These Highlights Do Not Include All The Information Needed To Use Optiray Pharmacy Bulk Package Safely And Effectively. See Full Prescribing Information For Optiray.

These Highlights Do Not Include All The Information Needed To Use Optiray Pharmacy Bulk Package Safely And Effectively. See Full Prescribing Information For Optiray.
SPL v39
SPL
SPL Set ID 6cb6ca5f-b249-49b0-a9eb-8aa583da7c74
Routes
INTRA-ARTERIAL INTRAVENOUS
Published
Effective Date 2019-10-31
Document Type 34391-3 HUMAN PRESCRIPTION DRUG LABEL

Drug Facts

Composition & Product

Active Ingredients
Ioversol (3.6 mg)
Inactive Ingredients
Tromethamine Edetate Calcium Disodium Hydrochloric Acid Sodium Hydroxide

Identifiers & Packaging

Marketing Status
NDA Active Since 2011-10-17 Until 2025-07-30

Description

Inadvertent intrathecal administration may cause death, convulsions, cerebral hemorrhage, coma, paralysis, arachnoiditis, acute renal failure, cardiac arrest, seizures, rhabdomyolysis, hyperthermia, and brain edema  [see Warnings and Precautions ( 5.1 )].

Indications and Usage

OPTIRAY is indicated for:

Dosage and Administration

The Pharmacy Bulk Package is not for direct infusion. Adjust the volume and concentration of OPTIRAY. Modify the dose accounting for factors such as age, body weight, vessel size, blood flow rate within the vessel. Please see details in full Prescribing Information. ( 2 )

Warnings and Precautions

Hypersensitivity Reactions: life-threatening or fatal reactions can occur. Always have emergency equipment and trained personnel available. ( 5.2 ) Contrast Induced Acute Kidney Injury: Acute injury, including renal failure, can occur. Minimize dose and maintain adequate hydration to minimize risk. ( 5.3 ) Cardiovascular Adverse Reactions: hemodynamic disturbances including shock and cardiac arrest may occur during or after administration. ( 5.4 ) Thyroid Dysfunction in Pediatric Patients 0 to 3 Years of Age: Individualize thyroid function monitoring based on risk factors such as prematurity. ( 5.8 )

Contraindications

Symptomatic hyperthyroidism.

Adverse Reactions

Severe cutaneous adverse reactions (SCAR) may develop from 1 hour to several weeks after intravascular contrast agent administration. These reactions include Stevens-Johnson syndrome and toxic epidermal necrolysis (SJS/TEN), acute generalized exanthematous pustulosis (AGEP) and drug reaction with eosinophilia and systemic symptoms (DRESS). Reaction severity may increase and time to onset may decrease with repeat administration of a contrast agent; prophylactic medications may not prevent or mitigate severe cutaneous adverse reactions. Avoid administering OPTIRAY to patients with a history of a severe cutaneous adverse reaction to OPTIRAY.

Drug Interactions

Metformin In patients with renal impairment, metformin can cause lactic acidosis. Iodinated contrast agents appear to increase the risk of metformin induced lactic acidosis, possibly as a result of worsening renal function. Stop metformin at the time of, or prior to, OPTIRAY administration in patients with an eGFR between 30 and 60 mL/min/1.73 m2; in patients with a history of hepatic impairment, alcoholism or heart failure; or in patients who will be administered intra-arterial iodinated contrast agents. Re-evaluate eGFR 48 hours after the imaging procedure, and reinstitute only after renal function is stable. Radioactive Iodine Administration of iodinated contrast agents may interfere with thyroid uptake of radioactive iodine (I 131) and decrease therapeutic efficacy in patients with carcinoma of the thyroid. The decrease in efficacy lasts for 6-8 weeks. Oral Cholecystographic Contrast Agents Renal toxicity has been reported in patients with liver impairment who were given oral cholecystographic agents followed by intravascular contrast agents. Administration of OPTIRAY should be postponed in patients who have recently received a cholecystographic contrast agent.

How Supplied

OPTIRAY is a clear, colorless to pale yellow, sterile, pyrogen-free, aqueous solution available in two strengths. The products are supplied in containers from which the air has been displaced by nitrogen. OPTIRAY is supplied in the following configurations:                                                                       NDC Number OPTIRAY Pharmacy Bulk Package - 350 6x500 mL Pharmacy Bulk Packages              0019-1333-61 OPTIRAY Pharmacy Bulk Package - 320 6x500 mL Pharmacy Bulk Packages              0019-1323-61


Medication Information

Warnings and Precautions

Hypersensitivity Reactions: life-threatening or fatal reactions can occur. Always have emergency equipment and trained personnel available. ( 5.2 ) Contrast Induced Acute Kidney Injury: Acute injury, including renal failure, can occur. Minimize dose and maintain adequate hydration to minimize risk. ( 5.3 ) Cardiovascular Adverse Reactions: hemodynamic disturbances including shock and cardiac arrest may occur during or after administration. ( 5.4 ) Thyroid Dysfunction in Pediatric Patients 0 to 3 Years of Age: Individualize thyroid function monitoring based on risk factors such as prematurity. ( 5.8 )

Indications and Usage

OPTIRAY is indicated for:

Dosage and Administration

The Pharmacy Bulk Package is not for direct infusion. Adjust the volume and concentration of OPTIRAY. Modify the dose accounting for factors such as age, body weight, vessel size, blood flow rate within the vessel. Please see details in full Prescribing Information. ( 2 )

Contraindications

Symptomatic hyperthyroidism.

Adverse Reactions

Severe cutaneous adverse reactions (SCAR) may develop from 1 hour to several weeks after intravascular contrast agent administration. These reactions include Stevens-Johnson syndrome and toxic epidermal necrolysis (SJS/TEN), acute generalized exanthematous pustulosis (AGEP) and drug reaction with eosinophilia and systemic symptoms (DRESS). Reaction severity may increase and time to onset may decrease with repeat administration of a contrast agent; prophylactic medications may not prevent or mitigate severe cutaneous adverse reactions. Avoid administering OPTIRAY to patients with a history of a severe cutaneous adverse reaction to OPTIRAY.

Drug Interactions

Metformin In patients with renal impairment, metformin can cause lactic acidosis. Iodinated contrast agents appear to increase the risk of metformin induced lactic acidosis, possibly as a result of worsening renal function. Stop metformin at the time of, or prior to, OPTIRAY administration in patients with an eGFR between 30 and 60 mL/min/1.73 m2; in patients with a history of hepatic impairment, alcoholism or heart failure; or in patients who will be administered intra-arterial iodinated contrast agents. Re-evaluate eGFR 48 hours after the imaging procedure, and reinstitute only after renal function is stable. Radioactive Iodine Administration of iodinated contrast agents may interfere with thyroid uptake of radioactive iodine (I 131) and decrease therapeutic efficacy in patients with carcinoma of the thyroid. The decrease in efficacy lasts for 6-8 weeks. Oral Cholecystographic Contrast Agents Renal toxicity has been reported in patients with liver impairment who were given oral cholecystographic agents followed by intravascular contrast agents. Administration of OPTIRAY should be postponed in patients who have recently received a cholecystographic contrast agent.

How Supplied

OPTIRAY is a clear, colorless to pale yellow, sterile, pyrogen-free, aqueous solution available in two strengths. The products are supplied in containers from which the air has been displaced by nitrogen. OPTIRAY is supplied in the following configurations:                                                                       NDC Number OPTIRAY Pharmacy Bulk Package - 350 6x500 mL Pharmacy Bulk Packages              0019-1333-61 OPTIRAY Pharmacy Bulk Package - 320 6x500 mL Pharmacy Bulk Packages              0019-1323-61

Description

Inadvertent intrathecal administration may cause death, convulsions, cerebral hemorrhage, coma, paralysis, arachnoiditis, acute renal failure, cardiac arrest, seizures, rhabdomyolysis, hyperthermia, and brain edema  [see Warnings and Precautions ( 5.1 )].

Section 42229-5

Manufactured by:

Liebel-Flarsheim Company LLC

Raleigh, NC 27616

Made in USA

GBT 13PB825

16.2 Storage
  • Store at 25°C (77°F); excursions permitted to 15° to 30°C (59° to 86°F).
  • Protect from strong daylight or direct exposure to the sun.
  • Discard OPTIRAY containers, and their contents, if they are frozen or if crystallization occurs.
10 Overdosage

The adverse effects of overdosage are life-threatening and affect mainly the pulmonary and cardiovascular system. Treatment of an overdosage is directed toward the support of all vital functions and prompt institution of symptomatic therapy.

Ioversol does not bind to plasma or serum protein and is, therefore, dialyzable.

8.1 Pregnancy

Risk Summary

Postmarketing data with OPTIRAY use in pregnant women are insufficient to determine if there is a risk of drug-associated adverse developmental outcomes. Ioversol crosses the placenta and reaches fetal tissues in small amounts [see Data]. In animal reproduction studies, no adverse developmental effects were observed following daily intravenous administrations of ioversol to pregnant rats (from Gestation Day 7 to 17) and rabbits (Gestation Day 6 to 18) at doses 0.35 and 0.71 times, respectively, the maximum recommended human dose.

The estimated background risk of major birth defects and miscarriage for the indicated population is unknown. All pregnancies have a background risk of major birth defects, loss, or other adverse outcomes. In the U.S. general population, the estimated background risk of major birth defects and miscarriages in clinically recognized pregnancies is 2-4% and 15-20%, respectively.

Data

Human Data

Literature reports show that ioversol crosses the placenta and is visualized in the digestive tract of exposed infants after birth.

Animal Data

Developmental toxicity studies were conducted with ioversol given intravenously at doses of 0, 0.2, 0.8, and 3.2 g iodine/kg/day from Gestation Day7 to 17 and 6 to 18, in rats and rabbits, respectively. No adverse effects on embryo-fetal development were observed in either species at the maximum dose tested (3.2 g iodine/kg/day). Maternal toxicity was observed in rabbits at 0.8 and 3.2 g iodine/kg/day.

8.2 Lactation

Risk Summary

There is no information about the presence of ioversol in human or animal milk, the effects of the drug on the breastfed infant, or the effects of the drug on milk production. However, iodinated contrast agents are excreted unchanged in human milk in very low amounts with poor absorption from the gastrointestinal tract of the breastfed infant. The developmental and health benefits of breastfeeding should be considered along with the mother’s clinical need for OPTIRAY and any potential adverse effects on the breastfed infant from OPTIRAY or from the underlying maternal condition.

