These Highlights Do Not Include All The Information Needed To Use Methadone Hydrochloride Tablets, Usp Safely And Effectively.  See Full Prescribing Information For Methadone Hydrochloride Tablets, Usp.

These Highlights Do Not Include All The Information Needed To Use Methadone Hydrochloride Tablets, Usp Safely And Effectively.  See Full Prescribing Information For Methadone Hydrochloride Tablets, Usp.
SPL v18
SPL
SPL Set ID 6984eb5a-57a3-4686-bc67-91bc3e7a531e
Route
ORAL
Published
Effective Date 2025-12-23
Document Type 34391-3 Human Prescription Drug Label

Drug Facts

Composition & Product

Active Ingredients
Methadone (5 mg)
Inactive Ingredients
Cellulose, Microcrystalline Lactose Monohydrate Starch, Corn Silicon Dioxide Magnesium Stearate

Identifiers & Packaging

Pill Appearance
Imprint: U42 Shape: round Color: white Size: 6 mm Size: 8 mm Score: 2
Marketing Status
ANDA Active Since 2015-09-15

Description

Boxed Warning                                                                          10/2025 Dosage and Administration (2.3, 2.4,2.6)                                  10/2025 Warnings and Precautions (5.1,5.2,5.3,5.14,5.16)                     10/2025

Warnings and Precautions

Opioid Induced Hyperalgesia (OIH) and Allodynia: Opioid-Induced Hyperalgesia (OIH) occurs when an opioid analgesic paradoxically causes an increase in pain, or an increase in sensitivity to pain. If OIH is suspected carefully consider appropriately decreasing the dose of the current opioid analgesic, or opioid rotation. (5.8) Serotonin Syndrome : Potentially life-threatening condition could result from concomitant serotonergic drug administration. Discontinue Methadone Hydrochloride Tablets if serotonin syndrome is suspected. ( 5. 9) Risk of Life-Threatening Respiratory Depression in Patients with Chronic Pulmonary Disease or in Elderly, Cachectic, or Debilitated Patients : Regularly evaluate closely, particularly during initiation and titration. ( 5. 10) Adrenal Insufficiency : If diagnosed, treat with physiologic replacement of corticosteroids, and wean patient off of the opioid. ( 5.1 1) Severe Hypotension : Regularly evaluate during dose initiation and titration. Avoid use in patients with circulatory shock.  (5.12) Risks of Use in Patients with Increased Intracranial Pressure, Brain  Tumors , Head Injury, or Impaired Consciousness : Regulatory evaluate for sedation and respiratory depression.  Avoid use of Methadone Hydrochloride Tablets in patients with impaired consciousness or coma. ( 5.1 4)

Contraindications

Methadone Hydrochloride Tablets are contraindicated in patients with: • Significant respiratory depression [see Warnings and Precautions (5.2)]. • Acute or severe bronchial asthma in an unmonitored setting or in the absence of resuscitative equipment [see Warnings and Precautions (5.8)]. • Known or suspected gastrointestinal obstruction, including paralytic ileus [see Warnings and Precautions (5.13)]. • Hypersensitivity (e.g., anaphylaxis) to methadone [see Adverse Reactions (6)].

Adverse Reactions

The following serious adverse reactions are described, or described in greater detail, in other sections: •   Addiction, Abuse, and Misuse [see Warnings and Precautions ( 5.1 ) ] •   Life Threatening Respiratory Depression [see Warnings and Precautions ( 5.2 ) ] •   QT Prolongation [see Warnings and Precautions ( 5.4 )] •   Neonatal Opioid Withdrawal Syndrome [see Warnings and Precautions ( 5.5 ) ] •   Interactions with Benzodiazepines and other CNS Depressants [see Warnings and Precautions ( 5.7 ) ] •   Serotonin Syndrome [see Warnings and Precautions ( 5.9 )] •   Adrenal Insufficiency [see Warnings and Precautions ( 5.11 ) ] •   Severe Hypotension [see Warnings and Precautions ( 5.1 2 )] •   Gastrointestinal Adverse Reactions [see Warnings and Precautions ( 5.14 ) ] •   Seizures [see Warnings and Precautions ( 5.15 )] •   Withdrawal [see Warnings and Precautions ( 5.16 ) ] •    Opioid-Induced Hyperalgesia and Allodynia [See Warnings and Precautions (5.8)]  The following adverse reactions associated with the use of methadone were identified in clinical studies or post marketing reports.  Because some of these reactions were reported voluntarily from a population of uncertain size, it is not always possible to reliably estimate their frequency or establish a causal relationship to drug exposure. The major hazards of methadone are respiratory depression and, to a lesser degree, systemic hypotension. Respiratory arrest, shock, cardiac arrest, and death have occurred. The most frequently observed adverse reactions include lightheadedness, dizziness, sedation, nausea, vomiting, and sweating. These effects seem to be more prominent in ambulatory patients and in those who are not suffering severe pain. In such individuals, lower doses are advisable. Other adverse reactions include the following: Body as a Whole : asthenia (weakness), edema, headache Cardiovascular: arrhythmias, bigeminal rhythms, bradycardia, cardiomyopathy, ECG abnormalities, extrasystoles, flushing, heart failure, hypotension, palpitations, phlebitis, QT interval prolongation, syncope, T-wave inversion, tachycardia, torsades de pointes , ventricular fibrillation, ventricular tachycardia Central Nervous System : agitation, confusion, disorientation, dysphoria, euphoria, insomnia, hallucinations, seizures, visual disturbances, congenital oculomotor disorders (nystagmus, strabismus) Endocrine : hypogonadism, decreased testosterone Gastrointestinal: abdominal pain, anorexia, biliary tract spasm, constipation, dry mouth, glossitis Hematologic : reversible thrombocytopenia has been described in opioid addicts with chronic hepatitis Metabolic : hypokalemia, hypomagnesemia, weight gain Renal: antidiuretic effect, urinary retention or hesitancy Reproductive : amenorrhea, reduced libido and/or potency, reduced ejaculate volume, reduced seminal vesicle and prostate secretions, decreased sperm motility, abnormalities in sperm morphology Respiratory : pulmonary edema, respiratory depression Skin and Subcutaneous Tissue : pruritus, urticaria, other skin rashes, and rarely, hemorrhagic urticaria Hypersensitivity : Anaphylaxis has been reported with ingredients contained in Methadone Hydrochloride Tablets. Serotonin Syndrome : Cases of serotonin syndrome, a potentially life-threatening condition, have been reported during concomitant use of opioids with serotonergic drugs. Adrenal Insufficiency : Cases of adrenal insufficiency have been reported with opioid use, more often following greater than one month of use. Androgen Deficiency: Cases of androgen deficiency have occurred with use of opioids for an extended period of time.  Hyperalgesia and Allodynia: Cases of hyperalgesia and allodynia have been reported with opioid therapy of any duration [see Warnings and Precautions (5.8)] Hypoglycemia: Cases of hypoglycemia have been reported in patients taking methadone [see Warnings and Precautions (5.18)]. Opioid-induced esophageal dysfunction (OIED): Cases of OIED have been reported in patients taking opioids and may occur more frequently in patients taking higher doses of opioids, and/or in patients taking opioids longer term [see Warnings and Precautions (5.14)]. Adverse Reactions from Observational Studies A prospective, observational cohort study estimated the risks of addiction, abuse, and misuse in patients initiating long-term use of Schedule II opioid analgesics between 2017 and 2021. Study participants included in one or more analyses had been enrolled in selected insurance plans or health systems for at least one year, were free of at least one outcome at baseline, completed a minimum number of follow-up assessments, and either: 1) filled multiple extended-release/long-acting opioid analgesic prescriptions during a 90 day period (n=978); or 2) filled any Schedule II opioid analgesic prescriptions covering at least 70 of 90 days (n=1,244). Those included also had no dispensing of the qualifying opioids in the previous 6 months. Over 12 months: • approximately 1% to 6% of participants across the two cohorts newly met criteria for addiction, as assessed with two validated interview-based measures of moderate-to-severe opioid use disorder based on Diagnostic and Statistical Manual of Mental Disorders, Fifth Edition (DSM-5) criteria, and • approximately 9% and 22% of participants across the two cohorts newly met criteria for prescription opioid abuse and misuse [defined in Drug Abuse and Dependence (9.2)], respectively, as measured with a validated self-reported instrument.  A retrospective, observational cohort study estimated the risk of opioidinvolved overdose or opioid overdose-related death in patients with new long-term use of Schedule II opioid analgesics from 2006 through 2016 (n=220,249). Included patients had been enrolled in either one of two commercial insurance programs, one managed care program, or one Medicaid program for at least 9 months. New long-term use was defined as having Schedule II opioid analgesic prescriptions covering at least 70 days’ supply over the 3 months prior to study entry and none during the preceding 6 months. Patients were excluded if they had an opioid-involved overdose in the 9 months prior to study entry. Overdose was measured using a validated medical code-based algorithm with linkage to the National Death Index database. The 5-year cumulative incidence estimates for opioid-involved overdose or opioid overdose-related death ranged from approximately 1.5% to 4% across study sites, counting only the first event during follow-up Approximately 17% of first opioid overdoses observed over the entire study period (5-11 years, depending on the study site) were fatal. Higher baseline opioid dose was the strongest and most consistent predictor o opioid-involved overdose or opioid overdose-related death. Study exclusion criteria may have selected patients at lower risk of overdose, and substantial loss to follow-up (approximately 80%) also may have biased estimates. The risk estimates from the studies described above may not be generalizable to all patients receiving opioid analgesics, such as those with exposures shorter or longer than the duration evaluated in the studies.

Drug Interactions

Inhibitors of CYP3A4, CYP2B6, CYP2C19, CYP2C9, or CYP2D6 Clinical Impact: Methadone undergoes hepatic N-demethylation by several cytochrome P450 (CYP) isoforms, including CYP3A4, CYP2B6, CYP2C19, CYP2C9, and CYP2D6. The concomitant use of Methadone Hydrochloride Tablets and CYP3A4, CYP2B6, CYP2C19, CYP2C9, or CYP2D6 inhibitors can increase the plasma concentration of methadone, resulting in increased or prolonged opioid effects, and may result in a fatal overdose, particularly when an inhibitor is added after a stable dose of Methadone Hydrochloride Tablets is achieved. These effects may be more pronounced with concomitant use of drugs that inhibit more than one of the CYP enzymes listed above. After stopping a CYP3A4, CYP2B6, CYP2C19, CYP2C9, or CYP2D6 inhibitor, as the effects of the inhibitor decline, the methadone plasma concentration can decrease [see Clinical Pharmacology ( 12.3 )] , resulting in decreased opioid efficacy or withdrawal symptoms in patients physically dependent on methadone. Intervention: If concomitant use is necessary, consider dosage reduction of Methadone Hydrochloride Tablets until stable drug effects are achieved. Evaluate patients at frequent intervals for respiratory depression and sedation. If a CYP3A4, CYP2B6, CYP2C19, CYP2C9, or CYP2D6 inhibitor is discontinued, consider increasing the Methadone Hydrochloride Tablets dosage until stable drug effects are achieved. Evaluate for signs of opioid withdrawal. Examples: Macrolide antibiotics (e.g., erythromycin), azole-antifungal agents (e.g., ketoconazole), protease inhibitors (e.g., ritonavir), fluconazole, fluvoxamine, some selective serotonin reuptake inhibitors (SSRIs) (e.g., sertraline, fluvoxamine) Inducers of CYP3A4, CYP2B6, CYP2C19, or CYP2C9 Clinical Impact: The concomitant use of Methadone Hydrochloride Tablets and CYP3A4, CYP2B6, CYP2C19, or CYP2C9 inducers can decrease the plasma concentration of methadone [see Clinical Pharmacology ( 12.3 )] , resulting in decreased efficacy or onset of withdrawal symptoms in patients physically dependent on methadone. These effects could be more pronounced with concomitant use of drugs that can induce multiple CYP enzymes. After stopping a CYP3A4, CYP2B6, CYP2C19, or CYP2C9 inducer, as the effects of the inducer decline, the methadone plasma concentration can increase [see Clinical Pharmacology ( 12.3 )] , which could increase or prolong both the therapeutic effects and adverse reactions, and may cause serious respiratory depression, sedation, or death. Intervention: If concomitant use is necessary, consider increasing the Methadone Hydrochloride Tablets dosage until stable drug effects are achieved. Evaluate for signs of opioid withdrawal. If a CYP3A4, CYP2B6, CYP2C19, or CYP2C9 inducer is discontinued, consider Methadone Hydrochloride Tablets dosage reduction and evaluate patients at frequent intervals for signs of respiratory depression and sedation. Examples : Rifampin, carbamazepine, phenytoin, St. John's Wort, Phenobarbital Benzodiazepines and Other Central Nervous System (CNS) Depressants Clinical Impact: Due to additive pharmacologic effect, the concomitant use of benzodiazepines or other CNS depressants, including alcohol, can increase the risk of hypotension, respiratory depression, profound sedation, coma, and death. Intervention: For Patients Being Treated for Pain Reserve concomitant prescribing of these drugs for use in patients for whom alternative treatment options are inadequate. Limit dosages and durations to the minimum required. Inform patients and caregivers of this potential interaction, educate them on the signs and symptoms of respiratory depression (including sedation). If concomitant use is warranted, consider prescribing naloxone for the emergency treatment of opioid overdose.  If concomitant use is warranted, consider prescribing or recommending an opioid overdose reversal agent [see Dosage and Administration (2.3) and Warnings and Precautions (5.2, 5.3, 5.)]. For Patients Being Treated for Opioid Addiction Cessation of benzodiazepines or other CNS depressants is preferred in most cases of concomitant use. In some cases, monitoring in a higher level of care for taper may be appropriate. In others, gradually tapering a patient off of a prescribed benzodiazepine or other CNS depressant or decreasing to the lowest effective dose may be appropriate. Before co-prescribing benzodiazepines for anxiety or insomnia, ensure that patients are appropriately diagnosed and consider alternative medications and non-pharmacologic treatments.  If concomitant use is warranted, strongly consider recommending or prescribing an opioid overdose reversal agent, as is recommended for all patients in treatment for opioid use disorder [see Warnings and Precautions (5.1, 5.2, 5.7)]. Examples: Benzodiazepines and other sedatives/hypnotics, anxiolytics, tranquilizers, muscle relaxants, general anesthetics, antipsychotics, gabapentinoids (gabapentin or pregabalin) other opioids, alcohol. Potentially Arrhythmogenic Agents Clinical Impact: Pharmacodynamic interactions may occur with concomitant use of methadone and potentially arrhythmogenic agents or drugs capable of inducing electrolyte disturbances (hypomagnesemia, hypokalemia). Intervention: Evaluate patients closely for cardiac conduction changes. Examples: Drugs known to have potential to prolong QT interval: Class I and III antiarrhythmics, some neuroleptics and tricyclic antidepressants, and calcium channel blockers. Drugs capable of inducing electrolyte disturbances: Diuretics, laxatives, and, in rare cases, mineralocortocoid hormones. Serotonergic Drugs Clinical Impact: The concomitant use of opioids with other drugs that affect the serotonergic neurotransmitter system has resulted in serotonin syndrome [see Warnings and Precautions ( 5.9 )]. Intervention: If concomitant use is warranted, frequently evaluate the patient, particularly during treatment initiation and dose adjustment. Discontinue Methadone Hydrochloride Tablets if serotonin syndrome is suspected. Examples: Selective serotonin reuptake inhibitors (SSRIs), serotonin and norepinephrine reuptake inhibitors (SNRIs), tricyclic antidepressants (TCAs), triptans, 5-HT3 receptor antagonists, drugs that effect the serotonin neurotransmitter system (e.g., mirtazapine, trazodone, tramadol), certain muscle relaxants (i.e., cyclobenzaprine, metaxalone), monoamine oxidase (MAO) inhibitors (those intended to treat psychiatric disorders and also others, such as linezolid and intravenous methylene blue). Monoamine Oxidase Inhibitors (MAOIs) Clinical Impact: MAOI interactions with opioids may manifest as serotonin syndrome [see Warnings and Precautions ( 5.9 )] or opioid toxicity (e.g., respiratory depression, coma) [see Warnings and Precautions ( 5.3 )]. Intervention: The use of Methadone Hydrochloride Tablets are not recommended for patients taking MAOIs or within 14 days of stopping such treatment. Mixed Agonist/Antagonist and Partial Agonist Opioid Analgesics Clinical Impact: May reduce the analgesic effect of Methadone Hydrochloride Tablets and/or precipitate withdrawal symptoms. Intervention: Avoid concomitant use. Examples: Butorphanol, nalbuphine, pentazocine, buprenorphine Muscle Relaxants Clinical Impact: Methadone may enhance the neuromuscular blocking action of skeletal muscle relaxants and produce an increased degree of respiratory depression. Intervention:  Because respiratory depression may be greater than otherwise expected, decrease the dosage of Methadone Hydrochloride Tablets and/or the muscle relaxant as necessary. Due to the risk of respiratory depression with concomitant use of skeletal muscle relaxants and opioids, consider recommending or prescribing an opioid overdose reversal agent [see Dosage and Administration (2.3) and Warnings and Precautions (5.3, 5.4)].  Examples: cyclobenzaprine, metaxalone Diuretics Clinical Impact: Opioids can reduce the efficacy of diuretics by inducing the release of antidiuretic hormone. Intervention: Evaluate patients for signs of diminished diuresis and/or effects on blood pressure and increase the dosage of the diuretic as needed. Anticholinergic Drugs Clinical Impact: The concomitant use of anticholinergic drugs may increase risk of urinary retention and/or severe constipation, which may lead to paralytic ileus. Intervention: Evaluate patients for signs of urinary retention or reduced gastric motility when Methadone Hydrochloride Tablets are used concomitantly with anticholinergic drugs. Paradoxical Effects of Antiretroviral Agents on Methadone Hydrochloride Tablets Concurrent use of certain antiretroviral agents with CYP3A4 inhibitory activity, alone and in combination, such as abacavir, amprenavir, darunavir+ritonavir, efavirenz, nelfinavir, nevirapine, ritonavir, telaprevir, lopinavir+ritonavir, saquinavir+ritonavir, and tipranavir+ritonavir, has resulted in increased clearance or decreased plasma levels of methadone. This may result in reduced efficacy of Methadone Hydrochloride Tablets and could precipitate a withdrawal syndrome. Monitor methadone-maintained patients receiving any of these anti-retroviral therapies closely for evidence of withdrawal effects and adjust the methadone dose accordingly. Effects of Methadone Hydrochloride Tablets on Antiretroviral Agents Didanosine and Stavudine : Experimental evidence demonstrated that methadone decreased the area under the concentration-time curve (AUC) and peak levels for didanosine and stavudine, with a more significant decrease for didanosine. Methadone disposition was not substantially altered. Zidovudine: Experimental evidence demonstrated that methadone increased the AUC of zidovudine, which could result in toxic effects. Effects of Methadone Hydrochloride Tablets on Antidepressants Desipramine: Blood levels of desipramine have increased with concurrent methadone administration.

Storage and Handling

Methadone Hydrochloride Tablets , USP 5 mg are white to off white, round tablets debossed with ‘U41’on one side and break line on the other side.                                Bottles of 30                                             NDC 13107-088-30                                Bottles of 100                                           NDC 13107-088-01                                Bottles of 1000                                         NDC 13107-088-99 Methadone Hydrochloride Tablets , USP 10 mg are white to off white, round tablets debossed with ‘U42’on one side and break line on the other side.                                Bottles of 30                                              NDC 13107-089-30                                Bottles of 100                                            NDC 13107-089-01                                Bottles of 1000                                          NDC 13107-089-99 Store at 20° to 25°C (68° to 77°F) [See USP Controlled Room Temperature.] Dispense in a tight, light-resistant container as defined in the USP/NF. Store Methadone Hydrochloride Tablets  securely and dispose of properly [see Patient Counseling Information (17) ] .

How Supplied

Methadone Hydrochloride Tablets , USP 5 mg are white to off white, round tablets debossed with ‘U41’on one side and break line on the other side.                                Bottles of 30                                             NDC 13107-088-30                                Bottles of 100                                           NDC 13107-088-01                                Bottles of 1000                                         NDC 13107-088-99 Methadone Hydrochloride Tablets , USP 10 mg are white to off white, round tablets debossed with ‘U42’on one side and break line on the other side.                                Bottles of 30                                              NDC 13107-089-30                                Bottles of 100                                            NDC 13107-089-01                                Bottles of 1000                                          NDC 13107-089-99 Store at 20° to 25°C (68° to 77°F) [See USP Controlled Room Temperature.] Dispense in a tight, light-resistant container as defined in the USP/NF. Store Methadone Hydrochloride Tablets  securely and dispose of properly [see Patient Counseling Information (17) ] .


Medication Information

Warnings and Precautions

Opioid Induced Hyperalgesia (OIH) and Allodynia: Opioid-Induced Hyperalgesia (OIH) occurs when an opioid analgesic paradoxically causes an increase in pain, or an increase in sensitivity to pain. If OIH is suspected carefully consider appropriately decreasing the dose of the current opioid analgesic, or opioid rotation. (5.8) Serotonin Syndrome : Potentially life-threatening condition could result from concomitant serotonergic drug administration. Discontinue Methadone Hydrochloride Tablets if serotonin syndrome is suspected. ( 5. 9) Risk of Life-Threatening Respiratory Depression in Patients with Chronic Pulmonary Disease or in Elderly, Cachectic, or Debilitated Patients : Regularly evaluate closely, particularly during initiation and titration. ( 5. 10) Adrenal Insufficiency : If diagnosed, treat with physiologic replacement of corticosteroids, and wean patient off of the opioid. ( 5.1 1) Severe Hypotension : Regularly evaluate during dose initiation and titration. Avoid use in patients with circulatory shock.  (5.12) Risks of Use in Patients with Increased Intracranial Pressure, Brain  Tumors , Head Injury, or Impaired Consciousness : Regulatory evaluate for sedation and respiratory depression.  Avoid use of Methadone Hydrochloride Tablets in patients with impaired consciousness or coma. ( 5.1 4)

Contraindications

Methadone Hydrochloride Tablets are contraindicated in patients with: • Significant respiratory depression [see Warnings and Precautions (5.2)]. • Acute or severe bronchial asthma in an unmonitored setting or in the absence of resuscitative equipment [see Warnings and Precautions (5.8)]. • Known or suspected gastrointestinal obstruction, including paralytic ileus [see Warnings and Precautions (5.13)]. • Hypersensitivity (e.g., anaphylaxis) to methadone [see Adverse Reactions (6)].

Adverse Reactions

The following serious adverse reactions are described, or described in greater detail, in other sections: •   Addiction, Abuse, and Misuse [see Warnings and Precautions ( 5.1 ) ] •   Life Threatening Respiratory Depression [see Warnings and Precautions ( 5.2 ) ] •   QT Prolongation [see Warnings and Precautions ( 5.4 )] •   Neonatal Opioid Withdrawal Syndrome [see Warnings and Precautions ( 5.5 ) ] •   Interactions with Benzodiazepines and other CNS Depressants [see Warnings and Precautions ( 5.7 ) ] •   Serotonin Syndrome [see Warnings and Precautions ( 5.9 )] •   Adrenal Insufficiency [see Warnings and Precautions ( 5.11 ) ] •   Severe Hypotension [see Warnings and Precautions ( 5.1 2 )] •   Gastrointestinal Adverse Reactions [see Warnings and Precautions ( 5.14 ) ] •   Seizures [see Warnings and Precautions ( 5.15 )] •   Withdrawal [see Warnings and Precautions ( 5.16 ) ] •    Opioid-Induced Hyperalgesia and Allodynia [See Warnings and Precautions (5.8)]  The following adverse reactions associated with the use of methadone were identified in clinical studies or post marketing reports.  Because some of these reactions were reported voluntarily from a population of uncertain size, it is not always possible to reliably estimate their frequency or establish a causal relationship to drug exposure. The major hazards of methadone are respiratory depression and, to a lesser degree, systemic hypotension. Respiratory arrest, shock, cardiac arrest, and death have occurred. The most frequently observed adverse reactions include lightheadedness, dizziness, sedation, nausea, vomiting, and sweating. These effects seem to be more prominent in ambulatory patients and in those who are not suffering severe pain. In such individuals, lower doses are advisable. Other adverse reactions include the following: Body as a Whole : asthenia (weakness), edema, headache Cardiovascular: arrhythmias, bigeminal rhythms, bradycardia, cardiomyopathy, ECG abnormalities, extrasystoles, flushing, heart failure, hypotension, palpitations, phlebitis, QT interval prolongation, syncope, T-wave inversion, tachycardia, torsades de pointes , ventricular fibrillation, ventricular tachycardia Central Nervous System : agitation, confusion, disorientation, dysphoria, euphoria, insomnia, hallucinations, seizures, visual disturbances, congenital oculomotor disorders (nystagmus, strabismus) Endocrine : hypogonadism, decreased testosterone Gastrointestinal: abdominal pain, anorexia, biliary tract spasm, constipation, dry mouth, glossitis Hematologic : reversible thrombocytopenia has been described in opioid addicts with chronic hepatitis Metabolic : hypokalemia, hypomagnesemia, weight gain Renal: antidiuretic effect, urinary retention or hesitancy Reproductive : amenorrhea, reduced libido and/or potency, reduced ejaculate volume, reduced seminal vesicle and prostate secretions, decreased sperm motility, abnormalities in sperm morphology Respiratory : pulmonary edema, respiratory depression Skin and Subcutaneous Tissue : pruritus, urticaria, other skin rashes, and rarely, hemorrhagic urticaria Hypersensitivity : Anaphylaxis has been reported with ingredients contained in Methadone Hydrochloride Tablets. Serotonin Syndrome : Cases of serotonin syndrome, a potentially life-threatening condition, have been reported during concomitant use of opioids with serotonergic drugs. Adrenal Insufficiency : Cases of adrenal insufficiency have been reported with opioid use, more often following greater than one month of use. Androgen Deficiency: Cases of androgen deficiency have occurred with use of opioids for an extended period of time.  Hyperalgesia and Allodynia: Cases of hyperalgesia and allodynia have been reported with opioid therapy of any duration [see Warnings and Precautions (5.8)] Hypoglycemia: Cases of hypoglycemia have been reported in patients taking methadone [see Warnings and Precautions (5.18)]. Opioid-induced esophageal dysfunction (OIED): Cases of OIED have been reported in patients taking opioids and may occur more frequently in patients taking higher doses of opioids, and/or in patients taking opioids longer term [see Warnings and Precautions (5.14)]. Adverse Reactions from Observational Studies A prospective, observational cohort study estimated the risks of addiction, abuse, and misuse in patients initiating long-term use of Schedule II opioid analgesics between 2017 and 2021. Study participants included in one or more analyses had been enrolled in selected insurance plans or health systems for at least one year, were free of at least one outcome at baseline, completed a minimum number of follow-up assessments, and either: 1) filled multiple extended-release/long-acting opioid analgesic prescriptions during a 90 day period (n=978); or 2) filled any Schedule II opioid analgesic prescriptions covering at least 70 of 90 days (n=1,244). Those included also had no dispensing of the qualifying opioids in the previous 6 months. Over 12 months: • approximately 1% to 6% of participants across the two cohorts newly met criteria for addiction, as assessed with two validated interview-based measures of moderate-to-severe opioid use disorder based on Diagnostic and Statistical Manual of Mental Disorders, Fifth Edition (DSM-5) criteria, and • approximately 9% and 22% of participants across the two cohorts newly met criteria for prescription opioid abuse and misuse [defined in Drug Abuse and Dependence (9.2)], respectively, as measured with a validated self-reported instrument.  A retrospective, observational cohort study estimated the risk of opioidinvolved overdose or opioid overdose-related death in patients with new long-term use of Schedule II opioid analgesics from 2006 through 2016 (n=220,249). Included patients had been enrolled in either one of two commercial insurance programs, one managed care program, or one Medicaid program for at least 9 months. New long-term use was defined as having Schedule II opioid analgesic prescriptions covering at least 70 days’ supply over the 3 months prior to study entry and none during the preceding 6 months. Patients were excluded if they had an opioid-involved overdose in the 9 months prior to study entry. Overdose was measured using a validated medical code-based algorithm with linkage to the National Death Index database. The 5-year cumulative incidence estimates for opioid-involved overdose or opioid overdose-related death ranged from approximately 1.5% to 4% across study sites, counting only the first event during follow-up Approximately 17% of first opioid overdoses observed over the entire study period (5-11 years, depending on the study site) were fatal. Higher baseline opioid dose was the strongest and most consistent predictor o opioid-involved overdose or opioid overdose-related death. Study exclusion criteria may have selected patients at lower risk of overdose, and substantial loss to follow-up (approximately 80%) also may have biased estimates. The risk estimates from the studies described above may not be generalizable to all patients receiving opioid analgesics, such as those with exposures shorter or longer than the duration evaluated in the studies.

Drug Interactions

Inhibitors of CYP3A4, CYP2B6, CYP2C19, CYP2C9, or CYP2D6 Clinical Impact: Methadone undergoes hepatic N-demethylation by several cytochrome P450 (CYP) isoforms, including CYP3A4, CYP2B6, CYP2C19, CYP2C9, and CYP2D6. The concomitant use of Methadone Hydrochloride Tablets and CYP3A4, CYP2B6, CYP2C19, CYP2C9, or CYP2D6 inhibitors can increase the plasma concentration of methadone, resulting in increased or prolonged opioid effects, and may result in a fatal overdose, particularly when an inhibitor is added after a stable dose of Methadone Hydrochloride Tablets is achieved. These effects may be more pronounced with concomitant use of drugs that inhibit more than one of the CYP enzymes listed above. After stopping a CYP3A4, CYP2B6, CYP2C19, CYP2C9, or CYP2D6 inhibitor, as the effects of the inhibitor decline, the methadone plasma concentration can decrease [see Clinical Pharmacology ( 12.3 )] , resulting in decreased opioid efficacy or withdrawal symptoms in patients physically dependent on methadone. Intervention: If concomitant use is necessary, consider dosage reduction of Methadone Hydrochloride Tablets until stable drug effects are achieved. Evaluate patients at frequent intervals for respiratory depression and sedation. If a CYP3A4, CYP2B6, CYP2C19, CYP2C9, or CYP2D6 inhibitor is discontinued, consider increasing the Methadone Hydrochloride Tablets dosage until stable drug effects are achieved. Evaluate for signs of opioid withdrawal. Examples: Macrolide antibiotics (e.g., erythromycin), azole-antifungal agents (e.g., ketoconazole), protease inhibitors (e.g., ritonavir), fluconazole, fluvoxamine, some selective serotonin reuptake inhibitors (SSRIs) (e.g., sertraline, fluvoxamine) Inducers of CYP3A4, CYP2B6, CYP2C19, or CYP2C9 Clinical Impact: The concomitant use of Methadone Hydrochloride Tablets and CYP3A4, CYP2B6, CYP2C19, or CYP2C9 inducers can decrease the plasma concentration of methadone [see Clinical Pharmacology ( 12.3 )] , resulting in decreased efficacy or onset of withdrawal symptoms in patients physically dependent on methadone. These effects could be more pronounced with concomitant use of drugs that can induce multiple CYP enzymes. After stopping a CYP3A4, CYP2B6, CYP2C19, or CYP2C9 inducer, as the effects of the inducer decline, the methadone plasma concentration can increase [see Clinical Pharmacology ( 12.3 )] , which could increase or prolong both the therapeutic effects and adverse reactions, and may cause serious respiratory depression, sedation, or death. Intervention: If concomitant use is necessary, consider increasing the Methadone Hydrochloride Tablets dosage until stable drug effects are achieved. Evaluate for signs of opioid withdrawal. If a CYP3A4, CYP2B6, CYP2C19, or CYP2C9 inducer is discontinued, consider Methadone Hydrochloride Tablets dosage reduction and evaluate patients at frequent intervals for signs of respiratory depression and sedation. Examples : Rifampin, carbamazepine, phenytoin, St. John's Wort, Phenobarbital Benzodiazepines and Other Central Nervous System (CNS) Depressants Clinical Impact: Due to additive pharmacologic effect, the concomitant use of benzodiazepines or other CNS depressants, including alcohol, can increase the risk of hypotension, respiratory depression, profound sedation, coma, and death. Intervention: For Patients Being Treated for Pain Reserve concomitant prescribing of these drugs for use in patients for whom alternative treatment options are inadequate. Limit dosages and durations to the minimum required. Inform patients and caregivers of this potential interaction, educate them on the signs and symptoms of respiratory depression (including sedation). If concomitant use is warranted, consider prescribing naloxone for the emergency treatment of opioid overdose.  If concomitant use is warranted, consider prescribing or recommending an opioid overdose reversal agent [see Dosage and Administration (2.3) and Warnings and Precautions (5.2, 5.3, 5.)]. For Patients Being Treated for Opioid Addiction Cessation of benzodiazepines or other CNS depressants is preferred in most cases of concomitant use. In some cases, monitoring in a higher level of care for taper may be appropriate. In others, gradually tapering a patient off of a prescribed benzodiazepine or other CNS depressant or decreasing to the lowest effective dose may be appropriate. Before co-prescribing benzodiazepines for anxiety or insomnia, ensure that patients are appropriately diagnosed and consider alternative medications and non-pharmacologic treatments.  If concomitant use is warranted, strongly consider recommending or prescribing an opioid overdose reversal agent, as is recommended for all patients in treatment for opioid use disorder [see Warnings and Precautions (5.1, 5.2, 5.7)]. Examples: Benzodiazepines and other sedatives/hypnotics, anxiolytics, tranquilizers, muscle relaxants, general anesthetics, antipsychotics, gabapentinoids (gabapentin or pregabalin) other opioids, alcohol. Potentially Arrhythmogenic Agents Clinical Impact: Pharmacodynamic interactions may occur with concomitant use of methadone and potentially arrhythmogenic agents or drugs capable of inducing electrolyte disturbances (hypomagnesemia, hypokalemia). Intervention: Evaluate patients closely for cardiac conduction changes. Examples: Drugs known to have potential to prolong QT interval: Class I and III antiarrhythmics, some neuroleptics and tricyclic antidepressants, and calcium channel blockers. Drugs capable of inducing electrolyte disturbances: Diuretics, laxatives, and, in rare cases, mineralocortocoid hormones. Serotonergic Drugs Clinical Impact: The concomitant use of opioids with other drugs that affect the serotonergic neurotransmitter system has resulted in serotonin syndrome [see Warnings and Precautions ( 5.9 )]. Intervention: If concomitant use is warranted, frequently evaluate the patient, particularly during treatment initiation and dose adjustment. Discontinue Methadone Hydrochloride Tablets if serotonin syndrome is suspected. Examples: Selective serotonin reuptake inhibitors (SSRIs), serotonin and norepinephrine reuptake inhibitors (SNRIs), tricyclic antidepressants (TCAs), triptans, 5-HT3 receptor antagonists, drugs that effect the serotonin neurotransmitter system (e.g., mirtazapine, trazodone, tramadol), certain muscle relaxants (i.e., cyclobenzaprine, metaxalone), monoamine oxidase (MAO) inhibitors (those intended to treat psychiatric disorders and also others, such as linezolid and intravenous methylene blue). Monoamine Oxidase Inhibitors (MAOIs) Clinical Impact: MAOI interactions with opioids may manifest as serotonin syndrome [see Warnings and Precautions ( 5.9 )] or opioid toxicity (e.g., respiratory depression, coma) [see Warnings and Precautions ( 5.3 )]. Intervention: The use of Methadone Hydrochloride Tablets are not recommended for patients taking MAOIs or within 14 days of stopping such treatment. Mixed Agonist/Antagonist and Partial Agonist Opioid Analgesics Clinical Impact: May reduce the analgesic effect of Methadone Hydrochloride Tablets and/or precipitate withdrawal symptoms. Intervention: Avoid concomitant use. Examples: Butorphanol, nalbuphine, pentazocine, buprenorphine Muscle Relaxants Clinical Impact: Methadone may enhance the neuromuscular blocking action of skeletal muscle relaxants and produce an increased degree of respiratory depression. Intervention:  Because respiratory depression may be greater than otherwise expected, decrease the dosage of Methadone Hydrochloride Tablets and/or the muscle relaxant as necessary. Due to the risk of respiratory depression with concomitant use of skeletal muscle relaxants and opioids, consider recommending or prescribing an opioid overdose reversal agent [see Dosage and Administration (2.3) and Warnings and Precautions (5.3, 5.4)].  Examples: cyclobenzaprine, metaxalone Diuretics Clinical Impact: Opioids can reduce the efficacy of diuretics by inducing the release of antidiuretic hormone. Intervention: Evaluate patients for signs of diminished diuresis and/or effects on blood pressure and increase the dosage of the diuretic as needed. Anticholinergic Drugs Clinical Impact: The concomitant use of anticholinergic drugs may increase risk of urinary retention and/or severe constipation, which may lead to paralytic ileus. Intervention: Evaluate patients for signs of urinary retention or reduced gastric motility when Methadone Hydrochloride Tablets are used concomitantly with anticholinergic drugs. Paradoxical Effects of Antiretroviral Agents on Methadone Hydrochloride Tablets Concurrent use of certain antiretroviral agents with CYP3A4 inhibitory activity, alone and in combination, such as abacavir, amprenavir, darunavir+ritonavir, efavirenz, nelfinavir, nevirapine, ritonavir, telaprevir, lopinavir+ritonavir, saquinavir+ritonavir, and tipranavir+ritonavir, has resulted in increased clearance or decreased plasma levels of methadone. This may result in reduced efficacy of Methadone Hydrochloride Tablets and could precipitate a withdrawal syndrome. Monitor methadone-maintained patients receiving any of these anti-retroviral therapies closely for evidence of withdrawal effects and adjust the methadone dose accordingly. Effects of Methadone Hydrochloride Tablets on Antiretroviral Agents Didanosine and Stavudine : Experimental evidence demonstrated that methadone decreased the area under the concentration-time curve (AUC) and peak levels for didanosine and stavudine, with a more significant decrease for didanosine. Methadone disposition was not substantially altered. Zidovudine: Experimental evidence demonstrated that methadone increased the AUC of zidovudine, which could result in toxic effects. Effects of Methadone Hydrochloride Tablets on Antidepressants Desipramine: Blood levels of desipramine have increased with concurrent methadone administration.

