairment of fertility at any dose tested.

7.2 Drugs That Affect Drug Metabolism Via Cytochrome P450 (7.2 Drugs that Affect Drug Metabolism via Cytochrome P450)

Some compounds known to inhibit CYP3A may increase exposure to zolpidem. The effect of other P450 enzymes on the exposure to zolpidem is not known.

Rifampin

Rifampin, a CYP3A4 inducer, significantly reduced the exposure to and the pharmacodynamic effects of zolpidem. Use of Rifampin in combination with zolpidem may decrease the efficacy of zolpidem.

Ketoconazole

Ketoconazole, a potent CYP3A4 inhibitor, increased the pharmacodynamic effects of zolpidem. Consideration should be given to using a lower dose of zolpidem when ketoconazole and zolpidem are given together.


Advanced Ingredient Data


Raw Label Data

All Sections (JSON)