Clinical Considerations

Interruption of breastfeeding after exposure to iodinated contrast agents is not necessary because the potential exposure of the breastfed infant to iodine is small. However, a lactating woman may consider interrupting breastfeeding and pumping and discarding breast milk for 8 hours (approximately 5 elimination half-lives) after OPTIRAY administration in order to minimize drug exposure to a breast fed infant.

11 Description

1.2 Intra Venous

In adults

  • OPTIRAY 320:CT imaging of the head and body, venography, and intravenous excretory urography.
  • OPTIRAY 350:CT imaging of the head and body, venography, intravenous excretory urography, and intravenous digital subtraction angiography (IV-DSA).

In pediatric patients

  • OPTIRAY 320:CT imaging of the head and body, and intravenous excretory urography.
16.1 How Supplied

OPTIRAY is a clear, colorless to pale yellow, sterile, pyrogen-free, aqueous solution available in two strengths. The products are supplied in containers from which the air has been displaced by nitrogen. OPTIRAY is supplied in the following configurations:

                                                                      NDC Number

OPTIRAY Pharmacy Bulk Package - 350

6x500 mL Pharmacy Bulk Packages              0019-1333-61

OPTIRAY Pharmacy Bulk Package - 320

6x500 mL Pharmacy Bulk Packages              0019-1323-61

8.4 Pediatric Use

Safety and effectiveness in pediatric patients have been established for the use of OPTIRAY 350 and OPTIRAY 320 in angiocardiography; and for OPTIRAY 320 in contrast enhanced computed tomographic imaging of the head and body, and intravenous excretory urography. Use of OPTIRAY 350 and OPTIRAY 320 in these age groups is based on controlled clinical trials involving 159 patients for pediatric angiocardiography; contrast enhanced computed tomographic imaging of the head and body, and intravenous excretory urography. In general, the types of adverse reactions reported are similar to those of adults [see Adverse Reactions ( 6.1)] .

Safety and effectiveness of OPTIRAY 350 and OPTIRAY 320 have not been established in pediatric patients less than 1 month of age. 

Pediatric patients at higher risk of experiencing adverse reactions to OPTIRAY include patients with: asthma, sensitivity to medication and/or allergens, congestive heart failure, serum creatinine greater than 1.5 mg/dL, or age less than 12 months. Thyroid function tests indicative of hypothyroidism or transient thyroid suppression have been uncommonly reported following iodinated contrast media administration in pediatric patients, including infants. Some patients were treated for hypothyroidism [See Adverse Reactions ( 6.2)] .

Thyroid function tests indicative of thyroid dysfunction, characterized by hypothyroidism or transient thyroid suppression have been uncommonly reported following iodinated contrast media administration in pediatric patients, including term and preterm neonates;some patients were treated for hypothyroidism. After exposure to iodinated contrast media, individualize thyroid function monitoring in pediatric patients 0 to 3 years of age based on underlying risk factors, especially in term and preterm neonates  [see Warnings and Precautions ( 5.8) and Adverse Reactions ( 6.2)].

8.5 Geriatric Use

OPTIRAY is substantially excreted by the kidney, and the risk of adverse reactions to OPTIRAY may be greater in patients with impaired renal function. Because elderly patients are more likely to have decreased renal function, dose selection should be cautious usually starting at the low end of the dosing range, reflecting the greater frequency of decreased hepatic, renal or cardiac function, and of concomitant disease or other drug therapy.

1.1 Intra Arterial

In adults

  • OPTIRAY 320:cerebral arteriography, peripheral arteriography, visceral and renal arteriography, aortography, coronary arteriography, and left ventriculography.
  • OPTIRAY 350:peripheral arteriography, coronary arteriography, and left ventriculography.

In pediatric patients

  • OPTIRAY 320 and OPTIRAY 350:angiocardiography.
4 Contraindications

Symptomatic hyperthyroidism.

6 Adverse Reactions

The following clinically significant adverse reactions are described elsewhere in the labeling:

  • Risks Associated with Inadvertent Intrathecal Administration [see Warnings and Precautions ( 5.1)]
  • Hypersensitivity Reactions [see Warnings and Precautions ( 5.2)]
  • Contrast Induced Acute Kidney Injury [see Warnings and Precautions ( 5.3)]
  • Cardiovascular Adverse Reactions [see Warnings and Precautions ( 5.4)]
  • Thromboembolic Events [see Warnings and Precautions ( 5.5)]
  • Thyroid Dysfunction in Pediatric Patients 0 to 3 Years of Age [see Warnings and Precautions (5.8)]
  • Severe Cutaneous Adverse Reactions [see Warnings and Precautions ( 5.10)
7 Drug Interactions

2.4 Pediatric Dosing

Intra-arterial Procedures

  • Angiocardiography

Use OPTIRAY 350 or OPTIRAY 320. The recommended single ventricular dose is 1.25 mL/kg (range 1 mL/kg to 1.5 mL/kg). The maximum cumulative dose is 5 mL/kg up to a maximum total volume of 250 mL.

Intravenous Procedures

  • Computed Tomography

Use OPTIRAY 320.

Head and Body Imaging

The recommended dose in pediatric patients is 1.5 mL/kg to 2 mL/kg (range 1 mL/kg to 3 mL/kg).

  • Intravenous Urography

Use OPTIRAY 320. The recommended dose for pediatric patients is 1 mL/kg to 1.5 mL/kg (range 0.5 mL/kg to 3 mL/kg); with a maximum cumulative dose not exceeding 3 mL/kg.

8.6 Renal Impairment

In patients with impaired renal function, the elimination half-life is prolonged. Ioversol can be removed by dialysis.

12.2 Pharmacodynamics

Following administration of OPTIRAY, the degree of enhancement is directly related to the iodine content in an administered dose. Peak iodine plasma levels occur immediately following rapid injection. The time to maximum contrast enhancement can vary, depending on the organ, from the time that peak blood iodine concentrations are reached to one hour after intravenous bolus administration. When a delay between peak blood iodine concentrations and peak contrast is present, it suggests that radiographic contrast enhancement is at least in part dependent on the accumulation of iodine-containing medium within the lesion and outside the blood pool.

For angiography, contrast enhancement is greatest immediately (15 seconds to 120 seconds) after rapid injection. Iodinated contrast agents may be visualized in the renal parenchyma within 30-60 seconds following rapid intravenous injection. Opacification of the calyces and pelves in patients with normal renal function becomes apparent within 1-3 minutes, with optimum contrast occurring within 5-15 minutes.

12.3 Pharmacokinetics

Based on the blood clearance curves for 12 healthy volunteers (6 receiving 50 mL and 6 receiving 150 mL of OPTIRAY 320), the biological half-life was 1.5 hours for both doses.

Distribution

In an in vitrohuman plasma study, ioversol did not bind to protein. The volume of distribution in adults was 0.26 L/kg body weight, consistent with distribution to the extracellular space.

Elimination

Metabolism

Ioversol does not undergo significant metabolism, deiodination or biotransformation.

Excretion

Greater than 95% of the administered dose was excreted in urine within the first 24 hours, with the peak urine concentration occurring in the first two hours after administration.

1 Indications and Usage

OPTIRAY is indicated for:

12.1 Mechanism of Action

Intravascular injection of ioversol opacifies those vessels in the path of the flow of the contrast medium, permitting radiographic visualization of the internal structures until significant hemodilution occurs.

Ioversol may be visualized in the renal parenchyma within 30 to 60 seconds following rapid intravenous injection. Opacification of the calyces and pelves in patients with normal renal function becomes apparent within 1 to 3 minutes, with optimum contrast occurring within 5 to 15 minutes.

OPTIRAY enhances computed tomographic imaging through augmentation of radiographic efficiency. The degree of density enhancement is directly related to the iodine content in an administered dose; peak iodine blood levels occur immediately following rapid intravenous injection. Blood levels fall rapidly within 5 to 10 minutes and the vascular compartment half-life is approximately 20 minutes. This can be accounted for by the dilution in the vascular and extravascular fluid compartments which causes an initial sharp fall in plasma concentration. Equilibration with the extracellular compartments is reached in about 10 minutes; thereafter, the fall becomes exponential.

5.5 Thromboembolic Events

Angiocardiography

Serious, fatal, thromboembolic events causing myocardial infarction and stroke can occur during angiographic procedures with OPTIRAY. During these procedures, increased thrombosis and activation of the complement system occurs. Risk factors for thromboembolic events include: length of procedure, catheter and syringe material, underlying disease state, and concomitant medications.

To minimize thromboembolic events use meticulous angiographic technique. Avoid blood remaining in contact with syringes containing OPTIRAY, which increases the risk of clotting. Avoid angiocardiography in patients with homocystinuria because of the risk of inducing thrombosis and embolism [see Clinical Pharmacology ( 12.2)] .

5 Warnings and Precautions
  • Hypersensitivity Reactions: life-threatening or fatal reactions can occur. Always have emergency equipment and trained personnel available. ( 5.2)
  • Contrast Induced Acute Kidney Injury: Acute injury, including renal failure, can occur. Minimize dose and maintain adequate hydration to minimize risk. ( 5.3)
  • Cardiovascular Adverse Reactions: hemodynamic disturbances including shock and cardiac arrest may occur during or after administration. ( 5.4)
  • Thyroid Dysfunction in Pediatric Patients 0 to 3 Years of Age: Individualize thyroid function monitoring based on risk factors such as prematurity. ( 5.8)

7.1 Drug Drug Interactions

Metformin

In patients with renal impairment, metformin can cause lactic acidosis. Iodinated contrast agents appear to increase the risk of metformin induced lactic acidosis, possibly as a result of worsening renal function. Stop metformin at the time of, or prior to, OPTIRAY administration in patients with an eGFR between 30 and 60 mL/min/1.73 m2; in patients with a history of hepatic impairment, alcoholism or heart failure; or in patients who will be administered intra-arterial iodinated contrast agents. Re-evaluate eGFR 48 hours after the imaging procedure, and reinstitute only after renal function is stable.

Radioactive Iodine

Administration of iodinated contrast agents may interfere with thyroid uptake of radioactive iodine (I 131) and decrease therapeutic efficacy in patients with carcinoma of the thyroid. The decrease in efficacy lasts for 6-8 weeks.