Storage and Handling

Methadone Hydrochloride Tablets , USP 5 mg are white to off white, round tablets debossed with ‘U41’on one side and break line on the other side.                                Bottles of 30                                             NDC 13107-088-30                                Bottles of 100                                           NDC 13107-088-01                                Bottles of 1000                                         NDC 13107-088-99 Methadone Hydrochloride Tablets , USP 10 mg are white to off white, round tablets debossed with ‘U42’on one side and break line on the other side.                                Bottles of 30                                              NDC 13107-089-30                                Bottles of 100                                            NDC 13107-089-01                                Bottles of 1000                                          NDC 13107-089-99 Store at 20° to 25°C (68° to 77°F) [See USP Controlled Room Temperature.] Dispense in a tight, light-resistant container as defined in the USP/NF. Store Methadone Hydrochloride Tablets  securely and dispose of properly [see Patient Counseling Information (17) ] .

How Supplied

Methadone Hydrochloride Tablets , USP 5 mg are white to off white, round tablets debossed with ‘U41’on one side and break line on the other side.                                Bottles of 30                                             NDC 13107-088-30                                Bottles of 100                                           NDC 13107-088-01                                Bottles of 1000                                         NDC 13107-088-99 Methadone Hydrochloride Tablets , USP 10 mg are white to off white, round tablets debossed with ‘U42’on one side and break line on the other side.                                Bottles of 30                                              NDC 13107-089-30                                Bottles of 100                                            NDC 13107-089-01                                Bottles of 1000                                          NDC 13107-089-99 Store at 20° to 25°C (68° to 77°F) [See USP Controlled Room Temperature.] Dispense in a tight, light-resistant container as defined in the USP/NF. Store Methadone Hydrochloride Tablets  securely and dispose of properly [see Patient Counseling Information (17) ] .

Description

Boxed Warning                                                                          10/2025 Dosage and Administration (2.3, 2.4,2.6)                                  10/2025 Warnings and Precautions (5.1,5.2,5.3,5.14,5.16)                     10/2025

Section 43683-2

Boxed Warning                                                                          10/2025

Dosage and Administration (2.3, 2.4,2.6)                                  10/2025

Warnings and Precautions (5.1,5.2,5.3,5.14,5.16)                     10/2025

9.2 Abuse


Methadone Hydrochloride Tablets contain methadone, a substance with high potential for misuse and abuse, which can lead to the development of substance use disorder, including addiction [see Warnings and Precautions (5.1)].

Misuse is the intentional use, for therapeutic purposes, of a drug by an individual in a way other than prescribed by a healthcare provider or for whom it was not prescribed.

Abuse is the intentional, non-therapeutic use of a drug, even once, for its desirable psychological or physiological effects.

Drug addiction is a cluster of behavioral, cognitive, and physiological phenomena that may include a strong desire to take the drug, difficulties in controlling drug use (e.g., continuing drug use despite harmful consequences, giving a higher priority to drug use than other activities and obligations), and possible tolerance or physical dependence.

Misuse and abuse of Methadone Hydrochloride Tablets increases risk of overdose, which may lead to central nervous system and respiratory depression, hypotension, seizures, and death. The risk is increased with concurrent abuse of Methadone Hydrochloride Tablets with alcohol and other CNS depressants. Abuse of and addiction to opioids in some individuals may not be accompanied by concurrent tolerance and symptoms of physical dependence. In addition, abuse of opioids can occur in the absence of

addiction.

All patients treated with opioids require careful and frequent reevaluation for signs of misuse, abuse, and addiction, because use of opioid analgesic products carries the risk of addiction even under appropriate medical use. Patients at high risk of Methadone Hydrochloride Tablets abuse include those with a history of prolonged use of any opioid, including products containing methadone, those with a history of drug or alcohol abuse, or those who use Methadone Hydrochloride Tablets in combination with other abused drugs.

“Drug-seeking” behavior is very common in persons with substance use disorders. Drug-seeking tactics include emergency calls or visits near the end of office hours, refusal to undergo appropriate examination, testing, or referral, repeated “loss” of prescriptions, tampering with prescriptions, and reluctance to provide prior medical records or contact information for other treating healthcare provider(s). “Doctor shopping” (visiting multiple prescribers to obtain additional prescriptions) is common among people who abuse drugs and people with substance use disorder. Preoccupation with achieving adequate pain relief can be appropriate behavior in a patient with inadequate pain control.

Methadone Hydrochloride Tablets, like other opioids, can be diverted for nonmedical use into illicit channels of distribution. Careful record-keeping of prescribing information, including quantity, frequency, and renewal requests, as required by state and federal law, is strongly advised.

Proper assessment of the patient, proper prescribing practices, periodic reevaluation of therapy, and proper dispensing and storage are appropriate measures that help to limit abuse of opioid drugs.

Risks Specific to Abuse of Methadone Hydrochloride Tablets

Abuse of Methadone Hydrochloride Tablets poses a risk of overdose and death. The risk is increased with concurrent use of Methadone Hydrochloride Tablets with alcohol and/or other CNS depressants.



Methadone Hydrochloride Tablets is approved for oral use only. Inappropriate intravenous, intramuscular, or subcutaneous use of Methadone Hydrochloride Tablets can result in death, local tissue necrosis, infection, pulmonary granulomas, increased risk of endocarditis, and valvular heart injury, and embolism.

Parenteral drug abuse is commonly associated with transmission of infectious diseases such as hepatitis and HIV.

10 Overdosage

Clinical Presentation

Acute overdosage with methadone can be manifested by respiratory depression somnolence progressing to stupor or coma, skeletal-muscle flaccidity, cold and clammy skin, constricted pupils, and, in some cases, pulmonary edema, bradycardia, hypotension, hypoglycemia, partial or complete airway obstruction, atypical snoring, and death. Marked mydriasis rather than miosis may be seen with hypoxia in overdose situations [see Clinical Pharmacology (12.2)]. In severe overdosage, particularly by the intravenous route, apnea, circulatory collapse, cardiac arrest, and death may occur.

Methadone overdosage is associated with rhabdomyolysis. Seek medical attention, especially if abuse/misuse results in prolonged immobilization.  Toxic leukoencephalopathy has been reported after opioid overdose and can present hours, days, or weeks after apparent recovery from the initial intoxication. Hearing loss has been reported after methadone overdose, in some cases permanent.

Treatment of Overdose

In case of overdose, priorities are the re-establishment of a patent and protected airway and institution of assisted or controlled ventilation, if needed. Employ other supportive measures (including oxygen, vasopressors) in the management of circulatory shock and pulmonary edema as indicated. Cardiac arrest or arrhythmias will require advanced life support measures.

For clinically significant respiratory or circulatory depression secondary to opioid overdose, administer an opioid overdose reversal agent such as naloxone or nalmefene.  

Because the duration of reversal would be expected to be less than the duration of action of methadone in Methadone Hydrochloride Tablets, carefully monitor the patient until spontaneous respiration is reliably reestablished. If the response to opioid antagonists is suboptimal or not sustained, administer additional antagonist as directed in the product's prescribing information.

In an individual physically dependent on opioids, administration of the recommended usual dosage of the overdose reversal agent will precipitate an acute withdrawal syndrome. The severity of the withdrawal symptoms experienced will depend on the degree of physical dependence and the dose of the reversal agent administered. If a decision is made to treat serious respiratory depression in the physically dependent patient, administration of the reversal agent should be begun with care and by titration with smaller than usual doses of the reversal agent.



8.1 Pregnancy






Risk Summary

The majority of available data from clinical trials, observational studies, case series, and case reports on methadone use in pregnancy do not indicate an increased risk of major malformations specifically due to methadone.

Pregnant women involved in methadone maintenance programs have been reported to have improved prenatal care leading to reduced incidence of obstetric and fetal complications and neonatal morbidity and mortality when compared to women using illicit drugs. Several factors, including maternal use of illicit drugs, nutrition, infection and psychosocial circumstances, complicate the interpretation of investigations of the children of women who take methadone during pregnancy. Information is limited regarding dose and duration of methadone use during pregnancy, and most maternal exposure in these studies appears to occur after the first trimester of pregnancy (see Data).

Neonatal opioid withdrawal syndrome (NOWS) is an expected and treatable outcome of use of opioids for an extended period of time during pregnancy [see Warnings and Precautions (5.5)].

In published animal reproduction studies, methadone administered subcutaneously during the early gestational period produced neural tube defects (i.e., exencephaly and cranioschisis) in the hamster at doses 2 times the human daily oral dose of 120 mg/day on a mg/m2 basis (HDD) and in mice at doses equivalent to the HDD. Administration of methadone to pregnant animals during organogenesis and through lactation resulted decreased litter size, increased pup mortality, decreased pup body weights, developmental delays, and long-term neurochemical changes in the brain of offspring which correlate with altered behavioral responses that persist through adulthood at exposures comparable to and less than the HDD. Administration of methadone to male rodents prior to mating with untreated females resulted in increased neonatal mortality and significant differences in behavioral tests in the offspring at exposures comparable to and less than the HDD (see Data). Based on animal data, advise pregnant women of the potential risk to a fetus.

The estimated background risk of major birth defects and miscarriage for the indicated population is unknown. All pregnancies have a background risk of birth defect, loss, or other adverse outcomes. In the U.S. general population, the estimated background risk of major birth defects and miscarriage in clinically recognized pregnancies is 2% to 4% and 15% to 20%, respectively.

Clinical Considerations

Disease-associated Maternal and Embryo-fetal Risk: Untreated opioid addiction in pregnancy is associated with adverse obstetrical outcomes such as low birth weight, preterm birth, and fetal death. In addition, untreated opioid addiction often results in continued or relapsing illicit opioid use.

Dosage Adjustment During Pregnancy: Dosage adjustment using higher doses or administering the daily dose in divided doses may be necessary in pregnant women treated with Methadone Hydrochloride Tablets. Pregnant women appear to have significantly lower trough plasma methadone concentrations, increased plasma methadone clearance, and shorter methadone half-life than after delivery [see Dosage and Administration (2.9) and Clinical Pharmacology (12.3)]. Withdrawal signs and symptoms should be closely monitored and the dose adjusted as necessary.

Fetal/Neonatal Adverse Reactions: Neonatal opioid withdrawal syndrome may occur in newborn infants of mothers who are receiving treatment with Methadone Hydrochloride Tablets.

Neonatal opioid withdrawal syndrome presents as irritability, hyperactivity and abnormal sleep pattern, high pitched cry, tremor, vomiting, diarrhea, and/or failure to gain weight. Signs of neonatal withdrawal usually occur in the first days after birth. The duration and severity of neonatal opioid withdrawal syndrome may vary. Observe newborns for signs of neonatal opioid withdrawal syndrome and manage accordingly[see Warnings and Precautions (5.6)].

Labor or Delivery: Opioid-dependent women on methadone maintenance therapy may require additional analgesia during labor.

Monitor neonates exposed to opioid analgesics during labor for signs of excess sedation and respiratory depression.

Data

Human Data: The majority of available data from clinical trials, observational studies, case series, and case reports on methadone use in pregnancy do not indicate an increased risk of major malformations specifically due to methadone. Findings regarding specific major malformations, decreased fetal growth, premature birth and sudden infant death syndrome have been inconsistent. Children prenatally exposed to methadone have been reported to demonstrate mild but persistent deficits in performance on psychometric and behavioral tests and visual abnormalities.

In a multicenter, double-blind, randomized, controlled trial [Maternal Opioid Treatment: Human Experimental Research (MOTHER)] designed primarily to assess neonatal opioid withdrawal effects, opioid-dependent pregnant women were randomized to buprenorphine (n=86) or methadone (n=89) treatment, with enrollment at an average gestational age of 18.7 weeks in both groups. A total of 28 of the 86 women in the buprenorphine group (33%) and 16 of the 89 women in the methadone group (18%) discontinued treatment before the end of pregnancy.

Among women who remained in treatment until delivery, there was no difference between methadone-treated and buprenorphine-treated groups in the number of neonates requiring NOWS treatment or in the peak severity of NOWS. Buprenorphine-exposed neonates required less morphine (mean total dose, 1.1 mg vs. 10.4 mg), had shorter hospital stays (10.0 days vs. 17.5 days), and shorter duration of treatment for NOWS (4.1 days vs. 9.9 days) compared to the methadone-exposed group. There were no differences between groups in other primary outcomes (neonatal head circumference), or secondary outcomes (weight and length at birth, preterm birth, gestational age at delivery, and 1­ minute and 5-minute Apgar scores), or in the rates of maternal or neonatal adverse events. The outcomes among mothers who discontinued treatment before delivery and may have relapsed to illicit opioid use are not known. Because of the imbalance in discontinuation rates between the methadone and buprenorphine groups, the study findings are difficult to interpret.

Animal Data: Formal reproductive and developmental toxicology studies for methadone have not been conducted. Exposure margins for the following published study reports are based on a human daily dose (HDD) of 120 mg methadone using a body surface area comparison.

In a published study in pregnant hamsters, a single subcutaneous dose of methadone ranging from 31 mg/kg (2 times the HDD) to 185 mg/kg on Gestation Day 8 resulted in a decrease in the number of fetuses per litter and an increase in the percentage of fetuses exhibiting neural tube defects including exencephaly, cranioschisis, and “various other lesions.” The majority of the doses tested also resulted in maternal death. In a study in pregnant JBT/Jd mice, a single subcutaneous dose of 22 to 24 mg/kg methadone (approximately equivalent to the HDD) administered on Gestation Day 9 produced exencephaly in 11% of the embryos. In another study in pregnant mice, subcutaneous doses up to 28 mg/kg/day methadone (equivalent to the HDD) administered from Gestation Day 6 to 15 resulted in no malformations, but there were increased post-implantation loss and decreased live fetuses at 10 mg/kg/day or greater (0.4 times the HDD) and decreased ossification and fetal body weight at 20 mg/kg/day or greater (0.8 times the HDD). In a second study of  pregnant mice dosed with subcutaneous doses up to 28 mg/kg/day methadone from Gestation Day 6 to 15, there was decreased pup viability, delayed onset of development of negative phototaxis and eye opening, increased righting reflexes at 5 mg/kg/day or greater (0.2 times the HDD), and decreased number of live pups at birth and decreased pup weight gain at 20 mg/kg/day or greater (0.8 times the HDD).

No effects were reported in a study of pregnant rats and rabbits at oral doses up to 40 mg/kg (3 and 6 times, respectively, the HDD) administered from Gestation Days 6 to 15 and 6 to 18, respectively.

When pregnant rats were treated with intraperitoneal doses of 2.5, 5, or 7.5 mg/kg methadone from one week prior to mating, through gestation until the end of lactation period, 5 mg/kg or greater (0.4 times the HDD) methadone resulted in decreases in litter size and live pups born and 7.5 mg/kg (0.6 times the HDD) resulted in decreased birth weights. Furthermore, decreased pup viability and pup body weight gain at 2.5 mg/kg or greater (0.2 times the HDD) were noted during the preweaning period.

Additional animal data demonstrate evidence for neurochemical changes in the brains of offspring from methadone- treated pregnant rats, including changes to the cholinergic, dopaminergic, noradrenergic and serotonergic systems at doses below the HDD. Other animal studies have reported that prenatal and/or postnatal exposure to opioids including methadone alters neuronal development and behavior in the offspring including alterations in learning ability, motor activity, thermal regulation, nociceptive responses, and sensitivity to drugs at doses below the HDD. Treatment of pregnant rats subcutaneously with 5 mg/kg methadone from Gestation Day 14 to 19 (0.4 times the HDD) reduced fetal blood testosterone and androstenedione in males.

Published animal data have reported increased neonatal mortality in the offspring of male rodents that were treated with methadone at doses comparable to and less than the HDD for 1 to 12 days before and/or during mating (with more pronounced effects in the first 4 days). In these studies, the female rodents were not treated with methadone, indicating paternally mediated developmental toxicity. Specifically, methadone administered to the male rat prior to mating with methadone-naïve females resulted in decreased weight gain in progeny after weaning. The male progeny demonstrated reduced thymus weights, whereas the female progeny demonstrated increased adrenal weights. Behavioral testing of these male and female progeny revealed significant differences in behavioral tests compared to control animals, suggesting that paternal methadone exposure can produce physiological and behavioral changes in progeny in this model. Examination of uterine contents of methadone-naïve female mice bred to methadone-treated male mice (once a day for three consecutive days) indicated that methadone treatment produced an increase in the rate of preimplantation deaths in all post-meiotic states at 1 mg/kg/day or greater (0.04 times the HDD). Chromosome analysis revealed a dose-dependent increase in the frequency of chromosomal abnormalities at 1 mg/kg/day or greater.

Studies demonstrated that methadone treatment of male rats for 21 to 32 days prior to mating with methadone-naïve females did not produce any adverse effects, suggesting that prolonged methadone treatment of the male rat resulted in tolerance to the developmental toxicities noted in the progeny. Mechanistic studies in this rat model suggest that the developmental effects of “paternal” methadone on the progeny appear to be due to decreased testosterone production. These animal data mirror the reported clinical findings of decreased testosterone levels in human males on methadone maintenance therapy for opioid addiction and in males receiving chronic intraspinal opioids.



8.2 Lactation


Risk Summary

Based on two small clinical studies, methadone was present in low levels in human milk, but the exposed infants in these studies did not show adverse reactions. Based on an average milk consumption of 150 mL/kg/day, an infant would consume approximately 17.4 mcg/kg/day which is approximately 2% to 3% of the oral maternal dose. There have been rare case reports of sedation and respiratory depression in infants exposed to methadone through breast milk (see Data). Monitor infants exposed to METHADONE HYDROCHLORIDE tablets through breastmilk for excess sedation and respiratory depression. The developmental and health benefits of breastfeeding should be considered along with the mother’s clinical need for methadone and any potential adverse effects on the breastfed child from the drug or from the underlying maternal condition.



Data

In a study of ten breastfeeding women maintained on oral methadone doses of 10 to 80 mg/day, methadone concentrations from 50 to 570 mcg/L in milk were reported, which, in the majority of samples, were lower than maternal serum drug concentrations at steady state. Peak methadone levels in milk occur approximately 4 to 5 hours after an oral dose.

In a study of twelve breastfeeding women maintained on oral methadone doses of 20 to 80 mg/day, methadone concentrations from 39 to 232 mcg/L in milk were reported. Based on an average milk consumption of 150 mL/kg/day, an infant would consume approximately 17.4 mcg/kg/day, which is approximately 2% to 3% of the oral maternal dose.

Methadone has been detected in very low plasma concentrations in some infants whose mothers were taking methadone.



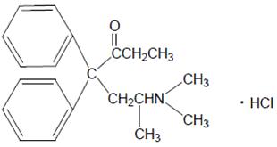
11 Description



Methadone Hydrochloride is chemically described as 6-(dimethylamino)-4,4-diphenyl-3-hepatanone hydrochloride. Methadone Hydrochloride USP is a white powder. Its molecular formula is C21H27 NO• HCl and it has a molecular weight of 345.91. Methadone Hydrochloride has a melting point of 235°C, and a pKa of 8.25 in water at 20°C. Its octanol/water partition coefficient at pH 7.4 is 117. A solution (1:100) in water has a pH between 4.5 and 6.5.





It has the following structural formula:

Methadone Hydrochloride Tablets are available for oral administration containing either 5 mg or 10 mg of Methadone Hydrochloride USP. Each tablet contains the following inactive ingredients: Colloidal silicon dioxide, Lactose monohydrate, magnesium stearate, microcrystalline cellulose and pregelatinized starch.

9.3 Dependence








Both tolerance and physical dependence can develop during use of opioid therapy.

Tolerance is a physiological state characterized by a reduced response to a drug after repeated administration (i.e., a higher dose of a drug is required to produce the same effect that was once obtained at a lower dose).

Physical dependence is a state that develops as a result of a physiological adaptation in response to repeated drug use, manifested by withdrawal signs and symptoms after abrupt discontinuation or a significant dose reduction of a drug.

Withdrawal may be precipitated through the administration of drugs with opioid antagonist activity (e.g., naloxone, nalmefene), mixed agonist/antagonist analgesics (e.g., pentazocine, butorphanol, nalbuphine), or partial agonists (e.g., buprenorphine). Physical dependence may not occur to a clinically significant degree until after several days to weeks of continued use.

Do not rapidly reduce or abruptly discontinue Methadone Hydrochloride Tablets in a patient physically dependent on opioids. Rapid tapering of Methadone Hydrochloride Tablets in a patient physically dependent on opioids may lead to serious withdrawal symptoms, uncontrolled pain, and suicide. Rapid discontinuation has also been associated with attempts to find other sources of opioid analgesics, which may be confused with drug-seeking for abuse.

When discontinuing Methadone Hydrochloride Tablets, gradually taper the dosage using a patient-specific plan that considers the following: the dose of Methadone Hydrochloride Tablets the patient has been taking, the duration of treatment, and the physical and psychological attributes of the patient. To improve the likelihood of a successful taper and minimize withdrawal symptoms, it is important that the opioid tapering schedule is agreed upon by the patient. In patients taking opioids for an extended period of time at high doses, ensure that a multimodal approach to pain management, including mental health support (if needed), is in place prior to initiating an opioid analgesic taper [see Dosage and Administration (2.6), and Warnings and Precautions (5.16)].

Infants born to mothers physically dependent on opioids will also be physically dependent and may exhibit respiratory difficulties and withdrawal signs [see Use in Specific Populations (8.1)].

5.16 Withdrawal






Do not abruptly discontinue Methadone Hydrochloride Tablets  in a patient physically dependent on opioids. When discontinuing Methadone Hydrochloride Tablets  in a physically dependent patient, gradually taper the dosage. Rapid tapering of methadone in a patient physically dependent on opioids may lead to a withdrawal syndrome and return of pain [see Dosage and Administration (2.6), Drug Abuse and Dependence (9.3)].

Additionally, avoid the use of mixed agonist/antagonist (e.g., pentazocine, nalbuphine, and butorphanol) or partial agonist (e.g., buprenorphine) analgesics in patients who are receiving a full opioid agonist, including Methadone Hydrochloride Tablets . In these patients, mixed agonists/antagonist and partial agonist analgesics may reduce the analgesic effect and/or may precipitate withdrawal symptoms [see Drug Interactions (7)].





Medication Guide

Methadone Hydrochloride Tablets, USP CII (Meth-a-done) Rx only



Methadone Hydrochloride Tablets are: 

• A strong prescription pain medicine that contains an opioid (narcotic) that is used to manage severe and persistent pain that requires an extended treatment period with a daily opioid pain medicine, when other pain treatments such as non-opioid pain medicines or immediate-release opioid medicines do not treat your pain well enough or you cannot tolerate them

• A long-acting opioid pain medicine that can put you at risk for overdose and death. Even if you take your dose correctly as prescribed you are at risk for opioid addiction, abuse, and misuse than can lead to death.

•   Not to be taken on an “as needed” basis.

• Also used to manage drug addiction.

Important information about Methadone Hydrochloride Tablets:

• Get emergency help or call 911 right away if you take too much Methadone Hydrochloride Tablets(overdose). When you first start taking Methadone Hydrochloride Tablets, when your dose is changed, or if you take too much (overdose), serious or life-threatening breathing problems that can lead to death may occur. Ask your healthcare provider about medicines like naloxone or nalmefene that can be used in an emergency to reverse an opioid overuse

• Taking Methadone Hydrochloride Tablets with other opioid medicines, benzodiazepines, gabapentinoids (gabapentin or pregabalin), alcohol, or other central nervous system depressants (including street drugs) can cause severe drowsiness, decreased awareness, breathing problems, coma, and death. 

• Never give anyone else your Methadone Hydrochloride Tablets. They could die from taking it. Selling or giving away Methadone Hydrochloride Tablets is against the law. 

• Store Methadone Hydrochloride Tablets securely, out of sight and reach of children, and in a location not accessible by others, including visitors to the home.

Do not take Methadone Hydrochloride Tablets if you have:

   • Severe asthma, trouble breathing, or other lung problems.

   • A bowel blockage or have narrowing of the stomach or intestines.

Before taking Methadone Hydrochloride Tablets, tell your healthcare provider if you have a history of:

    • head injury, seizures                            • heart rhythm problems (Long QT syndrome)

    • liver, kidney, thyroid problems              • pancreas or gallbladder problems

    • problems urinating                               • abuse of street or prescription drugs, alcohol addiction, opioid overdose, or mental health problems

Tell your healthcare provider if you are:

• noticing your pain getting worse. If your pain gets worse after you take Methadone Hydrochloride Tablets, do not take more of Methadone Hydrochloride Tablets without first talking to your healthcare provider. Talk to your healthcare provider if the pain that you have increases, if you feel more sensitive to pain, or if you have new pain after taking Methadone Hydrochloride Tablets.

Pregnant or plan to become pregnant. Use of Methadone Hydrochloride Tablets for an extended period of time during pregnancy can cause withdrawal symptoms in your newborn baby that could be life-threatening if not recognized and treated.

Breastfeeding. Methadone passes into breast milk and may harm your baby.Carefully observe infants for increased sleepiness (more than usual),breathing   difficulties, or limpness. Seek immediate medical care if you notice these signs.

• Living in a household where there are small children or someone who has abused street or prescription drugs.

• Taking prescription or over-the-counter medicines, vitamins, or herbal supplements. Taking Methadone Hydrochloride Tablets with certain other medicines may cause serious side effects. 

When taking Methadone Hydrochloride Tablets:

• Do not change your dose. Take Methadone Hydrochloride Tablets exactly as prescribed by your healthcare provider. Use the lowest dose possible for the shortest time needed.

• Do not take more than your prescribed dose in 24 hours. If you take Methadone Hydrochloride Tablets for pain and miss a dose, take Methadone Hydrochloride Tablets as soon as possible and then take your next dose 8 or 12 hours later as directed by your healthcare provider. If it is almost time for your next dose, skip the missed dose and go back to your regular dosing schedule.

• If you take Methadone Hydrochloride Tablets for opioid addiction and miss a dose, take your next dose the following day as scheduled. Do not take extra doses. Taking more than the prescribed dose may cause you to overdose because Methadone Hydrochloride Tablets build up in your body over time.

• Do not crush, dissolve, snort or inject Methadone Hydrochloride Tablets because this may cause you to overdose and die. 

• Call your healthcare provider if the dose you are taking does not control your pain. 

• Do not stop taking Methadone Hydrochloride Tablets without talking to your healthcare provider. 

• Dispose of expired, unwanted, or unused Methadone Hydrochloride Tablets by taking your drug to an authorized DEA-registered collector or drug take-back program. If one is not available, you can dispose of Methadone Hydrochloride Tablets by mixing the product with dirt, cat litter, or coffee grounds; placing the mixture in a sealed plastic bag, and throwing the bag in your trash. Visit www.fda.gov/drug disposal for additional information on disposal of unused medicines. .

While taking Methadone Hydrochloride Tablets Do NOT:

    • Drive or operate heavy machinery, until you know how Methadone Hydrochloride Tablets affect you. Methadone Hydrochloride Tablets can make you sleepy, dizzy, or lightheaded. 

    • Drink alcohol or use prescription or over-the-counter medicines that contain alcohol. Using products containing alcohol during treatment with Methadone Hydrochloride Tablets may cause you to overdose and die.

The possible side effects of Methadone Hydrochloride Tablets are:

    • Constipation, nausea, sleepiness, vomiting, tiredness, headache, dizziness, abdominal pain. Call your healthcare provider if you have any of these symptoms and they are severe.

Get emergency medical help or call 911 right away if you have:

    • Trouble breathing, shortness of breath, fast heartbeat, chest pain, swelling of your face, tongue or throat, extreme drowsiness, light-headedness when changing positions, feeling faint, agitation, high body temperature, trouble walking, stiff muscles, or mental changes such as confusion.

These are not all the possible side effects of Methadone Hydrochloride Tablets. Call your healthcare provider for medical advice about side effects. You may report side effects to FDA at 1-800-FDA-1088. For more information go to dailymed.nlm.nih.gov.







Dispense with Medication Guide available at www.aurobindousa.com/medication-guides





Distributed by:

Aurobindo Pharma USA, Inc
.

279 Princeton-Hightstown Road

East Windsor, NJ-08520

This Medication Guide has been approved by the U.S. Food and Drug Administration.

Revised: 12/2025





5.18 Hypoglycemia

Cases of methadone-associated hypoglycemia have been reported, some resulting in hospitalization. In many cases, patients had predisposing risk factors (e.g., diabetes). The relationship between methadone and hypoglycemia is not fully understood but may be dose dependent. If hypoglycemia is suspected, monitor blood glucose levels, and manage the patient as clinically appropriate.

8.4 Pediatric Use




The safety, effectiveness, and pharmacokinetics of methadone in pediatric patients below the age of 18 years have not been established. 

8.5 Geriatric Use

 Clinical studies of methadone did not include sufficient numbers of subjects aged 65 and over to determine whether they respond differently compared to younger subjects. Other reported clinical experience has not identified differences in responses between elderly and younger patients.

Elderly patients (aged 65 years or older) may have increased sensitivity to methadone. In general, use caution when selecting a dosage for an elderly patient, usually starting at the low end of the dosing range, reflecting the greater frequency of decreased hepatic, renal, or cardiac function and of concomitant disease or other drug therapy.

Respiratory depression is the chief risk for elderly patients treated with opioids and has occurred after large initial doses were administered to patients who were not opioid-tolerant or when opioids were co-administered with other agents that depress respiration.  Titrate the dosage of Methadone Hydrochloride Tablets slowly in geriatric patients and frequently reevaluate the patient for signs of central nervous system and respiratory depression [see Warnings and Precautions (5.6)].

Methadone is known to be substantially excreted by the kidney, and the risk of adverse reactions to this drug may be greater in patients with impaired renal function. Because elderly patients are more likely to have decreased renal function, care should be taken in dose selection, and it may be useful to monitor renal function.



4 Contraindications




Methadone Hydrochloride Tablets are contraindicated in patients with:

• Significant respiratory depression [see Warnings and Precautions (5.2)].

• Acute or severe bronchial asthma in an unmonitored setting or in the absence of resuscitative equipment [see Warnings and Precautions (5.8)].

• Known or suspected gastrointestinal obstruction, including paralytic ileus [see Warnings and Precautions (5.13)].

• Hypersensitivity (e.g., anaphylaxis) to methadone [see Adverse Reactions (6)].



6 Adverse Reactions


The following serious adverse reactions are described, or described in greater detail, in other sections:

•   Addiction, Abuse, and Misuse [see Warnings and Precautions (5.1) ]

•   Life Threatening Respiratory Depression [see Warnings and Precautions (5.2) ]

•   QT Prolongation [see Warnings and Precautions (5.4 )]

•   Neonatal Opioid Withdrawal Syndrome [see Warnings and Precautions (5.5)]

•   Interactions with Benzodiazepines and other CNS Depressants [see Warnings and Precautions (5.7)]

•   Serotonin Syndrome [see Warnings and Precautions (5.9 )]

•   Adrenal Insufficiency [see Warnings and Precautions (5.11) ]

•   Severe Hypotension [see Warnings and Precautions (5.1 2 )]

•   Gastrointestinal Adverse Reactions [see Warnings and Precautions (5.14)]

•   Seizures [see Warnings and Precautions (5.15 )]

•   Withdrawal [see Warnings and Precautions (5.16)]

•    Opioid-Induced Hyperalgesia and Allodynia [See Warnings and Precautions (5.8)] 



The following adverse reactions associated with the use of methadone were identified in clinical studies or post marketing reports.  Because some of these reactions were reported voluntarily from a population of uncertain size, it is not always possible to reliably estimate their frequency or establish a causal relationship to drug exposure.

The major hazards of methadone are respiratory depression and, to a lesser degree, systemic hypotension. Respiratory arrest, shock, cardiac arrest, and death have occurred.

The most frequently observed adverse reactions include lightheadedness, dizziness, sedation, nausea, vomiting, and sweating. These effects seem to be more prominent in ambulatory patients and in those who are not suffering severe pain. In such individuals, lower doses are advisable.

Other adverse reactions include the following:

Body as a Whole: asthenia (weakness), edema, headache

Cardiovascular: arrhythmias, bigeminal rhythms, bradycardia, cardiomyopathy, ECG abnormalities, extrasystoles, flushing, heart failure, hypotension, palpitations, phlebitis, QT interval prolongation, syncope, T-wave inversion, tachycardia, torsades de pointes, ventricular fibrillation, ventricular tachycardia

Central Nervous System: agitation, confusion, disorientation, dysphoria, euphoria, insomnia, hallucinations, seizures, visual disturbances, congenital oculomotor disorders (nystagmus, strabismus)

Endocrine: hypogonadism, decreased testosterone

Gastrointestinal: abdominal pain, anorexia, biliary tract spasm, constipation, dry mouth, glossitis

Hematologic: reversible thrombocytopenia has been described in opioid addicts with chronic hepatitis

Metabolic: hypokalemia, hypomagnesemia, weight gain

Renal: antidiuretic effect, urinary retention or hesitancy

Reproductive: amenorrhea, reduced libido and/or potency, reduced ejaculate volume, reduced seminal vesicle and prostate secretions, decreased sperm motility, abnormalities in sperm morphology

Respiratory: pulmonary edema, respiratory depression

Skin and Subcutaneous Tissue: pruritus, urticaria, other skin rashes, and rarely, hemorrhagic urticaria

Hypersensitivity: Anaphylaxis has been reported with ingredients contained in Methadone Hydrochloride Tablets.

Serotonin Syndrome: Cases of serotonin syndrome, a potentially life-threatening condition, have been reported during concomitant use of opioids with serotonergic drugs.

Adrenal Insufficiency: Cases of adrenal insufficiency have been reported with opioid use, more often following greater than one month of use.



Androgen Deficiency: Cases of androgen deficiency have occurred with use of opioids for an extended period of time. 

Hyperalgesia and Allodynia: Cases of hyperalgesia and allodynia have been reported with opioid therapy of any duration [see Warnings and Precautions (5.8)]

Hypoglycemia: Cases of hypoglycemia have been reported in patients taking methadone [see Warnings and Precautions (5.18)].

Opioid-induced esophageal dysfunction (OIED): Cases of OIED have been reported in patients taking opioids and may occur more frequently in patients taking higher doses of opioids, and/or in patients taking opioids longer term [see Warnings and Precautions (5.14)].

Adverse Reactions from Observational Studies



A prospective, observational cohort study estimated the risks of addiction, abuse, and misuse in patients initiating long-term use of Schedule II opioid analgesics between 2017 and 2021. Study participants included in one or more analyses had been enrolled in selected insurance plans or health systems for at least one year, were free of at least one outcome at baseline, completed a minimum number of follow-up assessments, and either: 1) filled multiple extended-release/long-acting opioid analgesic prescriptions during a 90 day period (n=978); or 2) filled any Schedule II opioid analgesic prescriptions covering at least 70 of 90 days (n=1,244). Those included also had no dispensing of the qualifying opioids in the previous 6 months.



Over 12 months:

• approximately 1% to 6% of participants across the two cohorts newly met criteria for addiction, as assessed with two validated interview-based measures of moderate-to-severe opioid use disorder based on

Diagnostic and Statistical Manual of Mental Disorders, Fifth Edition (DSM-5) criteria, and

• approximately 9% and 22% of participants across the two cohorts newly met criteria for prescription opioid abuse and misuse [defined in Drug Abuse and Dependence (9.2)], respectively, as measured with a validated self-reported instrument. 



A retrospective, observational cohort study estimated the risk of opioidinvolved overdose or opioid overdose-related death in patients with new long-term use of Schedule II opioid analgesics from 2006 through 2016 (n=220,249). Included patients had been enrolled in either one of two commercial insurance programs, one managed care program, or one Medicaid program for at least 9 months. New long-term use was defined as having Schedule II opioid analgesic prescriptions covering at least 70 days’ supply over the 3 months prior to study entry and none during the preceding 6 months. Patients were excluded if they had an opioid-involved overdose in the 9 months prior to study entry. Overdose was measured using a validated medical code-based algorithm with linkage to the National Death Index database. The 5-year cumulative incidence estimates for opioid-involved overdose or opioid overdose-related death ranged from approximately 1.5% to 4% across study sites, counting only the first event during follow-up Approximately 17% of first opioid overdoses observed over the entire study period (5-11 years, depending on the study site) were fatal. Higher baseline opioid dose was the strongest and most consistent predictor o opioid-involved overdose or opioid overdose-related death. Study exclusion criteria may have selected patients at lower risk of overdose, and substantial loss to follow-up (approximately 80%) also may have biased estimates.



The risk estimates from the studies described above may not be generalizable to all patients receiving opioid analgesics, such as those with exposures shorter or longer than the duration evaluated in the studies.



7 Drug Interactions


Inhibitors of CYP3A4, CYP2B6, CYP2C19, CYP2C9, or CYP2D6

Clinical Impact:

Methadone undergoes hepatic N-demethylation by several cytochrome P450 (CYP) isoforms, including CYP3A4, CYP2B6, CYP2C19, CYP2C9, and CYP2D6. The concomitant use of Methadone Hydrochloride Tablets and CYP3A4, CYP2B6, CYP2C19, CYP2C9, or CYP2D6 inhibitors can increase the plasma concentration of methadone, resulting in increased or prolonged opioid effects, and may result in a fatal overdose, particularly when an inhibitor is added after a stable dose of Methadone Hydrochloride Tablets is achieved. These effects may be more pronounced with concomitant use of drugs that inhibit more than one of the CYP enzymes listed above.



After stopping a CYP3A4, CYP2B6, CYP2C19, CYP2C9, or CYP2D6 inhibitor, as the effects of the inhibitor decline, the methadone plasma concentration can decrease [see Clinical Pharmacology (12.3)], resulting in decreased opioid efficacy or withdrawal symptoms in patients physically dependent on methadone.

Intervention:

If concomitant use is necessary, consider dosage reduction of Methadone Hydrochloride Tablets until stable drug effects are achieved. Evaluate patients at frequent intervals for respiratory depression and sedation. If a CYP3A4, CYP2B6, CYP2C19, CYP2C9, or CYP2D6 inhibitor is discontinued, consider increasing the Methadone Hydrochloride Tablets dosage until stable drug effects are achieved. Evaluate for signs of opioid withdrawal.

Examples:

Macrolide antibiotics (e.g., erythromycin), azole-antifungal agents (e.g., ketoconazole), protease inhibitors (e.g., ritonavir), fluconazole, fluvoxamine, some selective serotonin reuptake inhibitors (SSRIs) (e.g., sertraline, fluvoxamine)

Inducers of CYP3A4, CYP2B6, CYP2C19, or CYP2C9

Clinical Impact:

The concomitant use of Methadone Hydrochloride Tablets and CYP3A4, CYP2B6, CYP2C19, or CYP2C9 inducers can decrease the plasma concentration of methadone [see Clinical Pharmacology (12.3)], resulting in decreased efficacy or onset of withdrawal symptoms in patients physically dependent on methadone. These effects could be more pronounced with concomitant use of drugs that can induce multiple CYP enzymes.



After stopping a CYP3A4, CYP2B6, CYP2C19, or CYP2C9 inducer, as the effects of the inducer decline, the methadone plasma concentration can increase [see Clinical Pharmacology (12.3)], which could increase or prolong both the therapeutic effects and adverse reactions, and may cause serious respiratory depression, sedation, or death.

Intervention:

If concomitant use is necessary, consider increasing the Methadone Hydrochloride Tablets dosage until stable drug effects are achieved. Evaluate for signs of opioid withdrawal. If a CYP3A4, CYP2B6, CYP2C19, or CYP2C9 inducer is discontinued, consider Methadone Hydrochloride Tablets dosage reduction and evaluate patients at frequent intervals for signs of respiratory depression and sedation.

Examples :

Rifampin, carbamazepine, phenytoin, St. John's Wort, Phenobarbital

Benzodiazepines and Other Central Nervous System (CNS) Depressants

Clinical Impact:

Due to additive pharmacologic effect, the concomitant use of benzodiazepines or other CNS depressants, including alcohol, can increase the risk of hypotension, respiratory depression, profound sedation, coma, and death.

Intervention:

For Patients Being Treated for Pain

Reserve concomitant prescribing of these drugs for use in patients for whom alternative treatment options are inadequate. Limit dosages and durations to the minimum required. Inform patients and caregivers of this potential interaction, educate them on the signs and symptoms of respiratory depression (including sedation). If concomitant use is warranted, consider prescribing naloxone for the emergency treatment of opioid overdose.



 If concomitant use is warranted, consider prescribing or recommending an opioid overdose reversal agent [see Dosage and Administration (2.3) and Warnings and Precautions (5.2, 5.3, 5.)].

For Patients Being Treated for Opioid Addiction

Cessation of benzodiazepines or other CNS depressants is preferred in most cases of concomitant use. In some cases, monitoring in a higher level of care for taper may be appropriate. In others, gradually tapering a patient off of a prescribed benzodiazepine or other CNS depressant or decreasing to the lowest effective dose may be appropriate.

Before co-prescribing benzodiazepines for anxiety or insomnia, ensure that patients are appropriately diagnosed and consider alternative medications and non-pharmacologic treatments.

 If concomitant use is warranted, strongly consider recommending or prescribing an opioid overdose reversal agent, as is recommended for all patients in treatment for opioid use disorder [see Warnings and Precautions (5.1, 5.2, 5.7)].

Examples:

Benzodiazepines and other sedatives/hypnotics, anxiolytics, tranquilizers, muscle relaxants, general anesthetics, antipsychotics, gabapentinoids (gabapentin or pregabalin) other opioids, alcohol.

Potentially Arrhythmogenic Agents

Clinical Impact:

Pharmacodynamic interactions may occur with concomitant use of methadone and potentially arrhythmogenic agents or drugs capable of inducing electrolyte disturbances (hypomagnesemia, hypokalemia).

Intervention:

Evaluate patients closely for cardiac conduction changes.

Examples:

Drugs known to have potential to prolong QT interval: Class I and III antiarrhythmics, some neuroleptics and tricyclic antidepressants, and calcium channel blockers. Drugs capable of inducing electrolyte disturbances: Diuretics, laxatives, and, in rare cases, mineralocortocoid hormones.

Serotonergic Drugs

Clinical Impact:

The concomitant use of opioids with other drugs that affect the serotonergic neurotransmitter system has resulted in serotonin syndrome [see Warnings and Precautions (5.9)].

Intervention:

If concomitant use is warranted, frequently evaluate the patient, particularly during treatment initiation and dose adjustment. Discontinue Methadone Hydrochloride Tablets if serotonin syndrome is suspected.

Examples:

Selective serotonin reuptake inhibitors (SSRIs), serotonin and norepinephrine reuptake inhibitors (SNRIs), tricyclic antidepressants (TCAs), triptans, 5-HT3 receptor antagonists, drugs that effect the serotonin neurotransmitter system (e.g., mirtazapine, trazodone, tramadol), certain muscle relaxants (i.e., cyclobenzaprine, metaxalone), monoamine oxidase (MAO) inhibitors (those intended to treat psychiatric disorders and also others, such as linezolid and intravenous methylene blue).

Monoamine Oxidase Inhibitors (MAOIs)

Clinical Impact:

MAOI interactions with opioids may manifest as serotonin syndrome [see Warnings and Precautions (5.9)] or opioid toxicity (e.g., respiratory depression, coma) [see Warnings and Precautions (5.3)].

Intervention:

The use of Methadone Hydrochloride Tablets are not recommended for patients taking MAOIs or within 14 days of stopping such treatment.

Mixed Agonist/Antagonist and Partial Agonist Opioid Analgesics

Clinical Impact:

May reduce the analgesic effect of Methadone Hydrochloride Tablets and/or precipitate withdrawal symptoms.

Intervention:

Avoid concomitant use.

Examples:

Butorphanol, nalbuphine, pentazocine, buprenorphine

Muscle Relaxants

Clinical Impact:

Methadone may enhance the neuromuscular blocking action of skeletal muscle relaxants and produce an increased degree of respiratory depression.

Intervention:

 Because respiratory depression may be greater than otherwise expected, decrease the dosage of Methadone Hydrochloride Tablets and/or the muscle relaxant as necessary. Due to the risk of respiratory depression with concomitant use of skeletal muscle relaxants and opioids, consider recommending or prescribing an opioid overdose reversal agent [see Dosage and Administration (2.3) and Warnings and Precautions (5.3, 5.4)]. 

Examples:

cyclobenzaprine, metaxalone

Diuretics

Clinical Impact:

Opioids can reduce the efficacy of diuretics by inducing the release of antidiuretic hormone.

Intervention:

Evaluate patients for signs of diminished diuresis and/or effects on blood pressure and increase the dosage of the diuretic as needed.

Anticholinergic Drugs

Clinical Impact:

The concomitant use of anticholinergic drugs may increase risk of urinary retention and/or severe constipation, which may lead to paralytic ileus.

Intervention:

Evaluate patients for signs of urinary retention or reduced gastric motility when Methadone Hydrochloride Tablets are used concomitantly with anticholinergic drugs.



Paradoxical Effects of Antiretroviral Agents on Methadone Hydrochloride Tablets



Concurrent use of certain antiretroviral agents with CYP3A4 inhibitory activity, alone and in combination, such as abacavir, amprenavir, darunavir+ritonavir, efavirenz, nelfinavir, nevirapine, ritonavir, telaprevir, lopinavir+ritonavir, saquinavir+ritonavir, and tipranavir+ritonavir, has resulted in increased clearance or decreased plasma levels of methadone. This may result in reduced efficacy of Methadone Hydrochloride Tablets and could precipitate a withdrawal syndrome. Monitor methadone-maintained patients receiving any of these anti-retroviral therapies closely for evidence of withdrawal effects and adjust the methadone dose accordingly.





Effects of Methadone Hydrochloride Tablets on Antiretroviral Agents



Didanosine and Stavudine : Experimental evidence demonstrated that methadone decreased the area under the concentration-time curve (AUC) and peak levels for didanosine and stavudine, with a more significant decrease for didanosine. Methadone disposition was not substantially altered.



Zidovudine: Experimental evidence demonstrated that methadone increased the AUC of zidovudine, which could result in toxic effects.





Effects of Methadone Hydrochloride Tablets on Antidepressants



Desipramine: Blood levels of desipramine have increased with concurrent methadone administration.

8.7 Renal Impairment


Methadone pharmacokinetics have not been extensively evaluated in patients with renal insufficiency. Since unmetabolized methadone and its metabolites are excreted in urine to a variable degree, start these patients on lower doses and with longer dosing intervals and titrate slowly while carefully monitoring for signs of respiratory and central nervous system depression.

12.2 Pharmacodynamics


Effects on the Central Nervous System

Methadone produces respiratory depression by direct action on brain stem respiratory centers. The respiratory depression involves a reduction in the responsiveness of the brain stem respiratory centers to both increases in carbon dioxide tension and electrical stimulation.

Methadone causes miosis, even in total darkness. Pinpoint pupils are a sign of opioid overdose but are not pathognomonic (e.g., pontine lesions of hemorrhagic or ischemic origins may produce similar findings). Marked mydriasis rather than miosis may be seen due to hypoxia in overdose situations.

Some NMDA receptor antagonists have been shown to produce neurotoxic effects in animals.

Effects on the Gastrointestinal Tract and Other Smooth Muscle

Methadone causes a reduction in motility associated with an increase in smooth muscle tone in the antrum of the stomach and duodenum. Digestion of food in the small intestine is delayed and propulsive contractions are decreased. Propulsive peristaltic waves in the colon are decreased, while tone is increased to the point of spasm, resulting in constipation. Other opioid-induced effects may include a reduction in biliary and pancreatic secretions, spasm of sphincter of Oddi, and transient elevations in serum amylase and opioid-induced esophageal dysfunction (OIED).

Effects on the Cardiovascular System

Methadone produces peripheral vasodilation, which may result in orthostatic hypotension or syncope. Manifestations of histamine release and/or peripheral vasodilation may include pruritus, flushing, red eyes, sweating, and/or orthostatic hypotension.

Effects on the Endocrine System

Opioids inhibit the secretion of adrenocorticotropic hormone (ACTH), cortisol, and luteinizing hormone (LH) in humans [see Adverse Reactions (6)].They also stimulate prolactin, growth hormone (GH) secretion, and pancreatic secretion of insulin and glucagon.

Use of opioids for an extended period of time may influence the hypothalamic-pituitary-gonadal axis, leading to androgen deficiency that may manifest as low libido, impotence, erectile dysfunction, amenorrhea, or infertility. The causal role of opioids in the clinical syndrome of hypogonadism is unknown because the various medical, physical, lifestyle, and psychological stressors that may influence gonadal hormone levels have not been adequately controlled for in studies conducted to date [see Adverse Reactions (6)].

Effects on the Immune System

Opioids have been shown to have a variety of effects on components of the immune system in in vitro and animal models. The clinical significance of these findings is unknown. Overall, the effects of opioids appear to be modestly immunosuppressive.

Concentration–Efficacy Relationships

 The minimum effective analgesic concentration will vary widely among patients, especially among patients who have been previously treated with extended- release agonists. The minimum effective analgesic concentration of methadone for any individual patient may increase over time due to an increase in pain, the development of a new pain syndrome, and/or the development of analgesic tolerance [see Dosage and Administration (2.2,2.5)].

Concentration–Adverse Reaction Relationships

There is a relationship between increasing methadone plasma concentration and increasing frequency of dose-related opioid adverse reactions such as nausea, vomiting, CNS effects, and respiratory depression. In opioid-tolerant patients, the situation may be altered by the development of tolerance to opioid-related adverse reactions [see Dosage and Administration (2.2, 2.4, 2.5)].





12.3 Pharmacokinetics

Absorption

Following oral administration, the bioavailability of methadone ranges between 36 to 100% and peak plasma concentrations are achieved between 1 to 7.5 hours. Dose proportionality of methadone pharmacokinetics is not known. However, after administration of daily oral doses ranging from 10 to 225 mg, the steady-state plasma concentrations ranged between 65 to 630 ng/mL and the peak concentrations ranged between 124 to 1,255 ng/mL. Effect of food on the bioavailability of methadone has not been evaluated.

Distribution

Methadone is a lipophilic drug and the steady-state volume of distribution ranges between 1.0 to 8.0 L/kg. In plasma, methadone is predominantly bound to α1-acid glycoprotein (85% to 90%). Methadone is secreted in saliva, breast milk, amniotic fluid, and umbilical cord plasma.

Elimination

Metabolism: Methadone is primarily metabolized by N-demethylation to an inactive metabolite, 2-ethylidene-1,5­ dimethyl-3,3-diphenylpyrrolidene (EDDP). Cytochrome P450 enzymes, primarily CYP3A4, CYP2B6, CYP2C19, CYP2C9 and CYP2D6, are responsible for conversion of methadone to EDDP and other inactive metabolites, which are excreted mainly in the urine. Methadone appears to be a substrate for P-glycoprotein but its pharmacokinetics do not appear to be significantly altered in case of P-glycoprotein polymorphism or inhibition.

Excretion : The elimination of methadone is mediated by extensive biotransformation, followed by renal and fecal excretion. Published reports indicate that after multiple dose administration the apparent plasma clearance of methadone ranged between 1.4 and 126 L/h, and the terminal half-life (T1/2) was highly variable and ranged between 8 to 59 hours in different studies. Methadone is a basic (pKa=9.2) compound and the pH of the urinary tract can alter its disposition in plasma. Also, since methadone is lipophilic, it has been known to persist in the liver and other tissues. The slow release from the liver and other tissues may prolong the duration of methadone action despite low plasma concentrations.

Drug Interaction Studies

Cytochrome P450 Interactions: Methadone undergoes hepatic N-demethylation by cytochrome P450 (CYP) isoforms, principally CYP3A4, CYP2B6, CYP2C19, CYP2C9 and CYP2D6. Co-administration of methadone with CYP inducers may result in more rapid metabolism and potential for decreased effects of methadone, whereas administration with CYP inhibitors may reduce metabolism and potentiate methadone’s effects. Although antiretroviral drugs such as efavirenz, nelfinavir, nevirapine, ritonavir, lopinavir+ritonavir combination are known to inhibit some CYPs, they are shown to reduce the plasma levels of methadone, possibly due to CYP induction activity [see Drug Interactions (7)].

Cytochrome P450 Inducers: The following drug interactions were reported following co-administration of methadone with known inducers of cytochrome P450 enzymes: 

Rifampin: In patients well-stabilized on methadone, concomitant administration of rifampin resulted in a marked reduction in serum methadone levels and a concurrent appearance of withdrawal symptoms. 

Phenytoin: In a pharmacokinetic study with patients on methadone maintenance therapy, phenytoin administration (250 mg twice daily initially for 1 day followed by 300 mg daily for 3 to 4 days) resulted in an approximately 50% reduction in methadone exposure and withdrawal symptoms occurred concurrently. Upon discontinuation of phenytoin, the incidence of withdrawal symptoms decreased, and methadone exposure increased to a level comparable to that prior to phenytoin administration.

St. John’s Wort, Phenobarbital, Carbamazepine: Administration of methadone with other CYP3A4 inducers may result in withdrawal symptoms.

Cytochrome P450 Inhibitors:

Voriconazole : Voriconazole can inhibit the activity of CYP3A4, CYP2C9, and CYP2C19. Repeat dose administration of oral voriconazole (400 mg every 12 hours for 1 day, then 200 mg every 12 hours for 4 days) increased the peak plasma concentration (Cmax) and AUC of (R)-methadone by 31% and 47%, respectively, in subjects receiving a methadone maintenance dose (30 to 100 mg daily. The Cmax and AUC of (S)-methadone increased by 65% and 103%, respectively. Increased plasma concentrations of methadone have been associated with toxicity including QT prolongation. Frequent monitoring for adverse events and toxicity related to methadone is recommended during co-administration. Dose reduction of methadone may be needed [see Drug Interactions (7)].

Antiretroviral Drugs: Although antiretroviral drugs such as efavirenz, nelfinavir, nevirapine, ritonavir, telaprevir, lopinavir+ritonavir combination are known to inhibit some CYPs, they are shown to reduce the plasma levels of methadone, possibly due to CYP induction activity.

Abacavir, Amprenavir, Darunavir+Ritonavir, Efavirenz, Nelfinavir, Nevirapine, Ritonavir, Telaprevir, Lopinavir+Ritonavir, Saquinavir+Ritonavir, Tipranavir+Ritonavir Combination:

 Co-administration of these anti-retroviral agents resulted in increased clearance or decreased plasma levels of methadone[see Drug Interactions (7)].

Didanosine and Stavudine: Methadone decreased the AUC and peak levels for didanosine and stavudine, with a more significant decrease for didanosine. Methadone disposition was not substantially altered[see Drug Interactions (7)].

Zidovudine: Methadone increased the AUC of zidovudine which could result in toxic effects [see Drug Interactions (7)].

8.6 Hepatic Impairment


Methadone pharmacokinetics have not been extensively evaluated in patients with hepatic insufficiency. Methadone is metabolized by hepatic pathways; therefore, patients with liver impairment may be at risk of increased systemic exposure to methadone after multiple dosing. Start these patients on lower doses and titrate slowly while carefully monitoring for signs of respiratory and central nervous system depression.

5.12 Severe Hypotension




Methadone Hydrochloride Tablets may cause severe hypotension including orthostatic hypotension and syncope in ambulatory patients. There is an increased risk in patients whose ability to maintain blood pressure has already been compromised by a reduced blood volume or concurrent administration of certain CNS depressant drugs (e.g., phenothiazines or general anesthetics)[see Drug Interactions (7)].Regularly evaluate these patients for signs of hypotension after initiating or titrating the dosage of Methadone Hydrochloride Tablets. In patients with circulatory shock, Methadone Hydrochloride Tablets may cause vasodilation that can further reduce cardiac output and blood pressure. Avoid the use of Methadone Hydrochloride Tablets in patients with circulatory shock.

1 Indications and Usage

Methadone Hydrochloride Tablets are indicated forthe:

 1.      Management of severe and persistent pain that requires an opioid analgesic and that cannot be adequately treated with alternative options, including immediate-release opioids. 

 2.Limitations of Use

  • Because of the risks of addiction, abuse, and misuse overdose, and death, which can occur at any dosage or duration  and persist over the course of therapy[See Warnings and Precautions (5.1)], reserve opioid analgesics, including Methadone Hydrochloride Tablets, for use in patients for whom alternative analgesic treatment options are ineffective, not tolerated, or would be otherwise inadequate to provide sufficient management of pain.
  • Methadone Hydrochloride Tablets is not indicated asanas-needed(prn)analgesic. (1)

3. Detoxification treatment of opioid addiction (heroin or othermorphine-likedrugs).

4.Maintenancetreatment of opioid addiction (heroin or othermorphine-like drugs), in conjunction with appropriatesocialand medicalservices.



Limitations of Use



Methadone products usedfor the treatment of opioid addiction in detoxification or maintenanceprograms are subject to the conditionsfor distribution and use required under 42 CFR8.12 [ see Dosage and Administration (2.1) ) ].



12.1 Mechanism of Action




Methadone Hydrochloride Tablets is a mu-agonist; a synthetic opioid with multiple actions qualitatively similar to those of morphine, the most prominent of which involves the central nervous system and organs composed of smooth muscle. The principal therapeutic uses for methadone are for analgesia and for detoxification or maintenance in opioid addiction.

The methadone withdrawal syndrome, although qualitatively similar to that of morphine, differs in that the onset is slower, the course is more prolonged, and the symptoms are less severe.

Some data also indicate that methadone acts as an antagonist at the N-methyl-D-aspartate (NMDA) receptor. The contribution of NMDA receptor antagonism to methadone's efficacy is unknown.

9.1 Controlled Substance


Methadone Hydrochloride Tablets contain methadone, a Schedule II controlled substance.

5 Warnings and Precautions
  • Opioid Induced Hyperalgesia (OIH) and Allodynia: Opioid-Induced Hyperalgesia (OIH) occurs when an opioid analgesic paradoxically causes an increase in pain, or an increase in sensitivity to pain. If OIH is suspected carefully consider appropriately decreasing the dose of the current opioid analgesic, or opioid rotation. (5.8)
  • Serotonin Syndrome: Potentially life-threatening condition could result from concomitant serotonergic drug administration. Discontinue Methadone Hydrochloride Tablets if serotonin syndrome is suspected. (5.9)
  • Risk of Life-Threatening Respiratory Depression in Patients with Chronic Pulmonary Disease or in Elderly, Cachectic, or Debilitated Patients: Regularly evaluate closely, particularly during initiation and titration. (5.10)
  • Adrenal Insufficiency: If diagnosed, treat with physiologic replacement of corticosteroids, and wean patient off of the opioid. (5.11)
  • Severe Hypotension: Regularly evaluate during dose initiation and titration. Avoid use in patients with circulatory shock.  (5.12)
  • Risks of Use in Patients with Increased Intracranial Pressure, Brain  Tumors , Head Injury, or Impaired Consciousness: Regulatory evaluate for sedation and respiratory depression.  Avoid use of Methadone Hydrochloride Tablets in patients with impaired consciousness or coma. (5.14)
5.11 Adrenal Insufficiency






Cases of adrenal insufficiency have been reported with opioid use, more often following greater than one month of use. Presentation of adrenal insufficiency may include non-specific symptoms and signs including nausea, vomiting, anorexia, fatigue, weakness, dizziness, and low blood pressure. If adrenal insufficiency is suspected, confirm the diagnosis with diagnostic testing as soon as possible. If adrenal insufficiency is diagnosed, treat with physiologic replacement doses of corticosteroids. Wean the patient off of the opioid to allow adrenal function to recover and continue corticosteroid treatment until adrenal function recovers. Other opioids may be tried as some cases reported use of a different opioid without recurrence of adrenal insufficiency. The information available does not identify any particular opioids as being more likely to be associated with adrenal insufficiency.

2 Dosage and Administration

Consider recommending or prescribing an opioid overdose reversal agent (e.g. naloxone, nalmefene)  based on the patient’s risk factors for overdose [2.3, 5.1, 5.2, 5.7].

Management of Pain

• Methadone Hydrochloride Tablets should be prescribed only by healthcare professionals who are knowledgeable in use of extended release/long-acting opioids and how to mitigate the associated risks. (2.1)

• Use the lowest effective dosage for the shortest duration of time consistent with individual patient treatment goals. reserve titration to higher doses of Methadone Hydrochloride Tablets for patients in whom lower doses are insufficiently effective and in whom the expected benefits of using a higher dose opioid clearly outweigh the substantial risks. (2.1, 5)

• Initiate the dosing regimen for each patient individually, taking into account the patient’s underlying cause and severity of pain, prior analgesic treatment and response, and risk factors for addiction, abuse, and misuse (2.4,5.1)

• Respiratory depression can occur at any time during opioid therapy, especially when initiating and following dosage increases with Methadone Hydrochloride Consider this risk when selecting an initial dose and when making dose adjustments (2.1, 5.10)

• Periodically reassess patients receiving Methadone Hydrochloride to evaluate the continued need for opioid analgesics to maintain pain control,

for the signs or symptoms of adverse reactions, and for the development of addiction, abuse, or misuse. (2.1)

• To convert to Methadone Hydrochloride Tablets from another opioid, use available conversion factors to obtain estimated dose. (2.4)

• Titrate slowly with dose increases no more frequent than every 3 to 5 days. (2.5)

• Do not abruptly discontinue Methadone Hydrochloride Tablets in a physically dependent patient. because rapid reduction or abrupt discontinuation of opioid analgesics has resulted in serious withdrawal symptoms, uncontrolled pain, and suicide. (2.6, 5.16)

Initiation of Detoxification and Maintenance Treatment

• A single dose of 20 to 30 mg may be sufficient to suppress withdrawal syndrome. (2.7)





3 Dosage Forms and Strengths


 5 mg Tablets: White to off white, round tablets debossed with ‘U41’ on one side and break line on the other side.

10 mg Tablets: White to off white, round tablets debossed with ‘U42’ on one side and break line on the other side

8 Use in Specific Populations
  • Lactation: Monitor breastfed infants for increased drowsiness and breathing difficulties. ( 8.2 )
5.1 Addiction, Abuse and Misuse


Methadone Hydrochloride Tablets contain methadone, a Schedule II controlled substance. As an opioid, Methadone Hydrochloride Tablets expose users to the risks of addiction, abuse, and misuse. As long-acting opioids such as Methadone Hydrochloride Tablets have pharmacological effects over an extended period of time, there is a greater risk for overdose and death [see Drug Abuse and Dependence (9)].



Although the risk of addiction in any individual is unknown, it can occur in patients appropriately prescribed Methadone Hydrochloride Tablets. Addiction can occur at recommended doses and if the drug is misused or abused. The risk of opioid-related overdose or overdose-related death is increased with higher opioid doses, and this risk persists over the course of therapy. In postmarketing studies, addiction, abuse, misuse, and fatal and non-fatal opioid overdose were observed in patients with long-term opioid use [see Adverse Reactions (6)].

Assess each patient’s risk for opioid addiction, abuse, or misuse prior to prescribing Methadone Hydrochloride Tablets, and reassess all patients receiving Methadone Hydrochloride Tablets for the development of these behaviors and conditions. Risks are increased in patients with a personal or family history of substance abuse (including drug or alcohol abuse or addiction) or mental illness (e.g., major depression). The potential for these risks should not, however, prevent the proper management of pain in any given patient. Patients at increased risk may be prescribed opioids such as Methadone Hydrochloride Tablets but use in such patients necessitates intensive counseling about the risks and proper use of Methadone Hydrochloride Tablets along with the frequent reevaluation for signs of addiction, abuse, and misuse. Consider recommending or prescribing an opioid overdose reversal agent  [ see Dosage and Administration (2.3), Warnings and Precautions (5.2)].

Abuse or misuse of Methadone Hydrochloride Tablets by crushing, chewing, snorting, or injecting the dissolved product will result in the uncontrolled delivery of the methadone and can result in overdose and death [see Overdosage (10)].

Opioids are sought for nonmedical use and are subject to diversion from legitimate prescribed use. Consider these risks when prescribing or dispensing Methadone Hydrochloride Tablets. Strategies to reduce these risks include prescribing the drug in the smallest appropriate quantity and advising the patient on the careful storage of the drug during the course of treatment and proper disposal of unused drug. Contact local state professional licensing board or state-controlled substances authority for information on how to prevent and detect abuse or diversion of this product. 



17 Patient Counseling Information




Advise the patient to read the FDA-approved patient labeling (Medication Guide)

Storage and Disposal

Because of the risks associated with accidental ingestion, misuse, and abuse, advise patients to store Methadone Hydrochloride Tablets securely, out of sight and reach of children, and in a location not accessible by others, including visitors to the home . Inform patients that leaving Methadone Hydrochloride Tablets unsecured can pose a deadly risk to others in the home [see Warnings and Precautions (5.1, 5.2), Drug Abuse and Dependence (9.2)].

Advise patients and caregivers that when medicines are no longer needed, they should be disposed of promptly. Expired, unwanted, or unused Methadone Hydrochloride Tablets should be disposed of by flushing the unused medication down the toilet if a drug take-back option is not readily available. Inform patients that they can visit www.fda.gov/drugdisposal for a complete list of medicines recommended for disposal by flushing, as well as additional information on disposal of unused medicines.

Addiction, Abuse, and Misuse

Inform patients that the use of Methadone Hydrochloride Tablets, even when taken as recommended, can result in addiction, abuse, and misuse, which can lead to overdose or death [see Warnings and Precautions (5.1)]. Instruct patients not to share Methadone Hydrochloride Tablets with others and to take steps to protect Methadone Hydrochloride Tablets from theft or misuse.

Life-Threatening Respiratory Depression

Inform patients of the risk of life-threatening respiratory depression, including information that the risk is greatest when starting Methadone Hydrochloride Tablets or when the dosage is increased, and that it can occur even at recommended dosages. Advise patients how to recognize respiratory depression and to seek medical attention if breathing difficulties develop.

Educate patients and caregivers on how to recognize respiratory depression and emphasize the importance of calling 911 or getting emergency medical help right away in the event of a known or suspected overdose [see Warnings and Precautions (5.2)].

Accidental Ingestion

Inform patients that accidental ingestion, especially by children, may result in respiratory depression or death [see Warnings and Precautions (5.2)].

Symptoms of Arrhythmia

Instruct patients to seek medical attention immediately if they experience symptoms suggestive of an arrhythmia (such as palpitations, near syncope, or syncope) when taking methadone [see Warnings and Precautions (5.4)].

Interactions with Benzodiazepines and Other CNS Depressants Inform patients and caregivers that potentially fatal additive effects may occur if Methadone Hydrochloride Tablets are used with benzodiazepines or other CNS depressants (e.g., alcohol, non-benzodiazepine sedative/hypnotics, anxiolytics, tranquilizers, muscle relaxants, general anesthetics, antipsychotics, gabapentinoids [gabapentin or pregabalin], and other opioids), and not to use these concomitantly unless supervised by a health care provider [see Warnings and Precautions (5.7), Drug Interactions (7)]. 