Oral Cholecystographic Contrast Agents

Renal toxicity has been reported in patients with liver impairment who were given oral cholecystographic agents followed by intravascular contrast agents. Administration of OPTIRAY should be postponed in patients who have recently received a cholecystographic contrast agent.

2 Dosage and Administration

3 Dosage Forms and Strengths

Injection: clear, colorless to pale yellow solutions containing no undissolved solids, available in the following strengths and multiple-dose containers:

Imaging Product mg of

ioversol

per mL
mg of organically

bound iodine

per mL
Pharmacy Bulk Pack Presentation
OPTIRAY 320

(Ioversol 68%)
678 320 Yes
OPTIRAY 350

(Ioversol 74%)
741 350 Yes

6.2 Postmarketing Experience

The following adverse drug reactions have been reported during post-approval use of OPTIRAY. Because these reactions are reported voluntarily from a population of uncertain size, it is not always possible to reliably estimate frequency or establish a casual relationship to drug exposure.

Cardiac disorders:coronary artery spasm, cyanosis, arrhythmia (ventricular fibrillation, tachycardia, extrasystole), ECG abnormal.

Endocrine disorders: Hyperthyroidism, hypothyroidism.

Eye disorders:temporary blindness, conjunctivitis (including eye irritation, ocular hyperemia, watery eyes).

Gastrointestinal disorders:tongue edema, salivary hypersecretion.

General disorders and administration site conditions:injection site reactions including pain, hemorrhage, and necrosis especially after extravasation [see Warnings and Precautions ( 5.6)] , face edema, feeling hot.

Immune system disorders:hypersensitivity reactions including fatal anaphylactic shock.

Nervous system disorders:seizure, loss of consciousness, somnolence, hypoesthesia, dyskinesia, amnesia.

Respiratory disorders:respiratory arrest, asthma, bronchospasm, laryngeal spasm and obstruction, throat irritation, dysphonia.

Skin and subcutaneous tissue disorders:Reactions range from mild (e.g. rash, erythema, pruritus, urticaria, and skin discoloration) to severe: [e.g. Stevens-Johnson syndrome and toxic epidermal necrolysis (SJS/TEN)], acute generalized exanthematous pustulosis (AGEP) and drug reaction with eosinophilia and systemic symptoms (DRESS).

Vascular Disorders:phlebitis, thrombosis.

11.1 Chemical Characteristics

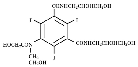
OPTIRAY (ioversol injection) is a non-ionic radiographic contrast agent. OPTIRAY formulations are sterile, nonpyrogenic, aqueous solutions intended for intravascular use. Each bottle is to be used as a Pharmacy Bulk Package for dispensing multiple single dose preparations utilizing a suitable transfer device. Ioversol is designated chemically as N,N'-Bis (2,3-dihydroxypropyl)-5-[ N-(2-hydroxyethyl) -glycolamido] -2,4,6-triiodoisophthalamide. The molecular weight of ioversol is 807.11 and the organically bound iodine content is 47.2%.

The structural formula of ioversol is as follows:

OPTIRAY Pharmacy Bulk Package is available in two strengths:

  • OPTIRAY 320(ioversol injection 68%): Each mL contains 320 mg organically bound iodine, 678 mg of ioversol, 3.6 mg tromethamine, 0.2 mg edetate calcium disodium.
  • OPTIRAY 350(ioversol injection 74%): Each mL contains 350 mg organically bound iodine, 741 mg ioversol, 3.6 mg tromethamine, 0.2 mg edetate calcium disodium.

The pH of the OPTIRAY formulations has been adjusted to 6.0 to 7.4 with hydrochloric acid or sodium hydroxide. All solutions are sterilized by autoclaving and contain no preservatives. Ioversol does not dissociate in solution.

11.2 Physical Characteristics

Some physical and chemical properties of these formulations are listed below:

OPTIRAY 320 OPTIRAY 350
Ioversol content (mg/mL) 678 741
Iodine content (mg l/mL) 320 350
Osmolality (mOsm/kg water) 702 792
Viscosity (cps)
at 25°C 9.9 14.3
at 37°C 5.8 9.0
Specific Gravity at 37°C 1.371 1.405

The OPTIRAY formulations are clear, colorless to pale yellow solutions containing no undissolved solids. Crystallization does not occur at room temperature. OPTIRAY solutions have osmolalities 2.3 to 2.8 times that of plasma (285 mOsm/kg water) as shown in the above table and are hypertonic under conditions of use.

8 Use in Specific Populations
  • Lactation: A lactating woman may pump and discard breast milk for 8 hours after OPTIRAY administration. ( 8.2)
5.2 Hypersensitivity Reactions

OPTIRAY can cause life-threatening or fatal hypersensitivity reactions including anaphylaxis and anaphylactic shock. Manifestations include respiratory arrest, laryngospasm, bronchospasm, angioedema, and shock. Most severe reactions develop shortly after the start of the injection (e.g. within 1 to 3 minutes), but delayed reactions may occur. There is an increased risk in patients with a history of a previous reaction to contrast agent, and known allergies (i.e., bronchial asthma, drug, or food allergies), and other hypersensitivities. Premedication with antihistamines or corticosteroids to avoid or minimize possible allergic reactions does not prevent serious life-threatening reactions, but may reduce both their incidence and severity.

Obtain a history of allergy, hypersensitivity, or prior hypersensitivity reactions to iodinated contrast agents. Always have emergency resuscitation equipment and trained personnel available and monitor all patients for hypersensitivity reactions.

6.1 Clinical Studies Experience

Adult Patients

Because clinical trials are conducted under widely varying conditions, adverse reaction rates observed in the clinical trials of a drug cannot be directly compared to rates in the clinical trials of another drug and may not reflect the rates observed in practice.

The following table shows reactions based upon clinical trials with OPTIRAY (ioversol) in 4,187 patients. Adverse reactions are listed by organ system according to clinical importance. More severe reactions are listed before others in a system regardless of incidence. The most common reaction is nausea, occurring at a rate of 1 percent.

Cardiac disorders

Cardiac arrest, myocardial infarction, arrhythmia, atrioventricular block complete, atrioventricular block, nodal rhythm, bradycardia, angina pectoris, palpitations

Ear and labyrinth disorders

Vertigo, tinnitus

Eye disorders

Vision blurred, periorbital edema, conjunctivitis

Gastrointestinal disorders

Vomiting, abdominal pain, dysphagia, dry mouth

General disorders and administration site conditions

Chest pain, pain, injection site pain, injection site hematoma, extravasation, pyrexia, swelling, asthenia, malaise, fatigue, chills

Infections and infestations

Rhinitis

Injury, poisoning, and procedural complications

Heart injury, vascular pseudoaneurysm

Investigations

Electrocardiogram ST segment depression, blood pressure decreased

Metabolism and nutrition disorders

Acidosis

Musculoskeletal and connective tissue disorders

Muscular weakness, muscle spasms, back pain

Nervous system disorders

Cerebral infarction, aphasia, tremor, dizziness, presyncope, headache, paraesthesia, dysgeusia

Psychiatric disorders

Hallucination, visual hallucination, disorientation, anxiety

Renal and urinary disorders

Urinary retention, renal pain, polyuria

Respiratory, thoracic, and mediastinal disorders

Laryngeal edema, hypoxia, pulmonary edema, dyspnea, hyperventilation, cough, sneezing,

nasal congestion

Skin and subcutaneous tissue disorders

Urticaria, rash, pruritus, swelling face, hyperhidrosis, erythema

Vascular disorders

Hypertension, hypotension, arterial spasm, vasospasm, vasodilation, flushing

Pediatric Patients

In clinical trials involving 311 patients for pediatric angiocardiography, contrast enhanced computed tomographic imaging of the head and body, and intravenous excretory urography; 6% of patients reported an adverse reactions, with the most common adverse reactions being nausea and fever. Adverse reactions reported were similar in quality and frequency to the adverse events reported by adults.

Warning: Not for Intrathecal Use

Inadvertent intrathecal administration may cause death, convulsions, cerebral hemorrhage, coma, paralysis, arachnoiditis, acute renal failure, cardiac arrest, seizures, rhabdomyolysis, hyperthermia, and brain edema  [see Warnings and Precautions ( 5.1)].

17 Patient Counseling Information

Hypersensitivity Reactions

Advise the patient concerning the risk of hypersensitivity reactions that can occur both during and after OPTIRAY administration. Advise the patient to report any signs or symptoms of hypersensitivity reactions during the procedure and to seek medical attention for signs or symptoms experienced after discharge [see Warnings and Precautions ( 5.2)] .

Advise patients to inform their physician if they develop a rash after receiving OPTIRAY [see Warnings and Precautions ( 5.11)] .

Contrast Induced Acute Kidney Injury

Advise the patient concerning appropriate hydration to decrease the risk of contrast induced kidney injury [see Warnings and Precautions ( 5.3)] .

Extravasation

If extravasation occurs during injection, advise patients to seek medical care for progression of symptoms [see Warnings and Precautions ( 5.6)] .

Thyroid Dysfunction

Advise parents/caregivers about the risk of developing thyroid dysfunction after OPTIRAY administration. Advise parents/caregivers about when to seek medical care for their child to monitor for thyroid function [see Warnings and Precautions ( 5.8)].

16 How Supplied/storage and Handling



2.3 Intravenous Procedures in Adults
  • Computed Tomography

Use OPTIRAY 320 or OPTIRAY 350 for head and body imaging.

Head Imaging

The recommended dosing is shown below:

  • Scan immediately after completion of the intravenous administration.

 Infusion

 OPTIRAY 320  50 to 150 mL
 OPTIRAY 350  50 to 150 mL

Body Imaging

OPTIRAY may be administered by bolus injection, by rapid infusion, or by a combination of both. The recommended dosing is shown below:

  • Scanning interval will vary with indication and target organ

Bolus Injection

 Infusion

 OPTIRAY 320  25 to 75mL  50 to 150 mL
 OPTIRAY 350  25 to 75mL  50 to 150 mL
  • Venography

Use OPTIRAY 320 or OPTIRAY 350. The recommended dose is 50 to 100 mL per extremity; with a maximum cumulative dose of 250 mL.