Patient Access to an Opioid Overdose Reversal Agent for the Emergency Treatment of Opioid Overdose

Inform patients and caregivers about opioid overdose reversal agents (e.g., naloxone, nalmefene) and discuss the importance of having access to an opioid overdose reversal agent, both when initiating and renewing treatment with Methadone Hydrochloride Tablets. Because patients being treated for opioid use disorder are at risk for relapse, discuss the importance of having access to an opioid overdose reversal agent. Also discuss the importance of having access to an opioid overdose reversal agent if the patient has household members (including children) or other close contacts at risk for accidental ingestion or opioid overdose. Discuss with the patient the options for obtaining an opioid overdose reversal agent (e.g., prescription, over-the-counter (some products), or as part of a community-based program) [see Dosage and Administration (2.3), Warnings and Precautions (5.2)].



There are important differences among the opioid overdose reversal agents. Be familiar with these differences, as outlined in the approved labeling for those products, prior to recommending or prescribing such an agent.



Educate patients and caregivers on how to recognize the signs and symptoms of an opioid overdose.



Explain to patients and caregivers that effects of opioid overdose reversal agents like naloxone and nalmefene are temporary, and that they must call 911 or get emergency medical help right away in all cases of known or suspected opioid overdose, even if an opioid overdose reversal agent is administered [see Overdosage (10)].



Advise patients and caregivers:

• how to treat with an opioid overdose reversal agent in the event of an opioid overdose

• to tell family and friends about their an opioid overdose reversal agent, and to keep it in a place where family and friends can access it in an emergency

• to read the Patient Information (or other educational material) that will come with their an opioid overdose reversal agent. Emphasize the importance of doing this before an opioid emergency happens, so the patient and caregiver will know what to do.









Hyperalgesia and Allodynia

Inform patients and caregivers not to increase opioid dosage without first consulting a clinician. Advise patients to seek medical attention if they experience symptoms of hyperalgesia, including worsening pain, increased sensitivity to pain, or new pain [see Warnings and Precautions (5.8); Adverse Reactions (6.2)].

Serotonin Syndrome

Inform patients that opioids could cause a rare but potentially life-threatening condition resulting from concomitant administration of serotonergic drugs. Warn patients of the symptoms of serotonin syndrome and to seek medical attention right away if symptoms develop. Instruct patients to inform their physicians if they are taking, or plan to take serotonergic medications [see Warnings and Precautions (5.10), Drug Interactions (7)].

MAOI Interaction

Inform patients to avoid taking Methadone Hydrochloride Tablets while using any drugs that inhibit monoamine oxidase. Patients should not start MAOIs while taking Methadone Hydrochloride Tablets [see Warnings and Precautions (5.10), Drug Interactions (7)].

Important Administration Instructions

Instruct patients how to properly take Methadone Hydrochloride Tablets, including the following:

• Use Methadone Hydrochloride Tablets exactly as prescribed to reduce the risk of life-threatening adverse reactions (e.g., respiratory depression) [see Dosage and Administration (2), Warnings and Precautions (5.2)].

Important Discontinuation Instructions

In order to avoid developing withdrawal symptoms, instruct patients not to discontinue Methadone Hydrochloride Tablets without first discussing a tapering plan with the prescriber [see Dosage and administration (2.6)]

Driving or Operating Heavy Machinery

Inform patients that Methadone Hydrochloride Tablets may impair the ability to perform potentially hazardous activities such as driving a car or operating heavy machinery. Advise patients not to perform such tasks until they know how they will react to the medication [see Warnings and Precautions (5.17)].

Constipation

Advise patients of the potential for severe constipation, including management instructions and when to seek medical attention [see Adverse Reactions (6), Clinical Pharmacology (12.2)].

Adrenal Insufficiency

Inform patients that opioids could cause adrenal insufficiency, a potentially life-threatening condition. Adrenal insufficiency may present with non-specific symptoms and signs such as nausea, vomiting, anorexia, fatigue, weakness, dizziness, and low blood pressure. Advise patients to seek medical attention if they experience a constellation of these symptoms [see Warnings and Precautions (5.11)].

Hypotension

Inform patients that Methadone Hydrochloride Tablets may cause orthostatic hypotension and syncope. Instruct patients how to recognize symptoms of low blood pressure and how to reduce the risk of serious consequences should hypotension occur (e.g., sit or lie down, carefully rise from a sitting or lying position) [see Warnings and Precautions (5.12)].

Anaphylaxis

Inform patients that anaphylaxis has been reported with ingredients contained in Methadone Hydrochloride Tablets. Advise patients how to recognize such a reaction and when to seek medical attention [see Contraindications (4), Adverse Reactions (6)].

Pregnancy

Inform female patients of reproductive potential that prolonged use of Methadone Hydrochloride Tablets for an extended period of time during pregnancy can result in neonatal opioid withdrawal syndrome, which may be life-threatening if not recognized and treated [see Warnings and Precautions (5.5), Use in Specific Populations (8.1)].

Embryo-Fetal Toxicity: Inform female patients of reproductive potential that Methadone Hydrochloride Tablets can cause fetal harm and to inform their healthcare provider of a known or suspected pregnancy [see Use in Specific Populations (8.1)].

Lactation

Advise nursing mothers to carefully observe infants for increased sleepiness (more than usual), breathing difficulties, or limpness. Instruct nursing mothers to seek immediate medical care if they notice these signs [see Use in Specific Populations (8.2)].

Infertility

Advise patients that use of opioids for an extended period of time, such as Methadone Hydrochloride Tablets, may cause reduced fertility. It is not known whether these effects on fertility are reversible [see Use in Specific populations (8.3)]

Hypoglycemia

Inform patients that methadone may cause hypoglycemia. Instruct patients how to recognize the symptoms of low blood glucose and to contact their health care provider if these symptoms occur [see Warnings and Precautions (5.18)]



Distributed by:

Aurobindo Pharma USA, Inc.

279 Princeton-Hightstown Road

East Windsor, NJ-08520



Revised: 12/2025



2.2 Important General Information
  • Thepeak respiratory depressanteffect of methadoneoccurs later and persistslongerthan its peaktherapeuticeffect.
  • A high degree of opioid tolerancedoes not eliminate the possibility of methadoneoverdose, iatrogenic or otherwise.Deathshavebeen reported during conversion to methadonefrom chronic,high-dosetreatment with other opioid agonistsandduring initiation of methadonetreatment of addiction in subjectspreviously abusing high doses of otheragonists.
  • Withrepeateddosing,methadone is retained in the liverand thenslowlyreleased, prolonging the duration of potential toxicity.
  • Methadonehas a narrowtherapeuticindex,especiallywhen combined with otherdrugs.


5.19 Laboratory Test Interactions




False positive urine drug screens for methadone have been reported for several drugs including diphenhydramine, doxylamine, clomipramine, chlorpromazine, thioridazine, quetiapine, and verapamil.

16 How Supplied/storage and Handling

Methadone Hydrochloride Tablets , USP 5 mg are white to off white, round tablets debossed with ‘U41’on one side and break line on the other side.

                               Bottles of 30                                             NDC 13107-088-30

                               Bottles of 100                                           NDC 13107-088-01

                               Bottles of 1000                                         NDC 13107-088-99



Methadone Hydrochloride Tablets , USP 10 mg are white to off white, round tablets debossed with ‘U42’on one side and break line on the other side.

                               Bottles of 30                                              NDC 13107-089-30

                               Bottles of 100                                            NDC 13107-089-01

                               Bottles of 1000                                          NDC 13107-089-99

Store at 20° to 25°C (68° to 77°F) [See USP Controlled Room Temperature.]



Dispense in a tight, light-resistant container as defined in the USP/NF.




Store Methadone Hydrochloride Tablets  securely and dispose of properly [see Patient Counseling Information (17) ].

5.4 Life Threatening Qt Prolongation


Cases of QT interval prolongation and serious arrhythmia (torsades de pointes) have been observed during treatment with methadone. These cases appear to be more commonly associated with, but not limited to, higher dose treatment (> 200 mg/day). Most cases involve patients being treated for pain with large, multiple daily doses of methadone, although cases have been reported in patients receiving doses commonly used for maintenance treatment of opioid addiction. In most patients on the lower doses typically used for maintenance, concomitant medications and/or clinical conditions such as hypokalemia were noted as contributing factors. However, the evidence strongly suggests that methadone possesses the potential for adverse cardiac conduction effects in some patients. The effects of methadone on the QT interval have been confirmed in in vivo laboratory studies, and methadone has been shown to inhibit cardiac potassium channels in in vitro studies.

Closely monitor patients with risk factors for development of prolonged QT interval (e.g., cardiac hypertrophy, concomitant diuretic use, hypokalemia, hypomagnesemia), a history of cardiac conduction abnormalities, and those taking medications affecting cardiac conduction. QT prolongation has also been reported in patients with no prior cardiac history who have received high doses of methadone.

Evaluate patients developing QT prolongation while on methadone treatment for the presence of modifiable risk factors, such as concomitant medications with cardiac effects, drugs that might cause electrolyte abnormalities, and drugs that might act as inhibitors of methadone metabolism.

Only initiate Methadone Hydrochloride Tablets therapy for pain in patients for whom the anticipated benefit outweighs the risk of QT prolongation and development of dysrhythmias that have been reported with high doses of methadone.

The use of methadone in patients already known to have a prolonged QT interval has not been systematically studied.

2.12 Dosage Adjustment During Pregnancy

Methadone clearance may be increased during pregnancy. During pregnancy, a woman's methadone dose may need to be increased or the dosing interval decreased [see Use in Specific Populations (8.1)].

5.5 Neonatal Opioid Withdrawal Syndrome




Neonatal opioid withdrawal syndrome (NOWS) is an expected and treatable outcome  of use of opioids for an extended period of time during pregnancy.  Unlike opioid withdrawal syndrome in adults, NOWS may be life-threatening if not recognized and treated in the neonate. Advise the patient of the risk of NOWS so that appropriate planning for management of the neonate can occur. Healthcare professionals should observe newborns for signs of NOWS and manage accordingly [see Specific Populations (8.1)].

The balance between the risks of NOWS and the benefits of maternal Methadone Hydrochloride Tablets use may differ based on the risks associated with the mother’s underlying condition, pain or addiction, and the risks of the alternative treatments.

  • For management of pain, prescribers should discuss all available treatment options with females of reproductive potential, including non-opioid and non-pharmacologic options.

  • Untreated opioid addiction often results in continued or relapsing illicit opioid use and is associated with poor pregnancy outcomes. NOWS can result from in utero exposure to opioids regardless of the source. Therefore, prescribers should discuss the importance and benefits of management of opioid addiction throughout pregnancy.

5.17 Risks Driving and Operating Machinery


Methadone Hydrochloride Tablets may impair the mental or physical abilities needed to perform potentially hazardous activities such as driving a car or operating machinery. Warn patients not to drive or operate dangerous machinery unless they are tolerant to the effects of Methadone Hydrochloride Tablets and know how they will react to the medication[see Patient Counseling Information (17)].

5.2 Life Threatening Respiratory Depression


Serious, life-threatening, or fatal respiratory depression has been reported with the use of methadone, even when used as recommended. The peak respiratory depressant effect of methadone occurs later and persists longer than the peak analgesic effect. Respiratory depression from opioid use, if not immediately recognized and treated, may lead to respiratory arrest and death. Management of respiratory depression may include close observation, supportive measures, and use of opioid overdose reversal agents, depending on the patient’s clinical status [see Overdosage (10)]. Carbon dioxide (CO2) retention from opioid-induced respiratory depression can exacerbate the sedating effects of opioids.

While serious, life-threatening, or fatal respiratory depression can occur at any time during the use of Methadone Hydrochloride Tablets, the risk is greatest during the initiation of therapy or following a dosage increase. The peak respiratory depressant effect of methadone occurs later, and persists longer than the peak analgesic effect, especially during the initial dosing period.  Regularly evaluate patients for respiratory depression, when initiating therapy with Methadone Hydrochloride Tablets and following dose increases.

To reduce the risk of respiratory depression, proper dosing and titration of Methadone Hydrochloride Tablets  are essential  [see Dosage and Administration (2.4, 2.5)]. Overestimating the Methadone Hydrochloride Tablets  dosage when converting patients from another opioid product can result in fatal overdose with the first dose.

Accidental ingestion of even one dose of Methadone Hydrochloride Tablets, especially by children, can result in respiratory depression and death due to an overdose of methadone.

Educate patients and caregivers on how to recognize respiratory depression and emphasize the importance of calling 911 or getting emergency medical help right away in the event of a known or suspected overdose [see Patient Counseling Information (17)].

Opioids can cause sleep-related breathing disorders including central sleep apnea (CSA) and sleep-related hypoxemia. Opioid use increases the risk of CSA in a dose-dependent fashion. In patients who present with CSA, consider decreasing the opioid dosage using best practices for opioid taper [see Dosage and Administration (2.5)].

Patient Access to an Opioid Overdose Reversal Agent for the Emergency Treatment of Opioid Overdose

Inform patients and caregivers about opioid overdose reversal agents (e.g., naloxone, nalmefene) and discuss the importance of having access to an opioid overdose reversal agent. 



For Patients Being Treated for Pain

Discuss the importance of having access to an opioid overdose reversal agent, especially if the patient has risk factors for overdose (e.g., concomitant use of CNS depressants, a history of opioid use disorder, or prior opioid overdose) or if there are household members (including children) or other close contacts at risk for accidental ingestion or opioid overdose. The presence of risk factors for overdose should not prevent the proper management of pain in any given patient [see Dosage and Administration (2.3), Warnings and Precautions (5.1, 5.3), Overdosage (10)].



For Patients Being Treated for Opioid Addiction

Because patients being treated for opioid use disorder have the potential for relapse, putting them at risk for opioid overdose, strongly consider prescribing or recommending an opioid reversal agent for the emergency treatment of an opioid overdose, both when initiating and renewing treatment with Methadone Hydrochloride Tablets. Advise patients and caregivers that an opioid overdose reversal agent, such as naloxone or nalmefene, may also be administered for a known or suspected overdose with Methadone Hydrochloride Tablets itself [see Overdosage (10)].



For patients being treated with methadone (regardless of indication), also consider recommending or prescribing such an agent if the patient has household members (including children) or other close      contacts at risk for accidental ingestion or overdose.



Discuss the options for obtaining an opioid overdose reversal agent (e.g., prescription, over-the-counter, or as part of a community-based program).



There are important differences among the opioid overdose reversal agents, such as route of administration, product strength, approved patient age range, and pharmacokinetics. Be familiar with these differences, as outlined in the approved labeling for those products, prior to recommending or prescribing such an agent.



Educate patients and caregivers on how to recognize respiratory depression and how to use an opioid overdose reversal agent for the emergency treatment of opioid overdose. Emphasize the importance of calling 911 or getting emergency medical help, even if an opioid overdose reversal agent is administered. 

5.14 Risks of Gastrointestinal Complications


Methadone Hydrochloride Tablets  are contraindicated in patients with known or suspected gastrointestinal obstruction, including paralytic ileus.

The methadone in Methadone Hydrochloride Tablets  may cause spasm of the sphincter of Oddi. Opioids may cause increases in the serum amylase. Regularly Evaluate patients with biliary tract disease, including acute pancreatitis, for worsening symptoms.

Cases of opioid-induced esophageal dysfunction (OIED) have been reported in patients taking opioids. The risk of OIED may increase as the dose and/or duration of opioids increases. Regularly evaluate patients for signs and symptoms of OIED (e.g., dysphagia, regurgitation, non-cardiac chest pain) and, if necessary, adjust opioid therapy as clinically appropriate  [see Clinical Pharmacology (12.2)].





5.8 Opioid Induced Hyperalgesia and Allodynia


Opioid-Induced Hyperalgesia (OIH) occurs when an opioid analgesic paradoxically causes an increase in pain, or an increase in sensitivity to pain. This condition differs from tolerance, which is the need for increasing doses of opioids to maintain a defined effect [see Dependence (9.3)]. Symptoms of OIH include (but may not be limited to) increased levels of pain upon opioid dosage increase, decreased levels of pain upon opioid dosage decrease, or pain from ordinarily non-painful stimuli (allodynia). These symptoms may suggest OIH only if there is no evidence of underlying disease progression, opioid tolerance, opioid withdrawal, or addictive behavior. Cases of OIH have been reported, both with short-term and longer-term use of opioid analgesics. Though the mechanism of OIH is not fully understood, multiple biochemical pathways have been implicated. Medical literature suggests a strong biologic plausibility between opioid analgesics and OIH and allodynia. If a patient is suspected to be experiencing OIH, carefully consider appropriately decreasing the dose of the current opioid analgesic, or opioid rotation (safely switching the patient to a different opioid moiety) [see Dosage and Administration (2.6); Warnings and Precautions (5.17)]. 

8.3 Females and Males of Reproductive Potential

 Infertility

The effect of Methadone Hydrochloride Tablets on fertility is unknown.  Use of opioids for an extended period of time may cause reduced fertility in females and males of reproductive potential.. It is not known whether these effects on fertility are reversible [see Adverse Reactions (6), Clinical Pharmacology (12.2), Nonclinical Pharmacology (13.1)].Reproductive function in human males may be decreased by methadone treatment. Reductions in ejaculate volume and seminal vesicle and prostate secretions have been reported in methadone-treated individuals. In addition, reductions in serum testosterone levels and sperm motility, and abnormalities in sperm morphology have been reported.



In published animal studies, methadone produces a significant regression of sex accessory organs and testes of male mice and rats and administration of methadone to pregnant rats reduced fetal blood testosterone and androstenedione in male offspring [see Nonclinical Toxicology (13)].



2.5 Titration and Maintenance of Therapy for Pain

Individually titrate Methadone Hydrochloride Tablets to a dose that provides adequate analgesia and minimizes adverse reactions. Continually reevaluate patients receiving Methadone Hydrochloride Tablets to assess the maintenance of pain control, signs and symptoms of opioid withdrawal, and other adverse reactions, as well as reassessing for the development of addiction, abuse, or misuse [see Warnings and Precautions (5.1,5.16)]. Frequent communication is important among the prescriber, other members of the healthcare team, the patient, and the caregiver/family during periods of changing analgesic requirements, including initial titration. During use of opioid therapy for an extended period of time, periodically reassess the continued need for the use of opioid analgesics. 

Patients who experience breakthrough pain may require a dose increase of Methadone Hydrochloride Tablets or may need rescue medication with an appropriate dose of an immediate-release analgesic. If the level of pain increases after dosage stabilization, attempt to identify the source of increased pain before increasing the Methadone Hydrochloride Tablets dosage.

Because of individual variability in the pharmacokinetic profile (i.e., terminal half-life (T1/2) from 8 to 59 hours in different studies [see Clinical Pharmacology (12.3)] , titrate Methadone Hydrochloride Tablets slowly, with dose increases no more frequent than every 3 to 5 days. However, because of this high variability, some patients may require substantially longer periods between dose increases (up to 12 days). Monitor patients closely for the development of potentially life- threatening adverse reactions (e.g., CNS and respiratory depression).



If after increasing the dosage, unacceptable opioid-related adverse reactions are observed, (including an increase in pain after dosage increase), consider reducing the dosage [see Warnings and Precautions (5)]. Adjust the dose to obtain an appropriate balance between management of pain and opioid-related adverse reactions. 







13.1 Carcinogenesis, Mutagenesis, Impairment of Fertility

Carcinogenesis

The results of carcinogenicity assessment in B6C2F1 mice and Fischer 344 rats following dietary administration of two doses of methadone HCl have been published. Mice consumed 15 mg/kg/day or 60 mg/kg/day methadone for two years. These doses were approximately 0.6 and 2.5 times a human daily oral dose of 120 mg/day on a body surface area basis (HDD). There was a significant increase in pituitary adenomas in female mice treated with 15 mg/kg/day but not with 60 mg/kg/day. Under the conditions of the assay, there was no clear evidence for a treatment- related increase in the incidence of neoplasms in male rats. Due to decreased food consumption in males at the high dose, male rats consumed 16 mg/kg/day and 28 mg/kg/day of methadone for two years. These doses were approximately 1.3 and 2.3 times the HDD. In contrast, female rats consumed 46 mg/kg/day or 88 mg/kg/day for two years. These doses were approximately 3.7 and 7.1 times the HDD. Under the conditions of the assay, there was no clear evidence for a treatment-related increase in the incidence of neoplasms in either male or female rats.



Mutagenesis

There are several published reports on the potential genetic toxicity of methadone. Methadone tested positive in the in vivo mouse dominant lethal assay and the in vivo mammalian spermatogonial chromosome aberration test. Additionally, methadone tested positive in the E. coli DNA repair system and Neurospora crassa and mouse lymphoma forward mutation assays. In contrast, methadone tested negative in tests for chromosome breakage and disjunction and sex-linked recessive lethal gene mutations in germ cells of Drosophila using feeding and injection procedures.



Impairment of Fertility

Published animal studies show that methadone treatment of males can alter reproductive function. Methadone produces decreased sexual activity (mating) of male rats at 10 mg/kg/day (corresponding to 0.3 times the human daily oral dose of 120 mg/day based on body surface area). Methadone also produces a significant regression of sex accessory organs and testes of male mice and rats at 0.2 and 0.8 times the HDD, respectively. Methadone treatment of pregnant rats from Gestation Day 14 to 19 reduced fetal blood testosterone and androstenedione in males. Decreased serum levels of testosterone were observed in male rats that were treated with methadone (1.3 to 3.3 mg/kg/day for 14 days, corresponding to 0.1 to 0.3 times the HDD) or 10 to 15 mg/kg/day for 10 days (0.8 to 1.2 times the HDD).



2.4 Methadone Hydrochloride Tablets for Management of Pain

Important Dosage and Administration Information

Methadone Hydrochloride Tablets should be prescribed only by healthcare professionals who are knowledgeable about the use of extended-release/long-acting opioids and how to mitigate the associated risks.



Consider the following important factors thatdifferentiatemethadonefromother opioid analgesics:

  • There is high interpatient variability in absorption,metabolism,and relativeanalgesicpotency of methadone.Population-based equianalgesicconversion ratios betweenmethadoneandother opioids are not accuratewhenapplied to individuals.
  • The duration of analgesicaction of methadone is 4 to 8 hours(based on single-dosestudies) but the plasmaeliminationhalf-life is 8 to 59 hours.
  • With repeated dosing, the potency of methadoneincreases due to systemicaccumulation.
  • Steady-stateplasmaconcentrationsandfullanalgesiceffects are not attained until atleast 3 to 5 days on a dose, and maytakelonger in somepatient.                   

    Use the lowest effective dosage for the shortest duration of time consistent with individual patient treatment goals [see Warnings and Precautions (5)]. Because the risk of overdose increases as opioid doses increase, reserve titration to higher doses of Methadone Hydrochloride Tablets for patients in whom lower doses are insufficiently effective and in whom the expected benefits of using a higher dose opioid clearly outweigh the substantial risks.

  Initiate the dosing regimen for each patient individually, taking into account the patient’s underlying cause and severity of pain prior analgesic treatment and response, and risk factors for addiction, abuse, and misuse [see Warnings and Precautions (5.1)].

  Respiratory depression can occur at any time during opioid therapy, especially when initiating and following dosage increases with Methadone Hydrochloride Tablets. Consider this risk when selecting an initial dose and when making dose adjustments [see Warnings and Precautions (5)]. 







Conversion from OtherOral Opioids to Methadone Hydrochloride Tablets:

When Methadone Hydrochloride Tablets therapy is initiated, discontinue all other opioid analgesics other than those used on an as needed basis for breakthrough pain when appropriate. Deaths have occurred in opioid-tolerant patients during conversion to methadone.

 Thepotency of methadone relative to other opioid analgesics is nonlinearandincreases with increasing dose.Table 1 provides anestimated conversionfactorforusewhen convertingpatientsfromanother opioid to methadone. Because of the high inter-patient variability in absorption,metabolism,and relative potency, it is critical to avoid overestimating the methadonedosewhichcanlead to fatal respiratory depression. It is safer to underestimate a patients 24-hour methadonedosageand provide rescuemedication (e.g.,immediate-release opioid) than to overestimate the 24-hour methadonedosageandmanageanadversereaction due to anoverdose.



Consider the following whenusing the information in Table 1:

  • This is not a table of equianalgesicdoses.
  • Theconversion factors in this table are only for the conversion from another oral opioid analgesic to  Methadone Hydrochloride Tablets.
  • Thetable cannot be used to convert from    Methadone Hydrochloride Tablets to another opioid. Doingso will result in anoverestimation of the dose of the new opioid andmayresult in fatal overdose.


Table 1: Conversion Factors to Methadone Hydrochloride Tablets
Total Daily Baseline Oral                                                   EstimatedDaily Oral Methadone Requirement as Percent

Morphine Equivalent Dose of Total Daily Morphine Equivalent Dose



     < 100 mg                                                                             20% to 30%



   100 to 300 mg                                                                       10% to 20%



   300 to 600 mg                                                                         8% to 12%



   600 mg to 1,000 mg                                                               5% to 10%



   > 1,000 mg                                                                             < 5 %



Tocalculate the estimated   Methadone Hydrochloride Tablets doseusing Table 1:



  • Forpatients on a single opioid, sum the current total dailydose of the opioid, convert it to a Morphine Equivalent Doseaccording to specificconversionfactorforthatspecific opioid, then multiply the MorphineEquivalentDose by the correspondingpercentage in the abovetable to calculate the approximate oral methadonedailydose.

  Divide the totaldailymethadonedosederivedfrom the tableabove to reflect the intended dosing schedule(i.e.,foradministrationevery 8 hours, divide totaldailymethadonedose by 3).

  • Forpatients on a regimen of morethan one opioid, calculate the approximate oral methadonedoseforeach opioid and sum the totals to obtain the approximate totalmethadonedaily dose. Divide the totaldailymethadonedosederivedfrom the tableabove to reflect the intended dosing schedule(i.e.,foradministrationevery 8 hours,dividetotal dailymethadonedose by 3).
  • Forpatients on a regimen of fixed-ratio opioid/non-opioid analgesicproducts,use only the opioid component of these products in the conversion.

Always round the dose down, if necessary, to the appropriate Methadone Hydrochloride Tablets strength(s) available.

Example conversion from a single opioid to Methadone Hydrochloride Tablets:

Step 1:

Sum the total dailydose of the opioid (in this case,Morphine Extended ReleaseTablets 50 mg twicedaily)

50 mg Morphine Extended-ReleaseTablets 2 timesdaily = 100 mg total dailydose of Morphine

Step 2:

Calculate the approximate equivalent dose of Methadone Hydrochloride Tablets based on the total daily dose of Morphine using Table 1.

100 mg totaldailydose of Morphine x 15% (10% to 20% perTable 1) = 15 mg   Methadone Hydrochloride Tablets daily

Step 3:

Calculate the approximate startingdose of   Methadone Hydrochloride Tablets to be givenevery 12 hours.

Rounddown, if necessary, to the appropriate   Methadone Hydrochloride Tablets strengthsavailable.

 15 mg daily / 2 = 7.5 mg   Methadone Hydrochloride Tablets every 12 hours

 Then7.5 mg is rounded down to 5 mg   Methadone Hydrochloride Tablets every 12 hours



Closeobservation and frequent titration are warranted until painmanagement is stable on the new opioid.

Monitorpatientsforsignsandsymptoms of opioid withdrawal or forsigns of over-sedation/toxicityafterconverting patientstoMethadone Hydrochloride Tablets.



Conversionfrom ParenteralMethadone to Methadone Hydrochloride Tablets

Use a conversion ratio of 1:2 mg forparenteral to oral methadone(e.g., 5 mg parenteralmethadone to 10 mg oral methadone).







2.8 Titration and Maintenance Treatment of Opioid Dependence

Titrate patients in maintenance treatment to a dose that prevents opioid withdrawal symptoms for 24 hours, reduces drug hunger or craving, and blocks or attenuates the euphoric effects of self-administered opioids, ensuring that the patient is tolerant to the sedative effects of methadone. Most commonly, clinical stability is achieved at doses between 80 to 120 mg/day. During prolonged administration of methadone, monitor patients for persistent constipation and manage accordingly.

Package Label.principal Display Panel 5 Mg (100 Tablet Bottle)

13107-088-01

Methadone Hydrochloride Tablets, USP CII

5 mg

Pharmacist: A Medication Guide must be distributed with the medication upon dispensing.

Rx only      100 Tablets

5.9 Serotonin Syndrome With Concomitant Use of Serotonergic Drugs




Cases of serotonin syndrome, a potentially life -threatening condition, have been reported during concomitant use of Methadone Hydrochloride Tablets with serotonergic drugs. Serotonergic drugs include selective serotonin reuptake inhibitors (SSRIs), serotonin and norepinephrine reuptake inhibitors (SNRIs), tricyclic antidepressants (TCAs), triptans, 5-HT3 receptor antagonists, drugs that affect the serotonergic neurotransmitter system (e.g., mirtazapine, trazodone, tramadol), certain muscle relaxants (i.e., cyclobenzaprine, metaxalone), and drugs that impair metabolism of serotonin (including MAO inhibitors, both those intended to treat psychiatric disorders and also others, such as linezolid and intravenous methylene blue) [see Drug Interactions ( 7 )]. This may occur within the recommended dosage range.

Serotonin syndrome symptoms may include mental status changes (e.g., agitation, hallucinations, coma), autonomic instability (e.g., tachycardia, labile blood pressure, hyperthermia), neuromuscular aberrations (e.g., hyperreflexia, incoordination, rigidity), and/or gastrointestinal symptoms (e.g., nausea, vomiting, diarrhea). The onset of symptoms generally occurs within several hours to a few days of concomitant use but may occur later than that. Discontinue Methadone Hydrochloride Tablets if serotonin syndrome is suspected.



Package Label.principal Display Panel 10 Mg (100 Tablet Bottle)

13107-089-01

Methadone Hydrochloride Tablets, USP CII

10 mg

Pharmacist: A Medication Guide must be distributed with the medication upon dispensing

Rx only                     100 Tablets

5.15 Increased Risk of Seizures in Patients With Seizure Disorders




The methadone in Methadone Hydrochloride Tablets may increase the frequency of seizures in patients with seizure disorders and may increase the risk of seizures in other clinical settings associated with seizures. Regularly evaluate patients with a history of seizure disorders for worsened seizure control during Methadone Hydrochloride Tablets therapy.

5.6 Opioid Analgesic Risk Evaluation and Mitigation Strategy (rems)


To ensure that the benefits of opioid analgesics outweigh the risks of addiction, abuse, and misuse, the Food and Drug Administration (FDA) has required a Risk Evaluation and Mitigation Strategy (REMS) for these products. Under the requirements of the REMS, drug companies with approved opioid analgesic products must make REMS-compliant education programs available to healthcare providers. Healthcare providers are strongly encouraged to do all of the following:

• Complete a REMS-compliant education program offered by an accredited provider of continuing education (CE) or another education program that includes all the elements of the FDA Education Blueprint for Health Care Providers Involved in the Management or Support of Patients with Pain.

• Discuss the safe use, serious risks, and proper storage and disposal of opioid analgesics with patients and/or their caregivers every time these medicines are prescribed. The Patient Counseling Guide (PCG) can be obtained at this link: www.fda.gov/OpioidAnalgesicREMSPCG.

• Emphasize to patients and their caregivers the importance of reading the Medication Guide that they will receive from their pharmacist every time an opioid analgesic is dispensed to them.

• Consider using other tools to improve patient, household, and community safety, such as patient-prescriber agreements that reinforce patient-prescriber responsibilities.

To obtain further information on the opioid analgesic REMS and for a list of accredited REMS CME/CE, call 1-800-503­ 0784, or log on to www.opioidanalgesicrems.com. The FDA Blueprint can be found at www.fda.gov/OpioidAnalgesicREMSBlueprint.

5.3 Risks From Concomitant Use With Benzodiazepines Or Other Cns Depressants

Profound sedation, respiratory depression, coma, and death may result from the concomitant use of Methadone Hydrochloride Tablets with benzodiazepines and/or other CNS depressants (e.g., alcohol, non-benzodiazepine sedatives/hypnotics, anxiolytics, tranquilizers, muscle relaxants, general anesthetics, antipsychotics, gabapentinoids [ gabapentin or pregabalin] other opioids).

For Patients Being Treated for Pain

Because of these risks, reserve concomitant prescribing of these drugs for use in patients for whom alternative treatment options are inadequate.

Observational studies have demonstrated that concomitant use of opioid analgesics and benzodiazepines increases the risk of drug-related mortality compared to use of opioid analgesics alone. Because of similar pharmacological properties, it is reasonable to expect similar risk with the concomitant use of other CNS depressant drugs with opioid analgesics [see Drug Interactions (7)].

If the decision is made to prescribe a benzodiazepine or other CNS depressant concomitantly with an opioid analgesic, prescribe the lowest effective dosages and minimum durations of concomitant use. In patients already receiving an opioid analgesic, prescribe a lower initial dose of the benzodiazepine or other CNS depressant than indicated in the absence of an opioid, and titrate based on clinical response. If an opioid analgesic is initiated in a patient already taking a benzodiazepine or other CNS depressant, prescribe a lower initial dose of the opioid analgesic, and titrate based on clinical response. Inform patients and caregivers of this potential interaction, educate them on the signs and symptoms of respiratory depression (including sedation).

  If concomitant use is warranted, consider recommending or prescribing an opioid overdose reversal agent [see Dosage and Administration (2.3), Warnings and Precautions (5.3)].

Advise both patients and caregivers about the risks of respiratory depression and sedation when Methadone Hydrochloride Tablets  are used with benzodiazepines or other CNS depressants (including alcohol and illicit drugs). Advise patients not to drive or operate heavy machinery until the effects of concomitant use of the benzodiazepine or other CNS depressant have been determined. Screen patients for risk of substance use disorders, including opioid abuse and misuse, and warn them of the risk for overdose and death associated with the use of additional CNS depressants including alcohol and illicit drugs [see Drug Interactions (7) and Patient Counseling Information (17)].

For Patients Being Treated for Opioid Addiction

Concomitant use of methadone and benzodiazepines or other CNS depressants increases the risk of adverse reactions including overdose and death. Medication-assisted treatment of opioid use disorder, however, should not be categorically denied to patients taking these drugs. Prohibiting or creating barriers to treatment can pose an even greater risk of morbidity and mortality due to the opioid use disorder alone.

As a routine part of orientation to methadone treatment, educate patients about the risks of concomitant use of benzodiazepines, sedatives, opioid analgesics, or alcohol.

Develop strategies to manage use of prescribed or illicit benzodiazepines or other CNS depressants at admission to methadone treatment, or if it emerges as a concern during treatment. Adjustments to induction procedures and additional monitoring may be required. There is no evidence to support dose limitations or arbitrary caps of methadone as a strategy to address benzodiazepine use in methadone-treated patients. However, if a patient is sedated at the time of methadone dosing, ensure that a medically trained healthcare provider evaluates the cause of sedation, and delays or omits the methadone dose if appropriate.