  • Intravenous Urography

Use OPTIRAY 350 or OPTIRAY 320. The recommended dose is shown below:

 Usual Dose

 High Dose Urography

 Maximum Dose

 OPTIRAY 320  50 to 75mL  1.5 to 2 mL/kg  150 mL
 OPTIRAY 350  50 to 75mL  1.4 mL/kg  150 mL
  • Intravenous Digital Subtraction Angiography (IV-DSA)

Use OPTIRAY 350. The recommended dose range per injection is 30 to 50 mL; may repeat as necessary with a maximum cumulative dose of 250mL.

Injection rates will vary depending on the site of catheter placement and vessel size.

  • Central catheter injections are usually made at a rate of between 10 and 30 mL/second.
  • Peripheral injections are usually made at a rate of between 12 and 20 mL/second.
5.4 Cardiovascular Adverse Reactions

OPTIRAY increases the circulatory osmotic load and may induce acute or delayed hemodynamic disturbances in patients with congestive heart failure, severely impaired renal function, combined renal and hepatic disease, combined renal and cardiac disease, particularly when repetitive or large doses are administered.

Life-threatening or fatal cardiovascular reactions have occurred with the use of OPTIRAY, including cardiac arrest, hypotensive collapse, and shock. Most deaths occur within 10 minutes of injection; with cardiovascular disease as the main underlying factor. Cardiac decompensation, serious arrhythmias, and myocardial ischemia or infarction can occur during coronary arteriography and ventriculography.

Based upon literature reports, deaths from the administration of iodinated contrast agents range from 6.6 per 1 million (0.00066 percent) to 1 in 10,000 patients (0.01 percent). Use the lowest necessary dose of OPTIRAY in patients with congestive heart failure and always have emergency resuscitation equipment and trained personnel available. Monitor all patients for severe cardiovascular reactions.

7.2 Drug/laboratory Test Interactions

Protein-Bound Iodine, Radioactive Iodine Determinations

The results of protein bound iodine and radioactive iodine uptake studies, which depend on iodine estimation, will not accurately reflect thyroid function for up to 16 days following administration of iodinated contrast agent. However, thyroid function tests that do not depend on iodine estimations, e.g., T3 resin uptake and total or free thyroxine (T4) assays are not affected.

2.2 Intra Arterial Procedures in Adults
  • Cerebral Arteriography

Use OPTIRAY 320. The recommended dose for visualization of cerebral arteries is shown below (may repeat as necessary):

 Diagnostic area  Dose  Maximum Cumulative Dose
 carotid or vertebral arteries  2 to 12 mL  200 mL

 aortic arch injection

(four vessel study)

 20 to 50 mL  200 mL
  • Peripheral Arteriography

Use OPTIRAY 320 or OPTIRAY 350. The recommended dose for visualization of peripheral arteries is shown below (may repeat as necessary):

 Diagnostic area  Dose  Maximum Cumulative Dose
aorta-iliac runoff 60 mL (range 20 to 90 mL) 250 mL
common iliac, femoral 40 mL (range 10 to 50 mL) 250 mL
subclavian, brachial 20 mL (range 15 to 30 mL) 250 mL
  • Visceral and Renal Arteriography and Aortography

Use OPTIRAY 320. The recommended dose for visualization for the aorta and visceral arteries is shown below (may repeat as necessary):

 Diagnostic area  Dose  Maximum Cumulative Dose
aorta 45 mL (range 10 to 80 mL) 250 mL
celiac 45 mL (range 12 to 60 mL) 250 mL
superior mesenteric 45 mL (range 15 to 60 mL) 250 mL
renal or inferior mesenteric 9 mL (range 6 to 15 mL) 250 mL
  • Coronary Arteriography and Left Ventriculography

Use OPTIRAY 320 or OPTIRAY 350. The recommended dose for visualization of the coronary arteries and left ventricle is shown below (may repeat as necessary):

 Diagnostic area  Dose  Maximum Cumulative Dose
left coronary 8 mL (range 2 to 10 mL) 250 mL
right coronary 6 mL (range 1 to 10 mL) 250 mL
left ventricle 40 mL (range 30 to 50 mL) 250 mL

5.11 Severe Cutaneous Adverse Reactions

Severe cutaneous adverse reactions (SCAR) may develop from 1 hour to several weeks after intravascular contrast agent administration. These reactions include Stevens-Johnson syndrome and toxic epidermal necrolysis (SJS/TEN), acute generalized exanthematous pustulosis (AGEP) and drug reaction with eosinophilia and systemic symptoms (DRESS). Reaction severity may increase and time to onset may decrease with repeat administration of a contrast agent; prophylactic medications may not prevent or mitigate severe cutaneous adverse reactions. Avoid administering OPTIRAY to patients with a history of a severe cutaneous adverse reaction to OPTIRAY.

5.3 Contrast Induced Acute Kidney Injury

Acute kidney injury, including renal failure, may occur after OPTIRAY administration. Risk factors include: pre-existing renal impairment, dehydration, diabetes mellitus, congestive heart failure, advanced vascular disease, elderly age, concomitant use of nephrotoxic or diuretic medications, multiple myeloma / paraproteinaceous diseases, repetitive and/or large doses of an iodinated contrast agent.

Use the lowest necessary dose of OPTIRAY in patients with renal impairment. Adequately hydrate patients prior to and following OPTIRAY administration. Do not use laxatives, diuretics, or preparatory dehydration prior to OPTIRAY administration.

13.2 Animal Toxicology And/or Pharmacology

Animal studies indicate that ioversol does not cross the blood-brain barrier.

5.6 Extravasation and Injection Site Reactions

Extravasation can occur with OPTIRAY administration, particularly in patients with severe arterial or venous disease and can be associated with pain, hemorrhage and necrosis. Ensure intravascular placement of catheters prior to injection. Monitor patients for extravasation and advise patients to seek medical care for progression of symptoms.

5.7 Thyroid Storm in Patients With Hyperthyroidism

OPTIRAY is contraindicated in patients with symptomatic hyperthyroidism [see Contraindications ( 4)] . Thyroid storm has occurred following the intravascular use of iodinated radiopaque agents in patients with hyperthyroidism or with an autonomously functioning thyroid nodule. Evaluate the risk in such patients before use of OPTIRAY.

2.1 Important Dosage and Administration Instructions
  • OPTIRAY is for intravascular use only [see Boxed Warning, Contraindications (4), Warnings and Precautions ( 5.1)] .
  • Use sterile technique for all handling and administration of OPTIRAY.
  • Inspect glass container prior to use for breakage or other damage and do not use damaged containers.
  • Warm OPTIRAY and administer at body or room temperature.
  • Inspect OPTIRAY for particulate matter or discoloration before administration. Do not administer if OPTIRAY contains particulate matter or is discolored.
  • Do not mix OPTIRAY with other drugs, solutions or total parenteral nutrition mixtures.
  • Use the lowest dose necessary to obtain adequate visualization.
  • Adjust the volume and concentration of OPTIRAY. Modify the dose accounting for factors such as age, body weight, vessel size, blood flow rate within the vessel, anticipated pathology, degree and extent of opacification required, structure(s) or area to be examined, disease processes affecting the patient, and equipment and technique to be employed.
  • Avoid extravasation when injecting OPTIRAY; especially in patients with severe arterial or venous disease [see Warnings and Precautions ( 5.6)] .
  • Hydrate patients before and after OPTIRAY administration [see Warnings and Precautions ( 5.3)].

Directions for Proper Use of OPTIRAY Pharmacy Bulk Package

  • The Pharmacy Bulk Package is not for direct infusion.
  • Penetrate the container closure only one time, utilizing a suitable sterile transfer device or dispensing set which allows measured distribution of the contents.
  • Transfer OPTIRAY from the Pharmacy Bulk Package only in a suitable work area, such as a laminar flow hood, utilizing aseptic technique.
  • Withdraw container contents immediately. However, should this not be possible, a maximum time of 4 hours from initial closure entry is permitted to complete fluid transfer operations.
  • Temperature of container after the closure has been entered should not exceed 25°C (77°F).
13.1 Carcinogenesis, Mutagenesis, Impairment of Fertility

No long term animal studies have been performed to evaluate carcinogenic potential. Nonclinical studies show that this drug is not mutagenic and does not affect fertility.

5.9 Hypertensive Crisis in Patients With Pheochromocytoma

Hypertensive crisis has occurred after the use of iodinated radiopaque contrast agents in patient with pheochromocytoma. Closely monitor patients when administering OPTIRAY if pheochromocytoma or catecholamine-secreting paraganglioma is suspected. Inject the minimum amount of OPTIRAY necessary and have measures for treatment of hypertensive crisis readily available.

5.10 Sickle Cell Crisis in Patients With Sickle Cell Disease

Iodinated contrast agents may promote sickling in individuals who are homozygous for sickle cell disease. Hydrate patients prior to and following OPTIRAY administration, use OPTIRAY only if the necessary imaging information cannot be obtained with alternative imaging modalities, and inject the minimum amount necessary.

5.1 Risks Associated With Inadvertent Intrathecal Administration

OPTIRAY is indicated for intravascular use only [see Dosage and Administration ( 2.1)] . Inadvertent intrathecal administration can cause death, convulsions, cerebral hemorrhage, coma, paralysis, arachnoiditis, acute renal failure, cardiac arrest, seizures, rhabdomyolysis, hyperthermia, and brain edema.

5.8 Thyroid Dysfunction in Pediatric Patients 0 to 3 Years of Age

Thyroid dysfunction characterized by hypothyroidism or transient thyroid suppression has been reported after both single exposure and multiple exposures to iodinated contrast media (ICM) in pediatric patients 0 to 3 years of age.

Younger age, very low birth weight, prematurity, underlying medical conditions affecting thyroid function, admission to neonatal or pediatric intensive care units, and congenital cardiac conditions are associated with an increased risk of hypothyroidism after ICM exposure. Pediatric patients with congenital cardiac conditions may be at the greatest risk given that they often require high doses of contrast during invasive cardiac procedures.

An underactive thyroid during early life may be harmful for cognitive and neurological development and may require thyroid hormone replacement therapy. After exposure to ICM, individualize thyroid function monitoring based on underlying risk factors, especially in term and preterm neonates.

Package Label Principal Display Panel Optiray 300 Pbp, 500 Ml Bottle Label

For Intravascular Use

Sterile Solution



Optiray™ Pharmacy Bulk Package - 300



500 mL

NDC 0019-1332-61



IOVERSOL INJECTION 64%


300 mg/mL Organically Bound Iodine



NOT FOR INTRATHECAL USE



Rx only



Pharmacy Bulk Package - Not for Direct Infusion



Protect from light •Store at 25°C (77°F); excursions permitted to 15° to 30°C (59° to 86°F) [see USP Controlled Room Temperature]. Discard contents if product is frozen or if crystallization occurs. Each mL contains 636 mg ioversol, 3.6 mg tromethamine as a buffer and 0.2 mg edetate calcium disodium as a stabilizer. The pH is adjusted with hydrochloric acid or sodium hydroxide.

Usual Dosage:See Package Insert for indications, dosage and dispensing information. Once bottle has been penetrated, withdrawal of contents should be completed without delay. Discard the container no later than 4 hours after initial entry.



12910419



Manufactured by:

Liebel-Flarsheim Company LLC

Raleigh, NC 27616

Made in USA

Package Label Principal Display Panel Optiray 320 Pbp, 500 Ml Bottle Label

For Intravascular Use

Sterile Solution




Optiray™ Pharmacy Bulk Package - 320



500 mL

NDC 0019-1323-61
IOVERSOL INJECTION 68%

320 mg/mL Organically Bound Iodine



NOT FOR INTRATHECAL USE



Rx only



Pharmacy Bulk Package - Not for Direct Infusion



Protect from light •Store at 25°C (77°F); excursions permitted to 15° to 30°C (59° to 86°F) [see USP Controlled Room Temperature]. Discard contents if product is frozen or if crystallization occurs. Each mL contains 678 mg ioversol, 3.6 mg tromethamine as a buffer and 0.2 mg edetate calcium disodium as a stabilizer. The pH is adjusted with hydrochloric acid or sodium hydroxide.

Usual Dosage:See Package Insert for indications, dosage and dispensing information. Once bottle has been penetrated, withdrawal of contents should be completed without delay. Discard the container no later than 4 hours after initial entry.



12840419

Manufactured by:

Liebel-Flarsheim Company LLC

Raleigh, NC 27616

Made in USA

Package Label Principal Display Panel Optiray 350 Pbp, 500 Ml Bottle Label

For Intravascular Use

Sterile Solution



Optiray™ Pharmacy Bulk Package - 350



500 mL

NDC 0019-1333-61



IOVERSOL INJECTION 74%


350 mg/mL Organically Bound Iodine



NOT FOR INTRATHECAL USE



Rx only



Pharmacy Bulk Package - Not for Direct Infusion



Protect from light •Store at 25°C (77°F); excursions permitted to 15° to 30°C (59° to 86°F) [see USP Controlled Room Temperature]. Discard contents if product is frozen or if crystallization occurs. Each mL contains 741 mg ioversol, 3.6 mg tromethamine as a buffer and 0.2 mg edetate calcium disodium as a stabilizer. The pH is adjusted with hydrochloric acid or sodium hydroxide.

Usual Dosage:See Package Insert for indications, dosage and dispensing information. Once bottle has been penetrated, withdrawal of contents should be completed without delay. Discard the container no later than 4 hours after initial entry.       



12880419

Manufactured by:

Liebel-Flarsheim Company LLC

Raleigh, NC 27616

Made in USA


Structured Label Content

Section 42229-5 (42229-5)

Manufactured by:

Liebel-Flarsheim Company LLC

Raleigh, NC 27616

Made in USA

GBT 13PB825

16.2 Storage
  • Store at 25°C (77°F); excursions permitted to 15° to 30°C (59° to 86°F).
  • Protect from strong daylight or direct exposure to the sun.
  • Discard OPTIRAY containers, and their contents, if they are frozen or if crystallization occurs.
10 Overdosage (10 OVERDOSAGE)

The adverse effects of overdosage are life-threatening and affect mainly the pulmonary and cardiovascular system. Treatment of an overdosage is directed toward the support of all vital functions and prompt institution of symptomatic therapy.

Ioversol does not bind to plasma or serum protein and is, therefore, dialyzable.

8.1 Pregnancy

Risk Summary

Postmarketing data with OPTIRAY use in pregnant women are insufficient to determine if there is a risk of drug-associated adverse developmental outcomes. Ioversol crosses the placenta and reaches fetal tissues in small amounts [see Data]. In animal reproduction studies, no adverse developmental effects were observed following daily intravenous administrations of ioversol to pregnant rats (from Gestation Day 7 to 17) and rabbits (Gestation Day 6 to 18) at doses 0.35 and 0.71 times, respectively, the maximum recommended human dose.

The estimated background risk of major birth defects and miscarriage for the indicated population is unknown. All pregnancies have a background risk of major birth defects, loss, or other adverse outcomes. In the U.S. general population, the estimated background risk of major birth defects and miscarriages in clinically recognized pregnancies is 2-4% and 15-20%, respectively.

Data

Human Data

Literature reports show that ioversol crosses the placenta and is visualized in the digestive tract of exposed infants after birth.

Animal Data

Developmental toxicity studies were conducted with ioversol given intravenously at doses of 0, 0.2, 0.8, and 3.2 g iodine/kg/day from Gestation Day7 to 17 and 6 to 18, in rats and rabbits, respectively. No adverse effects on embryo-fetal development were observed in either species at the maximum dose tested (3.2 g iodine/kg/day). Maternal toxicity was observed in rabbits at 0.8 and 3.2 g iodine/kg/day.

8.2 Lactation

Risk Summary

There is no information about the presence of ioversol in human or animal milk, the effects of the drug on the breastfed infant, or the effects of the drug on milk production. However, iodinated contrast agents are excreted unchanged in human milk in very low amounts with poor absorption from the gastrointestinal tract of the breastfed infant. The developmental and health benefits of breastfeeding should be considered along with the mother’s clinical need for OPTIRAY and any potential adverse effects on the breastfed infant from OPTIRAY or from the underlying maternal condition.

Clinical Considerations

Interruption of breastfeeding after exposure to iodinated contrast agents is not necessary because the potential exposure of the breastfed infant to iodine is small. However, a lactating woman may consider interrupting breastfeeding and pumping and discarding breast milk for 8 hours (approximately 5 elimination half-lives) after OPTIRAY administration in order to minimize drug exposure to a breast fed infant.

11 Description (11 DESCRIPTION)

1.2 Intra Venous (1.2 Intra-venous)

In adults

  • OPTIRAY 320:CT imaging of the head and body, venography, and intravenous excretory urography.
  • OPTIRAY 350:CT imaging of the head and body, venography, intravenous excretory urography, and intravenous digital subtraction angiography (IV-DSA).

In pediatric patients

  • OPTIRAY 320:CT imaging of the head and body, and intravenous excretory urography.
16.1 How Supplied

OPTIRAY is a clear, colorless to pale yellow, sterile, pyrogen-free, aqueous solution available in two strengths. The products are supplied in containers from which the air has been displaced by nitrogen. OPTIRAY is supplied in the following configurations:

                                                                      NDC Number

OPTIRAY Pharmacy Bulk Package - 350

6x500 mL Pharmacy Bulk Packages              0019-1333-61

OPTIRAY Pharmacy Bulk Package - 320

6x500 mL Pharmacy Bulk Packages              0019-1323-61

8.4 Pediatric Use

Safety and effectiveness in pediatric patients have been established for the use of OPTIRAY 350 and OPTIRAY 320 in angiocardiography; and for OPTIRAY 320 in contrast enhanced computed tomographic imaging of the head and body, and intravenous excretory urography. Use of OPTIRAY 350 and OPTIRAY 320 in these age groups is based on controlled clinical trials involving 159 patients for pediatric angiocardiography; contrast enhanced computed tomographic imaging of the head and body, and intravenous excretory urography. In general, the types of adverse reactions reported are similar to those of adults [see Adverse Reactions ( 6.1)] .

Safety and effectiveness of OPTIRAY 350 and OPTIRAY 320 have not been established in pediatric patients less than 1 month of age. 

Pediatric patients at higher risk of experiencing adverse reactions to OPTIRAY include patients with: asthma, sensitivity to medication and/or allergens, congestive heart failure, serum creatinine greater than 1.5 mg/dL, or age less than 12 months. Thyroid function tests indicative of hypothyroidism or transient thyroid suppression have been uncommonly reported following iodinated contrast media administration in pediatric patients, including infants. Some patients were treated for hypothyroidism [See Adverse Reactions ( 6.2)] .

Thyroid function tests indicative of thyroid dysfunction, characterized by hypothyroidism or transient thyroid suppression have been uncommonly reported following iodinated contrast media administration in pediatric patients, including term and preterm neonates;some patients were treated for hypothyroidism. After exposure to iodinated contrast media, individualize thyroid function monitoring in pediatric patients 0 to 3 years of age based on underlying risk factors, especially in term and preterm neonates  [see Warnings and Precautions ( 5.8) and Adverse Reactions ( 6.2)].

8.5 Geriatric Use

OPTIRAY is substantially excreted by the kidney, and the risk of adverse reactions to OPTIRAY may be greater in patients with impaired renal function. Because elderly patients are more likely to have decreased renal function, dose selection should be cautious usually starting at the low end of the dosing range, reflecting the greater frequency of decreased hepatic, renal or cardiac function, and of concomitant disease or other drug therapy.

1.1 Intra Arterial (1.1 Intra-arterial)

In adults

  • OPTIRAY 320:cerebral arteriography, peripheral arteriography, visceral and renal arteriography, aortography, coronary arteriography, and left ventriculography.
  • OPTIRAY 350:peripheral arteriography, coronary arteriography, and left ventriculography.

In pediatric patients

  • OPTIRAY 320 and OPTIRAY 350:angiocardiography.
4 Contraindications (4 CONTRAINDICATIONS)

Symptomatic hyperthyroidism.

6 Adverse Reactions (6 ADVERSE REACTIONS)

The following clinically significant adverse reactions are described elsewhere in the labeling:

  • Risks Associated with Inadvertent Intrathecal Administration [see Warnings and Precautions ( 5.1)]
  • Hypersensitivity Reactions [see Warnings and Precautions ( 5.2)]
  • Contrast Induced Acute Kidney Injury [see Warnings and Precautions ( 5.3)]
  • Cardiovascular Adverse Reactions [see Warnings and Precautions ( 5.4)]
  • Thromboembolic Events [see Warnings and Precautions ( 5.5)]
  • Thyroid Dysfunction in Pediatric Patients 0 to 3 Years of Age [see Warnings and Precautions (5.8)]
  • Severe Cutaneous Adverse Reactions [see Warnings and Precautions ( 5.10)
7 Drug Interactions (7 DRUG INTERACTIONS)

2.4 Pediatric Dosing

Intra-arterial Procedures

  • Angiocardiography

Use OPTIRAY 350 or OPTIRAY 320. The recommended single ventricular dose is 1.25 mL/kg (range 1 mL/kg to 1.5 mL/kg). The maximum cumulative dose is 5 mL/kg up to a maximum total volume of 250 mL.