Cessation of benzodiazepines or other CNS depressants is preferred in most cases of concomitant use. In some cases, monitoring in a higher level of care for taper may be appropriate. In others, gradually tapering a patient off a prescribed benzodiazepine or other CNS depressant or decreasing to the lowest effective dose may be appropriate.

For patients in methadone treatment, benzodiazepines are not the treatment of choice for anxiety or insomnia. Before co- prescribing benzodiazepines, ensure that patients are appropriately diagnosed and consider alternative medications and non-pharmacologic treatments to address anxiety or insomnia. Ensure that other healthcare providers prescribing benzodiazepines or other CNS depressants are aware of the patient’s methadone treatment and coordinate care to minimize the risks associated with concomitant use.

If concomitant use is warranted, strongly consider prescribing an opioid overdose reversal agent, as is recommended for all patients in methadone treatment for opioid use disorder  [see Warnings and Precautions (5.3)].

In addition, take measures to confirm that patients are taking the medications prescribed and not diverting or supplementing with illicit drugs. Toxicology screening should test for prescribed and illicit benzodiazepines  [see Drug Interactions (7)].

2.6 Safe Reduction and Discontinuation of Methadone Hydrochloride Tablets for Pain

Do not abruptly discontinue Methadone Hydrochloride Tablets in patients who may be physically dependent on opioids. Rapid reduction or abrupt discontinuation of opioid analgesics in patients who are physically dependent on opioids has resulted in serious withdrawal symptoms, uncontrolled pain, and suicide. Rapid reduction or abrupt discontinuation has also been associated with attempts to find other sources of opioid analgesics, which may be confused with drug-seeking for abuse. Patients may also attempt to treat their pain or withdrawal symptoms with illicit opioids, such as heroin, and other substances.



When a decision has been made to decrease the dose or discontinue therapy in an opioid-dependent patient taking Methadone Hydrochloride Tablets , there are a variety of factors that should be considered, including the total daily dose of opioid (including Methadone Hydrochloride Tablets)  the patient has been taking, the duration of treatment, the type of pain being treated, and the physical and psychological attributes of the patient. It is important to ensure ongoing care of the patient and to agree on an appropriate tapering schedule and follow- up plan so that patient and provider goals and expectations are clear and realistic. When opioid analgesics are being discontinued due to a suspected substance use disorder, evaluate and treat the patient, or refer for evaluation and treatment of the substance use disorder. Treatment should include evidence-based approaches, such as medication assisted treatment of opioid use disorder. Complex patients with co-morbid pain and substance use disorders may benefit from referral to a specialist.



There are no standard opioid tapering schedules that are suitable for all patients. Good clinical practice dictates a patient- specific plan to taper the dose of the opioid gradually. For patients on Methadone Hydrochloride Tablets  who are physically opioid-dependent, initiate the taper by a small enough increment (e.g., no greater than 10% to 25% of the total daily dose) to avoid withdrawal symptoms, and proceed with dose-lowering at an interval of every 2 to 4 weeks. Patients who have been taking opioids for briefer periods of time may tolerate a more rapid taper.



It may be necessary to provide the patient with lower dosage strengths to accomplish a successful taper. Reassess the patient frequently to manage pain and withdrawal symptoms, should they emerge. Common withdrawal symptoms include restlessness, lacrimation, rhinorrhea, yawning, perspiration, chills, myalgia, and mydriasis. Other signs and symptoms also may develop, including irritability, anxiety, backache, joint pain, weakness, abdominal cramps, insomnia, nausea, anorexia, vomiting, diarrhea, or increased blood pressure, respiratory rate, or heart rate. If withdrawal symptoms arise, it may be necessary to pause the taper for a period of time or raise the dose of the opioid analgesic to the previous dose, and then proceed with a slower taper. In addition, evaluate patients for any changes in mood, emergence of suicidal thoughts, or use of other substances.



When managing patients taking opioid analgesics, particularly those who have been treated for an extended period of time and/or with high doses for chronic pain, ensure that a multimodal approach to pain management, including mental health support (if needed), is in place prior to initiating an opioid analgesic taper. A multimodal approach to pain management may optimize the treatment of chronic pain, as well as assist with the successful tapering of the opioid analgesic [see Warnings and Precautions (5.16), Drug Abuse and Dependence (9.3)].



2.10 Risk of Relapse in Patients On Methadone Maintenance Treatment of Opioid Addiction

Abrupt opioid discontinuation can lead to development of opioid withdrawal symptoms [see Drug Abuse and Dependence (9.3)]. Opioid withdrawal symptoms have been associated with an increased risk of relapse to illicit drug use in susceptible patients.

2.11 Considerations for Management of Acute Pain During Methadone Maintenance Treatment

Patients in methadone maintenance treatment for opioid dependence who experience physical trauma, postoperative pain or other acute pain cannot be expected to derive analgesia from their existing dose of methadone. Such patients should be administered analgesics, including opioids, in doses that would otherwise be indicated for non-methadone-treated patients with similar painful conditions. When opioids are required for management of acute pain in methadone maintenance patients, somewhat higher and/or more frequent doses will often be required than would be the case for non-tolerant patients due to the opioid tolerance induced by methadone.

Warning: Serious and Life Threatening Risks From Use of Methadone Hydrochloride Tablets


Addiction, Abuse, and Misuse

Because the use of Methadone Hydrochloride Tablets exposes patients and other users to the  risks of opioid addiction, abuse, and misuse, which can lead to overdose and death, assess each patient’s risk prior to prescribing and reassess all patients regularly for the development of these behaviors and conditions [see Warnings and Precautions (5.1)]. 

Life-Threatening Respiratory Depression

Serious, life-threatening, or fatal respiratory depression may occur with use of Methadone Hydrochloride Tablets, especially during initiation or following a dose increase. To reduce the risk of respiratory depression, proper dosage and titration of Methadone Hydrochloride Tablets are essential [see Warnings and Precautions (5.6)].

Accidental Ingestion

Accidental ingestion of even one dose of Methadone Hydrochloride Tablets, especially by children, can result in a fatal overdose of methadone [see Warnings and Precautions (5.1)].

Risks From Concomitant Use With Benzodiazepines Or Other CNS Depressants

Concomitant use of opioids with benzodiazepines or other central nervous system (CNS) depressants, including alcohol, may result in profound sedation, respiratory depression, coma, and death. Reserve concomitant prescribing of Methadone Hydrochloride Tablets and benzodiazepines or other CNS depressants for use in patients for whom alternatives to benzodiazepines or other CNS depressants are inadequate. [see Warnings and Precautions (5.2), Drug Interactions (7)].

Neonatal Opioid Withdrawal Syndrome (NOWS)

Neonatal opioid withdrawal syndrome (NOWS) is an expected and treatable outcome of use of Methadone Hydrochloride Tablets during pregnancy. NOWS may be life-threatening if not recognized and treated in the neonate. The balance between the risks of NOWS and the benefits of maternal Methadone Hydrochloride Tablets use may differ based on the risks associated with the mother’s underlying condition, pain, or addiction. Advise the patient of the risk of NOWS so that appropriate planning for management of the neonate can occur [see Warnings and Precautions (5.5)]. 

Opioid Analgesic Risk Evaluation and Mitigation Strategy (REMS)

Healthcare providers are strongly encouraged to complete a REMS-compliant education program, and to counsel patients and their caregivers on serious risks, safe use, and the importance of reading the Medication Guide with each prescription [See Warnings and Precautions (5.6)].

Life-Threatening QT Prolongation

QT interval prolongation and serious arrhythmia (torsades de pointes) have occurred during treatment with methadone. Most cases involve patients being treated for pain with large, multiple daily doses of methadone, although cases have been reported in patients receiving doses commonly used for maintenance treatment of opioid addiction. Closely monitor patients with risk factors for development of prolonged QT interval, a history of cardiac conduction abnormalities, and those taking medications affecting cardiac conduction for changes in cardiac rhythm during initiation and titration of Methadone Hydrochloride Tablets [see Warnings and Precautions (5.4)].

Cytochrome P450 Interaction

The concomitant use of Methadone Hydrochloride Tablets with all cytochrome P450 3A4, 2B6, 2C19, 2C9 or 2D6 inhibitors may result in an increase in methadone plasma concentrations, which could cause potentially fatal respiratory depression. In addition, discontinuation of concomitantly used cytochrome P450 3A4 2B6, 2C19, or 2C9 inducers may also result in an increase in methadone plasma concentration. Follow patients closely for respiratory depression and sedation and consider dosage reduction with any changes of concomitant medications that can result in an increase in methadone levels [see Warnings and Precautions (5.7), Drug interactions (7)].

Conditions For Distribution And Use Of Methadone Products For The Treatment Of Opioid Addiction 

For detoxification and maintenance of opioid dependence, methadone should be administered in accordance with the treatment standards cited in 42 CFR Section 8, including limitations on unsupervised administration [see Indications and Usage (1), Dosage And Administration (2.1)].



2.7 Induction/initial Dosing for Detoxification and Maintenance Treatment of Opioid Addiction
  Fordetoxification andmaintenance of opioid dependence,methadoneshould be administered in accordance with the treatmentstandardscited in 42 CFRSection 8.12,including limitations on unsupervisedadministration.

Administer the initial methadone dose under supervision, when there are no signs of sedation or intoxication, and the patient shows symptoms of withdrawal. An initial single dose of 20 to 30 mg of Methadone Hydrochloride Tablets will often be sufficient to suppress withdrawal symptoms. The initial dose should not exceed 30 mg.

To make same-day dosing adjustments, have the patient wait 2 to 4 hours for further evaluation, when peak levels have been reached. Provide an additional 5 to 10 mg of Methadone Hydrochloride Tablets if withdrawal symptoms have not been suppressed or if symptoms reappear.

The total daily dose of Methadone Hydrochloride Tablets on the first day of treatment should not ordinarily exceed 40 mg. Adjust the dose over the first week of treatment based on control of withdrawal symptoms at the time of expected peak activity (e.g., 2 to 4 hours after dosing). When adjusting the dose, keep in mind that methadone levels will accumulate over the first several days of dosing; deaths have occurred in early treatment due to the cumulative effects. Instruct patients that the dose will “hold” for a longer period of time as tissue stores of methadone accumulate.

Use lower initial doses for patients whose tolerance is expected to be low at treatment entry. Any patient who has not taken opioids for more than 5 days may no longer be tolerant. Do not determine initial doses based on previous treatment episodes or dollars spent per day on illicit drug use.

During the induction phase of methadone maintenance treatment, patients are being withdrawn from opioids and may have opioid withdrawal symptoms. Monitor patients for signs and symptoms of opioid withdrawal including: lacrimation, rhinorrhea, sneezing, yawning, excessive perspiration, goose-flesh, fever, chilling alternating with flushing, restlessness, irritability, weakness, anxiety, depression, dilated pupils, tremors, tachycardia, abdominal cramps, body aches, involuntary twitching and kicking movements, anorexia, nausea, vomiting, diarrhea, intestinal spasms, and weight loss and consider dose adjustment as indicated.

Short-term Detoxification

For a brief course of stabilization followed by a period of medically supervised withdrawal, titrate the patient to a total daily dose of about 40 mg in divided doses to achieve an adequate stabilizing level. After 2 to 3 days of stabilization, gradually decrease the dose of Methadone Hydrochloride Tablets . Decrease the dose of Methadone Hydrochloride Tablets  on a daily basis or at 2-day intervals, keeping the amount of Methadone Hydrochloride Tablets  sufficient to keep withdrawal symptoms at a tolerable level. Hospitalized patients may tolerate a daily reduction of 20% of the total daily dose. Ambulatory patients may need a slower schedule.

2.9 Medically Supervised Withdrawal After A Period of Maintenance Treatment for Opioid Addiction

There is considerable variability in the appropriate rate of methadone taper in patients choosing medically supervised withdrawal from methadone treatment. Dose reductions should generally be less than 10% of the established tolerance or maintenance dose, and 10 to 14-day intervals should elapse between dose reductions. Apprise patients of the high risk of relapse to illicit drug use associated with discontinuation of methadone maintenance treatment.

2.1 Conditions for Distribution and Use of Methadone Products for the Treatment of Opioid Addiction

Code of FederalRegulations,Title 42, Sec 8: Methadone products when usedfor the treatment of opioid addiction in detoxification or maintenanceprograms,shall be dispensed only by opioid treatmentprograms (and agencies, practitioners or institutions by formalagreement with the programsponsor)certified by the SubstanceAbuseand Mental Health ServicesAdministration andapproved by the designatedstate authority. Certified treatmentprogramsshalldispenseand usemethadone in oral form only and according to the treatment requirements stipulated in the Federal Opioid Treatment Standards (42 CFR8.12).Seebelowforimportantregulatory exceptions to the general requirement forcertification to provide opioid agonisttreatment.





Failure to abide by the requirements in these regulations mayresult in criminal prosecution,seizure of the drugsupply,revocation of the program approval,and injunction precluding operation of the program.



Regulatory Exceptions to the GeneralRequirementforCertification to Provide Opioid AgonistTreatment:

  • During inpatientcare,when the patientwasadmittedforany conditionotherthanconcurrent opioid addiction(pursuant to 21CFR1306.07(c)), to facilitate the treatment of the primary admittingdiagnosis).
  • During anemergency period of no longerthan 3 days while definitive carefor the addiction is beingsought in an appropriately licensed facility (pursuant to 21CFR 1306.07(b)).




2.3 Patient Access An Opioid Overdose Reversal Agent for the Emergency Treatment of Opioid Overdose


Inform patients and caregivers about opioid overdose reversal agents (e.g., naloxone, nalmefene) and discuss the importance of having access to an opioid overdose reversal agent. [see Warnings and Precautions (5.2), Overdosage (10)].



For Patients Being Treated for Pain

Discuss the importance of having access to an opioid overdose reversal agent, especially if the patient has risk factors for overdose (e.g., concomitant use of CNS depressants, a history of opioid use disorder, or prior opioid overdose) or if there are household members (including children) or other close contacts at risk for accidental ingestion or opioid overdose. The presence of risk factors for overdose should not prevent the proper management of pain in any given patient [see Warnings and Precautions (5.1, 5.2, 5.3)].



For Patients Being Treated for Opioid Addiction

Because patients being treated for opioid use disorder have the potential for relapse, putting them at risk for opioid overdose, strongly consider recommending or prescribing an overdose reversal agent for the emergency treatment of opioid overdose, both when initiating and renewing treatment with Methadone Hydrochloride Tablets. Advise patients and caregivers that an opioid overdose reversal agent, such as naloxone or nalmefene may also be administered for a known or suspected overdose with Methadone Hydrochloride Tablets itself [see Overdosage (10)].



For patients being treated with methadone (regardless of indication), also consider recommending or prescribing such an agent if the patient has household members (including children) or other close contacts at risk for accidental ingestion or overdose. 



Discuss the options for obtaining an opioid overdose reversal agent (e.g., prescription, over-the-counter, or as part of a community-based program) [see Warnings and Precautions (5.2)].



There are important differences among the opioid overdose reversal agents, such as route of administration, product strength, approved patient age range, and pharmacokinetics. Be familiar with these differences, as outlined in the approved labeling for those products, prior to recommending or prescribing such an agent





5.13 Risks of Use in Patients With Increased Intracranial Pressure, Brain Tumors, Head Injury, Or Impaired Consciousness


In patients who may be susceptible to the intracranial effects of CO2 retention (e.g., those with evidence of increased intracranial pressure or brain tumors) Methadone Hydrochloride Tablets may reduce respiratory drive, and the resultant CO2 retention can further increase intracranial pressure. Monitor such patients for signs of sedation and respiratory depression, particularly when initiating therapy with Methadone Hydrochloride Tablets.

Opioids may also obscure the clinical course in a patient with a head injury.

Avoid the use of Methadone Hydrochloride Tablets in patients with impaired consciousness or coma.

5.10 Life Threatening Respiratory Depression in Patients With Chronic Pulmonary Disease Or in Elderly, Cachectic, Or Debilitated Patients




The use of Methadone Hydrochloride Tablets in patients with acute or severe bronchial asthma in an unmonitored setting or in the absence of resuscitative equipment is contraindicated.

Patients with Chronic Pulmonary Disease

Methadone Hydrochloride Tablets Tablets-treated patients with significant chronic obstructive pulmonary disease or cor pulmonale, and those with a substantially decreased respiratory reserve, hypoxia, hypercapnia, or pre-existing respiratory depression are at increased risk of decreased respiratory drive including apnea, even at recommended dosages of Methadone Hydrochloride Tablets. [see Warnings and Precautions (5.3)].

Elderly, Cachectic, or Debilitated Patients

Life-threatening respiratory depression is more likely to occur in elderly, cachectic, or debilitated patients because they may have altered pharmacokinetics or altered clearance compared to younger, healthier patients [see Warnings and Precautions (5.3)].

Regularly evaluate patients, particularly when initiating and titrating Methadone Hydrochloride Tablets and when Methadone Hydrochloride Tablets are given concomitantly with other drugs that depress respiration [see Warnings and Precautions (5.3, 5.7), Drug Interactions (7)]]. Alternatively, consider the use of non-opioid analgesics in these patients.

5.7 Risks of Concomitant Use of Cytochrome P450 3a4, 2b6, 2c19, 2c9, Or 2d6 Inhibitors Or Discontinuation of P450 3a4, 2b6, 2c19, Or 2c9 Inducers


Concomitant use of Methadone Hydrochloride Tablets with CYP3A4, CYP2B6, CYP2C19, CYP2C9, or CYP2D6 inhibitors, may increase plasma concentrations of methadone, prolong opioid adverse reactions, and may cause potentially fatal respiratory depression, particularly when an inhibitor is added after a stable dosage of Methadone Hydrochloride Tablets is achieved. Similarly, discontinuation of concomitant CYP3A4, CYP2B6, CYP2C19, or CYP2C9 inducers in METHADONE HYDROCHLORIDE TABLETS - treated patients may increase methadone plasma concentrations resulting in fatal respiratory depression. Consider dosage reduction of Methadone Hydrochloride Tablets when using concomitant CYP3A4, CYP2B6, CYP2C19, CYP2C9 or CYP2D6 inhibitors or discontinuing CYP3A4, CYP2B6, CYP2C19, or CYP2C9 inducers in methadone-treated patients, and evaluate patients closely at frequent intervals for signs and symptoms of respiratory depression and sedation [see Drug Interactions (7)].

Addition of CYP3A4, CYP2B6, CYP2C19, or CYP2C9 inducers or discontinuation of CYP3A4, CYP2B6, CYP2C19, CYP2C9, or CYP2D6 inhibitors in patients treated with Methadone Hydrochloride Tablets may decrease methadone plasma concentrations, reducing efficacy and may lead to opioid withdrawal symptoms in patients physically dependent on methadone. When using Methadone Hydrochloride Tablets with CYP3A4, CYP2B6, CYP2C19, or CYP2C9 inducers or discontinuing CYP3A4, CYP2B6, CYP2C19, CYP2C9, or CYP2D6 inhibitors, assess patients for signs or symptoms of opioid withdrawal and consider increasing the Methadone Hydrochloride Tablets dosage as needed [see Drug Interactions (7)].






Structured Label Content

Section 43683-2 (43683-2)

Boxed Warning                                                                          10/2025

Dosage and Administration (2.3, 2.4,2.6)                                  10/2025

Warnings and Precautions (5.1,5.2,5.3,5.14,5.16)                     10/2025

9.2 Abuse


Methadone Hydrochloride Tablets contain methadone, a substance with high potential for misuse and abuse, which can lead to the development of substance use disorder, including addiction [see Warnings and Precautions (5.1)].

Misuse is the intentional use, for therapeutic purposes, of a drug by an individual in a way other than prescribed by a healthcare provider or for whom it was not prescribed.

Abuse is the intentional, non-therapeutic use of a drug, even once, for its desirable psychological or physiological effects.

Drug addiction is a cluster of behavioral, cognitive, and physiological phenomena that may include a strong desire to take the drug, difficulties in controlling drug use (e.g., continuing drug use despite harmful consequences, giving a higher priority to drug use than other activities and obligations), and possible tolerance or physical dependence.

Misuse and abuse of Methadone Hydrochloride Tablets increases risk of overdose, which may lead to central nervous system and respiratory depression, hypotension, seizures, and death. The risk is increased with concurrent abuse of Methadone Hydrochloride Tablets with alcohol and other CNS depressants. Abuse of and addiction to opioids in some individuals may not be accompanied by concurrent tolerance and symptoms of physical dependence. In addition, abuse of opioids can occur in the absence of

addiction.

All patients treated with opioids require careful and frequent reevaluation for signs of misuse, abuse, and addiction, because use of opioid analgesic products carries the risk of addiction even under appropriate medical use. Patients at high risk of Methadone Hydrochloride Tablets abuse include those with a history of prolonged use of any opioid, including products containing methadone, those with a history of drug or alcohol abuse, or those who use Methadone Hydrochloride Tablets in combination with other abused drugs.

“Drug-seeking” behavior is very common in persons with substance use disorders. Drug-seeking tactics include emergency calls or visits near the end of office hours, refusal to undergo appropriate examination, testing, or referral, repeated “loss” of prescriptions, tampering with prescriptions, and reluctance to provide prior medical records or contact information for other treating healthcare provider(s). “Doctor shopping” (visiting multiple prescribers to obtain additional prescriptions) is common among people who abuse drugs and people with substance use disorder. Preoccupation with achieving adequate pain relief can be appropriate behavior in a patient with inadequate pain control.

Methadone Hydrochloride Tablets, like other opioids, can be diverted for nonmedical use into illicit channels of distribution. Careful record-keeping of prescribing information, including quantity, frequency, and renewal requests, as required by state and federal law, is strongly advised.

Proper assessment of the patient, proper prescribing practices, periodic reevaluation of therapy, and proper dispensing and storage are appropriate measures that help to limit abuse of opioid drugs.

Risks Specific to Abuse of Methadone Hydrochloride Tablets

Abuse of Methadone Hydrochloride Tablets poses a risk of overdose and death. The risk is increased with concurrent use of Methadone Hydrochloride Tablets with alcohol and/or other CNS depressants.



Methadone Hydrochloride Tablets is approved for oral use only. Inappropriate intravenous, intramuscular, or subcutaneous use of Methadone Hydrochloride Tablets can result in death, local tissue necrosis, infection, pulmonary granulomas, increased risk of endocarditis, and valvular heart injury, and embolism.

Parenteral drug abuse is commonly associated with transmission of infectious diseases such as hepatitis and HIV.

10 Overdosage (10 OVERDOSAGE)

Clinical Presentation

Acute overdosage with methadone can be manifested by respiratory depression somnolence progressing to stupor or coma, skeletal-muscle flaccidity, cold and clammy skin, constricted pupils, and, in some cases, pulmonary edema, bradycardia, hypotension, hypoglycemia, partial or complete airway obstruction, atypical snoring, and death. Marked mydriasis rather than miosis may be seen with hypoxia in overdose situations [see Clinical Pharmacology (12.2)]. In severe overdosage, particularly by the intravenous route, apnea, circulatory collapse, cardiac arrest, and death may occur.

Methadone overdosage is associated with rhabdomyolysis. Seek medical attention, especially if abuse/misuse results in prolonged immobilization.  Toxic leukoencephalopathy has been reported after opioid overdose and can present hours, days, or weeks after apparent recovery from the initial intoxication. Hearing loss has been reported after methadone overdose, in some cases permanent.

Treatment of Overdose

In case of overdose, priorities are the re-establishment of a patent and protected airway and institution of assisted or controlled ventilation, if needed. Employ other supportive measures (including oxygen, vasopressors) in the management of circulatory shock and pulmonary edema as indicated. Cardiac arrest or arrhythmias will require advanced life support measures.

For clinically significant respiratory or circulatory depression secondary to opioid overdose, administer an opioid overdose reversal agent such as naloxone or nalmefene.  

Because the duration of reversal would be expected to be less than the duration of action of methadone in Methadone Hydrochloride Tablets, carefully monitor the patient until spontaneous respiration is reliably reestablished. If the response to opioid antagonists is suboptimal or not sustained, administer additional antagonist as directed in the product's prescribing information.

In an individual physically dependent on opioids, administration of the recommended usual dosage of the overdose reversal agent will precipitate an acute withdrawal syndrome. The severity of the withdrawal symptoms experienced will depend on the degree of physical dependence and the dose of the reversal agent administered. If a decision is made to treat serious respiratory depression in the physically dependent patient, administration of the reversal agent should be begun with care and by titration with smaller than usual doses of the reversal agent.



8.1 Pregnancy






Risk Summary

The majority of available data from clinical trials, observational studies, case series, and case reports on methadone use in pregnancy do not indicate an increased risk of major malformations specifically due to methadone.

Pregnant women involved in methadone maintenance programs have been reported to have improved prenatal care leading to reduced incidence of obstetric and fetal complications and neonatal morbidity and mortality when compared to women using illicit drugs. Several factors, including maternal use of illicit drugs, nutrition, infection and psychosocial circumstances, complicate the interpretation of investigations of the children of women who take methadone during pregnancy. Information is limited regarding dose and duration of methadone use during pregnancy, and most maternal exposure in these studies appears to occur after the first trimester of pregnancy (see Data).

Neonatal opioid withdrawal syndrome (NOWS) is an expected and treatable outcome of use of opioids for an extended period of time during pregnancy [see Warnings and Precautions (5.5)].

In published animal reproduction studies, methadone administered subcutaneously during the early gestational period produced neural tube defects (i.e., exencephaly and cranioschisis) in the hamster at doses 2 times the human daily oral dose of 120 mg/day on a mg/m2 basis (HDD) and in mice at doses equivalent to the HDD. Administration of methadone to pregnant animals during organogenesis and through lactation resulted decreased litter size, increased pup mortality, decreased pup body weights, developmental delays, and long-term neurochemical changes in the brain of offspring which correlate with altered behavioral responses that persist through adulthood at exposures comparable to and less than the HDD. Administration of methadone to male rodents prior to mating with untreated females resulted in increased neonatal mortality and significant differences in behavioral tests in the offspring at exposures comparable to and less than the HDD (see Data). Based on animal data, advise pregnant women of the potential risk to a fetus.

The estimated background risk of major birth defects and miscarriage for the indicated population is unknown. All pregnancies have a background risk of birth defect, loss, or other adverse outcomes. In the U.S. general population, the estimated background risk of major birth defects and miscarriage in clinically recognized pregnancies is 2% to 4% and 15% to 20%, respectively.

Clinical Considerations

Disease-associated Maternal and Embryo-fetal Risk: Untreated opioid addiction in pregnancy is associated with adverse obstetrical outcomes such as low birth weight, preterm birth, and fetal death. In addition, untreated opioid addiction often results in continued or relapsing illicit opioid use.

Dosage Adjustment During Pregnancy: Dosage adjustment using higher doses or administering the daily dose in divided doses may be necessary in pregnant women treated with Methadone Hydrochloride Tablets. Pregnant women appear to have significantly lower trough plasma methadone concentrations, increased plasma methadone clearance, and shorter methadone half-life than after delivery [see Dosage and Administration (2.9) and Clinical Pharmacology (12.3)]. Withdrawal signs and symptoms should be closely monitored and the dose adjusted as necessary.

Fetal/Neonatal Adverse Reactions: Neonatal opioid withdrawal syndrome may occur in newborn infants of mothers who are receiving treatment with Methadone Hydrochloride Tablets.

Neonatal opioid withdrawal syndrome presents as irritability, hyperactivity and abnormal sleep pattern, high pitched cry, tremor, vomiting, diarrhea, and/or failure to gain weight. Signs of neonatal withdrawal usually occur in the first days after birth. The duration and severity of neonatal opioid withdrawal syndrome may vary. Observe newborns for signs of neonatal opioid withdrawal syndrome and manage accordingly[see Warnings and Precautions (5.6)].

Labor or Delivery: Opioid-dependent women on methadone maintenance therapy may require additional analgesia during labor.

Monitor neonates exposed to opioid analgesics during labor for signs of excess sedation and respiratory depression.

Data

Human Data: The majority of available data from clinical trials, observational studies, case series, and case reports on methadone use in pregnancy do not indicate an increased risk of major malformations specifically due to methadone. Findings regarding specific major malformations, decreased fetal growth, premature birth and sudden infant death syndrome have been inconsistent. Children prenatally exposed to methadone have been reported to demonstrate mild but persistent deficits in performance on psychometric and behavioral tests and visual abnormalities.

In a multicenter, double-blind, randomized, controlled trial [Maternal Opioid Treatment: Human Experimental Research (MOTHER)] designed primarily to assess neonatal opioid withdrawal effects, opioid-dependent pregnant women were randomized to buprenorphine (n=86) or methadone (n=89) treatment, with enrollment at an average gestational age of 18.7 weeks in both groups. A total of 28 of the 86 women in the buprenorphine group (33%) and 16 of the 89 women in the methadone group (18%) discontinued treatment before the end of pregnancy.

Among women who remained in treatment until delivery, there was no difference between methadone-treated and buprenorphine-treated groups in the number of neonates requiring NOWS treatment or in the peak severity of NOWS. Buprenorphine-exposed neonates required less morphine (mean total dose, 1.1 mg vs. 10.4 mg), had shorter hospital stays (10.0 days vs. 17.5 days), and shorter duration of treatment for NOWS (4.1 days vs. 9.9 days) compared to the methadone-exposed group. There were no differences between groups in other primary outcomes (neonatal head circumference), or secondary outcomes (weight and length at birth, preterm birth, gestational age at delivery, and 1­ minute and 5-minute Apgar scores), or in the rates of maternal or neonatal adverse events. The outcomes among mothers who discontinued treatment before delivery and may have relapsed to illicit opioid use are not known. Because of the imbalance in discontinuation rates between the methadone and buprenorphine groups, the study findings are difficult to interpret.

Animal Data: Formal reproductive and developmental toxicology studies for methadone have not been conducted. Exposure margins for the following published study reports are based on a human daily dose (HDD) of 120 mg methadone using a body surface area comparison.

In a published study in pregnant hamsters, a single subcutaneous dose of methadone ranging from 31 mg/kg (2 times the HDD) to 185 mg/kg on Gestation Day 8 resulted in a decrease in the number of fetuses per litter and an increase in the percentage of fetuses exhibiting neural tube defects including exencephaly, cranioschisis, and “various other lesions.” The majority of the doses tested also resulted in maternal death. In a study in pregnant JBT/Jd mice, a single subcutaneous dose of 22 to 24 mg/kg methadone (approximately equivalent to the HDD) administered on Gestation Day 9 produced exencephaly in 11% of the embryos. In another study in pregnant mice, subcutaneous doses up to 28 mg/kg/day methadone (equivalent to the HDD) administered from Gestation Day 6 to 15 resulted in no malformations, but there were increased post-implantation loss and decreased live fetuses at 10 mg/kg/day or greater (0.4 times the HDD) and decreased ossification and fetal body weight at 20 mg/kg/day or greater (0.8 times the HDD). In a second study of  pregnant mice dosed with subcutaneous doses up to 28 mg/kg/day methadone from Gestation Day 6 to 15, there was decreased pup viability, delayed onset of development of negative phototaxis and eye opening, increased righting reflexes at 5 mg/kg/day or greater (0.2 times the HDD), and decreased number of live pups at birth and decreased pup weight gain at 20 mg/kg/day or greater (0.8 times the HDD).

No effects were reported in a study of pregnant rats and rabbits at oral doses up to 40 mg/kg (3 and 6 times, respectively, the HDD) administered from Gestation Days 6 to 15 and 6 to 18, respectively.

When pregnant rats were treated with intraperitoneal doses of 2.5, 5, or 7.5 mg/kg methadone from one week prior to mating, through gestation until the end of lactation period, 5 mg/kg or greater (0.4 times the HDD) methadone resulted in decreases in litter size and live pups born and 7.5 mg/kg (0.6 times the HDD) resulted in decreased birth weights. Furthermore, decreased pup viability and pup body weight gain at 2.5 mg/kg or greater (0.2 times the HDD) were noted during the preweaning period.

Additional animal data demonstrate evidence for neurochemical changes in the brains of offspring from methadone- treated pregnant rats, including changes to the cholinergic, dopaminergic, noradrenergic and serotonergic systems at doses below the HDD. Other animal studies have reported that prenatal and/or postnatal exposure to opioids including methadone alters neuronal development and behavior in the offspring including alterations in learning ability, motor activity, thermal regulation, nociceptive responses, and sensitivity to drugs at doses below the HDD. Treatment of pregnant rats subcutaneously with 5 mg/kg methadone from Gestation Day 14 to 19 (0.4 times the HDD) reduced fetal blood testosterone and androstenedione in males.

Published animal data have reported increased neonatal mortality in the offspring of male rodents that were treated with methadone at doses comparable to and less than the HDD for 1 to 12 days before and/or during mating (with more pronounced effects in the first 4 days). In these studies, the female rodents were not treated with methadone, indicating paternally mediated developmental toxicity. Specifically, methadone administered to the male rat prior to mating with methadone-naïve females resulted in decreased weight gain in progeny after weaning. The male progeny demonstrated reduced thymus weights, whereas the female progeny demonstrated increased adrenal weights. Behavioral testing of these male and female progeny revealed significant differences in behavioral tests compared to control animals, suggesting that paternal methadone exposure can produce physiological and behavioral changes in progeny in this model. Examination of uterine contents of methadone-naïve female mice bred to methadone-treated male mice (once a day for three consecutive days) indicated that methadone treatment produced an increase in the rate of preimplantation deaths in all post-meiotic states at 1 mg/kg/day or greater (0.04 times the HDD). Chromosome analysis revealed a dose-dependent increase in the frequency of chromosomal abnormalities at 1 mg/kg/day or greater.

Studies demonstrated that methadone treatment of male rats for 21 to 32 days prior to mating with methadone-naïve females did not produce any adverse effects, suggesting that prolonged methadone treatment of the male rat resulted in tolerance to the developmental toxicities noted in the progeny. Mechanistic studies in this rat model suggest that the developmental effects of “paternal” methadone on the progeny appear to be due to decreased testosterone production. These animal data mirror the reported clinical findings of decreased testosterone levels in human males on methadone maintenance therapy for opioid addiction and in males receiving chronic intraspinal opioids.



8.2 Lactation


Risk Summary

Based on two small clinical studies, methadone was present in low levels in human milk, but the exposed infants in these studies did not show adverse reactions. Based on an average milk consumption of 150 mL/kg/day, an infant would consume approximately 17.4 mcg/kg/day which is approximately 2% to 3% of the oral maternal dose. There have been rare case reports of sedation and respiratory depression in infants exposed to methadone through breast milk (see Data). Monitor infants exposed to METHADONE HYDROCHLORIDE tablets through breastmilk for excess sedation and respiratory depression. The developmental and health benefits of breastfeeding should be considered along with the mother’s clinical need for methadone and any potential adverse effects on the breastfed child from the drug or from the underlying maternal condition.



Data

In a study of ten breastfeeding women maintained on oral methadone doses of 10 to 80 mg/day, methadone concentrations from 50 to 570 mcg/L in milk were reported, which, in the majority of samples, were lower than maternal serum drug concentrations at steady state. Peak methadone levels in milk occur approximately 4 to 5 hours after an oral dose.

In a study of twelve breastfeeding women maintained on oral methadone doses of 20 to 80 mg/day, methadone concentrations from 39 to 232 mcg/L in milk were reported. Based on an average milk consumption of 150 mL/kg/day, an infant would consume approximately 17.4 mcg/kg/day, which is approximately 2% to 3% of the oral maternal dose.

Methadone has been detected in very low plasma concentrations in some infants whose mothers were taking methadone.



11 Description (11 DESCRIPTION)



Methadone Hydrochloride is chemically described as 6-(dimethylamino)-4,4-diphenyl-3-hepatanone hydrochloride. Methadone Hydrochloride USP is a white powder. Its molecular formula is C21H27 NO• HCl and it has a molecular weight of 345.91. Methadone Hydrochloride has a melting point of 235°C, and a pKa of 8.25 in water at 20°C. Its octanol/water partition coefficient at pH 7.4 is 117. A solution (1:100) in water has a pH between 4.5 and 6.5.





It has the following structural formula:

Methadone Hydrochloride Tablets are available for oral administration containing either 5 mg or 10 mg of Methadone Hydrochloride USP. Each tablet contains the following inactive ingredients: Colloidal silicon dioxide, Lactose monohydrate, magnesium stearate, microcrystalline cellulose and pregelatinized starch.

9.3 Dependence








Both tolerance and physical dependence can develop during use of opioid therapy.

Tolerance is a physiological state characterized by a reduced response to a drug after repeated administration (i.e., a higher dose of a drug is required to produce the same effect that was once obtained at a lower dose).

Physical dependence is a state that develops as a result of a physiological adaptation in response to repeated drug use, manifested by withdrawal signs and symptoms after abrupt discontinuation or a significant dose reduction of a drug.

Withdrawal may be precipitated through the administration of drugs with opioid antagonist activity (e.g., naloxone, nalmefene), mixed agonist/antagonist analgesics (e.g., pentazocine, butorphanol, nalbuphine), or partial agonists (e.g., buprenorphine). Physical dependence may not occur to a clinically significant degree until after several days to weeks of continued use.

Do not rapidly reduce or abruptly discontinue Methadone Hydrochloride Tablets in a patient physically dependent on opioids. Rapid tapering of Methadone Hydrochloride Tablets in a patient physically dependent on opioids may lead to serious withdrawal symptoms, uncontrolled pain, and suicide. Rapid discontinuation has also been associated with attempts to find other sources of opioid analgesics, which may be confused with drug-seeking for abuse.

When discontinuing Methadone Hydrochloride Tablets, gradually taper the dosage using a patient-specific plan that considers the following: the dose of Methadone Hydrochloride Tablets the patient has been taking, the duration of treatment, and the physical and psychological attributes of the patient. To improve the likelihood of a successful taper and minimize withdrawal symptoms, it is important that the opioid tapering schedule is agreed upon by the patient. In patients taking opioids for an extended period of time at high doses, ensure that a multimodal approach to pain management, including mental health support (if needed), is in place prior to initiating an opioid analgesic taper [see Dosage and Administration (2.6), and Warnings and Precautions (5.16)].

Infants born to mothers physically dependent on opioids will also be physically dependent and may exhibit respiratory difficulties and withdrawal signs [see Use in Specific Populations (8.1)].

5.16 Withdrawal






Do not abruptly discontinue Methadone Hydrochloride Tablets  in a patient physically dependent on opioids. When discontinuing Methadone Hydrochloride Tablets  in a physically dependent patient, gradually taper the dosage. Rapid tapering of methadone in a patient physically dependent on opioids may lead to a withdrawal syndrome and return of pain [see Dosage and Administration (2.6), Drug Abuse and Dependence (9.3)].

Additionally, avoid the use of mixed agonist/antagonist (e.g., pentazocine, nalbuphine, and butorphanol) or partial agonist (e.g., buprenorphine) analgesics in patients who are receiving a full opioid agonist, including Methadone Hydrochloride Tablets . In these patients, mixed agonists/antagonist and partial agonist analgesics may reduce the analgesic effect and/or may precipitate withdrawal symptoms [see Drug Interactions (7)].





Medication Guide (MEDICATION GUIDE)

Methadone Hydrochloride Tablets, USP CII (Meth-a-done) Rx only



Methadone Hydrochloride Tablets are: 

• A strong prescription pain medicine that contains an opioid (narcotic) that is used to manage severe and persistent pain that requires an extended treatment period with a daily opioid pain medicine, when other pain treatments such as non-opioid pain medicines or immediate-release opioid medicines do not treat your pain well enough or you cannot tolerate them

• A long-acting opioid pain medicine that can put you at risk for overdose and death. Even if you take your dose correctly as prescribed you are at risk for opioid addiction, abuse, and misuse than can lead to death.

•   Not to be taken on an “as needed” basis.

• Also used to manage drug addiction.

Important information about Methadone Hydrochloride Tablets:

• Get emergency help or call 911 right away if you take too much Methadone Hydrochloride Tablets(overdose). When you first start taking Methadone Hydrochloride Tablets, when your dose is changed, or if you take too much (overdose), serious or life-threatening breathing problems that can lead to death may occur. Ask your healthcare provider about medicines like naloxone or nalmefene that can be used in an emergency to reverse an opioid overuse

• Taking Methadone Hydrochloride Tablets with other opioid medicines, benzodiazepines, gabapentinoids (gabapentin or pregabalin), alcohol, or other central nervous system depressants (including street drugs) can cause severe drowsiness, decreased awareness, breathing problems, coma, and death. 

• Never give anyone else your Methadone Hydrochloride Tablets. They could die from taking it. Selling or giving away Methadone Hydrochloride Tablets is against the law. 

• Store Methadone Hydrochloride Tablets securely, out of sight and reach of children, and in a location not accessible by others, including visitors to the home.

Do not take Methadone Hydrochloride Tablets if you have:

   • Severe asthma, trouble breathing, or other lung problems.

   • A bowel blockage or have narrowing of the stomach or intestines.

Before taking Methadone Hydrochloride Tablets, tell your healthcare provider if you have a history of:

    • head injury, seizures                            • heart rhythm problems (Long QT syndrome)

    • liver, kidney, thyroid problems              • pancreas or gallbladder problems

    • problems urinating                               • abuse of street or prescription drugs, alcohol addiction, opioid overdose, or mental health problems

Tell your healthcare provider if you are:

• noticing your pain getting worse. If your pain gets worse after you take Methadone Hydrochloride Tablets, do not take more of Methadone Hydrochloride Tablets without first talking to your healthcare provider. Talk to your healthcare provider if the pain that you have increases, if you feel more sensitive to pain, or if you have new pain after taking Methadone Hydrochloride Tablets.

Pregnant or plan to become pregnant. Use of Methadone Hydrochloride Tablets for an extended period of time during pregnancy can cause withdrawal symptoms in your newborn baby that could be life-threatening if not recognized and treated.

Breastfeeding. Methadone passes into breast milk and may harm your baby.Carefully observe infants for increased sleepiness (more than usual),breathing   difficulties, or limpness. Seek immediate medical care if you notice these signs.

• Living in a household where there are small children or someone who has abused street or prescription drugs.

• Taking prescription or over-the-counter medicines, vitamins, or herbal supplements. Taking Methadone Hydrochloride Tablets with certain other medicines may cause serious side effects. 

When taking Methadone Hydrochloride Tablets:

• Do not change your dose. Take Methadone Hydrochloride Tablets exactly as prescribed by your healthcare provider. Use the lowest dose possible for the shortest time needed.

• Do not take more than your prescribed dose in 24 hours. If you take Methadone Hydrochloride Tablets for pain and miss a dose, take Methadone Hydrochloride Tablets as soon as possible and then take your next dose 8 or 12 hours later as directed by your healthcare provider. If it is almost time for your next dose, skip the missed dose and go back to your regular dosing schedule.

• If you take Methadone Hydrochloride Tablets for opioid addiction and miss a dose, take your next dose the following day as scheduled. Do not take extra doses. Taking more than the prescribed dose may cause you to overdose because Methadone Hydrochloride Tablets build up in your body over time.

• Do not crush, dissolve, snort or inject Methadone Hydrochloride Tablets because this may cause you to overdose and die. 

• Call your healthcare provider if the dose you are taking does not control your pain. 

• Do not stop taking Methadone Hydrochloride Tablets without talking to your healthcare provider. 

• Dispose of expired, unwanted, or unused Methadone Hydrochloride Tablets by taking your drug to an authorized DEA-registered collector or drug take-back program. If one is not available, you can dispose of Methadone Hydrochloride Tablets by mixing the product with dirt, cat litter, or coffee grounds; placing the mixture in a sealed plastic bag, and throwing the bag in your trash. Visit www.fda.gov/drug disposal for additional information on disposal of unused medicines. .

While taking Methadone Hydrochloride Tablets Do NOT:

    • Drive or operate heavy machinery, until you know how Methadone Hydrochloride Tablets affect you. Methadone Hydrochloride Tablets can make you sleepy, dizzy, or lightheaded. 

    • Drink alcohol or use prescription or over-the-counter medicines that contain alcohol. Using products containing alcohol during treatment with Methadone Hydrochloride Tablets may cause you to overdose and die.

The possible side effects of Methadone Hydrochloride Tablets are:

    • Constipation, nausea, sleepiness, vomiting, tiredness, headache, dizziness, abdominal pain. Call your healthcare provider if you have any of these symptoms and they are severe.

Get emergency medical help or call 911 right away if you have:

    • Trouble breathing, shortness of breath, fast heartbeat, chest pain, swelling of your face, tongue or throat, extreme drowsiness, light-headedness when changing positions, feeling faint, agitation, high body temperature, trouble walking, stiff muscles, or mental changes such as confusion.

These are not all the possible side effects of Methadone Hydrochloride Tablets. Call your healthcare provider for medical advice about side effects. You may report side effects to FDA at 1-800-FDA-1088. For more information go to dailymed.nlm.nih.gov.







Dispense with Medication Guide available at www.aurobindousa.com/medication-guides





Distributed by:

Aurobindo Pharma USA, Inc
.

279 Princeton-Hightstown Road

East Windsor, NJ-08520

This Medication Guide has been approved by the U.S. Food and Drug Administration.

Revised: 12/2025





5.18 Hypoglycemia

Cases of methadone-associated hypoglycemia have been reported, some resulting in hospitalization. In many cases, patients had predisposing risk factors (e.g., diabetes). The relationship between methadone and hypoglycemia is not fully understood but may be dose dependent. If hypoglycemia is suspected, monitor blood glucose levels, and manage the patient as clinically appropriate.

8.4 Pediatric Use




The safety, effectiveness, and pharmacokinetics of methadone in pediatric patients below the age of 18 years have not been established. 

8.5 Geriatric Use

 Clinical studies of methadone did not include sufficient numbers of subjects aged 65 and over to determine whether they respond differently compared to younger subjects. Other reported clinical experience has not identified differences in responses between elderly and younger patients.

Elderly patients (aged 65 years or older) may have increased sensitivity to methadone. In general, use caution when selecting a dosage for an elderly patient, usually starting at the low end of the dosing range, reflecting the greater frequency of decreased hepatic, renal, or cardiac function and of concomitant disease or other drug therapy.

Respiratory depression is the chief risk for elderly patients treated with opioids and has occurred after large initial doses were administered to patients who were not opioid-tolerant or when opioids were co-administered with other agents that depress respiration.  Titrate the dosage of Methadone Hydrochloride Tablets slowly in geriatric patients and frequently reevaluate the patient for signs of central nervous system and respiratory depression [see Warnings and Precautions (5.6)].

Methadone is known to be substantially excreted by the kidney, and the risk of adverse reactions to this drug may be greater in patients with impaired renal function. Because elderly patients are more likely to have decreased renal function, care should be taken in dose selection, and it may be useful to monitor renal function.



4 Contraindications (4 CONTRAINDICATIONS)




Methadone Hydrochloride Tablets are contraindicated in patients with:

• Significant respiratory depression [see Warnings and Precautions (5.2)].

• Acute or severe bronchial asthma in an unmonitored setting or in the absence of resuscitative equipment [see Warnings and Precautions (5.8)].

• Known or suspected gastrointestinal obstruction, including paralytic ileus [see Warnings and Precautions (5.13)].

• Hypersensitivity (e.g., anaphylaxis) to methadone [see Adverse Reactions (6)].



6 Adverse Reactions (6 ADVERSE REACTIONS)


The following serious adverse reactions are described, or described in greater detail, in other sections:

•   Addiction, Abuse, and Misuse [see Warnings and Precautions (5.1) ]

•   Life Threatening Respiratory Depression [see Warnings and Precautions (5.2) ]

•   QT Prolongation [see Warnings and Precautions (5.4 )]

•   Neonatal Opioid Withdrawal Syndrome [see Warnings and Precautions (5.5)]

•   Interactions with Benzodiazepines and other CNS Depressants [see Warnings and Precautions (5.7)]

•   Serotonin Syndrome [see Warnings and Precautions (5.9 )]

•   Adrenal Insufficiency [see Warnings and Precautions (5.11) ]

•   Severe Hypotension [see Warnings and Precautions (5.1 2 )]

•   Gastrointestinal Adverse Reactions [see Warnings and Precautions (5.14)]

•   Seizures [see Warnings and Precautions (5.15 )]

•   Withdrawal [see Warnings and Precautions (5.16)]

•    Opioid-Induced Hyperalgesia and Allodynia [See Warnings and Precautions (5.8)] 



The following adverse reactions associated with the use of methadone were identified in clinical studies or post marketing reports.  Because some of these reactions were reported voluntarily from a population of uncertain size, it is not always possible to reliably estimate their frequency or establish a causal relationship to drug exposure.

The major hazards of methadone are respiratory depression and, to a lesser degree, systemic hypotension. Respiratory arrest, shock, cardiac arrest, and death have occurred.

The most frequently observed adverse reactions include lightheadedness, dizziness, sedation, nausea, vomiting, and sweating. These effects seem to be more prominent in ambulatory patients and in those who are not suffering severe pain. In such individuals, lower doses are advisable.

Other adverse reactions include the following:

Body as a Whole: asthenia (weakness), edema, headache

Cardiovascular: arrhythmias, bigeminal rhythms, bradycardia, cardiomyopathy, ECG abnormalities, extrasystoles, flushing, heart failure, hypotension, palpitations, phlebitis, QT interval prolongation, syncope, T-wave inversion, tachycardia, torsades de pointes, ventricular fibrillation, ventricular tachycardia

Central Nervous System: agitation, confusion, disorientation, dysphoria, euphoria, insomnia, hallucinations, seizures, visual disturbances, congenital oculomotor disorders (nystagmus, strabismus)

Endocrine: hypogonadism, decreased testosterone

Gastrointestinal: abdominal pain, anorexia, biliary tract spasm, constipation, dry mouth, glossitis

Hematologic: reversible thrombocytopenia has been described in opioid addicts with chronic hepatitis

Metabolic: hypokalemia, hypomagnesemia, weight gain

Renal: antidiuretic effect, urinary retention or hesitancy

Reproductive: amenorrhea, reduced libido and/or potency, reduced ejaculate volume, reduced seminal vesicle and prostate secretions, decreased sperm motility, abnormalities in sperm morphology

Respiratory: pulmonary edema, respiratory depression

Skin and Subcutaneous Tissue: pruritus, urticaria, other skin rashes, and rarely, hemorrhagic urticaria

Hypersensitivity: Anaphylaxis has been reported with ingredients contained in Methadone Hydrochloride Tablets.

Serotonin Syndrome: Cases of serotonin syndrome, a potentially life-threatening condition, have been reported during concomitant use of opioids with serotonergic drugs.

Adrenal Insufficiency: Cases of adrenal insufficiency have been reported with opioid use, more often following greater than one month of use.



Androgen Deficiency: Cases of androgen deficiency have occurred with use of opioids for an extended period of time. 

Hyperalgesia and Allodynia: Cases of hyperalgesia and allodynia have been reported with opioid therapy of any duration [see Warnings and Precautions (5.8)]

Hypoglycemia: Cases of hypoglycemia have been reported in patients taking methadone [see Warnings and Precautions (5.18)].

Opioid-induced esophageal dysfunction (OIED): Cases of OIED have been reported in patients taking opioids and may occur more frequently in patients taking higher doses of opioids, and/or in patients taking opioids longer term [see Warnings and Precautions (5.14)].

Adverse Reactions from Observational Studies



A prospective, observational cohort study estimated the risks of addiction, abuse, and misuse in patients initiating long-term use of Schedule II opioid analgesics between 2017 and 2021. Study participants included in one or more analyses had been enrolled in selected insurance plans or health systems for at least one year, were free of at least one outcome at baseline, completed a minimum number of follow-up assessments, and either: 1) filled multiple extended-release/long-acting opioid analgesic prescriptions during a 90 day period (n=978); or 2) filled any Schedule II opioid analgesic prescriptions covering at least 70 of 90 days (n=1,244). Those included also had no dispensing of the qualifying opioids in the previous 6 months.



Over 12 months:

• approximately 1% to 6% of participants across the two cohorts newly met criteria for addiction, as assessed with two validated interview-based measures of moderate-to-severe opioid use disorder based on

Diagnostic and Statistical Manual of Mental Disorders, Fifth Edition (DSM-5) criteria, and

• approximately 9% and 22% of participants across the two cohorts newly met criteria for prescription opioid abuse and misuse [defined in Drug Abuse and Dependence (9.2)], respectively, as measured with a validated self-reported instrument. 



A retrospective, observational cohort study estimated the risk of opioidinvolved overdose or opioid overdose-related death in patients with new long-term use of Schedule II opioid analgesics from 2006 through 2016 (n=220,249). Included patients had been enrolled in either one of two commercial insurance programs, one managed care program, or one Medicaid program for at least 9 months. New long-term use was defined as having Schedule II opioid analgesic prescriptions covering at least 70 days’ supply over the 3 months prior to study entry and none during the preceding 6 months. Patients were excluded if they had an opioid-involved overdose in the 9 months prior to study entry. Overdose was measured using a validated medical code-based algorithm with linkage to the National Death Index database. The 5-year cumulative incidence estimates for opioid-involved overdose or opioid overdose-related death ranged from approximately 1.5% to 4% across study sites, counting only the first event during follow-up Approximately 17% of first opioid overdoses observed over the entire study period (5-11 years, depending on the study site) were fatal. Higher baseline opioid dose was the strongest and most consistent predictor o opioid-involved overdose or opioid overdose-related death. Study exclusion criteria may have selected patients at lower risk of overdose, and substantial loss to follow-up (approximately 80%) also may have biased estimates.



The risk estimates from the studies described above may not be generalizable to all patients receiving opioid analgesics, such as those with exposures shorter or longer than the duration evaluated in the studies.



7 Drug Interactions (7 DRUG INTERACTIONS)


Inhibitors of CYP3A4, CYP2B6, CYP2C19, CYP2C9, or CYP2D6

Clinical Impact:

Methadone undergoes hepatic N-demethylation by several cytochrome P450 (CYP) isoforms, including CYP3A4, CYP2B6, CYP2C19, CYP2C9, and CYP2D6. The concomitant use of Methadone Hydrochloride Tablets and CYP3A4, CYP2B6, CYP2C19, CYP2C9, or CYP2D6 inhibitors can increase the plasma concentration of methadone, resulting in increased or prolonged opioid effects, and may result in a fatal overdose, particularly when an inhibitor is added after a stable dose of Methadone Hydrochloride Tablets is achieved. These effects may be more pronounced with concomitant use of drugs that inhibit more than one of the CYP enzymes listed above.



After stopping a CYP3A4, CYP2B6, CYP2C19, CYP2C9, or CYP2D6 inhibitor, as the effects of the inhibitor decline, the methadone plasma concentration can decrease [see Clinical Pharmacology (12.3)], resulting in decreased opioid efficacy or withdrawal symptoms in patients physically dependent on methadone.

Intervention:

If concomitant use is necessary, consider dosage reduction of Methadone Hydrochloride Tablets until stable drug effects are achieved. Evaluate patients at frequent intervals for respiratory depression and sedation. If a CYP3A4, CYP2B6, CYP2C19, CYP2C9, or CYP2D6 inhibitor is discontinued, consider increasing the Methadone Hydrochloride Tablets dosage until stable drug effects are achieved. Evaluate for signs of opioid withdrawal.

Examples:

Macrolide antibiotics (e.g., erythromycin), azole-antifungal agents (e.g., ketoconazole), protease inhibitors (e.g., ritonavir), fluconazole, fluvoxamine, some selective serotonin reuptake inhibitors (SSRIs) (e.g., sertraline, fluvoxamine)

Inducers of CYP3A4, CYP2B6, CYP2C19, or CYP2C9

Clinical Impact:

The concomitant use of Methadone Hydrochloride Tablets and CYP3A4, CYP2B6, CYP2C19, or CYP2C9 inducers can decrease the plasma concentration of methadone [see Clinical Pharmacology (12.3)], resulting in decreased efficacy or onset of withdrawal symptoms in patients physically dependent on methadone. These effects could be more pronounced with concomitant use of drugs that can induce multiple CYP enzymes.



After stopping a CYP3A4, CYP2B6, CYP2C19, or CYP2C9 inducer, as the effects of the inducer decline, the methadone plasma concentration can increase [see Clinical Pharmacology (12.3)], which could increase or prolong both the therapeutic effects and adverse reactions, and may cause serious respiratory depression, sedation, or death.

Intervention:

If concomitant use is necessary, consider increasing the Methadone Hydrochloride Tablets dosage until stable drug effects are achieved. Evaluate for signs of opioid withdrawal. If a CYP3A4, CYP2B6, CYP2C19, or CYP2C9 inducer is discontinued, consider Methadone Hydrochloride Tablets dosage reduction and evaluate patients at frequent intervals for signs of respiratory depression and sedation.

Examples :

Rifampin, carbamazepine, phenytoin, St. John's Wort, Phenobarbital

Benzodiazepines and Other Central Nervous System (CNS) Depressants

Clinical Impact:

Due to additive pharmacologic effect, the concomitant use of benzodiazepines or other CNS depressants, including alcohol, can increase the risk of hypotension, respiratory depression, profound sedation, coma, and death.

Intervention:

For Patients Being Treated for Pain

Reserve concomitant prescribing of these drugs for use in patients for whom alternative treatment options are inadequate. Limit dosages and durations to the minimum required. Inform patients and caregivers of this potential interaction, educate them on the signs and symptoms of respiratory depression (including sedation). If concomitant use is warranted, consider prescribing naloxone for the emergency treatment of opioid overdose.



 If concomitant use is warranted, consider prescribing or recommending an opioid overdose reversal agent [see Dosage and Administration (2.3) and Warnings and Precautions (5.2, 5.3, 5.)].

For Patients Being Treated for Opioid Addiction

Cessation of benzodiazepines or other CNS depressants is preferred in most cases of concomitant use. In some cases, monitoring in a higher level of care for taper may be appropriate. In others, gradually tapering a patient off of a prescribed benzodiazepine or other CNS depressant or decreasing to the lowest effective dose may be appropriate.

Before co-prescribing benzodiazepines for anxiety or insomnia, ensure that patients are appropriately diagnosed and consider alternative medications and non-pharmacologic treatments.

 If concomitant use is warranted, strongly consider recommending or prescribing an opioid overdose reversal agent, as is recommended for all patients in treatment for opioid use disorder [see Warnings and Precautions (5.1, 5.2, 5.7)].

Examples:

Benzodiazepines and other sedatives/hypnotics, anxiolytics, tranquilizers, muscle relaxants, general anesthetics, antipsychotics, gabapentinoids (gabapentin or pregabalin) other opioids, alcohol.

Potentially Arrhythmogenic Agents

Clinical Impact:

Pharmacodynamic interactions may occur with concomitant use of methadone and potentially arrhythmogenic agents or drugs capable of inducing electrolyte disturbances (hypomagnesemia, hypokalemia).

Intervention:

Evaluate patients closely for cardiac conduction changes.

Examples:

Drugs known to have potential to prolong QT interval: Class I and III antiarrhythmics, some neuroleptics and tricyclic antidepressants, and calcium channel blockers. Drugs capable of inducing electrolyte disturbances: Diuretics, laxatives, and, in rare cases, mineralocortocoid hormones.

Serotonergic Drugs

Clinical Impact:

The concomitant use of opioids with other drugs that affect the serotonergic neurotransmitter system has resulted in serotonin syndrome [see Warnings and Precautions (5.9)].

Intervention:

If concomitant use is warranted, frequently evaluate the patient, particularly during treatment initiation and dose adjustment. Discontinue Methadone Hydrochloride Tablets if serotonin syndrome is suspected.

Examples:

Selective serotonin reuptake inhibitors (SSRIs), serotonin and norepinephrine reuptake inhibitors (SNRIs), tricyclic antidepressants (TCAs), triptans, 5-HT3 receptor antagonists, drugs that effect the serotonin neurotransmitter system (e.g., mirtazapine, trazodone, tramadol), certain muscle relaxants (i.e., cyclobenzaprine, metaxalone), monoamine oxidase (MAO) inhibitors (those intended to treat psychiatric disorders and also others, such as linezolid and intravenous methylene blue).

Monoamine Oxidase Inhibitors (MAOIs)

Clinical Impact:

MAOI interactions with opioids may manifest as serotonin syndrome [see Warnings and Precautions (5.9)] or opioid toxicity (e.g., respiratory depression, coma) [see Warnings and Precautions (5.3)].

Intervention:

The use of Methadone Hydrochloride Tablets are not recommended for patients taking MAOIs or within 14 days of stopping such treatment.

Mixed Agonist/Antagonist and Partial Agonist Opioid Analgesics

Clinical Impact:

May reduce the analgesic effect of Methadone Hydrochloride Tablets and/or precipitate withdrawal symptoms.

Intervention:

Avoid concomitant use.

Examples:

Butorphanol, nalbuphine, pentazocine, buprenorphine

Muscle Relaxants

Clinical Impact:

Methadone may enhance the neuromuscular blocking action of skeletal muscle relaxants and produce an increased degree of respiratory depression.

Intervention:

 Because respiratory depression may be greater than otherwise expected, decrease the dosage of Methadone Hydrochloride Tablets and/or the muscle relaxant as necessary. Due to the risk of respiratory depression with concomitant use of skeletal muscle relaxants and opioids, consider recommending or prescribing an opioid overdose reversal agent [see Dosage and Administration (2.3) and Warnings and Precautions (5.3, 5.4)]. 

Examples:

cyclobenzaprine, metaxalone

Diuretics

Clinical Impact:

Opioids can reduce the efficacy of diuretics by inducing the release of antidiuretic hormone.

Intervention:

Evaluate patients for signs of diminished diuresis and/or effects on blood pressure and increase the dosage of the diuretic as needed.

Anticholinergic Drugs

Clinical Impact:

The concomitant use of anticholinergic drugs may increase risk of urinary retention and/or severe constipation, which may lead to paralytic ileus.

Intervention:

Evaluate patients for signs of urinary retention or reduced gastric motility when Methadone Hydrochloride Tablets are used concomitantly with anticholinergic drugs.



Paradoxical Effects of Antiretroviral Agents on Methadone Hydrochloride Tablets



Concurrent use of certain antiretroviral agents with CYP3A4 inhibitory activity, alone and in combination, such as abacavir, amprenavir, darunavir+ritonavir, efavirenz, nelfinavir, nevirapine, ritonavir, telaprevir, lopinavir+ritonavir, saquinavir+ritonavir, and tipranavir+ritonavir, has resulted in increased clearance or decreased plasma levels of methadone. This may result in reduced efficacy of Methadone Hydrochloride Tablets and could precipitate a withdrawal syndrome. Monitor methadone-maintained patients receiving any of these anti-retroviral therapies closely for evidence of withdrawal effects and adjust the methadone dose accordingly.





Effects of Methadone Hydrochloride Tablets on Antiretroviral Agents



Didanosine and Stavudine : Experimental evidence demonstrated that methadone decreased the area under the concentration-time curve (AUC) and peak levels for didanosine and stavudine, with a more significant decrease for didanosine. Methadone disposition was not substantially altered.



Zidovudine: Experimental evidence demonstrated that methadone increased the AUC of zidovudine, which could result in toxic effects.





Effects of Methadone Hydrochloride Tablets on Antidepressants



Desipramine: Blood levels of desipramine have increased with concurrent methadone administration.

8.7 Renal Impairment


Methadone pharmacokinetics have not been extensively evaluated in patients with renal insufficiency. Since unmetabolized methadone and its metabolites are excreted in urine to a variable degree, start these patients on lower doses and with longer dosing intervals and titrate slowly while carefully monitoring for signs of respiratory and central nervous system depression.

12.2 Pharmacodynamics


Effects on the Central Nervous System

Methadone produces respiratory depression by direct action on brain stem respiratory centers. The respiratory depression involves a reduction in the responsiveness of the brain stem respiratory centers to both increases in carbon dioxide tension and electrical stimulation.

Methadone causes miosis, even in total darkness. Pinpoint pupils are a sign of opioid overdose but are not pathognomonic (e.g., pontine lesions of hemorrhagic or ischemic origins may produce similar findings). Marked mydriasis rather than miosis may be seen due to hypoxia in overdose situations.

Some NMDA receptor antagonists have been shown to produce neurotoxic effects in animals.

Effects on the Gastrointestinal Tract and Other Smooth Muscle

Methadone causes a reduction in motility associated with an increase in smooth muscle tone in the antrum of the stomach and duodenum. Digestion of food in the small intestine is delayed and propulsive contractions are decreased. Propulsive peristaltic waves in the colon are decreased, while tone is increased to the point of spasm, resulting in constipation. Other opioid-induced effects may include a reduction in biliary and pancreatic secretions, spasm of sphincter of Oddi, and transient elevations in serum amylase and opioid-induced esophageal dysfunction (OIED).

Effects on the Cardiovascular System

Methadone produces peripheral vasodilation, which may result in orthostatic hypotension or syncope. Manifestations of histamine release and/or peripheral vasodilation may include pruritus, flushing, red eyes, sweating, and/or orthostatic hypotension.

Effects on the Endocrine System

Opioids inhibit the secretion of adrenocorticotropic hormone (ACTH), cortisol, and luteinizing hormone (LH) in humans [see Adverse Reactions (6)].They also stimulate prolactin, growth hormone (GH) secretion, and pancreatic secretion of insulin and glucagon.

Use of opioids for an extended period of time may influence the hypothalamic-pituitary-gonadal axis, leading to androgen deficiency that may manifest as low libido, impotence, erectile dysfunction, amenorrhea, or infertility. The causal role of opioids in the clinical syndrome of hypogonadism is unknown because the various medical, physical, lifestyle, and psychological stressors that may influence gonadal hormone levels have not been adequately controlled for in studies conducted to date [see Adverse Reactions (6)].

Effects on the Immune System

Opioids have been shown to have a variety of effects on components of the immune system in in vitro and animal models. The clinical significance of these findings is unknown. Overall, the effects of opioids appear to be modestly immunosuppressive.

Concentration–Efficacy Relationships

 The minimum effective analgesic concentration will vary widely among patients, especially among patients who have been previously treated with extended- release agonists. The minimum effective analgesic concentration of methadone for any individual patient may increase over time due to an increase in pain, the development of a new pain syndrome, and/or the development of analgesic tolerance [see Dosage and Administration (2.2,2.5)].

Concentration–Adverse Reaction Relationships

There is a relationship between increasing methadone plasma concentration and increasing frequency of dose-related opioid adverse reactions such as nausea, vomiting, CNS effects, and respiratory depression. In opioid-tolerant patients, the situation may be altered by the development of tolerance to opioid-related adverse reactions [see Dosage and Administration (2.2, 2.4, 2.5)].





12.3 Pharmacokinetics

Absorption

Following oral administration, the bioavailability of methadone ranges between 36 to 100% and peak plasma concentrations are achieved between 1 to 7.5 hours. Dose proportionality of methadone pharmacokinetics is not known. However, after administration of daily oral doses ranging from 10 to 225 mg, the steady-state plasma concentrations ranged between 65 to 630 ng/mL and the peak concentrations ranged between 124 to 1,255 ng/mL. Effect of food on the bioavailability of methadone has not been evaluated.

Distribution

Methadone is a lipophilic drug and the steady-state volume of distribution ranges between 1.0 to 8.0 L/kg. In plasma, methadone is predominantly bound to α1-acid glycoprotein (85% to 90%). Methadone is secreted in saliva, breast milk, amniotic fluid, and umbilical cord plasma.

Elimination

Metabolism: Methadone is primarily metabolized by N-demethylation to an inactive metabolite, 2-ethylidene-1,5­ dimethyl-3,3-diphenylpyrrolidene (EDDP). Cytochrome P450 enzymes, primarily CYP3A4, CYP2B6, CYP2C19, CYP2C9 and CYP2D6, are responsible for conversion of methadone to EDDP and other inactive metabolites, which are excreted mainly in the urine. Methadone appears to be a substrate for P-glycoprotein but its pharmacokinetics do not appear to be significantly altered in case of P-glycoprotein polymorphism or inhibition.

Excretion : The elimination of methadone is mediated by extensive biotransformation, followed by renal and fecal excretion. Published reports indicate that after multiple dose administration the apparent plasma clearance of methadone ranged between 1.4 and 126 L/h, and the terminal half-life (T1/2) was highly variable and ranged between 8 to 59 hours in different studies. Methadone is a basic (pKa=9.2) compound and the pH of the urinary tract can alter its disposition in plasma. Also, since methadone is lipophilic, it has been known to persist in the liver and other tissues. The slow release from the liver and other tissues may prolong the duration of methadone action despite low plasma concentrations.

Drug Interaction Studies

Cytochrome P450 Interactions: Methadone undergoes hepatic N-demethylation by cytochrome P450 (CYP) isoforms, principally CYP3A4, CYP2B6, CYP2C19, CYP2C9 and CYP2D6. Co-administration of methadone with CYP inducers may result in more rapid metabolism and potential for decreased effects of methadone, whereas administration with CYP inhibitors may reduce metabolism and potentiate methadone’s effects. Although antiretroviral drugs such as efavirenz, nelfinavir, nevirapine, ritonavir, lopinavir+ritonavir combination are known to inhibit some CYPs, they are shown to reduce the plasma levels of methadone, possibly due to CYP induction activity [see Drug Interactions (7)].

Cytochrome P450 Inducers: The following drug interactions were reported following co-administration of methadone with known inducers of cytochrome P450 enzymes: 

Rifampin: In patients well-stabilized on methadone, concomitant administration of rifampin resulted in a marked reduction in serum methadone levels and a concurrent appearance of withdrawal symptoms. 

Phenytoin: In a pharmacokinetic study with patients on methadone maintenance therapy, phenytoin administration (250 mg twice daily initially for 1 day followed by 300 mg daily for 3 to 4 days) resulted in an approximately 50% reduction in methadone exposure and withdrawal symptoms occurred concurrently. Upon discontinuation of phenytoin, the incidence of withdrawal symptoms decreased, and methadone exposure increased to a level comparable to that prior to phenytoin administration.

St. John’s Wort, Phenobarbital, Carbamazepine: Administration of methadone with other CYP3A4 inducers may result in withdrawal symptoms.