Intravenous Procedures

  • Computed Tomography

Use OPTIRAY 320.

Head and Body Imaging

The recommended dose in pediatric patients is 1.5 mL/kg to 2 mL/kg (range 1 mL/kg to 3 mL/kg).

  • Intravenous Urography

Use OPTIRAY 320. The recommended dose for pediatric patients is 1 mL/kg to 1.5 mL/kg (range 0.5 mL/kg to 3 mL/kg); with a maximum cumulative dose not exceeding 3 mL/kg.

8.6 Renal Impairment

In patients with impaired renal function, the elimination half-life is prolonged. Ioversol can be removed by dialysis.

12.2 Pharmacodynamics

Following administration of OPTIRAY, the degree of enhancement is directly related to the iodine content in an administered dose. Peak iodine plasma levels occur immediately following rapid injection. The time to maximum contrast enhancement can vary, depending on the organ, from the time that peak blood iodine concentrations are reached to one hour after intravenous bolus administration. When a delay between peak blood iodine concentrations and peak contrast is present, it suggests that radiographic contrast enhancement is at least in part dependent on the accumulation of iodine-containing medium within the lesion and outside the blood pool.

For angiography, contrast enhancement is greatest immediately (15 seconds to 120 seconds) after rapid injection. Iodinated contrast agents may be visualized in the renal parenchyma within 30-60 seconds following rapid intravenous injection. Opacification of the calyces and pelves in patients with normal renal function becomes apparent within 1-3 minutes, with optimum contrast occurring within 5-15 minutes.

12.3 Pharmacokinetics

Based on the blood clearance curves for 12 healthy volunteers (6 receiving 50 mL and 6 receiving 150 mL of OPTIRAY 320), the biological half-life was 1.5 hours for both doses.

Distribution

In an in vitrohuman plasma study, ioversol did not bind to protein. The volume of distribution in adults was 0.26 L/kg body weight, consistent with distribution to the extracellular space.

Elimination

Metabolism

Ioversol does not undergo significant metabolism, deiodination or biotransformation.

Excretion

Greater than 95% of the administered dose was excreted in urine within the first 24 hours, with the peak urine concentration occurring in the first two hours after administration.

1 Indications and Usage (1 INDICATIONS AND USAGE)

OPTIRAY is indicated for:

12.1 Mechanism of Action

Intravascular injection of ioversol opacifies those vessels in the path of the flow of the contrast medium, permitting radiographic visualization of the internal structures until significant hemodilution occurs.

Ioversol may be visualized in the renal parenchyma within 30 to 60 seconds following rapid intravenous injection. Opacification of the calyces and pelves in patients with normal renal function becomes apparent within 1 to 3 minutes, with optimum contrast occurring within 5 to 15 minutes.

OPTIRAY enhances computed tomographic imaging through augmentation of radiographic efficiency. The degree of density enhancement is directly related to the iodine content in an administered dose; peak iodine blood levels occur immediately following rapid intravenous injection. Blood levels fall rapidly within 5 to 10 minutes and the vascular compartment half-life is approximately 20 minutes. This can be accounted for by the dilution in the vascular and extravascular fluid compartments which causes an initial sharp fall in plasma concentration. Equilibration with the extracellular compartments is reached in about 10 minutes; thereafter, the fall becomes exponential.

5.5 Thromboembolic Events

Angiocardiography

Serious, fatal, thromboembolic events causing myocardial infarction and stroke can occur during angiographic procedures with OPTIRAY. During these procedures, increased thrombosis and activation of the complement system occurs. Risk factors for thromboembolic events include: length of procedure, catheter and syringe material, underlying disease state, and concomitant medications.

To minimize thromboembolic events use meticulous angiographic technique. Avoid blood remaining in contact with syringes containing OPTIRAY, which increases the risk of clotting. Avoid angiocardiography in patients with homocystinuria because of the risk of inducing thrombosis and embolism [see Clinical Pharmacology ( 12.2)] .

5 Warnings and Precautions (5 WARNINGS AND PRECAUTIONS)
  • Hypersensitivity Reactions: life-threatening or fatal reactions can occur. Always have emergency equipment and trained personnel available. ( 5.2)
  • Contrast Induced Acute Kidney Injury: Acute injury, including renal failure, can occur. Minimize dose and maintain adequate hydration to minimize risk. ( 5.3)
  • Cardiovascular Adverse Reactions: hemodynamic disturbances including shock and cardiac arrest may occur during or after administration. ( 5.4)
  • Thyroid Dysfunction in Pediatric Patients 0 to 3 Years of Age: Individualize thyroid function monitoring based on risk factors such as prematurity. ( 5.8)

7.1 Drug Drug Interactions (7.1 Drug-Drug Interactions)

Metformin

In patients with renal impairment, metformin can cause lactic acidosis. Iodinated contrast agents appear to increase the risk of metformin induced lactic acidosis, possibly as a result of worsening renal function. Stop metformin at the time of, or prior to, OPTIRAY administration in patients with an eGFR between 30 and 60 mL/min/1.73 m2; in patients with a history of hepatic impairment, alcoholism or heart failure; or in patients who will be administered intra-arterial iodinated contrast agents. Re-evaluate eGFR 48 hours after the imaging procedure, and reinstitute only after renal function is stable.

Radioactive Iodine

Administration of iodinated contrast agents may interfere with thyroid uptake of radioactive iodine (I 131) and decrease therapeutic efficacy in patients with carcinoma of the thyroid. The decrease in efficacy lasts for 6-8 weeks.

Oral Cholecystographic Contrast Agents

Renal toxicity has been reported in patients with liver impairment who were given oral cholecystographic agents followed by intravascular contrast agents. Administration of OPTIRAY should be postponed in patients who have recently received a cholecystographic contrast agent.

2 Dosage and Administration (2 DOSAGE AND ADMINISTRATION)

3 Dosage Forms and Strengths (3 DOSAGE FORMS AND STRENGTHS)

Injection: clear, colorless to pale yellow solutions containing no undissolved solids, available in the following strengths and multiple-dose containers:

Imaging Product mg of

ioversol

per mL
mg of organically

bound iodine

per mL
Pharmacy Bulk Pack Presentation
OPTIRAY 320

(Ioversol 68%)
678 320 Yes
OPTIRAY 350

(Ioversol 74%)
741 350 Yes

6.2 Postmarketing Experience

The following adverse drug reactions have been reported during post-approval use of OPTIRAY. Because these reactions are reported voluntarily from a population of uncertain size, it is not always possible to reliably estimate frequency or establish a casual relationship to drug exposure.

Cardiac disorders:coronary artery spasm, cyanosis, arrhythmia (ventricular fibrillation, tachycardia, extrasystole), ECG abnormal.

Endocrine disorders: Hyperthyroidism, hypothyroidism.

Eye disorders:temporary blindness, conjunctivitis (including eye irritation, ocular hyperemia, watery eyes).

Gastrointestinal disorders:tongue edema, salivary hypersecretion.

General disorders and administration site conditions:injection site reactions including pain, hemorrhage, and necrosis especially after extravasation [see Warnings and Precautions ( 5.6)] , face edema, feeling hot.

Immune system disorders:hypersensitivity reactions including fatal anaphylactic shock.

Nervous system disorders:seizure, loss of consciousness, somnolence, hypoesthesia, dyskinesia, amnesia.

Respiratory disorders:respiratory arrest, asthma, bronchospasm, laryngeal spasm and obstruction, throat irritation, dysphonia.

Skin and subcutaneous tissue disorders:Reactions range from mild (e.g. rash, erythema, pruritus, urticaria, and skin discoloration) to severe: [e.g. Stevens-Johnson syndrome and toxic epidermal necrolysis (SJS/TEN)], acute generalized exanthematous pustulosis (AGEP) and drug reaction with eosinophilia and systemic symptoms (DRESS).

Vascular Disorders:phlebitis, thrombosis.

11.1 Chemical Characteristics

OPTIRAY (ioversol injection) is a non-ionic radiographic contrast agent. OPTIRAY formulations are sterile, nonpyrogenic, aqueous solutions intended for intravascular use. Each bottle is to be used as a Pharmacy Bulk Package for dispensing multiple single dose preparations utilizing a suitable transfer device. Ioversol is designated chemically as N,N'-Bis (2,3-dihydroxypropyl)-5-[ N-(2-hydroxyethyl) -glycolamido] -2,4,6-triiodoisophthalamide. The molecular weight of ioversol is 807.11 and the organically bound iodine content is 47.2%.

The structural formula of ioversol is as follows:

OPTIRAY Pharmacy Bulk Package is available in two strengths:

  • OPTIRAY 320(ioversol injection 68%): Each mL contains 320 mg organically bound iodine, 678 mg of ioversol, 3.6 mg tromethamine, 0.2 mg edetate calcium disodium.
  • OPTIRAY 350(ioversol injection 74%): Each mL contains 350 mg organically bound iodine, 741 mg ioversol, 3.6 mg tromethamine, 0.2 mg edetate calcium disodium.

The pH of the OPTIRAY formulations has been adjusted to 6.0 to 7.4 with hydrochloric acid or sodium hydroxide. All solutions are sterilized by autoclaving and contain no preservatives. Ioversol does not dissociate in solution.

11.2 Physical Characteristics

Some physical and chemical properties of these formulations are listed below:

OPTIRAY 320 OPTIRAY 350
Ioversol content (mg/mL) 678 741
Iodine content (mg l/mL) 320 350
Osmolality (mOsm/kg water) 702 792
Viscosity (cps)
at 25°C 9.9 14.3
at 37°C 5.8 9.0
Specific Gravity at 37°C 1.371 1.405

The OPTIRAY formulations are clear, colorless to pale yellow solutions containing no undissolved solids. Crystallization does not occur at room temperature. OPTIRAY solutions have osmolalities 2.3 to 2.8 times that of plasma (285 mOsm/kg water) as shown in the above table and are hypertonic under conditions of use.

8 Use in Specific Populations (8 USE IN SPECIFIC POPULATIONS)
  • Lactation: A lactating woman may pump and discard breast milk for 8 hours after OPTIRAY administration. ( 8.2)
5.2 Hypersensitivity Reactions

OPTIRAY can cause life-threatening or fatal hypersensitivity reactions including anaphylaxis and anaphylactic shock. Manifestations include respiratory arrest, laryngospasm, bronchospasm, angioedema, and shock. Most severe reactions develop shortly after the start of the injection (e.g. within 1 to 3 minutes), but delayed reactions may occur. There is an increased risk in patients with a history of a previous reaction to contrast agent, and known allergies (i.e., bronchial asthma, drug, or food allergies), and other hypersensitivities. Premedication with antihistamines or corticosteroids to avoid or minimize possible allergic reactions does not prevent serious life-threatening reactions, but may reduce both their incidence and severity.

Obtain a history of allergy, hypersensitivity, or prior hypersensitivity reactions to iodinated contrast agents. Always have emergency resuscitation equipment and trained personnel available and monitor all patients for hypersensitivity reactions.

6.1 Clinical Studies Experience

Adult Patients

Because clinical trials are conducted under widely varying conditions, adverse reaction rates observed in the clinical trials of a drug cannot be directly compared to rates in the clinical trials of another drug and may not reflect the rates observed in practice.

The following table shows reactions based upon clinical trials with OPTIRAY (ioversol) in 4,187 patients. Adverse reactions are listed by organ system according to clinical importance. More severe reactions are listed before others in a system regardless of incidence. The most common reaction is nausea, occurring at a rate of 1 percent.

Cardiac disorders

Cardiac arrest, myocardial infarction, arrhythmia, atrioventricular block complete, atrioventricular block, nodal rhythm, bradycardia, angina pectoris, palpitations

Ear and labyrinth disorders

Vertigo, tinnitus

Eye disorders

Vision blurred, periorbital edema, conjunctivitis

Gastrointestinal disorders

Vomiting, abdominal pain, dysphagia, dry mouth

General disorders and administration site conditions

Chest pain, pain, injection site pain, injection site hematoma, extravasation, pyrexia, swelling, asthenia, malaise, fatigue, chills

Infections and infestations

Rhinitis

Injury, poisoning, and procedural complications

Heart injury, vascular pseudoaneurysm

Investigations

Electrocardiogram ST segment depression, blood pressure decreased

Metabolism and nutrition disorders

Acidosis

Musculoskeletal and connective tissue disorders

Muscular weakness, muscle spasms, back pain

Nervous system disorders

Cerebral infarction, aphasia, tremor, dizziness, presyncope, headache, paraesthesia, dysgeusia

Psychiatric disorders

Hallucination, visual hallucination, disorientation, anxiety

Renal and urinary disorders

Urinary retention, renal pain, polyuria

Respiratory, thoracic, and mediastinal disorders

Laryngeal edema, hypoxia, pulmonary edema, dyspnea, hyperventilation, cough, sneezing,

nasal congestion

Skin and subcutaneous tissue disorders

Urticaria, rash, pruritus, swelling face, hyperhidrosis, erythema

Vascular disorders

Hypertension, hypotension, arterial spasm, vasospasm, vasodilation, flushing

Pediatric Patients

In clinical trials involving 311 patients for pediatric angiocardiography, contrast enhanced computed tomographic imaging of the head and body, and intravenous excretory urography; 6% of patients reported an adverse reactions, with the most common adverse reactions being nausea and fever. Adverse reactions reported were similar in quality and frequency to the adverse events reported by adults.

Warning: Not for Intrathecal Use (WARNING: NOT FOR INTRATHECAL USE)

Inadvertent intrathecal administration may cause death, convulsions, cerebral hemorrhage, coma, paralysis, arachnoiditis, acute renal failure, cardiac arrest, seizures, rhabdomyolysis, hyperthermia, and brain edema  [see Warnings and Precautions ( 5.1)].

17 Patient Counseling Information (17 PATIENT COUNSELING INFORMATION)

Hypersensitivity Reactions

Advise the patient concerning the risk of hypersensitivity reactions that can occur both during and after OPTIRAY administration. Advise the patient to report any signs or symptoms of hypersensitivity reactions during the procedure and to seek medical attention for signs or symptoms experienced after discharge [see Warnings and Precautions ( 5.2)] .

Advise patients to inform their physician if they develop a rash after receiving OPTIRAY [see Warnings and Precautions ( 5.11)] .

Contrast Induced Acute Kidney Injury

Advise the patient concerning appropriate hydration to decrease the risk of contrast induced kidney injury [see Warnings and Precautions ( 5.3)] .

Extravasation

If extravasation occurs during injection, advise patients to seek medical care for progression of symptoms [see Warnings and Precautions ( 5.6)] .

Thyroid Dysfunction

Advise parents/caregivers about the risk of developing thyroid dysfunction after OPTIRAY administration. Advise parents/caregivers about when to seek medical care for their child to monitor for thyroid function [see Warnings and Precautions ( 5.8)].

16 How Supplied/storage and Handling (16 HOW SUPPLIED/STORAGE AND HANDLING)



2.3 Intravenous Procedures in Adults
  • Computed Tomography

Use OPTIRAY 320 or OPTIRAY 350 for head and body imaging.

Head Imaging

The recommended dosing is shown below:

  • Scan immediately after completion of the intravenous administration.

 Infusion

 OPTIRAY 320  50 to 150 mL
 OPTIRAY 350  50 to 150 mL

Body Imaging

OPTIRAY may be administered by bolus injection, by rapid infusion, or by a combination of both. The recommended dosing is shown below:

  • Scanning interval will vary with indication and target organ

Bolus Injection

 Infusion

 OPTIRAY 320  25 to 75mL  50 to 150 mL
 OPTIRAY 350  25 to 75mL  50 to 150 mL
  • Venography

Use OPTIRAY 320 or OPTIRAY 350. The recommended dose is 50 to 100 mL per extremity; with a maximum cumulative dose of 250 mL.

  • Intravenous Urography

Use OPTIRAY 350 or OPTIRAY 320. The recommended dose is shown below:

 Usual Dose

 High Dose Urography

 Maximum Dose

 OPTIRAY 320  50 to 75mL  1.5 to 2 mL/kg  150 mL
 OPTIRAY 350  50 to 75mL  1.4 mL/kg  150 mL
  • Intravenous Digital Subtraction Angiography (IV-DSA)

Use OPTIRAY 350. The recommended dose range per injection is 30 to 50 mL; may repeat as necessary with a maximum cumulative dose of 250mL.

Injection rates will vary depending on the site of catheter placement and vessel size.

  • Central catheter injections are usually made at a rate of between 10 and 30 mL/second.
  • Peripheral injections are usually made at a rate of between 12 and 20 mL/second.
5.4 Cardiovascular Adverse Reactions

OPTIRAY increases the circulatory osmotic load and may induce acute or delayed hemodynamic disturbances in patients with congestive heart failure, severely impaired renal function, combined renal and hepatic disease, combined renal and cardiac disease, particularly when repetitive or large doses are administered.

Life-threatening or fatal cardiovascular reactions have occurred with the use of OPTIRAY, including cardiac arrest, hypotensive collapse, and shock. Most deaths occur within 10 minutes of injection; with cardiovascular disease as the main underlying factor. Cardiac decompensation, serious arrhythmias, and myocardial ischemia or infarction can occur during coronary arteriography and ventriculography.

Based upon literature reports, deaths from the administration of iodinated contrast agents range from 6.6 per 1 million (0.00066 percent) to 1 in 10,000 patients (0.01 percent). Use the lowest necessary dose of OPTIRAY in patients with congestive heart failure and always have emergency resuscitation equipment and trained personnel available. Monitor all patients for severe cardiovascular reactions.

7.2 Drug/laboratory Test Interactions (7.2 Drug/Laboratory Test Interactions)

Protein-Bound Iodine, Radioactive Iodine Determinations

The results of protein bound iodine and radioactive iodine uptake studies, which depend on iodine estimation, will not accurately reflect thyroid function for up to 16 days following administration of iodinated contrast agent. However, thyroid function tests that do not depend on iodine estimations, e.g., T3 resin uptake and total or free thyroxine (T4) assays are not affected.

2.2 Intra Arterial Procedures in Adults (2.2 Intra-arterial Procedures in Adults)
  • Cerebral Arteriography

Use OPTIRAY 320. The recommended dose for visualization of cerebral arteries is shown below (may repeat as necessary):

 Diagnostic area  Dose  Maximum Cumulative Dose
 carotid or vertebral arteries  2 to 12 mL  200 mL

 aortic arch injection

(four vessel study)

 20 to 50 mL  200 mL
  • Peripheral Arteriography

Use OPTIRAY 320 or OPTIRAY 350. The recommended dose for visualization of peripheral arteries is shown below (may repeat as necessary):

 Diagnostic area  Dose  Maximum Cumulative Dose
aorta-iliac runoff 60 mL (range 20 to 90 mL) 250 mL
common iliac, femoral 40 mL (range 10 to 50 mL) 250 mL
subclavian, brachial 20 mL (range 15 to 30 mL) 250 mL
  • Visceral and Renal Arteriography and Aortography

Use OPTIRAY 320. The recommended dose for visualization for the aorta and visceral arteries is shown below (may repeat as necessary):

 Diagnostic area  Dose  Maximum Cumulative Dose
aorta 45 mL (range 10 to 80 mL) 250 mL
celiac 45 mL (range 12 to 60 mL) 250 mL
superior mesenteric 45 mL (range 15 to 60 mL) 250 mL
renal or inferior mesenteric 9 mL (range 6 to 15 mL) 250 mL
  • Coronary Arteriography and Left Ventriculography

Use OPTIRAY 320 or OPTIRAY 350. The recommended dose for visualization of the coronary arteries and left ventricle is shown below (may repeat as necessary):

 Diagnostic area  Dose  Maximum Cumulative Dose
left coronary 8 mL (range 2 to 10 mL) 250 mL
right coronary 6 mL (range 1 to 10 mL) 250 mL
left ventricle 40 mL (range 30 to 50 mL) 250 mL

5.11 Severe Cutaneous Adverse Reactions

Severe cutaneous adverse reactions (SCAR) may develop from 1 hour to several weeks after intravascular contrast agent administration. These reactions include Stevens-Johnson syndrome and toxic epidermal necrolysis (SJS/TEN), acute generalized exanthematous pustulosis (AGEP) and drug reaction with eosinophilia and systemic symptoms (DRESS). Reaction severity may increase and time to onset may decrease with repeat administration of a contrast agent; prophylactic medications may not prevent or mitigate severe cutaneous adverse reactions. Avoid administering OPTIRAY to patients with a history of a severe cutaneous adverse reaction to OPTIRAY.