Cytochrome P450 Inhibitors:

Voriconazole : Voriconazole can inhibit the activity of CYP3A4, CYP2C9, and CYP2C19. Repeat dose administration of oral voriconazole (400 mg every 12 hours for 1 day, then 200 mg every 12 hours for 4 days) increased the peak plasma concentration (Cmax) and AUC of (R)-methadone by 31% and 47%, respectively, in subjects receiving a methadone maintenance dose (30 to 100 mg daily. The Cmax and AUC of (S)-methadone increased by 65% and 103%, respectively. Increased plasma concentrations of methadone have been associated with toxicity including QT prolongation. Frequent monitoring for adverse events and toxicity related to methadone is recommended during co-administration. Dose reduction of methadone may be needed [see Drug Interactions (7)].

Antiretroviral Drugs: Although antiretroviral drugs such as efavirenz, nelfinavir, nevirapine, ritonavir, telaprevir, lopinavir+ritonavir combination are known to inhibit some CYPs, they are shown to reduce the plasma levels of methadone, possibly due to CYP induction activity.

Abacavir, Amprenavir, Darunavir+Ritonavir, Efavirenz, Nelfinavir, Nevirapine, Ritonavir, Telaprevir, Lopinavir+Ritonavir, Saquinavir+Ritonavir, Tipranavir+Ritonavir Combination:

 Co-administration of these anti-retroviral agents resulted in increased clearance or decreased plasma levels of methadone[see Drug Interactions (7)].

Didanosine and Stavudine: Methadone decreased the AUC and peak levels for didanosine and stavudine, with a more significant decrease for didanosine. Methadone disposition was not substantially altered[see Drug Interactions (7)].

Zidovudine: Methadone increased the AUC of zidovudine which could result in toxic effects [see Drug Interactions (7)].

8.6 Hepatic Impairment


Methadone pharmacokinetics have not been extensively evaluated in patients with hepatic insufficiency. Methadone is metabolized by hepatic pathways; therefore, patients with liver impairment may be at risk of increased systemic exposure to methadone after multiple dosing. Start these patients on lower doses and titrate slowly while carefully monitoring for signs of respiratory and central nervous system depression.

5.12 Severe Hypotension




Methadone Hydrochloride Tablets may cause severe hypotension including orthostatic hypotension and syncope in ambulatory patients. There is an increased risk in patients whose ability to maintain blood pressure has already been compromised by a reduced blood volume or concurrent administration of certain CNS depressant drugs (e.g., phenothiazines or general anesthetics)[see Drug Interactions (7)].Regularly evaluate these patients for signs of hypotension after initiating or titrating the dosage of Methadone Hydrochloride Tablets. In patients with circulatory shock, Methadone Hydrochloride Tablets may cause vasodilation that can further reduce cardiac output and blood pressure. Avoid the use of Methadone Hydrochloride Tablets in patients with circulatory shock.

1 Indications and Usage (1 INDICATIONS AND USAGE)

Methadone Hydrochloride Tablets are indicated forthe:

 1.      Management of severe and persistent pain that requires an opioid analgesic and that cannot be adequately treated with alternative options, including immediate-release opioids. 

 2.Limitations of Use

  • Because of the risks of addiction, abuse, and misuse overdose, and death, which can occur at any dosage or duration  and persist over the course of therapy[See Warnings and Precautions (5.1)], reserve opioid analgesics, including Methadone Hydrochloride Tablets, for use in patients for whom alternative analgesic treatment options are ineffective, not tolerated, or would be otherwise inadequate to provide sufficient management of pain.
  • Methadone Hydrochloride Tablets is not indicated asanas-needed(prn)analgesic. (1)

3. Detoxification treatment of opioid addiction (heroin or othermorphine-likedrugs).

4.Maintenancetreatment of opioid addiction (heroin or othermorphine-like drugs), in conjunction with appropriatesocialand medicalservices.



Limitations of Use



Methadone products usedfor the treatment of opioid addiction in detoxification or maintenanceprograms are subject to the conditionsfor distribution and use required under 42 CFR8.12 [ see Dosage and Administration (2.1) ) ].



12.1 Mechanism of Action




Methadone Hydrochloride Tablets is a mu-agonist; a synthetic opioid with multiple actions qualitatively similar to those of morphine, the most prominent of which involves the central nervous system and organs composed of smooth muscle. The principal therapeutic uses for methadone are for analgesia and for detoxification or maintenance in opioid addiction.

The methadone withdrawal syndrome, although qualitatively similar to that of morphine, differs in that the onset is slower, the course is more prolonged, and the symptoms are less severe.

Some data also indicate that methadone acts as an antagonist at the N-methyl-D-aspartate (NMDA) receptor. The contribution of NMDA receptor antagonism to methadone's efficacy is unknown.

9.1 Controlled Substance


Methadone Hydrochloride Tablets contain methadone, a Schedule II controlled substance.

5 Warnings and Precautions (5 WARNINGS AND PRECAUTIONS)
  • Opioid Induced Hyperalgesia (OIH) and Allodynia: Opioid-Induced Hyperalgesia (OIH) occurs when an opioid analgesic paradoxically causes an increase in pain, or an increase in sensitivity to pain. If OIH is suspected carefully consider appropriately decreasing the dose of the current opioid analgesic, or opioid rotation. (5.8)
  • Serotonin Syndrome: Potentially life-threatening condition could result from concomitant serotonergic drug administration. Discontinue Methadone Hydrochloride Tablets if serotonin syndrome is suspected. (5.9)
  • Risk of Life-Threatening Respiratory Depression in Patients with Chronic Pulmonary Disease or in Elderly, Cachectic, or Debilitated Patients: Regularly evaluate closely, particularly during initiation and titration. (5.10)
  • Adrenal Insufficiency: If diagnosed, treat with physiologic replacement of corticosteroids, and wean patient off of the opioid. (5.11)
  • Severe Hypotension: Regularly evaluate during dose initiation and titration. Avoid use in patients with circulatory shock.  (5.12)
  • Risks of Use in Patients with Increased Intracranial Pressure, Brain  Tumors , Head Injury, or Impaired Consciousness: Regulatory evaluate for sedation and respiratory depression.  Avoid use of Methadone Hydrochloride Tablets in patients with impaired consciousness or coma. (5.14)
5.11 Adrenal Insufficiency






Cases of adrenal insufficiency have been reported with opioid use, more often following greater than one month of use. Presentation of adrenal insufficiency may include non-specific symptoms and signs including nausea, vomiting, anorexia, fatigue, weakness, dizziness, and low blood pressure. If adrenal insufficiency is suspected, confirm the diagnosis with diagnostic testing as soon as possible. If adrenal insufficiency is diagnosed, treat with physiologic replacement doses of corticosteroids. Wean the patient off of the opioid to allow adrenal function to recover and continue corticosteroid treatment until adrenal function recovers. Other opioids may be tried as some cases reported use of a different opioid without recurrence of adrenal insufficiency. The information available does not identify any particular opioids as being more likely to be associated with adrenal insufficiency.

2 Dosage and Administration (2 DOSAGE AND ADMINISTRATION)

Consider recommending or prescribing an opioid overdose reversal agent (e.g. naloxone, nalmefene)  based on the patient’s risk factors for overdose [2.3, 5.1, 5.2, 5.7].

Management of Pain

• Methadone Hydrochloride Tablets should be prescribed only by healthcare professionals who are knowledgeable in use of extended release/long-acting opioids and how to mitigate the associated risks. (2.1)

• Use the lowest effective dosage for the shortest duration of time consistent with individual patient treatment goals. reserve titration to higher doses of Methadone Hydrochloride Tablets for patients in whom lower doses are insufficiently effective and in whom the expected benefits of using a higher dose opioid clearly outweigh the substantial risks. (2.1, 5)

• Initiate the dosing regimen for each patient individually, taking into account the patient’s underlying cause and severity of pain, prior analgesic treatment and response, and risk factors for addiction, abuse, and misuse (2.4,5.1)

• Respiratory depression can occur at any time during opioid therapy, especially when initiating and following dosage increases with Methadone Hydrochloride Consider this risk when selecting an initial dose and when making dose adjustments (2.1, 5.10)

• Periodically reassess patients receiving Methadone Hydrochloride to evaluate the continued need for opioid analgesics to maintain pain control,

for the signs or symptoms of adverse reactions, and for the development of addiction, abuse, or misuse. (2.1)

• To convert to Methadone Hydrochloride Tablets from another opioid, use available conversion factors to obtain estimated dose. (2.4)

• Titrate slowly with dose increases no more frequent than every 3 to 5 days. (2.5)

• Do not abruptly discontinue Methadone Hydrochloride Tablets in a physically dependent patient. because rapid reduction or abrupt discontinuation of opioid analgesics has resulted in serious withdrawal symptoms, uncontrolled pain, and suicide. (2.6, 5.16)

Initiation of Detoxification and Maintenance Treatment

• A single dose of 20 to 30 mg may be sufficient to suppress withdrawal syndrome. (2.7)





3 Dosage Forms and Strengths (3 DOSAGE FORMS AND STRENGTHS)


 5 mg Tablets: White to off white, round tablets debossed with ‘U41’ on one side and break line on the other side.

10 mg Tablets: White to off white, round tablets debossed with ‘U42’ on one side and break line on the other side

8 Use in Specific Populations (8 USE IN SPECIFIC POPULATIONS)
  • Lactation: Monitor breastfed infants for increased drowsiness and breathing difficulties. ( 8.2 )
5.1 Addiction, Abuse and Misuse


Methadone Hydrochloride Tablets contain methadone, a Schedule II controlled substance. As an opioid, Methadone Hydrochloride Tablets expose users to the risks of addiction, abuse, and misuse. As long-acting opioids such as Methadone Hydrochloride Tablets have pharmacological effects over an extended period of time, there is a greater risk for overdose and death [see Drug Abuse and Dependence (9)].



Although the risk of addiction in any individual is unknown, it can occur in patients appropriately prescribed Methadone Hydrochloride Tablets. Addiction can occur at recommended doses and if the drug is misused or abused. The risk of opioid-related overdose or overdose-related death is increased with higher opioid doses, and this risk persists over the course of therapy. In postmarketing studies, addiction, abuse, misuse, and fatal and non-fatal opioid overdose were observed in patients with long-term opioid use [see Adverse Reactions (6)].

Assess each patient’s risk for opioid addiction, abuse, or misuse prior to prescribing Methadone Hydrochloride Tablets, and reassess all patients receiving Methadone Hydrochloride Tablets for the development of these behaviors and conditions. Risks are increased in patients with a personal or family history of substance abuse (including drug or alcohol abuse or addiction) or mental illness (e.g., major depression). The potential for these risks should not, however, prevent the proper management of pain in any given patient. Patients at increased risk may be prescribed opioids such as Methadone Hydrochloride Tablets but use in such patients necessitates intensive counseling about the risks and proper use of Methadone Hydrochloride Tablets along with the frequent reevaluation for signs of addiction, abuse, and misuse. Consider recommending or prescribing an opioid overdose reversal agent  [ see Dosage and Administration (2.3), Warnings and Precautions (5.2)].

Abuse or misuse of Methadone Hydrochloride Tablets by crushing, chewing, snorting, or injecting the dissolved product will result in the uncontrolled delivery of the methadone and can result in overdose and death [see Overdosage (10)].

Opioids are sought for nonmedical use and are subject to diversion from legitimate prescribed use. Consider these risks when prescribing or dispensing Methadone Hydrochloride Tablets. Strategies to reduce these risks include prescribing the drug in the smallest appropriate quantity and advising the patient on the careful storage of the drug during the course of treatment and proper disposal of unused drug. Contact local state professional licensing board or state-controlled substances authority for information on how to prevent and detect abuse or diversion of this product. 



17 Patient Counseling Information (17 PATIENT COUNSELING INFORMATION)




Advise the patient to read the FDA-approved patient labeling (Medication Guide)

Storage and Disposal

Because of the risks associated with accidental ingestion, misuse, and abuse, advise patients to store Methadone Hydrochloride Tablets securely, out of sight and reach of children, and in a location not accessible by others, including visitors to the home . Inform patients that leaving Methadone Hydrochloride Tablets unsecured can pose a deadly risk to others in the home [see Warnings and Precautions (5.1, 5.2), Drug Abuse and Dependence (9.2)].

Advise patients and caregivers that when medicines are no longer needed, they should be disposed of promptly. Expired, unwanted, or unused Methadone Hydrochloride Tablets should be disposed of by flushing the unused medication down the toilet if a drug take-back option is not readily available. Inform patients that they can visit www.fda.gov/drugdisposal for a complete list of medicines recommended for disposal by flushing, as well as additional information on disposal of unused medicines.

Addiction, Abuse, and Misuse

Inform patients that the use of Methadone Hydrochloride Tablets, even when taken as recommended, can result in addiction, abuse, and misuse, which can lead to overdose or death [see Warnings and Precautions (5.1)]. Instruct patients not to share Methadone Hydrochloride Tablets with others and to take steps to protect Methadone Hydrochloride Tablets from theft or misuse.

Life-Threatening Respiratory Depression

Inform patients of the risk of life-threatening respiratory depression, including information that the risk is greatest when starting Methadone Hydrochloride Tablets or when the dosage is increased, and that it can occur even at recommended dosages. Advise patients how to recognize respiratory depression and to seek medical attention if breathing difficulties develop.

Educate patients and caregivers on how to recognize respiratory depression and emphasize the importance of calling 911 or getting emergency medical help right away in the event of a known or suspected overdose [see Warnings and Precautions (5.2)].

Accidental Ingestion

Inform patients that accidental ingestion, especially by children, may result in respiratory depression or death [see Warnings and Precautions (5.2)].

Symptoms of Arrhythmia

Instruct patients to seek medical attention immediately if they experience symptoms suggestive of an arrhythmia (such as palpitations, near syncope, or syncope) when taking methadone [see Warnings and Precautions (5.4)].

Interactions with Benzodiazepines and Other CNS Depressants Inform patients and caregivers that potentially fatal additive effects may occur if Methadone Hydrochloride Tablets are used with benzodiazepines or other CNS depressants (e.g., alcohol, non-benzodiazepine sedative/hypnotics, anxiolytics, tranquilizers, muscle relaxants, general anesthetics, antipsychotics, gabapentinoids [gabapentin or pregabalin], and other opioids), and not to use these concomitantly unless supervised by a health care provider [see Warnings and Precautions (5.7), Drug Interactions (7)]. 

Patient Access to an Opioid Overdose Reversal Agent for the Emergency Treatment of Opioid Overdose

Inform patients and caregivers about opioid overdose reversal agents (e.g., naloxone, nalmefene) and discuss the importance of having access to an opioid overdose reversal agent, both when initiating and renewing treatment with Methadone Hydrochloride Tablets. Because patients being treated for opioid use disorder are at risk for relapse, discuss the importance of having access to an opioid overdose reversal agent. Also discuss the importance of having access to an opioid overdose reversal agent if the patient has household members (including children) or other close contacts at risk for accidental ingestion or opioid overdose. Discuss with the patient the options for obtaining an opioid overdose reversal agent (e.g., prescription, over-the-counter (some products), or as part of a community-based program) [see Dosage and Administration (2.3), Warnings and Precautions (5.2)].



There are important differences among the opioid overdose reversal agents. Be familiar with these differences, as outlined in the approved labeling for those products, prior to recommending or prescribing such an agent.



Educate patients and caregivers on how to recognize the signs and symptoms of an opioid overdose.



Explain to patients and caregivers that effects of opioid overdose reversal agents like naloxone and nalmefene are temporary, and that they must call 911 or get emergency medical help right away in all cases of known or suspected opioid overdose, even if an opioid overdose reversal agent is administered [see Overdosage (10)].



Advise patients and caregivers:

• how to treat with an opioid overdose reversal agent in the event of an opioid overdose

• to tell family and friends about their an opioid overdose reversal agent, and to keep it in a place where family and friends can access it in an emergency

• to read the Patient Information (or other educational material) that will come with their an opioid overdose reversal agent. Emphasize the importance of doing this before an opioid emergency happens, so the patient and caregiver will know what to do.









Hyperalgesia and Allodynia

Inform patients and caregivers not to increase opioid dosage without first consulting a clinician. Advise patients to seek medical attention if they experience symptoms of hyperalgesia, including worsening pain, increased sensitivity to pain, or new pain [see Warnings and Precautions (5.8); Adverse Reactions (6.2)].

Serotonin Syndrome

Inform patients that opioids could cause a rare but potentially life-threatening condition resulting from concomitant administration of serotonergic drugs. Warn patients of the symptoms of serotonin syndrome and to seek medical attention right away if symptoms develop. Instruct patients to inform their physicians if they are taking, or plan to take serotonergic medications [see Warnings and Precautions (5.10), Drug Interactions (7)].

MAOI Interaction

Inform patients to avoid taking Methadone Hydrochloride Tablets while using any drugs that inhibit monoamine oxidase. Patients should not start MAOIs while taking Methadone Hydrochloride Tablets [see Warnings and Precautions (5.10), Drug Interactions (7)].

Important Administration Instructions

Instruct patients how to properly take Methadone Hydrochloride Tablets, including the following:

• Use Methadone Hydrochloride Tablets exactly as prescribed to reduce the risk of life-threatening adverse reactions (e.g., respiratory depression) [see Dosage and Administration (2), Warnings and Precautions (5.2)].

Important Discontinuation Instructions

In order to avoid developing withdrawal symptoms, instruct patients not to discontinue Methadone Hydrochloride Tablets without first discussing a tapering plan with the prescriber [see Dosage and administration (2.6)]

Driving or Operating Heavy Machinery

Inform patients that Methadone Hydrochloride Tablets may impair the ability to perform potentially hazardous activities such as driving a car or operating heavy machinery. Advise patients not to perform such tasks until they know how they will react to the medication [see Warnings and Precautions (5.17)].

Constipation

Advise patients of the potential for severe constipation, including management instructions and when to seek medical attention [see Adverse Reactions (6), Clinical Pharmacology (12.2)].

Adrenal Insufficiency

Inform patients that opioids could cause adrenal insufficiency, a potentially life-threatening condition. Adrenal insufficiency may present with non-specific symptoms and signs such as nausea, vomiting, anorexia, fatigue, weakness, dizziness, and low blood pressure. Advise patients to seek medical attention if they experience a constellation of these symptoms [see Warnings and Precautions (5.11)].

Hypotension

Inform patients that Methadone Hydrochloride Tablets may cause orthostatic hypotension and syncope. Instruct patients how to recognize symptoms of low blood pressure and how to reduce the risk of serious consequences should hypotension occur (e.g., sit or lie down, carefully rise from a sitting or lying position) [see Warnings and Precautions (5.12)].

Anaphylaxis

Inform patients that anaphylaxis has been reported with ingredients contained in Methadone Hydrochloride Tablets. Advise patients how to recognize such a reaction and when to seek medical attention [see Contraindications (4), Adverse Reactions (6)].

Pregnancy

Inform female patients of reproductive potential that prolonged use of Methadone Hydrochloride Tablets for an extended period of time during pregnancy can result in neonatal opioid withdrawal syndrome, which may be life-threatening if not recognized and treated [see Warnings and Precautions (5.5), Use in Specific Populations (8.1)].

Embryo-Fetal Toxicity: Inform female patients of reproductive potential that Methadone Hydrochloride Tablets can cause fetal harm and to inform their healthcare provider of a known or suspected pregnancy [see Use in Specific Populations (8.1)].

Lactation

Advise nursing mothers to carefully observe infants for increased sleepiness (more than usual), breathing difficulties, or limpness. Instruct nursing mothers to seek immediate medical care if they notice these signs [see Use in Specific Populations (8.2)].

Infertility

Advise patients that use of opioids for an extended period of time, such as Methadone Hydrochloride Tablets, may cause reduced fertility. It is not known whether these effects on fertility are reversible [see Use in Specific populations (8.3)]

Hypoglycemia

Inform patients that methadone may cause hypoglycemia. Instruct patients how to recognize the symptoms of low blood glucose and to contact their health care provider if these symptoms occur [see Warnings and Precautions (5.18)]



Distributed by:

Aurobindo Pharma USA, Inc.

279 Princeton-Hightstown Road

East Windsor, NJ-08520



Revised: 12/2025



2.2 Important General Information
  • Thepeak respiratory depressanteffect of methadoneoccurs later and persistslongerthan its peaktherapeuticeffect.
  • A high degree of opioid tolerancedoes not eliminate the possibility of methadoneoverdose, iatrogenic or otherwise.Deathshavebeen reported during conversion to methadonefrom chronic,high-dosetreatment with other opioid agonistsandduring initiation of methadonetreatment of addiction in subjectspreviously abusing high doses of otheragonists.
  • Withrepeateddosing,methadone is retained in the liverand thenslowlyreleased, prolonging the duration of potential toxicity.
  • Methadonehas a narrowtherapeuticindex,especiallywhen combined with otherdrugs.


5.19 Laboratory Test Interactions




False positive urine drug screens for methadone have been reported for several drugs including diphenhydramine, doxylamine, clomipramine, chlorpromazine, thioridazine, quetiapine, and verapamil.

16 How Supplied/storage and Handling (16 HOW SUPPLIED/STORAGE AND HANDLING)

Methadone Hydrochloride Tablets , USP 5 mg are white to off white, round tablets debossed with ‘U41’on one side and break line on the other side.

                               Bottles of 30                                             NDC 13107-088-30

                               Bottles of 100                                           NDC 13107-088-01

                               Bottles of 1000                                         NDC 13107-088-99



Methadone Hydrochloride Tablets , USP 10 mg are white to off white, round tablets debossed with ‘U42’on one side and break line on the other side.

                               Bottles of 30                                              NDC 13107-089-30

                               Bottles of 100                                            NDC 13107-089-01

                               Bottles of 1000                                          NDC 13107-089-99

Store at 20° to 25°C (68° to 77°F) [See USP Controlled Room Temperature.]



Dispense in a tight, light-resistant container as defined in the USP/NF.




Store Methadone Hydrochloride Tablets  securely and dispose of properly [see Patient Counseling Information (17) ].

5.4 Life Threatening Qt Prolongation (5.4 Life-Threatening QT Prolongation)


Cases of QT interval prolongation and serious arrhythmia (torsades de pointes) have been observed during treatment with methadone. These cases appear to be more commonly associated with, but not limited to, higher dose treatment (> 200 mg/day). Most cases involve patients being treated for pain with large, multiple daily doses of methadone, although cases have been reported in patients receiving doses commonly used for maintenance treatment of opioid addiction. In most patients on the lower doses typically used for maintenance, concomitant medications and/or clinical conditions such as hypokalemia were noted as contributing factors. However, the evidence strongly suggests that methadone possesses the potential for adverse cardiac conduction effects in some patients. The effects of methadone on the QT interval have been confirmed in in vivo laboratory studies, and methadone has been shown to inhibit cardiac potassium channels in in vitro studies.

Closely monitor patients with risk factors for development of prolonged QT interval (e.g., cardiac hypertrophy, concomitant diuretic use, hypokalemia, hypomagnesemia), a history of cardiac conduction abnormalities, and those taking medications affecting cardiac conduction. QT prolongation has also been reported in patients with no prior cardiac history who have received high doses of methadone.

Evaluate patients developing QT prolongation while on methadone treatment for the presence of modifiable risk factors, such as concomitant medications with cardiac effects, drugs that might cause electrolyte abnormalities, and drugs that might act as inhibitors of methadone metabolism.

Only initiate Methadone Hydrochloride Tablets therapy for pain in patients for whom the anticipated benefit outweighs the risk of QT prolongation and development of dysrhythmias that have been reported with high doses of methadone.

The use of methadone in patients already known to have a prolonged QT interval has not been systematically studied.

2.12 Dosage Adjustment During Pregnancy

Methadone clearance may be increased during pregnancy. During pregnancy, a woman's methadone dose may need to be increased or the dosing interval decreased [see Use in Specific Populations (8.1)].

5.5 Neonatal Opioid Withdrawal Syndrome




Neonatal opioid withdrawal syndrome (NOWS) is an expected and treatable outcome  of use of opioids for an extended period of time during pregnancy.  Unlike opioid withdrawal syndrome in adults, NOWS may be life-threatening if not recognized and treated in the neonate. Advise the patient of the risk of NOWS so that appropriate planning for management of the neonate can occur. Healthcare professionals should observe newborns for signs of NOWS and manage accordingly [see Specific Populations (8.1)].

The balance between the risks of NOWS and the benefits of maternal Methadone Hydrochloride Tablets use may differ based on the risks associated with the mother’s underlying condition, pain or addiction, and the risks of the alternative treatments.

  • For management of pain, prescribers should discuss all available treatment options with females of reproductive potential, including non-opioid and non-pharmacologic options.

  • Untreated opioid addiction often results in continued or relapsing illicit opioid use and is associated with poor pregnancy outcomes. NOWS can result from in utero exposure to opioids regardless of the source. Therefore, prescribers should discuss the importance and benefits of management of opioid addiction throughout pregnancy.

5.17 Risks Driving and Operating Machinery


Methadone Hydrochloride Tablets may impair the mental or physical abilities needed to perform potentially hazardous activities such as driving a car or operating machinery. Warn patients not to drive or operate dangerous machinery unless they are tolerant to the effects of Methadone Hydrochloride Tablets and know how they will react to the medication[see Patient Counseling Information (17)].

5.2 Life Threatening Respiratory Depression (5.2 Life-Threatening Respiratory Depression)


Serious, life-threatening, or fatal respiratory depression has been reported with the use of methadone, even when used as recommended. The peak respiratory depressant effect of methadone occurs later and persists longer than the peak analgesic effect. Respiratory depression from opioid use, if not immediately recognized and treated, may lead to respiratory arrest and death. Management of respiratory depression may include close observation, supportive measures, and use of opioid overdose reversal agents, depending on the patient’s clinical status [see Overdosage (10)]. Carbon dioxide (CO2) retention from opioid-induced respiratory depression can exacerbate the sedating effects of opioids.

While serious, life-threatening, or fatal respiratory depression can occur at any time during the use of Methadone Hydrochloride Tablets, the risk is greatest during the initiation of therapy or following a dosage increase. The peak respiratory depressant effect of methadone occurs later, and persists longer than the peak analgesic effect, especially during the initial dosing period.  Regularly evaluate patients for respiratory depression, when initiating therapy with Methadone Hydrochloride Tablets and following dose increases.

To reduce the risk of respiratory depression, proper dosing and titration of Methadone Hydrochloride Tablets  are essential  [see Dosage and Administration (2.4, 2.5)]. Overestimating the Methadone Hydrochloride Tablets  dosage when converting patients from another opioid product can result in fatal overdose with the first dose.

Accidental ingestion of even one dose of Methadone Hydrochloride Tablets, especially by children, can result in respiratory depression and death due to an overdose of methadone.

Educate patients and caregivers on how to recognize respiratory depression and emphasize the importance of calling 911 or getting emergency medical help right away in the event of a known or suspected overdose [see Patient Counseling Information (17)].

Opioids can cause sleep-related breathing disorders including central sleep apnea (CSA) and sleep-related hypoxemia. Opioid use increases the risk of CSA in a dose-dependent fashion. In patients who present with CSA, consider decreasing the opioid dosage using best practices for opioid taper [see Dosage and Administration (2.5)].

Patient Access to an Opioid Overdose Reversal Agent for the Emergency Treatment of Opioid Overdose

Inform patients and caregivers about opioid overdose reversal agents (e.g., naloxone, nalmefene) and discuss the importance of having access to an opioid overdose reversal agent. 



For Patients Being Treated for Pain

Discuss the importance of having access to an opioid overdose reversal agent, especially if the patient has risk factors for overdose (e.g., concomitant use of CNS depressants, a history of opioid use disorder, or prior opioid overdose) or if there are household members (including children) or other close contacts at risk for accidental ingestion or opioid overdose. The presence of risk factors for overdose should not prevent the proper management of pain in any given patient [see Dosage and Administration (2.3), Warnings and Precautions (5.1, 5.3), Overdosage (10)].



For Patients Being Treated for Opioid Addiction

Because patients being treated for opioid use disorder have the potential for relapse, putting them at risk for opioid overdose, strongly consider prescribing or recommending an opioid reversal agent for the emergency treatment of an opioid overdose, both when initiating and renewing treatment with Methadone Hydrochloride Tablets. Advise patients and caregivers that an opioid overdose reversal agent, such as naloxone or nalmefene, may also be administered for a known or suspected overdose with Methadone Hydrochloride Tablets itself [see Overdosage (10)].



For patients being treated with methadone (regardless of indication), also consider recommending or prescribing such an agent if the patient has household members (including children) or other close      contacts at risk for accidental ingestion or overdose.



Discuss the options for obtaining an opioid overdose reversal agent (e.g., prescription, over-the-counter, or as part of a community-based program).



There are important differences among the opioid overdose reversal agents, such as route of administration, product strength, approved patient age range, and pharmacokinetics. Be familiar with these differences, as outlined in the approved labeling for those products, prior to recommending or prescribing such an agent.



Educate patients and caregivers on how to recognize respiratory depression and how to use an opioid overdose reversal agent for the emergency treatment of opioid overdose. Emphasize the importance of calling 911 or getting emergency medical help, even if an opioid overdose reversal agent is administered. 

5.14 Risks of Gastrointestinal Complications


Methadone Hydrochloride Tablets  are contraindicated in patients with known or suspected gastrointestinal obstruction, including paralytic ileus.

The methadone in Methadone Hydrochloride Tablets  may cause spasm of the sphincter of Oddi. Opioids may cause increases in the serum amylase. Regularly Evaluate patients with biliary tract disease, including acute pancreatitis, for worsening symptoms.

Cases of opioid-induced esophageal dysfunction (OIED) have been reported in patients taking opioids. The risk of OIED may increase as the dose and/or duration of opioids increases. Regularly evaluate patients for signs and symptoms of OIED (e.g., dysphagia, regurgitation, non-cardiac chest pain) and, if necessary, adjust opioid therapy as clinically appropriate  [see Clinical Pharmacology (12.2)].





5.8 Opioid Induced Hyperalgesia and Allodynia (5.8 Opioid-Induced Hyperalgesia and Allodynia)


Opioid-Induced Hyperalgesia (OIH) occurs when an opioid analgesic paradoxically causes an increase in pain, or an increase in sensitivity to pain. This condition differs from tolerance, which is the need for increasing doses of opioids to maintain a defined effect [see Dependence (9.3)]. Symptoms of OIH include (but may not be limited to) increased levels of pain upon opioid dosage increase, decreased levels of pain upon opioid dosage decrease, or pain from ordinarily non-painful stimuli (allodynia). These symptoms may suggest OIH only if there is no evidence of underlying disease progression, opioid tolerance, opioid withdrawal, or addictive behavior. Cases of OIH have been reported, both with short-term and longer-term use of opioid analgesics. Though the mechanism of OIH is not fully understood, multiple biochemical pathways have been implicated. Medical literature suggests a strong biologic plausibility between opioid analgesics and OIH and allodynia. If a patient is suspected to be experiencing OIH, carefully consider appropriately decreasing the dose of the current opioid analgesic, or opioid rotation (safely switching the patient to a different opioid moiety) [see Dosage and Administration (2.6); Warnings and Precautions (5.17)]. 

8.3 Females and Males of Reproductive Potential

 Infertility

The effect of Methadone Hydrochloride Tablets on fertility is unknown.  Use of opioids for an extended period of time may cause reduced fertility in females and males of reproductive potential.. It is not known whether these effects on fertility are reversible [see Adverse Reactions (6), Clinical Pharmacology (12.2), Nonclinical Pharmacology (13.1)].Reproductive function in human males may be decreased by methadone treatment. Reductions in ejaculate volume and seminal vesicle and prostate secretions have been reported in methadone-treated individuals. In addition, reductions in serum testosterone levels and sperm motility, and abnormalities in sperm morphology have been reported.



In published animal studies, methadone produces a significant regression of sex accessory organs and testes of male mice and rats and administration of methadone to pregnant rats reduced fetal blood testosterone and androstenedione in male offspring [see Nonclinical Toxicology (13)].



2.5 Titration and Maintenance of Therapy for Pain

Individually titrate Methadone Hydrochloride Tablets to a dose that provides adequate analgesia and minimizes adverse reactions. Continually reevaluate patients receiving Methadone Hydrochloride Tablets to assess the maintenance of pain control, signs and symptoms of opioid withdrawal, and other adverse reactions, as well as reassessing for the development of addiction, abuse, or misuse [see Warnings and Precautions (5.1,5.16)]. Frequent communication is important among the prescriber, other members of the healthcare team, the patient, and the caregiver/family during periods of changing analgesic requirements, including initial titration. During use of opioid therapy for an extended period of time, periodically reassess the continued need for the use of opioid analgesics. 

Patients who experience breakthrough pain may require a dose increase of Methadone Hydrochloride Tablets or may need rescue medication with an appropriate dose of an immediate-release analgesic. If the level of pain increases after dosage stabilization, attempt to identify the source of increased pain before increasing the Methadone Hydrochloride Tablets dosage.

Because of individual variability in the pharmacokinetic profile (i.e., terminal half-life (T1/2) from 8 to 59 hours in different studies [see Clinical Pharmacology (12.3)] , titrate Methadone Hydrochloride Tablets slowly, with dose increases no more frequent than every 3 to 5 days. However, because of this high variability, some patients may require substantially longer periods between dose increases (up to 12 days). Monitor patients closely for the development of potentially life- threatening adverse reactions (e.g., CNS and respiratory depression).



If after increasing the dosage, unacceptable opioid-related adverse reactions are observed, (including an increase in pain after dosage increase), consider reducing the dosage [see Warnings and Precautions (5)]. Adjust the dose to obtain an appropriate balance between management of pain and opioid-related adverse reactions. 







13.1 Carcinogenesis, Mutagenesis, Impairment of Fertility

Carcinogenesis

The results of carcinogenicity assessment in B6C2F1 mice and Fischer 344 rats following dietary administration of two doses of methadone HCl have been published. Mice consumed 15 mg/kg/day or 60 mg/kg/day methadone for two years. These doses were approximately 0.6 and 2.5 times a human daily oral dose of 120 mg/day on a body surface area basis (HDD). There was a significant increase in pituitary adenomas in female mice treated with 15 mg/kg/day but not with 60 mg/kg/day. Under the conditions of the assay, there was no clear evidence for a treatment- related increase in the incidence of neoplasms in male rats. Due to decreased food consumption in males at the high dose, male rats consumed 16 mg/kg/day and 28 mg/kg/day of methadone for two years. These doses were approximately 1.3 and 2.3 times the HDD. In contrast, female rats consumed 46 mg/kg/day or 88 mg/kg/day for two years. These doses were approximately 3.7 and 7.1 times the HDD. Under the conditions of the assay, there was no clear evidence for a treatment-related increase in the incidence of neoplasms in either male or female rats.



Mutagenesis

There are several published reports on the potential genetic toxicity of methadone. Methadone tested positive in the in vivo mouse dominant lethal assay and the in vivo mammalian spermatogonial chromosome aberration test. Additionally, methadone tested positive in the E. coli DNA repair system and Neurospora crassa and mouse lymphoma forward mutation assays. In contrast, methadone tested negative in tests for chromosome breakage and disjunction and sex-linked recessive lethal gene mutations in germ cells of Drosophila using feeding and injection procedures.