5.3 Contrast Induced Acute Kidney Injury

Acute kidney injury, including renal failure, may occur after OPTIRAY administration. Risk factors include: pre-existing renal impairment, dehydration, diabetes mellitus, congestive heart failure, advanced vascular disease, elderly age, concomitant use of nephrotoxic or diuretic medications, multiple myeloma / paraproteinaceous diseases, repetitive and/or large doses of an iodinated contrast agent.

Use the lowest necessary dose of OPTIRAY in patients with renal impairment. Adequately hydrate patients prior to and following OPTIRAY administration. Do not use laxatives, diuretics, or preparatory dehydration prior to OPTIRAY administration.

13.2 Animal Toxicology And/or Pharmacology (13.2 Animal Toxicology and/or Pharmacology)

Animal studies indicate that ioversol does not cross the blood-brain barrier.

5.6 Extravasation and Injection Site Reactions

Extravasation can occur with OPTIRAY administration, particularly in patients with severe arterial or venous disease and can be associated with pain, hemorrhage and necrosis. Ensure intravascular placement of catheters prior to injection. Monitor patients for extravasation and advise patients to seek medical care for progression of symptoms.

5.7 Thyroid Storm in Patients With Hyperthyroidism (5.7 Thyroid Storm in Patients with Hyperthyroidism)

OPTIRAY is contraindicated in patients with symptomatic hyperthyroidism [see Contraindications ( 4)] . Thyroid storm has occurred following the intravascular use of iodinated radiopaque agents in patients with hyperthyroidism or with an autonomously functioning thyroid nodule. Evaluate the risk in such patients before use of OPTIRAY.

2.1 Important Dosage and Administration Instructions
  • OPTIRAY is for intravascular use only [see Boxed Warning, Contraindications (4), Warnings and Precautions ( 5.1)] .
  • Use sterile technique for all handling and administration of OPTIRAY.
  • Inspect glass container prior to use for breakage or other damage and do not use damaged containers.
  • Warm OPTIRAY and administer at body or room temperature.
  • Inspect OPTIRAY for particulate matter or discoloration before administration. Do not administer if OPTIRAY contains particulate matter or is discolored.
  • Do not mix OPTIRAY with other drugs, solutions or total parenteral nutrition mixtures.
  • Use the lowest dose necessary to obtain adequate visualization.
  • Adjust the volume and concentration of OPTIRAY. Modify the dose accounting for factors such as age, body weight, vessel size, blood flow rate within the vessel, anticipated pathology, degree and extent of opacification required, structure(s) or area to be examined, disease processes affecting the patient, and equipment and technique to be employed.
  • Avoid extravasation when injecting OPTIRAY; especially in patients with severe arterial or venous disease [see Warnings and Precautions ( 5.6)] .
  • Hydrate patients before and after OPTIRAY administration [see Warnings and Precautions ( 5.3)].

Directions for Proper Use of OPTIRAY Pharmacy Bulk Package

  • The Pharmacy Bulk Package is not for direct infusion.
  • Penetrate the container closure only one time, utilizing a suitable sterile transfer device or dispensing set which allows measured distribution of the contents.
  • Transfer OPTIRAY from the Pharmacy Bulk Package only in a suitable work area, such as a laminar flow hood, utilizing aseptic technique.
  • Withdraw container contents immediately. However, should this not be possible, a maximum time of 4 hours from initial closure entry is permitted to complete fluid transfer operations.
  • Temperature of container after the closure has been entered should not exceed 25°C (77°F).
13.1 Carcinogenesis, Mutagenesis, Impairment of Fertility

No long term animal studies have been performed to evaluate carcinogenic potential. Nonclinical studies show that this drug is not mutagenic and does not affect fertility.

5.9 Hypertensive Crisis in Patients With Pheochromocytoma (5.9 Hypertensive Crisis in Patients with Pheochromocytoma)

Hypertensive crisis has occurred after the use of iodinated radiopaque contrast agents in patient with pheochromocytoma. Closely monitor patients when administering OPTIRAY if pheochromocytoma or catecholamine-secreting paraganglioma is suspected. Inject the minimum amount of OPTIRAY necessary and have measures for treatment of hypertensive crisis readily available.

5.10 Sickle Cell Crisis in Patients With Sickle Cell Disease (5.10 Sickle Cell Crisis in Patients with Sickle Cell Disease)

Iodinated contrast agents may promote sickling in individuals who are homozygous for sickle cell disease. Hydrate patients prior to and following OPTIRAY administration, use OPTIRAY only if the necessary imaging information cannot be obtained with alternative imaging modalities, and inject the minimum amount necessary.

5.1 Risks Associated With Inadvertent Intrathecal Administration (5.1 Risks Associated with Inadvertent Intrathecal Administration)

OPTIRAY is indicated for intravascular use only [see Dosage and Administration ( 2.1)] . Inadvertent intrathecal administration can cause death, convulsions, cerebral hemorrhage, coma, paralysis, arachnoiditis, acute renal failure, cardiac arrest, seizures, rhabdomyolysis, hyperthermia, and brain edema.

5.8 Thyroid Dysfunction in Pediatric Patients 0 to 3 Years of Age

Thyroid dysfunction characterized by hypothyroidism or transient thyroid suppression has been reported after both single exposure and multiple exposures to iodinated contrast media (ICM) in pediatric patients 0 to 3 years of age.

Younger age, very low birth weight, prematurity, underlying medical conditions affecting thyroid function, admission to neonatal or pediatric intensive care units, and congenital cardiac conditions are associated with an increased risk of hypothyroidism after ICM exposure. Pediatric patients with congenital cardiac conditions may be at the greatest risk given that they often require high doses of contrast during invasive cardiac procedures.

An underactive thyroid during early life may be harmful for cognitive and neurological development and may require thyroid hormone replacement therapy. After exposure to ICM, individualize thyroid function monitoring based on underlying risk factors, especially in term and preterm neonates.

Package Label Principal Display Panel Optiray 300 Pbp, 500 Ml Bottle Label (PACKAGE LABEL - PRINCIPAL DISPLAY PANEL - Optiray 300 PBP, 500 mL bottle label)

For Intravascular Use

Sterile Solution



Optiray™ Pharmacy Bulk Package - 300



500 mL

NDC 0019-1332-61



IOVERSOL INJECTION 64%


300 mg/mL Organically Bound Iodine



NOT FOR INTRATHECAL USE



Rx only



Pharmacy Bulk Package - Not for Direct Infusion



Protect from light •Store at 25°C (77°F); excursions permitted to 15° to 30°C (59° to 86°F) [see USP Controlled Room Temperature]. Discard contents if product is frozen or if crystallization occurs. Each mL contains 636 mg ioversol, 3.6 mg tromethamine as a buffer and 0.2 mg edetate calcium disodium as a stabilizer. The pH is adjusted with hydrochloric acid or sodium hydroxide.

Usual Dosage:See Package Insert for indications, dosage and dispensing information. Once bottle has been penetrated, withdrawal of contents should be completed without delay. Discard the container no later than 4 hours after initial entry.



12910419



Manufactured by:

Liebel-Flarsheim Company LLC

Raleigh, NC 27616

Made in USA

Package Label Principal Display Panel Optiray 320 Pbp, 500 Ml Bottle Label (PACKAGE LABEL - PRINCIPAL DISPLAY PANEL - Optiray 320 PBP, 500 mL bottle label)

For Intravascular Use

Sterile Solution




Optiray™ Pharmacy Bulk Package - 320



500 mL

NDC 0019-1323-61
IOVERSOL INJECTION 68%

320 mg/mL Organically Bound Iodine



NOT FOR INTRATHECAL USE



Rx only



Pharmacy Bulk Package - Not for Direct Infusion



Protect from light •Store at 25°C (77°F); excursions permitted to 15° to 30°C (59° to 86°F) [see USP Controlled Room Temperature]. Discard contents if product is frozen or if crystallization occurs. Each mL contains 678 mg ioversol, 3.6 mg tromethamine as a buffer and 0.2 mg edetate calcium disodium as a stabilizer. The pH is adjusted with hydrochloric acid or sodium hydroxide.

Usual Dosage:See Package Insert for indications, dosage and dispensing information. Once bottle has been penetrated, withdrawal of contents should be completed without delay. Discard the container no later than 4 hours after initial entry.



12840419

Manufactured by:

Liebel-Flarsheim Company LLC

Raleigh, NC 27616

Made in USA

Package Label Principal Display Panel Optiray 350 Pbp, 500 Ml Bottle Label (PACKAGE LABEL - PRINCIPAL DISPLAY PANEL - Optiray 350 PBP, 500 mL bottle label)

For Intravascular Use

Sterile Solution



Optiray™ Pharmacy Bulk Package - 350



500 mL

NDC 0019-1333-61



IOVERSOL INJECTION 74%


350 mg/mL Organically Bound Iodine



NOT FOR INTRATHECAL USE



Rx only



Pharmacy Bulk Package - Not for Direct Infusion



Protect from light •Store at 25°C (77°F); excursions permitted to 15° to 30°C (59° to 86°F) [see USP Controlled Room Temperature]. Discard contents if product is frozen or if crystallization occurs. Each mL contains 741 mg ioversol, 3.6 mg tromethamine as a buffer and 0.2 mg edetate calcium disodium as a stabilizer. The pH is adjusted with hydrochloric acid or sodium hydroxide.

Usual Dosage:See Package Insert for indications, dosage and dispensing information. Once bottle has been penetrated, withdrawal of contents should be completed without delay. Discard the container no later than 4 hours after initial entry.       



12880419

Manufactured by:

Liebel-Flarsheim Company LLC

Raleigh, NC 27616

Made in USA


Advanced Ingredient Data


Raw Label Data

All Sections (JSON)