Impairment of Fertility

Published animal studies show that methadone treatment of males can alter reproductive function. Methadone produces decreased sexual activity (mating) of male rats at 10 mg/kg/day (corresponding to 0.3 times the human daily oral dose of 120 mg/day based on body surface area). Methadone also produces a significant regression of sex accessory organs and testes of male mice and rats at 0.2 and 0.8 times the HDD, respectively. Methadone treatment of pregnant rats from Gestation Day 14 to 19 reduced fetal blood testosterone and androstenedione in males. Decreased serum levels of testosterone were observed in male rats that were treated with methadone (1.3 to 3.3 mg/kg/day for 14 days, corresponding to 0.1 to 0.3 times the HDD) or 10 to 15 mg/kg/day for 10 days (0.8 to 1.2 times the HDD).



2.4 Methadone Hydrochloride Tablets for Management of Pain

Important Dosage and Administration Information

Methadone Hydrochloride Tablets should be prescribed only by healthcare professionals who are knowledgeable about the use of extended-release/long-acting opioids and how to mitigate the associated risks.



Consider the following important factors thatdifferentiatemethadonefromother opioid analgesics:

  • There is high interpatient variability in absorption,metabolism,and relativeanalgesicpotency of methadone.Population-based equianalgesicconversion ratios betweenmethadoneandother opioids are not accuratewhenapplied to individuals.
  • The duration of analgesicaction of methadone is 4 to 8 hours(based on single-dosestudies) but the plasmaeliminationhalf-life is 8 to 59 hours.
  • With repeated dosing, the potency of methadoneincreases due to systemicaccumulation.
  • Steady-stateplasmaconcentrationsandfullanalgesiceffects are not attained until atleast 3 to 5 days on a dose, and maytakelonger in somepatient.                   

    Use the lowest effective dosage for the shortest duration of time consistent with individual patient treatment goals [see Warnings and Precautions (5)]. Because the risk of overdose increases as opioid doses increase, reserve titration to higher doses of Methadone Hydrochloride Tablets for patients in whom lower doses are insufficiently effective and in whom the expected benefits of using a higher dose opioid clearly outweigh the substantial risks.

  Initiate the dosing regimen for each patient individually, taking into account the patient’s underlying cause and severity of pain prior analgesic treatment and response, and risk factors for addiction, abuse, and misuse [see Warnings and Precautions (5.1)].

  Respiratory depression can occur at any time during opioid therapy, especially when initiating and following dosage increases with Methadone Hydrochloride Tablets. Consider this risk when selecting an initial dose and when making dose adjustments [see Warnings and Precautions (5)]. 







Conversion from OtherOral Opioids to Methadone Hydrochloride Tablets:

When Methadone Hydrochloride Tablets therapy is initiated, discontinue all other opioid analgesics other than those used on an as needed basis for breakthrough pain when appropriate. Deaths have occurred in opioid-tolerant patients during conversion to methadone.

 Thepotency of methadone relative to other opioid analgesics is nonlinearandincreases with increasing dose.Table 1 provides anestimated conversionfactorforusewhen convertingpatientsfromanother opioid to methadone. Because of the high inter-patient variability in absorption,metabolism,and relative potency, it is critical to avoid overestimating the methadonedosewhichcanlead to fatal respiratory depression. It is safer to underestimate a patients 24-hour methadonedosageand provide rescuemedication (e.g.,immediate-release opioid) than to overestimate the 24-hour methadonedosageandmanageanadversereaction due to anoverdose.



Consider the following whenusing the information in Table 1:

  • This is not a table of equianalgesicdoses.
  • Theconversion factors in this table are only for the conversion from another oral opioid analgesic to  Methadone Hydrochloride Tablets.
  • Thetable cannot be used to convert from    Methadone Hydrochloride Tablets to another opioid. Doingso will result in anoverestimation of the dose of the new opioid andmayresult in fatal overdose.


Table 1: Conversion Factors to Methadone Hydrochloride Tablets
Total Daily Baseline Oral                                                   EstimatedDaily Oral Methadone Requirement as Percent

Morphine Equivalent Dose of Total Daily Morphine Equivalent Dose



     < 100 mg                                                                             20% to 30%



   100 to 300 mg                                                                       10% to 20%



   300 to 600 mg                                                                         8% to 12%



   600 mg to 1,000 mg                                                               5% to 10%



   > 1,000 mg                                                                             < 5 %



Tocalculate the estimated   Methadone Hydrochloride Tablets doseusing Table 1:



  • Forpatients on a single opioid, sum the current total dailydose of the opioid, convert it to a Morphine Equivalent Doseaccording to specificconversionfactorforthatspecific opioid, then multiply the MorphineEquivalentDose by the correspondingpercentage in the abovetable to calculate the approximate oral methadonedailydose.

  Divide the totaldailymethadonedosederivedfrom the tableabove to reflect the intended dosing schedule(i.e.,foradministrationevery 8 hours, divide totaldailymethadonedose by 3).

  • Forpatients on a regimen of morethan one opioid, calculate the approximate oral methadonedoseforeach opioid and sum the totals to obtain the approximate totalmethadonedaily dose. Divide the totaldailymethadonedosederivedfrom the tableabove to reflect the intended dosing schedule(i.e.,foradministrationevery 8 hours,dividetotal dailymethadonedose by 3).
  • Forpatients on a regimen of fixed-ratio opioid/non-opioid analgesicproducts,use only the opioid component of these products in the conversion.

Always round the dose down, if necessary, to the appropriate Methadone Hydrochloride Tablets strength(s) available.

Example conversion from a single opioid to Methadone Hydrochloride Tablets:

Step 1:

Sum the total dailydose of the opioid (in this case,Morphine Extended ReleaseTablets 50 mg twicedaily)

50 mg Morphine Extended-ReleaseTablets 2 timesdaily = 100 mg total dailydose of Morphine

Step 2:

Calculate the approximate equivalent dose of Methadone Hydrochloride Tablets based on the total daily dose of Morphine using Table 1.

100 mg totaldailydose of Morphine x 15% (10% to 20% perTable 1) = 15 mg   Methadone Hydrochloride Tablets daily

Step 3:

Calculate the approximate startingdose of   Methadone Hydrochloride Tablets to be givenevery 12 hours.

Rounddown, if necessary, to the appropriate   Methadone Hydrochloride Tablets strengthsavailable.

 15 mg daily / 2 = 7.5 mg   Methadone Hydrochloride Tablets every 12 hours

 Then7.5 mg is rounded down to 5 mg   Methadone Hydrochloride Tablets every 12 hours



Closeobservation and frequent titration are warranted until painmanagement is stable on the new opioid.

Monitorpatientsforsignsandsymptoms of opioid withdrawal or forsigns of over-sedation/toxicityafterconverting patientstoMethadone Hydrochloride Tablets.



Conversionfrom ParenteralMethadone to Methadone Hydrochloride Tablets

Use a conversion ratio of 1:2 mg forparenteral to oral methadone(e.g., 5 mg parenteralmethadone to 10 mg oral methadone).







2.8 Titration and Maintenance Treatment of Opioid Dependence

Titrate patients in maintenance treatment to a dose that prevents opioid withdrawal symptoms for 24 hours, reduces drug hunger or craving, and blocks or attenuates the euphoric effects of self-administered opioids, ensuring that the patient is tolerant to the sedative effects of methadone. Most commonly, clinical stability is achieved at doses between 80 to 120 mg/day. During prolonged administration of methadone, monitor patients for persistent constipation and manage accordingly.

Package Label.principal Display Panel 5 Mg (100 Tablet Bottle) (PACKAGE LABEL.PRINCIPAL DISPLAY PANEL - 5 mg (100 Tablet Bottle))

13107-088-01

Methadone Hydrochloride Tablets, USP CII

5 mg

Pharmacist: A Medication Guide must be distributed with the medication upon dispensing.

Rx only      100 Tablets

5.9 Serotonin Syndrome With Concomitant Use of Serotonergic Drugs (5.9 Serotonin Syndrome with Concomitant Use of Serotonergic Drugs)




Cases of serotonin syndrome, a potentially life -threatening condition, have been reported during concomitant use of Methadone Hydrochloride Tablets with serotonergic drugs. Serotonergic drugs include selective serotonin reuptake inhibitors (SSRIs), serotonin and norepinephrine reuptake inhibitors (SNRIs), tricyclic antidepressants (TCAs), triptans, 5-HT3 receptor antagonists, drugs that affect the serotonergic neurotransmitter system (e.g., mirtazapine, trazodone, tramadol), certain muscle relaxants (i.e., cyclobenzaprine, metaxalone), and drugs that impair metabolism of serotonin (including MAO inhibitors, both those intended to treat psychiatric disorders and also others, such as linezolid and intravenous methylene blue) [see Drug Interactions ( 7 )]. This may occur within the recommended dosage range.

Serotonin syndrome symptoms may include mental status changes (e.g., agitation, hallucinations, coma), autonomic instability (e.g., tachycardia, labile blood pressure, hyperthermia), neuromuscular aberrations (e.g., hyperreflexia, incoordination, rigidity), and/or gastrointestinal symptoms (e.g., nausea, vomiting, diarrhea). The onset of symptoms generally occurs within several hours to a few days of concomitant use but may occur later than that. Discontinue Methadone Hydrochloride Tablets if serotonin syndrome is suspected.



Package Label.principal Display Panel 10 Mg (100 Tablet Bottle) (PACKAGE LABEL.PRINCIPAL DISPLAY PANEL - 10 mg (100 Tablet Bottle))

13107-089-01

Methadone Hydrochloride Tablets, USP CII

10 mg

Pharmacist: A Medication Guide must be distributed with the medication upon dispensing

Rx only                     100 Tablets

5.15 Increased Risk of Seizures in Patients With Seizure Disorders (5.15 Increased Risk of Seizures in Patients with Seizure Disorders)




The methadone in Methadone Hydrochloride Tablets may increase the frequency of seizures in patients with seizure disorders and may increase the risk of seizures in other clinical settings associated with seizures. Regularly evaluate patients with a history of seizure disorders for worsened seizure control during Methadone Hydrochloride Tablets therapy.

5.6 Opioid Analgesic Risk Evaluation and Mitigation Strategy (rems) (5.6 Opioid Analgesic Risk Evaluation and Mitigation Strategy (REMS))


To ensure that the benefits of opioid analgesics outweigh the risks of addiction, abuse, and misuse, the Food and Drug Administration (FDA) has required a Risk Evaluation and Mitigation Strategy (REMS) for these products. Under the requirements of the REMS, drug companies with approved opioid analgesic products must make REMS-compliant education programs available to healthcare providers. Healthcare providers are strongly encouraged to do all of the following:

• Complete a REMS-compliant education program offered by an accredited provider of continuing education (CE) or another education program that includes all the elements of the FDA Education Blueprint for Health Care Providers Involved in the Management or Support of Patients with Pain.

• Discuss the safe use, serious risks, and proper storage and disposal of opioid analgesics with patients and/or their caregivers every time these medicines are prescribed. The Patient Counseling Guide (PCG) can be obtained at this link: www.fda.gov/OpioidAnalgesicREMSPCG.

• Emphasize to patients and their caregivers the importance of reading the Medication Guide that they will receive from their pharmacist every time an opioid analgesic is dispensed to them.

• Consider using other tools to improve patient, household, and community safety, such as patient-prescriber agreements that reinforce patient-prescriber responsibilities.

To obtain further information on the opioid analgesic REMS and for a list of accredited REMS CME/CE, call 1-800-503­ 0784, or log on to www.opioidanalgesicrems.com. The FDA Blueprint can be found at www.fda.gov/OpioidAnalgesicREMSBlueprint.

5.3 Risks From Concomitant Use With Benzodiazepines Or Other Cns Depressants (5.3 Risks from Concomitant Use with Benzodiazepines or Other CNS Depressants)

Profound sedation, respiratory depression, coma, and death may result from the concomitant use of Methadone Hydrochloride Tablets with benzodiazepines and/or other CNS depressants (e.g., alcohol, non-benzodiazepine sedatives/hypnotics, anxiolytics, tranquilizers, muscle relaxants, general anesthetics, antipsychotics, gabapentinoids [ gabapentin or pregabalin] other opioids).

For Patients Being Treated for Pain

Because of these risks, reserve concomitant prescribing of these drugs for use in patients for whom alternative treatment options are inadequate.

Observational studies have demonstrated that concomitant use of opioid analgesics and benzodiazepines increases the risk of drug-related mortality compared to use of opioid analgesics alone. Because of similar pharmacological properties, it is reasonable to expect similar risk with the concomitant use of other CNS depressant drugs with opioid analgesics [see Drug Interactions (7)].

If the decision is made to prescribe a benzodiazepine or other CNS depressant concomitantly with an opioid analgesic, prescribe the lowest effective dosages and minimum durations of concomitant use. In patients already receiving an opioid analgesic, prescribe a lower initial dose of the benzodiazepine or other CNS depressant than indicated in the absence of an opioid, and titrate based on clinical response. If an opioid analgesic is initiated in a patient already taking a benzodiazepine or other CNS depressant, prescribe a lower initial dose of the opioid analgesic, and titrate based on clinical response. Inform patients and caregivers of this potential interaction, educate them on the signs and symptoms of respiratory depression (including sedation).

  If concomitant use is warranted, consider recommending or prescribing an opioid overdose reversal agent [see Dosage and Administration (2.3), Warnings and Precautions (5.3)].

Advise both patients and caregivers about the risks of respiratory depression and sedation when Methadone Hydrochloride Tablets  are used with benzodiazepines or other CNS depressants (including alcohol and illicit drugs). Advise patients not to drive or operate heavy machinery until the effects of concomitant use of the benzodiazepine or other CNS depressant have been determined. Screen patients for risk of substance use disorders, including opioid abuse and misuse, and warn them of the risk for overdose and death associated with the use of additional CNS depressants including alcohol and illicit drugs [see Drug Interactions (7) and Patient Counseling Information (17)].

For Patients Being Treated for Opioid Addiction

Concomitant use of methadone and benzodiazepines or other CNS depressants increases the risk of adverse reactions including overdose and death. Medication-assisted treatment of opioid use disorder, however, should not be categorically denied to patients taking these drugs. Prohibiting or creating barriers to treatment can pose an even greater risk of morbidity and mortality due to the opioid use disorder alone.

As a routine part of orientation to methadone treatment, educate patients about the risks of concomitant use of benzodiazepines, sedatives, opioid analgesics, or alcohol.

Develop strategies to manage use of prescribed or illicit benzodiazepines or other CNS depressants at admission to methadone treatment, or if it emerges as a concern during treatment. Adjustments to induction procedures and additional monitoring may be required. There is no evidence to support dose limitations or arbitrary caps of methadone as a strategy to address benzodiazepine use in methadone-treated patients. However, if a patient is sedated at the time of methadone dosing, ensure that a medically trained healthcare provider evaluates the cause of sedation, and delays or omits the methadone dose if appropriate.

Cessation of benzodiazepines or other CNS depressants is preferred in most cases of concomitant use. In some cases, monitoring in a higher level of care for taper may be appropriate. In others, gradually tapering a patient off a prescribed benzodiazepine or other CNS depressant or decreasing to the lowest effective dose may be appropriate.

For patients in methadone treatment, benzodiazepines are not the treatment of choice for anxiety or insomnia. Before co- prescribing benzodiazepines, ensure that patients are appropriately diagnosed and consider alternative medications and non-pharmacologic treatments to address anxiety or insomnia. Ensure that other healthcare providers prescribing benzodiazepines or other CNS depressants are aware of the patient’s methadone treatment and coordinate care to minimize the risks associated with concomitant use.

If concomitant use is warranted, strongly consider prescribing an opioid overdose reversal agent, as is recommended for all patients in methadone treatment for opioid use disorder  [see Warnings and Precautions (5.3)].

In addition, take measures to confirm that patients are taking the medications prescribed and not diverting or supplementing with illicit drugs. Toxicology screening should test for prescribed and illicit benzodiazepines  [see Drug Interactions (7)].

2.6 Safe Reduction and Discontinuation of Methadone Hydrochloride Tablets for Pain

Do not abruptly discontinue Methadone Hydrochloride Tablets in patients who may be physically dependent on opioids. Rapid reduction or abrupt discontinuation of opioid analgesics in patients who are physically dependent on opioids has resulted in serious withdrawal symptoms, uncontrolled pain, and suicide. Rapid reduction or abrupt discontinuation has also been associated with attempts to find other sources of opioid analgesics, which may be confused with drug-seeking for abuse. Patients may also attempt to treat their pain or withdrawal symptoms with illicit opioids, such as heroin, and other substances.



When a decision has been made to decrease the dose or discontinue therapy in an opioid-dependent patient taking Methadone Hydrochloride Tablets , there are a variety of factors that should be considered, including the total daily dose of opioid (including Methadone Hydrochloride Tablets)  the patient has been taking, the duration of treatment, the type of pain being treated, and the physical and psychological attributes of the patient. It is important to ensure ongoing care of the patient and to agree on an appropriate tapering schedule and follow- up plan so that patient and provider goals and expectations are clear and realistic. When opioid analgesics are being discontinued due to a suspected substance use disorder, evaluate and treat the patient, or refer for evaluation and treatment of the substance use disorder. Treatment should include evidence-based approaches, such as medication assisted treatment of opioid use disorder. Complex patients with co-morbid pain and substance use disorders may benefit from referral to a specialist.



There are no standard opioid tapering schedules that are suitable for all patients. Good clinical practice dictates a patient- specific plan to taper the dose of the opioid gradually. For patients on Methadone Hydrochloride Tablets  who are physically opioid-dependent, initiate the taper by a small enough increment (e.g., no greater than 10% to 25% of the total daily dose) to avoid withdrawal symptoms, and proceed with dose-lowering at an interval of every 2 to 4 weeks. Patients who have been taking opioids for briefer periods of time may tolerate a more rapid taper.



It may be necessary to provide the patient with lower dosage strengths to accomplish a successful taper. Reassess the patient frequently to manage pain and withdrawal symptoms, should they emerge. Common withdrawal symptoms include restlessness, lacrimation, rhinorrhea, yawning, perspiration, chills, myalgia, and mydriasis. Other signs and symptoms also may develop, including irritability, anxiety, backache, joint pain, weakness, abdominal cramps, insomnia, nausea, anorexia, vomiting, diarrhea, or increased blood pressure, respiratory rate, or heart rate. If withdrawal symptoms arise, it may be necessary to pause the taper for a period of time or raise the dose of the opioid analgesic to the previous dose, and then proceed with a slower taper. In addition, evaluate patients for any changes in mood, emergence of suicidal thoughts, or use of other substances.



When managing patients taking opioid analgesics, particularly those who have been treated for an extended period of time and/or with high doses for chronic pain, ensure that a multimodal approach to pain management, including mental health support (if needed), is in place prior to initiating an opioid analgesic taper. A multimodal approach to pain management may optimize the treatment of chronic pain, as well as assist with the successful tapering of the opioid analgesic [see Warnings and Precautions (5.16), Drug Abuse and Dependence (9.3)].



2.10 Risk of Relapse in Patients On Methadone Maintenance Treatment of Opioid Addiction (2.10 Risk of Relapse in Patients on Methadone Maintenance Treatment of Opioid Addiction)

Abrupt opioid discontinuation can lead to development of opioid withdrawal symptoms [see Drug Abuse and Dependence (9.3)]. Opioid withdrawal symptoms have been associated with an increased risk of relapse to illicit drug use in susceptible patients.

2.11 Considerations for Management of Acute Pain During Methadone Maintenance Treatment (2.11 Considerations for Management of Acute Pain during Methadone Maintenance Treatment)

Patients in methadone maintenance treatment for opioid dependence who experience physical trauma, postoperative pain or other acute pain cannot be expected to derive analgesia from their existing dose of methadone. Such patients should be administered analgesics, including opioids, in doses that would otherwise be indicated for non-methadone-treated patients with similar painful conditions. When opioids are required for management of acute pain in methadone maintenance patients, somewhat higher and/or more frequent doses will often be required than would be the case for non-tolerant patients due to the opioid tolerance induced by methadone.

Warning: Serious and Life Threatening Risks From Use of Methadone Hydrochloride Tablets (WARNING: SERIOUS AND LIFE-THREATENING RISKS FROM USE OF METHADONE HYDROCHLORIDE TABLETS)


Addiction, Abuse, and Misuse

Because the use of Methadone Hydrochloride Tablets exposes patients and other users to the  risks of opioid addiction, abuse, and misuse, which can lead to overdose and death, assess each patient’s risk prior to prescribing and reassess all patients regularly for the development of these behaviors and conditions [see Warnings and Precautions (5.1)]. 

Life-Threatening Respiratory Depression

Serious, life-threatening, or fatal respiratory depression may occur with use of Methadone Hydrochloride Tablets, especially during initiation or following a dose increase. To reduce the risk of respiratory depression, proper dosage and titration of Methadone Hydrochloride Tablets are essential [see Warnings and Precautions (5.6)].

Accidental Ingestion

Accidental ingestion of even one dose of Methadone Hydrochloride Tablets, especially by children, can result in a fatal overdose of methadone [see Warnings and Precautions (5.1)].

Risks From Concomitant Use With Benzodiazepines Or Other CNS Depressants

Concomitant use of opioids with benzodiazepines or other central nervous system (CNS) depressants, including alcohol, may result in profound sedation, respiratory depression, coma, and death. Reserve concomitant prescribing of Methadone Hydrochloride Tablets and benzodiazepines or other CNS depressants for use in patients for whom alternatives to benzodiazepines or other CNS depressants are inadequate. [see Warnings and Precautions (5.2), Drug Interactions (7)].

Neonatal Opioid Withdrawal Syndrome (NOWS)

Neonatal opioid withdrawal syndrome (NOWS) is an expected and treatable outcome of use of Methadone Hydrochloride Tablets during pregnancy. NOWS may be life-threatening if not recognized and treated in the neonate. The balance between the risks of NOWS and the benefits of maternal Methadone Hydrochloride Tablets use may differ based on the risks associated with the mother’s underlying condition, pain, or addiction. Advise the patient of the risk of NOWS so that appropriate planning for management of the neonate can occur [see Warnings and Precautions (5.5)]. 

Opioid Analgesic Risk Evaluation and Mitigation Strategy (REMS)

Healthcare providers are strongly encouraged to complete a REMS-compliant education program, and to counsel patients and their caregivers on serious risks, safe use, and the importance of reading the Medication Guide with each prescription [See Warnings and Precautions (5.6)].

Life-Threatening QT Prolongation

QT interval prolongation and serious arrhythmia (torsades de pointes) have occurred during treatment with methadone. Most cases involve patients being treated for pain with large, multiple daily doses of methadone, although cases have been reported in patients receiving doses commonly used for maintenance treatment of opioid addiction. Closely monitor patients with risk factors for development of prolonged QT interval, a history of cardiac conduction abnormalities, and those taking medications affecting cardiac conduction for changes in cardiac rhythm during initiation and titration of Methadone Hydrochloride Tablets [see Warnings and Precautions (5.4)].

Cytochrome P450 Interaction

The concomitant use of Methadone Hydrochloride Tablets with all cytochrome P450 3A4, 2B6, 2C19, 2C9 or 2D6 inhibitors may result in an increase in methadone plasma concentrations, which could cause potentially fatal respiratory depression. In addition, discontinuation of concomitantly used cytochrome P450 3A4 2B6, 2C19, or 2C9 inducers may also result in an increase in methadone plasma concentration. Follow patients closely for respiratory depression and sedation and consider dosage reduction with any changes of concomitant medications that can result in an increase in methadone levels [see Warnings and Precautions (5.7), Drug interactions (7)].

Conditions For Distribution And Use Of Methadone Products For The Treatment Of Opioid Addiction 

For detoxification and maintenance of opioid dependence, methadone should be administered in accordance with the treatment standards cited in 42 CFR Section 8, including limitations on unsupervised administration [see Indications and Usage (1), Dosage And Administration (2.1)].



2.7 Induction/initial Dosing for Detoxification and Maintenance Treatment of Opioid Addiction (2.7 Induction/Initial Dosing for Detoxification and Maintenance Treatment of Opioid Addiction)
  Fordetoxification andmaintenance of opioid dependence,methadoneshould be administered in accordance with the treatmentstandardscited in 42 CFRSection 8.12,including limitations on unsupervisedadministration.

Administer the initial methadone dose under supervision, when there are no signs of sedation or intoxication, and the patient shows symptoms of withdrawal. An initial single dose of 20 to 30 mg of Methadone Hydrochloride Tablets will often be sufficient to suppress withdrawal symptoms. The initial dose should not exceed 30 mg.

To make same-day dosing adjustments, have the patient wait 2 to 4 hours for further evaluation, when peak levels have been reached. Provide an additional 5 to 10 mg of Methadone Hydrochloride Tablets if withdrawal symptoms have not been suppressed or if symptoms reappear.

The total daily dose of Methadone Hydrochloride Tablets on the first day of treatment should not ordinarily exceed 40 mg. Adjust the dose over the first week of treatment based on control of withdrawal symptoms at the time of expected peak activity (e.g., 2 to 4 hours after dosing). When adjusting the dose, keep in mind that methadone levels will accumulate over the first several days of dosing; deaths have occurred in early treatment due to the cumulative effects. Instruct patients that the dose will “hold” for a longer period of time as tissue stores of methadone accumulate.

Use lower initial doses for patients whose tolerance is expected to be low at treatment entry. Any patient who has not taken opioids for more than 5 days may no longer be tolerant. Do not determine initial doses based on previous treatment episodes or dollars spent per day on illicit drug use.

During the induction phase of methadone maintenance treatment, patients are being withdrawn from opioids and may have opioid withdrawal symptoms. Monitor patients for signs and symptoms of opioid withdrawal including: lacrimation, rhinorrhea, sneezing, yawning, excessive perspiration, goose-flesh, fever, chilling alternating with flushing, restlessness, irritability, weakness, anxiety, depression, dilated pupils, tremors, tachycardia, abdominal cramps, body aches, involuntary twitching and kicking movements, anorexia, nausea, vomiting, diarrhea, intestinal spasms, and weight loss and consider dose adjustment as indicated.

Short-term Detoxification

For a brief course of stabilization followed by a period of medically supervised withdrawal, titrate the patient to a total daily dose of about 40 mg in divided doses to achieve an adequate stabilizing level. After 2 to 3 days of stabilization, gradually decrease the dose of Methadone Hydrochloride Tablets . Decrease the dose of Methadone Hydrochloride Tablets  on a daily basis or at 2-day intervals, keeping the amount of Methadone Hydrochloride Tablets  sufficient to keep withdrawal symptoms at a tolerable level. Hospitalized patients may tolerate a daily reduction of 20% of the total daily dose. Ambulatory patients may need a slower schedule.

2.9 Medically Supervised Withdrawal After A Period of Maintenance Treatment for Opioid Addiction (2.9 Medically Supervised Withdrawal after a Period of Maintenance Treatment for Opioid Addiction)

There is considerable variability in the appropriate rate of methadone taper in patients choosing medically supervised withdrawal from methadone treatment. Dose reductions should generally be less than 10% of the established tolerance or maintenance dose, and 10 to 14-day intervals should elapse between dose reductions. Apprise patients of the high risk of relapse to illicit drug use associated with discontinuation of methadone maintenance treatment.

2.1 Conditions for Distribution and Use of Methadone Products for the Treatment of Opioid Addiction

Code of FederalRegulations,Title 42, Sec 8: Methadone products when usedfor the treatment of opioid addiction in detoxification or maintenanceprograms,shall be dispensed only by opioid treatmentprograms (and agencies, practitioners or institutions by formalagreement with the programsponsor)certified by the SubstanceAbuseand Mental Health ServicesAdministration andapproved by the designatedstate authority. Certified treatmentprogramsshalldispenseand usemethadone in oral form only and according to the treatment requirements stipulated in the Federal Opioid Treatment Standards (42 CFR8.12).Seebelowforimportantregulatory exceptions to the general requirement forcertification to provide opioid agonisttreatment.





Failure to abide by the requirements in these regulations mayresult in criminal prosecution,seizure of the drugsupply,revocation of the program approval,and injunction precluding operation of the program.



Regulatory Exceptions to the GeneralRequirementforCertification to Provide Opioid AgonistTreatment:

  • During inpatientcare,when the patientwasadmittedforany conditionotherthanconcurrent opioid addiction(pursuant to 21CFR1306.07(c)), to facilitate the treatment of the primary admittingdiagnosis).
  • During anemergency period of no longerthan 3 days while definitive carefor the addiction is beingsought in an appropriately licensed facility (pursuant to 21CFR 1306.07(b)).




2.3 Patient Access An Opioid Overdose Reversal Agent for the Emergency Treatment of Opioid Overdose (2.3 Patient Access an Opioid Overdose Reversal Agent for the Emergency Treatment of Opioid Overdose)


Inform patients and caregivers about opioid overdose reversal agents (e.g., naloxone, nalmefene) and discuss the importance of having access to an opioid overdose reversal agent. [see Warnings and Precautions (5.2), Overdosage (10)].



For Patients Being Treated for Pain

Discuss the importance of having access to an opioid overdose reversal agent, especially if the patient has risk factors for overdose (e.g., concomitant use of CNS depressants, a history of opioid use disorder, or prior opioid overdose) or if there are household members (including children) or other close contacts at risk for accidental ingestion or opioid overdose. The presence of risk factors for overdose should not prevent the proper management of pain in any given patient [see Warnings and Precautions (5.1, 5.2, 5.3)].



For Patients Being Treated for Opioid Addiction

Because patients being treated for opioid use disorder have the potential for relapse, putting them at risk for opioid overdose, strongly consider recommending or prescribing an overdose reversal agent for the emergency treatment of opioid overdose, both when initiating and renewing treatment with Methadone Hydrochloride Tablets. Advise patients and caregivers that an opioid overdose reversal agent, such as naloxone or nalmefene may also be administered for a known or suspected overdose with Methadone Hydrochloride Tablets itself [see Overdosage (10)].



For patients being treated with methadone (regardless of indication), also consider recommending or prescribing such an agent if the patient has household members (including children) or other close contacts at risk for accidental ingestion or overdose. 



Discuss the options for obtaining an opioid overdose reversal agent (e.g., prescription, over-the-counter, or as part of a community-based program) [see Warnings and Precautions (5.2)].



There are important differences among the opioid overdose reversal agents, such as route of administration, product strength, approved patient age range, and pharmacokinetics. Be familiar with these differences, as outlined in the approved labeling for those products, prior to recommending or prescribing such an agent





5.13 Risks of Use in Patients With Increased Intracranial Pressure, Brain Tumors, Head Injury, Or Impaired Consciousness (5.13 Risks of Use in Patients with Increased Intracranial Pressure, Brain Tumors, Head Injury, or Impaired Consciousness)


In patients who may be susceptible to the intracranial effects of CO2 retention (e.g., those with evidence of increased intracranial pressure or brain tumors) Methadone Hydrochloride Tablets may reduce respiratory drive, and the resultant CO2 retention can further increase intracranial pressure. Monitor such patients for signs of sedation and respiratory depression, particularly when initiating therapy with Methadone Hydrochloride Tablets.

Opioids may also obscure the clinical course in a patient with a head injury.

Avoid the use of Methadone Hydrochloride Tablets in patients with impaired consciousness or coma.

5.10 Life Threatening Respiratory Depression in Patients With Chronic Pulmonary Disease Or in Elderly, Cachectic, Or Debilitated Patients (5.10 Life-Threatening Respiratory Depression in Patients with Chronic Pulmonary Disease or in Elderly, Cachectic, or Debilitated Patients)




The use of Methadone Hydrochloride Tablets in patients with acute or severe bronchial asthma in an unmonitored setting or in the absence of resuscitative equipment is contraindicated.

Patients with Chronic Pulmonary Disease

Methadone Hydrochloride Tablets Tablets-treated patients with significant chronic obstructive pulmonary disease or cor pulmonale, and those with a substantially decreased respiratory reserve, hypoxia, hypercapnia, or pre-existing respiratory depression are at increased risk of decreased respiratory drive including apnea, even at recommended dosages of Methadone Hydrochloride Tablets. [see Warnings and Precautions (5.3)].

Elderly, Cachectic, or Debilitated Patients

Life-threatening respiratory depression is more likely to occur in elderly, cachectic, or debilitated patients because they may have altered pharmacokinetics or altered clearance compared to younger, healthier patients [see Warnings and Precautions (5.3)].

Regularly evaluate patients, particularly when initiating and titrating Methadone Hydrochloride Tablets and when Methadone Hydrochloride Tablets are given concomitantly with other drugs that depress respiration [see Warnings and Precautions (5.3, 5.7), Drug Interactions (7)]]. Alternatively, consider the use of non-opioid analgesics in these patients.

5.7 Risks of Concomitant Use of Cytochrome P450 3a4, 2b6, 2c19, 2c9, Or 2d6 Inhibitors Or Discontinuation of P450 3a4, 2b6, 2c19, Or 2c9 Inducers (5.7 Risks of Concomitant Use of Cytochrome P450 3A4, 2B6, 2C19, 2C9, or 2D6 Inhibitors or Discontinuation of P450 3A4, 2B6, 2C19, or 2C9 Inducers)


Concomitant use of Methadone Hydrochloride Tablets with CYP3A4, CYP2B6, CYP2C19, CYP2C9, or CYP2D6 inhibitors, may increase plasma concentrations of methadone, prolong opioid adverse reactions, and may cause potentially fatal respiratory depression, particularly when an inhibitor is added after a stable dosage of Methadone Hydrochloride Tablets is achieved. Similarly, discontinuation of concomitant CYP3A4, CYP2B6, CYP2C19, or CYP2C9 inducers in METHADONE HYDROCHLORIDE TABLETS - treated patients may increase methadone plasma concentrations resulting in fatal respiratory depression. Consider dosage reduction of Methadone Hydrochloride Tablets when using concomitant CYP3A4, CYP2B6, CYP2C19, CYP2C9 or CYP2D6 inhibitors or discontinuing CYP3A4, CYP2B6, CYP2C19, or CYP2C9 inducers in methadone-treated patients, and evaluate patients closely at frequent intervals for signs and symptoms of respiratory depression and sedation [see Drug Interactions (7)].

Addition of CYP3A4, CYP2B6, CYP2C19, or CYP2C9 inducers or discontinuation of CYP3A4, CYP2B6, CYP2C19, CYP2C9, or CYP2D6 inhibitors in patients treated with Methadone Hydrochloride Tablets may decrease methadone plasma concentrations, reducing efficacy and may lead to opioid withdrawal symptoms in patients physically dependent on methadone. When using Methadone Hydrochloride Tablets with CYP3A4, CYP2B6, CYP2C19, or CYP2C9 inducers or discontinuing CYP3A4, CYP2B6, CYP2C19, CYP2C9, or CYP2D6 inhibitors, assess patients for signs or symptoms of opioid withdrawal and consider increasing the Methadone Hydrochloride Tablets dosage as needed [see Drug Interactions (7)].






Advanced Ingredient Data


Raw Label Data

All Sections (JSON)